Установившееся движение несжимаемой жидкости в недеформируемой пористой среде
МИНИСТЕРСТВО ОБЩЕГО И
ПРОФЕССИОНАЛЬНОГО
ОБРАЗОВАНИЯ РОССИЙСКОЙ ФЕДЕРАЦИИ
ТЮМЕНСКИЙ ГОСУДАРСТВЕННЫЙ
НЕФТЕГАЗОВЫЙ
УНИВЕРСИТЕТ
Институт нефти и газа
КУРСОВАЯ РАБОТА
по курсу: Подземная гидродинамика
на тему: УСТАНОВИВШЕЕСЯ ДВИЖЕНИЕ
НЕСЖИМАЕМОЙ ЖИДКОСТИ В НЕДЕФОРМИРУЕМОЙ ПОРИСТОЙ СРЕДЕ
Тюмень 2010г.
Введение
Движение называется плоским, когда элементы движения. скорость и
давление, зависят только от одной координаты на плоскости и к любой плоскости,
параллельно данной, картина скоростей и давлений будет одинакова. Примерами
плоского движения жидкости являются приток к совершенной скважине и приток к
галерее.
Движение называется пространственным, когда элементы движения зависят от
трех координат: r, z и а - полярного угла. Примером пространственного движения
может служить приток к несовершенной скважине. Установившийся фильтрационный
поток считается одномерным, если давление (потенциал) является функцией только
одной координаты. Существуют три вида одномерного потока: 1)
прямолинейно-параллельное движение (приток к галерее в полосообразном пласте,
рис. 1); 2) плоско-радиальное движение (приток к совершенной скважине,
расположенной в центре цилиндрического пласта, рис.2); сферически-радиальный
поток (приток к скважине, вскрывшей пласт в кровле пласта большой толщины,
рис.6).
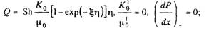
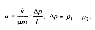
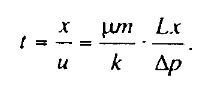
1. Напорный приток к дренажной галерее. Время движении частиц
Рис.1. Схема притока к дренажной галерее
Принимается: движение жидкости прямолинейное, жидкость несжимаемая,
фильтрация установившаяся. Р1 и Р2 - давления в сечениях I и II, причем P1 >
Р2, h - толщина пласта; В- ширина галереи (см. рис.1).
В соответствии с законом Дарси расход жидкости (нефти) через галерею
запишется формулой
(1)
Если
есть скорость фильтрации, то истинная (действительная)
скорость движения и определится формулой
(2)
Время продвижения частицы жидкости на участке х, очевидно, запишется
формулой
(3)
Время движения частицы от сечения 1 до сечения 2 определится при х = L,
(4)
т. с.
Поверхностью депрессии в этом случае является наклонная плоскость АВ (см.
рис.1).
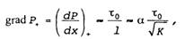
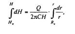
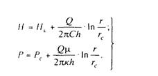
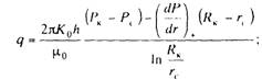
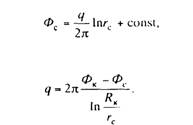
. Плоскорадиальное движение. Приток к совершенной скважине, расположенной
в центре кругового пласта
Примем следующие обозначения (см. рис.2.):
Рис.2. Схема плоскорадиального притока жидкости в пласте
(приток к совершенной скважине)
Нк - постоянный напор на круговом контуре питания;
Нс - напор на забое скважины;
Н - напор в любой точке пласта на расстоянии r oт скважины;
Ркэ, Рсэ, Р- приведенные давления на контуре питания, на забое и па
расстоянии r соответственно.
Если фильтрация происходит через всю цилиндрическую поверхность
, то скважина называется
гидродинамически совершенной по вскрытию. Наша задача определить расход
жидкости, закон распределения давления, форму депрессионной поверхности, время
движения частицы и форму индикаторной кривой.
Вырежем мысленно элементарную радиальную струйку (см. рис. 2). Замечаем,
что s = RK -r, a ds = -dr. С учетом этого закона Дарси в дифференциальной форме
запишется как:
(5)
(6)
Разделяя переменные и интегрируя в соответствующих пределах, получаем
(7)
откуда имеем:
(8)
Получили уравнения логарифмических кривых. Таким образом,
пьезометрическая поверхность АВСД представляет собой поверхность вращения
логарифмической кривой относительно оси скважины (см. рис. 2).
Интегрируя уравнение (7) в пределах от Нс до Н и от rс до r, получим
другое выражение для распределения давления (напора):
(9)
При r = rс имеем H=Hc P=Pc. Тогда из (8) следует
(10)
Получили формулы Дюпюи для расхода. Подставляя (10) в (8), находим:
Таким образом, пьезометрическая поверхность или «воронка депрессии» (см.
рис. 2.2) может быть построена по формулам (2.8), (2.9) и (2.11). Заметим, если
пьезометрическая поверхность жидкости в пласте выше, чем поверхность земли, то
скважина будет фонтанировать. При отсутствии отбора пьезометрическая
поверхность занимает положение АД (см. рис. 2.2) и во всех точках пласта
давление при этом одинаково. В случае отбора статический уровень в скважине
понижается на величину а (см. рис. 2.2) и устанавливается так называемый
динамический уровень.
Формулу (2.10) можно записать в виде
Где
(10) (12)
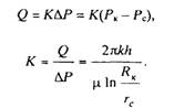
Здесь К принято называть коэффициентом продуктивности скважины.
Размерность:
При
Па имеем К = Q, т. е. коэффициент продуктивности выражает
дебит на 1Па перепада давления.
Согласно (10) зависимость между
является линейной и графически
выражается прямой (рис.3). В практике эта зависимое п. называется индикаторном
диаграммой и снимается она при исследовании скважин методом пробных откачек, т.
е. при установившихся отборах. Индикаторная диаграмма характеризует
продуктивность скважины, режим фильтрации и помогает устанавливать режим работы
скважины.
Рис. 3. Индикаторная кривая «дебит - депрессия» при фильтрации
несжимаемой жидкости по линейному закону Дарси
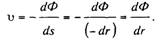
. Время движения частицы жидкости, движущейся по радиусу от контура
питания к скважине
Истинная скорость движения в точке N (см. рис. 2) будет равна
(13)
Здесь принят знак (-), т. к. функция dr убывающая. Разделив переменные и
проинтегрировав (13), получаем
(14)
При t = 0 имеем
(15)
Тогда
(16)
Получили формулу закона движения частицы. При r=rс получим время
прохождения частицы от точки N до забоя скважины.
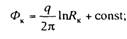
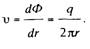
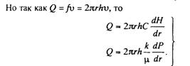
. Стоки и источники на плоскости
Вводя удельный расход
и учитывая, что ds = - dr, получаем
следующее выражение для скорости фильтрации
(17)
Получили очень важную формулу потенциала точечного стока на плоскости.
Как видим, потенциал в окрестности скважины пропорционален логарифму расстояния
г от скважины. Точечным стоком называют скважину бесконечно малого радиуса,
хотя в природе такой скважины ие существует. В гидродинамике эксплуатационную
скважину принимают за точечный сток (q > 0), а нагнетательную - за точечный
источник (q < 0) и называю их соответственно скважина-сток и скважина-источник.
Исследуем (17) и (18). При r = 0 значения
и V обращаются в
значение
Таким образом, формулы (17) и (18)
имеют физический смысл всюду, кроме
Итак, плоские задачи фильтрации эффективно могут быть решены с помощью
потенциала. Пусть на плоскости известны потенциалы Фк и Фс на двух концентрично
расположенных окружностях с радиусами
(рис. 4).
Рис. 4. Схемы притока к стоку (источнику) на плоскости
дренажный скважина жидкость источник
Согласно (18) имеем:
откуда следует:
(19)
Переходя от потенциала к давлению в (19), получим формулу Дюпюи (10).
. Стоки и источники в пространстве
Рассмотрим задачу о потенциале точечного стока в пространстве. В этом
случае приток будет радиально-сферический (рис. 5). По закону Дарси имеем
Рис. 5. Схема радиально-сферического притока
С другой стороны, можно записать
где,
-площадь фильтрации сферы.
Приравнивая указанные выражения и интегрируя, получаем
(20)
Получили формулу потенциала точечного стока в пространстве. При
получаем
Покажем использование формулы (20) Пусть
потенциалы на сферах, описанных
радиусами
Согласно (20) имеем:
(21)
Рис. 6. Схема радиально-сферического притока в полупространстве (скважииа
вскрыла лишь кровлю пласта)
По правилу производных пропорций из (21) имеем
(22)
При
const в (20) становится потенциалом
на бесконечности. Обычно
, следовательно,
Тогда
(23)
Таким образом, для точечного стока в пространстве радиус контура питания
Як практически на дебит не влияет. В случае плоскорадиального притока (формула
Дюпюи) ошибка в выборе
в 2-3 раза к большим погрешностям в дебите не приведет. Для
полупространства (рис. 2.6), например, пласт большой толщины, где вскрыта
только кровля пласта, формула (2.22), очевидно, запишется в виде
(24)
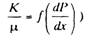
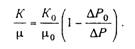
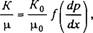
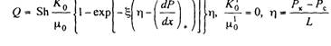
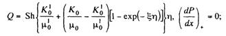
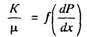
. Фильтрация неньютоновских жидкостей
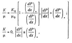
Зависимостью коофициента подвижности от градиента давления. Установлено,
что нефти многих месторождений обладают структурно-механическими свойствами, т.
е. являются неньютоновскими. Кроме того, исследования [9-11 и др.] показали,
что процесс фильтрации воды в пористой среде с низкими значениями пористости и
проницаемости, особенно с глинистым цементом, также подчиняется закономерностям
фильтрации неньютоновских жидкостей.
Известно, что чем меньше размер поровых каналов, тем больше взаимодействие
жидкости с пористой средой. Опыты показывают наличие двух критических или
предельных (начальных) градиентов давления: первый
соответствует градиенту давления,
при котором начинается движение нефти по самым большим поровым каналам и
трещинам; при втором предельном градиенте
фильтрацией охватываются все
основные поры пласта. Значения второго градиента давления колеблются в пределах
от 0 до 0,01 МПа/м [11].
Чтобы происходил процесс фильтрации по единичным поровым каналам,
необходим некоторый минимальный перепад давления
, который зависит от напряжения
сдвига
длины пути l и диаметра поровых
каналов
Для капилляра цилиндрической формы установлена зависимость [11]
(25)
Величины l и r в пористых средах изменяются в широких пределах.
Фильтрация жидкости начинается в крупных порах, а затем, по мере увеличения
перепада давления, фильтрацией охватываются все более мелкие поры. Таким
образом, минимальный перепад или градиент давления сдвига, обеспечивающий
начало фильтрации, зависит как от свойств жидкости так и от свойств поровых
каналов. Если в отдельных прослоях залежи градиенты давления окажутся ниже
градиентов давления сдвига, то притока нефти из таких пластов не будет. Значит
нефть останется нeизвлеченной. Поэтому изучение процессов фильтрации
неньютоновских нефтей имеет весьма важное значение в нефтедобыче.
Зависимость проницаемости от градиента давления изучалась ММ. Кусаковым,
П.А. Ребиндером, К.Е. Зинчснко, Ф.А. Требиным и др. Было установлено, что
нефтепроницаемость песков существенным образом зависит от величины градиента
давления и особенно сильно зависит проницаемость для воды. При фильтрации
воздуха и газа проницаемость породы при изменении градиента давления
практически остается постоянной. Изучая экспериментальным путем зависимость
кажущейся (структурной) вязкости асфальтено-смолистых нефтей от градиента
давления, Я. Хорнсш [II] установил, что с увеличением последнего вязкость
уменьшается и стремится к постоянному ее значению. Когда из проб нефтей были
удалены асфальтены и смолистые соединения, значения вязкости в опытах оказались
постоянными. Отсюда вытекает важный вывод, что существенная зависимость
кажущейся вязкости нефти от градиента давления обусловлена в основном наличием
в нефти асфальтено-смолистых соединений. Исследования Я. Хорнеша показали также
практическое отсутствие начального градиента
t и постепенное увеличение
коэффициента подвижности нефти K/\i при увеличении градиента давления
свыше второго предельного градиента
давления
Последние исследования в области фильтрации неньютоновских жидкостей
позволяют утверждать, что нарушение линейного закона фильтрации, особенно при
малых градиентах давления (скоростях), объясняется как комплексным
взаимодействием свойств жидкостей (особенно асфальте- но-смолистых), так и
размерами и свойствами поровых каналов, т. е. правомернее связывать отклонение
от линейного закона фильтрации с коэффициентом подвижности как функции
градиента давления
(26)
где
-предельное значение коэффициента подвижности (при больших
градиентах давления).
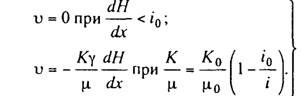
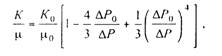
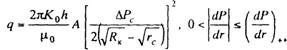
Некоторые модели фильтрации неньютоновских жидкостей. Рассмотрим три
модели фильтрации неньютоновских жидкостей, созданные на основе результатов
обработки экспериментальных данных Для каждой модели предложены зависимости
коэффициентов подвижности от градиентов давления.
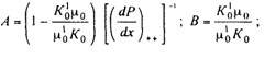
Модель 1. В.А. Флорин [11J предложил следующую схему фильтрации воды в
плотных глинах и тяжелых суглинках:
(27)
Здесь
-текущий и предельный (начальный градиенты напора; H - напор;
- коэффициенты проницаемости и вязкости при градиентах напора
больше начального.
Для фильтрации глинистого раствора в пористой среде А.Х. Мирзаджанзаде
предлагает [12] зависимость:
(28)
где
- перепад давления, затрачиваемый на преодоление напряжения
сдвига глинистого раствора.
Для вязко-пластичной жидкости П.И. Султанов предложил соотношение [13]
(29)
Таким образом, модель формируется соотношениями:
(30)
где
(31)
представляют текущий и начальный (предельный) градиенты давления.
Модель2. В работах [14-17] показано, что фильтрация происходит и при
очень малых градиентах давления, но значения коэффициентов подвижности при этом
крайне низки. По опытным данным для фильтрации ас- фальтено-смолистых нефтей в
разных пористых средах [14] получены графические зависимости (рис. 2.7, кривые
2, 3), которые аппроксимируются формулой (26), где
(32)
Эту зависимость можно распространить и на случай, когда имеется начальный
градиент давления
(см. рис. 7, кривая 4):
Здесь а - безразмерная константа среды и жидкости,- размерная константа
среды и жидкости с соответствующей размерностью.

а) б)
Рис. 7. Зависимости коэффициента подвижности
(модели 1, 2,3) от градиента
давления
и характерные области фильтрации (1,
II, III)
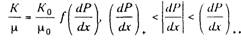
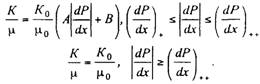
Для коэффициента подвижности
в зависимости от изменения давления
для кривой 4 на рис. 7 можно выделить три характерные зоны фильтрации. Первая
область l ограничивается первым предельным (начальным) градиентом давления)
соответствующим началу движения по самым большим порам. С
увеличением градиента давления
в процессе фильтрации вовлекаются более мелкие поры (область
II), а при градиентах давления больше значения второго предельного градиента
фильтрацией охватываются все
основные поры пласта (область 111). Таким образом имеем:
для области I
для области II
(35)
для области III
(36)
Модель 3. Зависимость коэффициента подвижности or градиента давления
может быть выражена через обобщенную функцию
(37)
Линеаризуя функцию (37), уравнение запишется в виде:
(38)(39)
Здесь
- коэффициент подвижности при первом предельном градиенте,
равном нулю (см. рис. 7а);
- константа среды и жидкости, имеющая размерность обратную
градиенту давления. Формула (39) представляет уравнение прямой (1) на рис. 7а.
Кривые (2), (3) и (4) описываются уравнением (37) при следующих коэффициентах А
и В:
кривая (2), при
(40)
кривая (3), при
кривая (4), при
(42)
. Плоско-параллельная установившаяся фильтрация однородной неньютоновской
жидкости в недеформируемом пласте. Постановка задачи: при наличии добывающей
галереи через нагнетательную галерею в пласт поступает неньютоновская жидкость,
для которой зависимость
характеризуется моделями 1, 2 и 3 (см. рис.7а).
Горбуновым А.Т. предложены [11] следующие формулы притока к добывающим
галереям для указанных моделей:
(43)
(44)
где
(45)площадь сечения полосообразного
продуктивного пласта;- толщина продуктивного пласта;
- депрессия на пласт;- длина продуктивного пласта.
. Осесимметричная установившаяся фильтрация неньютоновской жидкости в
недеформируемом пласте. Постановка задачи: круговой пласт вскрыт одной
совершенной скважиной радиусом
От контура питания радиусом
в пласт поступает неньютоновская
жидкость, для которой зависимость
подчиняется закономерностям одной из
трех указанных выше моделей.
Горбунов А.Т. в работе [II] приводит следующие формулы при г ока. для
модели 1
(46)
для модели 2 (после двух линеаризаций зависимости
(47)
где А определяется по формуле (40).
Обобщенная формула притока для моделей 2 и 3 (зоны II и III)
представляется в следующем виде:
(48)
- радиус зоны, где градиент давления равен
. Причины, вызывающие нарушение линейного закона фильтрации. Нарушения
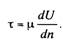
линейности закона фильтрации могут быть вызваны в основном тремя причинами.
Первая - это влияние инерционных сил, приводящее к квадратичному закону
сопротивления:
(49)
Где
. - коэффициент абсолютной вязкости жидкости или газа;
К- коэффициент проницаемости пласта;
р - плотность жидкости (газа);- характерный размер пористой среды,
определяемый из экспериментальных или промысловых данных;
- скорость фильтрации жидкости (газа).
Это явление достаточно хорошо изучено и установлено, что квадратичный
член в уравнении (49) имеет существенное влияние при больших скоростях
фильтрации, т. е. вблизи контура скважины в случае фильтрации жидкости. Для
притока гaзa влияние инерционных сил будет еще более значительнее из-за высоких
скоростей фильтрации, и область распространения нелинейности фильтрации будет
гораздо больше.
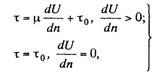
Вторая возможная причина нарушения линейности закона фильтрации состоит в
природе самой жидкости. Для модели вязкой жидкости Ньютона имеет место линейная
связь между касательным напряжением сдвига частиц жидкости
и градиентом скорости сдвига
,т.е.
Здесь
- мгновенные значения соответствующих величин. Если указанное
условие) не выполняется, то жидкость называется неньютоновской или
нелинейно-вязкой. Для последней хорошо известна реологическая модель
вязко-пластической жидкости (жидкости Бингама-Шведова), в которой мгновенные
значения
, связаны между собой однозначной
нелинейной зависимостью (рис. 8):
(50)
Рис. 8. Зависимость касательных напряжений
от градиента скорости
Жидкость называется псевдопластической, если для нее зависимость
изображается кривой, выпуклой
оси
Вязко-пластичекая среда представляет
собой частный случай псевдопластической.
Заметим, что неньютоновкие жидкости могут проявлять специфические
временные эффекты, которые связаны с изменением во времени характеристик
нелинейно-вязких жидкостей, зависящих от перестройки структуры жидкости во
времени.
Иной характер носят явления, связанные с наличием у жидкости наряду с
вязкими также и упругих свойств. В этом случае при стационарном движении
частицы жидкости ведут себя как чисто вязкие, а при нестационарных
быстропеременных процессах вязкоупругая жидкость ведет себя как упругое тело
[11].
Третья причина нелинейных эффектов обязана своим происхождением
взаимодействию жидкости с породой. В этом случае закон фильтрации качественно
остается таким же, как и для псевдопластичсской жидкости.
Величина предельного градиента давления определяется по экспериментальным
данным:
(51)
Где- характерный размер поровых каналов;
К- коэффициент проницаемости;
а - коэффициент, характеризующий жидкость и пористую среду, определяемый
из опытов. Для вязкопластичeских жидкостей в пористой среде а-0,017 [9-11].
Характерные зависимостидля вязкопластичсских жидкостей показаны на рис.
9.

а) для Арланской нефти б) для Ромашкинской нефти
Рис. 9. Зависимость скорости фильтрации от перепала давлении
Как мы уже отметили, часто первый начальный градиент отсутствует, и
движение происходит при сколь угодно малых градиентах давления, но с резко
повышенной вязкостью, т. е. с пониженной подвижностью (см. рис.9а). В этом случае
можно считать, что движение носит псевдопласти- чсским характер.
Заключение
Последние исследования показали, что первый начальный градиент давления
дли неныотоновских нефтей составляет порядка нескольких сотых атмосфер или
нескольких десятых мегапаскаль на метр. Гидродинамические расчеты показывают,
что этого достаточно, чтобы в ряде случаев существенно изменить характер
движения. В неоднородных пластах (слоистых) проявление неньютоновских свойств
оказывается более интенсивным. При вытеснении обычной ньютоновской нефти и газа
водой проявляются также нелинейные эффекты и для движения воды. Эти вопросы
подробно изложены в [11].
В настоящее время широко изучается процесс и особенности фильтрации
жидкости и газа через глинизированную пористую среду при различных соотношениях
пластового (внутрипорового) и горного давления (внешнего давления на скелет
породы). Экспериментальным путем [11] было установлено наличие начального
перепада давления, величина которого тем больше, чем больше горное давление
(давление обжима образца) и, следовательно, чем меньше проницаемость пористой
среды. Показатели фильтрации улучшаются с увеличением пластового давления при
постоянном горном давлении и ухудшаются с ростом последнего.
Литература
Телков А.П.,
Грачев С.И. и др. Особенности разработки нефтегазовых месторождений.- Тюмень,
ООО НИПИКБС-Т.-2000.
Казымов А.Ш.
О стягивании контура нефтеносности к скважинам круговой батареи.- НТС ВНИИ по
добыче нефти.- 1961
Пирвердян
A.M. Физика и гидравлика нефтяного пласта. - М.: Недра, 1982
Корн Г., Корн
Т. Справочник по математике. - М.: Недра, 1964. - 832 с. (пер. с англ.).
Telkov A. P.
Oiland Gas Field Development. Universities Press Rangoon, Burma, 1968
Чарный И. JI.
Подземная гидрогазодинамика. М.: Гостоптех- издат, 1963.
Пыхачев Г. Б.,
Исаев Р. Г. Подземная гидравлика. М.: «Недра», 1973.
Девликамов В.
В. Некоторые особенности фильтрации высокосмолистых нефтей. Докторская
диссертация. МИНХ и ГП, 1968
Мирзаджаизаде
А.Х. Вопросы гидродинамики вязко- пластичных и вязких жидкостей в нефтедобыче.
Азнефтнешр, Баку,
Зиновьева
JI.A., Арушанова И.И. Приближенная методика расчета процесса вытеснения
подгазовой нефти и газа к системе скважин. Сб. научн. трудов «Исследование в
области разработки нефтяных месторождений и физики пласта». - М.: ВНИИ. - Вып.
55, 1976.