Принципы картографии
КУРСОВАЯ
РАБОТА
Топографическая
картометрия: типы задач, способы решения и их значения
Введение
Данная тема очень актуальна,
обусловливается это тем, что картометрия занимается, разработкой методики
измерений на картах, планах и других документах (профили, аэрофотоснимки,
космические снимки). Основными задачами картометрии являются: измерения углов,
длин линий, определения высот (отметок), площадей и объемов на карте и других
измерений.
Исходя из актуальности темы
исследования, главной целью данной курсовой работы является изучение
топографической картометрии (типы задач, способы решения и их значения). Для
достижения данной цели, нам следует решить ряд задач:
1) ознакомиться с
термином «картометрия», рассмотреть предмет и задачи картометрии;
2) рассмотреть
основные способы измерения длин прямых, ломаных и извилистых линий;
3) изучить
основные способы определения высот (отметок) на карте;
4) выявить
основные способы определения площадей, объемов, прямых и географических
координат.
Для написания курсовой работы были
использованы следующие литературные источники, основными среди которых
являются: Д.М. Кудрицкого, Л.А. Фокина и А.М. Берлянт.
1. Теоретические основы
картометрии
1.1 Предмет и задачи
картометрии
картометрия координата отметка
Картометрия является одним из
разделов картографии, она занимается разработкой методики измерений на картах,
планах и других документах (профили, аэрофотосъемки, космические снимки) и в
целях получения количественных характеристик изображенных на них объектов
камеральным путем, то есть без выхода в натуру.
Картометрические работы выполняются
по специальным инструкциям и руководствам, которыми регламентируются масштабы
рабочих карт, применение соответствующих приборов и инструментов и, кроме того,
рекомендуются правила и приемы производства работ, гарантирующие получение по
соответствующим документам требуемых характеристик с надлежащей точностью.
Следует заметить, что в практике
исследований природных ресурсов, особенно при инженерных изысканиях, можно
встретиться с различными подходами к картам, планам и другим географическим
документам.
В большинстве случаев признается,
что такие документы, будучи основанными на геодезических данных, должны
являться наглядными и точными изображениями некоторой совокупности точек земной
поверхности. Если координаты каждой из этих точек (например, координаты вершин
теодолитного полигона или отметки пикетов на профиле) известны, то особой
тщательности построения соответствующих графических документов можно и не
требовать: в данном случае они могут рассматриваться как схемы, облегчающие
аналитическое решение таких задач, как например: определение длинны и
направление линии известной длинны по отметкам ее концов (Фокина Л.А.).
Однако на любом картографическом
документе имеется много точек и контуров, изображенных посредством одних лишь
графических построений, а на аэрофотоснимке все без исключения контуры
получаются проективным путем. Определить количественные характеристики
изучаемых объектов аналитическим методом в этих случаях невозможно, вследствие
чего и избираются иные, картографические методы решения поставленной задачи,
учитывающие не только способ получения тех или иных изображений, что и их
особенности, а также и основу, на которой нанесены изображения. К подобным
документам предъявляются самые высокие требования в отношении точности их
составления, четкости изображения отдельных элементов и сохранности. Поэтому
производству картометрических работ должны предшествовать выбор (если таковой
оказывается возможным) и исследование документа, на котором будут производиться
измерения.
Для суждения о пригодности данной
карты для производства тех или иных, картометрических работ необходимо выяснить
характер и размеры искажений и их распределение по всей площади карты или хотя
бы в районе изучаемого объекта.
Метод измерений объекта следует
избирать сообразуясь с целью производящихся измерений и требуемой их точностью.
Здесь можно отметить, что наряду с понятием о точности масштаба или
геодезической, точности при картометрических работах существует также понятие о
точности «эксплуатационной», вытекающее из задач производящегося исследования.
Очевидно, что применение точных методов или инструментов при работе с заведомо
устарелой, схематической и деформированной картой нецелесообразно.
В то же время на самой точной,
современной карте измерения могут производиться приближенными методами в тех
случаях, когда исследователь удовлетворяется приближенными значениями
количественных характеристик изучаемых им объектов.
По современной топографической карте
могут быть определены координаты и высоты отдельных точек, длины линий, их
наклоны и направления, площади контуров и объемы тел.
Методика, измерений и применяемые в
каждом отдельном случае приемы картометрических работ излагаются далее.
1.2 Современное
состояние и перспективы развитие картометрии
Перечисленные в введении задачи
картометрии до сего времени решаются с помощью сравнительно простых и
общедоступных инструментов и методов, в той или иной мере, удовлетворяющих
запросы потребителей как в отношении точности результатов, так и
своевременности их получения. Однако запросы эти довольно быстро растут,
поэтому картометрия должна совершенствоваться и, используя достижения
современной измерительной и вычислительной техники, перевооружаться. (Кудрицкий,
1976). Обстоятельства, обусловливающие необходимость перевооружения картометрии
таковы:
) требование существенного повышения
точности и максимального ускорения картометрических работ в связи с большим и
все возрастающим увеличением их объема;
) необходимость более тщательного
учета характера и особенностей, а кроме того, и обеспечения сохранности
документов, на которых производятся измерения, документов, являющихся во многих
случаях уникальными;
) существенное увеличение количества
направлений применения картометрии как научно-технической дисциплины, ставшей
тематической.
В этих условиях, естественно, должна
измениться и методика самих измерений: ее разработка, с одной стороны, связана
с использованием уже имеющихся приборов и оборудования, а с другой - с
применением новых, специально создаваемых, в том числе и приборов
автоматических, универсального характера. Необходимость механизации и
автоматизации картометрических работ ощущалась, уже давно; в настоящее время в
связи с развитием дистанционных методов изучения Земли от решения этой задачи в
немалой степени зависит успех применения дистанционных методов и сама
возможность использования получаемых с их помощью сведений.
С применением новых средств
открылись и новые возможности картометрии, проявившиеся в различных
направлениях. Так, с использованием автоматической аппаратуры для считывания
графической информации и ЭВМ в десятки раз ускорилось и облегчилось определение
координат точек по планам и картам. Очень просто находятся прямоугольные
координаты, для определения же географических координат требуется составление
специальных программ, учитывающих при реализации на ЭВМ кроме всего прочего
также и свойства проекции, в которой составлена данная Карта. С помощью тех же
средств оценивается высотное положение точек как самостоятельная задача или в
целях построения профилей по любому заданному направлению. Существенно
облегчается измерение длин линий любой формы, измеряются не только площади, но
и объемы фигур по картам с соответствующими изолиниями. Таким образом, можно
констатировать, что с помощью уже имеющихся полуавтоматических приборов и ЭВМ в
настоящее время могут быть решены все известные задачи картометрии. При
условии, что используемые приборы и оборудование обслуживаются соответствующими
специалистами, от картометриста требуется в одних случаях, наведение визирной
марки на точку или проведение ее по контуру и подача команды на работу прибора
в ручном или автоматическом режиме, а в других - подготовка контура для
измерений, выполняемых соответствующим автоматом. Таково в общих чертах
современное положение картометрии.
Завершением этого этапа развития
картометрии можно считать предложения В.Г. Полякова (1968), В.С. Полоника
(1970) и Е.Е. Ширяева (1973, 1975, 1976). В.Г. Поляков создал прибор, в котором
используется фото-импульсный вариант развертки площади измеряемой фигуры с
обходом вращаемого луча по контуру, как в обычном планиметре. Несмотря на то,
что опытный экземпляр планиметра В.Г. Полякова показал довольно грубые
результаты по причинам, указанным самим автором, идея прибора оказалась
плодотворной и, как можно предполагать, в одном из вариантов получила
осуществление в описываемом ниже универсальном приборе «Геотрейсер» фирмы AGA
(Швеция). Созданный по предложению В.С. Полоника телевизионный автомат
определяет площадь контура суммированием длительности видеоимпульсов,
возникающих от пересечения и изображение контура на фотослое передающей трубки
сканирующим лучом, на выходе он имеет прибор, проградуированный в единицах
площади. Испытания макета прибора показали достаточно устойчивую его работу в
различных условиях с точностью порядка 3%. Используя сканирующее устройство
фототелеграфного аппарата и ЭВМ Е.Е. Ширяев разработал автоматический способ
измерения площадей и периметров (1973), а затем способ определения объемов по
картам изолиний (1976 г.), указав при этом на целесообразность применения
вертикальных плоскостей сечения фигуры.
Процесс массовых измерений по
Ширяеву состоит из следующих этапов:
) считывание изображений контуров и
ввод их в ЭВМ;
) отслеживание контуров, т.е.
определение упорядоченной последовательности координат точек по каждому
контуру;
) определение по найденным
координатам площадей, периметров, объемов;
) выдача значений искомых величин
суммарно или отдельно по каждому контуру на автоматическое цифровое печатающее
устройство (АЦПУ).
Предварительные исследования
показали, что средняя ошибка измерения составляет около 0,1%. Наиболее высокая
точность, достигается при работе с печатными картами, которые Е.Е. Ширяев:
(1975) предлагает печатать люминисцентными красками обеспечивающими точность
выделения контуров и их автоматического распознавания. Это предложение
представляет интерес и, очевидно, должно найти применение в тематической
картометрии.
На Международной выставке
«Картография и география-1976», состоявшейся в Москве, в числе других приборов,
предназначенных для цифровой обработки графической информации, демонстрировался
Геотрейсер-326, являющийся, по существу, универсальным картометрическим
прибором, с помощью которого решаются задачи, возникающие в различных областях
науки и техники.
Геотрейсер-326 предназначен, для
преобразования графических данных в цифровую форму в целях их ввода в
запоминающее устройство или непосредственно в ЭВМ. Как указано в фирменном
описании прибора, он состоит из двух подвижных) рычагов с двумя:
оптико-кодирующими устройствами, преобразовывающими углы α и β, которыми однозначно
определяется точка на чертеже, в координаты х и у с помощью подключенной
настольной ЭВМ.
Оптическая считывающая головка с
командной кнопкой на ней и визирной маркой в виде кружка, награвированного на
стеклянной пластинке, обладает, углом обзора 45° при шестикратном увеличении,
что обеспечивает возможность работы на больших чертежах.
Прибор может подключаться к любой
ЭВМ и любому запоминающему устройству, в которые может вводиться цифровая
информация, Пульт управления состоит из сменных печатных платносителей
стандартных программ для каждой решаемой задачи. С помощью специального
устройства - мультиплексора - можно закладывать в память вместе с угловыми
данными буквенно-цифровую информацию и таким образом обеспечить перевод
аналоговых данных с карт в форму, приемлемую для ЭВМ. Прибор можно также
подключать к ленточному перфоратору и к устройству для магнитной записи.
Геотрейсер может работать и в ручном режиме, кодируя одну точку при нажатии
кнопки на считывающей головке и в автоматическом режиме, при котором
осуществляется непрерывное считывание точек, причем, скорость считывания на
требуемое значение может устанавливаться автоматически.
Геотрейсер-326 имеет шесть
модификаций с изменением размера обрабатываемого изображения - от 420x594 до
840х1188 мм; колеблется и точность, обеспечиваемая различными моделям и - от
0,15 до 0,40 мм. Максимальный вес прибора около 6 кг, он может быть установлен
на любом чертежном столе. При обращении к материалам аэрофотосъемки, особенно
космической фотосъемки, возникает необходимость рассмотрения некоторых их
особенностей, обусловливающих своеобразие, а в некоторых случаях и другие
подходы к решению таких задач, как, например, определение площади того или
иного природного объекта по его изображению на фотографическом снимке. Если
полученный с того или иного носителя фотографический снимок прошел надлежащую
фотограмметрическую обработку (трансформирование), то он пригоден для
производства картометрических работ любым из описанные выше способов. (Берлянт
А.М). В противном случае, т.е. при желании определить площадь по
нетрансформированному космическому снимку, задача крайне усложняется. Для ее
решения потребовалось разработать два алгоритма: сначала по программе «Контур
на сфере», а затем по программе «Контур на плоскости», которые затем были
последовательно реализованы на ЭВМ. В процессе дальнейших исследований обе
программы были сведены в одну программу, предназначенную для географической
привязки космических снимков и их измерительного, дешифрирования. Автор
программ Г.Б. Гонин указывает, что измерения площадей на космических снимках
можно выполнять без геодезических координат точек местности; он полагает, что
фотограмметрийские. методы измерения площадей отдешифрированных контуров,
осуществляемые по программе «Контур на плоскости», обеспечивают точность
порядка 3-4% (Космическая фотосъемка. с. 165). Пока еще совершенно не
разработаны вопросы, связанные с использованием в целях получения
количественных характеристик природных объектов радиолокационных, инфракрасных
и других новых видов аэроснимков. Выяснилось лишь, что существующая аппаратура
для фотограмметрической обработки получаемых как фотографическими, так и
нефотографическими путями изображений не может обеспечить точности, достигнутой
при составлении топографических и других карт по материалам обычной
аэрофотосъемки и космической съемки. Требуются совершенно новые решения и
принципиально иные приборы (Доливо-Добровольский, 1976). Укажем в заключение,
что все способы и приемы картометрических работ, позволяют получать
количественные характеристики элементов ландшафта и их состояния, изображенных
на карте, далеко не одновременно, а часто и без даты составления карты.
Строго-датированные, отражающие сиюминутное состояние элементов ландшафта,
изображения получаются только на аэрофотоснимках и космических снимках.
В этом состоит одно из преимуществ
этих документов перед картами. Однако получающиеся на них изображения
элементов, ландшафта, как и на картах, «застывшие», статические. Поэтому,
естественно, картометрия и по таким документам не может дать сведений об
изменениях, которым подвержены динамичные природные объекты, она была и
остается статической картометрией, несмотря на свое вооружение новейшими
техническими средствами. Правда, некоторые, преимущественно качественные,
характеристики процессов, происходящих на объектах исследований, можно получить
даже по одиночным фотоснимкам. Так, например, по «застывшему» изображению мы
судим о наличии и даже об интенсивности ледохода на реке, оцениваем степень
загрязнения водоема и т.д. Для изучения атмосферных и других процессов и
явлений, а также для прогноза их изменений данные о них наносятся на карту,
приобретающую таким образом специальную нагрузку, придающую карте известную
выразительность. Однако сведения о динамике процесса, которые удается получить
по фотоснимку или специально карте, получаются лишь за счет «домысливания»
изображений, не более. (Фокина А.Л). При многократных фотографических съемках
изучаемого объекта выполненных с борта того или иного носителя, с
использованием материалов наземных наблюдений, стало возможным получение
сведений также о динамике объекта. Однако и в этом случае картометрия остается
статической потому, что в методике измерений, выполняемых на каждом изображении
отдельно, как и при синтезе их, - ничего не изменилось. Потребовался
принципиально новый подход к использованию всего комплекса полученных
различными способами и средствами сведений об изучаемом объекте и специальная
их обработка с помощью ЭВМ. Только при таком подходе стала возможной постановка
вопроса об использовании картометрии также и для изучения динамики природных, в
первую очередь водных объектов. Для этого создали дискретную цифровую модель
устья реки в натуральную величину и показал, что по разработанной им программе
можно получать значения площадей и объемов воды в устье при любом, наперед
заданном значении отметки уровня воды в пределах приливного цикла. Таким образом,
можно утверждать, что картометрия, радикально улучшив свои возможности для
решения основных своих задач, приобрела новое, динамическое, направление,
позволяющее средствами картометрии изучать изменения динамичных природных
объектов в пространстве и во времени. (Берлянт А.М). Таким можно представить
себе в общих чертах ближайшее будущее картометрии. Ее развитие при
исследованиях природной среды и ее ресурсов должно продолжаться вместе с
совершенствованием техники этих исследований, становящихся в подлинном смысле
слова дистанционны.
2.Картометрия
.1 Измерение длин линий
по карте
Измерение длин прямых и ломаных
линий на крупномасштабных и среднемасштабных картах производится с помощью
циркуля-измерителя и поперечного масштаба (рис. 1 и 2) с точностью близкой к
предельной точности данной карты. При измерении длин линий по картам следует
помнить, что в результате измерений получают не длины на земной поверхности, а
величину их горизонтальных проекций на эллипсоиде.
Рис. 1. Одна из сторон поперечного
масштаба (по Фокиной Л. А).
Рис. 2. Положение циркуля-измерителя
при измерении расстояний по карте с помощью линейного масштаба (по Фокиной Л.
А)
При малых углах наклона поверхности
разница в длине наклонной линии и ее горизонтальной проекции мала и может не
учитываться. При измерении расстояний в гористых и горных районах
действительное расстояние вычисляется по формуле:
где d - длина горизонтальной проекции линии; а - угол наклона.
Углы наклона на топографической
карте можно определить по снятому циркулем-измерителем в данном месте карты
заложению (расстоянию между двумя соседними горизонталями) и шкале заложений,
размещенной на полях внизу под рамкой карты (рис. 2).
Аналогичным образом измеряют длины
ломаных линий, беря в раствор циркуля-измерителя каждый прямолинейный отрезок
ломаной отдельно и суммируя их.
Рис. 3. Определение угла наклона
(крутизны ската) путем переноса заложений с карты на график заложений а1
= 1°20', а2 = 3°10' (по Фокиной Л. А)
Очень плавные кривые линии измеряют
как ломаные, разбив предварительно их на прямые отрезки. Для измерения сильно
извилистых линий - рек, береговых линий морей, озер, контуров и т.д. -
пользуются циркулем-измерителем с малым раствором (1,0 мм, 2,0 мм, 4,0 мм),
переставляя его («шагая») по всем изгибам линии. Понятно, что чем извилистость
больше, тем меньше раствор циркуля следует выбирать для измерения линии. Зная,
какой длине на местности соответствует раствор циркуля и сколько «шагов» при
прохождении всей линии сделано, определяют общую ее длину (рис. 4). Следует
помнить, что такой способ при всей его трудоемкости не дает истинных длин
линий, особенно, если измерения проводились по среднемасштабной карте, так как
в результате генерализации извилистые линии на карте укорочены по сравнению с
действительными. Кроме того, перемещая циркуль-измеритель по извилистой линии
измеряют не сами извилины, а их стягивающие хорды. При уменьшении же раствора
приходится сделать большее число «шагов», что приводит к увеличению
систематической ошибки измерений. Поэтому измерения извилистых линий проводят
двумя разными растворами.
Рис. 4. Измерение длин извилистых
линий с помощью циркуля-измерителя с малым раствором игл (по Фокиной Л. А)
Тогда истинная длина извилистой
линии может быть вычислена по формуле:
где l1 и l2 - длины, измеренные двумя разными растворами
циркуля-измерителя d1 и d2. При этом d2 > d1 коэффициент к рассчитывается из соотношения:
Для измерения извилистых и ломанных
линий пользуются также специальным прибором-курвиметром (рис. 5).
Рис. 5. Механический курвиметр (по
Фокиной Л.А)
Находящееся в нижней части прибора
колесико катят по измеряемой кривой. Пройденный путь в сантиметрах считывают по
циферблату. Измеренную по карте длину переводят в натуральную величину.
Очевидно, что точность измерения кривых линий курвиметром ниже, чем
циркулем-измерителем. Кроме того, его не следует использовать для измерения
мелкоизвилистых кривых линий. В исследованиях, проводимых по картам, часто
возникает необходимость подсчета суммарной длины извилистых линий, например,
длину всех рек в речном бассейне. Такие измерения в практике географических
исследований приходится проводить чаще, чем измерения длин отдельных линий, или
их участков. Использование описанного выше способа поочередного промера каждой
отдельной линии делают такие измерения весьма трудоемкими. В этом случае
прибегают к косвенному измерению, основанному на статистических
закономерностях. Доказано, что если на группу произвольно ориентированных на
карте линий наложить сетку квадратов, со стороной d, то число пересечений m
извилистых линий со сторонами квадратов будет пропорциональным их суммарной
длине:
Таким образом, для подсчета
суммарной длины извилистых линий на некотором участке карты достаточно наложить
на них прозрачную палетку с сеткой квадратов и подсчитать число пересечений
каждой из линий со сторонами квадратов (рис. 6). Погрешность таких косвенных
измерений составляет 3-5%.

Точность определения суммарной длины
извилистых линий возрастет, если измерения произвести при разных положениях
палетки. Тогда при N произведенных измерений (числе наложений палетки)
суммарная длина извилистых линий вычисляется по формуле:
Понятно, что точность измерений
будет зависеть от параметра палетки d, числа наложений N и от плотности самих линий и их
взаимной ориентировки.
2.2 Определение высот
(отметок) точек на карте
Высотное положение точек на карте
определяется по их оцифровке или оцифровке соседних горизонталей, а также по отметкам
ближайших характерных точек рельефа, пунктов геодезической основы с учетом
высоты сечения рельефа. Зная сечение рельефа, можно определить отметки
ближайших к характерной точке горизонталей, для этого следует прочесть
ближайшие к ее отметке числа, кратные значению сечения рельефа.
Например, по отметке 242,0 м,
показанной на карте, узнаем, что при сечении рельефа 5 м она находится между
горизонталями с отметками 240 и 245 м.
Определение высоты горизонтали,
оконтуривающая отметку.
Правило - высота горизонтали,
оконтуривающая отметку - это есть цифра минимальная ближайшая и кратная к
высоте сечения. Пользуясь данным способом мы можем определить высоту
горизонтали 290,9, данный фрагмент топокарты масштабом 1:25000, высоту сечения
имеет 2,5 м., значит высота горизонтали, оконтуривающая отметку равна 290.
2.3 Определение площадей
и объемов
Измерение площадей при
географических исследованиях по картам производится планиметрами и с помощью
палеток различного вида. Наиболее распространен полярный планиметр (рис. 7).
Действие полярного планиметра основано на существующей зависимости площади
фигуры и ее линейных элементов. Прибор имеет два рычага - полюсный (1) и
обводной (4) и счетное устройство (6, 7, 8, 9). Полюсный рычаг соединен с
обводным рычагом шарниром (2), а другой конец опирается на неподвижный полюс -
тяжелый цилиндр с иглой в нижней его части (3). При работе благодаря игле
обеспечивается неподвижность полюса. Обводным рычагом со шпилем на конце (5)
обводят измеряемую площадь по контуру. В произвольно выбранной начальной точке
контура берут отсчет по счетному механизму.
Рис. 7. Полярный планиметр. (по
Фокиной Л. А).
Обведя контур по часовой стрелке и
возвратившись вновь в начальную точку, берут второй отсчет m2. Площадь контура
вычисляют по формуле:
где С - цена деления планиметра,
определяемая путем промера какой-либо известной площади Ризв.
Такой известной площадью на топографической карте является квадрат сетки
прямоугольных координат, проводимой через километр или два, а на
мелкомасштабной карте - трапеции, образованные меридианами и параллелями,
площадь которой можно взять из специальных таблиц.
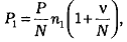
где n1 и n2 отсчеты по счетному устройству соответственно в
начале обводки известного контура и в конце. Точность измерения площадей
планиметром составляет примерно 2-3%. Для повышения точности измерения обводку
контура производят и против часовой стрелки. Универсальным способом измерения
по картам площадей контуров, имеющих сложную неправильную форму, можно считать
палетки. Все палетки представляют собой прозрачные пластинки (сделанные из
пластика, кальки) с нанесенными на них сеткой квадратов (сеточные палетки),
точками (точечные палетки) или параллельными линиями (параллельные палетки).
Палетки накладывают на контур, площадь которого необходимо определить. Если
используют сеточную палетку (рис. 8), то сначала подсчитывают все полные
квадратики, оказавшиеся внутри контура. Долю неполных квадратиков оценивают на
глаз и суммируют:
В этой простой формуле а - сторона
квадратика сетки, выраженная в масштабе карты, п - число квадратиков,
покрывающих контур. В случае использования для измерения площади контура
точечной палетки (рис. 9), подсчитывают число точек, попавших в контур.
Вычисление площади ведется по той же формуле.
Рис. 8. Квадратная сеточная палетка,
наложенная на измеряемую фигуру (по Фокиной Л. А)
Но а в данном случае -
расстояние между точками палетки, a n - их количество в измеряемом контуре. При
измерении площади контура параллельными палетками (рис. 10) используют формулу:
где h - расстояния между
линиями, I - средние (пунктирные) линии.
Рис. 9. Точечная палетка -
видоизмененная квадратная палетка (по Фокиной Л. А)
Рис. 10. Палетка, состоящая из
системы параллельных линий (по Фокиной Л. А)
Измеренную на карте любой палеткой
площадь следует перевести в натуральную величину (действительную на местности)
с помощью масштаба площадей, который равен квадрату линейного масштаба. Если
линии на карте уменьшены по сравнению с их длинами на местности в п раз, то
площади уменьшаются n2 раз. Например для
масштаба 1:10000 (1 см - 100 м) масштаб площадей будет равен (1:10000)2
или 1 см2 - (100 м)2, т.е. 1 га. Экспериментально
установлено, что точность измерения площадей палетками не ниже, а для мелких
контуров выше точности планиметра. Измерение площадей на мелкомасштабных картах
(рис. 11), имеющих искажения, состоит в сгущении сетки меридианов и параллелей
и получении более мелких трапеций, в пределах которых колебания масштаба
площадей не столь значительны.
Рис. 11. Определение площади по
карте в неравновеликой проекции (по Фокиной Л. А)
Трапеции, которые целиком
вписываются в контур, не измеряют. Их площадь определяется с помощью
специальных таблиц. В остальных неполных трапециях, попавших в пределы контура,
по точечной палетке подсчитывают число точек n1 в пределах контура и число точек n2 за пределами его. Площадь неполной трапеции вычисляется по
формуле:
где Р - площадь трапеции на
земном эллипсоиде, взятая из специальных таблиц; N - число точек,
попавших в пределы данной трапеции.
Однако лучше выбирать для измерения
площадей карты в равновеликих проекциях.
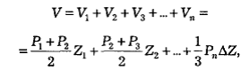
Определение объемов (объемов
осадков, поверхностного и подземного стоков и т.п.) по изолинейным картам можно
вычислить как сумму объемов отдельных слоев, заключенных между плоскостями
сечения (объемов усеченных конусов).
Где P1, P1+2 - площади плоскостей,
ограничивающих слой, Z - высота слоя, 1/3Z - объем вершины (бонуса
с высотой Z).
.4 Определение
прямоугольных и географических координат
Прямоугольные координаты X и Y
определяют положение точки на плоскости, в зоне Гаусса-Крюгера, относительно
осей прямоугольных координат - экватора и осевого меридиана в километрах. Линии
экватора и осевого меридиана взаимно перпендикулярны. В отличии от декартовой
системы, принятой в математике, в картографии за ось X принимается вертикальная
линия осевого меридиана, направленная на север, а за ось Y - линия экватора,
направленная на восток.
Таким образом, для территории
России, расположенной в северном полушарии, все абсциссы (расстояния от
экватора) положительны. Ординаты же в каждой зоне при таком положении осей
координат могут быть как положительными, так и отрицательными. Для того, чтобы
при работе не иметь дело с отрицательными ординатами, ось абсцисс переносят к
западу за пределы зоны на 500 км (рис. 12). Число 500 выбрано потому, что
расстояние от осевого меридиана до крайнего западного меридиана 3°, т.е.
примерно 333 км и было бы неудобным отсчитывать все ординаты от оси с такой
ординатой. Таким образом, каждая из 60 зон Гаусса-Крюгера имеет свою систему
прямоугольных координат, в которой ось ординат является единой для всех зон, а
ось абсцисс в каждой зоне своя. Поскольку координаты точек в различных зонах
могут иметь одинаковые значения, впереди ординаты точки указывается номер зоны.
Например, координаты точки А, расположенной в 4-й зоне, X = 5 346, 200; Y = 4
370,150. Для измерения прямоугольных координат и нанесения точек по заданным
координатам в пределах каждой зоны через 1 км (или через 2 км для масштаба
1:100000) проведены линии, параллельные осям координат, т.е. осевому меридиану
и экватору. Эти линии образуют сетку квадратов и называются километровой сеткой
или сеткой прямоугольных координат.
Параллельные между собой линии
километровой сетки не параллельны рамкам карты, так как оси координат не
параллельны меридианам и параллелям. Вполне понятно, что каждая линия,
параллельная экватору, имеет постоянную абсциссу, а каждая линия параллельная
осевому меридиану-постоянную ординату. Значения координат линий километровой
сетки, выраженные в км, подписаны между внутренней и минутной рамками -
абсциссы справа и слева, ординаты - сверху и снизу.
Причем, вблизи углов рамок трапеции
карты координаты подписываются полностью (первые две - более мелким шрифтом,
две последние - более крупно), у промежуточных линий указывают только две
последние цифры.
Значения прямоугольных координат
точки (объекта) определяются с помощью километровой сетки. Если точка находится
на линиях километровой сетки, то прямоугольные координаты получают сразу,
прочитав оцифровку координатных линий на рамках карты:
Если же точка лежит внутри клеток
сетки, то координаты определяются по координатам ближайших линий километровой
сетки и приращениям координат. Так, например, координаты точки В (рис. 5) вычисляются
следующим образом:
Приращения АХ и AY измеряют с
помощью циркуля-измерителя и линейного масштаба карты и суммируют с
координатами километровых линий. В результате получаем:
Приращения координат могут быть
измерены с помощью специального координатомера - угольника с взаимно
перпендикулярными сторонами.
Заключение
В результате написания данной
курсовой работы можно сделать следующие выводы:
В первой главе мы рассмотрели
предмет и задачи картометрии, современное состояние и перспективы развития
картометрии. И главными задачами являются: измерения длин прямоугольных,
ломанных и извилистых линий, определение высот на карте, определение объемов и
площадей, определения прямоугольных и географических координат. Современное
развитие картометрии связано с открытием новых возможностей картометрии,
проявившиеся в различных направлениях. Так, с использованием автоматической
аппаратуры для считывания графической информации и ЭВМ в десятки раз ускорилось
и облегчилось определение координат точек по планам и картам. Очень просто
находятся прямоугольные координаты, для определения же географических координат
требуется составление специальных программ, учитывающих при реализации на ЭВМ
кроме всего прочего также и свойства проекции, в которой составлена данная
Карта. С помощью тех же средств оценивается высотное положение точек как
самостоятельная задача или в целях построения профилей по любому заданному
направлению. Существенно облегчается измерение длин линий любой формы,
измеряются не только площади, но и объемы фигур по картам с соответствующими
изолиниями. Таким образом, можно констатировать, что с помощью уже имеющихся
полуавтоматических приборов и ЭВМ в настоящее время могут быть решены все
известные задачи картометрии. При условии, что используемые приборы и
оборудование обслуживаются соответствующими специалистами, от картометриста
требуется в одних случаях, наведение визирной марки на точку или проведение ее
по контуру и подача команды на работу прибора в ручном или автоматическом
режиме, а в других - подготовка контура для измерений, выполняемых
соответствующим автоматом. Таково в общих чертах современное положение
картометрии.
Во второй главе мы изучили каждую
задачу в частности, а именно: измерение длин линий по карте проводятся с
помощью циркуля-измерителя и поперечного масштаба, также пользуются специальным
прибором-курвиметром; измерение высот точек на карте проводятся по их оцифровке
или оцифровке соседних горизонталей, а также по отметкам ближайших характерных
точек рельефа, пунктов геодезической основы с учетом высоты сечения рельефа;
измерение объемов и площадей производятся специальным прибором планиметром и с
помощью палеток различного вида (линейная палетка, точечная палетка, клеточная
палетка, палетка с равностоящими точками); прямоугольные и географические
координаты определяются следующим способом: прямоугольные координаты X и Y
определяют положение точки на плоскости, в зоне Гаусса-Крюгера, относительно
осей прямоугольных координат - экватора и осевого меридиана в километрах. Линии
экватора и осевого меридиана взаимно перпендикулярны. В отличии от декартовой
системы, принятой в математике, в картографии за ось X принимается вертикальная
линия осевого меридиана, направленная на север, а за ось Y - линия экватора,
направленная на восток.
Таким образом, все поставленные
задачи решены и основная цель курсовой работы достигнута.
Список литературы
1. Берлянт A.M. Картографический метод исследования. 2-е изд. М.,
1988. - 252 с.
. Берлянт A.M. Картография: Учебник для вузов. М., 2001. - 336 с.
. Бугаевский JI.M. Математическая картография: Учебник для вузов.
М., 1998. - 400 с.
. Востокова А.В. Оформление карт. М., 1985. - 200 с.
. Востокова А.В., Кошель С.М., Ушакова Л.А. Оформление карт.
. Грюнберг Г.Ю. Картографические понятия в школьной географии.
Пособие для учителей. М., 1979. - 95 с.
. Заруцкая И.П., Сваткова Т.Г. Проектирование и составление карт.
Общегеографические карты. М., 1982. - 208 с.
. Заруцкая И.П., Красильникова Н.В. Проектирование и составление
карт. Карты природы. М, 1989. - 206 с.
. Коновалова Н.В., Капралов Е.Г. Введение в ГИС: Учеб. пособие.
Петрозаводск, 1995. - 148 с.
. Курошев Г.Д. Геодезия и картография: Учебник. СПб., 1999. -372
с.
. Плоников В.С. Геодезические приборы: Учебник для вузов.-М.:
Недра, 1987. - 396 с.
. Поляков В.Г Картография с основами топографии: Учеб. пособие для
студентов пед. институтов / Под ред. Г.Ю. Грюнберга. М., 1991. - 368 с.
. Салищев К.А. Картография. 3-е изд. М., 1982. - 272 с.
. Салищев К.Л. Картоведение. 3-е изд. М., 1990. - 400 с.