Маркшейдерское дело

  • Вид работы:
    Контрольная работа
  • Предмет:
    Геология
  • Язык:
    Русский
    ,
    Формат файла:
    MS Word
    63,81 Кб
  • Опубликовано:
    2014-02-22
Вы можете узнать стоимость помощи в написании студенческой работы.
Помощь в написании работы, которую точно примут!

Маркшейдерское дело













КОНТРОЛЬНАЯ РАБОТА

по дисциплине «Маркшейдерское дело»

Содержание

Введение

Горизонтальные соединительные съемки

Вертикальные съемки горных выработок

Определение исходных данных для составления геометрических графиков

Подсчет запасов способом изолиний

Заключение

Список используемой литературы

Введение

Маркшейдерское дело - область горной науки и техники, которая включает в себя совокупность методов, способов и средств применяемых при разведке месторождений полезных ископаемых, проектировании, строительстве и эксплуатации горных предприятий и других объектов.

Объектами профессиональной деятельности инженера являются горно-строительные, горнодобывающие предприятия, геологоразведочные организации, организации, эксплуатирующие сооружения различного назначения, и другие объекты, связанные с добычей и переработкой полезных ископаемых и использованием подземного пространства.

Современное маркшейдерское дело является отраслью горной науки и техники, занимающейся съемками на земной поверхности и в горных выработках, на карьерах, в метро, а также решающей различные задачи при разведке месторождений, проектировании, строительстве и эксплуатации горных предприятий, заводов, жилищных и гаражных комплексов


Горизонтальные соединительные съемки

Соединительные съемки имеют важное значение в комплексе мероприятий, обеспечивающих рациональное и безопасное ведение горных работ при подземной разработке месторождений. Соединительные съемки производятся для решения ряда горнотехнических задач, в том числе и для составления планов горных выработок в общей с поверхности системы координат. Конкретно задача соединительной съемки заключается в определении дирекционного угла одной из сторон и координат одного из пунктов подземной съемки.

Горизонтальная съемка является ситуационной съемкой, при которой углы горизонтальные измеряют угломерным инструментом, а горизонтальные проложения различными инструментами. Превышения между точками местности при этом не определяют, поэтому горизонтальные съемка является частным случаем тахеометрической съемки.

Горизонтальные съемки используют для подготовки ситуационных планов местности и цифровых ситуационных моделей местности (ЦММ), а также для обновления топографических карт и электронных карт.

При производстве горизонтальных съемок особенно эффективным и предпочтительным является использование методов электронной тахеометрии.

При использовании приемников систем спутниковой навигаций «GPS» из всех видов теодолитных (горизонтальных) съемок наземно-космическая горизонтальная съемка является самой производительной, эффективной и обеспечивает полную автоматизацию обработки результатов измерений и подготовки ситуационных планов и ЦММ.

При горизонтальных съемках в период производства полевых работ выполняют следующее: рекогносцировку, прокладку ходов съемочного обоснования, съемку подробностей ситуации местности.

Рекогносцировку подлежащего съемке участка местности производят с целью установления границ съемки, определения положения съемочных точек (вершин ходов), направления ходов и выбора метода съемки ситуационных подробностей местности.

Прокладка ходов включает в себя вешение линий, измерение горизонтальных углов, измерение горизонтальных проекций длин линий.

Вешение линий осуществляют с помощью угломерного инструмента. При длинных прямых назначают дополнительные съемочные точки, с которых осуществляют продление створа. Вынос дополнительных съемочных точек при продлении стороны хода для устранения влияния коллимационной погрешности осуществляют переводом трубы через зенит при двух положениях круга (КЛ и КП).

Измерение длин линий осуществляют <#"707633.files/image001.gif">;

при  = ± 60'' и L = 3км ≈1м.

съемка горная изолиния створ

Вертикальные съемки горных выработо

Вертикальной съемкой, или нивелированием, называется совокупность измерительных и вычислительных операций, в результате которых определяются высотные отметки отдельных точек.

Вертикальные съемки в горных выработках производятся для следующих основных целей: определение высотных отметок точек, закрепленных в горных выработках, построение профилей вертикальных разрезов выработок, задания направления выработкам в вертикальной плоскости. Все съемки опираются на реперы, заложенные в околоствольном дворе и имеющие высотные отметки, вычисленные в результате вертикальной соединительной съемки.

В выработке с углом наклона, не превышающем 5-8º, съемки производятся методом геометрического нивелирования, в выработках с большим углом наклона - методом тригонометрического нивелирования.

Пункты высотного обоснования отмечают особыми знаками - реперами, рассчитанными на длительный срок существования. Реперы закладываются в фундаментах стационарных установок , а так же в коренных породах почвы, кровли и боков выработки. В качестве реперов могут быть использованы также постоянные пункты теодолитных ходов. Реперы закладываются парами на расстоянии 20 - 50 м один от другого. Расстояние между смежными парами реперов должно быть не более 300 - 500м.

Для опознавания реперов в выработках на стойках крепи закрепляют железные марки, на которых обозначаются буква Р и номер репера. В выработках с бетонным и металлическим креплением маркировка реперов производится масляной краской на стенках выработок.

Определение исходных данных для составления геометрических графиков

Для составления структурных и качественных горногеометрических графиков на маркшейдерские планы, разрезы и проекции наносятся точки, в которых определены показатели, характеризующие те или иные свойства залежи.

Перед нанесением точек на маркшейдерские графики для каждой из них должны быть определены координаты. Работа по определению местоположения точек ведется геолого - маркшейдерской службой непрерывно, начиная с разведки месторождения, в период строительства горного предприятия и во время его эксплуатации.

Съемка точек производится по естественным обнажениям, если они имеются, и по всем горным выработкам, вскрывающим залежь. В период разведки к таким выработкам относятся скважины, шурфы, канавы, в период строительства и эксплуатации - стволы шахт, капитальные, подготовительные и очистные выработки, разрезные траншеи, уступы бортов карьеров, буровзрывные скважины и др. выработки.

В практике встречаются случаи, когда задача по определению точек или показателей залежей решается специальными способами:

Способ определения координат точек встреч скважины с висячим или лежачим боком залежи. Залежь может быть разведана вертикальной, наклонной или искривленной скважинами.

Способ определения элементов залегания по трем точкам. Такая задача может встретиться, когда на месторождении имеется три обнажения, естественные или искуственые, не лежащие на одной прямой.

Способ определения элементов залегания способом перекрещивающихся прямых. Этот способ применяется в случаях, когда залежь пересекается выработкой, направленной произвольно по отношению к простиранию и падению залежи.

Подсчет запасов способом изолиний

Подсчет запасов по способу изолиний производят по графику изомощностей или линейных запасов.

П.К. Соболевский предложил два способа определения объема «осажденного» тела, поверхность которого выражена в изолиниях - по формуле призматоида и при помощи объемной палетки.

При определении объема по формуле призматоида задача сводится к установлению объема тела, расчлененного горизонтальными сечениями на слои высотой h, равной сечению изомощностей. Изомощности являются контурами этих сечений.

Подсчет запасов производится в такой последовательности:

Планиметром определяют площади, оконтуренные каждой из мощностей,

Вычисляют объем залежи по формуле:

V= [+ ) + 2 (+  + …) + 4( + +  + …)

Число слоев должно быть четным. Если число слоев не четное, то объем последнего слоя подсчитывают отдельно и суммируют с общим объемом,

Вычисляют запас полезного ископаемого

= Vd

Определяют запас компонента

= Qc.

При подсчете запасов при помощи объемной палетки залежь, изображенную в виде изомощностей, палеткой расчленяют на ряд вертикальных призм с одинаковым квадратным основанием. Объем каждой призмы определяют как произведение основания на ее среднюю высоту, равную высоте центра квадратика. Объем тела равен сумме объемов всех призм.

Подсчет запасов производится в следующем порядке.

На прозрачной бумаге вычерчивают палетку, представляющую собой правильную сетку точек, расположенных на расстоянии 0,5 - 1,0 см друг от друга. Каждая точка представляет собой, таким образом, центр квадратика площадью 0,25 - 1,0 см2

Палетку накладывают на план изомощностей в произвольном положении и в каждой ее точке в пределах промышленного контура залежи берут отчет значения мощности по плану и записывают в формуляр подсчета.

В формуляре подсчитывают суммы мощностей по всем строчкам и колонкам и вычисляют общую сумму мощностей.

Вычисляют объем и запас полезного ископаемого залежи по формулам

= Σ ma; Q = Vd,

Где а - площадь основания палетки в масштабе плана.

Запас компонента определяют по графику линейного запаса произведений мс.при этом определяется палеткой объем V'

V' = aΣmc,

Определяют запас компонента. Если содержание компонента выражено в процентах, то

P = V.

Нитяный дальномер зрительной тубы с внутренней фокусировкой

Нитяный дальномер весьма прост по устройству и имеется в зрительных трубах всех геодезических приборов.

В комплект дальномера входит вертикальная шашечная рейка с сантиметровыми делениями.

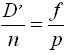
Для измерения линии на одном её конце устанавливают прибор, а на другом рейку. Лучи от дальномерных нитей а и в, пройдя через объектив в передний фокус F, пересекут рейку в точках А и В.


Из подобия треугольников AFB и а'Fв' имеем

, откуда , где f - фокусное расстояние объектива; р - расстояние между дальномерными нитями.

для данного прибора постоянно и называется коэффициентом дальномера.

Из радиуса видно , где - расстояние от объектива до оси вращения трубы; называется постоянным слагаемым дальномера.

Таким образом, расстояние от рейки до оси вращения теодолита определяется: D = kn + c.

В зрительных трубах современных приборов внутренняя фокусировка делает постоянное слагаемое малым по величине и им чаще пренебрегают.

Тогда формула имеет вид: D = k · n.

Для удобства пользования таким дальномером, постоянную величину К делают, как правило равной 100 (при этом параллактический угол = 34,38'), а рейку делят на деления кратные сантиметрам, и тогда определяемое расстояние получается в метрах


Поле зрения зрительной трубы (отсчет по нитяному дальномеру 39,5 м)

Одна дальномерная нить наведена на отсчет b = 1275 мм, а другая на отсчет a = 1670 мм, тогда n = a - b = 1670 - 1275 = 395 мм.

Расстояние D будет равно: D = k · n = 395 · 100 = 39 500 мм или 39,5 м.

Задачи

Данные по варианту

ХА

УА

НА

ХВ

УВ

НВ

100

100

100

200

200

200




δ°

mскв м

70

40

5,00

2


1-ое изм.

2ое -изм

3ое изм

4-изм.

Длина компаратора

199,966

199,960

199,967

199,953

199,962


Задача 1.

Определить длину и угол наклона линии, если известны координаты и высоты ее точек А и В: ХА=0, YА=0, НА=0 и ХВ=100м, YВ=100м, НВ=200м.

Пример решения задачи.

Для получения требуемых результатов используем следующие формулы:

;

 = 173,2м

;

 = 141м

 =

Задача 2

Наклонная буровая скважина, заданная под углом наклона 72°, по линии вкрест простирания пересекла угольный пласт с углом падения 63°. Мощность пласта по скважине составила 3,9м. Определить горизонтальную, вертикальную и нормальную мощность пласта.

Угол между направлениями падения скважины и нормальной мощности вычисляем по формуле

γ=b-(90°-δ),

где b-угол наклона скважины;

δ-угол наклона пласта, следовательно

γ=70º -(90°- 40º) = 20°

Нормальную мощность пласта вычисляем по формуле

н = mскв cosγн = 5º cos 20º = 4,7

Горизонтальную и вертикальную мощность пласта вычисляем по формулам

г = mн /sinδ;г = 4,7/sin40º = 7,8.в = mн / cosδ;в = 4,7 / cos40º = 5,9.

Задача 3

Определить поправку за компарирование для 50-метровой рулетки.

Среднее из результатов измерений составляет 199.961м.

По формуле Δlк =(lк-lи )/n, гдек -длина компаратора, заранее измеренная с установленной точностью;и -средний результат измерения компаратора мерным прибором;число укладываний мерного прибора( рулетки или ленты) в длине компаратора

получаем значение поправки в длину рулетки за компарирование

Δlк=(lк-lи)/n


В данном случае поправку Δlк =0,00025м следует применять со знаком «-», так как измеренное значение меньше истинного. Таким образом, образом, длина исследуемой рулетки составила 49,99975м при конкретной температуре компарирования.

Заключение

Данные маркшейдерии используются для планирования ведения горных работ, освоения и комплексного использования месторождений, а также при строительстве подземных сооружений <http://mining-enc.ru/p/podzemnye-sooruzheniya/>, не связанных с разработкой месторождений полезных ископаемых <http://mining-enc.ru/r/razrabotka-mestorozhdenij-poleznyx-iskopaemyx/>.

Маркшейдерия включает: определение пространственного положения, размеров и формы тел полезных ископаемых <http://mining-enc.ru/p/poleznye-iskopaemye/>, данных о горно-геометрической структуре и свойствах залежи, точное определение положения горных выработок и подземных сооружений по отношению к объектам земной поверхности для обеспечения правильного и безопасного ведения горных работ, перенесение в натуру геометрических элементов проектов горных выработок, зданий и сооружений, инженерных коммуникаций, транспортных путей, границ безопасного ведения горных работ, барьерных и предохранительных целиков; составление и пополнение чертежей горной графической документации <http://mining-enc.ru/g/gornaya-graficheskaya-dokumentaciya/>.

В задачу маркшейдерии входят также изучение процессов сдвижения горных пород <http://mining-enc.ru/s/sdvizhenie-gornyx-porod/> и земной поверхности, прогнозирование этих процессов, разработка мер защиты сооружений, а также проектов расконсервации запасов в целиках под застройками, изучение процессов воздействия горного массива на выработки и их прогнозирование; учёт запасов, потерь <http://mining-enc.ru/p/poteri/> и разубоживания <http://mining-enc.ru/r/razubozhivanie4358/> полезных ископаемых.

Одной из специфических отраслей маркшейдерии является разработка новых маркшейдерских приборов, предназначенных для автоматизации маркшейдерских съёмок и специальных измерений, вычислительных работ и графических построений. Маркшейдерия использует достижения вычислительной техники, математическую обработку измерений, математическую статистику и связана с геомеханикой, сопротивлением материалов, оптикой, электроникой, геодезией <http://mining-enc.ru/g/geodeziya/>, топографией <http://mining-enc.ru/t/topografiya/>, картографией.

Список используемой литературы

Оглоблин, Д.Н. Маркшейдерское дело/ Д.Н. Оглоблин .- М.: Недра, 1981

Трофимов А.А. Основы маркшейдерского дела и геометризации недр/ А.А. Трофимов. - М.: Недра, 1985.

Синанян Р.Р. Маркшейдерское дело/ Р.Р. Синанян . - М.: Недра, 1978.

<http://www.giswelland.com/>

Похожие работы на - Маркшейдерское дело

 

Не нашли материал для своей работы?
Поможем написать уникальную работу
Без плагиата!
Без нейросетей!