Нелинейно-упругий режим фильтрации жидкости
Содержание
Введение
.
Основные уравнения нелинейно-упругого режима
.
Практическое использование уравнений нелинейно-упругого режима фильтрации
.
Установившийся приток однородной жидкости. Методика обработки индикаторных
линий
4.
Неустановившийся приток однородной жидкости к скважинам; определение параметров
пласта
.
Методика обработки индикаторных линий
.
Приближенный метод определения коэффициента макро-шероховатости по результатам
исследования несовершенных газовых скважин
.
Методика обработки КВД при фильтрации газа в неограниченном пласте
Библиография
Введение
В связи с интенсификацией добычи нефти и газа,
расширением имеющихся и созданием новых подземных хранилищ природного газа,
введением в эксплуатацию разведанных нефтегазоносных месторождений, а также
широким применением методов воздействия на продуктивные пласты исключительно
важный теоретический и практический интерес приобретает исследование фильтрации
нефти, газа и воды в пористой среде с учетом реальных геолого-промысловых
данных, свойств фильтрующихся жидкостей и газа, физико-химических явлений и
технологических условий. Для практически приемлемых и реализуемых
количественных прогнозов фильтрационного потока геологическое строение пласта
должно быть представлено в виде расчетной схемы, отражающей основные его
свойства. К числу главных факторов можно отнести слоистость пластов и
необходимость рассмотрения фильтрационного потока в целом для всего
месторождения с учетом перетоков между слагающими пластами. Методы
проектирования и анализа разработки нефтяных и газовых месторождений могут быть
усовершенствованы как путем использования стохастических и адаптационных
моделей, так и усложнением детерминированных. Усложнение последних - проблема
очень сложная и связана с многослойностью пластов, уточнением математической
модели их взаимодействия, учетом нелинейности законов фильтрации,
произвольностью области течения и др.
фильтрация индикаторный газовый скважина
1. Основные уравнения
нелинейно-упругого режима
В соответствии со схемой М. Маскета [3] предполагается,
что пористая среда недеформируемая, а не мгновенное распространение давления
объясняется только сжимаемостью жидкости аρ
в зависимости от изменения ее плотности. Тогда движение описывается линейным
относительно потенциальной функции Ф уравнением, но нелинейным по отношению к
давлению Р:
∇
2Φ; Φ
=exp [aρ
(P-P0)];
аρ
=
(1.1)
Здесь
æ1
- некоторая константа;
Р - текущее давление;
Р0 - фиксированное пластовое
(начальное) давление;
ρ - плотность
жидкости.
Используя методы механики грунтов, Джекоб [2]
сформулировал фундаментальную гипотезу о постоянстве суммарного напряжения
пористой среды, обусловленную напряжениями скелета породы и насыщающими их
жидкостями, т. е. принял гипотезу о постоянстве горного давления и пришел к
линейному уравнению относительно давления в жидкости
∇
2P (1.2)
В работе [2] предполагалось, что сами частицы,
из которых сложена пористая среда, несжимаемы, а упругий режим фильтрации
объяснялся деформацией скелета пористой среды, линейно зависящей от сжимающих
напряжений в скелете породы.
В.Н. Щелкачев [4], сделав допущение, что
неустановившееся движение жидкости в пористой среде обусловлено только
сжимаемостью материала частиц в жидкости, а кровля и подошва недеформируемые,
также пришел к линейному уравнению типа (1.2), но с другим параметром æ3,
который был назван коэффициентом пьезопроводности. В работе Г.И. Баренблатта и
А.П.Крылова [5] при рассмотрении необратимых деформаций в пористой среде была
принята гипотеза о постоянстве суммарных напряжений в пористой среде и
предложен способ учета деформации скелета среды и сжимаемости частиц скелета и
жидкости. При этом считалось, что пористость и плотность зависят от напряжений
среды и давления линейно, а проницаемость и толщина пласта постоянны. Авторы
также пришли к уравнению, но с другим коэффициентом æ4.
Уравнение (1.2) при больших перепадах давления
или даже при малых перепадах в слабосцементированных или трещиноватых породах
дает существенные отклонения от действительных закономерностей процесса
фильтрации. Эти отклонения, очевидно, можно объяснить изменением проницаемости
при изменении давления. Многие работы это положение подтвердили [6, 7]. В
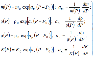
работе [8] были предложены линейные зависимости физических параметров пласта и
жидкости от давления, а при больших перепадах давления - экспоненциальные
зависимости [7]:
(1.3)
Здесь т0, ρ0,
μ0
и К0 - параметры при начальном пластовом давлении Р0. В
этом случае дифференциальное уравнение движения принимает вид [55]:
(1.4)
Порядок значений ν =
1÷10.
При ν
≠ 1
уравнение (1.4) представляет собой параболическое уравнение, тождественное
уравнению политропической фильтрации газа, если рассматривать функцию Ф как
давление Р в газовой среде.
2. Практическое использование
уравнений нелинейно-упругого режима фильтрации
С целью практического использования уравнения (1.4),
например для восстановления функции давления, его необходимо линеаризовать или
построить приближенное решение. Вводя функцию U = Φν
и линеаризуя уравнение (1.4) по Л.С. Лейбензону [9], авторы [7] получили :
(2.1)
В этом случае уравнение (2.1) есть обычное
уравнение упругого режима фильтрации , где æ - коэффициент
пьезопроводности в определении В.Н Щелкачева.
Таким образом, все решения, полученные в теории
упругого режима, могут быть использованы, если в них вместо давления Р принять
значение
(2.2)
а вместо объемного дебита принять значение Gα
-10−
. Например, распределение давления в пласте при осесимметричном притоке к
скважине записывается в виде
(2.3)
где (2.4)
Линейное течение жидкости описывается
линеаризированным уравнением
(2.5)
при начальных и граничных условиях
(2.6)
оно дает решение(2.7)
(2.8)
где Ф(ξ)
- интеграл вероятности.
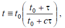
Для трещиновато-пористого пласта при упругом
режиме фильтрации необходимо в полученные решения вместо параметра t подставить
соответствующий комплекс
(2.9)
. Установившийся приток однородной
жидкости. Методика обработки индикаторных линий
Установившееся распределение давления в пласте
удовлетворяет уравнению
(3.1) при т. е.
(3.1)
Как видим, для установившегося режима фильтрации
с учетом упругих свойств среды и жидкости уравнению Лапласа удовлетворяет не
само давление, а функция U в уравнении (3.1). Так как уравнение Лапласа
линейное, то к нему применим принцип суперпозиции. Поэтому можно использовать
существующие решения, не учитывающие деформацию среды.
Для этого достаточно в расчетные формулы вместо
давления Р подставить функцию U, а вместо объемного дебита - значение Gαρ-1
. Тогда, например, формула Дюпюи для массового расхода записывается в виде
(3.2)

(3.3)
или
(3.4)
где
(3.5)
К, ρ,
μ
-
параметры при текущем пластовом давлении Рк на контуре питания;
К* - коэффициент продуктивности при текущем
пластовом давлении Рк;
К0*- коэффициент
продуктивности при начальном пластовом давлении Р0.
Из приведенных формул следуют соотношения:
(3.6)
(3.7)
Изучение установившегося отбора жидкости
сводится к построению индикаторных линий, т. е. зависимостей G = G(ΔР)
по данным исследованиям, и к определению коэффициента продуктивности К* и
параметра α. Геометрический
смысл коэффициента К*0 есть тангенс угла наклона
касательной к индикаторной кривой в координатах (ΔР,
G), проведенной в точке ΔР0
= 0 (рис. 3.1). На практике встречаются три вида индикаторных линий: прямые,
выпуклые (рис. 3.1) и вогнутые (рис. 3.2) к оси дебитов. Прямые индикаторные
линии соответствуют установившемуся притоку к скважине при отсутствии
деформации среды и изменений физических свойств жидкостей. В этом случае α
=
0, а формула (3.2) переходит в формулу Дюпюи.
Рис. 3.1. Индикаторные линии для нагнетательной
скважины в условиях деформации пористой среды той среды
Рис. 3.2. Индикаторные линии для нагнетательной
скважины в условиях деформации пористой
При этом предполагается, что коэффициенты а=1/К
и b представляют собой фильтрационные сопротивления, обусловленные вязкостными
и инерционными характеристиками соответственно. Исходя из этих позиций,
следовало бы ожидать такой же характер поведения индикаторных линий и при
нагнетании жидкости в пласт, тем более, если учесть гораздо большую скорость
фильтрации, чем при отборе. Однако по ряду месторождений индикаторные линии
нагнетательных скважин оказываются вогнутыми (рис.3.2). Очевидно, этот факт
можно объяснить только увеличением проницаемости за счет расширения поровых
каналов и трещин. Этот процесс соответствует α <
0. Плотность и вязкость закачиваемой жидкости существенного влияния не
оказывают, т. к. они изменяются несущественно. При отборе жидкости, когда
параметр (Кρ)
уменьшается быстрее чем вязкость μ
(α
<
0) в результате разгрузки пласта (поровые каналы и трещины сужаются,
проницаемость и пористость уменьшаются), возникают выпуклые индикаторные линии.
Таким образом, искривление индикаторных линий можно объяснить не только
вязкостными, но и влиянием упругих свойств скелета породы и жидкости.
Для определения параметров α
и
К* А.Т. Горбунов и В.Н. Николаевский [7] предлагают графический способ, суть
которого состоит в следующем. Для определения величины α
вводится
безразмерная функция
(3.8)
В формуле (3.8) интеграл представляет площадь F1,
ограниченную индикаторной линией и осью перепадов ΔР,
и вычисляется графически. Площадь F2 = GΔР1
определяется как площадь прямоугольника (см. рис. 3.1).
Внося (3.4) в соотношение (3.8) и интегрируя,
получаем :
(3.9)
График функции Z = Z(α
ΔРс
) представлен на рис. 3.3, где положительная ветвь функции соответствует
нагнетанию (при Р0 < Рс) или отбору при α
<
0 (Р0 > Рс), отрицательная ветвь соответствует отбору
жидкости при α > 0 (при Р0
> Рс).Порядок расшифровки индикаторных линий:
по данным исследования на установившихся режимах
строится индикаторная линия в координатах (ΔР,
Q);
графически определяется функция Z = F1/F2;
зная Z, из формулы (3.9) при ΔР
= ΔРс,
соответствующей последней точке фактической индикаторной линии (см. рис. 3.1),
находим параметр α; то же
определение можно сделать и по графику, рис. 3.3;
зная α,
из формул (3.3) и (3.4) определяем коэффициент продуктивности К* при
текущем пластовом давлении Рк;
из формулы (3.7) находим К*0
при начальном пластовом давлении.
Для иллюстрации изложенного метода произведем
обработку индикаторных линий (см. рис. 3.1).
Рис. 3.3. Изображение функции Z = Z(αΔРс)
(I - отбор; II - закачка)
Для добывающих скважин коэффициенты
продуктивности, определяемые для нелинейно-упругого режима, оказываются меньше,
чем определенные по индикаторной прямой (К* < К ), а для
нагнетательных скважин, наоборот, больше (К* > К ). Таким
образом, критерием возможности применения в расчетах уравнения пьезопроводности
(1.1) могут служить индикаторные линии. Если они прямые, то для расчета
неустановившихся процессов, происходящих в пласте, будут справедливы все
решения линейной теории упругого режима. Если же эти линии нелинейные, то
необходимо пользоваться решениями уравнения (1.2).
4. Неустановившийся приток
однородной жидкости к скважинам; определение параметров пласта
Для определения параметров пласта по КВД можно
использовать уравнение (3.1). Принимаются условия: массовый дебит исследуемой
скважины G0 = const; дебиты соседних скважин постоянны;
распределение давления в пласте до начала исследования установившееся. Тогда
изменение давления на стенке скважины при t ≥ 0 описывается уравнением
[7] :
(4.1)
где Рсо - забойное давление в момент
остановки скважины.
Кривую восстановления давления следует строить в
координатах [ΔU; lnt] при
известном параметре α, полученном
при обработке индикаторных линий. Далее кривая восстановления функции ΔU
обрабатывается обычным методом касательной (рис. 4.1 а).
Рис. 4.1 (а) Схема к обработке КВД
Рис. 4.1 (б) Схема к обработке КВД
Однако часто ожидаемая прямая в координатах [ΔU;
lnt] оказывается ломаной (рис. 4.1 б). В этом случае необходимо строить кривую
в координатах [ΔU; t], рис.
9.5. Затем находится функция
(4.2)
где значения ΔU
и t берутся с обрабатываемой КВД, построенной численным путем, т. е. интеграл в
формуле (4.2) представляет собой площадь F1 под кривой, а
знаменатель есть площадь квадрата F2 = ΔU*t*
(см. рис. 4.2).
С другой стороны, из уравнений (4.1) и (4.2)
следует соотношение
(4.3)
Рис. 4.2.Схема к обработке КВД в
некоторых скважинах
Из формул (4.1) и (4.3) следуют выражения для
искомых параметров:
(4.4)
. Методика обработки индикаторных
линий
Как известно, установившийся приток реального
газа к скважине описывается двучленным уравнением
или(5.1)
гдеР0 и Р*с -
некоторые потенциальные функции на условном контуре питания и контуре скважины;
А и В - фильтрационные сопротивления,
определяемые формулами:
(5.2)
Если потенциальную функцию представить в виде
(5.3)
то коэффициент а в формуле (5.2) при линейном
законе фильтрации (В = 0) примет выражение
(5.4)
Учитывая выражения , потенциальную
функцию (5.3) запишем в виде
(5.6)
Усреднив коэффициент α
=
α
(
)
= ак + аρ
− аμ и определив
функции Р*0 и Р*с интегрированием
(5.5) в соответствующих пределах, уравнение притока (5.1) при В = 0 запишем в
виде
(5.6)
Далее, построив по данным исследования
графическую зависимость Р*с = f (G), рис. 5.1, определяем
функцию
(5.7)
Внося (5.6) в (5.7), после интегрирования и ряда
преобразований получаем выражение
(5.8)
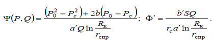
Рис. 5.1. Схема к обработке КВД в газовых
скважинах
Для определения коэффициента α
необходимо
построить графическую зависимость Z = f(α)
при параметре ΔР*с
. Можно также определить α из уравнения
(5.8) методом итерации. Определив таким образом α,
из выражения (5.6) находим коэффициент продуктивности при начальной функции
давления Р*с
(5.9)
Текущий коэффициент продуктивности K*0
определится, очевидно, по формуле (5.9) при Р0*=
(
- средневзвешенная текущая функция давления):
(5.10)
Совместное решение (5.9) и (5.10) дает следующую
связь:
(5.11)
Если предположить, что вязкостные силы трения не
играют существенной роли (А → 0), а фильтрационные сопротивления в
основном обусловлены инерционными силами, то дифференциальное уравнение притока
запишется в виде
(5.12)
где ρ(Р)
- плотность газа в пластовых условиях;- коэффициент макрошероховатости.
По закону газового состояния имеем
(5.13)
тогда интегрирование уравнения (5.12) в
соответствующих пределах для притока к несовершенной скважине дает формулу
(5.14)
где параметр b имеет выражение
(5.15)
Если принять изменение плотности по
экспоненциальной зависимости
(5.16)
тогда интегрирование уравнения (5.12) дает
формулу
(5.17)
где (5.18)
Построив графическую зависимость Рс =
f(G), (см. рис. 9.6.) находим Z= F1/F2. Затем, подставляя
G из формулы (5.17) в формулу (5.7), производя интегрирование и некоторые
преобразования, находим аналитическое выражение для Z
(5.19)
Коэффициент аρ
можно определить графически, построив функцию Z = f(аρ),
или методом итерации. Если строить индикаторную линию в координатах [Pc;
G2], тогда Z можно определить по формуле
(5.20)
В конечном счете из (5.20) определяем
(5.21)
Определив аρ
из (5.21), по формуле (5.17) нетрудно определить коэффициент В, а
следовательно, и коэффициент макрошероховатости l.
. Приближенный метод определения
коэффициента макро-шероховатости по результатам исследования несовершенных
газовых скважин
Для инженерных расчетов иногда необходимо знать
коэффициент макрошероховатости, характеризующий структуру порового пространства.
Минским Е.М., на основании обработки
экспериментальных данных Фенчера, Льюиса и Бернса, была предложена приближенная
формула, связывающая коэффициент макрошероховатости с пористостью,
проницаемостью и эффективным диаметром частиц породы. Но, как показали анализы,
область применения предложенной формулы ограниченна. На основании данных и
результатов экспериментальных исследований был построен корреляционный график в
координатах lg(1/l) и lgK и найдена для корреляционной линии зависимость между
l и К, которая имеет вид
и в основном используется лишь для качественной
характеристики связи l и К. Предложена также эмпирическая формула для l А.И.
Ширковским. По данным исследования скважин можно приближенно оценить коэффициент
макрошероховатости. Для нелинейного закона фильтрации запишем уравнение
(6.1)
Представим закон изменения коэффициента
проницаемости в виде уравнения
(6.2)
Здесь
К0 - начальный коэффициент
проницаемости;- некоторый коэффициент, подлежащий определению.
Усредняя коэффициенты вязкости и сжимаемости
газа, μ
= μ (
) и Z =Z(
),
учитывая (6.2) из уравнения (6.1) получаем
(6.3)
где
(6.4)
Коэффициент b может быть определен по уравнению
прямой, если пренебречь вторым членом в уравнении (6.3), т. е. полагая, что
фильтрация газа происходит по линейному закону. Тогда имеем
(6.5)
где
(6.6)
Построив график зависимости в координатах Рср
от Ф по данным исследования на установившихся отборах, по угловому коэффициенту
определяем 1/К0, а по отрезку, отсекаемому на оси ординат, -
значение b.
Подставляя найденные значения b и 1/К0 в
уравнение (6.3), можно определить l.
Приведем (6.3) к виду
(6.7)
где
(6.8)
Как видим, уравнение (6.7) также является
уравнением прямой. Построив график зависимости в координатах Ψ
от
Φ′
,
по угловому коэффициенту определяем К0-1, а по отрезку,
отсекаемому на оси ординат, значение l-1 . При этом в расчетах
параметра Ψ используем ранее
найденное значение коэффициента b. Искомые параметры возможно уточнить, если
воспользоваться методом приближения, который заключается в следующем.
Определенные коэффициенты К0-1 и l-1 по
формуле (6.7) подставляем в уравнение (6.3) и вычисляем новое значение b,
которое, в свою очередь, используем в расчетах по уравнению (6.7) и находим
уточненные коэффициенты К0-1 и l-1 . Таким
образом повторяем операцию до тех пор, пока параметры, определенные по
уравнениям (6.5) и (6.7), будут достаточно близки.
Определим коэффициенты макрошероховатости и
проницаемость пласта для реальной скважины по предлагаемой методике. Исходные
данные и результаты исследования скв. 213 Медвежьего месторождения на
установившихся отборах приведены в табл. 6.1. [10] Порядок расчета следующий:
. Вычисляем по формулам (9.25)
коэффициенты макрошероховатости и проницаемость пласта для реальной скважины а′
и b′ :
а′ =
=
1,241 10-8 (МПа)2 ⋅
с/м;′ =
= 1,893*10-6 (МПа)2
(с/м2)2.
Таблица 6.1 Результаты исследования скв. 213
Медвежьего месторождения и расчета искомых функций
2. По формуле (6.6) определяем параметр Ф для
каждого режима (см. табл. 6.1) и строим график зависимости
от
Ф по уравнению (6.5), Рис.6.1(а)
3. По угловому коэффициенту рис. 6.2 определяем
1/К0 = 1,34, или К0 =0,571 (мкм)2, а по отрезку,
отсекаемому на оси ординат - b = 96,9. Подставляя найденные значения 1/К0
и b в уравнение (9.2.24) и учитывая а′ и b′ , получаем
коэффициент макрошероховатости l = 0,723⋅10-9
м;
4. Определяем уточненные значения l и Кr
по формуле (6.7). Результаты расчета Φ′ сведены
в таблицу 6.1, а графическое построение изображено на рис. 6.2(б),
откуда находим l = 1,09⋅10-9 м,
К0 = 0,417 (мкм)2.
Рис. 6.2(а).График зависимости Рис.
6.2(б).График зависимости
. Методика обработки КВД при
фильтрации газа в неограниченном пласте
Используя линеаризацию и метод фиктивной
скважины, представим решение для притока к укрупненной скважине радиуса R0
= h0 (внешняя зона, рис. 7.1) через функцию Лейбензона следующим
образом:
(7.1)
Для внутренней зоны используем двучленное
уравнение притока газа по нелинейному закону (5.1), считая фильтрацию в ней
квазиустановившейся. Решая совместно (5.1) и (9.2.30), после ряда
преобразований получаем уравнение для понижения забойного давления после пуска
скважины в работу:
(7.2)
где В выражается формулой (5.2), в которой b
есть
(7.3)
Здесь i = 1, 2, 3, ... - номера интервалов
времени после пуска скважины.
Рис.7.1 Двухзонная схема притока
Потенциальная функция ΔP*
= Р*пл − Р*с(t) определяется
интегралом в пределах по давлению от Рс(t) до Рпл. Тогда
в соответствии с формулами (3.1) получаем
(7.4)
Интегрируя выражение (7.4), подставляя результат
в (7.2), после ряда преобразований находим
(7.5)
где
(7.6)
Для случая восстановления давления после
остановки скважины формула (7.5) записывается в виде
(7.7)
где
(7.8)
(7.9)
Рс0 - давление на забое в момент
остановки;
Кс, ρ0,
μ0
- параметры, соответствующие давлению Рс0.
Обработку КВД можно произвести при условии, если
известны коэффициенты α и аρ.
Они могут быть определены по данным исследования на установившихся отборах
(см.раздел 5). Коэффициент В может быть определен как по данным исследования
(см. раздел 5), так и по формулам (5.2) и (7.3). Построив функцию ΔU=
f (ln t ), графически обычным способом определяем α
и
β,
после чего нетрудно найти коэффициенты пьезопроводности æ(
)
и гидропроводности К0ρ0h0/μ0.
Для трещиновато- пористой среды в формулу (7.7) необходимо внести комплекс
(2.8). Заметим, что аналогичную задачу можно сформулировать и решить для
ограниченного пласта.
Для неограниченного пласта в работах [8,10 ]
изложена другая методика обработки КВД, учитывающая деформацию пласта,
основанная на линейном законе фильтрации и в предположении изменения давления и
параметров К(Р), μ(Р) и Z(P)
по степенному закону.
Библиография
2.
Gacob C.E. On the Flow of Water in an Elastic Artesian Aquifer.
Trans, America. Geophyc. Union. Reports and Paper. Stydrology,
1940.
.
Маскет М. Течение однородных жидкостей в пористой среде (пер. с англ.) -
М.: Гостотоптехиздат. 1969. - 628 с.
.
Щелкачев В.Н. Основы и приложения теории неустановившейся фильтрации - М.:Нефть
и газ, 1995. - 4.1. - 586 с; 4.2. - 493 с.
.
Баренблатт Г.И., Крылов А.П. Об упруго-пластичном режиме фильтрации. -
Изв. АН СССР, отн. № 2, 1955.
.
Абдуллин Ф.С. Расслоение пород девонского продуктивного пласта при
законтурном заводнении// АХ.- № 1.- 1958.
.
Горбунов А.Т., Николаевский В.Н. О нелинейной теории упругого режима
фильтрации// Добыча нефти (ежегодник, ВНИИ, М.: Недра, 1964).
.
Кульпина Н.М. Метод обработки кривых нарастания давления для скважин,
вскрывших деформируемые коллекторы// Газовое дело.- № 11.-,1971.
.
Лейбензон Л.С. Собрание трудов, т. II, изд. АН СССР, 1953.
.
Зотов Г.А., Кульпина Н.М. Стационарный приток реального газа к
скважине в деформируемом пласте при существовании закона Дарси// НТС
«Разработка
и эксплуатация газовых и газоконденсатных месторождений»-ВНИИЭгазпром.- № 9.-
1970. 1971.