Методы изучения напряженного состояния горных пород

  • Вид работы:
    Реферат
  • Предмет:
    Геология
  • Язык:
    Русский
    ,
    Формат файла:
    MS Word
    1,46 Мб
  • Опубликовано:
    2013-11-09
Вы можете узнать стоимость помощи в написании студенческой работы.
Помощь в написании работы, которую точно примут!

Методы изучения напряженного состояния горных пород

Содержание

Введение

Общие сведения

Метод разгрузки

Техника проведения измерений методом разгрузки

Метод частичной разгрузки

Метод разности давлений

Метод буровых скважин

Заключение

Список используемых источников

Введение


При решении задач горной геомеханики исследование напряженного состояния пород массива является одним из основных этапов комплексного изучения проявлений горного давления. Особую актуальность приобретает этот вопрос при изучении характера и закономерностей проявления горного давления в очистных выработках, под влиянием которых изменению напряженно-деформированного состояния, перемещению и разрушению подвергаются возрастающие объемы пород со всеми близлежащими горными выработками.

Большинство закономерностей физических и механических явлений и процессов в массивах горных пород описывается с помощью методов математической статистики, следовательно, для установления объективных закономерностей необходима обширная информация об исследуемых явлениях и процессах, трудности получения которой существенно усугубляются сложностью и трудоемкостью проникновения в массив пород.

Указанная информация широко используется как на стадиях проектирования, так и в процессе практической реализации всего комплекса технологических процессов отработки месторождений, строительства и эксплуатации подземных сооружений различного назначения. Сведения о качественных и количественных характеристиках полей напряжений в земной коре играют заметную роль при прогнозе возникающих в ней динамических явлений, а также при выборе оптимальных технических и технологических решений по управлению состоянием массива и обеспечению устойчивости конструктивных элементов систем разработки. Это связано с тем, что именно взаимодействие основных структурных полей в массиве - поля разномасштабной поврежденности и поля напряжений во многом определяет прочность и долговечность любых находящихся в нем природных и природно-технических объектов, а также динамику протекающих в нем процессов деструкции и разрушения.

Сами методы делятся на 2 группы. Первая из них объединяет методы, которые на сегодня уже можно считать традиционными, поскольку опыт их практического применения насчитывает уже ни один десяток лет. Вторая группа объединяет относительно новые, перспективные методы, основанные на эффектах памяти как непосредственно в горных породах, так и в композиционных материалах, датчики из которых помещаются в исследуемую область массива.

Общие сведения


Согласно общепринятому определению под напряжением σ понимают силу F, действующую на единицу площади S. Для того чтобы говорить о напряжениях в точке пространства, площадь действия силы устремляют к нулю, т.е.

σ = F/S при S→0

Особенностью геологических сред является их структурная неоднородность и многофазовость, что вынуждает рассматривать условие S→0 в (1.1) как некую идеализацию. На практике при решении задач геомеханики всегда имеют дело с некоторым объемом горной породы, в рамках которого осредняются те или иные искомые свойства или параметры состояния. При этом, говоря о точке, в которой эти свойства или параметры оцениваются, имеют в виду центр объема осреднения, а понятие «напряжение» привязывают к размерам площадки, для которой это напряжение определяется. [1] В рамках теории упругости напряжения в конкретной точке среды, находящейся в системе координат X1,X2,X3 описываются тензором напряжений Тσ второго ранга (1.2), в котором присутствуют шесть компонент σij (i,j = 1, 2, 3) [2,3]


Предполагается, что тензор напряжений симметричен, при этом σij = σji. Распределение касательных и нормальных напряжений по граням элементарного куба представлено на рис. 1

Рис. 1 Ориентация компонент тензора напряжений на взаимно ортогональных поверхностях куба

При этом нормальные напряжения ортогональны граням куба, а касательные лежат в плоскостях указанных граней. Ориентация касательных напряжений зависит от выбора направления координатных осей, при этом положительный знак касательных напряжений принимается при совпадении ориентации рассматриваемого касательного напряжения с положительным направлением одной из осей координат.

При решении задач, связанных с оценкой напряженного состояния горной породы, часто возникает необходимость определения так называемых главных напряжений. Как известно, существует возможность подобрать такое расположение элементарного куба в пространстве, при котором все касательные напряжения окажутся равными нулю. При этом оставшиеся нормальные напряжения будут являться главными. Направления действия таких напряжений называются осями главных напряжений, или осями тензора напряжений:


В классической механике твердого тела существует правило расстановки индексов главных напряжений. При этом обычно руководствуются выражением

σ1 ≥ σ2 ≥ σ3

Положительные значения σ соответствуют растягивающим напряжениям, а отрицательные - сжимающим.

В таблице 1 представлена общая классификация методов оценки напряженно-деформированного состояния массива.

Таблица 1. Классификация методов оценки напряженного состояния массива горных пород


Метод разгрузки


Метод разгрузки был применен впервые в горной практике ВНИМИ (ЦНИМБ) еще в 1935 г. на соляных рудниках и в дальнейшем получил широкое распространение в практике экспериментальных наблюдений за напряженным состоянием массива горных пород в различных рудных и угольных бассейнах нашей страны.

Вначале методом разгрузки определяли напряжения только на обнаженных поверхностях массива горных пород. В настоящее время этот метод используется для измерений напряжений на значительных глубинах от обнажений и позволяет оценить напряженное состояние пород в глубине массива.

Метод разгрузки основан на использовании характеристик упругого восстановления формы элемента массива при искусственном нарушении его связи с основным массивом. Этот метод может применяться для пород достаточной прочности, сохраняющих форму элемента после нарушения его связи с массивом и обладающих упругими свойствами; неприменим в условиях сыпучих или сильно пластичных пород.

Исследования по определению напряженного состояния массива горных пород сводятся к измерению упругих деформаций на поверхности разгруженного элемента (торце керна), выбуриваемого с различных глубин исследуемого массива, а также к измерению деформаций стенки центрального отверстия в выбуриваемом керне по способам Хаста и Лимана. Определение напряжений, действующих в массиве, рассчитывают по формулам теории упругости, действительным для плоского напряженного состояния упругой среды.

Метод разгрузки дает возможность с определенной степенью точности измерить относительные или абсолютные величины напряжений, действующих на измеряемом участке массива и на различной глубине его.

Этот метод применяется для решения следующих задач:

определения устойчивости и запаса прочности целиков;

оценки напряженного состояния массива при различных условиях нагружения его (при подработке и надработке пластов и т.п.);

определения напряженного состояния массива в зоне опорного давления;

оценки прочности бетонной крепи капитальных выработок;

определения напряженного состояния кровли выработок.

Наряду с успехами в развитии методики и техники измерений методом разгрузки, ряд вопросов остается недостаточно изученным и разработанным. Каждому из перечисленных способов присущи свои недостатки. Общий недостаток метода разгрузки - высокая трудоемкость и громоздкость бурового оборудования. Кроме того, метод не обладает достаточной информативностью и не позволяет проводить исследования в трещиноватых средах. Поэтому необходимость получения информации об изменении напряженного состояния пород на отдельных участках массива призабойного или выработанного пространства лавы исключает его применение. Частичная разгрузка применяется для определения напряжений на поверхности выработки (при решении большинства задач горной геомеханики в сочетании с методами полной разгрузки).

Техника проведения измерений методом разгрузки


Техника проведения измерений методом разгрузки складывается из следующих операций:

.подготовки обнаженный поверхности массива для установки тензодатчиков;

.установки тензодатчиков в месте измерений и сушки их;

.снятия начальных показаний тензодатчиков;

.разгрузки керна путем отделения его от массива;

.снятия показаний тензодатчиков после разгрузки керна;

.извлечения керна из скважины;

.определения упругих постоянных Е и n в лаборатории на образцах, получаемых из выбуренных кернов;

.подсчета на основе измеренных деформаций по формулам теории упругости величины и направления главных напряжений, действующих в месте измерений.

Погрешности измерений напряжений в массиве горных пород методом разгрузки обусловлены:

погрешностями тензодатчиков и измерительной аппаратуры, регистрирующей показания тензодатчиков при разгрузке керна;

искажением начального напряженного состояния массива в месте измерения, вызванного проведением измерительной скважины;

погрешностями лабораторного определения упругих констант горных пород из-за влияния анизотропии и несоответствия условий нагружения пород в образце и в массиве.

Так же этот метод используется в следующем. Соосные скважины. В первом случае мы рассмотрели разгрузку керна.

Отличие в следующем. Бурят опережающую центральную скважину малого диаметра (около 40 мм). В ней устанавливают деформометры (схема Н. Хаста) либо на ее стенки с помощью специальных приспособлений наклеивают тензодатчики (схема Е. Лимана, рис.2).

Рис. 2. Схема наклейки электротензометрических датчиков на стенки скважины малого диаметра при измерениях напряжений в массиве пород методом разгрузки в варианте соосных скважин (схема Е. Лимана).

Метод частичной разгрузки


Метод частичной разгрузки основан на измерении деформаций области массива, разгруженной центральным отверстием. [4]

Различают два вида методов частичной разгрузки: метод разгрузки с наклеиванием тензодатчиков и метод разгрузки с использованием съемных тензометров.

Первый применяется на сухих ровных поверхностях обнажения, на которые возможно наклеивать тензодатчики. В сильно обводненных массивах наклейка тензодатчиков невозможна, поэтому применяют съемные тензометры. Схемы измерений обоими вариантами исполнения метода частичной разгрузки представлены на рис. 2.

Рис. 2. Схемы измерений с помощью наклеиваемых тензодатчиков (а) и съемных тензометров (б)

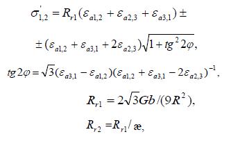
Связь между напряжениями и деформациями наклеиваемых тензодатчиков определяется:


где εai - деформация соответствующих (i = I, II, III) тензодатчиков, равная произведению значения давления на тарировочный коэффициент.

Коэффициенты и рассчитываются по формулам K1i и K2i :


где μ - коэффициент Пуассона горных пород, а остальные обозначения указаны



где εa1,2, εa2,3, εa3,1 - деформация соответствующих тензометров, определяемая произведением цены деления прибора Δn, длины рабочего участка деформируемого элемента Б и тарировочного коэффициента Ктар.

В варианте метода частичной разгрузки, в котором используются наклеиваемые тензодатчики, последние вклеиваются в «ванночку» из оргстекла с толщиной дна не более 0,2мм. Провода выводят через крышку корпуса и тщательно изолируют. Сопротивление изоляции такого датчика составляет 100 - 150 МОм. Оргстекло корпуса не оказывает существенного влияния на точность определения деформаций. Схема конструкции такого датчика представлена на рис. 3.

Рис. 3. Схема тензометрического датчика

1 - тензорезистор; 2 - нижняя часть корпуса; 3 - крышка корпуса; 4 - изолированные электрические выводы.

В варианте исполнения метода со съемными тензодеформометрами аналогичные датчики наклеивают на деформируемый элемент, который закрепляется посредством шаровых опор между установленными в массиве пород анкерами.

Описанный метод характеризуется относительно низкой трудоемкостью, однако позволяет определять значения напряжений только вблизи горной выработки. Кроме того, на его точность влияют погрешности определения упругих характеристик горных пород в месте проведения исследований.

Метод разности давлений

горный давление выработка порода

Метод разности давлений основан на применении гидравлических датчиков для создания в измерительной скважине определенного уровня давления, которое принимают за начальное. По изменению давления в гидросистеме оценивается приращение напряжений, вызванное ведением горных работ и другими производственными факторами [5,6,7].

Комплект измерительной аппаратуры состоит из маслостанции, маслопровода, манометра и гидравлического датчика.

Гидравлический датчик представляет собой устройство для равномерной передачи гидростатического давления из гидросистемы на стенки измерительной скважины. Датчик состоит из толстостенной резиновой оболочки, двух запирающих шайб, центрального стягивающего стержня и штуцера для присоединения высоконапорного маслопровода. Схема датчика представлена на рис. 4

Для создания в гидросистеме давлений до 16 МПа предназначена маслостанция. Масло подается к гидравлическому датчику посредством маслопровода, представляющего собой латунную трубку с толщиной стенок на менее 1мм и внутренним диаметром не менее 0,3мм. Манометр предназначен для измерения давления масла в гидросистеме, которое уравновешивается давлением массива горных пород в окрестностях гидравлического датчика.

Суть измерений сводится к следующему. С поверхности обнажения в массив бурится измерительная скважина, в которой на определенной глубине устанавливается гидравлический датчик, присоединенный посредством маслопровода к манометру и маслостанции. С помощью указанной маслостанции в гидросистеме создается давление в 10-15 МПа, после чего ее отсоединяют от гидросистемы. При этом на манометре фиксируется определенный уровень давления.

Рис. 4.Схема гидравлического датчика: 1 - толстостенная резиновая оболочка; 2 - запирающие шайбы; 3 - стягивающий стержень; 4 - штуцер

При последующем изменении напряженного состояния массива в окрестностях точки измерения давление в гидросистеме изменится, что возможно зафиксировать с помощью установленного манометра.

Общая схема проведения измерений приведена на рис. 5.

Описанный выше метод нашел широкое применение при разработке угольных пластов с низкой устойчивостью, подверженных внезапным выбросам и горным ударам. Метод отличается простотой и точностью определения приращения напряжений, нормальных к поверхности скважины, однако не позволяет определить абсолютные значения напряжений, действующих на рассматриваемом участке массива.

Рис. 5. Общая схема проведения измерений методом разности давлений: 1 - измерительная скважина; 2 - гидравлический датчик; 3 - маслопровод; 4 - манометр; 5 - маслостанция; 6 - массив горных пород

Метод буровых скважин


Большинство осадочных горных пород обладает свойством ползучести - способностью к длительным деформациям при напряжениях до 70% от предела прочности. При этом значения деформаций ползучести могут достигать 150 - 370% от упругих [8].

Оценка напряжений в массиве горных пород производится путем измерения деформаций ползучести. Для этого из горной выработки вглубь массива бурится измерительная скважина, в которой размещается деформометр, с помощью которого регистрируются деформации контура скважины.

Одним из вариантов исполнения скважинного метода является применение скважинных динамометров - устройств, измеряющих непосредственно напряжения, вызываемые деформацией измерительной скважины. С целью установления взаимосвязи между деформациями и напряжениями скважинные динамометры тарируют в лабораторных условиях на образцах материалов со сходными с горными породами упругими характеристиками.

В случае использования скважинных динамометров существует два варианта проведения измерений - измерение абсолютных значений действующих в массиве напряжений и измерение приращения напряжений, вызванного различными горно-технологическими процессами.

В первом случае необходимо после установки динамометра создать в нем начальное пригрузочное давление, в случае напряженного состояния приближенного к гидростатическому, равное γh. В случае если напряженное состояние массива отличается от гидростатического, начальное давление рассчитывают по формуле


где σi - наибольшее главное напряжение; λ - коэффициент бокового распора. В пластичных горных породах λ может достигать значений 0,6 - 0,8.

В случае определения приращения напряжений в динамометре создается небольшой дополнительный распор, обеспечивающий прочный контакт динамометра с горной породой.

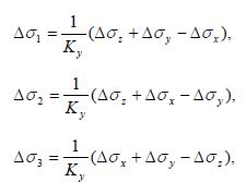
Измерения приращений напряжений производят в трех ортогональных скважинах, направление которых совпадает с направлением главных напряжений в массиве (направление главных напряжений в массиве определяется расчетно, а также геомеханическими или геофизическими методами). Приращение напряжений по осям x, y и z можно рассчитать по формулам:

где Δσ1, Δσ2 и Δσ3 - величины изменения напряжения в датчиках, расположенных соответственно по осям x, y и z; Ку - коэффициент, учитывающий упругое взаимодействие датчика и среды.

Наиболее часто при реализации скважинных методов применяются гидравлические датчики. На точность определения напряжений в случае применения гидравлических датчиков оказывает характер контакта оболочки датчика со стенками скважины, а также упругие свойства горного массива. В общем случае относительная погрешность таких измерений составляет не менее 20 - 30%.

Заключение


Существует много методов для изучения наряженного (деформационного) состояния горной породы, которые уже открыты или будут открыты в дальнейшем. Но на данный этап, я считаю, что лучше пользоваться, тем что есть. Пока эти методы позволяют изучать горную породу, этим и нужно довольствоваться. В будущем, добыча усложниться, и будут разработаны или созданы более удобные методы. Считаю, что метод разгрузки удобен. Но по сравнению с тем же методом акустической эмиссии

Список используемых источников


1.      Николаевский В.Н. Геомеханика и флюидодинамика. М.: Недра, 1996. - 446 с.

.        Баклашов И.В. Геомеханика: Учебник для вузов. Том 1. Основы геомеханики. М.: МГГУ, 2004. - 208 с.

.        4. Ребецкий Ю.Л. Тектонические напряжения и прочность природных горных массивов. Научное издание / - М.: ИКЦ «Академкнига», 2007. - 406 с.

.        Экспериментальное определение полного тензора напряжений в массиве горных пород. Методическое руководство / Отв. ред. Турчанинов И.А. - Апатиты: КФ АН СССР, 1973 - 37 с.

.        Аксенов В.К., Курленя М.В. Некоторые особенности техники измерения напряжений в породном массиве гидравлическими датчиками. - В кн.: Измерение напряжений в массиве горных пород. Новосибирск, 1970, с. 102 - 111.

.        Аксенов., Курленя М.В., Палий А.М. Об измерении напряжений методом разности давлений на мощных крутых пластах Кузбасса. - ФТПРПИ, 1967, №2, с. 42-44.

.        Мурашев В. И., Шлиомовичус Я. Г., Сигарев В. А., Матвейчук В. А. Использование гидравлических датчиков для замера напряжений в угольных пластах.// Измерение напряжений в массиве горных пород: Материалы I Всес. семинара. -Новосибирск, 1968, с. 128-133.

.        Ержанов Ж.С. Теория ползучести горных пород и ее приложения. Алма-Ата, «Наука», 1964. - 176 с.

.        В.Л. Шкуратник, П.В. Николенко, МГГУ, Методы определения напряженно-деформированного состояния массива горных пород, Москва, 2012 г.

Похожие работы на - Методы изучения напряженного состояния горных пород

 

Не нашли материал для своей работы?
Поможем написать уникальную работу
Без плагиата!
Без нейросетей!