Понятие и задачи финансовых вычислений
Министерство
транспорта Российской Федерации
Федеральное
бюджетное
образовательное
учреждение
высшего
профессионального образования
Волжская
государственная академия водного транспорта
Кафедра
"Финансы и кредит"
Отчет
по дисциплине
Финансовые вычисления
Выполнила: Орлова И.Н.
Группа ДБЭ-311
№ зачетной книжки 11796
Проверил: к.э.н., доцент
Салмин П.С.
Нижний
Новгород 2013
Оглавление
процентный ставка дисконтный аннуитет
1. Простые
проценты
.1 Простая
процентная ставка (антисипативные проценты)
.2 Простая
учетная ставка (декурсивные проценты)
. Стоимость
денег во времени и дисконтный анализ денежных потоков
. Денежные
потоки и оценка аннуитетов
Литература
1. Простые проценты
.1 Простая процентная ставка (антисипативные проценты)
.09.2013 Семинар №1 "Наращение стоимости по простой процентной
ставке"
Депозитный сертификат с номиналом P тыс.р. выдан банком транспортной компании t1 с
погашением t2 под i % годовых (год невисокосный).
Определить сумму начисленных процентов и сумму погашения долгового
обязательства.
Задача 1.
Дано:
Решение:
Определим количество дней в периоде:
t
= 29 +31 + 30+31+31+30+31 +30+31 +7 = 281дн.
Определим процентный доход:
Определим
цену погашения сертификата:
Задача
2.
Дано:
Решение:
Определим
количество дней в периоде:
t= 29+31+30+31+31+10=154дн.
Определим
процентный доход:
Определим
цену погашения сертификата:
Задача 3.
Дано:
Решение:
Определим количество дней в периоде:
t=15+31+30+31+23=130дн.
Определим процентный доход:
Определим
цену погашения сертификата:
Задача 4.
Дано:
Решение:
Определим количество дней в периоде:
=23+30+31=84дн.
Определим процентный доход:
Определим
цену погашения сертификата:
Задача 5.
Дано:
Решение:
Определим количество дней в периоде:
=18+31+27=76дн.
Определим процентный доход:
Определим
цену погашения сертификата:
Задача 6.
Дано:
Решение:
Определим количество дней в периоде:
=24+30+31+31+28=144дн.
Определим процентный доход:
Определим
цену погашения сертификата:
Задача 7.
Дано:
Решение:
Определим количество дней в периоде:
=21+30+31+30=112дн.
Определим процентный доход:
Определим
цену погашения сертификата:
Задача 8.
Дано:
Решение:
Определим количество дней в периоде:
=10+31+30+15=86дн.
Определим процентный доход:
Определим
цену погашения сертификата:
Задача 9.
Дано:
Решение:
Определим количество дней в периоде:
=30+31+30+19=110дн.
Определим процентный доход:
Определим
цену погашения сертификата:
Задача 10.
Дано:
Решение:
Определим количество дней в периоде:
=4+31+30+31+31+18=145дн.
Определим процентный доход:
Определим
цену погашения сертификата:
Задача 11.
Дано:
Решение:
Определим количество дней по невисокосному году:
11=8+30+31+30+31=130дн.
Определим количество дней по високосному году:
12=31+29=60дн.
t0=31.12.2011
Определим процентный доход по невисокосному году:
Определим
процентный доход по високосному году:
Определим
цену погашения сертификата:
Задача
12.
Дано:
Решение:
Определим
количество дней по невисокосному году:
11=19+31+30+31+30+31=172дн.
Определим
количество дней по високосному году:
12=31+29+31+30+15=136дн.
t0=31.12.2011
Определим
процентный доход по невисокосному году:
Определим процентный доход по високосному году:
Определим
цену погашения сертификата:
13.09.2013
Семинар №2 "Дисконтирование по простой процентной ставке"
Сколько нужно внести на банковский депозит в момент времени t1,
чтобы в момент времени t2 получить сумму S при
процентной ставке i?
Задача 1.
Дано:
Решение:
Определим количество дней в периоде:
=25+31+30+31+31+30+31+30+31+10=280 дн.
Определим размер первоначального капитала:
Задача
2.
Дано:
Решение:
Определим
количество дней в периоде:
=11+31+30+31+31+20=154
дн.
Определим
размер первоначального капитала:
Задача 3.
Дано:
Решение:
Определим количество дней в периоде:
t=13+31+30+31+31+23=159
дн.
Определим размер первоначального капитала:
Задача 4.
Дано:
Решение:
Определим количество дней в периоде:
=13+30+31=74 дн.
Определим размер первоначального капитала:
Задача
5.
Дано:
Решение:
Определим количество дней в периоде:
=18+31+17=66 дн.
Определим размер первоначального капитала:
Задача
6.
Дано:
Решение:
Определим
количество дней в периоде:
=14+30+31+31+28=134
дн.
Определим размер первоначального капитала:
Задача
7.
Дано:
Решение:
Определим
количество дней в периоде:
=21+30+31+30=112
дн.
Определим
размер первоначального капитала:
Задача 8.
Дано:
Решение:
Определим количество дней в периоде:
=5+31+30+22=88 дн.
Определим размер первоначального капитала:
Задача
9.
Дано:
Решение:
Определим количество дней в периоде:
t=27+31+30+29=117
дн.
Определим размер первоначального капитала:
Задача
10.
Дано:
Решение:
Определим
количество дней в периоде:
t=14+31+30+31+31+28=165 дн.
Определим
размер первоначального капитала:
20.09.2013
Семинар №3 "Определение срока краткосрочных вложений"
На какой срок в месяцах необходимо вложить сумму P, чтобы получить
процентный доход I с заданной процентной ставкой i?
Задача 1.
Дано:
Решение:
T=360
дн.
Определим срок инвестирования:
t(мес.) = 240/30=8 мес.
Задача 2.
Дано:
Решение:
T=360
дн.
Определим срок инвестирования:
t(мес.) = 99/30=3,3 мес.
Задача
3.
Дано:
Решение:
T=360
дн.
Определим срок инвестирования:
t(мес.) = 251/30=8,4 мес.
Задача
4.
Дано:
Решение:
T=360 дн.
Определим
срок инвестирования:
t(мес.) = 232/30=7,7 мес.
Задача 5.
Дано:
Решение:
T=360
дн.
Определим срок инвестирования:
t(мес.) = 258/30=8,6 мес.
Задача 6.
Дано:
Решение:
T=360
дн.
Определим срок инвестирования
t(мес.) = 355/30=11,8мес.
Задача
7.
Дано:
Решение:
T=360 дн.
Определим срок инвестирования:
t(мес.) = 435/30=14,5мес.
Задача
8.
Дано:
Решение:
T=360 дн.
Определим
срок инвестирования:
t(мес.) = 264/30=8,8 мес.
Задача 9.
Дано:
Решение:
T=360
дн.
Определим срок инвестирования:
t(мес.) = 203/30=6,8мес.
Задача
10.
Дано:
Решение:
T=360
дн.
Определим срок инвестирования:
t(мес.) = 169/30=5,6 мес.

.09.2013
Семинар №4 "Решение задач на расчет вексельной суммы"
Задача 1.
В уплату за погрузо-разгрузочные работы в порту, 12 июля судоходная
компания выписывает вексель, который должен быть оплачен 24 сентября того же
года, и сумма погашения по которому составляет 560 тыс. рублей. Стоимость работ
составляет 540 тыс. рублей. Порт имеет возможность сразу учесть (погасить) этот
вексель в банке, учетная ставка которого по такого вида обязательствам
составляет 18% годовых. Определить, какую сумму получит порт, учитывая вексель
в банке и дисконт в пользу банка. Какова должна быть вексельная сумма, чтобы
при учете векселя порт получил 540 тыс. рублей. Определить процентную ставку,
эквивалентную банковской учетной ставке. Год невисокосный.
Дано:
Решение:
Определим количество дней в периоде:
t=19+31+24=74
дн.
Сумма, которую банк заплатит поставщику за данный вексель:
Дисконт
в пользу банка составит:
Поскольку
стоимость работ составляет 540000р., вексельная сумма составляет
Проверка:
Определим эквивалентную процентную ставку:
Проверка:
Задача 2.
В уплату за горюче-смазочные материалы, 10 мая транспортная компания
выписывает вексель, который должен быть оплачен 29 августа того же года, и
сумма погашения по которому составляет 510 тыс. рублей. Стоимость ГСМ
составляет 480 тыс. рублей. Поставщик ГСМ имеет возможность сразу учесть
(погасить) этот вексель в банке, учетная ставка которого по такого вида
обязательствам составляет 20% годовых. Определить, какую сумму получит
поставщик, учитывая вексель в банке и дисконт в пользу банка. Какова должна
быть вексельная сумма, чтобы при учете векселя поставщик получил 480 тыс.
рублей. Определить процентную ставку, эквивалентную банковской учетной ставке.
Год високосный.
Дано:
Решение:
Определим количество дней в периоде:
=21+30+31+29=111 дн.
Сумма, которую банк заплатит поставщику за данный вексель:
Дисконт
в пользу банка составит:
Поскольку
стоимость ГСМ составляет 480000р., вексельная сумма составляет
Проверка:
Определим эквивалентную процентную ставку:
Проверка:
Задача 3.
В уплату за песок и гравийную массу, дорожно-строительная компания
выписывает вексель 30 апреля, который должен быть оплачен 7 октября того же
года, и сумма погашения по которому составляет 890 тыс. рублей. Стоимость песка
и гравмассы составляет 830 тыс. рублей. Поставщик материалов имеет возможность
сразу учесть (погасить) этот вексель в банке. Учетная ставка банка по такого
вида обязательствам составляет 16% годовых. Определить, какую сумму получит
поставщик, учитывая вексель в банке и дисконт в пользу банка. Какова должна
быть вексельная сумма, чтобы при учете векселя поставщик получил 830 тыс.
рублей. Определить процентную ставку, эквивалентную банковской учетной ставке.
Год невисокосный.
Дано:
Решение:
Определим количество дней в периоде:
t=31+30+31+31+30+7=160
дн.
Сумма, которую банк заплатит поставщику за данный вексель:
Дисконт
в пользу банка составит:
Поскольку стоимость песка и гравмассы составляет 830000р., вексельная
сумма составляет
Проверка:
руб.
Определим эквивалентную процентную ставку:
Проверка:
Задача 4.
Судоходная компания оказывала заказчику транспортные услуги по перевозкам
сухих грузов. Заказчик 18 июня выписал компании (поставщику услуг) вексель на
сумму 795 тыс. рублей с погашением 25 октября того же года. Стоимость
транспортных услуг составила 750 тыс. рублей. Судоходная компания могла сразу
учесть (погасить) этот вексель в банке. Учетная ставка банка по такого вида
обязательствам на 18 июня составила 17% годовых. Определить, какую сумму
получила бы судоходная компания, учитывая вексель в банке и дисконт в пользу
банка. Какова должна быть вексельная сумма, чтобы при учете векселя судоходная
компания получила 750 тыс. рублей. Определить процентную ставку, эквивалентную
банковской учетной ставке. Год високосный.
Дано:
Решение:
Определим количество дней в периоде:
t=12+31+31+30+25=129
дн.
Сумма, которую банк заплатит поставщику за данный вексель:
Дисконт
в пользу банка составит:
Поскольку
стоимость транспортных услуг составляет 750000р., вексельная сумма составляет
Проверка:
Определим эквивалентную процентную ставку:
Проверка:
Задача 5.
Компания оказала заказчику услуги по перевозкам грузов. Заказчик 5 мая
выписал транспортной компании вексель на сумму 390 тыс. рублей с погашением 9
сентября того же года. Стоимость транспортных услуг составила 370 тыс. рублей.
Транспортная компания могла сразу учесть (погасить) этот вексель в банке.
Учетная ставка банка по такого вида обязательствам на 5 мая составляла 21%
годовых. Определить, какую сумму получила бы транспортная компания, учитывая
вексель в банке и дисконт в пользу банка. Какова должна быть вексельная сумма,
чтобы при учете векселя транспортная компания получила 370 тыс. рублей.
Определить процентную ставку, эквивалентную банковской учетной ставке. Год невисокосный.
Дано:
Решение:
Определим количество дней в периоде:
=26+30+31+31+9=127 дн.
Сумма, которую банк заплатит поставщику за данный вексель:
Дисконт в пользу банка составит:
Поскольку
стоимость транспортных услуг составляет 370000р., вексельная сумма составляет
Проверка:
Определим эквивалентную процентную ставку:
Проверка:
Задача 6.
В уплату за песок и гравийную массу, дорожно-строительная компания
выписывает вексель 7 марта, который должен быть оплачен 12 июня того же года, и
сумма погашения по которому составляет 710 тыс. рублей. Стоимость песка и
гравмассы составляет 680 тыс. рублей. Поставщик материалов имеет возможность
сразу учесть (погасить) этот вексель в банке. Учетная ставка банка по такого
вида обязательствам составляет 19% годовых. Определить, какую сумму получит
поставщик, учитывая вексель в банке и дисконт в пользу банка. Какова должна
быть вексельная сумма, чтобы при учете векселя поставщик получил 680 тыс.
рублей. Определить процентную ставку, эквивалентную банковской учетной ставке.
Год високосный.
Дано:
Решение:
Определим количество дней в периоде:
t=24+30+31+12=97дн.
Сумма, которую банк заплатит поставщику за данный вексель:
Дисконт
в пользу банка составит:
Поскольку
стоимость песка и гравмассы составляет 680000р., вексельная сумма составляет
Проверка:
Определим эквивалентную процентную ставку:
Проверка:
Задача 7.
В уплату за погрузо-разгрузочные работы в порту, 23 апреля судоходная
компания выписывает вексель, который должен быть оплачен 1 августа того же
года, и сумма погашения по которому составляет 730 тыс. рублей. Стоимость работ
составляет 700 тыс. рублей. Порт имеет возможность сразу учесть (погасить) этот
вексель в банке, учетная ставка которого по такого вида обязательствам
составляет 16% годовых. Определить, какую сумму получит порт, учитывая вексель
в банке и дисконт в пользу банка. Какова должна быть вексельная сумма, чтобы
при учете векселя порт получил 700 тыс. рублей. Определить процентную ставку,
эквивалентную банковской учетной ставке. Год невисокосный.
Дано:
Решение:
Определим количество дней в периоде:
t=7+31+30+31+1=100дн.
Сумма, которую банк заплатит поставщику за данный вексель:
Дисконт
в пользу банка составит:
Поскольку
стоимость работ составляет 700000р., вексельная сумма составляет
Проверка:
Определим эквивалентную процентную ставку:
Проверка:
Задача 8.
Компания оказала заказчику услуги по перевозкам грузов. Заказчик 11 мая
выписал транспортной компании вексель на сумму 815 тыс. рублей с погашением 13
сентября того же года. Стоимость транспортных услуг составила 760 тыс. рублей.
Транспортная компания могла сразу учесть (погасить) этот вексель в банке.
Учетная ставка банка по такого вида обязательствам на 11 мая составляла 22%
годовых. Определить, какую сумму получила бы транспортная компания, учитывая
вексель в банке и дисконт в пользу банка. Какова должна быть вексельная сумма,
чтобы при учете векселя транспортная компания получила 760 тыс. рублей.
Определить процентную ставку, эквивалентную банковской учетной ставке. Год високосный.
Дано:
Решение:
Определим количество дней в периоде:
t=20+30+31+31+13=125дн.
Сумма, которую банк заплатит поставщику за данный вексель:
Дисконт
в пользу банка составит:
Поскольку
стоимость транспортных услуг составляет 760000р., вексельная сумма составляет
Проверка:
Определим эквивалентную процентную ставку:
Проверка:
Задача 9.
В уплату за горюче-смазочные материалы, 14 мая транспортная компания
выписывает вексель, который должен быть оплачен 28 августа того же года, и
сумма погашения по которому составляет 425 тыс. рублей. Стоимость ГСМ
составляет 410 тыс. рублей. Поставщик ГСМ имеет возможность сразу учесть
(погасить) этот вексель в банке, учетная ставка которого по такого вида
обязательствам составляет 15% годовых. Определить, какую сумму получит
поставщик, учитывая вексель в банке и дисконт в пользу банка. Какова должна
быть вексельная сумма, чтобы при учете векселя поставщик получил 410 тыс.
рублей. Определить процентную ставку, эквивалентную банковской учетной ставке.
Год невисокосный.
Дано:
Решение:
t=17+30+31+28=106дн.
Сумма, которую банк заплатит поставщику за данный вексель:
Дисконт
в пользу банка составит:
Поскольку
стоимость ГСМ составляет 410000р., вексельная сумма составляет
Проверка:
Определим эквивалентную процентную ставку:
Проверка:
Задача 10.
Судоходная компания оказывала заказчику транспортные услуги. Заказчик 26
февраля выписал компании (поставщику услуг) вексель на сумму 855 тыс. рублей с
погашением 19 июня того же года. Стоимость транспортных услуг составила 800
тыс. рублей. Судоходная компания могла сразу учесть (погасить) этот вексель в
банке. Учетная ставка банка по такого вида обязательствам на 26 февраля
составила 23% годовых. Определить, какую сумму получила бы судоходная компания,
учитывая вексель в банке и дисконт в пользу банка. Какова должна быть
вексельная сумма, чтобы при учете векселя судоходная компания получила 800 тыс.
рублей. Определить процентную ставку, эквивалентную банковской учетной ставке.
Год високосный.
Дано:
Решение:
Определим количество дней в периоде:
t=3+31+30+31+19=114дн.
Сумма, которую банк заплатит поставщику за данный вексель:
Дисконт
в пользу банка составит:
Поскольку
стоимость транспортных услуг составляет 800000р., вексельная сумма составляет
Проверка:
Определим эквивалентную процентную ставку:
Проверка:
27.09.2013
Семинар №5 "Инфляция и реальные процентные ставки"
Задача 12.
Определить реальную годовую доходность по облигациям ОАО "РЖД",
если номинальная процентная ставка составляет 14% в год, а уровень инфляции -
8% в год.
Дано:
Решение:
Реальная доходность:
=
Задача 13.
Для задачи 12 определить, какой должна быть ставка доходности, указанная
в облигациях, чтобы обеспечить инвестору реальную доходность не ниже 12%
годовых.
Дано:
Решение:
Номинальная процентная ставка доходности:
=((r+1)*(rinf+1)-1)*100%=((0,12+1)(1+0,08)-1)*100%=21%
Задача 14.
Транспортная компания размещает 1,5 млн.р. на банковском депозите сроком
на 0,5 года. Ставка доходности по депозиту составляет 8% годовых.
Прогнозируемый уровень инфляции 12% в год. Определить реальную доходность по
депозиту за полгода.
Дано:
Решение:
Реальная доходность:
r=
Задача 15.
Для задачи 14 определить, какой должна быть ставка доходности по
депозиту, чтобы обеспечить инвестору реальную доходность 2% годовых.
Дано:
Решение:
Номинальная процентная ставка доходности:
=((r+1)*(rinf+1)-1)*100%=((0,02+1)(1+0,12)-1)*100%=14,24%
Задача 16.
В уплату за песок и гравийную массу, компания выписывает вексель, который
должен быть оплачен через 1 год и сумма погашения по которому составляет 850
тыс. р. Стоимость песка и гравийной массы составляет 680 тыс. р. Прогнозируемый
уровень инфляции 20% годовых. Определить ожидаемую реальную доходность
держателя векселя.
Дано:
Решение:
Номинальная процентная ставка доходности:
inom=
Реальная доходность:
r=
Задача 17.
Компания оказала заказчику услуги по перевозкам грузов. Заказчик выписал
транспортной компании вексель на сумму 407 тыс. р. С погашением через 6
месяцев. Стоимость услуг составила 370 тыс. р. Прогнозируемый на ближайшие
полгода уровень инфляции составляет 6%. Определить реальную доходность по
векселю за полгода.
Дано:
Решение:
Номинальная процентная ставка доходности:
inom=
Реальная доходность:
r=
2. Стоимость
денег во времени и дисконтный анализ денежных потоков
.11.2013
Семинар №6 "Дискретное начисление доходов, капитализация и дисконтирование
при дискретном начислении, определение эффективной ставки"
Задача 18.
Определить будущую стоимость 100 тыс. р., внесённых транспортной
компанией на депозитный счёт в банке сроком на 2 года по ставке 12% годовых с
ежемесячным начислением процентного дохода.
Дано:
Решение:
) Определим будущую стоимость по формуле:
) Определим процентный доход, накопленный за n периодов
начисления:
|
Номер периода
|
Будущая стоимость, р.
|
Процентный доход, р.
|
|
t
|
FVt
|
It
|
|
0
|
100 000,00р.
|
0,00р.
|
|
1
|
101 000,00р.
|
1 000,00р.
|
|
2
|
102 010,00р.
|
2 010,00р.
|
|
3
|
103 030,10р.
|
3 030,10р.
|
|
4
|
104 060,40р.
|
4 060,40р.
|
|
5
|
105 101,01р.
|
5 101,01р.
|
|
6
|
106 152,02р.
|
6 152,02р.
|
|
7
|
107 213,54р.
|
7 213,54р.
|
|
8
|
108 285,67р.
|
8 285,67р.
|
|
9
|
109 368,53р.
|
9 368,53р.
|
|
10
|
110 462,21р.
|
10 462,21р.
|
|
11
|
111 566,83р.
|
11 566,83р.
|
|
12
|
112 682,50р.
|
12 682,50р.
|
|
13
|
113 809,33р.
|
13 809,33р.
|
|
14
|
114 947,42р.
|
14 947,42р.
|
|
15
|
116 096,90р.
|
16 096,90р.
|
|
16
|
117 257,86р.
|
17 257,86р.
|
|
17
|
118 430,44р.
|
18 430,44р.
|
|
18
|
119 614,75р.
|
19 614,75р.
|
120 810,90р.
|
20 810,90р.
|
|
20
|
122 019,00р.
|
22 019,00р.
|
|
21
|
123 239,19р.
|
23 239,19р.
|
|
22
|
124 471,59р.
|
24 471,59р.
|
|
23
|
125 716,30р.
|
25 716,30р.
|
|
24
|
126 973,46р.
|
26 973,46р.
|
3) Будущая стоимость данных вложений будет определяться следующим
образом:
4) Капитализация будущей стоимости в точках 2-15; 5-8
) Дисконтирование будущей
стоимости в точках 15-2; 8-5
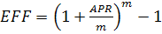
6) Эффективная годовая процентная ставка, эквивалентная APR, при
условии начисления процентов один раз в год:
) Проверим полученный результат будущей стоимости:
8) Проверим полученный результат первоначальной стоимости:
01.11.2013
Семинар №7 "Непрерывное начисление доходов, капитализация и
дисконтирование при непрерывном начислении, определение эффективной
ставки"
Определить будущую стоимость 100 тыс. р., внесённых транспортной
компанией на депозитный счёт в банке сроком на 2 года по ставке 12% годовых с
ежемесячным начислением процентного дохода.
Дано:
Решение:
) Определим будущую стоимость по формуле:
2) Определим
процентный доход, накопленный за n
периодов начисления:
|
Номер периодаБудущая стоимость, р.Процентный
доход, р.
|
|
|
|
t
|
FVt
|
It
|
|
0
|
100 000,00р.
|
0,00р.
|
|
1
|
101 005,02р.
|
1 005,02р.
|
|
2
|
102 020,13р.
|
2 020,13р.
|
|
3
|
103 045,45р.
|
3 045,45р.
|
|
4
|
104 081,08р.
|
4 081,08р.
|
|
5
|
105 127,11р.
|
5 127,11р.
|
|
6
|
106 183,65р.
|
6 183,65р.
|
|
7
|
107 250,82р.
|
7 250,82р.
|
|
8
|
108 328,71р.
|
8 328,71р.
|
|
9
|
109 417,43р.
|
9 417,43р.
|
|
10
|
110 517,09р.
|
10 517,09р.
|
|
11
|
111 627,81р.
|
11 627,81р.
|
|
12
|
112 749,69р.
|
12 749,69р.
|
|
13
|
113 882,84р.
|
13 882,84р.
|
|
14
|
115 027,38р.
|
15 027,38р.
|
|
15
|
116 183,42р.
|
16 183,42р.
|
|
16
|
117 351,09р.
|
17 351,09р.
|
|
17
|
118 530,49р.
|
18 530,49р.
|
|
18
|
119 721,74р.
|
19 721,74р.
|
|
19
|
120 924,96р.
|
20 924,96р.
|
|
20
|
122 140,28р.
|
22 140,28р.
|
|
21
|
123 367,81р.
|
23 367,81р.
|
|
22
|
124 607,67р.
|
24 607,67р.
|
|
23
|
125 860,00р.
|
25 860,00р.
|
|
24
|
127 124,92р.
|
27 124,92р.
|
3) Капитализация будущей стоимости в точках 2-15; 5-8
) Дисконтирование будущей стоимости в точках 15-2; 8-5
5) Эффективная годовая процентная ставка, эквивалентная APR, при
условии начисления процентов один раз в год:
) Проверим полученный результат будущей стоимости:
Капитализация в точках 18, 24
Дисконтирование в точках 6, 12
3. Денежные потоки и оценка аннуитетов
.11.2013
Семинар №8 "Оценка аннуитетов"
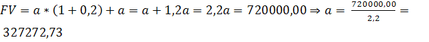
Задача №36.
Определить стоимость равных сумм вложений на банковский депозит
судоходной компанией для модернизации флота через 2 года, если известна их
будущая стоимость, равная $720000,00. Ставка доходности 20% годовых. Определить
альтернативный вариант единовременных вложений.
Дано:
Решение:
Определяем стоимость платежа в точке 2 и прибавляем ещё один платёж:
Определяем современную стоимость вложений на банковский депозит
судоходной компании для модернизации флота:
Проверка:
Задача №37.
Определить значения одинаковых сумм поступлений на банковские счета
собственника судоходной компании в конце каждого года, начиная с 3-го года, в
течение 7 лет, если их будущая стоимость должна составить $700000,00 при ставке
доходности 10% годовых, а также приведённую стоимость аннуитета в начале 1-го
года.
Дано:
Решение:
Определяем приведённую стоимость аннуитета:
Определяем значения одинаковых сумм поступлений на банковские счета
собственника судоходной компании в конце каждого года, начиная с 3-го, в
течение 7 лет:
Задача №38.
Определить чему должны быть равны в конце каждого года одинаковые суммы
поступлений на банковские счета речного порта на оказываемые судоходными
компаниями услуги, начиная с 4 года, в течение 6 лет, если будущая должна
составить 750 млн. руб. Ставка доходности 8% годовых. Определить приведённую
стоимость аннуитета в начала 1 года.
Дано:
Решение:
Определяем приведённую стоимость аннуитета:
Определяем чему должны быть равны в конце каждого года одинаковые суммы
поступлений на банковские счета речного порта на оказываемые судоходными
компаниями услуги, начиная с 4 года, в течении 6 лет:
Задача №39.
Кредит 500 тыс. руб. выдан автотранспортной компанией на приобретение
сдельного тягача российского производства на два года, с ежемесячным начисление
процентов по ставке 24% годовых. Заёмщик обязуется ежемесячно погашать кредит
равными платежами. Определить сумму выплат и эффективную ставку кредитора.
Дано:
Решение:
Определяем сумму выплат:
Определяем эффективную ставку
кредитора:
Задание по вариантам.
Вариант №4.
Записать выражение для определения стоимости денежного потока в каждой
временной точке.
Решение:

Задача №42.
Судоходной компании на капитальный ремонт судна выдан кредит в размере 10
млн. р. На 3 года, с ежемесячным начислением процента по ставке 18% годовых.
Кредитным соглашением предусмотрено, что заёмщик начинает ежемесячно погашать
кредит равными платежами с момента ввода судна в эксплуатацию, по прошествии
одного года с момента получения кредита, в конце последующего месяца.
Определить сумму выплат по кредиту.
Дано:
Решение:
Определяем сумму выплат по кредиту для точки 12
Определяем сумму выплат для точки 0
Определяем сумму выплат для точки 36
Определяем сумму выплат для точки 24
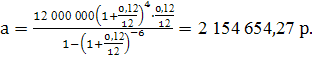
Задача №43.
Речному порту на приобретение портального крана выдан кредит 8 млн. р. на
2 года, с ежемесячным начислением процента по ставке 15% годовых. Кредитным
соглашением предусмотрено, что в течение первых 6 месяцев заёмщик ничего не
выплачивает кредитору, а, начиная с конца 7-го месяца 1-го года, ежемесячно
погашает кредит равными платежами. Определить сумму выплат.
Дано:
Решение:
Определяем сумму выплат по кредиту для точки 6
Определяем сумму выплат для точки 0
Определяем сумму выплат для точки 24
Определяем сумму выплат для точки 15
Задача №44.
Для покрытия расходов, связанных с холодным отстоем судов в зимний
период, 1 декабря пароходство привлекает кредит на сумму 12 млн. р., сроком на
10 месяцев, планируя погашать данный кредит в навигационный период, начиная с
начала мая следующего года по сентябрь включительно, равными ежемесячными
платежами. Определить размер платежа, если ставка по кредиту составляет АРR =
12%, а начисление процентов производится ежемесячно.
Дано:
Решение:
Задача №45.
Продаётся сухогруз типа река-море за $2500000,00. Судоверфь предлагает
следующие варианты:
. Покупатель платит $300000 сразу, а остаток в течение 5 лет, равными
месячными платежами. Процентная ставка за предоставленный кредит APR= 1,9%.
Чему равен месячный платёж?
. Стоимость судна оплачивается сразу, и покупатель получает скидку 8%.
Стоит ли платить сразу или лучше взять кредит? Предположите, что требуемая
доходность покупателя APR= 5% при ежемесячном начислении процентов.
Дано:
Решение:
Определяем ежемесячный платеж для 1 случая
Решение 2 случая
Вывод: лучше выбрать второй вариант, т.к. по второму варианту покупатель
заплатит на $38282,23 меньше, чем в первом случае.
Задача №46.
Судоходная компания решила купить круизный катер, и ей необходимо занять
$100000,00. Банк, в который она обратилась, предлагает взять кредит с
погашением его в течение 30 лет. Количество ежемесячных платежей - 360. Если
процентная ставка по кредиту равна 12% годовых, то какова сумма месячного
платежа? Другой банк предлагает 15-летний кредит с ежемесячной выплатой по
$1100,00. Какой заём для судоходной компании выгодней?
Дано:
Решение:
шаг
Для дисконтирования платежей 2 кредита берем ставку 1 кредита
Стоимость кредита составляет 1000000$, поэтому для того, чтобы платежи по
второму кредиту 1100$ составляли эту величину в дисконтной оценке, ставка
должна быть меньше 12%.
Поэтому второй кредит выгодней для заемщика.
шаг
Снижаем ставку до 11%
Итерация 1
APR0 = APR1 + (APR1 - APR1)*(PV1-PV0)
/ (PV1-PV2) =
0,1 + (0,11-0,1) * (102363,18-100000) / (102363,18-96780,13) =
0,104232779
Итерация 2
APR0 = APR1 + (APR2 - APR1)*(PV1-PV0)
/ (PV1-PV2) =
0,1 + (0,104232779-0,1) * (102363,18-100000) / (102363,18-99941,18) =
0,104129997
Итерация 3
0 = APR1 + (APR2 - APR1)*(PV1-PV0)
/ (PV1-PV2) =
,1 + (0,104128175-0,1) * (102363,18-100000) / (102363,18-99999,98) = 0,104128142
APR0 = 0,104128142
13.12.2013
Семинар №9 "Амортизация кредитов"
Задача №47.
Кредит на сумму 12 млн. р. выдан сроком на 1 год для пополнения оборотных
средств судоходной компании перед началом навигации с ежемесячным начислением
простого процента по ставке APR = 24% на остаток долга. Существует
альтернативный вариант получения кредита на ту же сумму и сроком, также с
ежемесячным начислением 24%, но погашение осуществляется аннуитетными
платежами. Необходимо составить планы погашения кредита и проанализировать
варианты амортизации кредита с позиции заёмщика и кредитора.
Дано:
Решение:
) Уменьшаемые платежи.
Ежемесячная выплата основного долга:
Остаток долга:
Процентный платёж:
Выплата по кредиту:
) Аннуитетные платежи.
Необходимо разделить аннуитетный
платёж на составляющие: процентный платёж и выплату в погашение основного долга
Остаток долга на конец 1-ого месяца:
Процентный платёж:
Выплата основного долга:
2-й месяц:
Процентный платёж:
Выплата основного долга:
12-й месяц:
Процентный платёж:
Выплата основного долга:
Задача №48.
Транспортной компании выдан кредит на сумму 12 млн. р. с ежемесячным
начислением простого процента по ставке APR=18% на остаток долга сроком на 1
год. Существует альтернативный вариант получения кредита на ту же сумму и срок,
также с ежемесячным начислением, но погашение осуществляется аннуитетными
платежами. При этом ставка по кредиту составляет 16% годовых. Необходимо
принять решение о варианте заимствования денежных средств. Составить планы
амортизации кредита по вариантам погашения.
Дано:
Решение:
Уменьшаемые платежи.
Ежемесячная выплата основного долга:
Остаток долга:
Процентный платёж:
Выплата по кредиту:
Аннуитетные платежи.
Необходимо разделить аннуитетный
платёж на составляющие: процентный платёж и выплату в погашение основного долга
Остаток долга на конец 1-ого месяца:
Процентный платёж:
Выплата основного долга:
2-й месяц:
Процентный платёж:
Выплата основного долга:
,29
12-й месяц:
Процентный платёж:
Выплата основного долга:
Наиболее выгодным вариантом заимствования денежных средств для заемщика
является 2 вариант, т.к. в этом случае он заплатит меньше, чем в первом.
Литература
Олюнин В.И. "Сборник задач по финансовым вычислениям в транспортной
отрасли" учебное пособие / В.И. Олюнин, П.С. Салмин - Н. Новгород:
Издательство ФГОУ ВПО "ВГАВТ", 2006.