Фінансова криза. Міграція населення

  • Вид работы:
    Контрольная работа
  • Предмет:
    Мировая экономика, МЭО
  • Язык:
    Украинский
    ,
    Формат файла:
    MS Word
    392,46 Кб
  • Опубликовано:
    2014-03-01
Вы можете узнать стоимость помощи в написании студенческой работы.
Помощь в написании работы, которую точно примут!

Фінансова криза. Міграція населення

План

1. Причини, основні види міжнародної міграції робочої сили

. Світова криза заборгованості. Проблеми зовнішньої заборгованості України

. Тестове завдання

. Тестове завдання

Список використаної літератури

1. Причини, основні види міжнародної міграції робочої сили

Масова міграція населення стала одним з характерних явищ життя світового співтовариства другої половини XX століття. Міграція населення являє собою переміщення людей через кордони певних територій зі зміною постійного місця проживання або поверненням до нього.

Міжнародна міграція робочої сили - це переміщення робочої сили з однієї країни в іншу на строк більший ніж один рік.

Міжнародна міграція робочої сили в другій половині XX століття стала важливою частиною процесу інтернаціоналізації міжнародного господарського життя. Трудовий потенціал, будучи найважливішим фактором виробництва, шукає свого найбільш ефективного використання не тільки в рамках національного господарства, але і в масштабах міжнародної економіки.

Міжнародний ринок робочої сили охоплює різноспрямовані потоки трудових ресурсів, що перетинають національні кордони. Міжнародний ринок праці об'єднує національні і регіональні ринки робочої сили. Міжнародний ринок робочої сили існує у формі трудової міграції.

Більше половини мігрантів - вихідці з країн, що розвиваються, і країн з перехідною економікою. За останні 5 років промислово розвинуті держави прийняли 12 мли мігрантів з цих країн, тобто щорічний приток мігрантів становить у середньому 2,3 мли осіб, з них 1,4 млн вирушають у Північну Америку 800 тис. - у Європу.

На початок 1995 в світі налічувалося понад 35 млн. трудящих - мігрантів проти 3,2 млн. у 1960 році. Якщо вважати, що на кожного мігранта трудящого припадає 3 утриманця, то чисельність мігруючого населення в середині 90- х років перевищує 100 млн. чоловік.

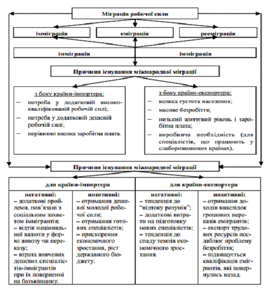
Міжнародна міграція включає два основні взаємопов'язані процеси: еміграційний та імміграційний.

Еміграція - це виїзд робочої сили з однієї країни в іншу.

Імміграція - це в'їзд робочої сили до приймаючої країни.

Рееміграція - повернення робочої сили в країну еміграції (на батьківщину).

Міжнародний ринок робочої сили існує поряд з іншими світовими ринками: наприклад, товарів і послуг, капіталу та інформації. Робоча сила, переміщуючись з однієї країни в іншу, пропонує себе в якості товару, здійснює міжнародну трудову міграцію.

Основні форми міграційних процесів:

постійна міграція. Ця форма переважала до Першої світової війни і характеризувалася тим, шо значні маси людей назавжди покидали свої країни і переселялись на постійне місце проживання до США, Канади, Австралії тощо. Переселення у зворотному напрямку було незначним;

тимчасова міграція - передбачає повернення мігрантів на батьківщину по закінченню певного строку. У зв'язку з цим слід відзначити, що сучасна трудова міграція набула ротаційного характеру;

нелегальна міграція, - надто вигідна підприємцям країн-мігрантів і становить своєрідний резерв необхідної їм дешевої робочої сили.

Згідно з розробленою Міжнародною організацією праці (МОП) класифікації видів сучасної міжнародної міграції, вона підрозділяється на п'ять основних типів:

) працюють за контрактом, де чітко обговорено термін перебування в приймаючій країні. В основному це сезонні робітники, які приїжджають на збирання врожаю, а також некваліфіковані або малокваліфіковані працівники, зайняті на підсобних роботах, наприклад, у сфері туризму;

) професіонали, яких відрізняє високий рівень підготовки, наявність відповідної освіти та практичного досвіду роботи. До цієї ж групи відносять представників професорсько - викладацького складу та студентів;

) нелегальні іммігранти, до числа яких входять іноземці з простроченою або туристичною візою, що займаються трудовою діяльністю. Мільйони представників цієї групи постійно перебувають у США, країнах Європи, Японії, Південної Америки і навіть Африки;

) переселенці, тобто переїжджають на постійне місце проживання. Ця група мігрантів орієнтована насамперед на переїзд в промислово розвинені країни;

) біженці - особи, змушені емігрувати зі своїх країн через будь-якої загрози їх життю та діяльності.

Основу міграційних потоків становлять робітники, меншою мірою, службовці, фахівці та науковці.

Рис. 1. Міграція робочої сили

Міжнародна трудова міграція - один з найбільш складних елементів в міжнародних економічних відносинах. Це пояснюється насамперед тим, що, на відміну від товарообміну або міжнародного руху капіталів, до цього процесу залучені живі люди.

Причинами міграції робочої сили є фактори як економічного, так і неекономічного характеру. До причин неекономічного типу відносяться: політичні, національні, релігійні, расові, сімейні та ін.

Причини економічного характеру криються в різному економічному рівні розвитку окремих країн. Робоча сила переміщується з країн з низьким рівнем життя в країни з більш Високим рівнем. Об'єктивно можливість міграції з'являється внаслідок національних відмінностей в умовах заробітної плати за ту чи іншу професійну діяльність.

. Відмінності в темпах накопичення капіталу зумовлюють відмінності сил притягання або відштовхування робочої сили в різних регіонах світового господарства, що в кінцевому підсумку визначає, напрямки переміщення цього чинника виробництва між країнами.

. Рівень та масштаби накопичення капіталу справляють безпосередній вплив на рівень зайнятості працездатного населення і, отже, на розміри відносного перенаселення (безробіття), яке є основним джерелом трудової міграції.

. Темпи і розміри накопичення капіталу, в свою чергу, до певної міри залежать від рівня міграції. Ця залежність полягає в тому, що порівняно низька заробітна плата іммігрантів і можливість знизити оплату праці вітчизняним працівникам дозволяє знизити витрати виробництва і тим самим збільшити нагромадження капіталу.

. Причиною переміщення робочої сили є зміни в структурі потреб і виробництва, спричинені науково-технічним прогресом. Скорочення обсягу виробництва або ліквідація деяких застарілих галузей вивільняють робочу силу, яка шукає собі застосування в інших країнах.

Отже, міжнародна трудова міграція - це насамперед форма руху відносно надлишкового населення з одного центру накопичення капіталу до іншого. В цьому полягає суть економічної природи трудової міграції та її головна причина.

Істотним економічним чинником, що визначає міграцію робочої сили, є наявність органічного безробіття в деяких країнах, насамперед слаборозвинених. Важливим чинником міжнародної трудової міграції є вивіз капіталу, функціонування міжнародних корпорацій. Транснаціональні корпорації сприяють з'єднанню робочої сили з капіталом, здійснюючи або рух робочої сили до капіталу, або переміщення свого капіталу в трудоізбиточние регіони. Розвиток засобів транспортного зв'язку, в свою чергу, сприяє розвитку міжнародної трудової міграції.

Можливість трудової міграції розширюється в міру формування єдиного світового економічного простору, в тому числі інформаційного та транспортного.

. Світова криза заборгованості. Проблеми зовнішньої заборгованості України

На початок 70-х років вже було закладено підґрунтя для формування системи міжнародної заборгованості. Відправними її точками можна вважати крах Бреттон-Вудської системи в 1971 р. і перший нафтовий шок в 1973 р. Після цих двох подій розпочався справжній бум міжнародних позик. Причому великими позичальниками були не тільки країни, що розвиваються, які не мають нафти, для фінансування своїх дефіцитів, а й країни, що володіють нафтою, для фінансування програм розширення економіки. Падіння процентної ставки, яке відбулося згодом унаслідок вибуху попиту на міжнародний кредит, змусило багатьох країн-кредиторів та країн-позичальників переглянути раніше укладені кредитні угоди, які виявилися неспроможними в результаті кардинальної зміни об’єктивних зовнішніх умов. На початок 80-х років багато країн із числа тих, що розвиваються, відчували труднощі при виконанні своїх зобов’язань. Справжня боргова криза вибухнула в 1982 р., коли Мексика заявила, що не в змозі більше обслуговувати свій зовнішній борг.

Умовно останні 25 років кредитна історія світу - це історія періодичних загострень проблеми міжнародної зовнішньої заборгованості та криз. Крайнім проявом фінансової кризи є неплатоспроможність держави за іноземними позиками (під час світової економічної кризи 1929-1933 рр. припинили платежі за зовнішніми позиками Великобританія, Франція, Німеччина, Італія, у результаті чого в 1931 р. США на рік відстрочили всі платежі за зовнішніми боргами). Отже боргова криза - це наслідки проблем короткострокової ліквідності та свідчення необхідності подовження (пролонгації) строків погашення. Результатом пошуку виходу з кризи незмінно був перегляд боргу суверенних країн. Отже, всю історію світового боргу можна умовно розділити на певні цикли його розвитку.

Виділяють три таких стадії розвитку. Перша охоплює період протягом 1980-1985 рр. Саме в цей час почали змінюватися обсяг і структура заборгованості країн, що розвиваються. Великі країни із середнім доходом більшою частиною мали заборгованість перед основними комерційними банками. Причому сума заборгованості часто перевищувала капітальну базу багатьох з цих приватних закладів. Решта заборгованості припадала на офіційних кредиторів.

Фінансове співтовариство на цій стадії ще було впевнене, що боргова криза є наслідком проблем короткострокової ліквідності, а звідси - подовження строків погашення. У центрі уваги були країни із середнім доходом, такі як Бразилія та Мексика.

Перший етап міжнародного процесу перегляду умов погашення боргу характеризується як «Банкірська криза». Мета перегляду полягала у скороченні поточних зобов’язань боржника з обслуговування боргу шляхом перенесення строків погашення основної суми боргу. Така стратегія оберталася для боржника нарощуванням його загальних боргових зобов’язань і значним зростанням майбутніх зобов’язань з обслуговування боргу.

Друга стадія охоплює період з 1985 до 1989 рр. У середині 1980-х років сукупний баланс комерційних банків поліпшився, але стало очевидним, що багато проблем позичальників мають структурний характер. Соціальні і політичні фактори нівелювали або затримували здійснення внутрішніх реформ, що погіршувало платіжний баланс. І хоча банки-кредитори переглянули умови реструктуризації боргу з метою подовження періодів погашення заборгованості, капіталізації процента офіційними кредиторами, вони не передбачали скорочення заборгованості або обсягів обслуговування заборгованості.

Відповідно до плану Бейкера, здійснення якого розпочалося в цей період, для підтримання рівнів інвестування були виділені нові грошові кошти. Це дало змогу основним країнам-боржникам перекривати свій борг (було навіть розроблене і використовувалося в угодах так зване «меню можливостей»). У цей час проблема заборгованості бідних країн, що розвиваються, виокремилася від проблеми заборгованості великих країн із середнім доходом. Перші відчули на собі надто великий тягар заборгованості відносно потенціалу їх економіки. До того ж ці країни залежали від експортних надходжень від одного-двох товарів широкого вжитку. Тому скорочення обсягів торгівлі цими товарами дуже негативно відбилося на можливості цих країн обслуговувати свої борги.

Стратегія, запропонована міністром фінансів США Джеймсом Бейкером, враховувала політичні реалії країн-боржників та довгостроковий характер кризи заборгованості. Він запропонував простимулювати боржників продовжити виконання поточних зобов’язань з обслуговування боргу, пообіцявши найбільшим з них надати нові кредити у разі виконання ними умов своїх угод з міжнародними фінансовими закладами. Боржники мали змогу використати кредити на структурну перебудову та стимулювання економічного зростання. Додаткові кошти мали надати комерційні банки та багатосторонні банки розвитку.

Основна мета плану - надати країні-боржнику якомога більше часу для усунення причин її фінансових проблем. План Бейкера приніс лише часткові плоди, оскільки він не передбачав жодного механізму, який би міг змусити внести додаткові кошти.

Характерними рисами останнього періоду здійснення плану Бейкера були експерименти із застосуванням методів скорочення і полегшення боргового тягаря. Ці експерименти призвели до того, що учасники переговорного процесу надали кредиторам «меню варіантів», яке дозволяло кожному кредитору обирати форму полегшення боргового тягаря позичальника.

Третя стадія розпочалася в 1989 р. і триває до нині. Вона характеризується як стадія «кризи боржника». Офіційний початок цього етапу було покладено виступом Ніколаса Брейді, що був на той час міністром фінансів США. У своєму виступі він закликав до проведення нової стратегії погашення боргу на основі принципу скорочення заборгованості. Ця стратегія застосовувалася стосовно тих країн, які проводили політику економічної стабілізації, ухвалену міжнародними фінансовими установами. У плані містився також заклик до пом’якшення умов угод про перегляд боргу, з тим щоб і кредитори, і боржники отримали більшу свободу під час розроблення таких угод. Головне значення цього виступу полягало в тому, що в ньому вперше пролунало офіційне визнання з боку США того, що борг не буде повністю сплачено і банки зазнають втрат.

Згідно з планом Брейді боржники мали взяти до уваги політику залучення як прямих, так і непрямих інвестицій і те, що свопи борг/акції можуть бути корисним компонентом цієї стратегії. Деякі латиноамериканські країни скористалися іншими механізмами переведення боргу, такими як викуп заборгованості чи її погашення поставками товарів.

Економічний саміт 1988 р. в Торонто закликав Паризький клуб з метою полегшення тягаря заборгованості найменш розвинутих країн прийняти комплекс нових заходів. Увійшовши в історію як «Торонтські умови», вони передбачають скорочення боргу чи його обслуговування, чи подовження строків погашення офіційної двосторонньої заборгованості. Наступний саміт у Хью-стоні в 1990 р. закликав Паризький клуб перевірити хід виконання Торонтських умов і розглянути питання про надання допомоги країнам із доходом нижче від середнього. При цьому, оскільки в абсолютному виразі комерційний борг найбідніших країн є невеликим, то при розгляді майбутніх заходів з надання допомоги цим країнам особливу увагу необхідно приділити безоплатному і понадконцесійному фінансуванню, а також більшому скороченню заборгованості.

Останній етап отримав новий виток восени 1997 р. у зв’язку з фінансовою кризою в південноазіатському регіоні, яка потім охопила решту регіонів світу.

За останні 20 років країни «Півдня» виплатили «Півночі» за борговими зобов’язаннями 3 трлн 450 млрд дол. США, - це в 6 разів більше початкових боргів. Ще треба виплатити 2 трлн дол. Бразилія в середньому за останні п’ять років платила за зовнішнім боргом 42 млрд дол. (6 % ВВП), Туреччина 14 млрд. дол. (7,5 % ВВП), Тайланд - 12 млрд. дол. (8,5 % ВВП), Аргентина - 25 млрд. дол. (9 % ВВП), Індонезія - 27 млрд. дол. (18,6 % ВВП), Угорщина - 10 млрд дол. (20 % ВВП)

Однією з головних причин періодичної повторюваності міжнародної кризи заборгованості є наявність сильної мотивації щодо відмови від платежів за боргом суверенними боржниками. Якщо уряди-боржники приходять до висновку, що виконання всіх платіжних зобов'язань не забезпечує більше чистого припливу коштів у майбутньому, з'являється стимул відмовитись від частини або від усіх платежів за боргом, аби тільки уникнути відпливу ресурсів з країн.

Найбільші боржники держави світу показані в табл. 1.

міжнародний міграція робочий заборгованість

Таблиця 1. Зовнішній борг деяких країн світу, млрд. дол. (станом на 30.06 2011 р.)

Країна

Обсяг боргу($)

Країна

Обсяг боргу($)

Країна

Обсяг боргу($ )

1

Європейський Союз

Канада

1181

Польща

365,400

2

США

14710

Швеція

1016

Індія

316,900

3

Сполучене Королівство

9836

Гонконг

903,200

Туреччина

309,600

4

Франція

5633

Австрія

883,500

Мексика

279,800

5

Німеччина

5624

Норвегія

644,500

Угорщина

232,500

6

Японії

2719

Данія

626,900

Індонезія

223

7

Італія

2684

Греція

583,300

ОАЕ

151,800

8

Іспанія

2570

Португаліяя

548,300

Румунія

143,500

9

Ірландія

2357

Росія

538,600

Аргентина

132,500

10

Люксембург

2146

Китай

529,200

Ісландія

124,500

11

Бельгія

1399

518

Казахстан

124,100

12

Швейцарія

1346

Південна Корея

398

Україна

123,400

13

Австралія

1302

Бразилія

396,200

Ізраїль

112,400


Організацією, що займається питаннями кредитних відносин між урядами, тобто питаннями офіційної заборгованості, є «Паризький клуб», у який країна-боржник подає свою справу на розгляд представників 17 урядів країн-членів ОЕСР перш, ніж будуть розроблятися двосторонні угоди з кожним окремим боржником. Зміна термінів погашення кредитів, наданих комерційними банками, відбувається в рамках «Лондонського клуба».

Таким чином, міжнародна заборгованість є гострою проблемою світової економіки. Економічне становище країни внаслідок глобалізації фінансових ринків дедалі більше залежить від зовнішніх джерел, необхідних для покриття дефіциту державного бюджету, внутрішнього інвестування, соціально-економічних реформ.

Державний борг є органічною складовою фінансових систем переважної більшості країн світу, дієвим інститутом у механізмі макроекономічного регулювання та інструментом реалізації економічної стратегії держави. В Україні за роки її незалежності формування боргу відбувалося значною мірою під впливом потреб оперативного фінансування поточних бюджетних видатків, що зумовило його структуру та обсяги. Таке фінансування відбувалося, як правило за допомогою зовнішніх позик. Такі тенденції спостерігаються і на сьогодні.

У сучасних умовах глобалізації та бурхливого розвитку соціально-економічних явищ спостерігається значна інтеграція економіки України. Ці процеси безумовно спричинюють поширення кредитних відносин, наслідком яких є існування зовнішнього державного боргу.

В Україні можна виділити такі причини активних змін у динаміці державного боргу:

випуск облігацій внутрішньої державної позики для збільшення статутних капіталів банків та для поповнення Стабілізаційного фонду;

отримання траншів позики МВФ;

зміна валютного співвідношення динаміки зовнішнього боргу;

збільшення витрат споживчого характеру та ін.

Отримання позитивних ефектів залежить від:

співвідношення між імпортом і експортом капіталу;

форм залучення іноземного капіталу;

напрямів використання запозичених коштів;

збалансованості потоків капіталу з основними складовими економічного механізму та фінансово-кредитної системи держави.

Отже, нарощування валового зовнішнього боргу супроводжується значними фінансовими ризиками. Так, зовнішня заборгованість приватного сектору економіки, зокрема комерційних банків, стала каталізатором фінансово-економічної кризи, яка охопила Україну восени 2008 року. Сподіваючись на постійне рефінансування залучених кредитів, корпорації і банки нагромадили величезну суму зовнішніх боргів. Після припинення зарубіжного рефінансування, вони опинилися в складній ситуації при необхідності погашення всієї суми боргу одночасно. Оскільки зовнішні кредити практично повністю деноміновані в іноземних валютах, здебільшого в доларах США, необхідність погашати зовнішні кредити призвела до різкого підвищення попиту на іноземну валюту, обвалу курсу гривні та остаточної розбалансованості фінансових ринків.

Державний борг України сформувався протягом короткого проміжку часу. Останнім часом запозичення уряду керувалося, насамперед, необхідністю погашення та обслуговування накопиченого боргу.

За даними Міністерство фінансів, показник відношення державного боргу до ВВП України є відносно невисоким порівняно з іншими країнами світу, включаючи розвинені, не дивлячись на те, що можливості України по управлінню державним боргом істотно обмежені. Цей показник відповідає рівню середини 2002 року. Окрім того, показник співвідношення державного боргу до доходів загального фонду державного бюджету знаходиться на безпечному рівні. Так, відповідно до даних Міністерства фінансів, вказаний показник на кінець 2009 року склав 122,9% в порівнянні з 70,3% у відповідному періоді попереднього року і 56,5% - на кінець 2007 року, що значно нижче за критичний рівень у 300% і максимального рівня в історії України в 314,7% на кінець 1999 року.

У Міністерстві фінансів констатували, що аналогічний показник для гарантованого боргу в 2009 році виріс з 31,6% до 52,2%.

Основний приріст державного боргу в 2009 році відбувся за рахунок отримання трьох траншів кредиту МВФ на загальну суму 10,6 млрд. доларів, а також через активні запозичення уряду на внутрішньому ринку. За минулий рік обсяг ОВДП в обігу виріс на 42 млрд. грн (5,2 млрд. дол.) - до 71 млрд. грн. (8,87 млрд. дол.). Варто зазначити, що частина залучених коштів - 39,6 млрд. грн (4,5 млрд. дол.) - пішла на погашення старих боргів.

Внаслідок політики колишнього уряду, який для того, щоб розрахуватися за боргами, восени 2009 року розмістив на ринку ОВДП на суму більш ніж 6 млрд. грн. При цьому значна частина паперів мала термін обігу близько 180 днів. Через це на ІІ квартал 2010 року припадає пікова боргове навантаження - 8,1 млрд. грн.., близько 4 млрд. з яких має бути погашено в квітні. Всього ж за 2010 рік Міністерству фінансів довелося погасити ОВДП на суму понад 11,5 млрд. грн..

«Протягом 2010 року погашення суверенних єврооблігацій не передбачається, за винятком грудневої виплати приблизно на 600 млн. доларів. З урахуванням інших платежів загальні виплати за зовнішнім боргом у 2010 році не перевищать 1,5 млрд. доларів», - говорять аналітики компанії Ренесанс Капітал.

У 2011 році уряду довелося виділити на ці потреби близько 2 млрд. доларів. А от наступні три роки стануть для України дуже напруженими - з 2012 по 2014 рік Міністерству фінансів доведеться заплатити за зовнішніми боргами - 15,7 млрд. доларів.

Пік платежів припадає на 2013 рік - 7,6 млрд. доларів. Збільшення платежів викликано тим, що з 2012 року Україна повинна розпочати активні виплати по кредиту МВФ: за три роки потрібно повернути МВФ понад 11,6 млрд. Для того, щоб виплатити таку суму, не вдаючись до нових запозичень, українському керівництву необхідно буде серйозно скоротити витрати і протягом декількох років приймати профіцитний або хоча б бездефіцитний бюджет.

Проте, на думку експертів, така перспектива є малоймовірною. Якщо Україна продемонструє, що дотримується умов, прописаних у меморандумі з МВФ, і проводить реформи, то можливість реструктуризації та пролонгації цих кредитів досить висока.

В умовах зростання боргового навантаження Україна повинна запроваджувати нові механізми активного управління державним боргом, зокрема:

обмін боргових зобов'язань держави на акції підприємств, які перебувають у державній власності;

використання запозичених коштів для фінансування збільшення виробничих потужностей;

збільшення власних доходів держави;

збільшення норми інвестування;

реструктуризація зовнішньої заборгованості та ін..

Останнім часом запозичення уряду диктувались, насамперед, необхідністю погашення та обслуговування накопиченого боргу. Можливості залучення коштів з внутрішнього грошового ринку майже вичерпані. Незважаючи на відносно низьку ефективність внутрішньої державної позики в Україні, державні облігації є необхідним фінансовим інструментом, який при належному використанні може бути важливим джерелом фінансування державних витрат.

Однозначного способу розв’язання проблеми заборгованості немає. Будь-яка програма реструктуризації потребує проведення відповідних розрахунків стосовно кожного випадку. При цьому аналіз можливих варіантів має враховувати не лише економічні, а й політичні наслідки певних дій щодо боргу.

Управління державною заборгованістю є одним із ключових факторів забезпечення макроекономічної стабільності в державі. Від характеру врегулювання боргової проблеми залежить бюджетна дієздатність країни, стан її валютних резервів, а відповідно i стабільність національної валюти, рівень відсоткових ставок, інвестиційний клімат, характер поведінки всіх сегментів фінансового ринку. Тому управління державним боргом має бути зорієнтоване на застосування ефективної боргової стратегії, а не базуватися на короткострокових ситуативних орієнтирах. Лише ефективний менеджмент державного боргу є запорукою зростання економіки, інвестиційної привабливості, фінансової стабільності, підвищення кредитного рейтингу держави.

. Тестове завдання

Римський договір, підписаний у 1957 році, - це договір:

У 1957 році, 2 акти, покликаних зіграти найважливішу роль у розвитку процесів інтеграції, були готові до підписання. В 1957 році в Римі відбулася врочиста процедура підписання:

) Договору про створення Європейського економічного співтовариства (ЄЕС, або договору про спільний ринок);

) Договору про створення Європейського співтовариства по атомній енергії (Євратом).

Договори набули чинності з 1 січня 1958 року.

. Тестове завдання

Відношення офіційних золотовалютних резервів до суми річного товарного імпорту - це показник:

Традиційно в якості показників міжнародної валютної ліквідності, використовується співвідношення офіційних золотовалютних резервів, до суми річного товарного імпорту.

МВЛ визначається відношенням золотовалютних резервів центральних банків країн світового співтовариства (BP) до загальної суми річного імпорту товарів та послуг (IP):

МВЛ=ВР:ІР*100%

Список використаної літератури

1. Вахненко Т. Концептуальні засади управління зовнішнім національним боргом країни / Т. Вахненко // Економіка України - 2007 - №1 - с.14-24.

. Вахненко Т. Фінансова криза в Україні: фактори, механізми дії, заходи подолання / Т. Вахненко // Фінанси України - 2008 - №10 - с.3-18.

. Всемирный банк. Годовой отчет. 1994 г. - Вашингтон, округ Колумбия, 1995. - 219 с.

. Дэниеле Джон Д., Радеба Ли X. Международный бизнес: внешняя среда и деловые операции: Пер. с англ. - 6-е изд. - М.: Дело Лтд, 1994. - 784 с.

. Державні  фінанси: Теорія і практика перехідного періоду в Центральній Європі: Пер. з англ. - К.: Основи, 1998. - 542 с.

. Климко Г.Н., Блешмудт ПЛ. Співробітництво України з міжнародними фінансовими організаціями Фінанси України. - 2000. - № 11. - С 39-48

. Линдерт П. Экономика микрохозяйственных связей: Пер. с англ./Общ. ред. и предисл. О.В. Ивановой. - М.: Прогресс, 1992. - 520 с.

. Кириченко А. А. Сучасні теорії управління зовнішньою заборгованістю / А. А. Кириченко, В. Д. Кудрицький // Актуальні проблеми економіки. - 2009. №7 - с. 15-27.

Похожие работы на - Фінансова криза. Міграція населення

 

Не нашли материал для своей работы?
Поможем написать уникальную работу
Без плагиата!
Без нейросетей!