Расчёт отравления ядерного реактора ксеноном

  • Вид работы:
    Контрольная работа
  • Предмет:
    Физика
  • Язык:
    Русский
    ,
    Формат файла:
    MS Word
    103,87 Кб
  • Опубликовано:
    2014-03-11
Вы можете узнать стоимость помощи в написании студенческой работы.
Помощь в написании работы, которую точно примут!

Расчёт отравления ядерного реактора ксеноном

Задание

Используя данные курсового проекта определить:

)        Равновесные концентрации Xe135 и I135;

)        Динамику изменения концентраций Xe135 и I135;

)        Потери реактивности при отравлении.

Определение исходных параметров

Параметры ядерного реактора, рассчитываемого в курсовом проекте, сведены в таблице 1.

Таблица 1 - Параметры ЯР

Параметр

Величина

Тип ЯР

Уран-графитовый с жидкометаллическим теплоносителем

Тепловая мощность, МВт

1800

Топливо

UC

Обогащение, %

2

Объем активной зоны, м3

188,8


 

где N - тепловая мощность ЯР, кВт, σf - микроскопическое сечение деления U235 (=582 барн), Vа.з. - объем активной зоны, м3. Подставляя известные значения получим

 

Начальные концентрации Xe135 и I135 принимаются равными 0, постоянные распада и сечения поглощения приведены в таблице 2.

Таблица 2 - Ядерно-физические характеристики Xe135 и I135


I135

Xe135

λ, с-1

2,8*10-5

2,1*10-6

σа, барн

-

2,65*106


Равновесные концентрации Xe135 и I135

Равновесная концентрация I прямо пропорциональна мощности ЯР (плотности потока нейтронов)

 

Стационарная концентрация Xe определяется равновесием между скоростью прибыли Xe из распадающегося I и непосредственно как осколка деления и скоростью убыли при поглощении нейтронов и радиоактивном распаде

 

Подставляя значения среднего потока получим:

 

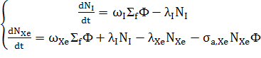
Динамика изменения концентраций Xe135 и I135

Изменение концентраций Xe135 и I135 описывается системой дифференциальных уравнений. Решение этой системы позволяет определить концентрацию нуклида в любой момент времени.

 

Решение системы выглядит следующим образом:

Графики изменения концентраций Xe135 и I135 изображены на рисунках 1 и 2.

Потери реактивности

Оценка потери реактивности вследствие отравления ксеноном рассчитывается по следующей формуле:

 

Используя закон изменения концентрации Xe получили график потери реактивности (рисунок 3).

Рисунок 1 - Изменение концентраций Xe135 и I135 в течение суток

Рисунок 2 - Изменение концентраций Xe135 и I135 в течение недели

Рисунок 3 - Изменение потери реактивности в результате отравления Xe135 в течение первых двух суток

Вывод

ядерный реактор нейтрон ксенон

В ходе выполнения индивидуального домашнего задания были определены концентрации равновесного отравления Xe135 и I135. На основании решения системы уравнений, описывающих цепочку распада I135 построены графики изменения концентраций Xe135 и I135 и потерь реактивности в результате отравления. Из графиков видно, что концентрация ксенона, и соответственно величина потери реактивности, достигают стационарного положения через 105 секунд после начала работы ЯР на мощности. Максимальное значение потери реактивности составляет 0,04.

Похожие работы на - Расчёт отравления ядерного реактора ксеноном

 

Не нашли материал для своей работы?
Поможем написать уникальную работу
Без плагиата!
Без нейросетей!