Нивелирование поверхности по квадратам
Министерство
образования и науки Российской Федерации
Федеральное
государственное бюджетное образовательное учреждение высшего профессионального
образования
ИРКУТСКИЙ
ГОСУДАРСТВЕННЫЙ ТЕХНИЧЕСКИЙ УНИВЕРСИТЕТ
Институт
недропользования
Кафедра
Маркшейдерское дело и геодезия
Курсовая
работа
По теме:
«Нивелирование поверхности по квадратам»
Иркутск 2012
СОДЕРЖАНИЕ
ВВЕДЕНИЕ
.
НИВЕЛИРОВАНИЕ
.1
Разбивка сети квадратов
.2
Нивелирование площади
.
КАМЕРАЛЬНАЯ ОБРАБОТКА РЕЗУЛЬТАТОВ ПЛОЩАДНОГО НИВЕЛИРОВАНИЯ СТРОИТЕЛЬНОЙ
ПЛОЩАДКИ
.1.
Обработка журналов нивелирования
.2.
Построение схемы нивелирования
.3.
Построение плана поверхности
.
ПРОЕКТИРОВАНИЕ И РАЗБИВКА ГОРИЗОНТАЛЬНОЙ ПЛОЩАДКИ
ЗАКЛЮЧЕНИЕ
СПИСОК
ИСПОЛЬЗУЕМОЙ ЛИТЕРАТУРЫ
ПРИЛОЖЕНИЕ
І
ПРИЛОЖЕНИЕ
ІІ
ПРИЛОЖЕНИЕ
ІІ
ПРИЛОЖЕНИЕ
ІV
ВВЕДЕНИЕ
Нивелирование поверхности участка по квадратам
представляет собой наиболее простой вид топосъемки. Используется на открытой
местности со слабо выраженным рельефом. Получаемый нивелированием по квадратам
топографический план наиболее удобны для определения объемов земляных масс при
проектировании искусственного рельефа местности.
Необходимость в нивелировании возникает при всех
инженерно-строительных работах. Нивелирные работы сопровождают все стадии
изысканий, проектирования и строительства, железных дорог, производятся при
эксплуатации дорог и искусственных сооружений для контроля профиля пути и
других целей.
Задачей нивелирования поверхности по квадратам
является составление крупномасштабного топографического плана местности.
Размеры квадратов в зависимости от сложности рельефа могут быть от нескольких
десятков до сотен метров. Если сторона квадрата менее 100 м с одной станции
снимают серию вершин квадратов. Одновременно выполняют съемку ситуации.
1. НИВЕЛИРОВАНИЕ
Нивелирование - определение разности высот двух
или многих точек земной поверхности относительно условного уровня (напр.,
уровня океана, реки и пр.), т.е. определение превышения. Существуют следующие
способы нивелирования: Геометрическое (нивелиром и рейками); Тригонометрическое
(угломерными приборами в основном теодолитом посредством измерения наклонения
визирных линий с одной точки на другую); Барометрическое (при помощи
барометра). Гидростатическое (основано на свойстве жидкости сообщающихся
сосудов всегда находиться на одном уровне, независимо от высоты точек, на
которых установлены эти сосуды); Радиолокационное (производится с помощью
радиовысотомеров и эхолотов, установленных как на воздушных, так и на водных
судах, автоматически вычерчивающих профиль проходимого пути)
Геометрическое нивелирование
Во время геометрического нивелирования
превышение между точками получают как разность отсчётов по рейкам при
горизонтальном положении визирной оси нивелира.
Этот метод является наиболее простым и точным,
но позволяет с одной постановки прибора получить превышение не более длины
рейки, поэтому при больших превышениях в горной местности его эффективность
падает.
Определение превышения заключается в визировании
горизонтальным лучом с помощью нивелира и отсчета разности высот по рейкам.
h=h_b-h_a; где h_b - отсчет по задней рейке; h_a - отсчет по передней рейке;
Точность отсчета по рейкам составляет от 1-2 мм (техническое нивелирование) до
0.1 мм (нивелирование I класса).
Рисунок 1 - Нивелирование методом «из середины»
Тригонометрическое нивелирование
При тригонометрическом нивелировании превышение
между точками определяют по измеренным вертикальным углам и расстояниям между
точками (горизонтальным проложениям). Тригонометрическое нивелирование
позволяет с одной станции определить практически любое превышение между
точками, имеющими взаимную видимость, но его точность ограничена из-за
недостаточно точного учёта влияния на величины вертикальных углов оптического
преломления и уклонений отвесных линий, особенно в горной местности. Превышение
определяется по измеренному теодолитом (кипрегелем, эклиметром) углу наклона
линии визирования с одной точки на другую (α) и
расстоянию между этими точками (S). Тригонометрическое нивелирование
применяется при топографической съемке и других работах.
Барометрическое нивелирование
Превышение определяется по значениям
атмосферного давления при помощи полной барометрической формулы
Гидростатическое нивелирование
Основано на свойстве жидкости в сообщающихся
сосудах на одном уровне. Этот метод имеет высокую точность, позволяет
определять разность высот между точками при отсутствии взаимной видимости, но
измеряемая разность высот ограничена длиной наибольшей из трубок, соединённых
шлангами.
Построение плоскостей
Вертикальное проектирование или построение
плоскостей выполняется электронно-механическими прибором Зенит-прибором или
лазерным уровнем. Зенит-прибором (прибором оптического вертикального
проецирования) переносят точки по вертикали. При возведении высоких зданий и
сооружений положение стен и других элементов на каждом этаже проверяют от осей.
Точки пересечения осей проецируют оптическим или лазерным лучом зенит-прибора.
Отметки проецируются с использованием принципа вращения лазерного луча и оптической
системы, позволяющей развернуть луч в линию. Основное достоинство лазерного
уровня - простота в работе, не требующая специальных навыков по настройке
прибора, и возможность проведения работ только одним человеком.
.1 Разбивка сети квадратов
Разбивку сети квадратов на местности начинают
обычно с разбивки линии А, расположенной на середине снимаемого участка.
Рисунок 2 - Схема разбивки сети квадратов на
местности
Длина линии АВ в этом случае должна быть кратна
длине сторон квадратов. Часто линию АВ разбивают параллельно оси главного пути.
С этой целью в точках Х1, Х2, Х3, расположенных на оси пути, отбивают
перпендикуляры, на которых откладывают с помощью ленты или рулетки одинаковые
расстояния до середины снимаемого участка. Полученные точки А, С, В должны
лежать на прямой линии, определяющей исходное начало для разбивки сети
квадратов. Если, например, требуется разбить сеть квадратов в пределах площади,
ограниченной точками О, М, В, N, F, A, то сначала разбивают с помощью эккера и
ленты линии FAO и NBM. Затем промеряют стороны ОМ и FN, длины которых должны
быть равны АВ. Для получения вершин квадратов внутри контура производят промер
лентой сначала от крайних точек по сторонам ОМ и FN контура, затем от линии АВ
по направлению створов 1-1′, 2 -2′, и т.д. При этих промерах
производится одновременно съемка ситуации, наносимой на абрис. Вершины углов
образовавшихся квадратов закрепляют сторожками, и на них указывают название
линий, в пересечении которых находится данная точка. Правильность положения
вершин квадратов внутри контура поверяют также контрольными измерениями в
направлении, перпендикулярном к направлению створов (1-1′ и т.д.), и по
диагоналям квадратов. Закончив таким образом разбивку сети квадратов, переходят
к нивелированию площади.
1.2 Нивелирование площади
Существует два способа нивелирования площади:
первый - с одной станции, второй-с нескольких станций. Первый способ
применяется в том случае, если разность высот в пределах участка съемки не
превышает 2,5-3 м наибольшая длина сторон прямоугольного контура сети квадратов
составляет не более 300 м. При нивелировании с одной станции нивелир
устанавливают в точке, расположенной примерно на середине снимаемого участка, и
с помощью трубы нивелира производят отсчеты по рейке, устанавливаемой
последовательно во всех точках сети квадратов. Результаты отсчетов Результаты
отсчетов на рейке каждый раз записывают в журнал нивелирования или
непосредственно на схеме разбивки сети квадратов, составленной на бумаге. На
этой же схеме сети квадратов указывают расположение подробностей ситуации в
пределах снимаемой площади. Чтобы легче было вести расчеты по определению
отметок точек местности, отсчет на рейке, установленной, например, в точке А
(см. рис. 2, выше в статье), записывают в графу «задние» связующей, а всех
последующих точек в графу «промежуточные». Отметку точки А получают обычно
путем привязки к ближайшему в районе съемки реперу или другому постоянному
знаку государственного или ведомственного нивелирования. Если с одной станции
невозможно выполнить нивелирование площади, последнюю нивелируют с нескольких
станций (I; II, III), как указано на рис. 62. При этом расположение станций
выбирается так, чтобы между связующими точками r1, r2 и r3 образовался сомкнутый
нивелирный ход. Обработка нивелировки в этом случае начинается с вычисления
отметок связующих точек и их увязки. По увязанным отметкам вычисляется
окончательное значение горизонта инструмента на каждой станции производится
подсчет отметок всех точек в пределах данной станции.
2. КАМЕРАЛЬНАЯ ОБРАБОТКА РЕЗУЛЬТАТОВ
ПЛОЩАДНОГО НИВЕЛИРОВАНИЯ СТРОИТЕЛЬНОЙ ПЛОЩАДКИ
На участке местности со слабо выраженным
рельефом произведено геометрическое нивелирование по квадратам для планирования
участка под горизонтальную площадку.
2.1 Обработка журналов нивелирования
Обработку журналов нивелирования (таблица 1)
начинают с проверки всех записей и вычислений, выполненных в полевых условиях.
а) Вычисляют превышения по черной и красной
сторонам реек по формуле 1:
ч = ач-bч; hкр = акр-bкр, (1)
при этом расхождения в превышениях с учетом
разности пяток пары реек не должны превышать 10 мм.
За окончательное значение превышения принимается
среднее по формуле 2:
(2)
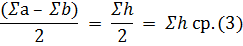
На каждой странице журнала выполняют
постраничный контроль. Он заключается в подсчете сумм отсчетов на связующие
точки по задней (Σа) и
передней (Σb) рейкам, а также
сумм превышений по черной и красной сторонам реек и средних превышений на
станциях; при этом должно соблюдаться равенство 3:
б) Далее определяют высотную невязку хода по
формуле 4:
Так как нивелирный ход замкнутый, то невязка
вычисляется по формуле 4:
= Σ hср.
(4)
Полученную высотную невязку сравнивают с
допустимой по формуле 5:
h ≤ fh доп, (5)
где f h доп = 50мм√L или f h доп = 10 мм √n
(L - длина хода, км; n - число станций в ходе).
Если невязка не превышает допустимой величины,
то ее разбрасывают с обратным знаком поровну на все средние превышения хода δh
= - fh / n. При этом сумма поправок должна равняться невязке
с обратным знаком, то есть Σδh = - fh.
Вычисляют исправленные превышения по формуле 6:
По исправленным превышениям вычисляют отметки
связующих точек по формуле 7:
Нi = Hi-1 + hi испр, (7)
где Hi-1 - отметка предыдущей точки хода.
Контролем правильности вычисления отметок
связующих точек является соблюдение условия
кон = Hнач + Σhиспр.
(8)
Далее вычисляют отметки промежуточных точек
через горизонт инструмента ГИ. Для этого на станции дважды вычисляют ГИ
относительно задней и передней связующих точек и из двух его значений берут
среднее по формуле 9:
ГИ' = Нз+ач; ГИ'' = Нз+bч;
где Н3, Нп - отметки задней и передней связующих
точек;
ач, вч - отсчеты по черной стороне реек,
установленных на задней и передней связующих точках.
Отметки промежуточных точек получают вычитанием
отсчетов по черной стороне рейки, установленной на соответствующей
промежуточной точке, из отметки ГИ по формуле 10:
Н пром = ГИ - спром. (10)
Таблица 1 - Журнал площадного нивелирования
|
№
ст.
|
№
пикетов
|
отчеты
по рейке, мм
|
Превышения,
мм
|
ГИ,
м
|
Н,
м
|
|
|
задний
|
передний
|
промеж
|
вычисл
|
средн
|
исправ
|
|
|
|
1
|
4а
|
1434
|
|
|
|
0061
|
|
275,584
|
274,150
|
|
|
6154
|
|
|
|
|
|
|
|
|
5а
|
|
|
0645
|
|
|
0789
|
|
274,939
|
|
5б
|
|
|
1447
|
|
|
|
|
274,137
|
|
4б
|
|
|
1423
|
|
|
|
|
274,161
|
|
5в
|
|
|
2195
|
|
|
|
|
273,389
|
|
4в
|
|
|
1507
|
|
|
|
|
274,077
|
|
3в
|
|
|
0430
|
|
|
|
|
275,154
|
|
5г
|
|
|
2608
|
|
|
|
|
272,976
|
|
4г
|
|
|
1945
|
|
|
|
|
273,639
|
|
5д
|
|
|
2908
|
|
|
|
|
272,676
|
|
4д
|
|
|
2377
|
|
|
|
|
273,207
|
|
3г
|
|
1374
|
|
0060
|
|
|
|
274,211
|
|
|
|
6091
|
|
0063
|
|
|
|
|
|
2
|
3г
|
|
|
|
-0516
|
|
275,848
|
274,211
|
|
|
6357
|
|
|
|
|
|
|
|
|
3д
|
|
|
2117
|
|
|
-0480
|
|
273,731
|
|
2д
|
|
|
1834
|
|
|
|
|
274,014
|
|
1д
|
|
|
1681
|
|
|
|
|
274,167
|
|
1г
|
|
|
1860
|
|
|
|
|
273,988
|
|
2г
|
|
|
1217
|
|
|
|
|
274,631
|
|
1в
|
|
|
2248
|
|
|
|
|
273,600
|
|
2в
|
|
|
1426
|
|
|
|
|
274,422
|
|
2б
|
|
2152
|
|
-0515
|
|
|
|
273,694
|
|
|
|
6874
|
|
-0517
|
|
|
|
|
|
3
|
2б
|
1731
|
|
|
|
0457
|
|
275,425
|
273,694
|
|
|
6451
|
|
|
|
|
|
|
|
|
1б
|
|
|
2349
|
|
|
-0618
|
|
273,076
|
|
3б
|
|
|
1296
|
|
|
|
|
274,129
|
|
1а
|
|
|
2986
|
|
|
|
|
272,439
|
|
2а
|
|
|
2650
|
|
|
|
|
272,775
|
|
3а
|
|
|
2095
|
|
|
|
|
273,330
|
|
4а
|
|
1275
|
|
0456
|
|
|
|
274,150
|
|
|
|
5993
|
|
0458
|
|
|
|
|
|
Контроль
|
23764
|
23759
|
|
5
|
2
|
|
|
|
|
5
|
|
|
|
|
|
|
Постраничный контроль:
Σ з - Σп=
Σh
выч=
2Σhср
fh = Σhср - Σhтеор
=5-2=3доп = ± 6мм √n =±10.2
На чертежной бумаге по нивелирному журналу в
масштабе 1:500 составляют схему нивелирования. На схему наносят положение
станций, а также показывают какие связующие и промежуточные точки с них
снималис (Приложение I).
.3 Построение плана поверхности
На чертежной бумаге в масштабе 1:500 строят сеть
квадратов со сторонами 20х20 м. На эту схему переносят отметки вершин из
журнала нивелирования. Проводят горизонтали через 0,25 м, определяя их
положение методом интерполирования на сторонах и диагоналях квадратов
аналитически или графически с помощью палетки. (Приложение II)
3. ПРОЕКТИРОВАНИЕ И РАЗБИВКА ГОРИЗОНТАЛЬНОЙ
ПЛОЩАДКИ
Проектирование горизонтальной площадки
проводится по результатам нивелирования участка поверхности при условии
нулевого баланса земляных работ, т.е. при условии равенства объемов выемок и
насыпей.
На миллиметровую бумагу с сеткой квадратов
выписывают отметки вершин квадратов(синим цветом)(Приложение III). Переносят на
картограмму проектную отметку(красным цветом) планируемой горизонтальной
площадки, которую вычисляют по формуле 11:
Нп =
, (11)
где n - число квадратов;
åH1 - сумма отметок вершин, входящих в один
квадрат;
åH2 - сумма отметок вершин, общих для двух
квадратов;
åH4 - сумма отметок вершин, общих для четырех
квадратов.
Таблица 2 - Вычисление проектной
отметки
|
åН1
|
2åН2
|
4åН4
|
åН1+2åН2+4åН4
|
n
|
Нпр
|
|
1094,220
|
3282,369
|
2468,116
|
17531,392
|
16
|
273,928
|
Вычисляют рабочие отметки вершин квадратов по
формуле 12.
рабi = Нпр - Нi. (12)
Рабочие отметки (синим цветом) вершин квадратов
переносят на картограмму земляных работ.
В квадратах имеющих противоположные знаки
рабочих отметок определяют местоположение точек нулевых работ по формулам 13,
14.
, (13)
. (14)
где d - расстояние между вершинами
квадрата, внутри которого расположена точка нулевых работ;раб1 и hраб2 -
рабочие отметки соседних точек квадрата,
Контроль: x1 + х2 = d.
Полученные точки нулевых работ после
соединения дают линию нулевых работ (Приложение IV). Определяем средние рабочие
отметки вершин каждой полученной фигуры и заносим в таблицу 3. В эту же таблицу
заносим посчитанные площади фигур S,м. Для каждой фигуры картограммы получаем
объемы земляных работ
Объем земляных работ вычисляют
методом четырехгранных или методом трехгранных призм соответственно по формулам
16, 17:
; (16)
, (17)
где
- высоты призм;
- площадь основания призмы.
Объем пятигранных призм в смешанных
квадратах целесообразно вычислять как разность объемов четырехгранных и
трехгранных призм:= V4 - V3.
Ведомость вычисления объема земляных
работ приведена в таблице 3.
Таблица 3 - Ведомость вычисления
объема земляных работ
|
№
Фигуры
|
Насыпь
|
Выемка
|
|
Площадь
фигуры S, м2
|
Средняя
рабочая отметка hср, м2
|
Объем
V, м3
|
№
Фигуры
|
Площадь
фигуры S, м2
|
Средняя
рабочая отметка hср, м2
|
Объем
V, м3
|
|
1
|
400
|
-0,418
|
167,2
|
3
|
121
|
0,18
|
21,8
|
|
2
|
279
|
-0,118
|
32,9
|
5
|
386
|
0,357
|
137,8
|
|
8
|
290
|
-0,131
|
6
|
400
|
0,805
|
322
|
|
4
|
14
|
-0,049
|
0,7
|
11
|
68
|
0,097
|
6,6
|
|
9
|
400
|
-0,451
|
180,4
|
13
|
340
|
0,242
|
82,3
|
|
15
|
24
|
-0,067
|
1,6
|
20
|
60
|
0,006
|
4,0
|
|
10
|
332
|
-0,331
|
109,9
|
7
|
110
|
0,200
|
22
|
|
17
|
367
|
-0,384
|
140,9
|
14
|
376
|
0,398
|
149,7
|
|
12
|
60
|
-0,094
|
5,6
|
16
|
33
|
0,078
|
2,6
|
|
18
|
400
|
-0,676
|
270,4
|
21
|
400
|
0,933
|
373,2
|
|
23
|
81
|
-0,164
|
13,3
|
22
|
320
|
0,283
|
90,6
|
|
19
|
340
|
72,8
|
24
|
65
|
0,11
|
7,2
|
|
25
|
335
|
-0,251
|
84,4
|
|
|
|
|
|
26
|
400
|
-0,271
|
108,4
|
|
|
|
|
|
∑
|
=
|
|
1226,2
|
∑
|
=
|
|
1219,6
|
Величина расхождения насыпи и выемки в процентах
подсчитывается по формуле 18:
. (18)
Разница в объемах насыпи и выемки
допустима до 5 %.
Для проведения земляных работ по
вертикальной планировке площадки рабочие отметки выписывают со знаком плюс или
минус на сторожках, забитых в землю в каждой вершине квадрата. Положительная
рабочая отметка выражает высоту насыпи, а отрицательная - глубину выемки.
ЗАКЛЮЧЕНИЕ
В ходе работы был рассчитан журнал
площадного нивелирования, найдены отметки вершин. Было выполнено построение
плана поверхности графическим методом с помощью палетки. Сделано проектирование
и разбивка горизонтальной площадки, включающее в себя: вычисление проектной
отметки, вычисление рабочих отметок, определение местоположения точек нулевых
работ по формулам и проведение через них линии нулевых работ, вычисление объема
земляных работ. Подсчитана величина расхождения насыпи и выемки равная 0,54%,
из чего можно сделать вывод, что объемов выемки на данном участке достаточно
для произведения насыпи и дополнительных объемов не требуется, так как 0,54%
является допустимой разницей в объемах насыпи и выемки.
СПИСОК ИСПОЛЬЗУЕМОЙ ЛИТЕРАТУРЫ
1. Клюшин
Е.Б. Инженерная геодезия / Е.Б. Клюшин, М.И., Киселев, Д.Ш.Михелев. - 4-е изд.,
испр. - М.: Академия, 2000. - 480 с.
. Кулешов
Д.А. Инженерная геодезия для строителей / Д.А.Кулешов, С.Е Стрельников. - М.:
Недра, 1990. - 256 с.
. Поклад
Г.Г. Геодезия / Г.Г. Поклад, С.П. Гриднев. - М.:Академический проспект, 2007 -
592 с.
. Маслов
А.В. Геодезия / А.В. Маслов, А.В. Гордеев, Ю.Г. Батраков. - М.: КолосС, 2006. -
598с.
. Большаков
В.Д. Справочник геодезиста: в 2 кн./ В.Д. Большаков, Г.П. Левчук. - М.: Недра,
1975. - 1056 с.
ПРИЛОЖЕНИЕ I
Рисунок 3 - Схема замкнутого нивелирного хода.
Масштаб 1:500
ПРИЛОЖЕНИЕ II
Рисунок 4 - План поверхности. Масштаб 1:500
ПРИЛОЖЕНИЕ III
нивелирование картограмма квадрат
Рисунок 5 - Схема подсчета рабочих отметок
ПРИЛОЖЕНИЕ IV
Рисунок 6 - Картограмма земляных работ. Масштаб
1:500