Выявление наличия сезонной неравномерности

  • Вид работы:
    Практическое задание
  • Предмет:
    Эктеория
  • Язык:
    Русский
    ,
    Формат файла:
    MS Word
    112,68 Кб
  • Опубликовано:
    2014-04-19
Вы можете узнать стоимость помощи в написании студенческой работы.
Помощь в написании работы, которую точно примут!

Выявление наличия сезонной неравномерности

Федеральное государственное автономное образовательное учреждение высшего профессионального образования

«СИБИРСКИЙ ФЕДЕРАЛЬНЫЙ УНИВЕРСИТЕТ»

Институт экономики управления и природопользования

Кафедра статистики

ОТЧЕТ ПО ЛАБОРАТОРНОЙ РАБОТЕ

по статистике

Сезонность

Преподаватель Т. А. Цыркунова

Студент А.А. Аргаткин





Красноярск 2014

Задание 1

По найденным данным статистических наблюдений сезонного явления:

.        Выявить наличие сезонной неравномерности;

.        Определить величину сезонной волны, используя индексы сезонности.

Решение:

Для формирования динамического ряда использовались данные по количеству заключенных браков на протяжении 2011-2013 гг. в г. Москва.

Таблица 1- Исходные данные

Месяц

Количество зарегистрированных браков, ед.


2011

2012

2013

Январь

4440

4062

4123

Февраль

5103

5435

5007

Март

5207

4371

7165

Апрель

7029

7453

5489

Май

4695

4250

4650

Июнь

10951

11096

11998

Июль

11836

10694

11287

Август

11598

12732

13915

Сентябрь

12477

11479

11398

Октябрь

8761

7407

7836

Ноябрь

8005

6178

7260

Декабрь

7798

7098

6462

Из рисунка 1 следует, что максимальное количество заключенных браков приходится на август, а минимальное - на январь.

Поскольку количество заключений браков от года к году существенно не меняется, индекс сезонности определяется по формуле



Расчет индексов сезонности осуществляется так:

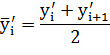
.        Определяются средние показатели для каждого месяца:

 и т. д.




Рисунок 1 - Количество заключенных браков по месяцам

Таблица 2 - Итоговая таблица

Месяц

Количество зарегистрированных браков, ед.

Индексы сезонности , i0


2011

2012

2013

  2011-2013,


Январь

4440

4062

4123

4208

52,83%

Февраль

5103

5435

5007

5182

65,05%

Март

5207

4371

7165

5581

70,07%

Апрель

7029

7453

5489

6657

83,58%

Май

4695

4250

4650

4532

56,89%

Июнь

10951

11096

11998

11348

142,48%

Июль

11836

10694

11287

11272

141,52%

Август

11598

12732

13915

12748

160,05%

Сентябрь

12477

11479

11398

11785

147,95%

8761

7407

7836

8001

100,45%

Ноябрь

8005

6178

7260

7148

89,74%

Декабрь

7798

7098

6462

7119

89,38%

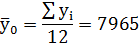
2.       Определяется общая средняя за весь период:


.        Исчисляются индексы сезонности:

Для января -

Для февраля -  и т. д.

Все результаты расчетов представлены в итоговой таблице.

Индексы сезонности показывают, что среднемесячное количество заключенных браков в январе меньше среднемесячного за весь период (три года) на 47,17% (52,83 - 100), а в августе превышают его на 60,05% (160,05 - 100).

Задание 2

По найденным данным статистических наблюдений сезонного явления с тенденцией к развитию:

1.       Выявить наличие сезонной неравномерности;

2.       Определить величину сезонной волны, используя индексы сезонности.

Решение:

Для формирования динамического ряда использовались данные об изменении средних потребительских цен на товары, реализуемые на розничных рынках, взятых в % к декабрю предыдущего года. Они приведены в таблице 3. Источник данных - Единая межведомственная информационно-статистическая система Госстата.

Таблица 3 - исходные данные

Месяц

Изменение средних потребительских цен на товары, реализуемые на розничных рынках, в % к декабрю предыдущего года


2008

2010

2012

Январь

101,78

101,54

100,6

Февраль

103,08

102,57

101,29

Март

104,39

103,28

101,88

Апрель

106,01

103,6

102,18

Май

107,55

104,06

102,52

Июнь

107,9

104,21

103,25

Июль

107,79

104,5

103,66

Август

107,85

105,27

103,67

Сентябрь

109,77

104,14

Октябрь

112,1

108,3

104,85

Ноябрь

113,85

109,77

105,46

Декабрь

115,19

111,59

106,21


Для выявления наличия сезонной неравномерности используется графический метод (рис. 2).

Рисунок 2- сезонная неравномерность изучаемого явления

Анализ исходной информации позволяет сделать вывод о наличии сезонной неравномерности при снижении процента изменения цен на товары. Чтобы показать тенденцию к развитию, используется графический метод (рис. 3).

Рисунок 3- Тенденция к снижению показателя в течение 2008-2012 гг.

сезонный неравномерность потребительский рынок

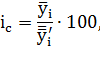
Так как уровни явления имеют тенденцию к развитию, то индексы сезонности исчисляются по формуле


где  - среднее процент изменения цены на товары для одноименных месяцев;  - среднее число из сглаженных (выровненных) уровней одноименных месяцев.

Результаты расчета индексов сезонности представлены в таблице 4.

Таблица 4 - расчет индексов сезонности

Месяц

Среднее изменение цен на товары,

Скользящая 12 месячная средняя, центрированная на 7-м месяце

Индексы сезонности,



2004

2005

2006

2004-2006


Январь

101,31


107,01

104,82

105,91

95,65%

Февраль

102,31


106,77

104,71

105,74

96,76%

Март

103,18


106,55

104,53

105,54

97,77%

Апрель

103,93


106,28

104,26

105,27

98,73%

Май

104,71


105,95

103,94

104,94

99,78%

Июнь

105,12


105,63

103,53

104,58

100,52%

Июль

108,10

105,44


106,77

98,64%

Август

105,60

108,06

105,35


106,71

98,96%

Сентябрь

106,99

108,00

105,24


106,62

100,35%

Октябрь

108,42

107,85

105,12


106,48

101,82%

Ноябрь

109,69

107,60

104,99


106,30

103,19%

Декабрь

111,00

107,30

104,89


106,10

104,62%


Расчет индексов сезонности проводится в следующей последовательности. Определяются средние из фактических уровней одноименных месяцев. Например,

для января - =101,31

для февраля - 102,31

.        Для выявления общей тенденции ряда производится сглаживание с помощью 12-месячной скользящей средней


Всего таких средних будет 25.

.        Для нахождения серединного периода, к которому может быть отнесена скользящая средняя, выполняется центрирование, т. е. определение средней из найденных скользящих средних ():


Расчет этапов 2-3 приведен в таблице 5.

Таблица 5 - расчет  и

i

1

2

3

4

5

6

7

8

9

10

11

12

108,1

108,9

108,0

107,9

107,7

107,4

107,1

106,8

106,66

106,44

106,12

105,78

108,1

108,0

108,0

107,5

107,6

107,3

107,0

106,7

106,55

106,28

105,95

105,63

i

13

14

15

16

17

18

19

20

21

22

23

24

105,4

105,4

105,9

105,1

105,0

104,9

104,8

104,7

104,65

104,40

104,12

103,76

105,4

105,3

105,2

105,1

104,9

104,8

104,8

104,7

104,53

104,26

103,94

103,53


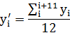
.        Определяются средние из сглаженных (центрированных) скользящих для одноименных месяцев ( ).

.        Исчисляются индексы сезонности для каждого месяца, %:

Январь - ;

Февраль - -  и т. д.


Не нашли материал для своей работы?
Поможем написать уникальную работу
Без плагиата!
Без нейросетей!