Исследование потребительского поведения клиентов ООО 'Эльдорадо'
Содержание
Введение
.
Теоретические аспекты исследования поведения потребителей
.1
Потребители как объект маркетингового поведения
.2
Факторы, влияющие на потребителя
.3
Моделирование потребительского поведения
.
Исследование потребительского поведения клиентов ООО «Эльдорадо»
.1
Общая характеристика предприятия
.2
Анализ поведения потребителей в процессе покупки бытовой техники и электроники
.3
Анализ процесса выбора и покупки товаров бытовой техники и электроники в семьях
.
Рекомендации по повышению эффективности и совершенствованию деятельности
компании ООО «Эльдорадо»
.1
Разработка предложений по стимулированию активности потребителей в процессе
совершения покупки бытовой техники и электроники
.2
Корреляционно-регрессионый анализ активности потребителей в процессе совершения
покупки при использовании гибкой системы скидок
.3
Мерчендайзинг как эффективная маркетинговая технология
Заключение
Список
литературы
Приложение
Введение
Маркетинг является одним из видов управленческой
деятельности и влияет на расширение производства и торговли путём выявления
запросов потребителей и их удовлетворения. Он увязывает возможности
производства и реализации товаров и услуг с целью покупки продукции
потребителем.
Маркетинг не начинается там, где завершается
производство. Напротив, характер и масштабы производства диктуются маркетингом.
Эффективное использование производственных мощностей, нового
высокопроизводительного автоматического оборудования и прогрессивной технологии
предопределяется маркетингом.
В рамках маркетинга разрабатывается и
применяется система мер воздействия на рынок, на потребительский спрос с учётом
возможности получения прибыли за счёт максимального удовлетворения запросов
потребителей.
В прошлом деятели рынка учились понимать своих
потребителей в процессе повседневного торгового общения с ними. Однако рост
размеров фирм и рынков лишил многих распорядителей маркетинга непосредственных
контактов со своими клиентами. Управляющим приходится все чаще прибегать к
исследованию потребителей. Они прилагают больше усилий и тратят больше средств,
чем когда-либо раньше на изучение потребителей, пытаясь выяснить, кто именно
покупает, как именно покупает, когда именно покупает, где именно покупает, и
какие факторы влияют на процесс покупки.
Основной вопрос: как именно реагируют
потребители на разные побудительные приемы маркетинга, которые фирма может
применять? Именно поэтому и фирмы и научные работники тратят так много усилий
на исследование зависимостей между побудительными факторами маркетинга и
ответной реакцией потребителей. Таким образом, предметом исследования данной
курсовой является поведение потребителя. А именно мотивы его поведения и
факторы, влияющие на него. Объектом исследования является сам потребитель.
Потребители являются ключевой движущей силой абсолютного
большинства рынков, поэтому их изучение является одной из главных сфер
маркетинговых исследований. Именно удовлетворенность и лояльность потребителей
играют решающую роль в конкурентной борьбе на розничных рынках.
Целью данной работы является изучение
потребительского поведения в процессе покупки. Для достижения поставленной цели
необходимо решить следующие задачи:
изучить теоретические основы процесса совершения
покупки потребителем;
выявить факторы, оказывающие влияние на процесс
совершения покупки потребителем;
проанализировать поведение потребителей при
выборе бытовой техники.
В ходе работы также изучены инструменты
стимулирования активности потребителей в процессе покупки и предложения по их
наилучшему применению.
1. Теоретические аспекты исследования
поведения потребителей
.1 Потребитель как объект
маркетингового поведения
Важнейшее место в маркетинговых исследованиях
наряду с изучением рынка и механизмов работы коммерческих фирм принадлежит
изучению потребительского и покупательского поведения. Цель такого изучения
должна соответствовать основному принципу маркетинга: «Производить то, что
покупается, а не покупать то, что производится».
Потребитель - главный объект
маркетинга. Участнику рынка важно проанализировать и выявить желания и возможности
потребителя, мотивы решения о покупке.
Под потребительским поведением понимается
решение потребителя о распределении дохода между товарами и услугами, которые
он собирается приобрести. Изучение потребительского поведения -
важнейшая задача в маркетинге, решение которой дает возможность производителю
(продавцу) наилучшим образом распределить свои ресурсы для получения
максимальной прибыли при продаже товаров и услуг.
С точки зрения маркетинга потребителей можно
разделить на две группы:
конечные потребители - это отдельные покупатели,
приобретающие товары для личного (семейного, домашнего) использования;
предприятия-потребители - покупатели,
приобретающие товары для использования в процессе дальнейшего производства,
эксплуатации в рамках организаций, а также для перепродажи
Необходимо отчетливо представлять, что поведение
этих групп потребителей может существенно различаться, что обусловлено:
различными целями приобретения товаров;
способами принятия решений о покупке;
источниками информации, используемыми при
принятии покупательских решений;
частотой совершения покупок;
мотивацией покупок;
неодинаковым уровнем знаний о товарах;
требованиями к послепродажному сервису и т.д.
Рассмотрим положения, лежащие в основе
правильного понимания потребителей.
. Потребитель независим: его поведение
ориентируется на определенную цель, товары им принимаются или отвергаются в
зависимости от степени соответствия его запросам. Предприятия достигают успеха,
если предоставляют потребителю свободу выбора и реальную выгоду. Понимание
этого и постоянное приспособление предложения к запросам потребителя
обеспечивает эффективность практической реализации концепции маркетинга.
. Поведение потребителей может быть изучено с
помощью маркетинговых исследований. Это осуществляется путем моделирования
покупательского поведения, исследования мотивов и факторов, характеризующих
потребности людей и способы их удовлетворения.
. Поведение потребителей поддается воздействию.
Маркетинг может оказывать достаточно сильное влияние на мотивацию и поведение
потребителей. Это достигается при условии, что предлагаемый товар действительно
является средством удовлетворения потребностей. Однако речь не должна идти о
каком-либо манипулировании поведением потребителей.
. Поведение потребителей социально законно: их
суверенитет в условиях рыночной экономики основывается на ряде прав. Соблюдение
их является важнейшей задачей не только общества в целом, но и отдельных
предприятий. Социальная законность прав потребителей служит гарантией
удовлетворения их потребностей. Обман, введение в заблуждение, низкий уровень
качества товаров, отсутствие реакции на жалобы и претензии и другие аналогичные
действия представляют не что иное, как попрание законных прав и интересов
потребителей. [6]
1.2 Факторы, влияющие на потребителя
.Культурные факторы. Самое сильное влияние на
поведение потребителя оказывают культурные факторы, особенно общий его уровень,
принадлежность к определенной субкультуре и социальному классу.
Культура - это основная сила, предопределяющая
желания и все поведение человека. Она включает основные ценности, желания,
поведенческие особенности, которые он усваивает, живя в обществе.
Каждая культура состоит из более мелких
субкультур, которые дают человеку возможность более полного отождествления и
тесного общения с себе подобными. Субкультуры формируются на национальной,
религиозной, расовой или региональной основе, многие из них образуют важные
сегменты рынка, что должны учитывать производители при разработке продукции и
планирования маркетинговых программ. [6]
.Демографический фактор рассматривает изучение
населения, его численности, плотности, распределения и особенностей жизни.
Типичные статистические демографические характеристики включают возраст, пол,
доход, образование, семейное положение, размер семьи и занятия.
Стратегическая ориентация бизнеса в эпоху
глобализации предполагает знание глобальной потребительской структуры и мировых
тенденции в ее развитии. Значимыми для маркетинга трендами глобального
народонаселения являются:
Увеличенный период замещения поколений в
развитых странах - в связи с ростом сроков получения образования, урбанизацией,
с ростом жизненных стандартов, легализацией абортов, более эффективными
методами контрацепции, распространенной стерилизацией, возросшим участием
женщин в сфере общественного труда, высоким уровнем разводов, отсроченным
вступлением в брак и деторождением.
Быстрый рост численности населения в
развивающихся странах, несмотря на падающую рождаемость.
Быстрая урбанизация в менее развитых странах с
высокой миграцией населения в более богатые индустриальные страны.
.Социальные факторы. Почти в каждом обществе
существуют различные общественные классы, которые мы определяем следующим
образом: Общественные классы ¾ сравнительно
стабильные группы в рамках общества, располагающиеся в иерархическом порядке и
характеризующиеся наличием у их членов схожих ценностных представлений,
интересов и поведения.
Социологи выделяют шесть общественных классов:
Высший класс - элита общества, происходящая из
именитых семей и живущая на наследуемое богатство. Служат референтной группой
для остальных классов.
Низший высший класс - лица свободных профессий
или бизнесмены, получающие высокие доходы в силу своих исключительных
способностей. Стремятся перейти в высший класс.
Высший средний класс - делающие карьеру лица
свободных профессий, управляющие, бизнесмены.
Низший средний класс - служащие, мелкие
предприниматели, "рабочая аристократия".
Высший низший класс - мелкие служащие,
квалифицированные и полуквалифицированные рабочие.
Низший класс - Неквалифицированные рабочие,
лица, живущие на пособия.
Общественным классам присуще несколько
характеристик:
) лица, принадлежащие к одному и тому же классу,
склонны вести себя почти одинаково;
) в зависимости от принадлежности к тому или
иному классу люди занимают более высокое или более низкое положение в обществе;
) индивиды могут переходить в более высокий
класс или опускаться в один из нижних классов.
Для общественных классов характерны явные
предпочтения товаров и марок в одежде, хозяйственных принадлежностях,
проведении досуга, автомобилях. Поэтому некоторые деятели рынка фокусируют свои
усилия на каком-то одном общественном классе. Целевой общественный класс
предполагает определенный тип магазина, в котором должен продаваться товар,
выбор определенных средств распространения информации для его рекламы и
определенного типа рекламных обращений.
Референтные группы - группы, которые оказывают
(при личном контакте) прямое или косвенное влияние на отношение человека к чему
(кому) - либо и его поведение. Группы, оказывающие прямое влияние на человека,
называются группами членства.
Группы членства могут быть первичными (семья,
друзья, соседи, все те общности, взаимодействие с членами которых носит
постоянный и неформальный характер) и вторичными группами (профессиональные
коллективы, религиозные и профсоюзные объединения, построенные скорее на
формальной основе, общение с членами которых носит периодический характер).
Референтные группы оказывают влияние на индивида по крайней мере в трех
направлениях: они могут подтолкнуть человека к изменению своего поведения и
стиля жизни; оказывают влияние на отношение индивида к жизни и его
представление о самом себе; могут воздействовать на выбор индивидом конкретных
товаров и торговых марок. [6]
Семья - это группа двух или более людей,
связанных кровным родством, браком или усыновлением и живущих вместе.
Нукленарная семья - это группа, состоящая из отца, матери и ребенка (детей),
живущих вместе. Нукленарная семья имеет несколько вариаций. В частности это -
семья с одним из родителей, образовавшаяся в результате развода или смерти
другого родителя. В обоих случаях чаще дети и мать остаются вместе как
нукленарная семья. Расширенная семья - это нукленарная семья плюс другие
родственники (бабушки, дедушки, дяди и тети). Расширенные семьи характерны для
стран Востока, распространенны в России, однако не характерны для США. В
зависимости от вида семьи, выделяют их различные предпочтения.
.Личностные факторы. На решение покупателя
влияют его личностные характеристики: возраст и этапы жизненного цикла семьи,
работа, экономическое положение, образ жизни, особенности характера и
самооценка. На протяжении жизни человек приобретает самые разные товары и
услуги. Ребенку необходимо детское питание. Взрослый человек стремится
попробовать разнообразные продукты, а в пожилом возрасте он переходит на
диетическое питание. Со временем меняются вкусы человека в отношении одежды,
мебели, отдыха. Исследования установили существования психологических этапов
жизненного цикла семьи. На протяжении зрелого периода жизни человек переживает
определенные психологические "переходы", или
"трансформации". Маркетологи уделяют большое внимание
обстоятельствам, меняющим жизнь человека, - разводу, вдовству, повторному браку
- и их влиянию на поведение потребителей.
Так же отличается поведение покупателей в
зависимости от полового признака. Это можно наглядно посмотреть в таблице,
приложении А.
Большое влияние на приобретение товаров
покупателем оказывает род его занятий. Рабочий вынужден приобретать спецодежду
и обувь. А положение президента компании обязывает к покупке дорогих костюмов.
Маркетологи стремятся определить профессиональные группы, заинтересованные в
приобретении конкретных товаров и услуг, а компании стремятся к выпуску товаров
для них.
Экономическое положение очень сильно влияет на
выбор товара потребителем. Экономическое положение индивида определяется
уровнем и стабильностью расходной части его бюджета, размерами его сбережений и
активов, долгами, кредитоспособностью и отношением к накоплению денег.
Люди, принадлежащие к одной субкультуре, одному
социальному классу и имеющие один род занятий, могут вести совершенно разный
образ жизни. Образ жизни - форма бытия человека в мире, выражающаяся в его
деятельности, интересах и мнениях. Образ жизни отражает "всего
человека" в его взаимодействии с окружающими.
При классификации различных образов жизни
используются различные методики. Например, в 2010г. рекламные агентства
"D`Arcy, Masius, Benton & Bowles" опубликовали исследование
"Русский потребитель: новая перспектива и маркетинговый подход", в
котором описываются 5 категорий русских потребителей: Купцы, Казаки, Студенты,
Руководители компаний и Русские душой. Казаки, к примеру, характеризуются
амбициозностью, независимостью и стремлением к повышению социального статуса, а
Русские душой - пассивностью, боязнью выбора и надеждами на улучшение
экономической ситуации. В то время как Казаки водят "BMV", курят
сигареты "Dunhill" и пьют коньяк "Remi Martin", Русские
души ездят на "Ладах", курят "Malboro" и предпочитают
"Смирновскую" водку. [11.c40]
Тип личности - совокупность отличительных
психологических характеристик человека, обусловливающих его относительно
постоянные и последовательные реакции на воздействия окружающей среды. Тип
личности обычно определяется на основе следующих присущих человеку черт:
уверенность в себе, влияния на окружающих, независимости почтения,
общительности, самозащиты и приспособляемости. Непосредственное отношение к
типу личности имеет и представление человека о самом себе (или самоимидж).
.Психологические факторы. На выбор покупателем
товара воздействуют 5 основных психологических факторов - мотивация,
восприятия, усвоение, убеждения и отношения.
В любой момент жизни человек испытывает массу
потребностей. Некоторые из них имеют биогенную природу, возникают при
определенном физиологическом состоянии организма - голоде, жажде, дискомфорте.
Другие носят психологическую природу и являются результатом таких состояний
психологического напряжения, как потребность человека в признании, уважении или
духовной близости. Большая часть потребителей не требует немедленного
удовлетворения. Потребность становится мотивом в том случае, когда она
заставляет человека действовать, а ее удовлетворение снижает психологическое
напряжение.
Таким образом, потребители принимают свои
решения не в вакууме. На совершаемые ими покупки большое влияние оказывают
факторы культурного, социального, личного и психологического порядка.
Характеристики покупателя представим в виде схемы (рис.1). [10]
Рисунок 1 - Характеристики покупателя (по Ф.
Котлеру)
1.3 Моделирование потребительского
поведения
Методология исследований потребителей основана
на моделировании их поведения, понимаемого как деятельность, направленная
непосредственно на приобретение, потребление товаров и распоряжение ими, и включающая
также процессы принятия решений, которые предшествуют этим действиям и следуют
за ними.
Моделирование поведения потребителей преследует
двоякую цель: с одной стороны, понять и предсказать поведение потребителей; с
другой - выявить причинно-следственные связи факторов, его определяющих.
Процесс моделирования конечного потребителя
осуществляется в несколько этапов (рис.2).
Рисунок 2 - Модель поведения конечного
потребителя
На первом этапе исследуются возникновение и
осознание потребности в том или ином товаре. Потребителями могут быть семья,
домашнее хозяйство, отдельная личность. Товары также различаются по характеру
потребления (единовременного и длительного пользования), по настоятельности
потребности в них (повседневного, периодического, редкого спроса). [12]
В основе оценки (измерения) потребности,
потребления и спроса в маркетинге широко используются приемы и методы теории
«предельной полезности», эластичности спроса, современного бихевиоризма и др.
Второй этап - моделирование процесса поиска и
оценки информации о товаре. Здесь используются различные каналы информации о
товаре: персональные (семьи, друзья), коммерческие (реклама, продавцы,
упаковка), публичные (средства массовой информации), эмпирические (опыт,
испытания).
Покупателю требуется различная информация в
зависимости от рыночной ситуации. Если покупатель хорошо знаком с товаром и его
разновидностями (дешевые товары массового спроса), то задача заключается в том,
чтобы лучше сориентировать его, привлечь внимание, сократить время на выбор.
Бывает так, что он хорошо знает товар, но не знаком с разновидностями
(различные марки телевизоров). Здесь требуется информация, раскрывающая
достоинства незнакомых потребителю марок. Наконец, когда покупатель не знает
товара, тогда информация направляется на создание интереса к нему (реклама,
стимулирование и др.).
Важным шагом в моделировании поведения конечного
потребителя на рынке является третий этап - принятие решения о покупке. Покупка
- это всегда компромисс, ожидаемый риск. Одним из методических подходов в
решении данной задачи служит модель «черный ящик» (рис.3).
Рисунок 3 - Развернутая модель покупательского
поведения
При моделировании принятия решения о покупке
«черный ящик» рассматривается как набор определенных стимулов, под воздействием
которых происходит принятие решения о покупке. Это стимулы внутреннего
характера (физические и духовные потребности, стремление к самоутверждению,
склонность к экономии) и внешнего (групповые интересы, обычаи, традиции).
Четвертый этап - оценка потребителем
правильности выбора товара. Положительная оценка усиливает приверженность к
данному товару, негативная ослабляет интерес к нему. Таким образом, специалист
по маркетингу на основе моделирования поведения потребителя получает
возможность знать, удовлетворению каких потребностей служит его товар, и при
необходимости совершенствовать его характеристики, видеть, куда потребитель
обращается за информацией о товаре, помочь ему быстрее и полнее получить
интересующие данные, а затем принять решение о покупке, зная мотивы и стимулы,
которыми тот руководствуется. [12]
2. Исследование потребительского
поведения клиентов ООО «Эльдорадо»
.1 Общая характеристика предприятия
маркетинговый потребительский
поведение мерчендайзинг
Компания «Эльдорадо» - крупнейшая российская
сеть магазинов бытовой техники и электроники.
Основателем компании и ее владельцем является
Игорь Яковлев. Коллеги называют Яковлева чрезвычайно требовательным и жестким
руководителем. Возможно, только благодаря этим качествам своего владельца
Эльдорадо смогла вырасти из двух небольших магазинов в крупнейшую в России
непродуктовую сеть. В предкризисный 2007 год оборот компании составил $6 млрд.
В начале 2008 года налоговые органы предъявили одному из юридических лиц
«Эльдорадо» налоговые претензии на общую сумму почти в 15 млрд руб. После этого
банки-кредиторы компании потребовали досрочного погашения кредитов на сумму
$400 млн, а поставщики прекратили поставлять товар. «Эльдорадо» выручила
чешская группа PPF, предоставив заём в $500 млн. В сентябре 2008 года, Яковлев
избавился от контрольного пакета «Эльдорадо», продав 39 % акций группы холдингу
PPF, а 11 % - итальянской страховой группе Assicurazioni Generali (вместе они
получили контрольный пакет - 50 % плюс 1 акция) за сумму порядка $400-800 млн.
100 % акций группы по данным на август 2011 года принадлежали чешскому холдингу
PPF.
Торговой группе «Эльдорадо» на 18 ноября 2010
года принадлежало 328 магазинов электроники и бытовой техники.
Численность персонала - около 30 тыс. человек.
Оборот сети в в 2010 году составил 89 млрд руб., или $2.8 млрд (в 2009 году -
$5 млрд, в 2007 году - $6 млрн).
Магазины «Эльдорадо» открыты во всех городах
России с населением от 500 тысяч жителей и более чем в 90% городов с населением
250-500 тысяч жителей. «Эльдорадо» входит в ТОП-5 ритейлеров бытовой техники и
электроники в Европе и в ТОП-10 - в мире. «Эльдорадо» представляет широкий
ассортимент качественных товаров ведущих мировых брендов, который насчитывает
свыше 20 000 наименований в 110 товарных группах. Стратегическое партнерство с
ведущими международными производителями позволяет клиентам «Эльдорадо» в числе
первых узнавать о впечатляющих инновациях и получать эксклюзивные новинки.[19]
«Эльдорадо» готовит полноценные решения для
клиентов в магазине и после покупки. «HiTechnic», сервисное направление
«Эльдорадо» - это крупнейшая в России профессиональная сервисная компания,
которая представлена по всей стране и осуществляет установку, подключение,
настройку и ремонт бытовой техники и электроники любой сложности. Более 15
тысяч сотрудников сети помогают покупателям воспользоваться всеми
преимуществами товаров ведущих брендов, опираясь на собственный опыт и лучшие
розничные технологии.
На сегодняшний день Программа лояльности
насчитывает более 4 млн. участников. Программа для постоянных покупателей
«Эльдорадо» обеспечивает одни из самых выгодных условий по сравнению с
аналогичными программами конкурирующих сетей и дает бонусы в размере 3,3% от
суммы покупки.
В 2010 году компания начала репозиционирование
под слоганом «Так просто жить лучше», что ознаменовало новый этап развития сети
магазинов и отношений с покупателями. В 2011 году «Эльдорадо» внедряет новый
формат удобно расположенных и детально продуманных магазинов. Они разработаны
ведущим мировым агентством «Fitch» с учетом передового международного опыта и
предпочтений клиентов. Первый магазин нового формата был открыт весной 2011
года в торгово-развлекательном центре «АФИМОЛЛ», расположенном в самом сердце
ММДЦ «Москва-Сити». В августе 2011 г. по всей России открыл 26 магазинов в
новом формате. Впервые в своей истории компания одновременно открывает такое
большое количество магазинов.
В 2012 г. компания «Эльдорадо» приобрела сеть
магазинов бытовой техники и электроники «Берингов», которая насчитывала на
момент сделки 28 магазинов в 27 городах Центрального региона России.
Обновленные гипермаркеты «Эльдорадо» имеют инновационный для российского рынка
формат и заметно отличаются от прежних - с точки зрения оформления,
расположения товарных зон и выкладки товара.
Благодаря этому, покупателю легко
ориентироваться в магазине, увидеть все новинки в WOW-зонах, поближе
познакомиться с ними в Live-зонах и заказать услуги по установке, подключению и
настройке техники. [19]
В рамках общего репозиционирования были
оптимизированы бизнес-процессы внутри магазина. Партнёром «Эльдорадо» в данном
проекте стала консалтинговая компания «Ernst&Young». Результатом стало
повышение уровня обслуживания и комфорта в магазине.
Являясь розничным флагманом индустрии бытовой
техники и электроники, «Эльдорадо» помогает сделать правильный выбор и создать
собственный яркий и комфортный мир, наполненный качественной техникой лучших
мировых брендов. «Эльдорадо» формирует тенденции на рынке благодаря магазинам
нового формата, профессиональным услугам по установке и подключению различной
техники и предложениям, которые пользуются успехом у покупателей и становятся
примером для подражания.
Компания «Эльдорадо» фокусируется на инновациях,
покупательском опыте и сервисе, чтобы развиваться и открывать новые возможности
для сотрудников, покупателей и всего общества.
В 2007 году «Эльдорадо» совместно с рекламным
агентством Instinct начали имиджевую рекламную кампанию, акцентирующую внимание
на том, что «Эльдорадо» - это не только «территория низких цен», но и сеть
магазинов, где интересы клиента ставят превыше всего.
В этом стиле снято несколько серий рекламных
роликов с резидентом Comedy Club Вадимом Галыгиным в главной роли под девизами
«Учитесь как надо!», «Мы не будем читать Вам лекций», «Зачётные цены», «Сливаем
все» и др.[19]
2.2 Анализ поведения потребителей в
процессе покупки бытовой техники и электроники
Говоря о рынке бытовой техники и электроники в
России, можно отметить, что он сменил ориентиры. Потребитель насытился обычными
предметами обихода и перешел на дорогие новинки и аксессуары. Основной из
тенденций является замена старых моделей на более современные: обычных
телевизоров на жидкокристаллические, CD-плееров - на MP3, компьютеров на
ноутбуки, планшеты и т.д.
Компания «Romir Monitoring» при сотрудничестве
крупных бытовых магазинов в 2010 провела году провела исследования, результаты
которых позволяют выявить особенности поведения российских потребителей бытовой
техники и электроники, каким образом они принимают решение и совершают покупки.
В исследовании по репрезентативной выборке
приняли участие 1646 человек в возрасте от 18 лет и старше, в более чем 100
городах России.
В первую очередь респондентам был задан вопрос,
как часто, в среднем, они посещают места продажи бытовой техники и/или
электроники (аудио, видеотехника, компьютеры и т.д.)?»
Ответы на него распределились следующим образом
(Рис. 4).
Рисунок 4 - Частота посещения магазинов бытовой
техники
Согласно результатам исследования, каждый
восьмой россиянин (12%) посещает магазины бытовой техники 2-3 раза в месяц, 17%
сограждан заходят в эти магазины несколько реже - примерно раз в месяц или один
раз в 2-3 месяца. Наибольший же процент респондентов (22%) посещает места
продажи бытовой техники/электроники реже 1 раза в год, потому как данная
категория товаров - это товары предварительного выбора и длительного
пользования, т.е. не требуют частого обновления, но могут служить хорошим подарком.
Существенно влияют на частоту посещения мест
продаж бытовой техники уровень доходов и возрастной фактор. Так молодые люди
заходят в подобные магазины значительно чаще, чем граждане пожилого возраста, и
это вполне объяснимо, ведь молодые более склонны к новизне и разнообразию, а
чем выше уровень доходов - тем больше и разнообразие.
На вопрос, где респонденты обычно покупают
бытовую технику и/или электронику, ответы распределились следующим образом
(Рис.5).
Рисунок 5 - Место покупки бытовой техники
Согласно результатам более половины россиян
(57%) совершают покупки бытовой техники и электроники в магазинах, которые
входят в известные специализированные торговые сети. Наибольшую популярность
такие магазины имеют среди жителей крупных городов, а также среди людей, в
трудоспособном возрасте, с образованием не ниже среднего, и с высоким уровнем
дохода. Значительно реже бытовая техника покупается в небольших
специализированных магазинах (18%). Крупные специализированные торговые
комплексы, ярмарки популярны у 8% россиян, покупающих бытовую технику.[18]
Интернет-магазины, как места покупки бытовой
техники, не пользуются популярностью у респондентов по сравнению с
традиционными местами покупок. В целом лишь 2% респондентов ответили, что
предпочитают покупать бытовую технику в интернет-магазинах. По данным,
полученным на фокус-группах, россияне предпочитают обращаться к услугам сетевых
магазинов лишь как к своего рода справочному каталогу - выбрать марку, модель,
сравнить цены в различных магазинах, чтобы затем придти и совершить покупку в
магазине.
На вопрос, какие из следующих факторов (не более
3-х) оказывают на респондентов наибольшее влияние при выборе места покупки
бытовой техники и/или электроники, ответы распределились следующим образом
(Рис.6)[18]
Рисунок 6 - Факторы, оказывающие влияние при
выборе места покупки бытовой техники
Таким образом, 40% россиян одним из главных
факторов, влияющих на выбор места покупки бытовой техники, назвали низкий
уровень цен, а 32% - качество товаров. Так как разброс в этих двух факторах
небольшой, значит респонденты указывали эти факторы одновременно, т.е. высокое
качество при более низкой цене, - типичное поведение российских потребителей.
Широкий ассортимент товара важен для 33% респондентов, удобство
месторасположения - для 27% и наличие распродаж, скидок - для 22%.[18]
Значимость факторов значительно варьируется в
зависимости от социально-демографических характеристик респондентов.
Интересные результаты были получены при анализе
ответов респондентов с разными социально-демографическими характеристиками.
Согласно полученным данным, мужчины предпочитают магазины с высоким уровнем
обслуживания и широким ассортиментом товаров, в то время как для женщин более
привлекательными представляются места распродаж и магазины, предоставляющие
скидки. Люди, принадлежащие к младшей и средней возрастным группам, с высоким
уровнем дохода и с образованием не ниже среднего, при выборе места покупки
ориентируются на такие факторы как предыдущий опыт покупок, широта
ассортимента, профессионализм консультантов, престиж торговой точки и наличие
дисконтной карты магазина.
Респондентам также был задан вопрос: Опишите,
пожалуйста, Ваше поведение при выборе бытовой техники и/или электроники? Ответы
на него распределились следующим образом (Рис.7).
Рисунок 7 - Поведение потребителей при выборе
бытовой техники
Как оказалось, более двух третей россиян (71%)
посещают несколько магазинов, сравнивают товары и только потом совершают
покупку. Лишь каждый третий в России посещает один магазин и осуществляет
покупку в нем.[18]
Первый тип поведения в большей степени свойствен
жителям небольших городов, второй - жителям столицы. Такое поведение
представляется вполне логичным, поскольку посещение нескольких магазинов в
крупных городах занимает слишком много времени, поэтому их жители склонны
делать покупки бытовой техники в первом магазине. А жители небольших городов
имеют возможность оценить альтернативные варианты, особо не жертвуя своим
временем.[18]
2.3 Анализ процесса выбора и покупки
товаров бытовой техники и электроники в семьях
Особый интерес представляет процесс выбора и
покупки товаров бытовой техники и электроники в семьях, состоящих из двух и
более человек, который отличается для каждых из этих категорий товаров.
Аудио- и видеотехника: 49% семей, состоящих из
двух и более человек, совместно принимают решение, как о выборе товара, так и о
его покупке. Еще в 30% семей, как выбор, так и покупка товара осуществляется
одним человеком, как правило, такую роль на себя берут мужчины - 41%. Среди
женской аудитории о полной самостоятельности при покупке аудио- и видеотехники
заявили всего лишь 7% участниц опроса, что вполне логично.
Бытовая техника: 56% семей, состоящих из двух и
более человек, принимают совместное решение о покупке и вместе выбирают товар,
а в 21% случаев - это делает один из членов семьи. Из тех, кто самостоятельно
принимает решение о покупке и самостоятельно выбирает товар, 34% - это мужчины
и всего лишь 3% - женщины.
Компьютеры и комплектующие: исследование выявило
меньшее единодушие по сравнению со стилем покупок товаров других категорий.
Итак, в 21% российских семей решение о покупке и выбор товара происходят
коллегиально, но покупает, как правило, мужчина. 27% семейных пар совместно
принимают решение и совместно, же покупают товар. Треть респондентов (31%)
заявили о полной самостоятельности в этом вопросе.
Мобильные телефоны: в четырех из десяти
российских семей (41%), состоящих из двух и более человек, решение о покупке
нового телефона обычно принимается совместно. 32% респондентов покупают
мобильные телефоны самостоятельно, не советуясь со своим домочадцами. Женщины
чаще принимают самостоятельное решение о выборе и покупке мобильных телефонов,
чем при покупке других категорий бытовой техники и электроники: 23% женщин,
живущих в семье из двух и более человек, самостоятельно выбирают и покупают мобильный
телефон, скорее всего это связано с тем, что мобильный телефон является товаром
личного потребления.
Согласно результатам исследования практика
семейных советов и совместных походах по магазинам с целью покупки разного рода
техники представляет собой непростую процедуру. Первый поход по магазинам
обычно является "прицелочным", как правило, без денег, и направлен в
основном на осмотр ассортимента и получение консультаций продавцов. Оказалось
консультации продавцов и консультантов в большей степени востребованы
женщинами, поскольку в целом они обычно меньше осведомлены и менее разборчивы в
отношении технических характеристик товаров, женщин в технике в первую очередь
привлекает дизайн. Мужчины же чаще ищут информацию об интересующих их товарах в
Интернете и читают специализированные обзоры/прессу.[17]
Можно построить следующую адаптивную модель
посещения потребителем магазина бытовой техники/ электроники и принятия решения
о покупке, представленную на Рис. 8.
Рисунок 8 - Адаптивная модель посещения магазина
и принятия решения
Из данной модели видно, что значительную роль в
процессе совершения потребителем покупки играют реклама и витрины.
Согласно исследованиям, решение о выборе
торговой марки той категории товара, которую запланировано купить, в 70 %
случаев посетитель магазина принимает непосредственно в месте ее продажи, и на
это решение влияет в первую очередь реклама и витрины магазина. Даже если
человек не совершит покупку сию минуту, он сделает это, придя в этот магазин в
следующий раз, и такое поведение покупателя даже предпочтительней. Ведь для
компании производителя (рекламодателя) намного важнее добиться от человека не
импульсной, а осознанной покупки, превратив её в потребительскую привычку.
Обобщая все вышесказанное, можно сделать вывод о
том, что большинство российских потребителей посещают магазины бытовой техники
и(или) электроники реже одного раза в год и предпочитают те магазины, которые
входят в известные специализированные торговые сети. Наиболее важным фактором,
влияющим на выбор места покупки бытовой техники, является низкий уровень цен,
немалое значение также имеют широкий ассортимент и качество товаров. Как
правило, потребители в процессе выбора потребители посещают несколько
магазинов, сравнивают товары в них и только потом совершают покупку, но у
жителей больших городов из-за нехватки времени часто нет возможности посетить
несколько магазинов. В большинстве российских семей решение о покупке товаров
бытовой техники принимается совместно, и сама покупка в большинстве случаев
совершается совместно. Таким образом, реклама и другие инструменты
стимулирования сбыта должны быть построены с учетом этих особенностей поведения
потребителей.
3. Рекомендации по повышению
эффективности и совершенствованию деятельности компании ООО «Эльдорадо»
.1 Разработка предложений по
стимулированию активности потребителей в процессе совершения покупки бытовой
техники и электроники
Бытовая техника - достаточно специфический товар
с точки зрения продвижения. С одной стороны, она имеет высокую стоимость в силу
своей технологичности, а с другой - она стала необходимым атрибутом жизни
современного человека, производится и продается большим количеством компаний.
Так как российский потребитель максимально
реагирует на цену товара, то наиболее эффективными будут следующие приемы
стимулирования сбыта.
Самым распространенным инструментом являются
ценовые соглашения, которые выражаются в денежных скидках, различных «акциях» и
«специальных предложениях». К примеру, если речь идет о крупной бытовой
технике, производитель может предложить по сниженной цене не несколько единиц
однотипного товара (потому как предложение «три стиральные машины по
супер-цене» не имеет практического смысла), а комплект, состоящий, например, из
холодильника и плиты или из плиты и посудомоечной машины по цене, ниже, чем
суммарная стоимость предметов, входящих в комплект. Надо отметить, что подобные
ценовые инструменты являются эффективными только в том случае, если для
потребителя самым важным фактором в процессе выбора товара является цена, или
если он не привержен одной марке. [14]
Другим инструментом стимулирования являются
премии, т.е. овеществленные награды, получаемые за приобретение определенного
товара и, как правило, бесплатные (например, при покупке комплекта встраиваемой
техники - микроволновая печь в подарок). Преимущество прямой премии очевидно -
она предоставляет потребителю немедленный стимул во время покупки.
Также в качестве премии производитель бытовой
техники может разместить внутри упаковки купонов, сертификатов, карт,
лотерейных билетов, предоставляющих покупателям возможность получить скидку на
следующую покупку, какой-нибудь выигрыш и прочее.
В России производители бытовой техники нечасто
используют этот вид стимулирования потребителей, а если и используют, то в
основном наиболее простой - прямые премии, которые выдаются потребителю в
розничном магазине.
Кредитные программы - не менее действенный
технология стимулирования покупательской активности. Они значительно расширяют
круг потенциальных потребителей бытовой техники вследствие дороговизны
последней. Наряду с предыдущим, стимулировать сбыт помогают программы возврата
или возмещения денег. Залогом успеха подобных программ является простота
процедуры и минимальное число ограничений. В качестве такой программы можно
использовать, например, такую: если в течение семи дней с момента покупки
потребителю удалось найти более низкую цену на купленный товар в
магазинах-конкурентах, то компания компенсирует 70% разницы в цене (такая
компенсация выдается в виде сертификата, который может быть реализован на
последующие покупки в том же магазине).
Сервисные программы также относятся к числу
программ по стимулированию покупок, значительно облегчая жизнь покупателям
крупной бытовой техники, большая часть которой требует доставки,
профессиональной установки, а в случае поломки может потребовать серьезных
финансовых вложений в ремонт.
Промо-зоны которые, по сути, являются
тематическими площадками в магазине бытовой техники и электроники, явление
достаточно редкое в России. Это связано с трудностями и затратами на создание и
размещение таких площадок на территории магазина, а так же проектированием их
оформления. Но практика показывает, что промо-зоны привносят в торговый зал
атмосферу домашнего уюта и тепла, а так же увеличивают активность покупателей,
и активно помогают привлекать внимание посетителей магазина к товарам.
Такие тематические зоны магазинов могут
представлять из себя реальные интерьерные решения (кухня, спальня, гостиная) с
оптимально размещенными с помощью профессионального дизайнера предметами
электроники и бытовой техники. Таким образом на площадке, имитирующей кухню,
помимо шкафов, столешниц и полочек, размещены холодильник, СВЧ-печь, плазменная
панель, электро-плита, миксер, блендер, электрический чайник и т.д. Все это
создает впечатление единого пространства, однородного интерьерного решения,
призывая покупателя построить нечто подобное на собственной кухне. К удобству
покупателей все предметы, представленные в тематической зоне, должны иметь
ценники, чтобы покупатель имел возможность быстро и прямо в магазине просчитать
бюджет на покупки. Важно отметить, что не всякую поверхность с множеством
бытовых приборов на ней можно назвать промо-зоной. При планировке тематических
площадок необходимо обязательно соблюдать золотую середину и при выборе товаров
для размещения по ценовой категории, и с точки зрения дизайна. Нужно избегать
расположения на тематической площадке товары только одной ценовой категории -
ведь цель показать покупателю все разнообразие цен магазина. В большинстве
магазинов помимо бытовой техники и электроники, продаются аксессуары и средства
по уходу за ней, значит вместе с техникой и бытовыми приборами, нужно
разместить в промо-зоне и эти необходимые мелочи, которые многие посетители
просто забывают приобрести.
Существует еще один немаловажный принцип
успешной работы промо-зон в магазине - это принцип выставления визуально
привлекательных товаров, которые обязательно должны сочетаться и успешно
гармонировать между собой по размеру, цвету, стилю.
Таким образом, при размещении и создании в
магазинах промо-зон получатся продвижение и развитие не только и не столько
самого товара, а уюта и комфорта жизни, который можно создать с помощью товаров
данного магазина, а это бесспорно важнее, значимее и ценнее для покупателей.
[8]
Важно и то, как продавец общается с
потребителями, а особенно это значимо для женщин, потому как они больше
чувствительны к нюансам межличностного общения - тону голоса, выражению лица и
т.д. Женщины при выборе товара или услуги непременно нуждаются в сравнении,
сопоставлении и диалоге с консультантом, внушающим доверие. Мужчины же
принимают решение на основании своих представлений и имеющегося набора
критериев, но всегда стоит помнить о том, что даже если мужчина и совершает
покупку самостоятельно, очень часто именно женщина может выступать в роли
агента влияния и оказывать существенное воздействие на его решения. И то, что
при использовании эффективных инструментов маркетинга для женщин увеличивается
удовлетворенность потребителей, как женщин так и мужчин, доказано на практике.
Таким образом, наиболее значимым приемом
стимулирования сбыта товаров бытовой техники является ценовое стимулирование,
выражающееся в предоставлении различных скидок, проведении акций и т.д. Это
объясняется тем, что поведение российских потребителей при совершении покупки в
наибольшей степени зависит от фактора цены на товар.
3.2 Корреляционно-регрессионный
анализ активности потребителей в процессе совершения покупки при использовании
гибкой системы скидок
Корреляция и регрессия - это методы входящие в
группу экономико-математических методов, используемых при проведении
маркетинговых исследований. Они используются для установления взаимосвязей
между группами переменных, описывающих маркетинговую деятельность.
Расчет корреляций и расчет регрессий - это два
последовательных этапа одного и того же анализа данных, который в маркетинге
принято называть корреляционно-регрессионным анализом. Они выполняются в
аналитическом режиме, который предназначен, в первую очередь, для обеспечения
последовательного режима правильной постановкой задачи и наиболее подходящей
выборкой из имеющихся данных. Исследователь, применяющий
корреляционно-регрессионный анализ, отбирает наиболее адекватные и
представительные территории, периоды времени, объекты исследования, виды
факторов и т.д. Аналитический режим имеет заданный "вход" - исходную
постановку задачи и выборку из данных - и "выход" - фильтрованную
постановку задачи и выборку. В остальном он не ограничивает методику анализа.
Метод корреляционного и регрессионного анализа
широко используется для определения тесноты связи между показателями, не
находящимися в функциональной зависимости. Теснота связи между изучаемыми
явлениями измеряется корреляционным отношением (для криволинейной зависимости).
Для прямолинейной зависимости исчисляется коэффициент корреляции.
Допустим, что имеются фактические показатели Хi-
предоставляемая скидка для покупателя. Yi- потребительская активность.
Требуется определить зависимость потребительской
активности в среднем от предоставляемой скидки на товар, составив
соответствующее уравнение регрессии. По исходным данным построим в системе
координат точки, соответствующие значениям переменных х и у.
Значения
и
определяются
по формулам:
Дальнейшим вычислениям придается
табличная форма
|
    
|
|
|
|
|
|
-16,6
-11,6 -6,6 -1,6 3,4 33,4
|
42,2
2500 4160 3136 2025 27225
|
1,3
5 -4,3 2,8 -1,8 -3
|
1,69
25 18,49 7,84 3,24 9
|
-21,58
-58 28,38 -4,48 -6,12 -100,2
|
1.
.
.
Теснота связи между показателями
потребительской активности и скидкой измеряется коэффициентом корреляции, который
исчисляется по формуле
Подставляя соответствующие значения, получим:
выборочные средние квадратические отклонения
Ковариация
Парный коэффициент корреляции
Считая формулу связи линейной (у =
а0 + а1х) определим зависимость потребительской активности от предоставленной
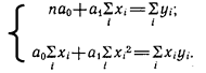
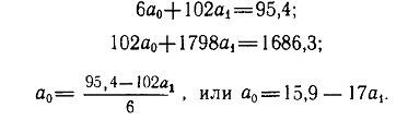
скидки. Для этого решается система нормальных уравнений:
Величины Σxi2 и Σxiyi представлены
в следующей таблице
|
324484169400225196
|
|
|
|
|
|
|
|
|
309,6459,8150,8374,0211,5180,6
Подставляя найденное выражение а0 во второе
уравнение, находим значение а1:
Итак, уравнение регрессии в окончательном виде
получило следующий вид:
Вывод: на основе проделанных расчетов
корреляционно-регрессионного анализа, мы видим, что коэффициент корреляции
приближен к 0 это показывает, что есть тенденция к росту одной переменной при
увеличении другой, но она слаба выражена, следовательно скидка мало влияет на
покупательскую способность, нужно учитывать и ряд других факторов.
3.3 Мерчендайзинг как эффективная
маркетинговая технология
Мерчендайзинг (англ. "merchandise" -
торговать) - это комплекс мероприятий, направленный на увеличение объемов
продаж в розничной торговле. Появление и развития теории мерчендайзинга как
составной части маркетинга было вызвано проблемой выживания субъектов
хозяйствования и их адаптации к изменяющимся условиям внешней среды после
экономического кризиса 1929-1933 гг. прошлого века. Мерчендайзинг определяет
правила представления и продвижения товара на рынок путем различных средств и
методов, используя при этом приемы рекламы по месту продажи. Результатом
правильного мерчендайзинга всегда является стимулирование желания потребителей
выбрать и купить продвигаемый товар.
Задача мерчендайзинга - побудить клиента
магазина купить максимум товара за минимум времени и без участия торгового
персонала.
Основные инструменты мерчендайзинга:
. Эффективное расположение точек продажи в зале
и выкладка товаров.
Сегодня торговому представителю и мерчендайзеру
недостаточно уметь продавать свой товар и знать концепцию мерчендайзинга своей
компании. Для того чтобы добиваться максимального эффекта он должен понимать
потребности как покупателя, так и владельца розничной точки, а также
представлять себе поведение потребителей. Такие понятия как поток покупателей в
торговой точке, общее расположение товара на самих точках продажи, оптимальное
размещение основных и дополнительных точек продажи играют важнейшую роль в
мерчендайзинге, определяя его эффективность. При расположении товаров в
торговом зале учитывается несколько факторов:
оптимальное использование пространства торгового
зала - как правило, 40% площади торговой точки занимает торговое оборудование
(полки, холодильное оборудование, стеллажи и т.д.), расположенное в зависимости
от формы помещения максимально выгодно. Приблизительно 60% площади торговой
точки необходимо оставлять для движения покупателей (обеспечение свободного
движения покупателя по магазину, правила техники безопасности и т.д.), чтобы
покупатели чувствовали себя комфортно. Вот несколько возможных вариантов
расположения торгового оборудования;
оптимальное расположение товарных групп,
расположение основных и дополнительных точек продажи - все места продажи
делятся Основное место продажи - это место, где представлены все производители
данной товарной группы. Дополнительные места продажи увеличивают вероятность
покупки товаров. Дополнительные места продажи являются эффективным инструментом
повышения продаж, т.к. позволяют увеличить количество импульсных покупок. Они
организуются для товаров импульсного спроса, товаров с высоким оборотом;
способы замедления потока покупателей - слишком
широкие проходы и тенденция к расположению стоек и прилавков в строгом
геометрическом порядке ведет к "обесчеловечиванию" магазина.
Покупатель не успевает заметить и захотеть купить какой-либо товар, когда
переходит от секции к секции, поэтому необходимо замедлить скорость движения
покупателя в магазине.
. Организация эффективного запаса.
На полках, в первую очередь, необходимо
представить те товары, которые покупатели ожидают найти в данном магазине.
Производитель в своей мерчендайзинговой
стратегии наверняка укажет набор марок и упаковок, который он будет продвигать
в каждой торговой точке. Марки и упаковки, которые пользуются наибольшей
популярностью у покупателей, необходимо всегда иметь на полках, следовательно,
закупки у поставщиков должны производится пропорционально продажам. Более того,
товары должны занимать место на полках в соответствии с уровнем продаж. Это
необходимо для того, чтобы избежать ситуации отсутствия наиболее продаваемых
товаров.
. Эффективное представление продвигаемых
товаров.
Возможно, ли увеличить продажи, если разместить много
рекламы в магазине, но при этом товар трудно найти на полках или его вообще нет
в продаже? Очевидно, что только после выполнения двух первых условий
эффективного мерчендайзинга (расположение и запас) можно приступать к
заключительному этапу - представлению товара.
Покупатели охотнее выбирают товары, цена на
которые обозначена и хорошо видна, поэтому магазин должен заботиться о
правильном размещении ценников. Чтобы не вводить покупателей в заблуждение
ценники должны располагаться точно под тем товаром, цену на который они
указывают. Часто производители сами предоставляют магазину фирменные ценники, а
также заботятся о предоставлении дополнительных ценников.
Очень важно следить за правильным размещением
рекламных материалов. Существует несколько общих правил, которыми пользуются
практически все компании, когда устанавливают стандарты размещения своих
рекламных материалов:
должны находиться непосредственно около точки
продажи указанного товара либо по ходу к ней,
должны быть хорошо видны покупателю,
должны быть актуальными (материалы конкретной
рекламной кампании устанавливаются в начале проведения кампании и изымаются по
ее окончании).
Необходимо помнить, что цель размещения
рекламных материалов - напомнить покупателю о том, что в данном магазине он
может приобрести данный товар. Когда один и тот же рекламный материал долгое
время находится около точки продажи, покупатели перестают обращать на него
внимание, поэтому производители заботятся о постоянном обновлении рекламных
материалов.
Еще один очень важный момент, о котором должен
заботиться мерчендайзер - содержание в чистоте точки продажи и самой продукции.
От этого зависит не только уровень продаж
данного товара в конкретном магазине, но и имидж компании в целом.
Такая последовательность действий по продвижению
товара в точке продажи (расположение, запас, представление) логична.
Действительно, дополнительной прибыли не получить, если разместить много
рекламы в магазине, но при этом товар трудно найти на полках или его вообще нет
в продаже.
Добиться успеха, используя мерчендайзинг, можно
только при кооперации усилий производителя, дистрибьютора и розничного
продавца, направленных на улучшение обслуживания потребителя.
К примеру, некоторый производитель достиг
значительных успехов в производстве и продвижении товаров под определенной
маркой.
Этот производитель постоянно совершенствует
ассортимент, а также заботится о создании положительного имиджа и
стимулировании марочного предпочтения среди потенциальных потребителей. Он
делает свой вклад в удовлетворение потребителей.
Развитие рыночных отношений предопределило
необходимость использования концепции маркетинга в сфере услуг.
Сегодня предприятия розничной торговли заняты
поисками новых, направленных на привлечение и удержание покупателя
маркетинговых стратегий. Если раньше достаточно было предложить потребителям
удобное месторасположение магазина, особый или уникальный ассортимент товаров,
лучший, чем у конкурентов, сервис, то теперь этого недостаточно.
Большинство магазинов предлагают сходный
ассортимент товаров, так как стремящиеся к максимальным объемам продаж
компании-производители широко представляют свои продукты, используя интенсивный
сбыт.
В этих условиях особую актуальность приобретает
создание системы мерчендайзинга как эффективной технологии увеличения
прибыльности розничных сетей.
Заключение
Подводя итог, можно заключить, что поведение
потребителей определяется как действия, которые предпринимают люди во время
приобретения, потребления товаров и услуг, а также освобождения от них. Другими
словами, поведение потребителей традиционно понимается как выяснение того,
почему люди покупают - в том смысле, что продавцу проще разрабатывать стратегии
влияния на потребителей, когда он знает, почему покупатели приобретают
определенные товары или марки.
Понятно, что все покупатели разные и ведут они
себя по-разному, но при всем разнообразии типов покупателя и типов поведения
существуют общие законы, объединяющие их, и этими законами продавец должен
руководствоваться в первую очередь, чтобы лучше удовлетворять своих
покупателей.
Исследовав поведение потребителей товаров
бытовой техники, как одной из важнейших категорий товаров, используемой в
повседневной жизни, можно сказать, что большинство российских потребителей
посещают магазины бытовой техники и(или) электроники реже одного раза в год и в
основном те, которые входят в известные специализированные торговые сети.
Обычно они посещают несколько магазинов, сравнивают товары в них и только потом
совершают покупку, обычно исходя из лучшего соотношения «цена-качество».
В большинстве российских семей решение о покупке
товаров бытовой техники принимается совместно, и сама покупка в большинстве
случаев совершается совместно, причем женщина в семье чаще всего выступает в
роли агента влияния и оказывает существенное воздействие на принятие решения о
покупке, после того как тщательно обговорит все нюансы с
продавцами-консультантами.
Исходя из того, что низкая цена является
главенствующим фактором при выборе места покупки для российских потребителей,
самыми действенными инструментами стимулирования их активности являются
различные ценовые соглашения (скидки, «акции», премии).
А активное внедрение в российских магазинах
промо-зон позволит обеспечить продвижение и развитие не только самого товара, а
уюта и комфорта жизни, который можно создать с помощью товаров данного
магазина, а это бесспорно важнее, значимее и ценнее для покупателей.
Список литературы
1. Армстронг
Введение в маркетинг [Текст]: учебное пособие / Армстронг, Котлер. - М.:
Издательский дом «Вильямс». - 2000. - 640 с.
2. Анурин
В.Ф., Муромкина И.И., Евтушенко Е.В. Маркетинговые исследования
потребительского рынка. - СПб.: Питер, 2006.
. Байрон
А. Вайц. Как и почему мы покупаем?// Центр дистанционного образования
«Элитариум», 2006.
. Бузукова
Е.А. Ассортимент розничного магазина. Методы анализа и практические советы. -
СПб.: Питер, 2007.
. Воронин
С.И. Маркетинг.Руководство по разработке курсовых работ: учеб. пособие/ С,И,
Воронин, Н.Н. кретова, 2-е изд., перераб. И доп. Воронеж: ГОУВПО «Воронежский
государственный технический университет», 2009. 184 с.
. Васильев
Г.А. Поведение потребителей. - М.: ВЗФЭИ, 2010.
. Голубков
Е.П. Основы маркетинга [Текст]: учебник/ Е.П. Голубков. - М.: Издательство
«Финпресс». - 2008. - 704 с.
. Данченок
Л.А. Маркетинг по нотам. Практический курс на российских примерах. - М.: Аспект
Пресс, 2004.
. Денисова
Е.С. Поведение потребителей. - М.: Московская финансово- промышленная академия,
2005.
. Котлер
Ф. «Маркетинг менеджмент» - СПб: Питер Ком, 2011.
. Котлер
Ф. Маркетинг, менеджмент: Пер. с англ.- СПб., 2008 - 800 с.
. 12.Модели
поведения потребителей в маркетинговых системах: Учебное пособие / Под ред.
засл. деят. науки РФ, д-ра экон. наук, проф. Г.Л. Багиева. - СПб.: Изд-во
СПбГУЭФ, 2009. - 240 с.
. Сысоева
С.В., Бузукова Е.А. Мерчандайзинг. Курс управления ассортиментом в рознице. -
СПб.: Питер, 2011.
. Токарев
Б.Е. Маркетинговые исследования [Текст]: учебник/ Б.Е. Токарев. - М.:
Экономистъ. - 2007. - 624 с.
. Федорец
М.Н. Анализ потребителя как необходимая составляющая успешной работы на рынке
// Маркетинг и маркетинговые исследования № 1, 2006.
. Ходаков
А. Психология успешных продаж. - СПб.: Питер, 2010.
17. Журнал
«Маркетинг в России и за Рубежом».
<http://www.mavriz.ru/articles/2005/4/3833.html>
. <http://www.management.com.ua/>
. Маркетинговые
исследования и консультации. <http://www.my-market.ru/>
. Магазин
эльдорадо <http://www.eldorado.ru/company/>
Приложение
Отличительные особенности поведения
покупателей по половому признаку
|
Критерии
поведения
|
Мужчины
|
Женщины
|
|
Темп
совершения покупок
|
Женщинам
больше нравится совершать покупки: спокойно пройтись по магазинам, посмотреть
товары, сравнить качество и цены, поговорить с продавцами, задать им вопросы,
примерить выбранные вещи и, наконец, заплатить за покупки.
|
|
Вероятность
покупки после примерки
|
Если
мужчина берет какую-то вещь в примерочную, то единственная причина, по
которой он ее впоследствии не купит, это то, что она ему не подошла по
размеру.
|
Примерно
25% женщин, которые посещают примерочную, покупают выбранные вещи.
|
|
Внимание
к ценникам
|
Для
мужчин безразличие к цене является своеобразным мерилом их мужественности.
Как результат, мужчины гораздо быстрее решаются на дорогие покупки, чем
женщины. Они также гораздо легче поддаются внушению, чем женщины, - им не
терпится поскорее выйти из магазина, что они готовы на все.
|
Около
90% женщин во время похода по магазинам смотрят на ценники.
|
|
Получение
информации
|
Насколько
мужчины не любят спрашивать указаний, настолько им нравится получать
информацию из первых рук, предпочтительнее - из письменных источников, с
экрана компьютера и т.п. Мужчины идут прямиком к витринам и информационным
стендам. Затем они отбирают брошюры и бланки для заполнения и покидают
магазин, не сказав ни слова продавцам.
|
Женщины
стабильно идут к прилавку и задают продавцам-консультантам вопросы о разных
моделях товара. Женщины решаются совершить покупку в среднем лишь на третий
визит в магазин, и то после долгих консультаций с продавцами.
|
Похожие работы на - Исследование потребительского поведения клиентов ООО 'Эльдорадо'
|