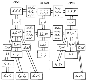
Системы координат и преобразования между ними
Министерство
образования и науки Российской Федерации
Федеральное
государственное бюджетное образовательное учреждение
Высшего
профессионального образования
"СИБИРСКАЯ
ГОСУДАРСТВЕННАЯ ГЕОДЕЗИЧЕСКАЯ АКАДЕМИЯ"
Институт
дистанционного обучения
Кафедра
теоретической геодезии и дистанционного зондирования
Курсовая работа
по
дисциплине "Системы координат"
Системы
координат и преобразования между ними
Новосибирск
2014г.
Введение
Цель курсовой работы:
.Описать системы координат, применяемые в геодезии.
Показать их достоинства и недостатки.
.Предложить возможные технологические схемы
преобразования координат из одной системы в другую. Привести рабочие формулы,
необходимые для этих преобразований. Сделать выбор оптимальной технологической
схемы.
.Выполнить необходимые вычисления и получить
каталоги геодезических, пространственных прямоугольных, плоских прямоугольных
координат Гаусса-Крюгера в системах ПЗ-90.02, СК-42, СК-95.
.Обосновать целесообразность ввода местной
системы (СКМ) плоских прямоугольных координат Гаусса-Крюгера.
.Преобразовать для заданной точки плоские
прямоугольные координаты Гаусса-Крюгера из СК-95 в СКМ. Оценить величину
изменений линейных искажений и дирекционных углов.
координата геодезия пространственный
прямоугольный
1. Классификации
систем координат
Для решения различных задач, связанных с
осуществлением хозяйственной деятельности на территории государства или его
субъектов, приходится, в силу ряда причин, использовать разные системы
координат (Рис.1), каждая из которых имеет свои достоинства и недостатки.
Существует несколько классификаций систем
координат. С одной стороны имеются системы геодезических пространственных,
прямоугольных пространственных, плоских прямоугольных координат Гаусса-Крюгера.
Система геодезических пространственных координат связана с поверхностью
эллипсоида вращения, принимаемого за модель Земли. Положение любой точки
пространства в этой системе будет однозначно определяться тремя координатами:
геодезической широтой B,
геодезической долготой L
и геодезической высотой HГ.
Тремя координатами (X, Y,
Z) определяется
положение любой точки и в системе прямоугольных пространственных координат.
Рис. 1. Основные системы координат, используемые
в геодезии
Эта система не
связана с поверхностью модели Земли и поэтому используется при математической
обработке результатов спутниковых наблюдений (например, для определения
координат точки с помощью спутниковых радионавигационных систем ГЛОНАСС и GPS).
Однако основной системой координат для
выполнения геодезических, инженерно-геодезических и топографических работ,
межевания земель и ведения земельного кадастра и осуществления других
специальных работ является система плоских прямоугольных координат. Она всегда
связана с тем или иным математическим законом (проекцией) изображения
поверхности эллипсоида вращения на плоскости. На территории Российской
Федерации используется проекция Гаусса-Крюгера.
В любой проекции поверхность модели Земли должна
делиться на участки (обычно они называются зонами), которые изображаются на
плоскости независимо друг от друга. Граничными линиями зон в проекции
Гаусса-Крюгера являются геодезические меридианы. Размеры зон по долготе в
принципе могут быть любыми. Обычно используются шести и трех градусные зоны.
Меридиан, проходящий посредине зоны, называется осевым. Изображения осевого
меридиана и экватора эллипсоида на плоскости принимаются за координатные оси, а
точка их пересечения за начало системы действительных плоских прямоугольных
координат. При этом ось абсцисс направлена на север, а ось ординат на восток.
Таким образом, в каждой зоне имеется своя
система координат. Для того, чтобы различать зоны необходимо знать либо ее
номер, присвоенный заранее, либо долготу ее осевого меридиана L0.
Для выполнения взаимных преобразований координат из одной системы в другую с
необходимой точностью в геодезической литературе имеются строгие формулы,
которые позволяют решать эти задачи на любом эллипсоиде вращения. Для
выпол-нения вычислений (переходов, изображенных вертикальными стрелками на рис.
1) необходимо использовать параметры применяемого эллипсоида вращения ( a,
e 2
) и долготу осевого меридиана L0
выбранной зоны.
С другой стороны каждая из перечисленных систем
координат может быть общеземной и государственной. Примерами общеземных систем
координат являются в настоящее время системы ПЗ-90.02 (ранее ПЗ-90) и WGS-84,
а государственных - СК-42 и СК-95. Для горизонтальных связей между системами
(рис.1) также имеются специальные формулы. Однако числовые значения параметров
преобразования систем СК-42 и ПЗ-90 известны с недостаточной для решения многих
задач точностью. Это явилось одной из причин ввода на территории России новой
единой государственной системы координат 1995 года (СК-95). Новая система
координат введена постановлением №586 Правительства Российской Федерации от 28
июля 2000 года и обязательна при осуществлении геодезических и картографических
работ начиная с 1 июля 2002 года.
Кроме этого система плоских прямоугольных
координат Гаусса-Крюгера может быть местной. Под местной системой понимается
такая система координат, в которой начало отсчета координат и ориентировка осей
координат
смещены по отношению к началу отсчета и положению координатных осей в единой
государственной системе координат. В свою очередь внутри систем местных плоских
прямоугольных координат Гаусса-Крюгера можно выделить две группы: региональные
(СКР) и собственно местные (СКМ).
Региональными плоскими прямоугольными
координатами Гаусса-Крюгера (СКР) следует считать те, которые реализуются в нескольких
зонах на территории субъектов Российской Федерации, а местными те, которые
вводятся на территории населенных пунктов, строительных площадок и т. п.
и
реализуются в одной зоне.
В последующих
разделах методических указаний рассмотрим перечисленные системы координат, их
достоинства и недостатки, а также приведем формулы для взаимного преобразования
координат из одной системы в другую.
2. Система
геодезических пространственных координат
В системе
геодезических пространственных координат положении любой точки пространства
можно задать тремя координатами (рис. 2): геодезической широтой В,
геодезической долготой L
и геодезической высотой НГ.
Рис. 2. Система геодезических пространственных
координат
Геодезической широтой В называется острый угол,
образованный нормалью Kn
к поверхности эллипсоида вращения и плоскостью его экватора. Нормалью к
поверхности в заданной точке является перпендикуляр к касательной плоскости в
точке К1. Геодезическая широта изменяется от 0 на экваторе до 90
градусов на полюсах. Различают северные и южные широты для соответствующих
полушарий.
Координатная линия равных широт называется
геодезической параллелью. С геометрической точки зрения она представляет собой
линию пересечения поверхности эллипсоида вращения и плоскости перпендикулярной
оси его вращения. Все геодезические параллели - окружности разного радиуса.
Если секущая плоскость будет проходить через центр эллипсоида, то будет
получена параллель максимального радиуса называемая экватором.
Геодезической долготой L
называется двугранный угол, образованный плоскостями геодезических меридианов
начального (Гринвича) и точки К (меридиан РК1GР1).
Долгота может изменяться от 0 до 360 градусов и отсчитываться от Гринвичского
меридиана на восток или изменяться от 0 до 180 градусов. В последнем случае
необходимо указывать к востоку или к западу от Гринвича находится точка К.
Координатная линия равных долгот является
геодезическим меридианом. Геодезический меридиан это части линии пересечения
поверхности эллипсоида вращения и плоскости, содержащей ось вращения и
заключенная между полюсами. Все геодезические меридианы одинаковы и являются
половинами эллипсов.
Геодезической высотой НГ принято
называть отрезок нормали КК1 к поверхности эллипсоида вращения, заключенный
между этой поверхностью и точкой К (НГ=КК1).
Геодезическая высота обычно положительна, но встречаются особые случаи, когда
она может быть отрицательной (например, в шахтах, карьерах и т. п.).
Геодезическую высоту не следует путать с ортометрической и нормальной высотами,
которые отсчитываются от начальных уровенной (геоид) или почти уровенной
(квазигеоид) поверхностей соответственно. Различия между ними могут достигать
десятков метров. На территории РФ в каталогах координат пунктов и реперов хранятся
нормальные высоты.
Данная система координат обладает рядом
достоинств:
1. Триада координат B,
L, HГ
однозначно определяет положение любой точки пространства.
2. Она едина для всей поверхности Земли,
что позволяет объединять в общей координатной системе материалы геодезических,
съемочных и картографических работ.
. Координатными линиями в этой системе
являются геодезические меридианы и параллели, относящиеся непосредственно к
поверхности эллипсоида вращения. Поэтому они являются основными линиями любой
картографической проекции, их используют для составления карт и объединения
всех съемочных и картографических материалов в единое целое.
. Геодезические широта и долгота
определяют положение нормали к поверхности принятого эллипсоида. Это
обстоятельство используется при определении составляющих уклонений отвесных
линий и проведении других исследований поверхности Земли.
. Геодезические широта и долгота точек К
и К1 одинаковы, а высоты разные (НГ1=0).
Поэтому использование данной системы позволяет общую сложную задачу по
определению координат разделить на две подзадачи и тем самым уменьшить
размерность вектора совместно вычисляемых координат точек. Так для определения B,
L (х, у) на объекте
создаются плановые геодезические сети, а третья координата высота вычисляется
по результатам нивелирования.
. Поправки в измеренные величины (редукции) за
переход с физической поверхности Земли на поверхность эллипсоида вращения
обычно незначительны. Во-первых, это позволяет использовать приближенные
(грубые) значения аргументов для их вычисления, а во-вторых, не учитывать такие
поправки при выполнении работ невысокой точности.
К недостаткам системы геодезических
пространственных координат обычно относят следующее:
1. Трудности вычисления широт и долгот, так
как решение прямых и обратных геодезических задач в этой системе выполняется по
очень сложным громоздким формулам.
2. При использовании спутниковых технологий
создания геодезических сетей поправки в результаты измерений за редукцию на
поверхность эллипсоида вращения станут большими, соизмеримыми с самими
измерениями. Поэтому применение геодезических пространственных координат будет
не выгодным или даже невозможным.
3. Система
пространственных прямоугольных координат
За начало координат в этой системе принимается
центр эллипсоида - точка О (Рис. 3.). Ось аппликат OZ
направлена вдоль полярной оси на север.
Рис. 3. Система пространственных прямоугольных
координат
Ось абсцисс ОХ расположена по линии пересечения
плоскостей Гринвичского меридиана и экватора. Ось ординат OY
совпадает с линией пересечения плоскостей геодезического меридиана с долготой
90 градусов и экватора и дополняет систему до правой.
Положение любой точки пространства будет
однозначно определяться тремя координатами (Рис. 3.): абсцисса равна отрезку ОК2
(Х=ОК2), ордината соответствует отрезку координатной оси ОК3
(Y=ОК3), а
аппликата равна отрезку ОК4 (Z=ОК4).
Достоинствами этой системы координат являются:
1. В этой системе можно однозначно
определить положение любой точки пространства.
2. Для применения системы пространственных
прямоугольных координат не нужно иметь поверхность относимости (поверхность
эллипсоида вращения).
. Следствием второго преимущества
является то, что здесь отсутствует необходимость в редуцировании результатов
полевых измерений на поверхность относимости. Поэтому эта система координат
практически незаменима при математической обработке результатов спутниковых
измерений.
В качестве
недостатков системы пространственных прямоугольных координат можно назвать
следующие:
1. Здесь нельзя уменьшить размерность задач
по определению координат точек (размерность вектора координат). Имеется в виду,
что необходимо сразу выполнить такое количество измерений, которое позволит
вычислить три координаты определяемых точек.
2. Систему пространственных прямоугольных
координат неудобно использовать в топографии, при проектировании и
строительстве инженерных сооружений.
. Основной системой для решения
практических задач геодезии, топографии, землеустройства является система
плоских прямоугольных координат Гаусса-Крюгера. Однако строгих формул для
прямого перехода от пространственных прямоугольным к плоским прямоугольным
координатам нет. Поэтому такой переход обычно осуществляется в два этапа:
сначала необходимо вычислить пространственные геодезические координаты по
пространственным прямоугольным координатам, а затем плоские прямоугольные
координаты по геодезическим.
. Система
плоских прямоугольных координат Гаусса-Крюгера
При производстве массовых топографо-геодезичеких
работ, таких как производство топографических и кадастровых съемок,
геодезическое обеспечение проектирования, строительства и эксплуатации
инженерных сооружений и других применение систем пространственных прямоугольных
или пространственных геодезических координат становится неудобным и
обременительным. В практическом использовании наибольшее применение находит
система плоских прямоугольных координат.
Однако ввод такой системы координат всегда
сопряжен с отображением поверхности модели Земли (поверхности эллипсоида
вращения) на плоскости по какому-либо математическому закону. Закон,
связывающий геодезические координаты на поверхности эллипсоида вращения и
плоские прямоугольные координаты, называется проекцией. В математической
картографии существует большое количество геодезических проекций и
соответствующих им систем плоских прямоугольных координат. При изображении
поверхности
модели Земли на плоскости в любой проекции неизбежно деление ее на отдельные
участки, которые принято называть зонами.
На территории России используется проекция
Гаусса-Крюгера. В этой проекцией поверхность эллипсоида вращения делится на
зоны геодезическими меридианами. В нашей стране установлены размеры зон в шесть
и три градуса по долготе. Первые считаются основными, поэтому математическая
обработка результатов измерений и оформление материалов топосъемок выполняются
в шестиградусных зонах. Трехградусные зоны используются при производстве
крупномасштабного картографирования (масштабов 1:5000 и крупнее) и вводе систем
региональных плоских прямоугольных координат. Меридианы, проходящие посредине
зон, называются осевыми.
На рисунке (Рис. 4) изображена поверхность
эллипсоида вращения, на которой показаны граничные, осевой меридианы
произвольной зон и экватор. Западный граничный меридиан первой шестиградусной
зоны совпадает с Гринвичским меридианом. Осевые меридианы первой шести и первой
трех градусных зон совпадают. Нумерация зон ведется на восток от Гринвича.

Долготы осевых меридианов L0
шести и трех градусных зон можно вычислить по формулам
L0(6)=6n
- 3,
L0(3)=3n’,
где n,
n’ - номера шести и
трех градусных зон соответственно.
При изображении поверхности эллипсоида вращения
на плоскости в проекции Гаусса-Крюгера только осевые меридианы зон и экватор
становятся прямыми линиями, которые принимаются за координатные оси.
Рис. 5. Изображение отдельной зоны на плоскости
в проекции Гаусса-Крюгера
Их пересечение является началом системы
действительных плоских прямоугольных координат Гаусса-Крюгера. Все остальные
кривые поверхности эллипсоида вращения (граничные меридианы зон, параллели и
др.) остаются на плоскости кривыми линиями.
Действительными плоскими прямоугольными координатами
Гаусса-Крюгера для точки К будут являться отрезки координатных осей х=О1К1=КК2,
у=О1К2=КК1. К положительным свойствам данной
системы координат и проекции обычно относят:
1. Отсутствие искажений вследствие
равноугольности проекции.
2. Зоны в проекции Гаусса-Крюгера
совершенно одинаковые и поэтому вид применяемых формул для связи систем
координат и редуцирования измеренных величин на плоскость не будут зависеть от
номера зоны.
. Пара действительных координат абсцисса
х и ордината у однозначно определяет положение любой точки внутри одной зоны.
. Применение системы плоских
прямоугольных координат позволяет значительно упростить решение многих задач
геодезии, топографии, землепользования. Поэтому
в массовых работах она является основной.
Недостатков у проекции Гаусса-Крюгера, по мнению
специалистов, два. Во-первых, в данной системе координат возникают трудности
при математической обработке результатов полевых измерений на объектах,
вытянутых вдоль параллели и занимающих значительную площадь (объектах, расположенных
в нескольких зонах). Во-вторых, действительные плоские прямоугольные координаты
не дают представление о том, где на поверхности земли находится точка. Она
может располагаться в любой из 60 шестиградусных зон.
Для
того чтобы по значениям координат можно было судить о местоположении точки на
Земле в каталогах координат пунктов принято помещать так называемые условные
координаты Гаусса-Крюгера x’,
y’. При этом
действительные и условные координаты связаны соотношениями
x’=x,
y’=n*106+5*105+y.
Действительные и условные абсциссы равны. Для
получения условной ординаты надо к действительной прибавить номер зоны
умноженный на 106 и 500000. Перенос начала координат к востоку на
500 километров необходим для исключения отрицательных координат.
Технологическая
схема преобразования координат из одной системы в другую:
Формулы для обратного преобразования можно
получить путем переноса поправочных членов в левую часть равенств и учитывая,
что при вычислении поправок можно использовать те пространственные
прямоугольные координаты, которые на данный момент известны
В формулах предполагается, что углы поворота ωX,
ωY, ωZ
вокруг соответствующих координатных осей должны выражаться в радианной мере.
Пример выполнения преобразований по формулам приведен в приложениях 3,4 данного
учебно-методического пособия.
4. Способы
ввода региональных и местных систем плоских прямоугольных координат
Необходимость ввода местных систем плоских
прямоугольных координат Гаусса-Крюгера обусловлена двумя причинами. Первая
причина связана с обеспечением режима секретности при использовании каталогов
координат пунктов и результатов топографической съемки. Если эта информация
будет храниться и использоваться в местных системах координат, то она не будет
иметь, в соответствии с действующими нормативными документами, грифа
"Секретно". Вторая причина
вызвана желанием геодезистов уменьшить величины поправок за переход на
плоскость в проекции Гаусса-Крюгера с тем, чтобы их можно было не учитывать при
работе на своем объекте, занимающем небольшую площадь. Максимальная площадь
объекта не может превышать территорию субъекта РФ.
В
местных системах координат положение начала отсчета координат и ориентировка
осей должны отличаться от существующих в государственных системах координат.
Список литературы
1. ГОСТ Р 51794-2008. Системы
координат. Методы преобразований координат определяемых точек. Национальный
стандарт Российской Федераии. [Текст] / М.: Стандартинформ, 2009. - 16 с.
2. Телеганов, Н.А. Высшая геодезия
и основы координатно-временных систем. Учебное пособие. [Текст] / Н.А.
Телеганов, А.В. Елагин. - Новосибирск: СГГА, 2004. - 238 с.
3. Глушков, В.В. Космическая
геодезия: Методы и перспективы развития. [Текст] / В.В. Глушков, К.К.
Насретдинов, А.А. Шаравин.- М.: Институт политического и военного анализа,
2002. - 448 с.
4. Яковлев, Н.В. Практикум по
высшей геодезии (вычислительные работы). Издание второе: Учебное пособие для
вузов [Текст] / Н.В. Яковлев, Н.А. Беспалов, В.П. Глумов, Ю.Г. Карпушин, А.В.
Мерзенин, Л.В. Огородова, Л.П. Пеллинен. - М.: Альянс, 2007. - 368 с.
. Афонин К.Ф. Высшая
геодезия. Системы координат и преобразования между ними. Новосибирск: СГГА,
2011г.
Приложение 1
ИСХОДНЫЕ ДАННЫЕ для
выполнения курсовой работы
Вариант №66 ПЗ-90.02
|
|
Пространственные
|
|
|
|
прямоугольные ко-
|
|
|
|
ординаты в системе
|
|
|
|
ПЗ-90.02
|
|
|
|
27842.678
|
|
|
X
|
(м)
|
|
|
|
|
|
|
|
|
3344066.305
|
|
|
Y
|
(м)
|
|
|
|
|
|
|
|
|
5414149.969
|
|
|
Z
|
(м)
|
|
|
|
|
|
|
|
|
|
|
Приложение 2
Вычисление пространственных прямоугольных
координат в системе СК-42 по
пространственным прямоугольным координатам
в системе ПЗ-90.02
Элементы взаимного ориентирования
Систем координат СК-42 и ПЗ-90.02
’ = 23,93
y’= -141,03
z’ = -79,98
ω'x
= 0
ω'y
= -0,35
ω'z
= -0,79
∆m’ = -0,00000022
|
Элементы
формул
|
Вычисление
X
|
Вычисление
Y
|
Вычисление
Z
|
|
Координаты
в системе ПЗ-09,02 ∆m’X, ∆m’Y, ∆m’Z ω'x
Y/ ρ
ω'x
Z/ ρ
ω'y
X/ ρ
ω'y
Z/ ρ
ω'z
X/ ρ
ω'z
Y/ ρ
Координаты центра x’,
y’, z’
Координаты в системе СК-42
|
27842,678
-0,006 -9,187 -12,808 23,93 27822,375
|
3344066,305
-0,736 0,000 -0,107 -141,03 3344207,964
|
5414149,969
-1,191 0,000 -0,047 -79,98 5414231,187
|
Приложение 3
Вычисление пространственных прямоугольных
координат в системе СК-95 по
пространственным прямоугольным координатам
в системе ПЗ-90.02
Систем координат СК-95 и ПЗ-90.02
’ = 24,83
y’= -130,97
z’ = -81,74
ω'x
= 0
ω'y
= 0
ω'z
= -0,13
∆m’ = -0,00000022
|
Вычисление
X
|
Вычисление
Y
|
Вычисление
Z
|
|
Координаты
в системе ПЗ-09,02 ∆m’X, ∆m’Y, ∆m’Z ω'x
Y/ ρ
ω'x
Z/ ρ
ω'y
X/ ρ
ω'y
Z/ ρ
ω'z
X/ ρ
ω'z
Y/ ρ
Координаты центра x,
y, z
Координаты в системе СК-95
|
27842,678
-0,006 0,000 -2,108 24,83 27819,962
|
3344066,305
-0,736 0,000 -0,017 -130,97 3344197,994
|
54114149,969
-1,191 0,000 0,000 -81,74 5414232,900
|
Приложение 4
Вычисление геодезических пространственных
координат по пространственным прямоугольным координатам
|
Параметры
|
|
|
|
|
эллипсоидов
|
ПЗ-90
|
Красовского
|
|
|
a =
|
6378136
|
6378245
|
|
|
e2 =
|
0,00669436619
|
0,00669342162
|
|
|
Система
координат
|
ПЗ
90.02
|
СК-42
|
СК-95
|
|
X
|
27842,678
|
27822,375
|
27819,962
|
|
Y
|
3344066,305
|
3344207,964
|
3344197,994
|
|
Z
|
5414149,969
|
5414231,187
|
5414232,9
|
|
L
|
89,31,22,6800
|
89,31,24,0049
|
89,31,24,1486
|
|
Q
|
3344182,212
|
3344323,697
|
3344313,707
|
|
B1
|
58,28,09,2593
|
58,28,06,6613
|
58,28,06,9651
|
|
W
|
0,997565251
|
0,997565633
|
0,997565629
|
|
N
|
6393703,059
|
6393809,879
|
6393809,908
|
|
T
|
5450632,482
|
5450708,88
|
5450710,626
|
|
B2
|
58,28,09,1572
|
58,28,06,5560
|
|
B2-B1
|
0,102179267
|
0,105286427
|
0,104922313
|
|
W2
|
0,997565253
|
0,997565635
|
0,99756563
|
|
N2
|
6393703,05
|
6393809,87
|
6393809,898
|
|
T2
|
5450632,471
|
5450708,868
|
5450710,614
|
|
B3
|
58,28,09,1570
|
58,28,06,5558
|
58,28,06,8599
|
|
B3-B2
|
0,000187953
|
0,000193648
|
0,000192977
|
|
Hг
|
1056,444886
|
1088,734423
|
1084,970208
|
Приложение 5
КАТАЛОГ
координат пункта в различных системах
|
Система
координат
|
ПЗ-90.02
|
СК-42
|
СК-95
|
СКМ
|
|
X
|
27842,678
|
27822,375
|
27819,962
|
|
|
Y
|
3344066,305
|
3344207,964
|
3344197,994
|
|
|
Z
|
5414149,969
|
5414231,187
|
5414232,9
|
|
|
B
|
58,28,09,1570
|
58,28,06,5558
|
58,28,06,8599
|
|
|
L
|
89,31,22,6800
|
89,31,24,0049
|
89,31,24,1486
|
|
|
H(геод)
|
1056,444886
|
1088,734423
|
1084,970208
|
|
|
x
|
6486306,516
|
6486341,288
|
6486350,78
|
6483586,709
|
147212,099
|
147239,054
|
147241,029
|
1364,128
|
|
L0
|
87
|
87
|
87
|
89,5
|
|
γ
|
|
|
2,09,04,2820
|
0,01,11,7240
|
|
m
|
|
|
1,00026537
|
1,00000002
|