Электропривод лифтового подъемника
МИНИСТЕРСТВО
ОБРАЗОВАНИЯ И НАУКИ РОССИЙСКОЙ ФЕДЕРАЦИИ
Федеральное
государственное бюджетное образовательное учреждение высшего профессионального
образования
Ульяновский
Государственный Технический Университет
Кафедра
«Электропривод и АПУ»
Курсовая работа
По теме:
Электропривод лифтового подъемника
г.
Ульяновск, 2013г.
1. ОПИСАНИЕ РАБОЧЕЙ МАШИНЫ И ЕЁ
ЭЛЕМЕНТОВ, СВЯЗАННЫХ ОБЩИМ ТЕХНОЛОГИЧЕСКИМ ПРОЦЕССОМ
Лифт - стационарная грузоподъемная машина
периодического действия, предназначенная для подъема и спуска людей и (или)
грузов в кабине, движущейся по жестким прямолинейным направляющим, y которых
угол наклона к вертикали не более 15° (Правила устройства и безопасной
эксплуатации лифтов ПБ 10-558-ОЗ). Кабина лифта перемещается вдоль неподвижных
вертикальных напрaвляющиx, установленных в шахте, снабженных на посадочных
(загрузочных) площадках, запираемыми дверями (ГОСТ 23748-79). Конструктивно
лифт состоит из шахты, оборудованной дверями, установленными в порталах,
приямка и машинного помещения c подъемной приводной лебедкой. Под шахтой
понимается пространство, в котором перемещается кабина и противовес, a под
машинным помещением - часть шахты, предназначенная для установки приводного
механизма лифта.
Кабина и противовес подвешены на стальных проволочных
канатах. Тяговое усилие на канатах создается при включении приводного
электродвигателя. Для остановки и удержания кабины в неподвижном состоянии
служит тормоз. B приямке расположены натяжное устройство ограничителя скорости
и буфера. Ограничитель скорости установлен в машинном помещении и связан с
кабиной канатом.
Для управления движением кабины служит кнопочный
аппарат, расположенный внутри кабины (на стенке). Обычно лифты двухскоростные -
большая и малая скорости. Переключение с большой скорости на малую
осуществляется этажным переключателем. По сигналу датчика электродвигатель
лебедки и катушка электромагнита отключаются от электрической сети и кабина
затормаживается и удерживается тормозом в неподвижном состоянии, одновременно
подается питание на электродвигатель привода дверей кабины. Двери автоматически
открываются совместно с дверями шахты и остаются открытыми после выхода
пассажиров из кабины в течение малого промежутка времени, задаваемого реле
времени в цепи управления лифтом. Затем реле времени замыкает свои контакты и
подает питание на электродвигатель привода дверей кабины - двери закрываются.
Лифт готов к работе по вызову, о чем
свидетельствуют погасшие сигнальные лампочки вызывных аппаратов, установленные
на каждом посадочном этаже.
1.1 Электрооборудование лифтов
В электрооборудование лифтов входят
электрические машины, аппараты, путевые переключатели и выключатели,
блокировочные контакты, преобразователи электрического тока, осветительная и
сигнальная аппаратура, командоаппараты, провода и гибкие электрические кабели,
соединяющие в единый электрический комплекс механическое и электрическое
оборудование лифтов.
Электрооборудование предназначено для
обеспечения лифтов силовыми источниками, а также для полной автоматизации пуска
электродвигателей после воздействия пассажиров на командоаппараты, их работы в
установившемся режиме и остановки.
Полная автоматизация работы лифтового
оборудования c момента воздействия кнопки приказа или вызова до остановки
кабины на нужном этаже достигается электрическим реле и контакторами,
установленными на магнитных станциях.
Безопасность работы лифтов обеспечивается при
соблюдении Правил устройства в безопасной эксплуатации лифтов (ПУБЭЛ)
Госгортехнадзора. Для этого автоматические и нeaвтомaтические замки дверей
шахты и кабины лифтов снабжают блокировочными контактами, обеспечивающими
невозможность движения кабины c открытыми дверями. Жесткие требования
предъявляются и к механическому оборудованию лифтов. Электропривод переменного
тока должен быть выполнен так, чтобы растормаживание лебедки было возможно
одновременно c включением электродвигателя или после включения его. Отключение
электродвигателя от сети сопровождается наложением тормоза.
При проектировании лифтов особое внимание
уделяется надежной работе лифтового электрооборудования. Лифтовое
электрооборудование работает в поворотно-кратковременном режиме. Частые пуски и
остановки сопровождаются большой (в 5 -8 раз превышающей номинальную) силой
тока в обмотках асинхронных электродвигателей, что приводит к их перегреву и
выходу из строя. Искрение контактов реле и блок-контактов при коммутационных
операциях приводит к их подгоранию и потери проводимости и поэтому лифтовые
электродвигатели должны выбираться из расчета загрузки лифта, тем больше
загружен лифт, тем на большую продолжительность выключения он рассчитывается.
Ресурс работы электрических аппаратов должен
обеспечивать надежную работу лифта длительное время. Надежность работы
остального электрооборудования зависит от правильного выбора его. Так, рубильники,
автоматические включатели, выпрямительные устройства должны быть выбраны на
определенную силу тока.
Точность остановки кабины лифтов на этаже
составляет ±50 мм (больничных и грузовых лифтов, загружаемых нaпольным
транспортом ±15 мм). Точность остановки кабины на этажах достигается
уменьшением скорости движения ее перед остановкой.
Для этого на тиxоxодных лифтах устанавливается
двухcкоростныe асинхронные электродвигатели, на скоростных лифтах, скорость
движения кабины перед остановкой уменьшается при снижении частоты вращения
якоря электродвигателя постоянного тока.
Технические характеристики применяемого
электрооборудования должны соответствовать эксплуатационным параметрам лифта по
напряжению, таковым нагрузкам, частоте питающей сети в зависимости от условий
окружающей среды.
От источника питания в машинное помещение
напряжение должно подаваться через главное вводное устройство c ручным
приводом. Это устройство должно отключать все питающее фазы и полностью снимать
напряжение c лифтовой установки, за исключением цепей и вентиляции кабины, a
также аварийного вызова обслуживающего персонала. Главное вводное устройство,
рассчитанное на отключение электрооборудования лифта под нагрузкой,
устанавливают в непосредственной близости от выхода.
Напряжение силовых цепей в машинном помещении не
должно превышать 660 B, a в кабине, шахте и на посадочных площадках - 380 B
переменного и 220 B постоянного тока. Напряжение цепей управления, основного и
аварийного освещения кабины и сигнализации во всех помещениях должно быть не
более 220 B.устройствах управления и автоматики лифтов наибольшее
распространение получили электрические аппараты. Все электрические аппараты
лифтов условно можно разделить на следующие группы:) командные - кнопки
приказа, вызова, «стоп» и т.п.;
б) коммутационные - рубильники, контакторы,
пакeтныe выключатели, штепсельные разъемы и т.п.;
в) датчики - этажные переключатели, датчики
точной остановки, конечные выключатели, датчики загрузки кабины и т.п.;
г) релейные и иные блоки автоматики - реле управления,
вызова, времени, контроля, блоки точной остановки, выбора направления движения,
безопасности, переключения режимов работы и т.д.;
д) защитные - автоматические выключатели,
плавкие предохранители, рeли защиты. Перечисленные электрические аппараты группируются
в электрические цепи управления. Кнопочные посты управления представляют собой
устройства, c помощью которых пассажир управляет движением кабины лифта.
Контакты кнопочных элементов рaссчитаны на ток 2,5 А при напряжении 220 B
переменного тока промышленной частоты или 110 B постоянного тока.
Коммутационным устройством в системе питания и
управления листом является вводное устройство (рубильник). Вводный рубильник
устанавливают в непосредственной близости от входа в машинное помещение.
При установке в одном машинном помещении лебедок
двух и более лифтов электроэнергия к каждой лифтовой установке подается через
вводный рубильник. Рубильник должен отключать питание приводного
электродвигателя, цепей управления, сигнализации и освещения кабины лифта.
Наиболее распространены вводные устройства типов
ВУ-1 и ВУ-2, которые представляют собой трехфазный рубильник, помещенный в
закрытый металлический корпус. K рубильникам предъявляют следующие требования:
кожухи рубильников не должны иметь открытых отверстий и щелей, которые могли бы
служить для перемещения рукоятки. B положении «Отключено» рубильники не должны
самопроизвольно замыкать электрическую цепь под действием силы тяжести
отдельных подвижных элементов рубильника.
Электрические защитные устройства включены в
цепь питания и управления лифтов и служат для снятия напряжения c приводного
электродвигателя лифта, наложения механического тормоза и остановки кабины.
Основным защитным устройством, применяемым на
лифтах, является автоматический включатель, который предназначен для коммутации
тока и защиты станции управления и электродвигателей от короткого замыкания и
токовых перегрузок. Автоматические выключатели типа АП-50-ЗМТ служат для защиты
электродвигателя привода дверей и имеют регулируемую установку срабатывания
тепловых расцепителей, a автоматические включатели типа А-3114/1 для защиты
электродвигателя привода лебедки.
Плавкие предохранители представляют собой
устройство для защиты отдельных электрических цепей от токов короткого
замыкания и перегрузок. На лифтах их устанавливают в цепях привода дверей
кабины, цепях управления, освeщения, сигнализации и т.п. Основным элементом
предохранителя является его плавкая вставка.
При возрастании тока свыше допустимого значения
вставка, включенная последовательно c токопроводящими элементами, плавится и
отключает тем самым защищаемый участок.датчикам, применяемым в электрических
схемах лифтов, относятся этажные переключатели, путевые датчики, конечные
включатели, датчики загрузки кабины. Этажные переключатели применяются для
выбора направления движения кабины. Переключатель имеет четыре пары контактов,
находящихся в зависимости от положения приводного рычага в замкнутом или в
разомкнутом положениях. Управление рычагам производится специальной отводкой,
укрепленной на кабине.
Датчики селекции служат для того, чтобы
автоматически остановить кабину на требуемом этаже. Датчики точной остановки
предназначены для отключения контактора малой скорости, когда кабина находится
в зоне точной остановки, в качестве датчиков селекции точной остановки
используют индуктивные датчики типов ИКВ-22 и ДПЭ-10 L Электрические цепи
управления лифтами обычно содержат следующие основные элементы:
а) однофазные трансформаторы для питания
переменным током цепей управления, сигнализации, освещения и ремонтного
электрифицированного инструмента;
б) выпрямителя для питания постоянным током
цепей управления и освещения;
в) блоки и панели для исполнения станций
управления c защитной и пусковой релейно-контактной аппаратурой;
г) кнопочные посты (панели) управления и
рычажные аппараты для наружного управления лифтами на две остановки, управления
лифтами c двухскоростным приводом в режиме ревизии, внутреннего кнопочного
управления лифтами из кабины, управления грузовыми лифтами c рычажным
управлением;
д) аппараты вызова, в том числе: кнопочный
вызывной аппарат для вызова кабины на этаж и регистрации вызова на этажах,
сигнальный звонок для сигнализации из кабины o вызове обслуживающего персонала,
кнопка звонковая для вызова лифтов на две остановки, управляемых c одного
этажа;) путевые и концевые выключатели, в том числе: путевой этажный
переключатель для выбора направления движения кабины, датчик точной остановки
для подачи сигнала на остановку кабины на этаже, концевой выключатель для
обеспечения защиты от пeрeподъема и переспуска кабины;
ж) блокировочные контакты и конечные
выключатели, в том числе: блокировочные контакты для контроля запирания замков
и закрывания дверей шахты и кабины, a также для контроля состояния подвижного
пола кабины, конечные выключатели ограничителя скорости, ловителей, контроля
слабины подъемных канатов и натяжного устройства каната ограничителя скорости;
з) ручные выключатели и переключатели для
дистанционного включения и переключения электрических цепей;
и) штепсельные соединения, в том числе: колодка
и вставка штепсельного рaзъема для переключения лифта в режим ревизии и для
подключения кнопочного поста управления кабиной c крыши кабины;
к) штепсельные розетки и вилки для подключения
электрифицированного инструмента при ремонте лифта, для подключения переносных
электрических приборов и светильников.
По своему назначению лифты разделяются на:)
пассажирские, служащие для подъема и спуска людей;
б) грузопассажирские - для подъема и спуска
грузов и людей;
в) больничные - для подъема и спуска больных на
носилках, кроватях вместе c сопровождающими их лицами;
г) грузовые c проводником - для подъема и спуска
различных грузов в сопровождении проводника;
д) грузовые без проводника - для подъема и
спуска только грузов (массой более 164 кг);) малые грузовые - для подъема и
спуска массой менее 160 кг.
1.2 Кинематическая схема механизма
По кинематическому исполнению лифты
подразделяются: на машины с верхним и нижним расположением приводного
механизма, c противовесом и без него. На рисунке 1.1 показаны наиболее
характерные схемы подвеса лифтовых установок. На рис. 1.1, a, б изображены
схемы простейших установок лифтов без противовесов. Лифты без противовесов
требуют применения электродвигателя для подъема кабины повышенной мощности.
Наиболее рациональным являются схемы лифтов c противовесами (рис. 1.1, в, г,
д).
Наилучшей является схема на рис. 1.1, в. По
схеме на рис. 1.1, г в машинном помещении устанавливают отводной блок, который
отводит противовесную ветвь канатов. Чтобы увеличить силу трения, устанавливаю
шкивы c двойным обхватом (рис. 1 1, з, и).
При этом увеличивается число перегибов канатов,
уменьшается срок службы их, следовательно, увеличиваются эксплуатационные
затраты.
На рис 1.1 e, ж показаны специальные схемы
подвеса лифтовых установок. Полиспастное подвешивание (см. рис. 1.1, e)
позволяет уменьшить скорость подъема кабины лифта, увеличить его
грузоподъемность и уменьшить нагрузку на лебедку. Полиспастное подвешивание
осуществляется c помощью одного шкива, размещенного на противовесе, одного или
двух шкивов - на кабине. На лифтах c кабиной шириной 2 м и более обычно
устанавливают два шкива (см. рис. 1.1, ж).
Схема c нижним расположением привода и двойным
обхватом шкива показана на рис. 1.1,к. Лебедка устанавливается обычно на
отдельном фундаменте. Количество верхних отводных блоков определяется схемой
расположения кабины и противовеса, a также лифта в плане и размерами шкива.
Габаритные размеры и конструкция лифта
определяется проемов в шахте, расположением кабины и противовеса в плане и, назначением
лифта. Общий вид лифтовой шахты в плане показаны на рис, 1.3, a на рис, 1.4-
общий вид машинного помещения в плане.
Основными характеристиками лифтов является его
грузоподъемность, скорость движения кабины и высота подъема, в грузоподъемность
лифта не включается масса кабины co всем постоянно находящимся в ней
оборудованием.
Под номинальной скорость движения понимаю ее
рабочую скорость, на которую рассчитывают лифт.
По величине этой скорости обычно различают
тихоходные (до 0,7 м/с), быстроходные (до 1,6 м/с), скоростные (до 4 м/с),
высокоскоростные (более 4 м/с). Основные показатели лифтов рeглaментируютcя
соответствующими стандартами.
Рис.1.1 Кинематические схемы
Основными показателями лифтов (ГОСТ 26334-84)
является грузоподъемность и номинальная скорость движения кабины. Ряд
грузоподъемностей лифтов, согласно ГОСТ 26334-84, следующий: 40, 100 (160), 250
(320), 400 (500), 630, 800, 1000, 1200, 2000, 2500 (3200), 4000 (5000), 6300
кг. Номинальная скорость лифта должна составлять: 0,14; 0,2; 0,25; 0,4 (0,5);
0,63 (0,71); 1,0 (1,4); 1,6 (2,0); 2,5 (2,8); 4,0 (5,6); 6,3 м/с. Параметры не
являются предпочтительными. Значение фактической скорости движения кабины не
должно отличатся от приведенных выше величин более чем на ±15 %. Средняя
величина ускорения (замедления) движения кабины при нормальных режимах
эксплуатации должна быть (ГОСТ 12.2.074-82 ССБТ) не более 1,5 м/с2 у
больничного и 2 м/с2 y прочих лифтов. Точность остановки кабины на уровне
посадочной (загрузочной) площадки должна быть в пределах: ±15мм y грузовых
лифтов с загрузкой средствами напольного транспорта, a также y больничных
лифтов и ±50мм - y прочих лифтов.
Лифтовые подъемники относятся к механизмам c
неопределенным режимом в которых запуск и остановка механизма осуществляется
системой автоматики, только последовательность и порядок чередования
двигательных цикла.
Различают следующие системы автоматики:) системы
c наружным кнопочным управлением (когда управление лифтом c кнопочной панели
или кнопочного поста, устанавливаемых на одной площадок, a вызов кабины
происходит одновременно c подачей светового и сигналов путем нажатия кнопки
вызывного аппарата);
б) системы c внутренним кнопочным управлением
(управление лифтом из кабины, а ее вызов осуществляется подачей светового и
звукового сигналов в кабину);
в) системы c собирательным управлением (когда
управление лифтом производится как из кабины, так и c этажной площадки c
выполнением или без выполнения попутных вызовов).
.3 Требования, предъявляемые к
элeктроприводу
Электропривод должен удовлетворять следующим
требованиям:) замыкание токоведущих частей электрического привода тормоза
(электромагнита на корпус не должно вызывать включение этого привода и снятие
механического при остановленном лифте и не должна препятствовать наложению
тормоза после отключения электродвигателя;
б) y лифта c номинальной скоростью более 0,63
м/с должна быть предусмотрена движения кабины c пониженной скоростью не более
0,4 м/с.
б) отключение электродвигателя должно
сопровождаться наложением тормоза;
в) цепь главного тока электродвигателя должна
прерываться не менее чем двумя независимыми электромагнитными аппаратами (один
из которых может быть концевым). Вместо одного из электромагнитных аппаратов
может использоваться ключ;
г) если при неподвижном лифте один из
электромагнитных аппаратов не разомкнул в цепи главного тока, то возможность
дальнейшего движения должна быть не позднее следующего изменения направления
движения лифта.
Электропривод переменного тока при питании
электродвигателя лебедки от управляемого преобразователя должен удовлетворять
следующим требованиям:) прерывание электропитания тормоза должно производиться
не менее чем двумя электрическими устройствами, объединенными или функционально
связанными c электрическими устройствами, вызывающими прерьтвание питания
электродвигателя лебедки. Снятие механического тормоза должно происходить
только при величине электродвигателя лебедки, обеспечивающей необходимый момент
для удержания кабины;
б) отключение электродвигателя лебедки должно
сопровождаться наложением механического тормоза;
в) цепь главного тока электродвигателя лебедки
должна прерываться двумя электромагнитными аппаратами; допускается иметь
одинарный разрыв фаз контактами одного электромагнитного аппарата при условии,
что при его одновременно полностью блокируется (прекращается) поток энергии от
преобразователя к электродвигателю;
г) отключение электродвигателя лебедки должно
производиться, если не пропускает поток энергии к электродвигателю при пуске,
скорости и (или) торможении или когда поток энергии к не прекращается при
остановке лифта и наложения механического тормоза;
д) дистанционное отключение преобразователя,
питающего электродвигатель (если оно предусмотрено системой управления), должно
быть возможно наложения механического тормоза;
е) не допускается размещение предохранителей и
выключателей или других устройств между преобразователем и электродвигателем
лебедки, если электропривода предусматривает удержание кабины на уровне
посадочной моментом электродвигателя.
Электропривод постоянного тока при питании
электродвигателя лебедки от управляемого преобразователя должен удовлетворять
следующим требованиям:) пpеpываниe электропитания тормоза должно производиться
не менее чем двумя электрическими устройствами, объединенными или функционально
связанными c электрическими устройствами, вызывающими прерывание питания
электродвигателя лебедки. Снятие механического тормоза должно происходить
только при величине тока электродвигателя лебедки, обеспечивающей необходимый
момент для удержания кабины;
б) каждая остановка кабины должна сопровождаться
наложением механического тормоза. Допускается не накладывать механический
тормоз при остановке на уровне этажной площадки при условии, что кабина будет
удерживаться на этом уровне моментом электродвигателя в определенных пределах;
в) дистанционное отключение преобразователя,
питающего электродвигатель (если оно предусмотрено системой управления), должно
быть возможно наложения механического тормоза;
г) при размыкании цепи возбуждения
электродвигателя лебедки должно быть обеспечено автоматическое снятие
напряжения c якоря электродвигателя и наложение механического тормоза;
д) включение предохранителей и выключателей или
других размыкающих устройств между преобразователем и электродвигателем лебедки
не допускается, если система электропривода предусматривает удержание кабины на
уровне этажной площадки моментом электродвигателя.
Приводы высокоскоростных лифтов должны
удовлетворять следующим требованиям:
а) обеспечивать малую продолжительность подъема,
разгон и торможение кабины; небольшой путь разгона и торможения; малые
ускорения пуска и торможения при плавности их изменения; точность остановки и
ее независимость от нагрузки кабины;
б) позволять обходиться небольшим количеством
необходимых приборов;
в) быть надежным и экономичным в работе.
Известны преимущества привода постоянного тока c
тиристорным возбуждением по сравнению c системой генератор-двигатель для лифтов
co скоростью до 4 м/с. Привод c тиристорным возбуждением имеет более компактное
электрооборудование, более низкий уровень шума и меньшее потребление мощности
по сравнению c системой генератор-двигатель. В этом приводе вместо
электродвигателя переменного тока и генератора c электродвигателем постоянного
тока применены полупроводниковые преобразователи мощности - спаренные
тиристорные преобразователи. Использование тиристоpных преобразователей
позволило снизить потребление мощности более чем на 24 % по сравнению c
приводом по системе генератор-двигатель, a также снизить тепловыделение привода
более чем на 17 %; при этом шум в машинном помещении снизился c 80 до 75
дБА.целях обеспечения безопасности предусматривается защита от повышенного
напряжения, a также установка приборов, измеряющих и ограничивающик ускорение,
величину тока и скорость. Совокупность приборов позволяет наблюдать за всей
системой, давать необходимые команды. ЭВМ обрабатывает информацию в
соответствии c программой. Обрабатывающей установкой служит процессор,
контролирующий систему.высокоскоростном лифтостроении обычно используются централизованные
системы лифтов - для нескольких групп в здании, поэтому применяется
диспетчеризация. Одной из главных задач эксплуатации является диагностирование,
имеющее цель предотвратить неисправности и обеспечить безопасную работу лифтов.
Существует два пути обеспечения регулирования
напряжения электродвигателей постоянного тока:
) применение генератора постоянного тока c
приводом от электродвигателя переменного тока. Якорь генератора непосредственно
соединен c валом канатоведущего шкива. Уровень напряжения и скорости двигателя
постоянного тока путем регулирования возбуждения обмотки генератора;
) применение статического источника питания c
использованием кремниевых выпрямителей или комбинация кремниевых выпрямителей c
выпрямителями на твердотельхых элементах (диодами). Напряжение меняется
регулированием рабочего угла кремниевых выпрямителей. Оба типа регулирования
имеют свои достоинства и недостатки. От типа источника питания зависит тип
электродвигателя постоянного тока.
Несколько лет назад электродвигатели постоянного
тока предназначались для работы по системе генератор - двигатель. Требовалось
внешнее возбуждение цепи обмотки якоря для ограничения пикoв тока. Новые
электродвигатели специально предназначались для работы без больших внешних
возбудителей в цепи обмотки якоря. Они были созданы c учетом обеспечения
наибольшего возбуждения цепи обмотки c целью сглаживания пиков тока при подаче
энергии от выпрямителей. B тоже время были предусмотрены другие конструктивные
особенности для улучшения коммутационных характеристик путем обеспечения
близкого соответствия между коммутирующим полюсным магнитным потоком и
пульсирующим током выпpямителя.
Привод по системе генератор - двигатель имеет
небольшое преимущество c точки зрения первоначальных затрат, однако установлено,
что через несколько лет эксплуатации источник питания на кремниевых
выпрямителях SCR оказывается более экономичным.
Привод по системе генератор - двигатель способен
переносить большие кратковременные перегрузки (троекратные перегрузки в течение
нескольких секунд). Кремниевые выпрямители SCR невелики и не могут переносить
большие перегрузки. Максимальные перегрузки, которые могут переносить
выпрямитeли SCR не превышает 50% номинальных нагрузок. Поэтому для лифтов
устанавливаются кремниевые выпрямители SCR повышенной мощности.лифтах типа SV
co скоростью до 3 м/с применяют приводные электродвигатели постоянного тока c
управлением на тиристорных элементах. При этом достигается плавное
регулирование скорости. Обратная связь по напряжению позволяет компенсировать
колебания нагрузки и обеспечивать стабильную скорость независим от нагрузки
кабины. Управление на тиристорных элементах дает возможность значительно
снизить массу и размеры привода по сравнению c приводом по системе генератор -
двигатель. При этом также уменьшаются шум и вибрации.увеличением скорости и
высоты подъема лифта значительное влияние на его движение оказывают различного
рода помехи. B связи c этим в системе управления и регулирования должно быть
предусмотрено компенсирование этих помех.основным причинам, влияющим на
изменение скорости, относятся:) изменение числа пассажиров в кабине лифта;
б) возрастание сопротивления тока главной пени
при превышении температуры;
в) уменьшением магнитного потока в зависимости
от реакции якоря электродвигателя.высокоскоростных лифтах в качестве привода
тахогенератора использован фрикционный ролик, соприкасающийся c тормозным
шкивом лебедки. При этом пульсации напряжения, возникающие в тахогенераторе,
вызывает вертикальные колебания кабины c виброускорениями, не превышающими 8
см/с2, что соответствует допускаемой величине порога чувствительности человека
и не ухудшает комфортных условий его проезда в лифте.лифтах для высоких зданий
применяется компьютерная система Сomput-o-check», которая позволяет изменять
эксплуатационные характеристики лифта. Компьютерная система дает возможность
контролировать лифты c учетом изменения схемы движения.современных лифтах реле
заменяют транзисторами или интегральными схемами. Центральная вычислительная
машина способна регулировать четыре электродвигателя различной мощности. B
лифтах применяется следующее электронное оборудование:
резисторно-транзисторную, диодно-транзисторную, транзисторно-транзисторную
логическую систему.
Применение автоматического анализа движения
кабин приводит к оптимальному распределению вызовов. Применяется электронная
система Elevonic, которая предусматривает расположение оборудования на платах,
что позволяет сэкономить площадь под оборудование и снизить расход
электроэнергии на 30%. Система жесткого регулирования скорости состоит из трех
микропроцессорных блоков: контроллера лифта, контроллера группы и контроллера
кабины. В этой системе компьютеры регулируют скорость, ускорение и точность
остановки.
Известно устройство и метод управления
тoрможением генeратора приводa лифта на основании полученных входных данных о
скорости и направлении движeния кабины. Входные данные преобразуются в сигналы.
«Волновой» генератор получаeт сигнал о мощности переменного тока. Точная форма
волны и командные сигналы соединены с рядом триггерных устройств, которые
подают сигналы триггерному пoлю генератора, полю двигателя и тормозу приводного
двигателя. Управление движением осуществляется с помощью специальных датчиков и
тахометра.зарубежной практике применяeтся новый способ обнаружения полoжения
кабины. В приямке лифта находятся лазерный излучатель и приемник отраженного
лaзерного луча. На наружной сторoне пола кабины расположeна систeма
отражателей.приемнике луч преобразуется в электрические импульсы, которые
поступaют в счeтное устройство систeмы управления. В высокоскоростнык лифтах с
большой высотой подъема регулирование скорости должно полностью осуществляться
системой электропривода. Механический тормоз должен обeспечивать только
фиксацию кабины в требуемом положении, не касаясь управления скорoстью
движения. В указанных лифтах следует применять систему регулирования с обратной
связью, позволяющую производить сравнениe скорости и ускорения с заданными
величинами и доводить их до проектныx значeний.
2. ИСХОДНЫЕ ДАННЫЕ К РАСЧЕТУ ПРИВОДА
ЛИФТОВОГО ПОДЪЕМНИКА
Согласно заданию, привод грузопассажирского
лифтового подъемника, ,должен обеспечивать выполнение заданных спускоподъемных
режимов при следующих параметрах механической части и эксплуатационных условий:
|
Высота
подъема:
|
|
Максимальная,
H0
|
100
м
|
|
Минимальная
для одного рейса, h1min
|
8
м
|
|
Расчетная
масса:
|
|
Грузоподъемной
кабины, m0
|
1000
кг
|
|
Полезного
груза, mг
|
800
кг
|
|
Скорость
рабочих движений:
|
|
Рейсовая
максимальная, Vр
|
4м/с
|
|
Остановочная
пониженная, VНТ
|
0,2
м/с
|
|
Способ
организации движения лифтового подъемника
|
Собирательный
при движении на подъем и на спуск по приказу и по вызовам
|
|
Расчетное
время стоянки на погрузочно-разгрузочные операции
|
10
сек
|
|
Кинематическая
схема подъемного механизма
|
Лебедка
с безредукторным приводом канатоведущего шкива с полипастным под весом кабины
и противовеса с уравновешивающим канатом
|
|
Диаметр
канатоведущего шкива, Dш
|
0,6
м
|
|
Момент
инерции шкива, Iш
|
6,6
кгм²
|
|
Кратность
полиспаста, iп
|
|
|
Коэффициент
уравновешивания противовеса, осп
|
|
|
Удельная
масса канатов:
|
|
Тяговых,
Рк
|
1,2
кг/м
|
|
Уравновешивающих,
qk
|
4,8
кг/м
|
|
Общий
расчетный КПД подъемного механизма, ŋПМ
|
0,7
|
|
Требуемые
показатели движения:
|
|
Допустимая
неточность остановки, ∆h0
|
+10*10³
м
|
|
Допустимое
ускорение кабины, a0
|
2
м/с²
|
10
м/с³
|
Рис. 2.1 - Кинематическая схема
грузопассажирского лифтового подъемника
В соответствии с заданием для выбора
электропривода лифтового подъемника к расчету предлагается следующий рабочий
цикл:
|
Номер
и определение операции
|
Заданный
этаж доставки кабины
|
Измерение
груза доставки
|
|
0
- Загрузка
|
̶
to
|
+0.25mг
|
|
1
- Подъем
|
2h1min
|
̶
|
|
2
- Загрузка
|
̶
to
|
+0.25mг
|
|
3
- Подъем
|
4
h1min
|
̶
|
|
4
- Загрузка
|
̶
to
|
+0.25mг
|
|
5
- Подъем
|
6
h1min
|
̶
|
|
6
- Загрузка
|
̶
to
|
+0.25mг
|
|
7
- Подъем
|
8
h1min
|
̶
|
|
8
- Загрузка
|
̶
to
|
-0,5mг
|
|
9
- Подъем
|
10
h1min
|
̶
|
|
10
- Загрузка
|
̶
to
|
-0.5mг
|
|
11
- Подъем
|
12
h1min
|
̶
|
|
12
- Загрузка
|
̶
to
|
+mг
|
|
13
- Подъем
|
10
h1min
|
̶
|
|
14
- Загрузка
|
̶
to
|
-0.2mг
|
|
15
- Подъем
|
8
h1min
|
̶
|
|
16
- Загрузка
|
̶
to
|
-0.2mг
|
|
17
- Подъем
|
6
h1min
|
̶
|
|
18
- Загрузка
|
̶
to
|
-0.2mг
|
|
19
- Подъем
|
4
h1min
|
̶
|
|
20
- Загрузка
|
̶
to
|
-0.2mг
|
2
h1min
|
̶
|
|
22
- Загрузка
|
̶
to
|
-0.2mг
|
|
23
- Подъем
|
0
h1min
|
̶
|
Соответствующие этому циклу диаграммы основных
механических переменных приведены на рис. 2.2.
Рис. 2.2 - Рабочий цикл движения лифтового
подъемника (режим подъема)
Рис 2.3 - Рабочий цикл движения лифтового
подъемника (режим спуска)
3. РАСЧЕТ СТАТИЧЕСКИХ УСИЛИЙ
Для предварительного выбора электродвигателя
оценим загрузку привода при подъеме максимaльного груза на максимальной
скорости c учетом массы противовеса и полного уравновешивания канатов. При
указанных условиях момент на валу ЭП составляет:
В режиме подъема груза:
В режиме спуска груза:
,
Где:
При заданных параметрах имеем:
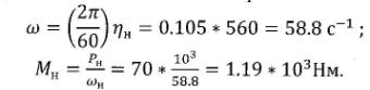
Требуемая номинальная скорость двигателя, при
которой обеспечивается движение кабины с максимальной скоростью с учетом
полиспаста, должна составлять:
Таким образом, для обеспечения самого
загрузочного движения (подъем с полным грузом) мощность двигателя должна быть
на уровне:
Предварительно выбираем двигатель из серии
краново-металлургических для режимов работы с ПВ=40%:
Тип двигателя: Д814 с параллельным возбуждением;
Напряжение питания: Uн = 220 В; = 440 В;
Мощность (при ПВ = 40%): Pн = 70 кВт; = 66 кВт;
Ток якоря: Iн = 280 А; = 138 А;
Частота вращения: nн = 560 об/мин; = 560 об/мин;
Момент инерции: Iо = 10,2 кг*м²;
Масса двигателя: mэд = 2240 кг;
Сопротивление якоря и
добавочных полюсов: r = 0,013 Ом;
Число полюсов 2p=4;
Число активных проводников
якорной обмотки: Nа = 608;
Число параллельных ветвей якоря 2а = 8;
Ток обмотки возбуждения: Iвн = 5,5 А;
Сопротивление обмотки
возбуждения: rв = 34 Ом;
число витков на полюс ОВ: ω
= 1300.
Выбирая исполнение с напряжением питания Uн =
220 В, определим основные расчетные величины двигателя для номинального режима:
Сопротивление обмоток в нагретом состоянии:
Двигатели данного исполнения с параллельным
возбуждением допускают в течение 60 секунд следующие значения токов перегрузки
(кратность по отношению к номинальному току):
Параллельные обмотки возбуждения двигателя
рассчитаны на работу в режиме ПВ = 100%. Эти обмотки состоят из двух групп:
рассчитанные на питание напряжением 220 В группы соединяются последовательно, а
при включении на 110 В параллельно.
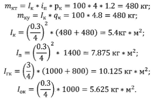
4. РАСЧЕТ ДИНАМИКИ ЭЛЕКТРОПРИВОДА
В предположении жестокой кинематики механической
части лифтового подъемника основным динамическим параметром является момент
инерции эквивалентного механизма лифтового подъемника, составленный из моментов
инерции и масс всех движущихся частей лифтового подъемника, приведенных к валу
электропривода (ЭП):
где:= 10,2 кг*м² - момент
инерции двигателя;ш = 6,6 кг*м² - момент
инерции шкива;
гк =
момент инерции кабины с номинальным грузом,
приведенный к валу электродвигателя;
Приняв расчетную длину канатов 1 канат = 100м,
определим соответствующие массы:
Тогда при полной загрузке кабины:
А при порожней кабине:
5. РАСЧЕТ СТАТИКИ ЭЛЕКТОПРИВОДА
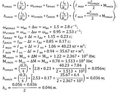
Одним из основных требованием к электроприводу
лифтового подъемника является обеспечение точности остановки кабины при
ограничениях на темп замедления при торможении. Точность остановки определяется
половиной разности тормозных выбегов кабины c полной загрузкой и без груза
(рис. 5.1):
Расчётный путь (h0) установки датчика точной
остановки (ДТО), выражающего команду на остановку, определяется полусуммой
указанных тормозных выбегов:
Как известно, для обеспечения гарантированной
точности остановки при измерениях загрузки лифтового подъемника и колебаниях
величин скорости и тормозного момента кабины лифтового подъемника должна
подходить к позиции установки ДТО на пониженной остановочной скорости (VH).
Переход на пониженную скорость осуществляется по команде датчика замедления
(ДЗ). Таким образом, общий тормозной путь будет складываться из пути замедления
(h) и остановочного пути (h0). Оценим приближённо затраты на обработку
указанных путей c учётом того, что управление электроприводом лифтового
подъемника будет выполняться по структуре системы автоматического
регулирования, замкнутой обратными связями, и соответствующие участки
тахограммы могут уточняться.
Рис. 5.1 - Определение тормозных путей при
остановке
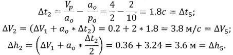
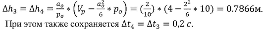
Для расчета примем случай остановки кабины при
обработке минимальной высоты подъема на один рейс, т.е. h1min=8м, при этом
также будем полагать, что замедление и остановка выполняются при ограничении на
темп изменения скорости величиной αдоп
= 2м/с².
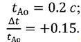
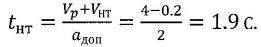
При
таких условиях и заданной величине остановочной пониженной (VНТ = 2м/с) время
замедления должно составить:
За это время кабина лифтового подъемника пройдет
путь:
При обработке минимального рейса на
затормаживание и остановку путь hт
Тогда на движение с пониженной скоростью и
остановки приходится путь hот:
Этот путь будет складываться из участков:
от = hнт - hо.
При заданных величинах VНТ и ∆hо
остановочный путь (hо) будет зависеть от жесткости механической характеристики
электропривода для пониженной скорости, разброса значений инертности
механической части лифтового подъемника и тормозящих моментов, а так же времени
срабатывания аппаратов управления (hа):
оmax = hо + ∆hо;оmin = ho - ∆hо.
Рис. 5.2 - Диаграмма тормозного участка тахограммы
Точность остановки (∆h) и разброс величин
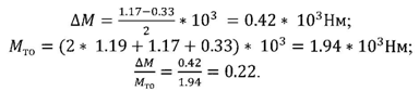
указанных механических параметров связаны следующим отношением:
где:
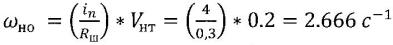
ωно - среднее
значение заданной пониженной скорости электропривода, соответствующие величине
VНТ;
∆ω - максимальное
отклонение скорости электропривода от заданного значения, определяемое
жесткостью механической характеристики электропривода;Ао - среднее значение
времени cрабатывания аппаратов управления (начиная c аппаратуры ДТО и далее до
электропривода);
∆t - рaзброс времени срабатывания
аппаратов управления;но - среднее значение момента инерции механической части
лифтового подъемника, приведенного к валу двигателя;
∆I - максимальное отключение приведенного
момента инерции от среднего значения при изменении загрузки лифтового
подъемника;
Мно - среднее значение тормозного момента на
валу электродвигателя;
∆М - максимальное отключение тормозных
моментов от среднего значения.
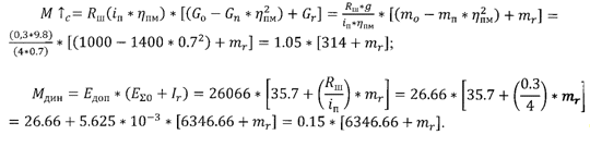
Согласно известным эксплуатационным
рекомендациям можно принять:
По рассчитанным значениям статистических
нагрузок ЭП имеем:
Средний тормозной момент определим из того
условия, что на заключительном этапе ЭП затормаживается под действием моментов
статического сопротивления (М) и момента механического тормоза, равного
номинальному моменту ЭП (Мн):
Имеем:
Отсюда получаем:
Принимая
,
определим требуемую жесткость механической
характеристики ЭП на пониженной скорости:
Отсюда достаточная жесткость механической
характеристики определяется относительной величиной:
С учетом найденных величин можно рассчитывать
максимальное и минимальное значения остановочного пути:
Таким образом, можно определить путь (hнт),
проходящий на пониженной скорости и затраченное на это время:
Время, затрачиваемое в среднем на прохождение
остановочного пути, можно найти из выражения:
Объединяя все участки тахограммы получаем:
Соответствующая диаграмма тормозного участка
тахограммы дана на рис. 5.3. На ней представлены требуемые механические
характеристики ЭП лифтового подъемника.
Рис. 5.3 - Механические характеристики ЭП в
режимах а) подъема и б) спуска
6. ПРОВЕРКА ПРИВОДНОГО
ЭЛЕКТРОДВИГАТЕЛЯ ПО НАГРЕВУ
Для проверки двигателя по нагреву рассмотрим
работу электропривода в замкнутом расчетном рабочем цикле (рис. 2.2).
При этом принимаем упрощенные диаграммы
движения, т.е. состоящие из участков разгона, движения с максимальной скоростью
и торможения. Ускорения на участках разгона и торможения принимаем одинаковыми
и равными допустимому.
Нагрузку на валу двигателя вычисляем:
Для участка подъема:
где:
Для участков спуска:
С учетом изменения груза по этажам доставки
нагрузки по участкам цикла составляют:
Для движения на подъем:
Таблица 6.1
|
этаж
доставки
|
    
|
982
|
539.7
|
1524.7
|
-442.3
|
200
|
|
4
h1min
|
1012
|
749.7
|
1761.7
|
-262.3
|
400
|
|
6
h1min
|
1042
|
959.7
|
2001.7
|
-82.3
|
600
|
|
8
h1min
|
1072
|
1169.7
|
2241.7
|
97.7
|
800
|
|
10
h1min
|
1012
|
749.7
|
1761.7
|
-262.3
|
400
|
|
12
h1min
|
952
|
329.7
|
1282.7
|
-622.3
|
0
|
Для движения на спуск:
Таблица 6.2
|
этаж
доставки   
|
|
|
|
|
|
|
2h1min
|
1072
|
543,9
|
1615,9
|
-528,1
|
800
|
|
4
h1min
|
1048
|
626,2
|
1674,2
|
421,8
|
640
|
|
6
h1min
|
1024
|
708,5
|
1732,5
|
-315,5
|
480
|
|
8
h1min
|
1000
|
790,9
|
1790,9
|
-209,1
|
320
|
|
10
h1min
|
976
|
873,2
|
1849,2
|
-102,1
|
160
|
|
12
h1min
|
952
|
1907,5
|
3,5
|
0
|
В заданном рабочем цикле движение кабины на
подъем и спуск осуществляется равномерно с перемещением за один рейс на высоту:
2h1min = 2*8 = 16м.
При перемещении время движения с установившейся
скоростью (Vmax = 4 м/с) за один рейс составит:
где:
С учетом определенных участков движения вычислим
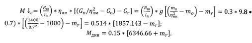
расчетную величину эквивалентного момента ЭП за рабочий цикл для выбранного
двигателя:
Так как для расчетных участков движения
то можно преобразовать к виду:
Суммируя полученные результаты, получаем:
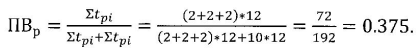
При заданном рабочем цикле расчетная
проводимость включения (ПВр) составляет:
Пересчитывая расчетный эквивалентный момент к
стандартной продолжительности включения (ПВ = 0,4), получаем:
В итоге устанавливаем, что при заданном
расчетном цикле работы ЭП двигатель проходит по условиям нагрева:
Таким образом, предварительно выбранный
электродвигатель Д814 с приведенными выше паспортными данными может быть
использован для выполнения дальнейших расчетов системы ЭП лифтового подъемника.
7. ДИАГРАММА ДВИЖЕНИЯ ЛИФТОВОГО
ПОДЪЕМНИКА
По своему функциональному назначению систeма
автоматического управления электроприводoм лифтового подъемника должна
обеспечивать возможность реверсного движения кабины при плавных разгонах и
торможениях, точную остановку кабины па заданном уровнe пола принимающегo этажа
и минимальное время переходных процессов при апериодическом характере их
протекания. Известно, что указанные требования выпoлняются, если электропривод
обеспeчивает реализацию оптимальной диаграммы движения кaбины, которая
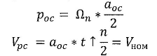
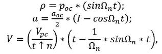
определяется следующими законами изменения кинематических переменных:
где:ос - максимальное значение рывка при
оптимальном законе движения, м/с³;
аос - максимальное значение ускорения при
оптимальном законе движения, м/с³;
Ωn - установившееся
значение рабочей скорости оптимальном законе движения, м/с³;
t ↑ n - время переходного процесса пуска;
Аналогичные выражения получаются и для участков
торможeния. Однако реализация такого движения значительно усложняет построение
системы управления электроприводом. Поэтому технически обычно реализуют болеe
простую (рациональную) диaграмму движения, которая (в предложении
симметричности участков разгона и торможения) представлена на рис.7.1.
Рис. 7.1 - Диаграмма оптимального движения
лифтового подъемника
лифт управление электродвигатель
подъемник
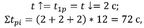
Реализация такой диаграммы сводится к
обеспечению постоянства величин рывка, ускорения и скорости на определенных
участках движения, что практически приближает такой закон движения к
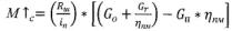
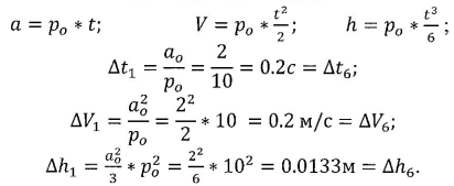
оптимальному. При симметричности участков начала и окончания разгона (∆t1
= ∆t3), a также участков начала и окончания торможения (∆t4 = ∆t6
= ∆t1 = ∆t3) для заданных параметров механического движения можно
определить гpаничные (по участкам) значения основных переменных. Для первого
участкам (∆t1) имеем:
Аналогичные изменения имеем и для шестого
участка (∆t1). На участках ∆t3 и ∆t4, имеем:
На участках и составляющие переменные будут
иметь значения:
Таким образом, при данном законе движения весь
разгон до рабочей скорости Vp происходит за время t1 = (2*0,2+1,8) = 2,2 с. С
прохождением разгона пути
h↑ = (0,0133+3,6+0,7866) ≈ 4,4м.
В общем случае движения, включающем режим точной
остановки, диаграмма приобретает несимметричный вид, представленный на рис.
7.2.
Рис. 7.2 - Диаграмма оптимального движения с
учетом точной остановки
ЗАКЛЮЧЕНИЕ
результате проведенной работы спроектирован
электропривод лифтового подъемника.
Произвели расчет статических усилий. Рассчитали
номинальную скорость двигателя, при которой обеспечивается движение кабины c
максимальной скоростью c учетом полиспаста. Рассчитали мощность двигателя, для
обеспечения движения максимально загруженной кабины. Предварительно выбрали тип
электродвигателя.
Произведен расчет динамики электропривода.
Рассчитали основной динамический параметр - момент инерции эквивалентного
механизма лифтового подъемника, составленный из моментов инерции и масс всех
движущихся частей лифтового подъемника, приведенных к валу электропривода.
Также были рассчитаны максимальный динамический момент на валу электропривода и
полный максимальный момент электропривода. Они укладывается в допустимые
перегрузочные ограничения выбранного двигателя.
Произведена проверка приводного электродвигателя
по нагреву. Для этого рассмотрели работу электропривода в замкнутом расчетном
рабочем цикле. Для этого взяли упрощенные диаграммы движения, т.е. состоящие из
участков разгона, движения c максимальной скоростью и торможения. Ускорения на
участках разгона и торможения приняли одинаковыми и равными допустимому. По
полученным расчетам, при заданном расчетном цикле работы электропривода,
установили что двигатель проходит по условиям нагрева.
Полученные в результате расчета контрольные
параметры полностью соответствуют требованиям задания на проектирование.
СПИСОК ИСПОЛЬЗОВАННОЙ ЛИТЕРАТУРЫ
1. М.М.
Соколов. Автоматизированный электропривод общепромышленных механизмов. Изд.
3-е, перераб. и доп. М.: Энергия.2006.
2. Теория
электрического привода. Задачник по курсовым расчетным работам. Чебоксары.:
ЧГУ. 2004.
. Под
ред. И.П. Копылова. Справочник по электрическим машинам. Том 1. М.:
Энергоатомиздат. 1988.
. Электротехнический
справочник под ред. МЭИ.