Анализ производительности труда на ООО Завод 'СТР'
Содержание
Введение
Глава 1.
Производительность труда и ее влияние на экономическую деятельность предприятия
1.1 Сущность и
понятия производительности труда
1.2 Основные
показатели анализа производительности труда
1.3
Экстенсивные и интенсивные пути повышения производительности труда
Глава 2. Анализ
производительности труда на ООО Завод «СТР»
2.1 Общая
характеристика предприятия
2.2 Анализ
финансово-экономической деятельности
2.3 Анализ
трудовых ресурсов
2.4
Производительность труда и ее динамика
Глава 3.
Предложения по повышению производительности труда на ООО Завод «СТР»
3.1 Основные
направления совершенствования
3.2
Эффективность внесенных предложений
Заключение
Список
использованной литературы
Введение
Целью трудовой деятельности является получение продукта труда, то есть
производство и сбыт конкретной продукции, продажа товаров или конкретной
услуги. Для работника и трудового коллектива имеет значение продуктивность
этого труда, выраженная уровнем полученного объёма работы на единицу
трудозатрат, в том числе и единицу времени. И чем выше этот уровень, тем меньше
приходится затрат на единицу времени, так как при высокой продуктивности труда,
наблюдаемой при увеличении объёма работы, снижается уровень издержек особенно
постоянных. Важной задачей организации труда является внимание к росту
продуктивности труда, так как при его увеличении растёт объём работы,
производимый за единицу времени, а время, затрачиваемое на единицу работы,
уменьшается.
Понятие производительности труда, трактовка ее сущности как эффективности
или плодотворности труда в процессе создания потребительной стоимости остается
дискуссионной. Сохраняются различные подходы к ее характеристике и методам
расчета. В отечественной практике по уровням общественного производства
длительное время использовались показатели, основывающиеся на различных
принципах ее расчета. Так, в экономике и ее отраслях производительность
общественного труда и ее динамика отражала экономию совокупных затрат, т.е. не
только живого, но и овеществленного труда на производство продукции. В то же
время на уровне предприятия динамика производительности труда отражала экономию
только живого труда. Это не позволяло агрегировать показатели по уровням
общественного производства и эффективно воздействовать в нужном направлении на
экономические интересы работников.
Рост производительности труда обусловливает снижение издержек и получение
прибыли, необходимой для развития производства. Естественно, возрастают и
личные доходы предпринимателя. Наряду с этим рост производительности является
основой повышения реальной заработной платы и доходов работников; только при
этом условии они могут возрастать без увеличения издержек на единицу (рубль)
продукции. Следует отметить, что высокий уровень реальной заработной платы,
возможность обеспечить работникам дополнительные социальные льготы и выплаты из
прибыли делает предпринимателя более конкурентоспособным как покупателя на
рынке труда: он может привлечь и удержать квалифицированные кадры, произвести
их качественный отбор, заложив тем самым базу для дальнейшего развития фирмы.
Иногда рост производительности труда расценивают как фактор, негативно
влияющий на занятость населения, подразумевая, что для выпуска одного и того же
объёма продукции потребуется меньшая численность работников. Однако если с
некоторой степенью условности это положение и можно признать верным для
краткосрочного периода, то рассматривая общую тенденцию, следует заметить, что
повышение производительности труда создаёт предпосылки для расширенного
воспроизводства, экономического роста, что повышает гарантии занятости и
улучшает условия найма.
Общепризнанна ведущая роль производительности труда в обеспечении
экономического роста и повышении благосостояния населения страны. Во-первых,
экономический рост в условиях ограниченности ресурсов может достигаться прежде
всего за счёт большей эффективности их использования. Во-вторых, достижение
экономического эффекта требует увеличения затрат на накопление в структуре ВВП,
с тем чтобы обновлять изношенные и расширять основные производственные фонды.
Все вышесказанное обусловило актуальность и предопределило выбор темы
данной работы.
Объектом исследования в данной работе является Общество с ограниченной
ответственностью Завод «СТР».
Предметом - трудовые ресурсы предприятия.
Цель работы - выявление основных путей повышения эффективности
использования трудовых ресурсов предприятия. Достижение вышеуказанной цели
предполагает решение следующих взаимосвязанных задач:
. Рассмотрение понятия трудовых ресурсов и их классификации.
.Определение сущности эффективности использования трудовых ресурсов, его
значения в деятельности предприятия, а также методов их оценки.
. Анализ показателей хозяйственной деятельности предприятия.
. Выявление основных путей повышения эффективности использования трудовых
ресурсов на основе проведённого анализа.
Глава 1. Производительность труда и ее влияние на
экономическую деятельность предприятия
1.1 Сущность и понятия производительности труда
Проблема производительности труда и экономического прогресса во все времена
интересовала людей (еще представители «меркантилизма» указывали на значение
производительности для развития нации), а начиная с машинизации производства
этот интерес стал всеобщим. Сначала А. Смит, а позже Д. Рикардо заложили основы
учения о производительности труда, устанавливали простейшие зависимости между
готовым продуктом, числом производительных работников и мощью используемых ими
производительных сил, затем К. Маркс и Ф. Энгельс придали учению о
производительности труда качественно иной характер, определив, что рост
производительности труда определяет экономический, политический и духовный
прогресс общества. В дальнейшем эта проблема никогда не была обойдена вниманием
экономистов, ни по одному другому вопросу не написано столько статей, книг и диссертаций,
как по изучению производительности труда. Но и до сих пор не только
дискутируются вопросы измерения производительности труда, но и существенно
различаются трактовки самой сущности производительности труда.
Процесс труда происходит во времени и рабочее время является мерой затрат
труда. Кроме труда, на производство продукции затрачиваются земля, здания и
сооружения, сырье и материалы, оборудование, энергия, информация и др.
Результатом процесса труда выступает то или иное количество созданного в этом
процессе продукта. Это могут быть товары, услуги, их количественном,
качественном и стоимостном измерении. Понятие «производительность»
характеризует соотношение между результатом и затратами на его достижение.
Поэтому ряд экономистов говорит о производительности оборудования,
электроэнергии, сырья, а зарубежные экономисты - о производительности капитала
(хотя может быть уместнее было бы говорить о продуктивности или экономичности
использования ресурсов, а не производительности). Соотношение же между полученным
результатом и затратами рабочего времени на производство определенной продукции
характеризует понятие «производительность труда».
Изменение соотношения между затратами рабочего времени и результатом
труда характеризует трансформацию производительности труда. Производительность
труда растет, когда данный результат производится при меньших затратах рабочего
времени, и падает, когда на получение того же результата затрачивается больше
рабочего времени. Следовательно, суть роста производительности труда состоит в
увеличении результативности труда в единицу рабочего времени, или в экономии
рабочего времени, затрачиваемого на единицу результата труда.
При определении сущности производительности труда необходимо уточнение
таких понятий как «производительная сила труда» и «производительность труда».
Производительную силу труда необходимо рассматривать как потенциальную
(возможную) производительность, т.е. способность в определенных условиях
обеспечить достижение определенного результата за данный период времени.
Производительность труда выступает как действительная фактическая величина,
т.е. осуществленная возможность. Разница между возможностью и фактически
достигнутой производительностью труда именуется «резервы роста
производительности труда».
Для выяснения сущности производительности труда необходимо уточнить
понятия: «интенсивность труда» и «напряженность труда». В экономической
литературе нет однозначного мнения по соотношению этих понятий.
Чаще всего под интенсивностью труда понимается степень напряженности
труда в процессе производства, которая измеряется расходованием мускульной и
нервной энергии человека. В этом и других подобных определениях понятия
«интенсивность труда» и «напряженность труда» отождествляются. Однако на самом
деле это различные понятия.
Интенсивность труда - это количество энергии, расходуемое организмом
человека в единицу времени в процессе труда. Различают физиологическую, среднюю
и максимально возможную интенсивность труда. Физиологической (или нормальной)
интенсивностью является та, которая дает возможность работнику проявлять себя в
труде на данном рабочем месте, не нанося при этом ущерба здоровью работника, не
вызывая необратимых изменений в его организме и позволяющая работнику физически
и духовно развиваться. В каждой стране, для каждой отрасли существует средний
уровень интенсивности труда. Он изменяется во времени, но в тот или иной момент
является вполне определенной величиной. Максимально возможная интенсивность -
это такая интенсивность, которая вообще достижима хотя бы на короткое время.
Напряженность труда - это степень интенсивности труда по отношению к ее
максимальной величине, т.е. это относительный показатель степени использования
возможностей человека, который не может принимать значения больше единицы, в
силу нереальности превышения границы допустимых возможностей человека.
Следует отделять понятие «тяжесть труда « от его интенсивности. Тяжесть
труда характеризует совокупные, общие условия труда, тогда как интенсивность и
напряженность - лишь одну из сторон самого труда, а именно количество
расходуемой энергии при каждом усилии и частоту повторяемых усилий и все это в
единицу времени. Тяжесть труда совершенно не зависит от степени утомления и
самочувствия работника. Она определяется только объективным характером самой
работы. Тяжесть труда в отличие от интенсивности присуща той или иной профессии
объективно. Человек может самостоятельно изменять свою интенсивность труда, но
изменить тяжесть труда он может только в случае смены профессии или работы.
Однако если уменьшение интенсивности труда влечет за собой, при прочих равных
условиях, понижение производительности труда, то облегчение труда
непосредственно не связано с производительностью труда, оно лишь создает
предпосылки для ее изменения, поскольку рабочий использует новые, лучшие
условия для повышения интенсивности своего труда.
Таким образом, разница между тяжестью и интенсивностью невелика с точки
зрения житейских представлений: человек устает и от физически тяжелой, и от
физически легкой, но интенсивной работы. Однако, если рассматривать
интенсивность и тяжесть труда с точки зрения их влияния на экономику общества,
то разница между ними будет принципиальная: интенсивность труда является
фактором производительности, а тяжесть нет. Более того, тяжесть и интенсивность
в известном смысле могут быть противоположны друг другу и изменяться в разных
направлениях. Тяжесть труда может уменьшаться, а интенсивность - увеличиваться.
Важное место в теории производительности труда занимает вопрос о
взаимосвязи и соотношении производительности и интенсивности труда. Мы исходим
из того, что это две органически связанные между собой категории. Между ними
много общего, но есть и различия.
Повышение производительности труда беспредельно. Рост производительности
труда обусловлен возможностью совершенствования техники, улучшением организации
производства и труда, повышением квалификации работника, возможностью развития
науки и ее применением в производстве, т.е. ограничения для роста
производительности труда практически отсутствуют. В то время как рост
интенсивности имеет свой лимит - определенные физиологические и социальные
границы, за пределами которых разрушаются все нормальные условия
воспроизводства и функционирования рабочей силы.
1.2 Основные показатели анализа производительности труда
Анализ трудовых показателей - это один из основных разделов анализа
работы предприятий.
Основная задача анализа использования труда на предприятии состоит в том,
чтобы выявить все факторы, препятствующие росту производительности труда,
приводящие к потерям рабочего времени и снижающие заработную плату персонала.
Помимо этой существует еще ряд задач - это такие как:
· определение структуры по классификации, т.е. средне
разрядности;
· анализ движения рабочей силы;
· выполнение плана по численности;
· измерение и использование рабочего места;
· определение относительного отклонения численности от
плановой;
· оценка и анализ использования рабочего времени;
· анализ коэффициента сменности.
Основные задачи анализа использования трудовых ресурсов состоят в том,
чтобы наиболее точно оценить выполнение установленных заданий и выявить резервы
дальнейшего роста производительности труда и экономного расходования фонда
заработной платы, увеличения производства продукции.
В связи с этим при анализе использования трудовых ресурсов следует
обратить внимание на правильную оценку соблюдения установленного лимита
численности работающих, итогов выполнения установленных заданий и темпов роста
выработки одного работника и одного работающего, использования рабочего времени,
влияния целодневных и внутрисменных простоев на производительность труда и
объем продукции.
С этой целью проводится оценка обеспеченности предприятия трудовыми
ресурсами, эффективность их использования, движение рабочей силы, а также
изучить степень производительности труда и факторы, влияющие на нее.
В процессе анализа трудовых ресурсов изучается:
· обеспеченность рабочих мест производственных подразделений
персоналом в требуемом для производства профессиональном и квалификационном
составе (обеспеченность производства трудовыми ресурсами);
· использование трудовых ресурсов (рабочего времени) в процессе
производства;
· эффективность использования трудовых ресурсов (изменение
выработки продукции на одного работающего и на этой основе изменение производительности
труда);
· эффективность использования средств на оплату труда.
Анализ трудовых ресурсов проводится по следующим направлениям:
· оценка обеспеченности предприятия трудовыми ресурсами и
движения рабочей силы;
· оценка эффективности использования рабочего времени;
· изучение производительности труда;
· изучение трудоемкости продукции;
· изучение расходов на заработную плату.
Источники информации для анализа:
· план по труду;
· статистическая отчетность отдела кадров по движению рабочих;
· оперативная отчетность цехов, отделов, служб предприятия;
· другая отчетность, связанная с трудовыми ресурсами
предприятия и производственных подразделений и служб в зависимости от
поставленной исследователем цели и задач.
Основными показателями производительности труда являются выработка
(показывает, сколько продукции произведено на единицу затрат труда) и
трудоемкость (величина затрат труда, рабочего времени, на производство единицы
продукции). Они являются обратными друг другу и выражаются формулами:
;
,
где:
W - выработка;- объем продукции (работ, услуг) в соответствующих единицах;-
затраты труда на выпуск продукции (проведение работ) в соответствующих
единицах;- трудоемкость единицы продукции (проведения работ, оказания услуг).
Объем
продукции, работ, услуг (Q) обычно измеряют:
· в натуральных единицах (штуках, тоннах, метрах и т.д.);
· в условных единицах (в условно-натуральных единицах), когда
разные изделия пересчитываются в одно условное изделие, в условный сорт (например,
условное топливо с общей теплопроводностью - 7x106 Ккал. и т.д.);
· в трудовых единицах (нормо-часах);
· в стоимостных единицах (рублях, долларах и т.д.).
· Затраты труда Т обычно измеряют в:
· человеко-часах;
· человеко-днях: среднесписочной численности персонала
(например, в среднесписочной численности промышленно-производственного
персонала, среднесписочной численности рабочих). . В зависимости от уровня
хозяйственной системы, по которой рассчитывается показатель, различают
выработку:
· индивидуальную (личная выработка отдельных работников);
· локальную (выработка на уровне цеха, предприятия, отрасли);
· общественную (на уровне народного хозяйства в целом); она
определяется путем деления произведенного за какой-либо период национального дохода
на численность занятых в материальном производстве.
Рис. 1.1 - Разновидности показателей выработки продукции
. В зависимости от единицы измерения рабочего времени используются
показатели часовой, дневной и месячной (квартальной, годовой) выработки. Эти
показатели позволяют оценить результативность труда с учетом характера
использования рабочего времени. Между указанными показателями существуют
следующие зависимости:
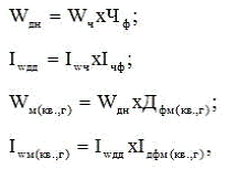
где:
Wч - часовая выработка;дн - дневная выработка;м(кв.,г) - месячная (квартальная,
годовая выработка);ч, IWдд, IWм (кв.,г) - соответственно индексы часовой,
дневной и месячной (квартальной, годовой) выработки;
ЧфДфм(кв.,г)
IЧф, IДфм(кв.,г) - соответственно индексы изменения фактически отработанных
часов в течение рабочего дня и фактически отработанных дней в течение месяца
(квартала, года).
Индексы
изменения натуральных и условно-натуральных показателей выработки (Iwн)
рассчитываются по формуле:
где
WОн - выработка в натуральном (условно-натуральном) выражении в отчетном
периоде; Бн - выработка в натуральном (условно-натуральном) выражении в
базисном периоде.. В зависимости от методов измерения объемов производства
различают натуральный, трудовой и стоимостной показатели выработки.
При
исчислении натурального показателя выработки произведенная продукция и сама
выработка измеряются «в натуре», в физических единицах массы, объема, площади и
т.д., т.е. в штуках, тоннах, килограммах, кубических или квадратных метрах и
т.д. Этот метод прост, нагляден и достоверен. Однако используется редко, так
как на участке, в цехе, предприятии производится совершенно одинаковая
продукция. Его разновидностью является условно-натуральный показатель
выработки, при котором один вид продукции или работы приравнивается к другому
(преобладающему) по относительной трудоемкости. При этом сравнительно
однородная продукция выражается в условно-натуральных единицах (условные тонны,
пары обуви, банки консервов и т.п.). Пересчет изготовленной продукции в
условные единицы происходит умножением объема выпущенной продукции каждого вида
на соответствующий переводной коэффициент.
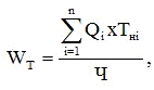
Трудовой
показатель выработки исчисляется по формуле:
где:
Qi - объем производства i-го вида выпускаемой продукции в натуральном
выражении, шт.;нi - фиксированная (неизменная) норма времени на изготовление
единицы i-го вида выпускаемой продукции;- количество видов выпускаемой
продукции;
Ч
- численность работников, принимавших участие в производстве объема продукции,
обозначенного в числителе дроби.
Несмотря
на различия натурального и трудового методов, оба они обладают достаточно
высокой степенью объективности и диагностической способности, поскольку используют
реальные и нормативные данные.
При
расчете стоимостного показателя выработки все виды и объемы продукции, работ и
услуг выражаются в едином денежном показателе (в рублях):
где:
Цi - неизменная оптовая цена i-го вида выпускаемой продукции;
Цi'
- постоянная часть оптовой цены i-го вида выпускаемой продукции.
В
качестве Цi' может выступать чистая продукция, условно-чистая продукция,
норматив стоимости обработки (НСО), норматив чистой продукции (НЧП).
В
качестве Цi' может выступать чистая продукция, условно-чистая продукция,
норматив стоимости обработки (НСО), норматив чистой продукции (НЧП).
Чистая
продукция включает заработную плату с начислениями и прибыль; рассчитывается
путем исключения из стоимости валовой продукции всех материальных затрат,
включая амортизацию.
Условно-чистая
продукция включает заработную плату с начислениями, амортизацию основных фондов
и прибыль; определяется путем вычитания из стоимости валовой продукции прямых
материальных затрат (на сырье, комплектующие изделия, энергию, топливо и т.п.).
Норматив
чистой продукции включает норматив заработной платы с начислениями и
среднеотраслевую прибыль.
Нормативная
стоимость обработки включает: заработную плату производственных рабочих с
начислениями; цеховые расходы; общезаводских расходов. Производственные
материальные затраты и прибыль в НСО не входят.
В
промышленно развитых странах для измерения производительности труда наиболее
часто используются методы:
· нормативный метод измерения производительности (НМИП);
· многофакторная модель (метод) измерения производительности
(МФМИП);
· многокритериальный метод измерения результативности /
производительности (МКМИРП).
Разновидности трудоемкости продукции:. По характеру затрат труда
трудоемкость может быть:
нормативная - величина необходимых затрат труда (рабочего времени) на
производство единицы продукции при сложившихся организационно-технических
условиях; определяется по действующим нормам времени, обслуживания, штатным
расписанием;
фактическая- затраты труда (рабочего времени), которые фактически имели
место в тот или иной период времени;
плановая - затраты труда (рабочего времени), установленные на планируемый
период, с учетом планируемых изменений этих затрат по сравнению с фактическими
в результате проведения организационно-технических мероприятий.
Между трудоемкостью фактической и нормативной существует следующая
зависимость:
где:
tф - трудоемкость фактическая;н - трудоемкость нормативная;
кн
- коэффициент выполнения норм.. В зависимости от состава затрат труда
трудоемкость может быть:
технологическая
- если учитываются затраты труда только основных рабочих, непосредственно
участвующих в изготовлении продукции;
обслуживания
- включает затраты труда рабочих, обслуживающих производство в основных и
вспомогательных цехах;
•
производственная - включает затраты труда всех рабочих: основных и
обслуживающих, т.е.
•
управления - затраты труда руководителей, специалистов, технических
исполнителей и прочего персонала;
•
полная трудоемкость включает затраты труда всего персонала:
1.3 Экстенсивные и интенсивные пути повышения
производительности труда
Под факторами роста производительности труда понимают причины, вызывающие
изменения ее уровня, или объективные условия, определяющие возможность ее
повышения. В отечественной и зарубежной практике существует множество
квалификаций факторов роста производительности труда. Главная цель
классификаций - изучить и систематизировать причины роста производительности
труда, управлять ее ростом. Наиболее широко известна классификация факторов
роста производительности труда, разработанная Госпланом:
. Повышение технического уровня производства:
· механизация и автоматизация производства;
· внедрение новых видов оборудования;
· внедрение новых технологических процессов;
· улучшение конструктивных свойств изделий;
· повышение качества сырья и новых конструктивных материалов.
. Совершенствование управления, организации производства и труда:
· изменение структуры управления;
· увеличение норм и зон обслуживания;
· сокращение потерь рабочего времени;
· сокращение потерь от брака;
· повышение уровня специализации производств.
. Структурные изменения в производстве:
· изменение удельных весов отдельных видов продукции;
· изменение доли полуфабрикатов и комплектующих изделий;
· изменение трудоемкости производственной программы.
. Отраслевые и прочие факторы, характеризующие изменения внешних,
природных условий:
· изменение условий добычи полезных ископаемых (угля, нефти,
руды, торфа);
· изменение содержания полезного вещества;
· ввод в действие новых предприятий.
Все факторы, входящие в группы, можно разделить на
материально-технические, обусловленные уровнем развития и использования
техники, а также на социально-экономические, отражающие степень использования
живого труда. Кроме того, выделим факторы, обусловленные уровнем развития и
использования внутреннего потенциала, ресурсов предприятия, и факторы,
обусловленные использованием фирмой (предприятием) возможностей, которые
предоставляет фирме внешняя среда, и избежанием опасностей, связанных с
функционированием фирмы в условиях рынка. Это внутренний и внешний аспекты
производительности.
С целью повышения производительности труда организуют работу по поиску и
использованию резервов.
Резервы - это потенциальные, реальные возможности сокращения затрат труда
на единицу продукции, а также потери рабочего времени и равноценные им по
экономической сущности непроизводительные затраты труда.
Резервы роста производительности труда классифицируют по:
· источнику роста производительности труда (улучшения
использования средств производства или рабочей силы);
· месту выявления и использования (внутри производственные,
отраслевые, народнохозяйственные);
· функциональной значимости (в основном производстве,
обслуживании, управлении);
· времени использования (текущие, перспективные).
Из перечисленных внутрипроизводственные резервы роста производительности
труда используются непосредственно внутри фирмы. Они включают резервы снижения
трудоемкости, улучшения использования рабочего времени, резервы
совершенствования структуры кадров, экономии предметов труда и резервы экономии
средств труда. Стимулирование персонала предприятия за использование
внутрипроизводственных резервов роста производительности труда - один из
элементов экономического управления.
производительность труд экономический заработный
Глава 2. Анализ производительности труда на ООО Завод «СТР»
2.1 Общая характеристика предприятия
ООО Завод «СТР», как компания, была создана в 2005 г.
Сфера деятельности - ремонт металлорежущих и деревообрабатывающих
станков, компрессорного оборудования.
Место расположения: Витебская область, Витебск, ул.Покровская,5
Организационно-правовая форма: Предприятие Завод «СТР» является
юридическим лицом, обладающее правоспособностью, прошло государственную
регистрацию, имеет все учредительные документы: устав, учредительный договор.
Учредители - частные лица. На предприятии ООО Завод «СТР» - высшая власть
учредителей принадлежит общему собранию. Оно решает вопросы об изменении
устава, о реорганизации или ликвидации общества, утверждает годовые отчёты,
избирает ревизора (комиссию).
Предлагаемая продукция/услуги:
Укрупненный перечень станков подлежащих ремонту и модернизации в рамках
специализации нашего предприятия:
• 1. Зубообрабатывающие станки для цилиндрических и червячных колес до Ф
1250 мм, m до 12;
• 2. Универсально-заточные станки и заточные станки с ЧПУ;
• 3. Универсальные круглошлифовальные станки;
• 4. Бесцентровошлифовальные станки;
• 5. Плоскошлифовальные станки;
• 6. Внутришлифовальные станки;
• 7. Координатно-расточные и координатно-шлифовальные станки;
• 8. Кузнечно-прессовое оборудование.
Изготавливаем специальное оборудование для судостроения - станок
фрезерный с ЧПУ мод.СВО-1Г, прессы гидравлические ПГ-50М и ПГ-100М, станок
токарный СП-200, стенд испытательный СГФ-М и другое оборудование под заказ
Штатное расписание составлено согласно законодательству РБ и Трудовому
кодексу РБ и составляет 43 часа.
Организационная структура предприятия представлена на рисунке 2.1
Рисунок 2.1 Организационная структура ООО Завод «СТР» в 2012 г.
Клиентами услуг предприятия являются многочисленные машиностроительные
предприятия, предприятия по изготовлению мебели, муниципальные
жилищно-ремонтные эксплуатационные предприятия. Помимо ремонта производится и
техническое обслуживание. Принципиальное отличие технического обслуживания от
ремонта заключается в том, что в процессе технического обслуживания обычно не
восстанавливают технический ресурс объекта, а выполняют перечень работ,
регламентированных технической документацией: проверку, смазку, регулировку,
крепление, замену быстро изнашиваемых деталей. В случае необходимости повышения
технического ресурса производится модернизация, т.е. изменение конструкции.
Производится предприятием капитальный ремонт станков, компрессоров, а
также текущий ремонт с заменой отдельных узлов и деталей, как по истечении
межремонтного срока, так и по наработке. За последние 2 года увеличилось
количество клиентов, т.е. можно наблюдать положительную динамику роста услуг,
оказываемых предприятием ООО Завод «СТР».
2.2 Анализ финансово-экономической деятельности
Структура выпуска товарной продукции, произведенной ООО Завод «СТР» за
2012 год приведена в таблице 2.1.
Таблица 2.1 Структура выпуска товарной продукции, произведенной ООО Завод
«СТР» за 2021 год
|
Код ОКОНХ
|
Вид деятельности
|
Объем ТП, млн.руб.
|
Уд.вес
|
|
14831
|
Производство строительных металлоизделий
|
9590
|
0,2%
|
|
14810
|
Производство металлических конструкций
|
1 979 168
|
50,4%
|
|
14820
|
Производство контейнерных и сборно-разборных зданий и
помещений
|
19 459
|
0,5%
|
|
14344
|
Производство прочего оборудования и инструмента
|
269 259
|
6,9%
|
|
14839
|
Производство прочих металлических изделий
|
176 486
|
4,5%
|
|
14782
|
Производство монтажных заготовок, узлов и деталей
|
296 672
|
7,6%
|
|
14252
|
Производство технологической оснастки
|
51 381
|
1,3%
|
|
14772
|
Производство специального технологического оборудования
|
1 119 399
|
28,5%
|
|
51500
|
Погрузочно-разгрузочные и транспортно-экспедиционные работы
и усл
|
2 210
|
0,1%
|
|
51520
|
Услуги по перевозке грузов и другие
транспортно-экспедиционные услуги по заказам населения
|
565
|
0,0%
|
|
Итого
|
|
3 924 189
|
100,0
|
В 2012 году по сравнению с 2011 годом в структуре реализованной продукции
(работ, услуг) произошли изменения в сторону дальнейшего уменьшения доли
рекламоносителей на 4%, остановочных павильонов на 3,5%, работ по изготовлению
оснастки для металлочерепицы - на 5%.Уменьшился по сравнению с 2010 годом объем
реализованной продукции, экспортируемой в дальнее зарубежье. Его доля
уменьшилась на 8,2%. Следует отметить всё еще низкий удельный вес экспортных
поставок в дальнее зарубежье в объеме реализованной продукции (работ, услуг) -
7,2%. В 2011 году поддерживалось появившееся в предыдущем году направление по
изготовлению аттракционов, корпусов терминала и оснований банкоматов. Доля их в
объеме реализованной продукции составила соответственно 8,3%, 4%.
Таблица 2.2 Объем реализованной продукции по основной номенклатуре в 2012
г.
|
Наименование продукции
|
2011 г.
|
2012 г.
|
Изменение
|
|
Сумма, млн.руб.
|
Структура, %
|
Сумма, млн.руб.
|
Структура, %
|
Сумма, т.руб.
|
Структура, %
|
|
Нестандартная продукция по заказам белорусских потребителей
|
952588
|
29,7%
|
862673
|
15,1%
|
-89915
|
-14,6%
|
|
Узлы и детали к обрабатывающим станкам (Франция, Италия)
|
493349
|
15,4%
|
411011
|
7,2%
|
-82338
|
-8,2%
|
|
Аттракционы
|
307506
|
9,6%
|
477637
|
8,3%
|
170131
|
-1,2%
|
|
Щит рекламный
|
233310
|
7,3%
|
185255
|
3,2%
|
-48055
|
-4,0%
|
|
Оснастка для производства металлочерепицы
|
220457
|
6,9%
|
103877
|
1,8%
|
-116580
|
-5,0%
|
|
Корпус терминала, основание банкомата
|
195359
|
6,1%
|
231809
|
4,0%
|
36450
|
-2,0%
|
|
Установка термической переработки отходов
|
170500
|
5,3%
|
0
|
0,0%
|
-170500
|
-5,3%
|
|
Линия переработки порохов
|
157172
|
4,9%
|
7672
|
0,1%
|
-149500
|
-4,8%
|
|
Торговые киоски, остановочные павильоны, дисплеи
|
129794
|
4,0%
|
28390
|
0,5%
|
-101404
|
-3,5%
|
|
Барабан-элеватор, тележка, основание (Латвия)
|
89610
|
2,8%
|
68416
|
1,2%
|
-21194
|
-1,6%
|
|
Нестандартное оборудование комплекса очистки сточных вод
|
80119
|
2,5%
|
93321
|
1,6%
|
13202
|
-0,9%
|
|
Механическая, термическая обработка, покраска для
Комплексов «НПО «Центр»
|
69064
|
2,1%
|
211471
|
3,7%
|
142407
|
1,5%
|
|
Элементы праздничной информации
|
43749
|
1,4%
|
39440
|
0,7%
|
-4309
|
-0,7%
|
|
Труба дымовая
|
26960
|
0,8%
|
0
|
0,0%
|
-26960
|
-0,8%
|
|
Оборудование для строящегося метрополитена
|
19348
|
0,6%
|
1566321
|
27,4%
|
1546973
|
26,8%
|
|
Изготовление гордской мебели (малых архитектурных форм)
|
16251
|
0,5%
|
0,7%
|
21189
|
0,1%
|
|
Заготовительные работы
|
|
|
39468
|
0,7%
|
39468
|
0,7%
|
|
Работы по созданию искусственного желудочка сердца
|
7 300
|
0,2%
|
0
|
0,0%
|
-7 300
|
-0,2%
|
|
Итого:
|
3212436
|
100,0%
|
5725306
|
100,0%
|
2512870
|
100,0%
|
В 2011-2012 гг. выполнен большой объем работ, источником финансирования
которых были средства местного и республиканского бюджетов. В связи с
появлением в 2011 году заготовительного участка увеличилась доля работ для
Комплексов на 1,5%.
Рост объема реализованной продукции (работ, услуг) в фактических ценах
нарастающим итогом с начала года составил 1246,7%. По сравнению с 2011 годом
объем реализованной продукции (работ, услуг) в фактических ценах увеличился на
78,2%.
План 2012 года по выпуску товарной продукции в сопоставимых ценах
доводился в размере 108% по отношению к 2011 году. Фактический объем выпуска
товарной продукции в сопоставимых ценах составил 143,5% по отношению к
предыдущему году.
Структура себестоимости товарной продукции приведена в таблице 2.3
Заметны изменения в сторону увеличения доли покупных изделий и
полуфабрикатов на 9,6%. Это объясняется увеличением объема материалоёмких
работ, уменьшением объема работ по переработке давальческого сырья. Доля
расходов на топливо, энергию на технологические цели уменьшилась на 1,5% в
связи с выполнением менее энергоёмких работ. Так, потребление электроэнергии на
термическом участке за 2012 год уменьшилось на 8,9%. Средняя цена на
электроэнергию в 2012 году увеличилась по сравнению с 2011годом на 7,5%. Доля
расходов на оплату труда уменьшилась на 4,1%. В течение 2012 года ставки I
разряда увеличивались 1 раз. Рост средней ставки I разряда за год составил 10%.
Увеличилась в 2012 году доля амортизации на 1,5% вследствие приобретения нового
оборудования.
Таблица 2.3 Себестоимость товарного выпуска по ООО Завод «СТР»
|
Показатели
|
Ед.изм.
|
2011 г.
|
2012 г.
|
|
|
Величина показателя
|
Структура, %
|
Величина показателя
|
Структура, %
|
|
Сырье и основные материалы
|
млн.руб.
|
949013
|
36,4%
|
1575770
|
30,2%
|
|
Покупные изделия, п/ф, работы и услуги производственного
хар-ра
|
млн.руб.
|
126291
|
4,8%
|
750042
|
14,4%
|
|
Возвратные отходы (вычит.)
|
млн.руб.
|
8 202
|
0,3%
|
494
|
0,0%
|
|
Топливо и энергия на тех. цели
|
млн.руб.
|
91278
|
3,5%
|
102866
|
2,0%
|
|
Основная зарплата пр-х рабочих
|
млн.руб.
|
219553
|
8,4%
|
378025
|
7,2%
|
|
Доп. зарплата пр-х рабочих
|
млн.руб.
|
27815
|
1,1%
|
29587
|
0,6%
|
|
Налоги и обязательные отчисления от заработной платы
|
млн.руб.
|
97732
|
3,7%
|
142674
|
2,7%
|
|
Расходы на подготовку и освоение производства
|
млн.руб.
|
|
|
|
|
|
Износ инструментов и приспособлений целевого назначения
|
млн.руб.
|
67594
|
2,6%
|
133913
|
2,6%
|
|
Общепроизводственные расходы
|
млн.руб.
|
|
|
|
|
|
Общехозяйственные расходы
|
млн.руб.
|
842512
|
32,3%
|
1366300
|
26,2%
|
|
Потери от брака
|
млн.руб.
|
|
|
|
|
|
Прочие производственные расходы
|
млн.руб.
|
195921
|
7,5%
|
741367
|
14,2%
|
|
Производственная себестоимость
|
млн.руб.
|
2609507
|
100,0%
|
5220050
|
100,0%
|
|
Коммерческие расходы
|
млн.руб.
|
|
|
|
|
|
Производственная себестоимость в том числе по элементам
затрат
|
млн.руб.
|
2609507
|
100,0%
|
5220050
|
100,0%
|
|
Сырье и основные материалы
|
млн.руб.
|
940811
|
36,1%
|
1575276
|
30,2%
|
|
Вспомогательные материалы
|
млн.руб.
|
16727
|
0,6%
|
28278
|
0,5%
|
|
Покупные изделия, п/ф, работы и услуги производственного
хар-ра
|
млн.руб.
|
136577
|
5,2%
|
762861
|
14,6%
|
|
Топливо
|
млн.руб.
|
16 378
|
0,6%
|
25 864
|
0,5%
|
|
Энергия
|
млн.руб.
|
159305
|
6,1%
|
176141
|
3,4%
|
|
Расходы на оплату труда
|
млн.руб.
|
460782
|
17,7%
|
709809
|
13,6%
|
|
Отчисления на соц. страхование
|
млн.руб.
|
161274
|
6,2%
|
281009
|
5,4%
|
|
Амортизация
|
млн.руб.
|
129365
|
5,0%
|
340254
|
6,5%
|
|
Прочие расходы
|
млн.руб.
|
588 288
|
22,5%
|
1 320 558
|
25,3%
|
2.3 Анализ трудовых ресурсов
Обеспеченность рабочей силой ООО Завод «СТР» характеризуется данными из
таблицы 2.4.
Таблица 2.4 Состав ООО Завод «СТР» по категориям работающих
|
Категория персонала
|
2011
|
2012
|
Изменения к 2011 г.
|
|
человек
|
% к итогу
|
человек
|
% к итогу
|
человек
|
|
Основные рабочие
|
30
|
53,6
|
31
|
57,4
|
+1
|
|
Вспомогательные рабочие
|
12
|
21,4
|
9
|
16,6
|
-3
|
|
Рабочие
|
42
|
75
|
40
|
74
|
-2
|
|
Руководители специалисты и служащие
|
14
|
25
|
14
|
26
|
0
|
|
Весь персонал
|
56
|
100,0
|
54
|
100,0
|
-2
|
Рисунок 2.2 Удельный вес категорий персонала в общей численности за 2011
год
Из данных таблицы 2.4 видно, что промышленно-производственный персонал в
отчетном периоде по сравнению с аналогичным периодом 2011 года снизился на двух
человек, или на 3,6 процента (2/56*100).
Рисунок 2.3 Удельный вес категорий персонала в общей численности за 2012
год
Из приведенных данных видно, что если в 2011 году на каждые сто
работающих приходилось в среднем 53,6 основных рабочих и 21,4 вспомогательных,
то в 2012 году - основных уже 57,4, а вспомогательных только 16,6. При
абсолютном снижении объема производства продукции по сравнению с 2011 годом на
9,2 процента увеличение удельного веса рабочих следует рассматривать как
отрицательный фактор на анализируемом предприятии. Необходимость анализа
численности персонала по категориям обуславливается тем, что каждая категория
имеет неодинаковое отношение к производственному процессу. Численность
руководителей, специалистов и служащих не должна быть выше предусмотренной
планом. На ООО Завод «СТР» за отчетный и предшествующий период их численность
оставалась постоянной (14 человек) и совпадала с плановым значением. Это
положительный фактор, так как повышение этого контингента работающих против
плана отрицательно сказывается на повышении объема выпуска продукции, снижает
производительность труда и ухудшает другие экономические показатели работы
предприятия при прочих равных производственных условиях.
Из данных таблицы 2.4 видно, что количество основных рабочих по сравнению
с 2011 годом увеличилось на одного человека, или 3,3 процента (1/30*100).
Численность же вспомогательных рабочих снизилась на три человека, или на 25
процентов (3/12*100). Снижение численности вспомогательных рабочих оказывает
влияние на ритмичность работы ООО Завод «СТР», величину внеплановых простоев
оборудования, а также на постановку ремонтного дела.
Для анализа структуры работающих ООО Завод «СТР» используем данные
таблицы 2.5
Таблица 2.5 Основные показатели, характеризующие трудовой потенциал предприятия
по структуре и динамике
|
Показатели
|
2011 год
|
2012 год
|
Процент к 2011г.
|
|
Среднесписочная численность всего человек. Из них:
|
56
|
54
|
96,4
|
|
рабочие
|
42
|
40
|
95,2
|
|
руководители, специалисты и служащие
|
14
|
14
|
100
|
|
Распределение рабочих по характеру выполнения
производственных операций, человек:
|
|
|
|
|
основные рабочие
|
30
|
31
|
103,3
|
|
вспомогательные рабочие
|
12
|
9
|
75
|
|
Состав работников основной деятельности по полу, человек
|
|
|
|
|
мужчины
|
50
|
48
|
96
|
|
в том числе рабочие
|
42
|
40
|
95,2
|
|
женщины
|
6
|
6
|
100
|
|
в том числе рабочие
|
0
|
0
|
100
|
|
Состав основных производственных рабочих по стажу работы на
предприятии, человек:
|
30
|
31
|
103,3
|
|
до года
|
2
|
2
|
100
|
|
от года до 2 лет включительно
|
11
|
9
|
81,8
|
|
от 2 до 5 лет включительно
|
17
|
20
|
117,6
|
|
Возрастной состав основных произв. рабочих, человек:
|
|
|
|
|
до 18 лет
|
2
|
1
|
50
|
|
от 18 до 25 лет
|
6
|
7
|
116,7
|
|
от 26 до 36 лет
|
13
|
15
|
1,15
|
|
37 лет и старше
|
9
|
8
|
88,9
|
|
Состав работников по образовательному уровню, человек
|
|
|
|
|
рабочие, имеющие:
|
|
|
|
|
неполное среднее образование
|
2
|
1
|
50
|
|
общее среднее образование
|
12
|
13
|
108,3
|
|
среднее техническое образование
|
6
|
17
|
106,25
|
|
руководители, специалисты и служащие, имеющие:
|
|
|
|
|
высшее образование
|
8
|
10
|
125
|
|
незаконченное высшее образование
|
3
|
1
|
33,3
|
|
среднее техническое образование
|
3
|
3
|
100
|
|
Распределение вспомогательных рабочих по характеру
механизации труда, человек:
|
|
|
|
|
управление машиной, механизмом и т. п.
|
3
|
2
|
66,7
|
|
выполнение операции при помощи механизированного
инструмента
|
9
|
7
|
77,8
|
Распределение численности рабочих по разрядам характеризуется данными
таблицы 2.5. Рассчитаем средний квалификационный уровень рабочих в 2011 году:
В 2012 году средний квалификационный уровень рабочих составил:
Для проведения анализа обеспеченности предприятия трудовыми ресурсами
воспользуемся данными таблицы 2.6. Из этих данных можно выявить абсолютные
отклонения (экономию или перерасход) по сравнению с плановыми показателями отчетного
и предыдущего годов.
Таблица 2.6 Расчет абсолютного отклонения фактической численности
работающих от плановой
|
Показатели
|
Среднесписочная численность персонала, человек
|
Абсолютный излишек (+) или недостаток (-) работников,
человек.
|
|
IV квартал 2011 г.
|
2012 год
|
По плану в сравнении с IV кв.2011 года
|
Фактически в сравнении с IV кв.2012 года
|
Фактически в сравнении с планом
|
|
|
план
|
отчёт
|
|
|
|
|
Численность промышленно-производственного персонала
|
56
|
58
|
54
|
-2
|
-4
|
|
в т.ч. рабочих, из них:
|
42
|
44
|
40
|
+2
|
-2
|
-4
|
|
основные
|
30
|
32
|
31
|
+2
|
+1
|
-1
|
|
вспомогательные
|
12
|
12
|
9
|
-
|
-3
|
-3
|
|
руководители, специалисты и служащие
|
14
|
14
|
14
|
-
|
-
|
-
|
Так численность промышленно-производственного персонала планировалось
увеличить по сравнению с 2011 года на 2 человека, фактически же она снизилась
на два человека, а в целом план по численности промышленно-производственного
персонала недовыполнен на 4 единицы, что отрицательно отразилось на выполнение
плана по производству продукции, который недовыполнен на 15,6 процентов. Из
данных таблицы 2.6 виден недостаток рабочей силы по основным рабочим 1
человека, по вспомогательным 3 человека. Данные о недоукомплектованности ООО
Завод «СТР» рабочими кадрами предоставлены в таблице 2.7
Таблица 2.7 Обеспеченность ООО Завод «СТР» кадрами
|
Показатель
|
План 2011 года
|
Отчет 2012 года
|
Дефицит рабочей силы
|
Недоукомплектованные рабочие места
|
|
Средне-списочная численность
|
Число рабочих мест
|
Средне-списочная численность
|
Число рабочих мест
|
|
|
|
Всего по рабочим, в т.ч.
|
44
|
38
|
40
|
38
|
4
|
0
|
|
основные рабочие
|
32
|
30
|
31
|
30
|
1
|
0
|
|
вспомогательные рабочие
|
12
|
8
|
9
|
8
|
3
|
0
|
Итак, имеется дефицит рабочей силы как по основным, так и по
вспомогательным рабочим, при этом неудокомплектованности рабочих мест нет, то
есть предприятие оборудовано на фактическую численность рабочих, плановая же
численность не обеспечена рабочими местами. Плановый ремонт станков и
оборудования рассчитан исходя из планового количества рабочих, поэтому план по
ремонту не выполнен.
На основании таблицы 2.8 можно произвести анализ движения рабочих кадров
в течение отчетного года в разрезе кварталов.
Таблица 2.8 Движение рабочих кадров ООО Завод «СТР» за 2012 год
|
№ строки
|
Показатель
|
Всего за год
|
В том числе по кварталам
|
|
|
|
I
|
II
|
III
|
IV
|
|
1
|
Состояло рабочих по списку на начало отчетного года
|
56
|
56
|
55
|
55
|
56
|
|
2 2.1 2.2
|
Принято рабочих, всего (сумма строк 2.1-2.2) В том числе:
окончивших профессионально-технические училища принятых самим предприятием
|
3 2 1
|
- - -
|
2 1 1
|
1 1 -
|
- - -
|
|
3 3.1 3.2 3.3
|
Выбыло рабочих, всего (сумма строк 3.1-3.3) В том числе:
в связи с переходом на учебу, призывом на военную службу, уходом на пенсию и
другим причинам, предусмотренными законом по собственному желанию по
сокращению штатов
|
5 1 4 -
|
1 1 - -
|
2 - 2 -
|
- - - -
|
2 - 2 -
|
|
4
|
Число рабочих, состоявших в списочном составе предприятия
весь отчетный период
|
51
|
55
|
53
|
55
|
54
|
|
5
|
Среднесписочное число рабочих
|
54
|
55
|
55
|
56
|
55
|
|
6
|
Коэффициент оборота по приему, %(стр.2/стр.6*100)
|
5,6
|
-
|
3,6
|
1,8
|
-
|
|
7
|
Коэффициент оборота по выбытию, % (стр.3/стр.6*100)
|
9,3
|
1,8
|
3,6
|
-
|
3,6
|
|
8
|
Коэффициент текучести, % ((стр3.2+стр.3.3)/стр.6*100)
|
7,4
|
-
|
3,6
|
-
|
3,6
|
|
9
|
Коэффициент постоянства кадров, % (стр.5/стр.6* 100)
|
94,4
|
100
|
96,36
|
98,2
|
98,18
|
Из данных таблицы 2.8 видно, что в течение 2012 года было принято 3
человека, а уволено 5, что снизило общую среднесписочную численность на 2
единицы. Из пяти уволенных, лишь один уволился по уважительной причине, а 80%
процентов (4/5*100%) по неуважительным причинам, что показывает значительную
текучесть кадров. К причинам текучести кадров можно отнести перемену места
жительства, неудовлетворенность размерами заработной платы, неблагоприятные
условия и режим труда на предприятии.
Коэффициент текучести в 2012 году составил 7,4. Коэффициент постоянства
кадров составляет 94,4 процента, что является положительным фактором и
характеризует уровень привлекательности работы на предприятии, как высокий.
Анализ численности рабочей силы, ее состава и движения заканчивается
установлением влияния изменения численности рабочих на выполнение плана выпуска
продукции и разработкой мер по улучшению квалификационного и профессионального
состава работников. Влияние численности рабочих на объем выпуска продукции
определим, используя данные таблицы 2.9.
Таблица 2.9 Влияние численности рабочих на объем выпуска продукции
|
Показатели
|
План
|
Факт
|
Абсолютное отклонение
|
|
Объём услуг по ремонту, млн.руб.
|
23830
|
20105
|
-3726
|
|
Среднесписочное число работающих - всего. В том числе
рабочих
|
58 45
|
54 40
|
-4 -5
|
|
Общее число человеко-дней, проработанных в течение
отчетного периода
|
9360
|
8240
|
-1120
|
|
Общее число человеко-часов, проработанных в течение
отчетного периода
|
74692,8
|
65508
|
-9184,8
|
|
Число дней, проработанных одним рабочим
|
208
|
206
|
-2
|
|
Продолжительность рабочего дня, ч.
|
7,98
|
7,95
|
-0,03
|
|
Среднегодовая выработка на одного работающего, руб.
|
410,9
|
372,3
|
-38,6
|
|
Среднегодовая выработка на одного рабочего, руб.
|
529,6
|
502,6
|
-27
|
|
Среднедневная выработка на одного рабочего, руб.
|
2,55
|
2,4
|
-0,15
|
|
Среднечасовая выработка на одного рабочего, руб.
|
0,32
|
0,3
|
-0,02
|
Из данных таблицы 2.9 видно, что на анализируемом предприятии фактическая
численность рабочих меньше, чем предусмотрено планом, на 4 человека.
Среднегодовая плановая выработка на одного рабочего предусмотрена в размере
529,6 млн. рублей.
Чтобы установить влияние изменения численности рабочих против плана на
объем выпуска продукции, нужно среднегодовую плановую выработку одного рабочего
умножить на отклонение численности от плана. Так произведем расчет влияния
уменьшения численности против плана на объем выпускаемой продукции:
(45 - 40) * 529,6 = 2648.
То есть меньшая против плана численность рабочих дает недовыполнение
плана на 2648 млн. рублей.
.4 Производительность труда и ее динамика
Анализируя таблицу 2.10 надо учитывать, что среднесписочная численность
производственных рабочих в 2011 году была 42 человека, в 2012 - 40 человек.
На основе данных таблицы 2.10 исчисляются показатели, характеризующие
использование рабочего времени за отчетный период:
Таблица 2.10 Структура и динамика фонда рабочего времени производственных
рабочих
|
Показатели
|
Фактически за 2011 год
|
Фактически за 2012 год
|
Изменение фонда времени
|
|
человеко-дней
|
тоже в % к итогу
|
среднее число дней на 1 рабоч.
|
человеко-дней
|
тоже в % к итогу
|
среднее число дней на 1 рабоч.
|
в %%
|
в днях
|
|
1. Отработано рабочими всего
|
8862
|
57,6
|
211
|
8240
|
56,7
|
206
|
-0,9
|
-5
|
|
2. Целодневные простои
|
0
|
0,0
|
0
|
280
|
1,9
|
7
|
1,9
|
7
|
|
3. Неявки на работу - всего
|
1596,2
|
10,4
|
38
|
1401
|
9,6
|
35
|
-0,7
|
-3
|
|
а) очередные отпуска
|
882
|
5,7
|
21
|
800
|
5,5
|
20
|
-0,2
|
-1
|
|
б) учебные отпуска
|
0
|
0,0
|
0
|
0
|
0,0
|
0
|
0,0
|
0
|
|
в) болезни
|
401
|
2,6
|
10
|
346
|
2,4
|
9
|
-0,2
|
-1
|
|
г) неявки, разрешенные законом
|
29,4
|
0,19
|
1
|
36
|
0,25
|
1
|
0,1
|
0
|
|
д) неявки, разрешенные администрацией
|
283,8
|
1,8
|
7
|
218
|
1,5
|
5
|
-0,3
|
-1
|
|
е) прогулы
|
0
|
0,0
|
0
|
1
|
0,0
|
0,025
|
0,0
|
0,025
|
|
4. Праздничные и выходные дни
|
4914
|
32,0
|
117
|
4600
|
31,7
|
115
|
-0,3
|
-2
|
|
5. Календарный фонд рабочего времени (1+2+3+4)
|
15372,2
|
100,0
|
366
|
14521
|
100,0
|
363
|
0,0
|
-3
|
|
6. Табельный фонд времени рабочих (5-4)
|
10458,2
|
68,0
|
249
|
9921
|
68,3
|
248
|
0,3
|
-1
|
|
7. Максимально возможный фонд времени (6-За)
|
9576,2
|
62,3
|
228
|
9121
|
62,8
|
228
|
0,5
|
0
|
. использование календарного времени за 2012 год: 8240 / 14520 = 0,567,
или 56,7 процента;
. использование календарного времени за 2011 год: 8862 / 15372 = 0,577,
или 57,7 процента;
. использование табельного фонда времени за 2012 год: 8240 / 9920 =
0,831, или 83,1 процента;
. использование табельного фонда времени за 2011 год: 8862 / 10458 =
0,847, или 84,7 процента;
. использование максимально возможного фонда рабочего времени за 2012
год: 8240 / 9120 = 0,903, или 90,3 процента;
. использование максимально возможного фонда рабочего времени за 2011
год: 7. 8862 / 9576 = 0,925, или 92,5 процента.
Разность между делимым и делителем последнего показателя 880 человеко-дня
(8240 - 9120) характеризует резерв времени, который может быть использован для
увеличения выпуска продукции. При чем на долю таких резервов времени, как
неявки по болезни, с разрешения администрации, по причине прогула и целодневные
простои приходится 1680 человеко-дней (280 + 346 + 836+218), или 50,3 процента
общего числа человеко-дней потерь рабочего времени (845/1680*100%=50,3).
В анализируемом периоде использование календарного времени ухудшилось на
5,5 процентов за счет увеличения потерь по целодневным простоям с 0 процентов
до 1,9 процента, по неявкам, разрешенным законом с 0,19 процента до 0,25 процента,
по прогулам с 0 процента до 0,025 процента. Использование табельного времени
также снизилось на 6 процентов, а использование максимально возможного фонда
рабочего времени уменьшилось на 4,76 процента.
Подсчитаем, сколько ООО Завод «СТР» недополучило ремонта оборудования за
счет целодневных простоев, для этого найдем произведение количества целодневных
простоев, приходящихся на одного рабочего, плановой среднедневной выработки
одного рабочего и среднесписочного числа рабочих: 7 * 2,55 * 40 = 714 млн. рублей.
Таким образом, предприятие недополучило в результате целодневных простоев
714 000 рублей от ремонта оборудования. Необходимо выяснить причины простоев и
принять меры по предупреждению подобных ситуаций.
Как показывают данные таблицы 2.10, структура распределения календарного
фонда времени рабочих в отчетном периоде существенно изменилась: уменьшилась
доля фактически отработанного времени (-0,9 процента), снизился удельный вес
неявок на работу (-0,7 процента). В целом доля максимально возможного фонда времени
увеличилась на 0,5 процента. Такие изменения привели к структурным изменениям в
среднем числе дней работы одного рабочего: на 5 дней уменьшилось фактически
отработанное время, сократились неявки на работу (3 дня).
Коэффициент использования установленной продолжительности рабочего
периода за 2012 год: 206 / 228 * 100 = 90,3 процента, то есть 9,7 процента (100
- 90,3) - резерв рабочего времени и может быть использован на наращивании
объемов производства без дополнительного привлечения численности рабочих.
Среднее число дней отработанных одним рабочим составляет:
за 2011 год - 211 дней;
за 2012 год- 206 дней
Снижение показателя на 5 дней отражает уменьшение производительности
труда одного работника промышленно-производственного персонала к показателям прошлого
года.
Анализ факторов, оказавших влияние на формирование фонда рабочего
времени, производится по данным таблицы 2.11.
Как видно из таблицы 2.11, фонд рабочего времени уменьшился на 6543,5
человеко-дней, или на 22,4 процента (22711 / 29254,5 * 100), и численность
рабочих уменьшилась на 6 человек, или на 4,4 процента (129 / 135 * 100). Более
быстрое уменьшение реального фонда рабочего времени по сравнению с уменьшением
численности рабочих объясняется некоторым ухудшением использования рабочей силы
на производстве.
Таблица 2.11 Использование рабочего времени
|
Показатели
|
По плану
|
Фактически
|
Отклонения от плана
|
|
1. Время, отработанное всеми рабочими за год:
а)человеко-дней б)человеко-часов
|
9360 74692,8
|
8240 65508
|
-1120 -9184,8
|
|
2.Среднесписочная численность рабочих, человек
|
45
|
-5
|
|
3. Среднее количество дней, отработанных одним списочным
рабочим в году (стр.1а/стр.2)
|
208
|
206
|
-2
|
|
4. Среднее количество часов, отработанных одним списочным
рабочим в году (стр.1б/стр.2)
|
1659,84
|
1637,7
|
-22,14
|
|
5. Продолжительность рабочего дня, ч (стр.1б/стр.1а)
|
7,98
|
7,95
|
-0,03
|
Проанализируем влияние каждого фактора в отдельности на основе
аналитических расчётов в таблице 2.12.
Уменьшение продолжительности рабочего года на 2 дня (208 - 206) привело к
снижению реального фонда на 638,4 человеко-часов (65755,2 - 66393,6).
Сокращение рабочего дня на 0,03 часа (7,95 - 7,98) уменьшило полезный фонд
времени на 247,2 человеко-дня (65508 - 65755,2).
Суммарное действие анализируемых факторов дает снижение фонда полезного
времени на 9184,8 человеко-часов (65508 - 74692,8 = -9184,8 или ((66393,6 -
74692,8) + (-638,4) + (-247,2)).
Таблица 2.12 Анализ влияния факторов на использование рабочего времени
|
Показатели
|
Фактически
|
Фактически отработанные человеко-дни при плановой
продолжит. рабочего дня
|
Фактический фонд времени при плановой продолжительности
рабочего периода
|
План
|
|
Численность рабочих, человек
|
40
|
40
|
40
|
45
|
|
Продолжительность рабочего периода (года), дней
|
206
|
206
|
208
|
208
|
|
Продолжительность рабочего дня, ч.
|
7,95
|
7,98
|
7,98
|
7,98
|
|
Итого фонд рабочего времени, человеко-часов
|
65508
|
65755,2
|
66393,6
|
74692,8
|
Отметим также, что у механиков и энергетиков есть рабочие, работающие во
вредных условиях труда, а также есть занятые тяжелым физическим трудом.
Спецификой ремонта является работа в условиях повышенной загазованности и
повышенной запыленности воздуха. Поэтому единственный способ защиты рабочих -
это минимальное воздействие вредных условий труда на организм (спецодежда и
спецоборудование) и меры по восстановлению здоровья (дополнительные дни
отпуска, профилактическое лечение, обеспечение полноценного питания и т.п.).
Эти меры не только позволят сохранить здоровье работников предприятия, но также
повысят уровень мотивации сотрудников, уменьшат текучесть кадров.
Анализ динамики и выполнения плана по уровню трудоемкости ремонта
оборудования ООО Завод «СТР» рассмотрен в таблице 2.13.
Из таблицы 2.13 видно, что плановое задание по снижению трудоемкости
продукции в целом по ООО Завод «СТР» значительно не довыполнено. Плановое
задание по снижению трудоемкости ремонта к прошлому году: 3,13/ 3,19 * 100 = 98
процентов; 98 - 100 = -2 процента, то есть планировалось снизить трудоемкость
по сравнению с прошлым годом на 2 процента. Фактически же произошло увеличение
трудоёмкости к уровню прошлого года: 3,26 / 3,19 * 100 = 102 процента; 102 -
100 = 2 процента, что является негативным моментом.
Таблица 2.13 Анализ динамики и выполнения плана по уровню трудоемкости
ремонта станков и оборудования
|
Показатели
|
2011 год
|
2012 год
|
Рост уровня показателя, %
|
|
|
план
|
факт
|
план к 2011 году
|
факт к 2011 году
|
факт к плану
|
|
Товарная продукция, млн. руб.
|
22140
|
23830
|
20104
|
107,6
|
90,8
|
84,4
|
|
Отработано всеми рабочими человеко-часов
|
70718
|
74692,8
|
65508
|
105,6
|
92,6
|
87,7
|
|
Удельная трудоемкость на 1 млн руб.
|
3,19
|
3,13
|
3,26
|
98,1
|
102,0
|
104,0
|
|
Среднечасовая выработка, руб.
|
313,1
|
319,0
|
306,9
|
101,9
|
98,0
|
96,2
|
Плановый прирост производительности труда (часовой выработки) за счет
снижения трудоемкости продукции, по формуле:
Изменение СВ = Изменение ТЕ%*100/100-изменение ТЕ%,
где ТЕ - трудоёмкость, СВ - среднечасовая выработка. 2 * 100 / 100 - 2 =
2 процента.
Фактическое снижение производительности труда (часовой выработки) за счет
повышения трудоемкости продукции к уровню прошлого года: 2 * 100 / 100 + 2 =
1,96 процента
План по снижению трудоемкости не выполнен, в результате чего
среднечасовая выработка продукции уменьшилась на 0,04 процента (2 - 1,96).
Зная, как изменилась среднечасовая выработка, можно определить изменение
трудоемкости продукции по формуле:
Изменение ТЕ% = изменение СВ%*100/100 + изменение СВ%.
Т.е.: плановое изменение трудоемкости = 2 * 100 / 2 + 100 = 1,96
процента;
фактическое изменение трудоемкости = 1,96*100 / 1,96 + 100 = 1,92
процента;
Таким образом, между трудоемкостью продукции и уровнем производительности
труда существует обратно пропорциональная связь.
Далее в процессе анализа трудоемкости продукции необходимо изучить
показатели удельной трудоемкости по видам продукции на основе данных таблицы
2.14.
Таблица 2.14 Анализ удельной трудоемкости по видам ремонта
|
Вид продукции
|
Объем производства, т. шт.
|
Удельная трудоёмкость на 1 шт.
|
Затраты труда на выпуск продукции, человеко - часов
|
|
план
|
факт
|
план
|
факт
|
по плану
|
по плану на фактический выпуск
|
фактически
|
|
Капитальный ремонт
|
|
Металлорежущие станки
|
29
|
24
|
360
|
360
|
10440
|
8640
|
8640
|
|
Деревообрабатывающие станки
|
30
|
26
|
200
|
200
|
6000
|
5200
|
5200
|
|
Компрессорное оборудование
|
53
|
48
|
128
|
128
|
6784
|
6144
|
6144
|
|
Текущий ремонт
|
|
С заменой отдельных узлов и деталей по истечению срока
|
120
|
109
|
64
|
64
|
7680
|
6976
|
6976
|
|
С заменой узлов и деталей по наработке
|
129
|
117
|
56
|
56
|
7224
|
6552
|
6552
|
|
Техническое обслуживание
|
|
Проверка оборудования
|
251
|
240
|
16
|
16
|
4016
|
3840
|
3840
|
|
Смазка
|
283
|
276
|
18,4
|
18,4
|
5207,2
|
5078,4
|
5078,4
|
|
Регулировка
|
259
|
252
|
20
|
20
|
5180
|
5040
|
5040
|
|
Крепление деталей
|
224
|
216
|
16
|
16
|
3584
|
3456
|
3456
|
|
Замена устаревших деталей
|
253
|
240
|
18,4
|
18,4
|
4655,2
|
4416
|
4416
|
|
Модернизация оборудования
|
18
|
11
|
940
|
940
|
16920
|
10340
|
10340
|
|
Итого:
|
|
|
|
|
77690,4
|
65682,4
|
65682,4
|
Как видно из таблицы 2.14, общая трудоемкость услуг по ремонту по
сравнению с планом снизилась на 12008 человеко-часов (77690,4 - 65682,4). Но
произошло это не за счет снижения удельной трудоемкости по видам ремонта, а
из-за снижения количества фактически произведенного ремонта. Таким образом,
удельная трудоемкость по видам ремонта осталась на уровне плана. Это также
подтверждается данными таблицы 2.15.
Таблица 2.15 Анализ трудоемкости производственной программы ООО Завод
«СТР»
|
Показатели
|
Формула
|
Значение, человеко-час
|
|
Плановая трудоемкость производственной программы
|
Сумма (tiпл * qiпл), при i от 1 до n
|
77690,4
|
|
Плановая трудоемкость фактически выпущенной продукции
|
Сумма (tiпл * qiф), при i от 1 до n
|
65682,4
|
|
Фактическая трудоемкость
|
Сумма (tiф* qiф), при i от 1 до n
|
65682,4
|
|
Общее изменение трудоемкости производственной программы
(стр.3 -стр.1), в т.ч.
|
-
|
-12008
|
|
за счет изменения объема выпуска продукции (стр.2 -стр.1),
|
-
|
-12008
|
|
за счет изменения трудоемкости конкретных изделий (стр.3 -
стр.2)
|
-
|
-
|
Таким образом, необходимо высвободить резервы снижения удельной
трудоемкости ремонта по отдельным видам оборудования и в целом по предприятию
за счет уменьшения затрат рабочего времени на ремонт, снижения
непроизводительных затрат времени, экономии рабочего времени в связи с
внедрением мероприятий научно-технического прогресса.
По данным таблицы 2.16 оценивается выполнение годового плана по
производительности труда: по темпам роста производительности труда и по уровню
выработки на одного работающего.
Из данных таблицы 2.16 видно, что в 2012 году было запланировано повысить
уровень выработки товарной продукции на одного работающего по сравнению с 2011
годом на 4 процента. Однако, уровень выработки не только не достиг планового
(-9, 4 процента), но даже не превысил значения прошлого года (-5,8 процента).
Это привело к невыполнению плана по выпуску товарной продукции соответственно
на 15,6 процента и 1,2 процента.
Таблица 2.16 Расчет показателей выполнения годового плана по
производительности труда
|
Показатели
|
План 2012 год
|
Фактически
|
Темп роста по сравнению с предыдущим годом, %
|
Выполнение плана, %
|
|
|
2011 год
|
2012 год
|
план
|
факт
|
|
|
Товарная продукция в оптовых ценах, млн. руб.
|
23830
|
22140
|
20104
|
107,63
|
90,80
|
84,4
|
|
Среднесписочная численность промышленно производственного
персонала, человек
|
58
|
56
|
54
|
103,57
|
96,43
|
93,10
|
|
Выработка товарной продукции на одного работника
промышленно-производственного персонала, млн. руб.
|
410,86
|
395,36
|
372,30
|
104
|
94,2
|
90,6
|
В таблице 2.17 рассмотрим динамику и уровень выполнения плана по
производительности труда за три года.
Таблица 2.17 Оценка выполнения плана по производительности труда за три
года
|
Показатели
|
Сравниваемый период
|
Итого за три года
|
|
2010 год
|
2011 год
|
2012 год
|
|
|
Ежегодные плановые темпы роста производительности труда
|
101
|
103
|
104
|
108,2
|
|
Ежегодные фактические темпы роста производительности труда
|
92,7
|
96,8
|
94,2
|
84,5
|
Плановый темп роста производительности труда в 2012 году по сравнению с
2010 годом составляет 108,2 процента (1,01 * 1,03 * 1,04 * 100), фактически он
снизился до 84,5 процента (0,927 * 0,968 * 0,942 * 100). Следовательно, за три
года план роста производительности труда недовыполнен на 22 процента (84,5 /
108,2 * 100- 100).
На основе данных таблицы 2.17 произведем анализ производительности труда.
В 2011 году выработка на одного работающего составляла 91164 рублей, в
следующем году товарной продукции было выпущено на 12021013 рублей, что на 8,43
процента меньше, чем в 2011 году.
При этом численность работающих сократилась на 3,6 процента, а выработка
на одного работающего - на 5,8 процента. Для получения расчетной численности
промышленно-производственного персонала нужно подсчитать, сколько потребовалось
бы рабочих для выпуска товарной продукции в объеме 2012 года при выработке на
одного работающего на уровне 2011 года: 20104 / 395,36 = 51 человека. То есть
из-за снижения выработки на одного работающего, оказалось дополнительно
привлеченными 3 человека.
Таблица 2.18 Исходные данные для анализа производительности труда
|
Показатели
|
2011 год
|
2012 год
|
Процентное отклонение
|
|
Товарная продукция, млн. рублей
|
22140
|
20104
|
90,8
|
|
Среднесписочная численность промышленно-производственного
персонала, человек
|
56
|
54
|
96,4
|
|
Выработка на одного работающего, млн. рублей (стр. 1 /
стр.2)
|
395,36
|
372,30
|
94,2
|
|
Расчетная численность промышленно-производственного
персонала, человек (стр.1 гр.4 / стр.3 гр.З)
|
-
|
51
|
-
|
|
Экономия (-), дополнительное привлечение (+) работающих,
человек (стр.2 - стр.4)
|
-
|
+3
|
-
|
Анализ производительности труда рабочих проводится на основе данных
таблицы 2.19.
Таблица 2.20 Анализ производительности труда рабочих
|
Показатели
|
План
|
Факт
|
Отклонение от плана (+/-)
|
Выполнение плана, %
|
|
Товарная продукция, млн. рублей
|
23830
|
20104
|
-3726
|
84.36
|
|
Среднесписочная численность промышленно-производственного
персонала, человек
|
58
|
54
|
-4
|
93.10
|
|
Среднесписочная численность рабочих, человек
|
45
|
40
|
-5
|
88.89
|
|
Время, отработанное рабочими: а) человеко-дней
|
9360
|
8240
|
-1120
|
88.03
|
|
б) человеко-часов
|
74692.8
|
65508
|
-9184.8
|
87.70
|
|
Продолжительность рабочего дня (стр.46 / стр.4а), часов
|
7.98
|
7.95
|
-0.03
|
99.62
|
|
Среднегодовая выработка одного работающего (стр.1./стр.2.),
млн. руб.
|
410.9
|
372.3
|
-38.57
|
90.61
|
|
Среднегодовая выработка одного рабочего, млн. рублей
|
529.6
|
502.6
|
-26.96
|
|
Среднедневная выработка одного рабочего (стр. 1 / стр.4а),
млн. рублей
|
2,55
|
2,4
|
-0,11
|
95,83
|
|
Среднечасовая выработка одного рабочего (стр. 1 / стр.46),
млн. рублей
|
0,32
|
0,31
|
-0,01
|
96,19
|
|
Среднее число дней, отработанных одним рабочим (стр.4а
/стр.3)
|
208
|
206
|
-2,00
|
99,04
|
|
Удельный вес рабочих в составе работающих (стр.3 /стр.2)
|
0,78
|
0,74
|
-0,04
|
95,47
|
|
Среднее число часов, отработанных одним рабочим (стр.46 /
стр.3)
|
1659,84
|
1637,7
|
-22,14
|
98,67
|
Как видно из таблицы 2.20, между показателями среднегодовой и
среднедневной выработки одного рабочего есть разница в процентах (94,91и 95,83
процента), что объясняется отклонением числа отработанных дней по сравнению с
планом (-2). Следует отметить, что целодневные потери времени были вызваны
различными причинами: предоставлением дополнительных отпусков, целодневными
простоями в связи с перебоями в снабжении материалами или неявками на работу
без уважительных причин.
Разница в процентах выполнения плана между показателями среднедневной
выработки и среднечасовой выработки одного рабочего (95,83 и 96,19 процента)
объясняется отклонением в продолжительности рабочего дня (-0,03). Снижение
объема производства вследствие увеличения целодневных потерь рабочего времени
рассчитывается умножением отклонений от плановой величины отработанных всеми
рабочими дней на плановую величину среднедневной выработки: (9360 - 8240) *
2,55 = 2856 млн. рублей.
Таким образом, вследствие целодневных потерь рабочего времени
недополучено 2856 млн рублей от ремонтных услуг.
Далее рассмотрим влияние использования рабочего времени на изменение
объема ремонта. Расчет методом цепных подстановок показывает, что увеличение
целодневных потерь на 2 дня (218 -216) привело к снижению объема производства
на 204 млн. рублей (2 * 2,55 * 40). Частичное снижение объема производства на
1060,8 млн. рублей (2 * 2,55 * 208) было вызвано уменьшением фактической
численности рабочих по сравнению с плановой на 2 человека (42 - 40). Увеличение
внутрисменных простоев на 0,03 часа (7,98 - 7,95) вызвало уменьшение объема
производства на 89,9 млн. руб. (0,03 * 0,32 * 45 * 208). Снижение среднечасовой
выработки рабочего на 0,02 рубля (0,32 - 0,3) уменьшило объем выпущенной
продукции на 1310,16 млн. рублей (0,02 * 65508).
В результате мы выяснили, что основное влияние на снижение объема
товарной продукции по сравнению с планом оказало:
· снижение среднечасовой выработки одного рабочего (1310,16
млн. рублей).
· уменьшение фактической численности рабочих (1060,8 млн.
руб.);
· увеличение целодневных потерь (204 млн. руб.)
· увеличение внутрисменных простоев (89,9 млн. руб.)
Данные предоставленные в таблице 2.25 позволяют проанализировать
нормативы удельных затрат на заработную плату, приходящиеся на рубль продукции,
охарактеризовать изменение уровня норматива по сравнению с базисным периодом и
планом, установленным на отчетный год, рассмотреть динамику и отклонение от
плана фонда заработной платы в связи с увеличением объема производства.
Таблица 2.21 Нормативы удельных затрат на заработную плату, приходящиеся
на рубль продукции
|
Показатели
|
Отчетный год
|
Динамика показателей
|
|
2011 год
|
план на 2012 год
|
фактически за 2012 год
|
плановых к уровню 2011 года
|
Фактических к плановым
|
Фактических к 2011 году
|
|
Товарная продукция, млн. рублей
|
22140
|
23830
|
20104
|
107,6
|
84,4
|
90,8
|
|
Фонд заработной платы промышленно-производственного
персонала, млн. рублей
|
3024
|
3619,2
|
3240
|
119,7
|
89,5
|
107,1
|
|
Расход заработной платы на один рубль объема производства
(стр.2 / стр.1), коп./руб.
|
13,7
|
15,2
|
16,1
|
110,9
|
105,9
|
117,5
|
Как видно из данных таблицы 2.21, в отчетном периоде предусмотрены
удельные затраты на заработную плату на 1,5 копеек больше, чем в базисном году
(15,2-13,7). Повышение норматива затрат на заработную плату отражает
запланированное опережение темпов роста уровня среднего заработка по сравнению
с изменением производительности труда. Фактически в отчетном году удельный
расход заработной платы составил 16,1 копейки, что на 2,4 копейки больше, чем в
предыдущем (16,1-13,7). Анализ динамики заработной платы проводится в разрезе
таких показателей, как фонд заработной платы, среднемесячный уровень заработной
платы одного работника, затраты заработной платы на рубль продукции. При
анализе фактические данные сравниваются с данными за предшествующий год и с
планом. Все эти данные предоставлены в таблицы 2.22.
Как показывают расчеты таблицы 2.23, фактический темп роста
среднемесячной заработной платы (111 процентов), оказался ниже запланированного
на 2 процента (113-111). Затраты заработной платы на рубль продукции по плану
должны были увеличится на 5,6 процента, но фактические темпы роста удельных
затрат в целом возросли больше, чем это было предусмотрено (117,5 процента).
Такая тенденция экономически не оправдана.
Таблица 2.22 Анализ показателей заработной платы
|
Показатели
|
2011 год
|
2012 год
|
Соотношение с предыдущим годом
|
|
план
|
факт
|
план
|
факт
|
по плану
|
по факту
|
|
Среднемесячная заработная плата одного работника
промышленно-производственного персонала, рублей
|
9200
|
9000
|
10400
|
10000
|
113,0
|
111,1
|
|
Затраты заработной платы работников
промышленно-производственного персонала на рубль продукции, копеек
|
28,8
|
27,4
|
15,2
|
30,4
|
105,6
|
117,5
|
|
Фонд заработной платы работников
промышленно-производственного персонала, рублей
|
6292,8
|
6048
|
7238,4
|
6480
|
115,0
|
107,1
|
Состав фонда заработной платы рабочих ООО Завод «СТР» проанализируем с
использованием данных таблицы 2.23.
Таблица 2.23 Анализ состава выплат из фонда заработной платы рабочих
|
Состав заработной платы
|
Сумма, рублей
|
Процент к итогу
|
|
Оплата по сдельным расценкам по прямой сдельной системе
|
1441800
|
44,5
|
|
Оплата по сдельным расценкам по премиальной сдельной
системе
|
460080
|
14,2
|
|
Оплата по сдельным расценкам по прогрессивной сдельной
системе
|
0
|
0
|
|
Премия сдельщикам
|
103680
|
3,2
|
|
Повременная оплата по тарифным ставкам (окладам)
|
865080
|
26,7
|
|
Премия повременщикам
|
81000
|
2,5
|
|
Доплата сдельщикам в связи с изменением условий работы
|
25920
|
0,8
|
|
Доплата за работу в сверхурочное время
|
51840
|
1,6
|
|
Оплата целодневных простоев и часов внутрисменного простоя
|
3240
|
0,1
|
|
Оплата очередных отпусков
|
126360
|
3,9
|
|
Прочие выплаты
|
81000
|
2,5
|
|
Итого
|
3240000
|
100
|
Доплаты сдельщикам в связи с изменением условий работы, за работу в
сверхурочное время и оплата целодневных простоев и часов внутрисменного простоя
относятся к непроизводительным выплатам. Эти выплаты составили
000 рублей (25920 + 51840 + 3240), или 2,5 процента фонда заработной
платы производственных рабочих. Основная доля фонда заработной платы рабочих
приходится на оплату (44,5 процента) по сдельным расценкам по прямой сдельной и
премиальной сдельной системам, так как все основные рабочие сдельщики.
Незначительный объем премий и сдельщикам, и повременщикам объясняется
недовыполнением плана по ремонту оборудования.
Далее проведем анализ соотношения темпов роста производительности труда и
средней заработной платы. Это соотношение выявляется на основе сравнения ряда
показателей приведенных в таблицы 2.24.
Таблица 2.24 Анализ соотношения темпов роста производительности труда и
средней заработной платы
|
Показатели
|
Отчетный год
|
Отклонение фактических данных от плана
|
|
план
|
фактически
|
|
|
Темп роста среднегодовой выработки на одного работника
промышленно-производственного персонала, процентах
|
102
|
95,4
|
-6,6
|
|
Темп роста среднегодовой общей заработной платы одного
работающего, процентах
|
113
|
111
|
-2
|
В плане ООО Завод «СТР» предусмотрено нормативное соотношение между
приростом заработной платы и производительностью труда (выработки) в размере
6,5 ((113 - 100) / (102 - 100)).
Фактически это соотношение составило -2,4 ((111 - 100) / (95,4 -100)), то
есть установленный норматив превышен на 8,9 пункта (6,5 - (-2,4)). Такое
положение следует рассматривать как неблагоприятное, что приводит к
необходимости резервирования средств фонда материального поощрения для выплаты
заработной платы.
Определение размеров подлежащих резервированию средств показано в таблицы
2.25.
Таблица 2.25 Определение размеров средств, подлежащих резервированию
|
Показатели
|
Значение
|
|
Темп роста производительности труда: а) план
|
102
|
|
б) фактически
|
95,4
|
|
Фактический темп роста расчетной среднемесячной заработной
платы промышленно-производственного персонала, процентов
|
111
|
|
Фактический прирост расчетной среднемесячной заработной
платы (стр.2 - 100), пунктов
|
11
|
|
Нормативное соотношение между приростом производительности
труда и приростом средней заработной платы, коэффициент
|
6,5
|
|
Сумма начисленной заработной платы, включая суммы,
начисленные из фонда материального поощрения промышленно-производственного
персонала за вычетом сумм, не учитываемых при определении расчётной
среднемесячной заработной платы, рублей
|
3240000
|
|
Сумма средств фонда материального поощрения, подлежащих
зачислению в резерв предприятия (стр.5*стр.3/100), рублей
|
356400
|
ООО Завод «СТР» не выполнило плановое задание по росту производительности
труда, нарушило нормативное соотношение между приростом производительности
труда и приростом средней заработной платы, также был допущен рост средней
заработной платы при снижении уровня производительности труда. При сложившейся
ситуации предприятию необходимо зарезервировать 356,4 млн рублей.
Оценку динамики средней заработной платы и производительности труда
проведем на основе данных таблицы 2.26.
Таблица 2.26 Динамика фактического соотношения приростов заработной платы
и производительности труда
|
Наименование показателей
|
Годы для сравнения
|
|
2011 год
|
2012 год
|
|
Годовой темп роста среднемесячной заработной платы одного
работника промышленно-производственного персонала, процентов
|
108
|
111
|
|
Годовой темп роста средней выработки одного работника,
процентов
|
102,5
|
95,4
|
|
Фактическое соотношение в приростах заработной платы и
производительности труда одного работника ((стр. 1 - 100) / (стр.2 - 100))
|
3,2
|
-1,96
|
Опережающий рост производительности труда по сравнению с приростом
средней заработной платы является важным экономическим принципом, в
анализируемом случае рост производительности труда не только не опережает
прирост средней заработной платы, но и сложилась ситуация, когда при
невыполнении плана по производительности труда идет увеличение заработной
платы.
В следующей главе мы рассмотрим комплекс мероприятий, который позволит,
на наш взгляд, улучшить показатели использования трудовых ресурсов на ООО Завод
«СТР».
Глава 3 Предложения по повышению производительности труда на
ООО Завод «СТР»
3.1 Основные направления совершенствования
Анализ, проведённый в разделе 2, позволил сформулировать следующие
резервы сокращения фонда рабочего времени. На исследуемом предприятии ими
является сокращение внутрисменных простоев.
В ООО Завод «СТР» сокращение внутрисменных простоев связано с
совершенствованием организации труда и обеспечение предприятия необходимыми
запасами сырья и материалов для обеспечения бесперебойной работы.
Рассмотрим некоторые пути совершенствования организации труда.
При рационализации суточных режимов труда и отдыха эффективность во
многом зависит от того, насколько правильно учитываются закономерности
суточного ритма физиологических процессов человека, т.е. заключается в том, что
при выборе оптимального режима труда и отдыха требуется определить такие параметры,
которые способствуют лучшему использованию производственных фондов и
обеспечивают наибольшую эффективность производства.
Опыт и результаты применения различных типов режимов ГРВ как в нашей
стране, так и за рубежом свидетельствуют о большой их социально - экономической
целесообразности.
Таким образом, при выборе оптимального режима труда и отдыха нужен
комплексный социально-экономический подход. Целью подобного подхода является
полная и всесторонняя оценка его оптимизации с точки зрения учета личных и общественных
интересов, интересов производства и физиологических возможностей человека.
Соблюдая режим труда и отдыха, мы уменьшаем период врабатываемости, а это
увеличит фазу устойчивой работоспособности, а это даст увеличение
производительности труда всего предприятия.
Внутрисменный режим труда и отдыха должен включать в себя перерыв на обед
и кратковременные перерывы на отдых. Отдых должен быть регламентированным, так
как он более эффективен, чем перерывы возникающие нерегулярно, по усмотрению
работника.
В каждом конкретном случае подбирают соответствующий типовой режим труда
и отдыха либо по показателю утомления, установленному на основании данных
физиологических исследований, либо по показателю количественной оценки условий
труда, полученному расчетным способом, на основе оценки отдельных факторов
условий труда.
Для облегчения труда и повышения его производительности каждое рабочее
место должно быть оснащено различным вспомогательным оборудованием
(приспособления, инструмент), которое имеет в основном следующее назначение:
· обеспечить максимум удобств при обслуживании машин;
· облегчить и ускорить высококачественное исполнение рабочих
приемов;
· в максимальной мере способствовать выполнению ручных приемов
без останова машины;
· обеспечить удобное размещение сырья, полуфабрикатов,
вспомогательных материалов, тары, инструмента, угаров;
· облегчить наблюдение за машинами, особенно при многостаночной
работе;
· обеспечить безопасные и здоровые условия работы.
Планирование рабочего места заключается в рациональном размещении
используемых рабочим в процессе труда средств производства. Машины в
производственных помещениях размещают по возможности компактно, имея в виду
главным образом экономное использование площади. При этом, однако, надо
обеспечить как безопасность работающих, так и максимальное удобства
обслуживания рабочего места. При многостаночной работе излишние проходы между
машинами вызывают потери времени на дополнительные переходы рабочего и ожидание
машинами обслуживания. В то же время недопустима и теснота на рабочем месте,
когда движение рабочего ограничены и неудобны. Расположение машин на рабочем
месте многостаночника следует выбирать в зависимости от метода многостаночной
работы.
Задачей организации обслуживания рабочих мест является обеспечение бесперебойного
их снабжения материалами и поддержание оборудования в хорошем техническом
состоянии. Основное условие рационального обслуживания рабочего места
заключается в том, чтобы придать этому обслуживанию профилактический характер.
Это особенно важно в тех случаях, когда широко применяют многостаночную работу.
Запасы сырья или полуфабрикатов, вспомогательных материалов и производственной
тары необходимо возобновлять заблаговременно, прежде чем наступят перебои в
работе. Готовую продукцию и отходы производства следует своевременно вывозить с
рабочего места.
Режим труда и отдыха в течение смены предполагает установление
продолжительности времени начала и конца работы и обеденного перерыва, а также
периодичности и длительности других перерывов на отдых и микропауз в течение
смены, увязку их с технологическими перерывами и т.д.
Перерыв на обед должен быть достаточной продолжительности и делить
рабочий день на две равные части, при этом условия для приема пищи и отдыха
должны быть благоприятными.
Кроме обеденного перерыва для рабочих многих профессий вводятся
дополнительные кратковременные регламентированные перерывы на отдых. Перерывы
(отдых, физкультпаузы и др.) должны вводиться в начальный момент появления
усталости, так как при сильном утомлении они уже малоэффективны. Длительность
их должна быть достаточной для снятия утомления и может быть определена на
основе оценки тяжести труда и показателя утомления. При этом нужно учитывать,
что частые короткие перерывы более эффективны, чем редкие большой продолжительности.
Как уже указывалось, очень важным резервом сокращения потерь рабочего
времени является совершенствование коммерческой работы предприятие, связанное с
бесперебойным обеспечением сырья и материалов. При этом коммерческая работа
должна состоять из определения норм оборотных средств, а также поиск
поставщиков.
В настоящее время на обучение и переобучение становится основным
механизмом улучшения качества персонала и занимает одно из ведущих мест в
списке мер по внедрению инноваций. Нами были выявлены и описаны наиболее широко
используемые формы и виды обучения. Отметим, что использование той или иной
формы зависит от целей обучения и характеристик целевой группы персонала
(категории, степени дефицитности профессии на рынке труда, сложности
профессии).
. Можно констатировать тенденцию к возрождению на успешных предприятиях
системы обучения и повышения квалификации на рабочих местах. Причины этого, по
нашему мнению, достаточно разнообразны. Во-первых, это относительная дешевизна
данной формы повышения квалификации. Во-вторых, обучение на рабочих местах как
прежде, так и теперь является составной частью системы аттестации кадров и
способом повышения заработка рабочих путем повышения разряда. В-третьих, при
организации внутрифирменного обучения работникам передаются не только трудовые
навыки и теоретические знания, но и элементы трудовой морали, культуры
производства, обучаемые включаются в социальные сети предприятия. В целях
институционализации наставнической функции кадровых рабочих и линейных
руководителей необходимо выделение отдельной «педагогической» ставки наставника
для обучения молодых рабочих в сборочном цехе ООО Завод «СТР». В целом
предприятия, имеющие развитую систему обучения на рабочих местах, выполняют
также важную социальную функцию - первичную профессионализацию и социализацию
некоторых категорий работников (молодежь, безработные без стажа работы) или их
переобучение.
Отметим, что обучение может носить как индивидуальный, единичный, так и
массовый характер. Кроме того, просматривается новейшая тенденция - введение в
систему подготовки на местах элементов теоретического обучения. Роль
теоретических курсов во внутрифирменном обучении заключается, на наш взгляд, в
повышении уровня общего профессионального образования или повышении качества
рабочей силы, а не просто адаптации имеющихся у персонала навыков к новому
уровню производства и технологии.
. Обучение в специализированных учебно-курсовых комбинатах на
предприятиях. Эта форма подготовки и повышения квалификации встречается на
предприятиях довольно редко - как правило, на крупных и в последнее время
финансово устойчивых предприятиях, начавших возрождать когда-то пришедшую в
полный упадок учебно-производственную базу.
. Обучение в специализированных центрах вне предприятий, как правило,
используется для подготовки специалистов для лицензированных видов
деятельности.
. Оплата обучения в учебных заведениях отдельных, особо нужных
специалистов (целевая подготовка). Фактически это также возрождение старой
практики.
В случаях необходимости массовой подготовки работников для работы на
новом оборудовании предприятия находят смешанные организационные формы
обучения, которые порождают дополнительные позитивные эффекты. Так, некоторым
предприятиям удается развивать так называемый мультипликативный эффект обучения
(когда профессионалы обучают местных работников, а те, в свою очередь, обучают
остальных, становясь инструкторами - иначе говоря, обучение методом «снежного
кома»). В этих случаях в организациях создаются предпосылки для естественного
включения работников в процесс освоения техники и технологии, наблюдается
волновой эффект саморазвития. Первоначально 1-2 работника проходят стажировку
на фирмах-изготовителях. После их возвращения организуется обучение на рабочих
местах, где обучившиеся выступают в качестве инструкторов и передают полученные
знания, навыки и правила техники безопасности остальным работникам, которым
предстоит иметь дело с этим оборудованием. Причем такой порядок обучения
принимает вид не случайный, а плановый, возведенный в ранг фиксированной
практики, так как затраты на стажировку учитываются при просчете альтернативных
издержек на приобретение оборудования у различных поставщиков в качестве
обязательного компонента.
Еще одним примером удачной организационной формы подготовки кадров
является оплата услуг поставщика оборудования после выполнения комплекса работ
«шеф-монтаж + фирменное обслуживание + обучение рабочих» («Бумажник»). На
предприятии Завод «СТР» для организации нового производства в отделении
оргсинтеза возможно использование практики приема и обучения новых работников
одновременно с началом пуско-наладочных работ. Это не только повысит их
квалификацию, но и усилит трудовую мотивацию. При помощи использования таких
обучающих технологий предприятия создают на инновационных участках некий
«кадровый плацдарм», на котором развертывается дальнейшее освоение инновации.
Иногда внутрифирменное обучение выполняет функцию источника пополнения
работниками «исчезающих» профессий.
Интересно, что обучение и аттестация работников в целях обеспечения
инновационного процесса используются как при внешнем найме, так и при
использовании механизмов внутренней мобильности.
Наиболее рациональный подход к повышению квалификации демонстрируют
предприятия с участием иностранных инвесторов. Главная черта такого подхода -
комплексность решения, одновременное и дифференцированное использование
различных форм обучения.
3.2 Эффективность внесенных предложений
Основным общим показателем экономической эффективности деятельности
подразделений управления персоналом является рост производительности труда.
Прирост производительности труда определяется через показатели:
· выработки продукции на одного работающего;
· экономии численности работников;
· снижения трудоемкости продукции.
Повышение освещенности на рабочих местах (замена ламп накаливания на
люминесцентные), более рациональное использование рабочей площади и
оборудования позволило сократить численность рабочих на 2 человека. Это оказало
следующее влияние на прирост производительности труда:
П = 2 * 100 / (58 - 2) = 3,57 процента.
Таким образом, экономия численности работников на 2 единицы дало прирост
производительности труда 3,57 процента.
Как уже было отмечено ранее, в отчетном периоде произошло снижение
выработки продукции на одного работника по сравнению с предыдущим. Поэтому были
предложено мероприятие по снижению трудоемкости продукции, что также должно
увеличить производительность труда в анализируемом цехе. Совершенствование
технологии ремонта, разработанное на предприятии, позволило снизить удельную
трудоемкость следующих видов ремонта.
Влияние снижения трудоемкости на рост производительности труда определим
по формуле:
П=100*8,1/(100-8,1) =8,8 процента.
Проверим по формуле:
П = (65682,4 / 60372,4 - 1) * 100 = 8,8 процента.
Итак, прирост производительности труда в результате снижения трудоемкости
выпускаемой продукции на 8,1 процента составил 8,8 процента.
В целом показатель производительности труда промышленно-производственного
персонала увеличился на 12,37 процента (3,57 + 8,8) за счет экономии численности
работников и снижения трудоемкости продукции.
Для сокращения потерь рабочего времени по болезни на предприятии был
внедрен комплекс оздоровительных мероприятий, таких как: периодические
медицинские осмотры персонала предприятия, проведение вакцинации и профилактики
гриппа, клещевого энцефалита и других заболеваний, организация спортивных
мероприятий. В результате введения этого комплекса мер годовые потери рабочего
времени по болезни на 01.01.2013 г. составили лишь 1,1 процента. Экономическую
эффективность внедренных мероприятий предлагается рассчитать на основе данных
таблицы 3.1
Таблица 3.1 Экономическая эффективность внедренного комплекса
оздоровительных мероприятий
|
Наименование показателя
|
Ед. изм.
|
Количество
|
|
Годовые потери рабочего времени по болезни до внедрения
мероприятий после внедрения мероприятий
|
процентов процентов
|
2,4 1,1
|
|
Численность рабочих до внедрения мероприятий
|
человек
|
40
|
|
Годовой объём проектируемого производства
|
тыс. рублей
|
23830000
|
|
Годовая выработка одного рабочего в базисном периоде
|
тыс. рублей
|
527143
|
Чтобы вычислить эффект внедрения мероприятий, сначала рассчитаем
среднесписочную численность рабочих цеха, исчисленную на объем производства
проектируемого периода по выработке базисного:
Ч ср. = 23830000 / 527143 = 45 человек.
Далее по формуле рассчитаем относительную экономию численности
работников:
Эч = (2,4 - 1,1) / (100 - 1,1) * 45 = 1 человек.
Тогда прирост производительности труда составит:
П = 1* 100/(45-1)= 2,27 процента.
Таким образом, за счет внедрения комплекса оздоровительных мероприятий
прирост производительности труда рабочих составил 2,17 процента. За счет этого
выпуск продукции увеличился на 456361тыс.руб. (40 * 502600 * 0,0217).
Потери от целодневных простоев в отчетном периоде составили 1,9 процента
от календарного фонда времени. Для сокращения этих потерь на предприятии введен
строгий контроль за дисциплиной внутрихозяйственных отношений, а также
хозяйственных отношений с поставщиками, смежниками и покупателями. Четко
налажен контроль за нормированием и соблюдением норм запаса материалов и сырья
на складе; отдел маркетинга ежедекадно предоставляет планы заказов от
покупателей; работа вспомогательных рабочих налажена таким образом, чтобы
обеспечить ритмичную работу ООО Завод «СТР» без простоев; профилактика и текущий
ремонт оборудования также способствуют уменьшению целодневных потерь рабочего
времени. Данные для расчета экономической эффективности введенных мероприятий
предоставлены в таблице 3.2.
Таблица 3.2 Экономическая эффективность введения комплекса мер по снижению
целодневных простоев в ООО Завод «СТР»
|
Наименование показателя
|
Ед. изм.
|
Кол-во
|
|
Годовые потери рабочего времени по болезни до внедрения
мероприятий после внедрения мероприятий
|
процентов процентов
|
1,9 0,4
|
|
Численность рабочих до внедрения мероприятий
|
человек
|
40
|
|
Годовой объём проектируемого производства
|
тыс. руб.
|
23830
|
|
Годовая выработка одного рабочего в базисном периоде
|
тыс. руб.
|
527143
|
Относительная экономия численности работников, вызванная снижением
целодневных потерь рабочего времени до 0,4 процента, рассчитывается по формуле:
Эч=(1,9- 0,4)/(100-0,4)* 40 = 1 человек.
При экономии численности работников в 1 человек прирост
производительности труда по формуле составит:
П = 1 * 100 / (45 -1) = 2,27 процента.
За счет внедрения мероприятий по снижению целодневных потерь рабочего
времени прирост производительности труда рабочих составил 2,27 процента. Это
увеличило выпуск продукции на 456361тыс. руб. (40 * 502600* 0,0227), т.е. такую
же величину, как и в предыдущем случае.
Одновременно с этим комплексом мероприятий на ООО Завод «СТР» были
повышена освещенность на рабочих местах (замена ламп накаливания на
люминесцентные), улучшена работа вентиляционных установок, применена
рациональная окраска стен и оборудования, все это позволило сократить потери рабочего
времени и непроизводительные затраты труда. Единовременные затраты на эти
мероприятия составили 130000 тыс. руб. Оценку экономической эффективности
проведенных мероприятий проведем на основе данных таблицы 3.3.
Таблица 3.3 Оценка экономической эффективности проведенных мероприятий по
улучшению условий труда на ООО Завод «СТР»
|
Наименование показателей
|
Ед. изм.
|
Кол-во
|
|
Годовой фонд рабочего времени одного рабочего до внедрения
мероприятия после внедрения мероприятий
|
дней дней
|
206 209
|
|
Среднесписочная численность рабочих на предприятии
|
человек
|
40
|
|
Годовой выпуск продукции до внедрения мероприятий после
внедрения мероприятий
|
тыс. руб. тыс. руб.
|
20104000 20526184
|
|
Годовая выработка рабочего в базисном периоде
|
тыс. руб.
|
527143
|
|
Условно-постоянные расходы в себестоимости продукции
|
тыс. руб.
|
10554600
|
|
Стоимость технологического оборудования предприятия
|
тыс. руб.
|
35273471
|
|
Единовременные затраты на внедрение мероприятий
|
тыс.руб.
|
230 000
|
Определим расчетную среднесписочную численность рабочих ООО Завод «СТР»,
исчисленную на объем производства планируемого периода по выработке базисного:
Чср = 20526184 / 527143 = 39 человек
Относительная экономия численности рабочих рассчитаем по формуле:
Эч=(209/206 - 1)* 40 = 1 человек.
За счет относительной экономии численности рабочих в 1 человек прирост
производительности труда в цехе составит согласно формулы:
П = 1 * 100 / (39 - 1) = 2,6 процента.
Таким образом, прирост производительности труда на ООО Завод «СТР»
составил 2,6 процента.
Прирост объема производства за счет внедрения мероприятий по улучшению
условий труда рассчитаем по формуле:
Р = (20526184 - 20104000) / 20104000 * 100 = 2,1 процента или 422184
тыс.руб. (20526184 - 20104000).
Экономия на условно-постоянных расходах по формуле составит:
Эсу =10554600* 2,1 / 100 = 221647 тыс.руб.
Экономия от улучшения использования оборудования рассчитаем по формуле:
Эку = 35273471 * 0,15 * 2,1 /100 = 111111 тыс.руб.
Обобщающим показателем экономической эффективности внедрения мероприятий
по улучшению условий труда является годовой экономический эффект, рассчитанный
по формуле:
Эг = 221647 + 111111 - 0,15 * 230000 = 332758 - 34500 = 298258 тыс.руб.
Итак, за счет внедрения мероприятий по улучшению труда на ООО Завод
«СТР», прирост объема производства составил 2,1 процента. А годовой
экономический эффект составил 298258тыс. руб.
Отметим, что в числе причин увольнения почти вспомогательные работники
указывали тяжелые условия труда. Дело в том, что ремонтный процесс
осуществляется в условиях повышенной загазованности воздуха, что отрицательно
сказывается на здоровье и самочувствии рабочих. Для улучшения условий труда
рабочих был разработан комплекс мероприятий, которые должны были способствовать
сокращению текучести рабочей силы. Этот комплекс включил в себя следующие
мероприятия:
· сокращение до минимума воздействия вредных условий труда на
здоровье рабочих (обеспечение спецодеждой и более безопасным оборудованием);
· проведение мер по восстановлению здоровья рабочих
(предоставление дополнительных дней отпуска, профилактическое лечение);
· доплаты за работу во вредных условиях труда;
· организация перерывов в работе и создание условий для
восстановления трудоспособности рабочих.
Единовременные затраты на внедрение этих мероприятий составят 170000
рублей. На основе данных таблице 3.4 определим экономическую эффективность
внедренных мероприятий.
Таблица 3.4 Экономическая эффективность внедрения комплекса мероприятий
по улучшению условий труда
|
Наименование показателей
|
Ед. изм.
|
Кол-во
|
|
Среднегодовой ущерб, причиняемый предприятию текучестью
рабочих, в том числе:
|
тыс. руб.
|
746150,0
|
|
потери, связанные с простоями основных рабочих из-за
нехватки вспомогательных
|
тыс. руб.
|
432767,0
|
|
расходы на обучение новых рабочих
|
тыс. руб.
|
47007,0
|
тыс. руб.
|
146618,0
|
|
доплаты
|
тыс. руб.
|
119758,0
|
|
Коэффициент текучести рабочих: до внедрения мероприятий
|
процентов
|
7,4
|
|
после внедрения мероприятий
|
процентов
|
3,6
|
|
Единовременные затраты на внедрение мероприятий
|
тыс. руб.
|
171600,0
|
Годовая экономия от сокращения текучести рабочей силы рассчитывается по
формуле:
Эс = 746150 * (1 -3,6 / 7,4) = 380536,5 тыс. руб.
Годовой экономический эффект по формуле при экономии 380536,5 рублей
составит:
Эг = 380536,5 - 0,15 * 171600 = 354796,5 тыс. руб.
Теперь рассчитаем срок окупаемости единовременных затрат, потраченных на
внедрение мероприятий, воспользуемся для этого формулой:
Тед = 171600 / 380536,5 = 0,45 года.
Итак, годовой экономический эффект от улучшения условий труда на участке
наладки оборудования составил 354796,5 тыс. руб., при этом срок окупаемости
единовременных затрат на внедрение комплекса мероприятий составит 0,45 года.
Таким образом, за счет внедрения комплексов мероприятий по улучшению
условий труда, минимизации влияния вредных условий на здоровье трудящихся, по
сокращению потерь рабочего времени от целодневных простоев цеха и потерь
рабочего времени по вине рабочих, уменьшению показателя текучести кадров, а
также проведения оздоровительного комплекса мер в цехе № 2 позволило получить
следующие результаты.
Прирост производительности труда рабочих ООО Завод «СТР» составил:
П= 2,27+2,27+2,6= 7,14 процента.
Прирост объема услуг ремонта ООО Завод «СТР»:
Р = 456361+456361+422184 = 1334906 тыс. руб.
Экономический годовой эффект от внедренных мероприятий:
Эг = 354796,5 + 298258 = 653055 тыс. руб.
Заключение
В заключение курсовой работы можно сделать следующие выводы.
К трудовым ресурсам относится та часть населения, которая обладает
необходимыми физическими данными, знаниями и навыками труда в соответствующей
отрасли. Достаточная обеспеченность предприятий нужными трудовыми ресурсами, их
рациональное использование, высокий уровень производительности труда имеют
большое значение для увеличения объемов продукции и повышения эффективности
производства.
Анализ трудовых показателей - это один из основных разделов анализа
работы предприятий.
Основная задача анализа использования труда на предприятии состоит в том,
чтобы выявить все факторы, препятствующие росту производительности труда,
приводящие к потерям рабочего времени и снижающие затраты.
В результате проведенного анализа использования трудовых ресурсов на ООО
Завод «СТР» было выявлено следующее.
В отчетном году по сравнению с предыдущим численность
промышленно-производственного персонала снизилась на 3,6 процента (2 человека),
в структуре персонала также произошли изменения: среднесписочная численность
основных рабочих увеличилась на 3,3 процента (1 человек), вспомогательных
рабочих - снизилась на 25 процентов (3 человека). По сравнению с плановым
показателем численность промышленно-производственного персонала ниже на 4
единицы, что отрицательно отразилось на выполнении плана по производству
продукции, который недовыполнен на 15,6 процента. Меньшая против плана
численность рабочих дала недовыполнение плана на 2648 млн. рублей.
Квалификационный уровень рабочих по сравнению с 2005 годом снизился с
2,57 до 2,55. Коэффициент оборота по приему составил 5,6, коэффициенты оборота
по выбытию - 9,3%, а коэффициент текучести - 7,4%.
Анализ структуры и динамики фонда рабочего времени показал, что
календарный фонд рабочего времени был использован на 56,7 процента, табельный
фонд рабочего времени на 84,7 процента, а максимально возможный - на 90,3
процента. Все эти показатели в сравнении с уровнем 2005 года снизились.
Наибольшие потери рабочего времени произошли по причине целодневных
простоев (7 дней в среднем на одного рабочего) и по причине болезни (8,8 дней в
среднем на одного рабочего). Коэффициент использования установленной
продолжительности дня в 2006 году составил 90,3 процента, то есть 9,7 процента
составляют резерв рабочего времени и может быть использован для наращивания
объемов производства без дополнительного привлечения рабочих. Среднее число
дней отработанных одним рабочим в 2006 году снизилось на 5 дней по сравнению с
предыдущим.
Анализ трудоемкости продукции показал, что план по снижению трудозатрат
на выпуск продукции в целом по предприятию не выполнен на 4 процента. При
запланированном снижении трудоёмкости на 2%, произошло её увеличение на 2%. Все
это снизило среднечасовую выработку продукции на 0,04 процента. Фактическая
трудоемкость производственной программы по сравнению с плановой снизилась на
12008 человеко-часов, но это снижение произошло за счет изменения объема
выпуска продукции, а не снижения трудоемкости конкретных изделий.
Годовой план по производительности труда промышленно-производственного
персонала не довыполнен на 9,9 процента. Выработка на одного работника по
сравнению с прошлым годом снизилась на 5,8 процента, что привело к невыполнению
плана по выпуску продукции на 15,6 процента.
Основное влияние на снижение объема товарной продукции по сравнению с
планом оказало:
· снижение среднечасовой выработки одного рабочего (1310,16
млн. рублей).
· уменьшение фактической численности рабочих (1060,8 млн.
руб.);
· увеличение целодневных потерь (204 млн. руб.)
· увеличение внутрисменных простоев (89,9 млн. руб.)
Фактический темп роста среднемесячной заработной платы (107,1 процента)
оказался ниже запланированного, что связано с невыполнением плана по выпуску
продукции. Основная доля фонда заработной платы рабочих (44,5 процента)
приходится на оплату по сдельным расценкам по прямой сдельной и премиальной
сдельной системам.
Затраты заработной платы на рубль продукции по плану должны были
увеличится на 5,6 процента, но фактические темпы роста удельных затрат в целом
возросли больше, чем это было предусмотрено (117,5 процента).
В плане предусмотрено нормативное соотношение между приростом заработной
платы и производительности труда в размере 6,5. Фактически установленный
норматив превышен на 8,9 пункта. Такое положение следует рассматривать как
неблагоприятное, что привело к необходимости резервирования средств фонда
материального поощрения для выплаты заработной платы в размере 356400 тыс.
рублей. Также анализ показал, что рост производительности труда не только не
опережает прирост средней заработной платы, но и сложилась ситуация, когда при
невыполнении плана производительности труда идет увеличение заработной платы.
Оценив в результате анализа сложившуюся ситуацию были предложены
следующие мероприятия по повышению эффективности использования трудовых
ресурсов ООО Завод «СТР»:
· по снижению трудоемкости продукции, за счет изменения
технологии;
· комплекс оздоровительных мероприятий;
· по снижению потерь от целодневных простоев;
· по снижению потерь рабочего времени и непроизводительных
затрат труда;
· по снижению уровня текучести кадров вспомогательных рабочих.
После внедрения этих мер, были получены следующие результаты:
. Рост производительности труда промышленно-производственного персонала на
12,37 процента (3,57 процента за счет экономии численности работников и 8,8
процента за счет снижения трудоемкости продукции).
. Рост производительности труда рабочих ООО Завод «СТР» на 7,14 процента,
в частности: 2,27 процента - за счет проведения комплекса оздоровительных
мероприятий; 2,17 процента - за счет сокращения потерь рабочего времени от
целодневных простоев; 2,6 процента - за счет снижения потерь непроизводительных
затрат рабочего времени на предприятии.
. Прирост объема производства вследствие проведенных мероприятий и
увеличения производительности труда составил 1334906тыс.рублей. Значительный
прирост объема производства был получен в результате сокращения потерь рабочего
времени от целодневных простоев и проведения мероприятий по уменьшению
непроизводительных затрат рабочего времени.
Годовой экономический эффект (экономия приведенных затрат) в результате
проведенных мероприятий составил 653055тыс. рублей. В частности, мероприятия по
снижению непроизводительных затрат труда и потерь рабочего времени дали годовой
экономический эффект в 354796,5 тыс. рублей при единовременных затратах в
230000 рублей; годовой экономический эффект от внедрения комплекса мер по
сокращению текучести кадров вспомогательных работников составил 298258 тыс.
рублей при единовременных затратах в 171600 тыс. рублей.
Список использованной литературы
1. Беккер Б.И. Измерение результативности работы
HR-департамента. Люди, стратегия и производительность: пер. с англ. / Брайан И.
Беккер, Марк А. Хьюзлид, Дэйв Ульрих. - Москва [и др.]: Вильямс, 2007. - 298 с
2. Герчикова З. Критерии эффективности диктует бизнес //
Управление компанией. - 2006. - N9.- С.48-51.
. Ермолович Л.Л. Анализ хозяйственной деятельности
предприятия: Учебное пособие. М., 2006.
. Злоказов Ю.И. Управление производительностью труда.
Нормативный подход, Издательство: Финансы и статистика, 2008 г. 160 стр
. Зайцев Н.Л. Экономика, организация и управление
предприятием: учеб. пособие / Н.Л. Зайцев. - 2-е изд., доп. - Москва: ИНФРА-М,
2007. - 454 с
. Кардашевский В., Бондаренко А. Повышение
производительности: европейский подход // Экономист - 2006 - № 11. С. 35-40.
. Камышанов Л.И. Практическое пособие по анализу и
аудиту. / Л.И. Камышанов -М.: ИНФРА-М, 2006. -522 с.
. Куприянова Т.Управление производительностью: путь к
росту. // Человек и труд - 2006 - № 9. -С. 67-69.
. Кондраков Н.П. Бухгалтерский учёт, анализ
хозяйственной деятельности и аудит. М.: Перспектива, 2006.
. Нуайе Дидье Повышайте производительность труда (на
спирали), Издательство Претекст, 2007 г., 48 стр.
. Одегов Ю.Г., Журавлев П.В. Управление персоналом:
Учебник. - М.: Финстатинформ, 2006. - 708с.
. Пивоваров К.В. Финансово-экономический анализ
хозяйственной деятельности коммерческих организаций / К.В. Пивоваров. - 3-е
изд. - Москва: Дашков и К, 2006. - 119 с.
. Слезингер Г.Э. Труд в условиях рыночной экономики.
Учебное пособие. - М.: ИНФРА-М, 2006, - 336 с.
. Савицкая Г.В. Анализ хозяйственной деятельности
предприятия./ Г.В. Савицкая. - Мн.: ИП «Экоперспектива», 2007.- 498 с.
. Фильев: В.Управление ростом производительности труда
//Экономист - 2007 - № 3. - С. 60-66.
. Френкель А.А. Прогнозирование производительности
труда. Методы и модели. Издательство: Экономика, 2007 г., 222 стр.
. Шеремет А.Д. Комплексный экономический анализ
деятельности предприятия (вопросы методологии)./ А.Д. Шеремет.- М.: Экономика,
2007.-320 с.
. Шеремет А.Д. Методика финансового анализа
предприятия./ А.Д. Шеремет, Р.С. Сайфулин - М.: Инфра-М, 2006.-371с.