Економіко-статистичний аналіз виробництва зернових культур в сільськогосподарських підприємствах Черкаської області
ЗМІСТ
Вступ
Розділ
1. Розміри,склад та структура посівних площ
Розділ
2. Динаміка урожайності зернових культур
Розділ
3. Аналітичне групування урожайності зернових культур
Розділ
4. Індексний аналіз валового збору та середності
Висновки
Список
використаних джерел
Додатки
Вступ
Земельний фонд Черкащини за своїм родючим
потенціалом є одним з найвищих в державі і характеризується високою розораністю
- 87,6%. Площа сільськогосподарських угідь - 1451,0 тис.га або 3,5% угідь
України.
На території області працює 840
сільськогосподарських підприємств та 1016 фермерських господарств. Із
сільськогосподарських підприємств - 290 (35%) мають в землекористуванні більше
1 тис. га орендованої землі, з них 18 - найбільші землекористувачі, з яких 7
мають більше 10 тис. га: ЗАТ НВФ «Урожай», СТОВ Агрофірма «Корсунь», СТОВ
«Пальмира», ЗАТ «Райз Максимко», СТОВ Зернова компанія «Хорс», СТОВ Агрофірма
«Злагода», СТОВ «ЛНЗ-Агро».
За обсягами валової продукції сільського
господарства Черкащина займає провідні місця серед регіонів України і виробляє
близько 6,7% загальнодержавного обсягу.
На одного жителя області виробляється валової
продукції сільського господарства - в 2,2 рази більше, ніж в середньому по
Україні. У 2011 році цей показник склав 11,3 тис. гривень ( по Україні - 5,1
тис. гривень). За останні п’ять років виробництво сільськогосподарської
продукції на 100 га сільськогосподарських угідь зросло майже вдвічі: з 627-ми
тис.грн. до 1,1 млн. гривень.
З року в рік спостерігається приріст валової
сільгосппродукції і у 2011 році він досяг 17,6 відсотків, обсяг склав - 14,5
млрд. гривень. Питома вага виробленої продукції сільськогосподарськими
підприємствами постійно зростає. У 2000 році частка її складала 49 відсотків,
господарств населення відповідно 51 відсоток, у 2011 році частка виробництва у
сільськогосподарських підприємствах досягла 75 відсотків.
Щорічно всіма категоріями господарств
виробляється в області понад 3 млн. тонн зерна, 250-350 тис. тонн соняшнику,
800-900 тис. тонн картоплі та 300-350 тис. тонн овочів. За останні роки
розширилися площі під соєю в 2,5 рази та цукровим буряком в 2,2 рази.
Метою написання курсової є
економіко-статистичний аналіз виробництва зернових культур в
сільськогосподарських підприємствах Черкаської області.
Об’єктом дослідження є сільськогосподарські
підприємства Черкаської області.
Предметом дослідження є зернові культури:
пшениця, жито, ячмінь, овес, кукурудза на зерно, просо, гречка, зернобобові.
Основними методами, які використовувались у
написання курсової роботи є: кореляційний аналіз; індексний аналіз; ланцюгові
підстановки; середні величини; метод екстраполяції; групування; укрупнення
періодів; метод виявлення найменших квадратів.
Робота виконана за матеріалами «Статистичного
щорічника Черкаської області за 2012 рік».Період дослідження охоплює 2000-2012
роки.
РОЗДІЛ І. РОЗМІРИ, СКЛАД ТА СТРУКТУРА ПОСІВНИХ
ПЛОЩ
Земельний фонд України включає всі землі в межах
її території незалежно від їх цільового призначення і господарського
використання.
Для отримання характеристики і оцінки складу та
структури посівних площ,необхідно визначити питому вагу кожного з видів
сільськогосподарських культур. Динаміку посівних площ в сільськогосподарських
підприємствах Черкаської області подано в таблиці 1.1. Розрахункові дані
наведено у додатку А.
статистичний зерновий урожайність
валовий
Таблиця 1.1
Динаміка посівних площ в сільськогосподарських
підприємствах Черкаської області
|
Вид
с.г. культур
|
2010
|
2011
|
2012
|
Темп
росту до базисного, %
|
|
площа,тис.га
|
питома
вага,%
|
площа,тис.га
|
питома
вага,%
|
площа,тис.га
|
питома
вага,%
|
|
|
Зернові
культури
|
674,7
|
56,3
|
681,8
|
56,5
|
669,8
|
55,6
|
99,3
|
|
Технічні
культури
|
312,3
|
26,0
|
316,1
|
26,2
|
335,5
|
27,8
|
107,4
|
|
Кормові
культури
|
85,8
|
7,2
|
84,7
|
7,0
|
82,1
|
6,8
|
95,7
|
|
Картопля
та овоче-баштанні культури
|
126,4
|
10,5
|
123,5
|
10,3
|
118,0
|
9,8
|
93,4
|
|
Всього
|
1199,2
|
100
|
1206
|
100
|
1205,4
|
100
|
100,5
|
Аналізуючи таблицю 1.1 слід відмітити, що
загальна посівна площа в сільськогосподарських підприємствах Черкаської області
характеризується тенденцією до збільшення. У 2012 році порівняно з 2010 роком
посівна площа збільшилася на 6,2 тис. га або на 0,5 %.
У таблиці 1.1 наведено склад, структура і
динаміка посівних площ в сільськогосподарських підприємствах Черкаської області
за останні 3 роки. Як видно з таблиці посівні площі сільськогосподарських
підприємств Черкаської області зросли на 0,5%. Темпи росту площі для зернових
культур, картоплі і овоче-баштанних культур не змінилися, не суттєво
збільшилися площі посівних технічних культур (+2%) і зменшилися площі посівних
кормових культур (-2%).
Для дослідження складу та структури посівних
площ всіх зернових культур за останні 5 років необхідно визначити обсяг
посівних площ та питому вагу кожного з груп зернових культур. Склад та
структура, динаміка посівних площ сільськогосподарських культур в
сільськогосподарських підприємствах Черкаської області зображені в таблиці 1.2.
Таблиця 1.2.
Склад та структура, динаміка посівних площ
зернових культур в сільськогосподарських підприємствах Черкаської області [6]
(тис.га)
|
Види
культур
|
2008
р.
|
2009
р.
|
2010
р.
|
2011
р.
|
2012
р.
|
Темп
росту до базисно го %
|
|
Пло-ща
тис. га
|
питома
вага, %
|
Пло-ща тис.га
|
питома
вага, %
|
Пло-ща тис. га
|
питома
вага, %
|
Пло-ща тис.га
|
питома
вага, %
|
Пло ща тис.га
|
питома
вага, %
|
|
|
Пшениця
|
259,1
|
38,7
|
245,7
|
34,7
|
251,1
|
37,2
|
253,5
|
37,2
|
221,6
|
33,1
|
86
|
|
Жито
|
11,6
|
1,7
|
13,0
|
1,8
|
6,3
|
0,9
|
4,6
|
0,7
|
4,0
|
0,6
|
34
|
|
Ячмінь
|
182,3
|
26,7
|
220,6
|
31,1
|
165,5
|
24,5
|
120,8
|
17,7
|
107,7
|
16,1
|
59
|
|
Овес
|
5,4
|
0,8
|
6,2
|
0,9
|
2,9
|
0,4
|
3,2
|
0,5
|
3,2
|
0,5
|
59
|
|
Кукурудза
на зерно
|
188,2
|
27,6
|
187,5
|
26,5
|
219,5
|
32,5
|
263,4
|
38,6
|
312,0
|
46,6
|
166
|
|
Просо
|
3,4
|
0,5
|
3,8
|
0,5
|
2,6
|
0,4
|
4,3
|
0,6
|
2,6
|
0,4
|
76
|
|
Гречка
|
10,3
|
1,5
|
9,2
|
1,3
|
6,0
|
0,9
|
12,2
|
1,8
|
7,8
|
1,2
|
76
|
|
Зернобобові
|
14,5
|
2,1
|
21,3
|
3,
|
20,3
|
3,0
|
18,3
|
2,7
|
9,9
|
1,5
|
68
|
|
Всього
зернових культур
|
681,8
|
100
|
708,4
|
100
|
674,7
|
100
|
681,8
|
100
|
669,8
|
100
|
98
|
Аналізуючи таблицю 1.2. слід відмітити, що за
досліджуваний період в сільськогосподарських підприємствах Черкаської області
посівні площі зернових культур збільшилися на 11%.
Серед зернових культур за досліджуваний період,
дуже суттєво збільшилась частка посівних площ кукурудзи на зерно в два рази (на
200 %). Темпи росту посівних площ інших зернових культур зменшилися за останні
5 років, особливо зменшилася площа посівів жита - на 70 % у порівнянні з
базисним 2008 роком.
Аналізуючи динаміку посівних площ зернових
культур, слід відмітити, що загальна площа протягом 5 років змінювалася не
стабільно.
Стовпчиковою діаграмою зображено динаміку
розмірів посівних площ зернових культур по групах: пшениця, жито, ячмінь, овес,
кукурудза на зерно, просо, гречка, зернобобові за останніх 5 років в сільськогосподарських
підприємствах Черкаської області. На рис. 1.1 наведена динаміка розмірів
посівних площ за останні 5 років зернових культур в сільськогосподарських
підприємствах Черкаської області
Рис.1.1 Динаміка розмірів посівних площ зернових
культур в сільськогосподарських підприємствах Черкаської області
Для вивчення закономірностей динаміки,
використовується система показників, які характеризують напрямок та
інтенсивність зміни у часі досліджуваної ознаки.
Аналіз динаміки проводиться за допомогою
аналітичних показників динаміки на основі даних за остання 7 років про посівні
площі сільськогосподарських культур Черкаської області.
Система показників включає такі, як: базисні і
ланцюгові зміни, темп росту, темп приросту, абсолютне значення 1% приросту.
Результати обчислень представлені у таблиці 1.3.
Таблиця 1.3
Ланцюгові показники ряду динаміки посівних площ
зернових культур в сільськогосподарських підприємствах Черкаської області
|
Рік
|
Площа посівів,
тис.га
|
Абсолюний
приріст, тис. га
|
Темп
росту,%
|
Темп
приросту,%
|
Абсолютне
значення 1% приросту,тис.га
|
|
2000
|
605,2
|
|
100
|
0
|
0
|
|
2005
|
676,3
|
71,1
|
111,75
|
11,75
|
11,75
|
|
2008
|
681,8
|
5,5
|
100,81
|
0,81
|
0,91
|
|
2009
|
708,4
|
26,6
|
103,9
|
3,9
|
4,4
|
|
2010
|
674,7
|
-33,7
|
95,24
|
-4,76
|
-5,57
|
|
2011
|
681,8
|
7,1
|
101,05
|
1,05
|
1,17
|
|
2012
|
669,8
|
-12
|
98,24
|
-1,76
|
-1,98
|
Посівні площі зернових культур в 2012 році
складали 669.8 тис. га. У 2012 порівняно з 2011 величина посівних площ зернових
культур зменшилася на 12 тис. га або на 1.76%.
У 2012році величина посівних площ зернових
культур склала 669,8 тис. га та за минулий період збільшилося на 12 тис.. га,
або на 1.76%.
Максимальний приріст спостерігається в 2005
(71.1 тис. га).
Мінімальний приріст зафіксовано у 2010 (-33.7
тис. га).
Темп нарощення показує, що тенденція ряду
зростаюче, що свідчить про прискорення посівних площ зернових культур.
Таблиця 1.4
Базисні показники ряду динаміки посівних площ
зернових культур в сільськогосподарських підприємствах Черкаської області
|
Рік
|
Площа
посівів, тис.га
|
Абсолюний
приріст, тис. га
|
Темп
росту,%
|
Темп
приросту,%
|
|
2000
|
605,2
|
0
|
0
|
100
|
|
2005
|
676,3
|
71,1
|
11,75
|
111,75
|
|
2008
|
681,8
|
76,6
|
12,66
|
117,05
|
|
2009
|
708,4
|
103,2
|
17,05
|
111,48
|
|
2010
|
674,7
|
69,5
|
11,48
|
112,66
|
|
2011
|
681,8
|
76,6
|
12,66
|
110,67
|
|
2012
|
669,8
|
64,6
|
10,67
|
|
Посівні площі зернових культур в 2012 році
склали 669.8 тис. га.
У 2012 році порівняно з 2000 роком посівні площі
зернових культур збільшилися на 64.6 тис. га або на 10.67 %
У 2012 році посівні площі зернових культур
складали 669.8 тис. га і порівняно з 2000 роком збільшилися на 64.6 тис. га ,
або на 10.67 %
Розрахунок середніх характеристик рядів.
Середній рівень ряду y динаміки характеризує
типову величину абсолютних рівнів. Середній рівень інтервального ряду
розраховується за формулою:
( тис. га).
Середнє значення посівних площ зернових культур
з 2000 по 2012 роки склало 671.14 тис. га.
Середній темп зростання
%.
У середньому за весь період з 2000 по 2012
зростання посівних площ зернових культур складає 1.02 %.
Середній темп приросту
.
У середньому кожен період зростання посівних
площ зернових культур збільшувалася на 2%.
Середній абсолютний приріст являє собою
узагальнену характеристику індивідуальних абсолютних приростів ряду динаміки.
Середній абсолютний приріст
( тис. га).
У середньому за весь період посівні площі
зернових культур збільшувалася на 10.77 тис. га з кожним періодом.
РОЗДІЛ ІІ. ДИНАМІКА УРОЖАЙНОСТІ ЗЕРНОВИХ КУЛЬТУР
Урожай (валовий збір) у статистиці - загальний
обсяг продукції, зібраної з усієї площі посіву окремих сільськогосподарських
культур або їх груп. Урожайність - це середній обсяг продукції з одиниці
посівної площі
Для характеристики урожаю використовують такі
показники: видовий урожай, урожай на пні, фактичний урожай.
Видовий урожай - це очікувані розміри валового
збору в певний період вегетації. Визначають його спеціалісти агрономічного
профілю на око залежно від стану посівів: густоти сходів, ступеня розвитку
рослин.
Під урожаєм на пні перед початком своєчасного
збирання розуміють весь вирощений урожай без урахування втрат. Урожай на пні
визначають: 1) на око, оглядаючи посіви перед збиранням урожаю; 2) вибірковим
накладанням метрівок перед початком збирання врожаю.
Фактичний урожай - це кількість фактично
зібраної і оприбуткованої продукції окремих сільськогосподарських культур.
Відповідно до показників урожаю розрізняють такі
види урожайності: видову, на пні і фактичну.
Важливим завданням статистики рослинництва є
визначення втрат урожаю під час збирання і транспортування продукції, що
виникли з тих чи інших причин.
Інформація про урожай і урожайність
використовується для обчислення ряду синтетичних показників, які характеризують
рівень землеробства. Зокрема, виходячи з специфіки сільськогосподарського
виробництва, для обліку, аналізу й планування ефективності використання землі в
господарствах доцільно застосовувати систему таких показників: виробництво
валової продукції сільського господарства з одиниці земельної площі;
виробництво валової продукції рослинництва з одиниці земельної площі:
виробництво валової продукції тваринництва з одиниці земельної площі;
урожайність окремих сільськогосподарських культур; вихід окремих видів
продукції тваринництва з відповідної одиниці земельної площі; розмір доходу з
одиниці земельної (посівної) площі в цілому по сільському господарству, окремій
його галузі, виду продукції.
Основною зерновою культурою є озима пшениця,
питому вагу якої доцільно довести до 46 % від вирощуваних зернових культур.
Збільшення виробництва зерна дасть змогу інтенсифікувати виробництво продукції
птахівництва.
Удосконалення галузевої структури поряд з іншими
факторами слугуватиме основою для ефективного використання
сільськогосподарських угідь, про що свідчать дані таблиці 2.1.
У таблиці 4 наведено урожайність зернових
культур у всіх категоріях господарств Черкаської області за останні 5 років
(2008-2012 рр.).
Таблиця 2.1.
Виробництво зернових культур у всіх категоріях
господарств [6]
(тис.ц)
|
2008
|
2010
|
2011
|
2012
|
|
Зернові
культури
|
29780
|
31949
|
25311
|
37619
|
33106
|
|
у
тому числі
|
|
|
|
|
|
|
пшениця
|
11916
|
10915
|
8406
|
9597
|
9332
|
|
жито
|
361
|
375
|
128
|
117
|
115
|
|
ячмінь
|
6702
|
6955
|
3910
|
3630
|
3331
|
|
овес
|
152
|
140
|
50
|
53
|
75
|
|
кукурудза
на зерно
|
9936
|
12891
|
12347
|
23665
|
19920
|
|
просо
|
60
|
87
|
49
|
103
|
41
|
|
гречка
|
99
|
83
|
46
|
110
|
58
|
|
зернобобові
|
345
|
465
|
364
|
274
|
196
|
Таблиця 2.1.
Динаміка урожайності зернових культур в
сільськогосподарських підприємствах Черкаської області [6]
(тис.ц)
|
Види
культур
|
2008
р.
|
2009
р.
|
2010
р.
|
2011
р.
|
2012
р.
|
Темп
росту до базисно-го %
|
|
Пло-ща, тис .га
|
питома
вага, %
|
Пло-ща,
тис. га
|
питома
вага, %
|
Пло-ща, тис. га
|
питома
вага, %
|
Пло-ща, тис. га
|
питома
вага, %
|
Пло-ща, тис .га
|
питома
вага, %
|
|
|
Пшениця
|
11916
|
40,0
|
10915
|
34,2
|
8406
|
33,2
|
9597
|
25,5
|
9332
|
28,2
|
78
|
|
Жито
|
361
|
1,2
|
375
|
1,2
|
128
|
0,51
|
117
|
0,3
|
115
|
0,3
|
32
|
|
Ячмінь
|
6702
|
22,5
|
6955
|
21,8
|
3910
|
15,4
|
3630
|
9,6
|
3331
|
10,1
|
50
|
|
Овес
|
152
|
0,5
|
140
|
0,4
|
50
|
0,2
|
53
|
0,1
|
75
|
0,2
|
49
|
|
Кукурудза
на зерно
|
9936
|
33,4
|
12891
|
40,3
|
12347
|
48,8
|
23665
|
62,9
|
19920
|
60,2
|
200
|
|
Просо
|
60
|
0,2
|
87
|
0,3
|
49
|
0,2
|
103
|
0,3
|
41
|
0,1
|
68
|
|
Гречка
|
99
|
0,3
|
83
|
0,3
|
46
|
0,2
|
110
|
0,3
|
58
|
0,2
|
59
|
|
Зернобобові
|
345
|
1,2
|
465
|
1,5
|
364
|
1,4
|
274
|
0,7
|
196
|
0,6
|
57
|
|
Всього
зернових культур
|
29780
|
100,0
|
31949
|
100,0
|
25311
|
100,0
|
37619
|
100,0
|
33106
|
100,0
|
111
|
Аналізуючи таблицю 2.1. слід відмітити, що за
досліджуваний період в сільськогосподарських підприємствах Черкаської області
урожайність зернових культур збільшилися на 11%.
Серед зернових культур за досліджуваний період,
дуже суттєво збільшилась частка урожайності кукурудзи на зерно в два рази (на
200 %). Темпи росту урожайності інших зернових культур зменшилися за останні 5
років, особливо зменшилася урожайність жита - на 70 % у порівнянні з базисним
2008 роком.
Аналізуючи динаміку урожайності зернових
культур, слід відмітити, що урожайність протягом 5 років змінювалася не
стабільно.
Стовпчиковою діаграмою зображено динаміку
розмірів урожайності зернових культур по групах: пшениця, жито, ячмінь, овес,
кукурудза на зерно, просо, гречка, зернобобові за останніх 5 років в
сільськогосподарських підприємствах Черкаської області. На рис. 2.1 наведена
динаміка розмірів урожайності за останні 5 років зернових культур в
сільськогосподарських підприємствах Черкаської області
Рис.2.1 Динаміка розмірів урожайності зернових
культур в сільськогосподарських підприємствах Черкаської області
Таблиця 2.2.
Ланцюгові показники ряду динаміки урожайності
зернових культур в сільськогосподарських підприємствах Черкаської області
|
Рік
|
урожайність,
т.ц
|
Абсолю-ний
приріст, т. ц
|
Темп
росту,%
|
Темп
приросту,%
|
Абсолютне
значення 1% приросту, т.ц
|
Темп
нарощування, %
|
|
2000
|
27,2
|
0
|
0
|
100
|
0.27
|
0
|
|
2005
|
33,8
|
6.6
|
24.26
|
124.26
|
0.27
|
24.26
|
|
2008
|
44,4
|
10.6
|
31.36
|
131.36
|
0.34
|
38.97
|
|
2009
|
46
|
1.6
|
3.6
|
103.6
|
0.44
|
5.88
|
|
2010
|
39,1
|
-6.9
|
-15
|
85
|
0.46
|
-25.37
|
|
2011
|
57,3
|
18.2
|
46.55
|
146.55
|
0.39
|
66.91
|
|
2012
|
51,3
|
-6
|
-10.47
|
89.53
|
0.57
|
-22.06
|
Урожайність зернових культур в 2012 році склав
51.3 т / ц.
У 2012 році порівняно з 2011 урожайність
зернових культур зменшилась на 6 т / ц або на 10.47%.
У 2012 році урожайність зернових культур склала
51.3 т / ц і за минулий період збільшилася на 6 т / ц, або на 10.47%.
Максимальний приріст спостерігається в 2011 році
(18.2 т / ц).
Мінімальний приріст зафіксовано у 2010 році
(-6.9 т / ц).
Темп нарощування показує, що тенденція ряду
зростаюча, що свідчить про прискорення урожайності зернових культур.
Таблиця 2.3.
Базисні показники ряду динаміки урожайності
зернових культур в сільськогосподарських підприємствах Черкаської області
|
Рік
|
Урожайність,
т.ц
|
Абсолюний
приріст, т. ц
|
Темп
приросту,%
|
Темп
росту,%
|
|
2000
|
27,2
|
0
|
0
|
100
|
|
2005
|
33,8
|
6.6
|
24.26
|
124.26
|
|
2008
|
44,4
|
17.2
|
63.24
|
163.24
|
|
2009
|
46
|
18.8
|
69.12
|
169.12
|
|
2010
|
39,1
|
11.9
|
43.75
|
143.75
|
|
2011
|
57,3
|
30.1
|
110.66
|
210.66
|
|
2012
|
51,3
|
24.1
|
88.6
|
188.6
|
Урожайність зернових культур в 2012 році склала
51.3 т / ц. У 2012 році порівняно з 2000 урожайність зернових культур
збільшилася на 24.1 т / ц або на 88.6 %.
У 2012 році урожайність зернових культур склала
51.3 т / ц і в порівнянні з 2000 збільшилася на 24.1 т / ц , або на 88.6 %
Розрахунок середніх характеристик рядів.
Середній рівень ряду y динаміки характеризує типову величину абсолютних рівнів.
Середній рівень інтервального ряду
розраховується за формулою:
т / ц
Середнє значення урожайності зернових культур з
2000 по 2012 рр .склало 42.73 т / ц.
Середній темп зростання
У середньому за весь період з 2000 по 2012 роки
зростання урожайності зернових культур склала 1.11.
Середній темп приросту
У середньому кожен період урожайність зернових
культур збільшувалася на 11%.
Середній абсолютний приріст являє собою
узагальнену характеристику індивідуальних абсолютних приростів ряду динаміки.
Середній абсолютний приріст
У середньому за весь період урожайність зернових
культур збільшувалася на 4.02 т / ц з кожним періодом.
Проведемо аналітичне вимірювання урожайності
пшениці, методом найменших квадратів на основі на основі рівняння прямої лінії
за останніх 7 років. Дані обчислень представлено в таблиці 2.4. Розрахункові
дані взято із додатку Д.
Таблиця 2.4.
Вихідні та розрахункові дані для встановлення
тенденції урожайності пшениці у сільськогосподарських підприємствах Черкаської
області
|
Рік
|
Порядковий
номер року (t)
|
Урожайність
пшениці, ц/га (У)
|
t2
|
Yt
|
|
|
2000
|
1
|
24,7
|
1
|
24,7
|
-1052
|
|
2005
|
2
|
36,0
|
4
|
720
|
-689
|
|
2008
|
3
|
46,9
|
9
|
1407
|
-326
|
|
2009
|
4
|
45,2
|
16
|
1808
|
|
2010
|
5
|
35,0
|
25
|
1750
|
400
|
|
2011
|
6
|
39,8
|
36
|
2388
|
763
|
|
2012
|
7
|
43,6
|
49
|
3052
|
1126
|
|
Разом
|
28
|
2489,7
|
140
|
11149,7
|
259
|
Аналітичне вирівнювання ряду динаміки на основі
прямої визначають за формулою:
; де
-
теоретичне значення результативної ознаки. Значення а і b невідомі, тому
обчислюються способом найменших квадратів. Цей спосіб для рівняння прямої
приводить до такої системи нормальних рівнянь:
;
;
Підставляємо суми з таблиці в
систему рівнянь і розв’язуємо її:
Підставивши дані в рівняння прямої
одержимо:
. Отже,
урожайність пшениці в сільськогосподарських підприємствах Черкаської області в
середньому за 2008-2012 рр. має тенденцію до зростання на 363 центнерів з
гектара щороку.
Побудуємо графік зміни фактичних
рівнів ряду динаміки та вирівняних за рівнянням прямої лінії теоретичних
значень урожайності (рис.2.2).
Рис. 2. Тенденція зміни урожайності
пшениці в сільськогосподарських підприємствах Черкаської області за 2008-2012
рр.
РОЗДІЛ 3. АНАЛІТИЧНЕ ГРУПУВАННЯ
УРОЖАЙНОСТІ ЗЕРНОВИХ КУЛЬТУР
За значеннями таблиці 3 проведемо
групування статистичних даних за роками.
Для оцінки ряду розподілу знайдемо
такі показники:
Середня зважена
Мода - значення ознаки, яке найбільш
часто зустрічається у одиницях даної сукупності.
Медіана. Медіаною (Me) називається
значення ознаки, що припадає на середину впорядкованої сукупності.
Розмах варіації - різниця між
максимальним і мінімальним значеннями ознаки первинного ряду.
= Xmax - Xmin
Середнє лінійне відхилення -
обчислюють для того, щоб врахувати відмінності всіх одиниць досліджуваної
сукупності.
Дисперсія - характеризує міру
розкиду близько її середнього значення (міра розсіювання, тобто відхилення від
середнього).
Середнє квадратичне відхилення
(середня помилка вибірки).
.
Пшениця
Середня зважена
(тис. ц.)
Максимальне значення повторень при x
= 8 (f = 1). Отже, мода дорівнює 8.
Медіана (Me). Знаходимо xi, при
якому накопичена частота S буде більше Σf / 2 = 3. Це значення
xi = 1. Таким чином, медіана дорівнює 1.
Розмах варіації
= 11916 - 8406 = 3510 (тис. ц.)
Середнє лінійне відхилення
(тис. ц.)
Кожне значення ряду відрізняється
від іншого не більше, ніж на 1105.84 (тис. ц.).
Дисперсія
(тис. ц.)
Середнє квадратичне відхилення
(тис. ц.)
Кожне значення ряду відрізняється
від середнього значення 10033.2(тис. ц.) не більше, ніж на 1237.11. (тис. ц.)
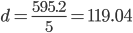
Жито
Середня зважена
(тис. ц.)
Максимальне значення повторень при x
= 1 (f = 1). Отже, мода дорівнює 1.
Медіана (Me). Знаходимо xi, при
якому накопичена частота S буде більше Σf / 2 = 3. Це значення
xi = 3. Таким чином, медіана дорівнює 3.
Розмах варіації
= 375 - 115 = 260 (тис. ц.)
Середнє лінійне відхилення
(тис. ц.)
Кожне значення ряду відрізняється
від іншого не більше, ніж на 119.04 (тис. ц.).
Дисперсія
(тис. ц.)
Середнє квадратичне відхилення
(тис. ц.)
Кожне значення ряду відрізняється
від середнього значення 219.2(тис. ц.) не більше, ніж на 121.66. (тис. ц.)
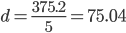
Ячмінь
Середня зважена
(тис. ц.)
Максимальне значення повторень при x
= 3 (f = 1). Отже, мода дорівнює 3.
Медіана (Me). Знаходимо xi, при
якому накопичена частота S буде більше Σf / 2 = 3. Це значення
xi = 6. Таким чином, медіана дорівнює 6.
Розмах варіації
= 6955 - 3331 = 3624 (тис. ц.)
Середнє лінійне відхилення
(тис. ц.)
Кожне значення ряду відрізняється
від іншого не більше, ніж на 1538.32 (тис. ц.).
Дисперсія
(тис. ц.)
Середнє квадратичне відхилення
(тис. ц.)
Кожне значення ряду відрізняється
від середнього значення 4905,6(тис. ц.) не більше, ніж на 1582.71. (тис. ц.)
Овес
Середня зважена
(тис. ц.)
Максимальне значення повторень при x
= 5 (f = 1). Отже, мода дорівнює 5.
Медіана (Me). Знаходимо xi, при
якому накопичена частота S буде більше Σf / 2 = 3. Це значення
xi = 1. Таким чином, медіана дорівнює 1.
Розмах варіації
= 152 - 50 = 102 (тис. ц.)
Середнє лінійне відхилення
(тис. ц.)
Кожне значення ряду відрізняється
від іншого не більше, ніж на 41.6 (тис. ц.).
Дисперсія
(тис. ц.)
Середнє квадратичне відхилення
(тис. ц.)
Кожне значення ряду відрізняється
від середнього значення 94(тис. ц.) не більше, ніж на 43,49. (тис. ц.)
Кукурудза на зерно
Середня зважена
(тис. ц.)
Максимальне значення повторень при x
= 9 (f = 1). Отже, мода дорівнює 9.
Медіана (Me). Знаходимо xi, при
якому накопичена частота S буде більше Σf / 2 = 3. Це значення
xi = 1. Таким чином, медіана дорівнює 1.
Розмах варіації
= 23665 - 9936 = 13729 (тис. ц.)
Середнє лінійне відхилення
(тис. ц.)
Кожне значення ряду відрізняється
від іншого не більше, ніж на 4832.56 (тис. ц.).
Дисперсія
(тис. ц.)
Середнє квадратичне відхилення
(тис. ц.)
Кожне значення ряду відрізняється
від середнього значення 15751,8 (тис. ц.) не більше, ніж на 5169. (тис. ц.)
Просо
Середня зважена
(тис. ц.)
Максимальне значення повторень при x
= 4 (f = 1). Отже, мода дорівнює 4.
Медіана (Me). Знаходимо xi, при
якому накопичена частота S буде більше Σf / 2 = 3. Це значення
xi = 8. Таким чином, медіана дорівнює 8.
Розмах варіації
= 103 - 41 = 62 (тис. ц.)
Середнє лінійне відхилення
(тис. ц.)
Кожне значення ряду відрізняється
від іншого не більше, ніж на 21,6 (тис. ц.).
Дисперсія
(тис. ц.)
Середнє квадратичне відхилення
(тис. ц.)
Кожне значення ряду відрізняється
від середнього значення 68 (тис. ц.) не більше, ніж на 23,41. (тис. ц.)
Гречка
Середня зважена
(тис. ц.)
Максимальне значення повторень при x
= 4 (f = 1). Отже, мода дорівнює 4.
Медіана (Me). Знаходимо xi, при
якому накопичена частота S буде більше Σf / 2 = 3. Це значення
xi = 9. Таким чином, медіана дорівнює 9.
Розмах варіації
= 110 - 46 = 64 (тис. ц.)
Середнє лінійне відхилення
(тис. ц.)
Кожне значення ряду відрізняється
від іншого не більше, ніж на 21,76 (тис. ц.).
Дисперсія
(тис. ц.)
Середнє квадратичне відхилення
(тис. ц.)
Кожне значення ряду відрізняється
від середнього значення 79.2(тис. ц.) не більше, ніж на 24.11. (тис. ц.)
Зернобобові
Середня зважена
(тис. ц.)
Максимальне значення повторень при x
= 1 (f = 1). Отже, мода дорівнює 1.
Медіана (Me). Знаходимо xi, при
якому накопичена частота S буде більше Σf / 2 = 3. Це значення
xi = 3. Таким чином, медіана дорівнює 3.
Розмах варіації
= 465 - 196 = 269 (тис. ц.)
Середнє лінійне відхилення
(тис. ц.)
Кожне значення ряду відрізняється
від іншого не більше, ніж на 75,04 (тис. ц.).
Дисперсія
(тис. ц.)
Середнє квадратичне відхилення
(тис. ц.)
Кожне значення ряду відрізняється
від середнього значення 328,8(тис. ц.) не більше, ніж на 90.21. (тис. ц.)
РОЗДІЛ 4. ІНДЕКСНИЙ АНАЛІЗ ВАЛОВОГО
ЗБОРУ ТА СЕРЕДНОСТІ
=
,
Де
- індекс валового збору,
- індекс
посівних площ,
- індекс
урожайності,
- індекс
структури посівів.
Таблиця 4.1.
|
Площа,
тис. га
|
Урожайність,ц/га
|
Валовий
збір,ц
|
|
Культури
|
Базисний
період
|
Звітний
період
|
Базисний
період
|
Звітний
період
|
Базисний
період
|
Звітний
період
|
Умовний
період
|
|
По
|
П1
|
Уо
|
У1
|
УоПо
|
У1П1
|
УоП1
|
|
пшениця
|
253,5
|
221,6
|
9597
|
9332
|
2432840
|
2067971
|
2365662
|
|
жито
|
4,6
|
4,0
|
117
|
115
|
538,2
|
460
|
529
|
|
ячмінь
|
120,8
|
107,7
|
3630
|
3331
|
438504
|
358748,7
|
402384,8
|
|
овес
|
3,2
|
3,2
|
53
|
75
|
169,6
|
240
|
240
|
|
кукурудза
на зерно
|
263,4
|
312,0
|
23665
|
19920
|
6233361
|
6215040
|
5246928
|
|
просо
|
4,3
|
2,6
|
103
|
41
|
442,9
|
106,6
|
176,3
|
|
гречка
|
12,2
|
7,8
|
110
|
58
|
1342
|
452,4
|
707,6
|
|
зернобобові
|
18,3
|
9,9
|
274
|
196
|
5014,2
|
1940,4
|
3586,8
|
|
Разом
|
662
|
668,8
|
-
|
-
|
9112211
|
8644959
|
8020215
|
=
У1П1 :
= 8644959 :
9112211 = 0,949.
Індекс показує, що валовий збір
зернових культур в звітному періоді знизився в порівнянні з базисним в 0,949 рази
або на 5,1%.
Зміна валового збору, обумовлена
розширенням (скороченням) посівних площ зернових культур, встановлюється за
допомогою індексу посівних площ:
=
П1 :
= 668,8 : 662 = 1,01.
Внаслідок розширення посівних площ
валовий збір зернових культур зріс на 1%.
Вплив фактору зміни урожайності
окремих культур встановлюється за наступною формулою:
=
У1П1 :
= 8644959:
8020215 = 1,078.
Цей індекс показує, що внаслідок
підвищення урожайності окремих зернових культур валовий збір зріс в 1,078 рази
або на 7,8 %.
Вплив структурних змін в посівних
площах на валовий збір встановлюється за формулою:
=
:
= 8020215/668,8 : 9112211/662 =
0,8712.
Структура посівних площ у звітному
періоді в порівнянні з базисним менш ефективна, так як знизилася питома вага
площ з більш урожайними культурами. Погіршення структури зменшило валовий збір
на 13%.
Перевірка достовірності розрахунків:
=
*
*
,949 = 1,01 х 1,078 х 0,8712
Абсолютні прирости (зменшення)
валового збору встановлюються за рахунок зміни площ (ВЗп), урожайності окремих
культур (ВЗу) та структури посівних площ (ВЗс).
Загальна зміна валового збору:
=
У1П1 -
= 8644959 -
9112211 = - 467252 (ц)
Валовий збір зернових культур
зменшився в звітному році в порівнянні з базисним на 467252 ц.

=
(
П1-
) = 13765 х (668,8 - 662) = 93600 ц
=
У1П1 -
= 8644959-
8020215= 624744 ц
- 
П1 = 8020215- 13765 х 668,8 =
-1185817 ц
Перевірка правильності розрахунків:
=
+
+
467252 = 93600 + 624744 - 1185817.
На середню урожайність однорідних сільськогосподарських
культур впливає урожайність окремих культур і структура посівних площ.
Вплив факторів на зміну середньої
урожайності однорідних культур виявляється шляхом розрахунку індексу
урожайності (І
y) та
індексу структури посівних площ (І
с):
І
=І
y х І
с
На основі даних таблиці розраховуємо:
=
= 668,8/ 662 = 1,01
=
-
= 12926 - 13765 =-839 ц/га, де
=
=
ц/га.
ВИСНОВКИ
В результаті виконання курсової
роботи проаналізовано розміри, склад та структура посівних площ Черкаської
області. Проведено кількісну оцінку урожайності зернових культур за останні
п’ять років (2008-2012 рр.).
Проведено аналітичне групування
урожайності зернових культур та визначено основні статистичні характеристики.
За результатами індексного аналізу
валового збору урожаю визначено, що валовий збір зернових культур в звітному
2011 році знизився в порівнянні з базисним 2012 роком в 0,949 рази або на 5,1%.
Зміна валового збору, обумовлена
скороченням посівних площ зернових культур, встановлюється за допомогою індексу
посівних площ. Структура посівних площ у звітному періоді в порівнянні з
базисним менш ефективна, так як знизилася питома вага площ з більш урожайними
культурами. Погіршення структури зменшило валовий збір на 13%.
Проведено кореляційно-регресійний
аналіз зміни урожайності зернових культур.
СПИСОК ВИКОРИСТАНИХ ДЖЕРЕЛ
Вергун
М.Г. Підвищувати ефективність використання земельних, трудових і технічних
ресурсів села// Економіка АПК. - 2008. - №1. - С. 31-38.
Дегтярьова
Ю.В. Роль економіко-математичних моделей при прийнятті рішень в умовах ринкової
економіки // Формування ринкових відносин в Україні. - 2006. - №11. - С. 12-15.
Єщенко
В.О. та ін. Сівозміни лісостепової зони/ В.О. Єщенко, В.П. Опришко, П.Г.
Копитко; за ред. В.О. Єщенка. - Умань, 2007. - 176 с.
Новиков
А.И. Земельные ресурсы и их использование/ А.И. Новиков, А.В. Сакулин//
Земледелие. - 2005. - №5. - С. 7-8.
Статистичний
щорічник України за 2007 рік / за ред. О.Г. Осауленка- Державний комітет
статистики України. -К.: Техніка, 2007. - 598 с.
Статистичний
щорічник Черкаської області за 2012 рік / За ред. В.П. Приймак. - Черкаси,
2012. - 520c.
Третяк
А.М. Стан та проблеми управління земельними ресурсами в Україні// Вісник
аграрної науки. - 2001. - №8. - С. 5-11. Економіка АПК, 2009, №9
Щурик
М.В. Охорона та збереження земельних ресурсів як обов’язкова складова їх
відтворення // Агросвіт. - 2007. - №9. - С. 9-12.
ДОДАТОК А
Посівні площі основних сільськогосподарських
культур
(усі категорії господарств; тис.га)
|
1995
|
2000
|
2005
|
2008
|
2009
|
2010
|
2011
|
2012
|
|
|
|
|
|
|
|
|
|
|
Уся
посівна площа
|
1255,2
|
1232,1
|
1186,5
|
1206,4
|
1189,0
|
1199,2
|
1206,1
|
1205,4
|
|
|
|
|
|
|
|
|
|
|
Зернові
культури
|
563,3
|
605,2
|
676,3
|
681,8
|
708,4
|
674,7
|
681,8
|
669,8
|
|
у
тому числі
|
|
|
|
|
|
|
|
|
|
пшениця
|
248,4
|
243,4
|
241,9
|
259,1
|
245,7
|
251,1
|
253,5
|
221,6
|
|
жито
|
19,0
|
12,5
|
11,6
|
13,0
|
6,3
|
4,6
|
4,0
|
|
ячмінь
|
107,5
|
144,3
|
214,2
|
182,3
|
220,6
|
165,5
|
120,8
|
107,7
|
|
овес
|
13,6
|
15,7
|
9,1
|
5,4
|
6,2
|
2,9
|
3,2
|
3,2
|
|
кукурудза
на зерно
|
61,8
|
89,6
|
131,4
|
188,2
|
187,5
|
219,5
|
263,4
|
312,0
|
|
просо
|
9,0
|
19,4
|
5,5
|
3,4
|
3,8
|
2,6
|
4,3
|
2,6
|
|
гречка
|
24,3
|
30,8
|
27,5
|
10,3
|
9,2
|
6,0
|
12,2
|
7,8
|
|
зернобобові
|
88,5
|
42,8
|
33,8
|
14,5
|
21,3
|
20,3
|
18,3
|
9,9
|
|
Технічні
культури
|
183,8
|
154,0
|
239,4
|
303,4
|
261,7
|
312,3
|
316,1
|
335,5
|
|
у
тому числі
|
|
|
|
|
|
|
|
|
|
цукрові
буряки (фабричні)
|
121,1
|
57,2
|
43,7
|
26,3
|
18,0
|
35,9
|
40,0
|
31,9
|
|
соняшник
|
55,8
|
81,5
|
125,5
|
124,2
|
135,3
|
146,8
|
159,0
|
141,2
|
|
ріпак
|
1,3
|
4,6
|
18,9
|
102,0
|
50,4
|
43,9
|
34,7
|
42,5
|
|
соя
|
1,0
|
5,3
|
40,4
|
47,2
|
45,6
|
80,0
|
78,9
|
117,3
|
|
Картопля
та овоче-баштанні культури
|
90,5
|
110,3
|
99,9
|
89,7
|
87,2
|
85,8
|
84,7
|
82,1
|
|
у
тому числі
|
|
|
|
|
|
|
|
|
|
картопля
|
66,3
|
86,7
|
79,2
|
64,1
|
62,9
|
60,7
|
59,5
|
56,9
|
|
овочі
відкритого грунту (без насінників)
|
22,2
|
22,6
|
19,9
|
22,0
|
20,9
|
20,4
|
21,4
|
21,7
|
|
Кормові
культури
|
417,6
|
362,6
|
170,9
|
131,5
|
131,7
|
126,4
|
123,5
|
118,0
|
|
у
тому числі
|
|
|
|
|
|
|
|
|
|
кормові
коренеплоди (включаючи цукрові буряки на годівлю худоби і кормові баштанні)
|
25,3
|
16,1
|
13,7
|
13,9
|
12,6
|
13,0
|
18,9
|
15,9
|
|
кукурудза
на силос і зелений корм
|
146,1
|
126,6
|
51,7
|
39,2
|
40,2
|
36,3
|
33,8
|
35,6
|
|
однорічні
трави (включаючи посіви озимих на зелений корм)
|
110,1
|
111,9
|
39,2
|
29,7
|
28,1
|
26,3
|
24,5
|
19,5
|
|
багаторічні
трави посіву минулих років і безпокривні посіви поточного року
|
134,9
|
102,8
|
58,6
|
44,1
|
46,7
|
46,3
|
45,4
|
46,7
|
|
Площа
чистих парів
|
1,6
|
24,3
|
29,3
|
11,9
|
15,9
|
11,4
|
7,0
|
5,9
|
Додаток Б
Виробництво основних сільськогосподарських
культур у всіх категоріях господарств
(тис.ц)
|
1995
|
2000
|
2005
|
2008
|
2009
|
2010
|
2011
|
2012
|
|
Зернові
культури
|
16740
|
15941
|
22172
|
29780
|
31949
|
25311
|
37619
|
33106
|
|
у
тому числі
|
|
|
|
|
|
|
|
|
|
пшениця
|
9396
|
5820
|
8489
|
11916
|
10915
|
8406
|
9597
|
9332
|
|
жито
|
268
|
382
|
311
|
361
|
375
|
128
|
117
|
115
|
|
ячмінь
|
2803
|
3548
|
5491
|
6702
|
6955
|
3910
|
3630
|
3331
|
|
овес
|
355
|
399
|
197
|
152
|
140
|
50
|
53
|
75
|
|
кукурудза
на зерно
|
2076
|
4267
|
6720
|
9936
|
12891
|
12347
|
23665
|
19920
|
|
просо
|
199
|
305
|
62
|
60
|
87
|
49
|
103
|
41
|
|
гречка
|
218
|
327
|
183
|
99
|
83
|
46
|
110
|
58
|
|
зернобобові
|
1425
|
885
|
711
|
345
|
465
|
364
|
274
|
196
|
Додаток В
Урожайність основних сільськогосподарських
культур
у всіх категоріях господарств
(ц з 1 га)
|
1995
|
2000
|
2005
|
2008
|
2009
|
2010
|
2011
|
2012
|
|
Зернові
культури
|
29,8
|
27,2
|
33,8
|
44,4
|
46,0
|
39,1
|
57,3
|
51,3
|
|
у
тому числі
|
|
|
|
|
|
|
|
|
|
пшениця
|
37,9
|
24,7
|
36,0
|
46,9
|
45,2
|
35,0
|
39,8
|
43,6
|
|
жито
|
27,3
|
21,2
|
25,6
|
31,7
|
29,8
|
21,6
|
26,0
|
29,4
|
|
ячмінь
|
26,1
|
25,2
|
26,5
|
37,4
|
32,4
|
25,1
|
31,6
|
32,3
|
|
овес
|
26,2
|
25,8
|
22,3
|
29,2
|
23,4
|
17,7
|
18,6
|
24,7
|
|
кукурудза
на зерно
|
33,6
|
49,4
|
52,3
|
53,3
|
69,4
|
57,2
|
66,0
|
|
просо
|
22,0
|
16,9
|
13,5
|
17,9
|
23,1
|
19,4
|
24,2
|
19,9
|
|
гречка
|
8,9
|
11,0
|
7,1
|
10,0
|
9,5
|
8,3
|
10,1
|
8,5
|
|
зернобобові
|
3,2
|
21,1
|
21,4
|
24,5
|
22,3
|
19,8
|
17,1
|
20,6
|