Методичні основи прибутковості та ліквідності підприємства
Зміст
Вступ
Розділ 1. Теоретичні основи прибутковості та
ліквідності підприємства
.1 Поняття і сутність ефективності діяльності
підприємства
.2 Сутність і методичні підходи до оцінки
прибутковості підприємства
.3 Сутність і методичні підходи до оцінки ліквідності
підприємства
.4 Загальна характеристика BАТ «Укрнафта»
Розділ 2. Аналіз прибутковості та ліквідності
підприємства на прикладі ват «Укрнафта»
.1 Експрес-аналіз діяльності ВАТ «Укранафта»
.2 Аналіз прибутковості діяльності ВАТ «Укрнафта» за
2010-2012 роки
.3 Аналіз ліквідності ВАТ «Укрнафта» за 2010-2012 роки
Розділ 3. Шляхи підвищення ефективності управління
прибутком та ліквідністю підприємства ВАТ «Укрнафта»
.1 Шляхи зростання прибутковості за рахунок впливу
факторів прямої дії
.2 Шляхи вдосконалення управління ліквідністю
Висновки
Список використаних джерел
Вступ
В умовах ринкової економіки ефективність виробничої,
інвестиційної та фінансової діяльності виражається у фінансових результатах.
Фінансові результати діяльності підприємства характеризуються
сумою отриманого прибутку і рівнем рентабельності.
Ця тема являється актуальною, бо у
наш час в умовах ринкової економіки з’являється все більше підприємств. Кожне
підприємство намагається отримати як можна більший прибуток при мінімальних
витратах. Для забезпечення прибутковості підприємства, підприємцю слід глибоко
аналізувати ситуацію на ринку та всередині свого підприємства. Досягнення
головної мети підприємства - максимізації прибутку, можливо тільки при
правильному плануванні діяльності підприємства. Узагальнюючим показником
економічної ефективності підприємства є рентабельність. Через все це аналіз
рентабельності на підприємстві становиться дуже важливим.
В умовах становлення ринкових відносин кожен суб'єкт
господарювання повинен володіти достовірною інформацією про фінансову стійкість
та платоспроможність як власного підприємства, так і своїх партнерів. Оцінка
фінансової стійкості дозволяє зовнішнім суб'єктам аналізу (банкам, партнерам по
договірних відносинах, контролюючим органам) визначити фінансові можливості
підприємства на перспективу, дати оцінку фінансовій незалежності від зовнішніх
джерел, скласти в загальній формі прогноз майбутнього фінансового стану.
Метою курсової роботи є проведення аналізу та вивчення
методики управління прибутковістю та ліквідністю підприємства, вивчення
методичних аспектів оцінки, пошук резервів зміцнення фінансового стану
підприємства та його платоспроможності та здійснити аналіз на прикладі
підприємства ВАТ “Укрнафта”.
При цьому першочерговими завданнями аналізу є:
- розглянути поняття і сутність ефективності діяльності
підприємства
- вивчити сутністі і методичних підходів до оцінки
прибутковості підприємства;
- визначити сутність і методичні підходи до оцінки
ліквідності підприємства;
- розглянути загальну характеристика BАТ «Укрнафта»;
- зробити експрес-аналіз діяльності ВАТ «Укрнафта»;
- розрахувати аналіз прибутковості діяльності ВАТ
«Укрнафта» за 2010-2012 роки;
- розробити шляхи зростання прибутковості за рахунок
впливу факторів прямої дії;
- розглянути шляхи вдосконалення управління ліквідністю;
Об’єктом дослідження курсової роботи є ВАТ «Укрнафта».
Всі розрахунки та висновки проведені на основі фінансової
звітність за 2010, 2011 та 2012 роки.
Предметом дослідження курсової роботи є вивчення показників
прибутковості та ліквідності ВАТ «Укрнафта».
В даній курсовій роботі було використано Закони «Про
підприємництво в Україні», навчальні посібники з економіки підприємства та
економічного аналізу.
Розділ 1. Теоретичні основи прибутковості та ліквідності підприємства
.1 Поняття і сутність ефективності
діяльності підприємства
Успішна реалізація стратегії розвитку
підприємства передбачає здійснення не лише результативної, а й ефективної
господарської діяльності. Аби бути успішною впродовж тривалого часу, щоб вижити
і досягти своїх цілей, діяльність підприємства має бути як результативною, так
і ефективною. За словами П. Друкера, результативність є наслідком того, що
робляться потрібні слушні речі; а ефективність - наслідок того, що правильно
створюються ці самі речі. Перше і друге є однаково важливим [9].
Передумовами виникнення потреби в
ефективному, раціональному веденні господарської діяльності підприємства є
проблема обмеженості ресурсів, з одного боку, і постійне прагнення до зростання
результатів його діяльності - з іншого. Саме ефективне використання наявних
ресурсів дає змогу задовольнити максимум потреб підприємства й отримати бажаний
результат [9].
Ефективність на макроекономічному
рівні - інтегрована економічна категорія, яка відображає виробничі відносини
щодо економії сукупних витрат уречевленої та живої праці на отримання кінцевого
позитивного результату. Економічний зміст ефективності полягає у збільшенні
результату (ефекту) з одиниці витрат сукупної праці.
Категорія "ефективність" на
рівні підприємства характеризує зв'язок між величиною отриманого результату
його діяльності й кількістю інвестованих або витрачених у виробництві ресурсів.
Підвищення ефективності можна досягнути шляхом використання меншої кількості
ресурсів для створення такого результату або за використанням такої самої
кількості ресурсів чи більшого випуску з відносно меншою кількістю ресурсів для
створення більшого результату.
Розкриттю сутності ефективності
діяльності підприємства допоможе розмежування і чітке визначення таких категорій:
) результат діяльності
підприємства;
) ефект;
) ефективність діяльності
підприємства;
) критерій ефективності [14].
Результат діяльності підприємства визначається особливостями
цієї діяльності, загалом характеризує наслідки його діяльності в операційній,
інвестиційній, фінансовій, соціальній, екологічній, науково-технічній та інших
сферах.
Операційні результати можуть бути визначені з урахуванням
кількості виготовленої (реалізованої) продукції. Проте не завжди результат
діяльності визначається кількістю якісної продукції. Можлива ситуація, коли
результатом діяльності підприємства є неякісна продукція (брак). Брак - це
негативний, але все-таки результат. Тому в обліку до показника "товарна
продукція" неякісні (браковані) товари не включаються.
Результатом фінансової діяльності
може бути отримана плата за надані в оренду основні засоби, отримані дивіденди
і проценти, доходи від пайової участі в діяльності інших підприємств тощо.
Науково-технічними результатами можуть бути доходи від продажу прав на створені
на підприємстві об'єкти інтелектуальної власності.
Інтегровану вартісну оцінку сукупних
результатів діяльності підприємства можна визначити за допомогою сукупного
доходу підприємства, доданої вартості та кінцевого фінансового результату -
прибутку до оподаткування.
Соціальні, екологічні та інші
неекономічні результати діяльності підприємства враховуються у розрахунках
ефективності діяльності, якщо вони мають вартісне вираження. Зазначимо, що
соціальні й екологічні результати діяльності підприємства можуть бути
негативними. Такими, наприклад, будуть наслідки роботи підприємства, якщо воно
забруднює навколишнє середовище, або соціальні наслідки автоматизації
виробництва на підприємстві, розташованому в регіоні, який має надлишок
трудових ресурсів, за умов, що така механізація буде супроводжуватися
скороченням кількості працівників.
Ефект - категорія, яка відображає
перевищення результатів діяльності над витратами, пов'язаними з її здійсненням,
у певному періоді часу. Характеризується показниками, що відрізняються складом
витрат і результатів та способами визначення витрат і результатів, здійснених у
різні періоди. Проте абсолютна величина ефекту часто не вказує на ступінь
результативності роботи підприємства. Ефект діяльності може бути однаковим, але
ступінь використання залучених ресурсів - різним.
Ефективність діяльності підприємства
- це категорія, яка виражає відповідність результатів і витрат підприємства
цілям діяльності та інтересам власників. Поняття "ефективність"
передбачає порівняння отриманих результатів діяльності з величиною витрачених
ресурсів.
Оскільки підприємство є відкритою
системою і діє в межах певної національної економіки, проблему ефективності
його діяльності можна розглядати з позицій різних зацікавлених сторін. Як
економічна категорія ефективність має багато різновидів:
) економічна ефективність
відображає відповідність витрат і результатів діяльності підприємства цілям та
інтересам його учасників у грошовій формі;
) соціальна - відображає
відповідність витрат і соціальних результатів діяльності підприємства цілям і
соціальним інтересам суспільства;
) екологічна - відображає
відповідність витрат й екологічних результатів інтересам держави і суспільства;
) інші види ефективності.
Оцінюючи економічну ефективність
діяльності підприємства, потрібно враховувати ефективність для власників
(учасників) підприємства. Рекомендують оцінювати такі види економічної
ефективності:
) ефективність діяльності
підприємства в цілому;
) ефективність участі в
капіталі підприємства (ефективність власного капіталу власника підприємства або
ефективність інвестицій у статутний капітал підприємства його учасників).
Подібні розрахунки здійснюються з
метою підтвердження для кожного з учасників доцільності його участі в капіталі
підприємства і належать до класу розрахунків доцільності інвестування.
Розгляд проблеми ефективності під
різними Кутами зору й оцінка її для різних цілей і користувачів інформації
зумовлюють багатоваріантність підходів до визначення ефективності діяльності
підприємства.
Завжди є спокуса оцінки лише
економічної ефективності на рівні підприємства як певної системи. Проте не слід
забувати, що підприємство є відкритою системою, існує не ізольовано, його
діяльність має бути гармонізованою із суб'єктами макро- і мікросередовища. На
шляху до підвищення ефективності діяльності необхідно мінімізувати негативний
вплив (за умов, що такий має місце) на навколишнє середовище й економіку
держави.
Розуміючи важливість усіх складових
ефективності, особливо в умовах глобалізації економіки, необхідності підвищення
соціальної відповідальності бізнесу перед суспільством, все-таки у викладенні
дисципліни "Економіка підприємства" будемо розглядати лише питання
оцінки економічної ефективності, залишаючи інші складові ефективності поза
межами курсу, у зв'язку з чим термін "економічна" використовувати не
будемо.
Зазначимо, що оцінка ефективності
здійснюється за певний період. Оцінюючи ефективність роботи підприємства,
наприклад, за минулий рік, підсумовуємо діяльність підприємства в минулому,
оцінюємо те, що вже відбулося. І якою б ефективною не виявилася діяльність
підприємства в минулому періоді, це зовсім не означає, що така тенденція буде
пролонгована на майбутнє. Тобто при оцінці ефективності слід чітко усвідомити,
що вона як здійснюється за минулі періоди і має на меті підбиття підсумків, так
і має прогнозуватися на майбутнє а розробкою шляхів і способів її досягнення,
минулі оцінки можуть бути використані при проектуванні показників на майбутнє з
урахуванням як тенденцій, що склалися, так і прогнозів щодо зміни внутрішніх і
зовнішніх чинників, під впливом яких здійснює діяльність підприємство. Критерій
ефективності - категорія, яка вказує на підстави для оцінки ефективності, є її
мірилом.
Підвищення ефективності є життєво
важливим, особливо в умовах ресурсодефіцитної економічної ситуації. Для оцінки
рівня ефективності потрібні як фінансові, так і нефінансові визначники
ефективності. Визначення ефективності - це кількісна оцінка її рівня, його мета
- встановити, чи зросла ефективність. Сутність проблеми підвищення ефективності
полягає в тому, щоб на кожну одиницю витрат досягти максимального результату.
Оцінки ефективності діяльності підприємства здійснюється за допомогою певних
кількісних характеристик, які відображають (добре чи погано, точно або не дуже)
відповідність результатів і витрат підприємства цілям діяльності, а також
деяких якісних характеристик. Кожне підприємство відповідно до інтересів і
цілей діяльності за критерієм ефективності формує систему конкретних прямих
показників оцінки рівня ефективності, за якими оцінюється відповідність своїм
цілям та інтересам.
Прямі показники оцінки рівня
ефективності визначаються як співвідношення результатів діяльності та витрат.
Категорія "витрати" охоплює
ресурси різного виду, які використовує у своїй діяльності підприємство. На
різних етапах оцінки ефективності можуть використовуватися показники витрат, що
належать до всієї сукупності ресурсів або до певних їх видів. Взагалі витрати
можуть мати як вартісне, так і натуральне вираження. Проте визначення витрат у
натуральному вираженні є лише проміжним етапом, оскільки основні показники
ефективності визначаються на основі вартісних оцінок [15].
Потребує осмислення та вирішення і
проблема часового інтервалу при оцінці ефективності. Інколи витрати і
результати важко пов'язати в межах одного періоду. При оцінці ефективності
необхідно враховувати, що витрати підприємства, пов'язані з його діяльністю,
можуть бути здійснені у різні періоди часу, а моменти досягнення результатів
можуть не збігатися з моментами здійснення витрат. Тому при оцінці ефективності
має значення не тільки загальна величина витрат і результатів, а й розподіл їх
у часі. Крім того, не всі витрати можна вартісно визначити. Наприклад, зусилля
менеджменту з налагодження зв'язків, підвищення репутації підприємства тощо не
можна визначити кількісно, проте саме вони можуть призвести до зростання
результату в майбутніх періодах [23].
Чіткої, регламентованої системи
показників із заданими кількісними значеннями їх параметрів, придатних для
оцінки ефективності діяльності підприємств різних за видами економічної
діяльності, формою власності, розмірами і цілями діяльності, не існує.
Застосовують два підходи до оцінки
ефективності діяльності підприємства - грошовий і ресурсний. За грошового
підходу результати і витрати визначаються в надходженнях (приплив) і витратах
(відплив) грошових коштів. За ресурсного підходу результати характеризуються
обсягом виготовленої продукції, а витрати - обсягом витрачених ресурсів різного
виду. Однак незважаючи на те, що витрати і результати вимірюються у грошовому
вираженні, вони вважаються отриманими, коли продукція виготовлена, а витрати -
здійсненими в момент споживання відповідного ресурсу. Відірваність у часі між
виробництвом і оплатою продукції, споживанням і оплатою, наприклад, сировини, при
цьому часто не беруть до уваги. Основна відмінність між грошовим і ресурсним
підходом полягає в різних підходах до витрат і результатів та моменту часу, до
якого їх зараховують. За умов ресурсного підходу витрати будь-якого ресурсу
враховуються в момент їх здійснення, результати, наприклад виготовлена
продукція, - в момент виробництва. За грошового підходу витрати будь-якого
ресурсу враховуються в момент оплати. Сам по собі факт випуску готової
продукції дає підприємцю лише моральне задоволення. На фінансовий стан
підприємства це вплине тоді, коли на його рахунок надійдуть гроші за
відвантажену продукцію. Тому грошовий підхід потребує посиленої уваги до питань
збуту продукції. Водночас за цього підходу важливо врахувати різницю в часі між
отриманням ресурсу та його оплатою.
З іншого боку, деякі види результатів
і витрат важко або неможливо оцінити в системі цін, що діє. Наприклад, шкідливі
викиди за грошового підходу не враховуються, якщо тільки за них не потрібно
сплачувати штраф. За ресурсного підходу вони враховуються, причому для їх
вартісного визначення використовуються спеціальні ціни, що відображають втрати
для суспільства від подібних викидів.
Власника підприємства цікавить не
тільки проблема підвищення ефективності діяльності підприємства, а й зростання
вартості й капіталізації бізнесу, за якою ціною, у разі потреби, його можна
продати. Відповідь на це питання можна отримати, здійснюючи оцінку підприємства
паралельно з розрахунками ефективності його діяльності. Динаміка зростання
вартості підприємства опосередковано відображає зростання ефективності його
функціонування, оскільки зростання вартості підприємства може відбуватися за
рахунок, у тому числі й реінвестованого прибутку, дії чинників нематеріального
характеру, які не піддаються вартісній оцінці у складі витрат періоду. У разі,
коли власник підприємства не спрямовує прибуток на виплату дивідендів, а
реінвестує його, для опосередкованого визначення ефективності діяльності
підприємства в довгостроковому періоді можна використати темпи зростання вартості
й капіталізації підприємства.
1.2 Сутність і методичні підходи до
оцінки прибутковості підприємства
Основним показником прибутковості є
рентабельність. Пояснення терміну "рентабельність" не визиває різних
думок, оскільки під ним розуміється відношення, в чисельнику якого завжди
фігурує прибуток. Рентабельність прибутку визначається як відношення прибутку
до капіталу (активам), рентабельність витрат - як відношення прибутку до
собівартості (витрат), рентабельність продаж відношення прибутку до ціни
(виручки від реалізації) [10].
При розрахунках показників
рентабельності також виходять з різними величинами, складаючих прибуток,
балансовий прибуток, прибуток від реалізації, чистий прибуток.
Показники рентабельності являються
відносними характеристиками фінансових результатів та ефективності діяльності
підприємства. Вони вимірюють доходність підприємства з різних та групуються в
співвідношенні інтересами учасників економічного процесу, ринкового обміну.
Показники рентабельності є важливими
характеристиками факторного середовища формування прибутку (та доходу)
підприємства. З цієї причини вони є обов'язковими елементами порівняного
аналізу та оцінки фінансового стану підприємства.
При аналізі виробництва, показники
рентабельності можна об'єднати в наступні групи:
) показники рентабельності
продукції;
) показники рентабельності
капіталів (активів);
) показники, розраховані на
підставі потоків власних грошових коштів.
Перша група показників формується на
підставі розрахунків рівнів рентабельності (доходності) по показникам прибутку
(доходу), відбитий в звітності підприємства (рис. 1.1) [11].
Рисунок 1.1 - Перша група показників
Даний показник характеризує прибутковість (доходність) продукції
базисного та звітного періоду.
Друга група показників (рис. 1.2) рентабельності
формується на підставі розрахунків рівнів рентабельності в залежності від зміни
розміру та характеру авансованих коштів: всі активи підприємства; інвестиційний
капітал (власні кошти + довгострокові зобов'язання); акціонерний (власний)
капітал [11].
Рисунок 1.2 - Друга група показників
Неспівпадання рівнів рентабельності по цим показникам
характеризує ступінь використання підприємством фінансових рушіїв для
підвищення доходності, довгострокових кредитів та інших зайнятих коштів.
Дані показники - практичні. Вони відповідають вимогам
власників. Наприклад, адміністрацію підприємства інтересує віддача (доходність)
всіх активів (всього капіталу); потенційних інвесторів і кредиторів - віддача
на інвестуємий капітал; власників та засновників - доходність акцій.
Кожний з перерахованих показників легко моделюється по факторним
залежностям. Розглянемо наступну залежність (рис. 1.3):
Рисунок 1.3 - Зв'язок між рентабельністю всіх активів
Ця формула розкриває зв'язок між рентабельністю всіх
активів (або виробничих активів), рентабельністю реалізацій та фондовіддачі
(показників обороту виробничих фондів).
Економічний зв'язок полягає в тому, що формула прямо
вказує шляхи підвищення рентабельності: при низькій доходності продаж необхідно
прискорювати обіг виробничих активів.
Розглянемо ще одну фактичну модель рентабельності (рис. 1.4):
Рисунок 1.4 - Фактична модель рентабельності
Як бачимо рентабельність власного (акціонерного) капіталу залежить від
змінений рівня рентабельності продукції, швидкість обороту сукупного капіталу
та співвідношення власного та займаного капіталу.
З цієї залежності виходить, що при інших рівних умовах віддача
акціонерного капіталу підвищується при збільшенні займаних коштів в складі
сукупного капіталу.
Третя група показників рентабельності формується на
базі розрахунку рівня рентабельності аналогічно показникам першої та другої
груп, однак замість прибутку в розрахунку приймається прибуток грошових коштів.
Концепція рентабельності (рис. 1.5) розраховується на підставі притоку
грошової "готівки", широко використовується в країнах з розвинутою ринковою
економікою. Вона більше приоритетна, тому що операції з грошовими потоками є
признакою інтенсивного типа виробництва ознакою "здоров'я" економіки
і фінансового стану підприємства. Перехід на використання цієї концепції
потребує перебудови звітності підприємства. Ця робота минається лише на
початковій стадії.
Рисунок 1.5 - Концепція рентабельності
Дані показники дають уяву про ступінь важливостей підприємства
забезпечити кредиторів, позичальників та акціонерів власними грошовими коштами
в зв'язку з використанням його виробничого потенціалу.
Різноманітність показників рентабельності визначає
альтернативність пошуку шляхів її підвищення. При аналізі шляхів підвищення
рентабельності важливо розрізняти вплив зовнішніх та внутрішніх факторів. Такі
показники, як ціна продукту і ресурсу, об'єм використовуємих ресурсів та обсяг
виробництва продукції, прибутку від реалізації та рентабельності (доходності)
продаж, знаходяться між собою в тісному функціональному зв'язку [3].
Підприємство на сам перед звертає свою увагу на проблеми контролю за
змінами промислової виробничості і стараються знизити роль зовнішнього фактору,
або фінансової виробничості [16]. Однією з вимог процвітання підприємства
являється розширення ринку збуту продукції за рахунок зниження ціни за
пропоновані товари. Оскільки цей процес не супроводжується зниженням цін на
використовуємі ресурси, то роль дефлятора ціни в формуванні доходності
підприємства знижується. Це "природним" шляхом переключає сферу вимог
керівництва на контроль за зміненням промислової виробничості, тобто за
внутрішніми факторами: зниження матеріалоємності і трудоємкості продукції,
підвищення віддачі основних фондів, машин та обладнання.
Для розрахунку рівня рентабельності підприємств можуть
використовуватися: балансовий прибуток; прибуток від реалізації продукції
(робіт, послуг), тобто від основної діяльності; прибуток від інших видів
діяльності (фінансової, інвестиційної). При цьому прибуток зіставляється з
авансованою вартістю, яку можна визначати в різних варіантах (весь капітал
підприємства, власний капітал, позичковий капітал, основний капітал, оборотний
капітал).
Існують такі основні види рентабельності:
1) рентабельність основних
засобів;
) рентабельність активів;
) рентабельність продаж;
) рентабельність власного
капіталу;
) рентабельність продукції.
Під рентабельністю основних засобів
розуміють показник ефективності використання основних фондів підприємства, який
розраховується як відношення прибутку від основної діяльності підприємства до
середньорічної вартості основних засобів.
Під рентабельністю активів розуміють
фінансовий коефіцієнт, що характеризує ефективність використання всіх активів
підприємства. Він виражає віддачу, що приходиться на гривню активів
підприємства. Рентабельність активів розраховується як відношення прибутку від
реалізації продукції підприємства до середньорічної вартості активів і
характеризує ефективність використання активів підприємства. Рентабельність
активів визначається за формулою:

де
Ра - рентабельнітсь активів;
П
- чистий прибуток;
Ап
- вартість активів на початок періоду;
Ак
- варстість активів на кінець періоду.
Рентабельність продаж є одним з найважливіших показників ефективності
діяльності компанії. Цей коефіцієнт показує, яку суму операційного прибутку
одержує підприємство з кожної гривні проданої продукції. Іншими словами,
скільки залишається в підприємства після покриттясобівартості продукції [20]. Показник
рентабельності продаж характеризує найважливіший аспект діяльності компанії -
реалізацію основної продукції, а також оцінює частку собівартості в продажах.
Коефіцієнт рентабельності продажів зв'язує оперативну і стратегічну діяльність
компанії. Рентабельність продаж визначається за формулою:

де
РП - рентабельність продаж;
ЧП
- чистий прибуток;
ДР
- дохід від реалізації.
Рентабельність власного капіталу - фінансовий коефіцієнт, що характеризує ефективність
використання власного капіталу. Він показує якою є віддача (норма прибутку) на
вкладений власний капітал. Рентабельність власного капіталу розраховується за
формулою:

де Рвк - рентабельність власного капіталу;
ЧП - чистий прибуток;
ВК - власний капітал.
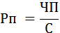
Рентабельність продукції - економічна категорія, що
характеризує ефективність реалізації продукції (тоіварів, робіт та послуг).
Визначається як відношення чистого прибутку від реалізації до собівартості
продукції та знаходиться за формулою:

де
РП - рентабельність продукції;
ЧП
- чистий прибуток;
С
- собівартість продукції [8].
.3 Сутність і методичні підходи до оцінки ліквідності підприємства
Платоспроможністю або ліквідністю прийнято називати здатність
підприємства відповідати за своїми короткостроковими фінансовими зобов'язаннями
(поточних пасивів). Термін погашення таких зобов'язань не перевищує одного
року. Якщо ж мова йде про здатність виконання довгострокових фінансових
зобов'язань, то слід використовувати поняття фінансової стійкості підприємства.
Незважаючи на те, що поняття «ліквідність» часто пов'язують лише зі
здатністю (легкістю) обігу активів в грошові кошти, тут цей термін
розглядається як синонім поняття «платоспроможність».
Для оцінки платоспроможності використовується інформація, що характеризує
загальну величину і структуру оборотних (= поточних) активів і короткострокових
зобов'язань (= поточних пасивів).
Завдання аналізу ліквідності балансу виникає в зв'язку з необхідністю
давати оцінку кредитоспроможності організації, тобто його спроможність
своєчасно і повністю розраховуватися за всіма своїми зобов'язаннями.
Аналіз ліквідності полягає в порівнянні коштів по активу, згрупованих за
ступенем їх ліквідності і розташованих у порядку убування ліквідності, із
зобов'язаннями по пасиву, згрупованими за термінами їх погашення і розташованих
у порядку зростання термінів.
У залежності від ступеня ліквідності, тобто швидкості перетворення в
грошові кошти, активи підприємства поділяються на такі групи:
1.
У
залежності від ступеня ліквідності, тобто швидкості перетворення в грошові
кошти, активи підприємства поділяються на такі групи:Найбільш ліквідні активи
(А1) - суми по всіх статтях коштів, що можуть бути використані для виконання
поточних розрахунків негайно. В цю групу включають також короткострокові
фінансові вкладення (цінні папери).
2.
Швидкореалізовані
активи (А2) - активи, для обертання яких у наявні кошти потрібен певний час. У
цю групу можна включити дебіторську заборгованість (платежі по якій очікуються
протягом 12 місяців після звітної дати), інші оборотні активи.
3.
Повільнореалізовані
активи (А3) - найменш ліквідні активи. Це запаси, дебіторська заборгованість
(платежі по якій очікуються більш як через 12 місяців після звітної дати),
податок на додану вартість по придбаним цінностям тощо.
4.
Важкореалізовані
активи (А4) - активи, що призначені для використання в господарській діяльності
протягом тривалого періоду часу. В цю групу можна включити статті I розділу
активу балансу "Необоротні активи".
Перші три групи активів протягом всього господарського
періоду можуть постійно змінюватися і відносяться до поточних активів
підприємства. Поточні активи більш ліквідні, ніж всі інші активи підприємства.
Пасиви балансу по мірі зростання строків погашення
зобов'язань групуються наступним чином:
1.
Найбільш
термінові зобов'язання (П1) - кредиторська заборгованість, розрахунки по
дивідендах, інші короткострокові зобов'язання, а також позики, не погашені в
термін (за даними додатків до бухгалтерського балансу).
2.
Короткострокові
пасиви (П2) - короткострокові кредити банків та інші позики, які підлягають
погашенню на протязі 12 місяців після звітної дати.
3.
Довгострокові
пасиви (П3) - довгострокові кредити та інші довгострокові пасиви - статті ІІI
розділу пасиву балансу "Довгострокові зобов'язання".
4.
Постійні
пасиви (П4) - статті I розділу балансу "Власний капітал".
Короткострокові і довгострокові зобов'язання, разом узяті,
називають зовнішніми зобов'язаннями.
Підприємство вважається ліквідним, якщо його поточні активи
перевищують його короткострокові зобов'язання.
Для оцінки реального ступеня ліквідності підприємства
необхідно провести аналіз ліквідності балансу.
Ліквідність балансу визначається як ступінь покриття
зобов'язань підприємства його активами, термін перетворення яких у гроші
відповідає терміну погашення зобов'язань. Для визначення ліквідності балансу
варто зіставити результати по кожній групі активів і пасивів.
Баланс вважається абсолютно ліквідним, якщо виконуються
умови:
А1 > П1
А2 > П2
А3 > П3
А4 < П4
Якщо виконуються перші три нерівності, тобто поточні активи
перевищують зовнішні зобов'язання підприємства, то обов'язково виконується
остання нерівність, що має глибокий економічний зміст і свідчить про наявність
у підприємства власних оборотних коштів, тобто дотримується мінімальна умова
фінансової стійкості.
Невиконання якоїсь із перших трьох нерівностей свідчить про
те, що ліквідність балансу в тій чи іншій мірі відхиляється від абсолютної. При
цьому нестача коштів по одній групі активів компенсується їх надлишком по іншій
групі, хоча компенсація може бути лише по вартісній величині, оскільки в
реальній платіжній ситуації менш ліквідні активи не можуть замінити більш
ліквідні.
Зіставлення найбільш ліквідних коштів і швидкореалізованих
активів з найбільш терміновими зобов'язаннями і короткостроковими пасивами
дозволяє виявити поточну ліквідність і платоспроможність. Якщо ступінь
ліквідності балансу настільки велика, що після погашення найбільш термінових
зобов'язань залишаються зайві кошти, то можна прискорити терміни розрахунків із
банком, постачальниками й іншими контрагентами.
Показники ліквідності застосовуються для оцінки спроможності
підприємства виконувати свої короткострокові зобов'язання.
Загальну оцінку платоспроможності дає коефіцієнт покриття,
який в економічній літературі також називають коефіцієнтом поточної
ліквідності, коефіцієнтом загального покриття.
Коефіцієнт покриття дорівнює відношенню поточних активів до
короткострокових зобов'язань і визначається в такий спосіб:
Коефіцієнт покриття вимірює загальну ліквідність і показує,
якою мірою поточні кредиторські зобов'язання забезпечуються поточними активами,
тобто скільки грошових одиниць поточних активів припадає на 1 грошову одиницю
поточних зобов’язань. Якщо співвідношення менше, ніж 1:1, то поточні
зобов'язання перевищують поточні активи.
Встановлений норматив цього показника рівний 2,0.
Коефіцієнт покриття є дуже укрупненим показником, внаслідок чого
в ньому не відображається ступінь ліквідності окремих елементів оборотного
капіталу. Тому у практиці аналізу фінансового стану на українських
підприємствах використовують також інші коефіцієнти ліквідності, два з яких
подано нижче.
Коефіцієнт швидкої ліквідності (миттєвої ліквідності), який є
проміжним коефіцієнтом покриття і показує яка частина поточних активів з
відрахуванням запасів і дебіторської заборгованості, платежі по який очікуються
більш як через 12 місяців після звітної дати, покривається поточними
зобов'язаннями. Він розраховується за формулою:
Для підприємств України рекомендована величина цього коефіцієнта
коливається у межах від 0,8 до 1,0. Однак вона може бути надзвичайно високою
через невиправдане зростання дебіторської заборгованості.
Коефіцієнт абсолютної ліквідності визначається відношенням найбільш
ліквідних активів до поточних зобов'язань і розраховується за формулою:
Цей коефіцієнт є найбільш жорстким критерієм
платоспроможності і показує, яку частку короткострокової заборгованості
підприємство може погасити найближчим часом. Загальноприйнята величина цього
коефіцієнта повинна перевищувати 0,2.
Показники ліквідності важливі не тільки для керівників і
фінансових працівників підприємства, але становлять інтерес для різних
користувачів інформації: коефіцієнт абсолютної ліквідності - для постачальників
сировини і матеріалів, коефіцієнт швидкої ліквідності - для банків; коефіцієнт
покриття - для покупців, власників акцій і облігацій підприємства.
.4 Загальна характеристика BАТ «Укрнафта»
Об’єктом дослідження є відкрите акціонерне товариство
"Укрнафта". Підприємство розпочало свою діяльність 31 березня 1994
року.
ВАТ "Укрнафта" - провідна вітчизняна нафтогазова компанія,
яка охоплює різні регіони України із заходу на схід, поважає особливості та
різноманітність кожного краю та об'єднує їх однією місією - найбільш ефективний
видобуток та використання вуглеводневих запасів України для забезпечення
балансу інтересів акціонерів, споживачів, працівників та держави.
Компанія, що постачає життєво необхідні енергопродукти і
послуги та має стійку конкурентну позицію за рахунок: стабілізації видобутку;
впровадження нових технологій; підвищення професіоналізму працівників; здійснення
продуманої екологічної політики. Напрямки діяльності ВАТ "Укрнафта":
проведення геологорозвідувальних робіт; експлуатаційне буріння; будівництво
об'єктів нафтовидобутку; транспортування вуглеводневої продукції; видобуток та
промислова підготовка нафти, газу та нафтового конденсату; переробка нафти та
газу; виробництво фракції легкої, скрапленого газу та інших нафтопродуктів;
збут нафти, скрапленого газу, природного газу, світлих та інших нафтопродуктів;
проведення повного комплексу робіт з видобутку нафти та газу в інших країнах.
До складу Компанії входять: шість нафтогазовидобувних
управлінь, три газопереробні заводи, три управління бурових робіт, два
тампонажних управління, дві центральні бази виробничого обслуговування,
Полтавська воєнізована частина з попередження і ліквідації відкритих нафтових і
газових фонтанів, Управління автоматизованих систем, Монтажно-налагоджувальне
управління, Науково - дослідний і проектний інститут, Центр нормативно -
економічних досліджень, Центр геолого-тематичних досліджень, Представництво
Компанії у Російській Федерації, Представництво Компанії у країнах Близького
Сходу та Північної Африки.
В апараті управління ВАТ "Укрнафта" в минулому році
створено управління реалізації нафтопродуктів, до складу якого входять відділення
реалізації нафтопродуктів в різних областях України, які включають 391
автозаправну станцію.
Відкрите акціонерне товариство "Укрнафта"
функціонує як єдиний виробничо-господарський комплекс. Структура Компанії
повністю забезпечує потреби підприємства і не залежить від зовнішніх факторів.
Вона є функціональною, логічною та керованою, що в цілому зумовлює отримання
високих результатів у роботі підприємства.
Палиця Ігор Петрович - Голова Правління, обраний Загальними
зборами акціонерів ВАТ "Укрнафта".
Досягнення ВАТ "Укрнафта" це: понад 91 % видобутку
нафти, 27% газового конденсату та 17% газу від загального видобутку вуглеводнів
в Україні; 98 родовищ вуглеводнів на території ї двох нафтогазоносних регіонів
України; 2 783 нафтових та газових свердловин; понад 28 тис. працівників, які з
року в рік своєю щоденною наполегливою працею примножують досягнуті результати.
З часу свого заснування ВАТ "Укрнафта" впевнено
впроваджує політику поєднання інтересів акціонерів і держави, саме тому
головним пріоритетом для Компанії є реалізація довгострокового плану розвитку з
найбільш ефективним використанням ресурсної бази, потенціалу
висококваліфікованого персоналу, а також подальше зростання ринкової вартості
акцій.
Розділ 2. Аналіз прибутковості та ліквідності підприємства на
прикладі ВАТ «Укрнафта»
.1 Експрес-аналіз діяльності ВАТ «Укранафта»
Експрес-аналіз звітності являє собою перший аналітичний
напрям оцінки фінансового стану підприємства. У залежності від об’єму вихідної
інформації, головної мети й завдань дослідження експрес-аналіз може проводитися
з різним ступенем деталізації. Економічна сутність експрес-аналізу ґрунтується
на постійних змінах величини й структури активів і пасивів підприємства в
процесі розподілу і перерозподілу фінансових ресурсів при здійснені
виробничо-господарської діяльності. Основним джерелом вихідної інформації
експрес-аналізу є бухгалтерська звітність досліджуваного підприємства.
Початковим етапом експрес-аналізу є оцінка фінансового стану за даними
бухгалтерського балансу, діагностика динаміки й структури статей якого
проводиться за допомогою одного з наступних способів:
) аналіз безпосередньо статей балансу без їх
попередньої зміни;
) складання ущільненого порівняльного аналітичного
балансу шляхом агрегування однорідних за складом елементів балансових статей;
) проведення додаткового коректування балансу на
індекс інфляції з наступним агрегуванням статей у необхідному аналітичному
розрізі.
За допомогою експерс аналізу можна побачити, як змінились
чистий дохід, валовий дохід підприємства, фінансові результати від операційної
діяльності та звичайної діяльності, та чистий прибуток за 2010-2012 роки [12,
17].
Зробимо експрес аналіз діяльності ВАТ «Укрнафта» за даними
річної звітності підприємства за 2010-2012 роки (додаток А, Б).
Таблиця 2.1 - Структура та динаміка джерел формування
фінансових ресурсів ВАТ «Укранфта» у 2010 році
|
Стаття
|
На початок періоду, 2010
|
На кінець періоду, 2010
|
відхилення
|
темпи приросту, %
|
у % до зміни підсумку балансу
|
|
абс. знач., тис.грн.
|
відн. знач., %
|
абс. знач., тис.грн.
|
відн. знач., %
|
абс. знач., тис.грн.
|
відн. знач., %
|
|
|
|
1. Власний капітал
|
10368856
|
80,157
|
10772068
|
57,046
|
403212
|
-23,110
|
3,889
|
6,780
|
|
1.1. Статутний капітал (пайовий капітал)
|
13557
|
0,105
|
13557
|
0,072
|
0
|
-0,033
|
0,000
|
0,000
|
|
1.2. Інший додатковий капітал
|
1391837
|
10,760
|
1412104
|
7,478
|
20267
|
-3,281
|
1,456
|
0,341
|
|
1.3. Резервний капітал
|
3389
|
0,026
|
3389
|
0,018
|
0
|
-0,008
|
0,000
|
0,000
|
|
1.4. Нерозподілений прибуток
|
8960073
|
69,266
|
9343018
|
49,478
|
382945
|
-19,787
|
4,274
|
6,439
|
|
2. Забезпечення майбутніх витрат і платежів
|
567
|
0,004
|
498
|
0,003
|
-69
|
-0,002
|
-12,169
|
-0,001
|
|
3. Довгострокові зобов'язання
|
38360
|
0,297
|
548257
|
2,903
|
509897
|
2,607
|
1329,241
|
8,574
|
|
4. Поточні зобов'язання
|
2527227
|
19,537
|
7560397
|
40,038
|
5033170
|
20,501
|
199,158
|
84,630
|
|
4.1. Короткострокові кредити
|
150000
|
1,160
|
0
|
0,000
|
-150000
|
-1,160
|
-100,000
|
-2,522
|
|
4.2. Кредиторська заборгованість
|
186680
|
1,443
|
234354
|
1,241
|
47674
|
-0,202
|
25,538
|
0,802
|
|
5. Доходи майбутніх періодів
|
750
|
0,006
|
1788
|
0,009
|
1038
|
0,004
|
138,400
|
0,017
|
|
Баланс
|
12935760
|
100,000
|
18883008
|
100,000
|
5947248
|
0,000
|
45,975
|
100,000
|
Таблиця 2.2 - Структура та динаміка джерел формування
фінансових ресурсів ВАТ «Укранфта» у 2011 році
|
Стаття
|
На початок періоду, 2011
|
На кінець періоду, 2011
|
відхилення
|
темпи приросту, %
|
у % до зміни підсумку балансу
|
|
абс. знач., тис.грн.
|
відн. знач., %
|
абс. знач., тис.грн.
|
відн. знач., %
|
абс. знач., тис.грн.
|
відн. знач., %
|
|
|
|
1. Власний капітал
|
10772068
|
57,046
|
8223682
|
44,633
|
-2548386
|
-12,414
|
-23,657
|
556,763
|
|
1.1. Статутний капітал (пайовий капітал)
|
13557
|
0,072
|
13557
|
0,074
|
0
|
0,002
|
0,000
|
|
1.2. Інший додатковий капітал
|
1412104
|
7,478
|
1413358
|
7,671
|
1254
|
0,193
|
0,089
|
-0,274
|
|
1.3. Резервний капітал
|
3389
|
0,018
|
3389
|
0,018
|
0
|
0,000
|
0,000
|
0,000
|
|
1.4. Нерозподілений прибуток
|
9343018
|
49,478
|
6793378
|
36,870
|
-2549640
|
-12,609
|
-27,289
|
557,037
|
|
2. Забезпечення майбутніх витрат і платежів
|
498
|
0,003
|
1007
|
0,005
|
509
|
0,003
|
102,209
|
-0,111
|
|
3. Довгострокові зобов'язання
|
548257
|
2,903
|
343814
|
1,866
|
-204443
|
-1,037
|
-37,290
|
44,666
|
|
4. Поточні зобов'язання
|
7560397
|
40,038
|
9855096
|
53,487
|
2294699
|
13,449
|
30,352
|
-501,338
|
|
4.1. Короткострокові кредити
|
0
|
0,000
|
0
|
0,000
|
0
|
0,000
|
0,000
|
0,000
|
|
4.2. Кредиторська заборгованість
|
234354
|
1,241
|
983544
|
5,338
|
749190
|
4,097
|
319,683
|
-163,680
|
|
5. Доходи майбутніх періодів
|
1788
|
0,009
|
1694
|
0,009
|
-94
|
0,000
|
-5,257
|
0,021
|
|
Баланс
|
18883008
|
100,000
|
18425293
|
100,000
|
-457715
|
0,000
|
-2,424
|
100,000
|
Таблиця 2.3 - Структура та динаміка джерел формування
фінансових ресурсів ВАТ «Укранфта» у 2012 році
|
Стаття
|
На початок періоду, 2012
|
На кінець періоду, 2012
|
відхилення
|
темпи приросту, %
|
у % до зміни підсумку балансу
|
|
абс. знач., тис.грн.
|
відн. знач., %
|
абс. знач., тис.грн.
|
відн. знач., %
|
абс. знач., тис.грн.
|
відн. знач., %
|
|
|
|
1. Власний капітал
|
8223682
|
44,633
|
9625476
|
43,938
|
1401794
|
-0,695
|
17,046
|
40,261
|
|
1.1. Статутний капітал (пайовий капітал)
|
13557
|
0,074
|
13557
|
0,062
|
0
|
-0,012
|
0,000
|
0,000
|
|
1.2. Інший додатковий капітал
|
1413358
|
7,671
|
1425805
|
6,508
|
12447
|
-1,162
|
0,881
|
0,357
|
|
1.3. Резервний капітал
|
3389
|
0,018
|
3389
|
0,015
|
0
|
-0,003
|
0,000
|
0,000
|
|
1.4. Нерозподілений прибуток
|
6793378
|
36,870
|
8182725
|
37,352
|
1389347
|
0,482
|
20,451
|
39,903
|
|
2. Забезпечення майбутніх витрат і платежів
|
1007
|
0,005
|
3985
|
0,018
|
2978
|
0,013
|
295,730
|
0,086
|
|
3. Довгострокові зобов'язання
|
343814
|
1,866
|
375473
|
1,714
|
31659
|
-0,152
|
9,208
|
0,909
|
|
4. Поточні зобов'язання
|
9855096
|
53,487
|
11900657
|
54,323
|
2045561
|
0,837
|
20,756
|
58,750
|
|
4.1. Короткострокові кредити
|
0
|
0,000
|
|
0,000
|
0
|
0,000
|
0,000
|
0,000
|
|
4.2. Кредиторська заборгованість
|
983544
|
5,338
|
7427825
|
33,906
|
6444281
|
28,568
|
655,210
|
185,085
|
|
5. Доходи майбутніх періодів
|
1694
|
0,009
|
1495
|
0,007
|
-199
|
-0,002
|
-11,747
|
-0,006
|
|
Баланс
|
18425293
|
100,000
|
21907086
|
100,000
|
3481793
|
0,000
|
18,897
|
100,000
|
Рисунок 2.1 - Динаміка власних та залучених джерел формування
фінансових ресурсів ВАТ «Укрнафта»
Протягом 2010 року розмiр власного капiталу збiльшився на 403212
тис.грн. та складає 10772068 тис.грн., у тому числi: статутний капiтал - 13557
тис.грн., iнший додатковий капiтал - 1412104 тис.грн., резервний капiтал - 3389
тис.грн., нерозподiлений прибуток - 9343018 тис.грн.
Протягом 2011 року розмiр власного капiталу зменьшився на ще на 2548386
тис.грн. та складає 8223682 тис.грн., у тому числi: статутний капiтал - 13557
тис.грн., iнший додатковий капiтал -1413358 тис.грн., резервний капiтал - 3389
тис.грн., нерозподiлений прибуток - 6793378 тис.грн.
Протягом 2012 року розмiр власного капiталу збiльшився на 1401794
тис.грн. та складає 9625476 тис.грн., у тому числi: статутний капiтал - 13557
тис.грн., iнший додатковий капiтал - 1425805 тис.грн., резервний капiтал - 3389
тис.грн., нерозподiлений прибуток - 8182725 тис.грн.
У структурі власного капіталу переважають такі статті як нерозподілений
прибуток (наприкінці 2012 року - 86% власного капіталу) та інший додатковий
капітал (14% власного капіталу) (рис. 2.2).
Рисунок 2.2 - Структура власного капіталу підприємства у 2010-20120 рр.
Частка позикових коштів в сукупних джерелах підприємства за
аналізований період збільшилась майже на 30% (з 20% до 50%). Це свідчить про
досить значний фінансовий ризик та незначну фінансову стійкість підприємства.
Нерозподілений прибуток на аналізований період піддається незначним
коливанням. Такий стан нерозподіленого прибутку підприємства свідчить про
стабільність ефективності діяльності підприємства (рис. 2.3).
Рисунок 2.3 - Динаміка нерозподіленого прибутку підприємства
У структурі позикового капіталу на протязі досліджуваного періоду
значних змін теж не відбувалося. Майже 100% займає кредиторська заборгованість.
Рисунок 2.4 - Динаміка кредиторської заборгованості ВАТ «Укрнафта»
Кредиторська заборгованість за весь проаналізований термін зростає.
Найзначніше зростання відбулось за останній рік, збільшення кредиторської
заборгованості у 2012 році склало 6444281 тис. грн., що являє собою негативну
динаміку.
Аналіз напрямків використання фінансових ресурсів підприємства дозволяє
зробити висновки про покращення або погіршення структури активів (табл.
2.4-2.6)
Таблиця 2.4 - Структура та динаміка напрямів використання
фінансових ресурсів ВАТ «Укрнафта» у 2010 році
|
Стаття
|
На початок періоду, 2010
|
На кінець періоду, 2010
|
відхилення
|
темпи приросту, %
|
у % до зміни підсумку балансу
|
|
абс. знач., тис.грн.
|
відн. знач., %
|
абс. знач., тис.грн.
|
відн. знач., %
|
абс. знач., тис.грн.
|
відн. знач., %
|
|
|
|
1. Необоротні активи
|
7861405
|
60,773
|
7863217
|
41,642
|
1812
|
-19,131
|
0,023
|
0,030
|
|
1.1. Нематеріальні активи
|
13782
|
0,107
|
20018
|
0,106
|
6236
|
-0,001
|
45,247
|
0,105
|
|
1.2. Основні засоби
|
638050
|
4,932
|
6505261
|
34,450
|
5867211
|
29,518
|
919,553
|
98,654
|
|
1.3. Довгострокові фінансові інвестиції
|
124090
|
0,959
|
135224
|
0,716
|
11134
|
-0,243
|
8,973
|
0,187
|
|
1.4. Довгострокова дебіторська заборгованість
|
9920
|
0,077
|
8282
|
0,044
|
-1638
|
-0,033
|
-16,512
|
-0,028
|
|
2. Оборотні активи
|
5057330
|
39,096
|
10994050
|
58,222
|
5936720
|
19,126
|
117,388
|
99,823
|
|
2.1.Запаси
|
572721
|
4,427
|
507021
|
2,685
|
-65700
|
-1,742
|
-11,472
|
-1,105
|
|
2.2.Дебіторська заборгованість
|
919464
|
7,108
|
1338092
|
7,086
|
418628
|
-0,022
|
45,530
|
7,039
|
|
2.4.Грошові кошти
|
78636
|
0,608
|
160622
|
0,851
|
81986
|
0,243
|
104,260
|
1,379
|
|
2.5. Інші оборотні активи
|
49640
|
0,384
|
333345
|
1,765
|
283705
|
1,382
|
571,525
|
4,770
|
|
3. Витрати майбутніх періодів
|
17025
|
0,132
|
25741
|
0,136
|
8716
|
0,005
|
51,195
|
0,147
|
|
Баланс
|
12935760
|
100,000
|
18883008
|
100,000
|
5947248
|
0,000
|
45,975
|
100,000
|
Таблиця 2.5 - Структура та динаміка напрямів використання
фінансових ресурсів ВАТ «Укрнафта» у 2011 році
|
Стаття
|
На кінець періоду, 2011
|
відхилення
|
темпи приросту, %
|
у % до зміни підсумку балансу
|
|
абс. знач., тис.грн.
|
відн. знач., %
|
абс. знач., тис.грн.
|
відн. знач., %
|
абс. знач., тис.грн.
|
відн. знач., %
|
|
|
|
1. Необоротні активи
|
7863217
|
41,642
|
7985301
|
43,339
|
122084
|
1,697
|
1,553
|
-26,672
|
|
1.1. Нематеріальні активи
|
20018
|
0,106
|
25776
|
0,140
|
5758
|
0,034
|
28,764
|
-1,258
|
|
1.2. Основні засоби
|
6505261
|
34,450
|
6551689
|
35,558
|
46428
|
1,108
|
0,714
|
-10,143
|
|
1.3. Довгострокові фінансові інвестиції
|
135224
|
0,716
|
149981
|
0,814
|
14757
|
0,098
|
10,913
|
-3,224
|
|
1.4. Довгострокова дебіторська заборгованість
|
8282
|
0,044
|
6841
|
0,037
|
-1441
|
-0,007
|
-17,399
|
0,315
|
|
2. Оборотні активи
|
10994050
|
58,222
|
10424004
|
56,574
|
-570046
|
-1,647
|
-5,185
|
124,542
|
|
2.1.Запаси
|
507021
|
2,685
|
662810
|
3,597
|
155789
|
0,912
|
30,726
|
-34,036
|
|
2.2.Дебіторська заборгованість
|
1338092
|
7,086
|
691555
|
3,753
|
-646537
|
-3,333
|
-48,318
|
141,253
|
|
2.4.Грошові кошти
|
160622
|
0,851
|
127388
|
0,691
|
-33234
|
-0,159
|
-20,691
|
7,261
|
|
2.5. Інші оборотні активи
|
333345
|
1,765
|
245490
|
1,332
|
-87855
|
-0,433
|
-26,356
|
19,194
|
|
3. Витрати майбутніх періодів
|
25741
|
0,136
|
15988
|
0,087
|
-9753
|
-0,050
|
-37,889
|
2,131
|
|
Баланс
|
18883008
|
100,000
|
18425293
|
100,000
|
-457715
|
0,000
|
-2,424
|
100,000
|
Таблиця 2.6 - Структура та динаміка напрямів використання
фінансових ресурсів ВАТ «Укрнафта» у 2012 році
|
Стаття
|
На початок періоду, 2012
|
На кінець періоду, 2012
|
відхилення
|
темпи приросту, %
|
у % до зміни підсумку балансу
|
|
абс. знач., тис.грн.
|
відн. знач., %
|
абс. знач., тис.грн.
|
відн. знач., %
|
абс. знач., тис.грн.
|
відн. знач., %
|
|
|
|
1. Необоротні активи
|
7985301
|
43,339
|
8046036
|
36,728
|
60735
|
-6,611
|
0,761
|
1,744
|
|
1.1. Нематеріальні активи
|
25776
|
0,140
|
30908
|
0,141
|
5132
|
0,001
|
19,910
|
0,147
|
|
1.2. Основні засоби
|
6551689
|
35,558
|
6730191
|
30,722
|
178502
|
-4,837
|
2,725
|
5,127
|
|
1.3. Довгострокові фінансові інвестиції
|
149981
|
0,814
|
169858
|
0,775
|
19877
|
-0,039
|
13,253
|
0,571
|
|
1.4. Довгострокова дебіторська заборгованість
|
6841
|
0,037
|
12725
|
0,058
|
5884
|
0,021
|
86,011
|
0,169
|
|
2. Оборотні активи
|
10424004
|
56,574
|
13845565
|
63,201
|
3421561
|
6,627
|
32,824
|
98,270
|
|
2.1.Запаси
|
662810
|
3,597
|
766662
|
3,500
|
103852
|
-0,098
|
15,668
|
2,983
|
|
2.2.Дебіторська заборгованість
|
691555
|
3,753
|
3790717
|
17,304
|
3099162
|
13,550
|
448,144
|
89,011
|
|
2.4.Грошові кошти
|
127388
|
0,691
|
137027
|
0,625
|
9639
|
-0,066
|
7,567
|
0,277
|
|
2.5. Інші оборотні активи
|
245490
|
1,332
|
52189
|
0,238
|
-193301
|
-1,094
|
-78,741
|
-5,552
|
|
3. Витрати майбутніх періодів
|
15988
|
0,087
|
15485
|
0,071
|
-503
|
-0,016
|
-3,146
|
-0,014
|
|
Баланс
|
18425293
|
100,000
|
21907086
|
100,000
|
3481793
|
0,000
|
18,897
|
100,000
|
Загальна вартість майна підприємства у 2010 році складала
452181 тис. грн., що перевищує показники попередніх років (рис. 2.5)
Рисунок 2.5 - Динаміка вартості майна підприємства
Як бачимо загальна вартість майна підприємства має тенденцію
до зростання. Зростання майна підприємства свідчить про розширення його
виробничо-господарської діяльності, тобто про позитивні зміни балансу.
Аналіз структури активів підприємства показує, що значну
частку займають оборотні засоби (рис. 2.6). Це вказує на формування мобільної
структури активів, що сприяє прискоренню оборотності засобів підприємства.
Рисунок 2.6 - Структура активів ВАТ «Укрнафта»
В структурі необоротних активів підприємства переважають
основні засоби. В структурі оборотних активів - дебіторська заборгованість за
товари, роботи, послуги (станом на кінець 2012 р - 17,3% загальної вартості
оборотних активів), інша оборотні активи (2,3%), запаси (3,5%). Зростання
грошових коштів являє собою позитивну динаміку. Дебіторська заборгованість
зменшує, тим самим дає можливість підприємству відчувати себе вільніше.
Здійснимо також експрес-аналіз фінансових результатів
діяльності підприємства за даними форми № 2 «Звіт про фінансові результати» з
використанням абсолютних та відносних показників. До абсолютних відносять
виручку (сукупну та чисту), валовий прибуток (збиток), фінансовий результат від
операційної діяльності, від звичайної діяльності до оподаткування та чистий
прибуток (збиток). До відносних - темпи приросту цих показників.
Результат аналізу наведено у таблиці 2.7.
Таблиця 2.7 - Фінансові результати діяльності ВАТ «Укрнафта»
2010-2012 років.
|
Показник
|
2010 рік
|
2011 рік
|
Темп приросту, %
|
2012 рік
|
Темп приросту, %
|
|
1. Дохід (виручка) від реалізації продукції
(товарів, робіт, послуг)
|
17582675
|
37096953
|
110,9858312
|
27871834
|
-24,86759223
|
|
2. Чистий дохід (виручка) від реалізації продукції
(товарів, робіт, послуг)
|
9400465
|
24502072
|
160,6474467
|
20010407
|
-18,33177619
|
|
3. Валовий прибуток (збиток)
|
2716609
|
3928662
|
44,61639492
|
4830710
|
22,96069247
|
|
4. Фінансовий результат від операційної діяльності
|
1962120
|
2750208
|
40,16512752
|
3747510
|
36,26278449
|
|
5. Фінансовий результат від звичайної діяльності до
оподаткування
|
1853806
|
2702867
|
45,80096299
|
3709536
|
37,24448891
|
|
6. Чистий прибуток
|
1438030
|
2181892
|
51,72784991
|
2646287
|
21,28405072
|
За результатами аналізу можна зробити висновки про
прибутковість діяльності підприємства. Основну частину прибутку підприємство
отримує від основного виду діяльності. Провіряємо величину чистого прибутку,
отриманого у 2012 році - 2646287 тис. грн. з чистим прибутком, отриманим у
попередній періодах. На протязі 3х років просліджується значне зростання
чистого прибутку.
Крім цього порівняння чистого прибутку з чистим доходом та
собівартістю показує ефективність діяльності підприємства (рис 2.8)
Рисунок 2.8 - Динаміка чистого доходу, чистого прибутку та
собівартості продукції підприємства
Проведений аналіз показав, що приріст чистого доходу
супроводжується зниженням чистого прибутку підприємства, що свідчить про
зростання собівартості продукції (товарів, робіт, послуг), адміністративних
витрат, витрат на збут тощо. Керівництву підприємства слід звернути увагу на
управління фінансовими результатами підприємства.
2.2 Аналіз прибутковості діяльності ВАТ «Укрнафта» за
2010-2012 роки
За допомогою форми №1 (баланс підприємства) та форми №2 (звіт
про фінансові результати) зробимо оцінку рентабельності ПАТ «Укртелеком» у
таблиці 2.8.
Таблиця 2.8 - Аналіз рентабельності ВАТ «Укрнафта» у 2010 -
2012 роках
|
Показник
|
2010 рік
|
2011 рік
|
2012 рік
|
Абсолютне відхилення
|
|
|
|
|
2011−2010 рік
|
2012−2011 рік
|
|
Рентабельність основних засобів, %
|
22,106
|
33,303
|
39,320
|
11,197
|
6,017
|
|
Рентабельність активів, %
|
9,039
|
11,697
|
13,122
|
2,658
|
1,426
|
|
Рентабельність продаж, %
|
15,297
|
8,905
|
13,225
|
-6,393
|
4,320
|
|
Рентабельність власного капіталу, %
|
13,604
|
11,697
|
13,122
|
-1,908
|
1,426
|
|
Рентабельність продукції, %
|
21,515
|
10,605
|
17,433
|
-10,910
|
6,828
|
Рентабельність основних засобів показує ефективність
використання основних фондів підприємства. За 2010 - 2012 роки, можемо бачити,
що рентабельність з кожним роком збільшується. Це позитивна тенденція.
Рентабельність активів виражає віддачу, що приходиться на
гривню активів підприємства, тобто на одну гривню активів віддача складає 13,12
у 2012 році. Загалом рентабельність активів на протязі трьох років збільшилась,
що свідчить про стабільну роботу підприємства.
Рентабельність продаж показує скільки залишається в
підприємства грошових кошт після покриття собівартості продукції. У 2012 цей
показник склав 13,225. На протязі трьох років цей коефіцієнт піддавався значним
коливанням, проте за останній рік відбулося зростання на 4,32.
Рентабельність власного капіталу показує якою є віддача
(норма прибутку) на вкладений власний капітал. У 2012 році віддача склала
13,122. В загалом за 2010-2012 роки показник притримується одного рівня.
Рентабельність продукції - це економічна категорія, що
характеризує ефективність реалізації продукції (товарів, робіт та послуг). У
2012 році рентабельність продукції склала 17,433 - це добрий показник.
Рисунок 2.9 - Оцінка показників діяльності ВАТ «Укрнафта» за
2010 − 2012 роки
Загалом по різним показникам рентабельності за 2010, 2011 та
2012 роки можемо побачити, що рентабельність всюди позитивна. На протязі трьох
років підприємство має тенденцію до підвищення рентабельності.
2.3 Аналіз ліквідності ВАТ «Укрнафта» за 2010-2012 роки
Фінансовий стан підприємства в короткостроковій перспективі
оцінюється показниками ліквідності та платоспроможності, які характеризують
можливість своєчасного і повного здійснення розрахунків за короткостроковими
зобов'язаннями перед контрагентами. Тому аналіз фінансового стану підприємства
слід розпочати з аналізу платоспроможності і ліквідності підприємства.
Таблиця 2.9 - Агрегований баланс для аналізу ліквідності
|
Показник
|
2010
|
2011
|
|
А1 =
|
813000
|
279185
|
204626
|
|
А2 =
|
9320119
|
9203467
|
12799656
|
|
А3 =
|
886672
|
948340
|
856768
|
|
А4 =
|
7863217
|
7985301
|
8046036
|
|
П1 =
|
234354
|
983544
|
7427825
|
|
П2 =
|
7328329
|
8874253
|
4478312
|
|
П3 =
|
550543
|
346515
|
380953
|
|
П4 =
|
10772068
|
8223682
|
9625476
|
Аналіз отриманих даних свідчить про те, що баланс даного
підприємства є абсолютно ліквідним лише у 2010 році. На протязі 2х останніх
років ми бачимо що найбільш ліквідні активи менше за найбільш терміновими
зобов’язаннями. Це свідчить про те, що дане підприємство не зможе розрахуватися
за цими зобов’язаннями грошовими коштами. Це не є критичною ситуацією, проте
підприємству потрібно змінити цю ситуацію.
Аналіз, що проводиться за запропонованою схемою, є лише
наближеним. Більш детальним є аналіз ліквідності за допомогою фінансових
коефіцієнтів. Крім того, такий підхід до аналізу ліквідності на практиці
використовується набагато частіше.
Розрахунок коефіцієнтів ліквідності аналізуємого підприємства
наведений у табл. 2.10
Таблиця 2.10 - Коефіцієнти ліквідності ВАТ «Укрнафта» за
2010-2012 роки
|
Показник
|
2010
|
2011
|
2012
|
Норма
|
|
Коефіцієнт загальної ліквідності
|
1,454
|
1,058
|
1,163
|
1,5-2,5
|
|
Коефіцієнт поточної ліквідності
|
1,100
|
0,603
|
0,826
|
>0,6
|
|
Коефіцієнт абсолютної ліквідності
|
0,108
|
0,028
|
0,017
|
> 0,2…0,3.
|
Коефіцієнт загальної ліквідності на протязі 3х років
знаходиться в межах норми, лише у 2011 році відбулось невелике зниження
показника, проте у 2011 році показник знову відповідає нормативу.
Коефіцієнт поточної ліквідності весь аналізований період
знаходить в межах нормативу, що свідчить про гарну роботу підприємства.
Проте коефіцієнт абсолютної ліквідності за 2011 та 2012 роки
знизився. Це також можна було побачити з агрегованого балансу. Підприємству
треба наростити грошову масу.
Представимо коефіцієнти ліквідності у вигляді діаграми (рис.
2.10).
Рисунок
2.10 - Оцінка коефіцієнтів ліквідності ВАТ «Укрнафта» за 2010-2012 роки.
Розділ 3. Шляхи підвищення ефективності управління прибутком
та ліквідністю підприємства ВАТ «Укрнафта»
.1 Шляхи зростання прибутковості за рахунок впливу факторів
прямої дії
В сучасних умовах господарювання
показник рентабельності актуальний для підприємств. Проблема полягає в тому, що
ресурси підприємства обмеженні, а отже, виникає питання, як понісши найменші
витрати, отримати найбільший прибуток.
Показники рентабельності є важливими
характеристиками факторного середовища формування прибутку підприємства. З цієї
причини вони є обов'язковими елементами порівняного аналізу та оцінки
фінансового стану підприємства. Рентабельність - це найважливіша економічна
категорія, яка властива всім підприємствам, що працюють на основі
господарського розрахунку [18]. Вона означає прибутковість підприємства і
визначається шляхом зіставлення отримуваних результатів (прибутку, валового
доходу) з витратами або невживаними ресурсами.
Серед видів економічної діяльності
найвищий рівень рентабельності мають підприємства, що займаються фінансовою
діяльністю (73,0%), а також підприємства торгівлі, з ремонту автомобілів,
побутових виробів та предметів особистого вжитку (19,6%), в тому числі
підприємства торгівлі автомобілями та мотоциклами, їх технічне обслуговування
та ремонт (26,8 відсотку) [1].
Прибуток і рентабельність як основні
показники фінансових результатів не можуть повністю характеризувати фінансовий
стан підприємства і можливі тенденції його зміни [26]. Останній істотно
залежить від певних фінансових пропорцій, які аналізуються за даними балансу -
підсумкового систематичного документу про наявність і використання коштів на
певну дату (кінець року) для підвищення ефективності роботи підприємства
використовують планування величини прибутку та рентабельності [27].
Рентабельність підприємства напряму
залежить від його прибутку. Для одержання максимального прибутку підприємство
повинне найбільше повно використовувати ресурси, що знаходяться в його
розпорядженні. Збільшення випуску знижує витрати на одиницю продукції, тобто
витрати на її виготовлення в розрахунку на одиницю продукції знижуються, а
отже, знижується собівартість, що в остаточному підсумку веде до збільшення
прибутку від реалізації продукції. Ну а крім цього, додаткове виробництво
рентабельної продукції вже саме по собі дає додатковий прибуток. [2]
Рентабельність в перший рік роботи
підприємства, як правило, дуже низька, хоча наступні декілька років роботи
підприємства спостерігається її зростання. Однією з причин збільшення
рентабельності може бути збільшення об’ємів виробництва.
Міру прибутковості функціонування
підприємства найбільш точно визначають показники рентабельності, які
характеризують рівень віддачі витрат або міру використання наявних ресурсів.
Збільшення показників рентабельності підприємства значною мірою залежить від
зростання чистого прибутку, який залишається в розпорядженні підприємства після
сплати податків. Тому для підвищення рентабельності підприємства потрібно
збільшувати прибуток і цього можна досягти наступними методами:
) нарощувати обсяги
виробництва та реалізації товарів, робіт, послуг;
) зменшувати витрати на
виробництво (реалізацію) продукції, тобто знижувати її собівартість;
) з максимальною віддачею
використовувати потенціал, що є в розпорядженні підприємства, в тому числі і
фінансові ресурси;
) вміти найдоцільніше
розміщувати (вкладати) одержаний раніше прибуток з точки зору досягнення
оптимального ефекту [3].
Також до шляхів підвищення
рентабельності підприємства можна віднести:
) покращення маркетингу,
пов’язане з коригуванням стратегії і тактики маркетингу [19];
) вироблення тільки тієї
продукції, що безумовно буде купуватися, при цьому підприємству потрібно
згрупувати свою продукції за ознакою рентабельності та зосередити свою увагу на
тій продукції, яка є високорентабельною. Також потрібно покращувати продукцію з
середнім рівнем рентабельності, а низькорентабельну продукцію зняти з
виробництва;
) приділяти більше уваги
дизайну продукції, упаковці, а також рекламі. Для підприємства реклама є
вагомим засобом, за допомогою якого підприємство зможе підвищити попит на свою
продукцію, що призведе до збільшення обсягів продажу, прибутку та
рентабельності.
) усунення каналів втрати
прибутку (виплата різних штрафів, пені, неустойок);
) підвищення оптових або інших
відпускних цін на продукцію, але так, щоб ці ціни відповідали якості продукції
[4].
Рентабельність використання
фінансових ресурсів може бути підвищена, якщо підприємство досягає того ж
обсягу прибутку, але зменшує при цьому суму коштів, які вкладені в основні і
оборотні засоби (наприклад, реалізує частину машин, устаткування, якщо вони
використовуються не досить ефективно, знижує залишки виробничих запасів,
незавершеного виробництва, готової продукції, товарів, вивільняє кошти,
іммобілізовані в дебіторську заборгованість).
Рентабельність продукції, яка
досягнута підприємством в базовому періоді повинна бути скоригованою з
урахуванням умов ціноутворення планового періоду. Можна визначити резерви, які
не були використані підприємством у базовому періоді для зростання прибутку, а
саме за рахунок:
) ліквідації непродуктивних і
понаднормативних витрат, що відносяться на собівартість продукції;
) ліквідації фактів поставки
готової продукції покупцям з відхиленнями від узгоджених технічних і якісних
параметрів, які ведуть до зниження оптових цін на ці вироби, і отже, прибутку
від реалізації;
) структурних зрушень в
асортименті продукції, що виробляється та реалізується, в бік випуску
рентабельнішої продукції.
У підвищенні рівня рентабельності
величезну роль відіграють також і трудові ресурси, з цього випливає що на
підприємстві обов’язково:
) потрібно удосконалити роботу
відділу кадрів;
) в першу чергу потрібно
звернути увагу на професійні якості працівників, їх уміння працювати з
колективом, відношення до своїх функціональних обов’язків [5, 24].
Рентабельність як показник дає
уявлення про достатність чи недостатність прибутку порівняно з іншими окремими
величинами, які впливають на виробництво та реалізацію та взагалі на фінансово
- господарську діяльність підприємства. При визначенні показників
рентабельності, прибуток співвідноситься з чинниками, які мають найбільший
вплив на його отримання. До таких чинників належать інвестиції, активи,
витрати. Тому підприємства повинні активно шукати всі можливі шляхи
вдосконалення виробництва, підвищення конкурентоспроможності власної продукції,
це і буде сприяти зростанню рентабельності підприємства.
Для підприємств актуальним є аналіз прибутковості
підприємства та виявлення резервів щодо її підвищення. А в умовах економії
фінансових ресурсів розробка шляхів підвищення рентабельності на підприємстві
стає більш важливим завданням. Тому оцінка рентабельності та ії підвищення на
підприємстві є важливою складовою фінансової роботи на підприємстві.
При аналізі коефіцієнтів рентабельності найбільш широке
поширення набула факторна модель фірми «DuPont» (Дюпон). Призначення моделі -
визначити фактори, що впливають на ефективність роботи підприємства й оцінити
цей вплив. Оскільки існує безліч показників рентабельності, аналітиками цієї
фірми обраний один, на їхню думку, найбільш значимий - рентабельність власного
капіталу [6]. Для проведення аналізу необхідно змоделювати факторну модель
коефіцієнта рентабельності власного капіталу.
Схематичне представлення моделі фірми «DuPont» зображено на
рис. 3.1
В основі наведеної схеми аналізу закладена наступна
детермінована модель:

,
де Ротд - ресурсовіддача;
Рп - чиста рентабельність продажу;
Кзав - коефіцієнт фінансової залежності.
Рисунок 3.1 - Схематичне представлення моделі фірми «DuPont»
Побудована у такий спосіб модель компанії «Дюпон» виконує кілька
завдань - виявити фактори, що визначають ефективність бізнесу, оцінити
тенденції змін і ступінь впливу кожного з цих факторів, дати порівняльну оцінку
ризиків та результатів від інвестування у компанію.
Як свідчить модель, рентабельність власного капіталу залежить від трьох
чинників: рентабельність продажів, оборотності активів, і структури капіталу
підприємства. Вони, певним чином, узагальнюють усі аспекти
фінансово-господарської діяльності організації. Коефіцієнт рентабельності
продажів відображає фінансовий результат за певний період, коефіцієнт
оборотності активів характеризує ефективність використання майна підприємства,
а мультиплікатор власного капіталу - структуру джерел формування господарських
засобів [7].
Слід визначити, що модель факторного аналізу компанії «Дюпон» до
середини минулого століття не набула широкого розповсюдження. Справжнє визнання
до неї прийшло у 50-ті роки ХХ-го сторіччя і, до 70-х років, модель компанії
Дюпон була домінуючим інструментом корпоративного фінансового аналізу. Своє
значення, за думкою багатьох фахівців, вона зберігає і сьогодні. Про це
свідчать численні інтерпретації моделі, спроби виділити додаткові фактори для
поглибленого аналізу. Так, для розрахунку коефіцієнту рентабельності продажів
пропонується використовувати замість чистого прибутку операційний або
брутто-прибуток. Основним аргументом на користь такої заміни вважають
неможливість при розрахунку через чистий прибуток відокремити наслідки
операційних. Фінансових і інвестиційних рішень.
Для переходу від чистого до операційного прибутку іноді пропонують
використовуваним і окремо аналізувати додаткові мультиплікатори - коефіцієнти
податкового навантаження (TB - tax burden) і боргового навантаження (IB -
interest burden). Крім того, коефіцієнт оборотності активі і мультиплікатор
власного капіталу пропонується розраховувати, замінивши середньорічну загальну
вартість активів показником середньорічної вартості чистих активів (NA - net
assets). Для розрахунку останніх вартість активів підприємства зменшують на
величину безвідсоткових зобов’язань [6].
Отже, зацікавленість керівників підприємств у з’ясування причин, що
забезпечують зміну рентабельності активів, велика, тому що позитивна динаміка
цього показника говорить про привабливість підприємства для інвестора, а негативна
тенденція - засвідчує наявність проблем. Вибір результативного показника на
вершині піраміди моделі Дюпона, складеної з окремих показників, пов’язаний з
тим, що його величина залежить від рішень, прийнятих керівником у трьох сферах
діяльності (фінансовій, інвестиційний та основній). Зміна цього показника
говорить про спільну тенденцію підвищення або зниження ефективності бізнесу.
Розрахунок впливу факторів на коефіцієнт рентабельності власного
капіталу ПАТ «Укртелеком» представлено в таблиці 3.1.
Таблиця 3.1 - Зміна коефіцієнта рентабельності власного капіталу і
факторних показників в динаміці ВАТ «Укрнафта»
|
Показник
|
Роки
|
Відхилення
|
|
2010
|
2011
|
2012
|
2011- 2010
|
2012-2011
|
|
Виручка від реалізації
|
17582675
|
37096953
|
27871834
|
19514278
|
-9225119
|
|
Чистий прибуток
|
1438030
|
2181892
|
2646287
|
743862
|
464395
|
|
Всього активів\пасивів
|
18883008
|
18425293
|
21907086
|
-457715
|
3481793
|
|
Власний капітал
|
10772068
|
8223682
|
9625476
|
-2548386
|
1401794
|
|
Рентабельність продаж
|
15,30%
|
8,91%
|
13,23%
|
-0,06392
|
0,0432
|
|
Ресурсовіддача
|
0,591
|
1,313
|
0,992
|
0,723
|
-0,321
|
|
Коефіцієнт фінансової залежності
|
1,753
|
2,241
|
2,276
|
0,488
|
0,035
|
|
Рентабельність власного капіталу
|
13,60%
|
11,70%
|
13,12%
|
-0,01907
|
0,01425
|
Зміна рентабельності власного капіталу склала у 2012 році
склала 0,01425 пунктів, а в 2011 році склала -0,0191 пункти. Збільшення
показника у динаміці є позитивним для підприємства. Збільшення власного
капіталу позитивно вплинуло на коефіцієнт фінансової залежності.
Загалом можна сказати, що у підприємства позитивна тенденція
майже по всім показникам, що дуже добре.
За результатами застосування моделі Дюпон можна виділити
наступні переваги:
) використовувана система показників не вимагає
організації додаткових досліджень для отримання початкових даних;
) якщо одним із недоліків методичних рекомендацій (затверджених
на законодавчому рівні) є недостатня обґрунтованість вибору показників, то у
моделі Дюпон, інтегральний показник рентабельності власного капіталу
побудований не ієрархічній системі взаємопов’язаних показників, де кожен займає
своє місце;
) у моделі Дюпон кожен показник займає своє місце в
ієрархії, обґрунтованість використовуваних показників на основі детермінованих
зв’язків з показниками нижчого рівня та інші.
Разом з тим слід визначити недоліки моделі Дюпон:
) неповна оцінка інвестиційної привабливості тільки за
показником рентабельності власного капіталу;
) проблема ризиків; різна вартісна оцінка чинників
прибутку та власного капітал; відсутність пристосованості до галузевих
особливостей діяльності підприємства.
.2 Шляхи вдосконалення управління ліквідністю
Розвиток ринкових відносин в Україні суттєво змінює
економічне середовище функціонування підприємств. Головною ознакою цього
середовища є конкуренція товаровиробників, які набули повної самостійності та
відповідальності за результати фінансово-господарської діяльності. Це
передбачає обов’язкове виконання зобов’язань підприємств перед бюджетом та
іншими суб’єктами господарювання.
Практика господарювання українських підприємств свідчить, що
внаслідок несвоєчасних розрахунків та не виконання фінансових зобов’язань перед
контрагентами, у них накопичилися великі обсяги заборгованостей. Дотримання
розрахунково-платіжної дисципліни суб’єктами господарювання безпосередньо
залежить від їх платоспроможності [10].
На платоспроможність або ліквідність підприємств впливає:
своєчасне надходження в розпорядження суб’єктів господарювання грошових коштів
та їх еквівалентів, їх використання; рух коштів підприємств в результаті
здійснення операційної, інвестиційної і фінансової діяльності.
Основними причинами зниження ліквідності підприємства є
збиткова діяльність, а також збільшення поточних зобов’язань, фінансування
капітальних витрат за рахунок поточних зобов’язань, зменшення власного
капіталу. Відповідно рекомендації, щодо покращення рівня ліквідності та платоспроможності
передбачають, насамперед, досягнення прибутковості, що передбачає збільшення
обсягів продажу та зменшення витрат, залучення довгострокових позик на
фінансування капітальних витрат, або відмова від інвестиційних проектів. Також
важливим є раціональне управління наявними фінансовими ресурсами, зокрема
визначення оптимальних обсягів виробничих запасів, управління дебіторською
заборгованістю, координація планів виробництва та продажу, забезпечення
безперебійної роботи підприємства тощо[20]. Тобто вихід зі скрутного становища
і підвищення ефективності діяльності вимагає розробки та впровадження комплексу
заходів.
Завжди треба мати на увазі, що на результати господарської
діяльності промислового виробництва негативний вплив мають як дефіцитний, так і
надлишковий грошові потоки.
Незадовільні наслідки дефіцитного грошового потоку
виявляються в зниженні ліквідності і рівня платоспроможності підприємства, в
збільшенні простроченої кредиторської заборгованості постачальникам сировини і
матеріалів, підвищенні частки простроченої заборгованості по отриманих
фінансових кредитах [14].
Методи оптимізації дефіциту грошей залежить від характеру
цієї дефіцитності - короткострокової чи довгострокової. Збалансованість
дефіцитного грошового потоку в короткостроковому періоді досягається шляхом
використання «Системи прискорення-уповільнення платіжного обороту». Суть цієї
системи полягає в розробці на підприємстві організаційних заходів щодо
прискорення залучення коштів і уповільненню їх виплат. Прискорення залучення
коштів у короткостроковому періоді може бути досягнуте за рахунок наступних
заходів:
) Пошук додаткових грошових надходжень від реалізації
основних засобів підприємства:
визначити коло потенційних покупців/користувачів зайвого
устаткування/майна за допомогою вивчення конкурентів чи можливостей
альтернативного використання розглянутого майна;
вибір найбільш придатних каналів комунікації для ефективного
інформування учасників ринку про продаж/здачу в оренду майна.
) Стягнення заборгованості з метою прискорення оборотності
коштів:
використовувати сучасні форми рефінансування дебіторської
заборгованості - факторинг, облік векселів.
) Реорганізація виробничих запасів:
провести класифікацію запасів за категоріями, за ступенем їх
важливості для стабільної діяльності підприємства, проаналізувати оборот
запасів за видами, зменшення обсягів тих видів запасів, що не є критичними для
функціонування бізнесу;
зменшення розміру непорушних запасів (чи запасів, що
зберігаються як буфер) за рахунок досягнення домовленості про більш короткий
термін виконання замовлення на постачання такого товару, якщо можливо.
) Збільшення продажів:
визначення групи продуктів, що найкраще підходять до мінливих
ринкових умов, і сконцентруватися на них;
збільшення розміру цінових знижок при реалізації продукції за
готівку.
Уповільнення виплат коштів у короткостроковому періоді може
бути досягнуте за рахунок наступних заходів:
) Розмежування виплат кредиторам за ступенем пріоритетності
для зменшення відтоку коштів.
) Зменшення виплат коштів за рахунок перегляду планів
капітальних вкладень [17].
Отже, можна зробити висновки, що для кожного підприємства
дуже важливо мати в своєму розпорядженні достатньо ліквідні кошти, так як це є
запорукою їх процвітання та подальшого розвитку. Тому підприємства повинні
обирати правильні та найбільш ефективні методи управління своїми коштами, які в
майбутньому принесуть йому прибутки та забезпечать поточну і перспективну
платоспроможність і ліквідність [13].
Висновки
У даній курсовій роботі було розглянуто методичні основи
прибутковості та ліквідності підприємства, були розраховані коефіцієнти на
прикладі реального підприємства ВАТ «Укрнафта» та зроблені висновки із
зазначенням рекомендацій.
У першому розділі даної курсової
роботи були висвітлені теоретичні питання відносно обраної теми. Було виявлено,
що оцінюючи ефективність роботи підприємства, наприклад, за минулий рік,
робиться підсумок діяльності підприємства в минулому, оцінюючи те, що вже
відбулося. І якою б ефективною не виявилася діяльність підприємства в минулому
періоді, це зовсім не означає, що така тенденція буде пролонгована на майбутнє.
Тобто при оцінці ефективності слід чітко усвідомити, що вона як здійснюється за
минулі періоди і має на меті підбиття підсумків, так і має прогнозуватися на
майбутнє а розробкою шляхів і способів її досягнення, минулі оцінки можуть бути
використані при проектуванні показників на майбутнє з урахуванням як тенденцій,
що склалися, так і прогнозів щодо зміни внутрішніх і зовнішніх чинників, під
впливом яких здійснює діяльність підприємство. Критерій ефективності -
категорія, яка вказує на підстави для оцінки ефективності, є її мірилом.
Основним показником прибутковості є
рентабельність. Пояснення терміну "рентабельність" не визиває різних
думок, оскільки під ним розуміється відношення, в чисельнику якого завжди
фігурує прибуток. Рентабельність прибутку визначається як відношення прибутку
до капіталу (активам), рентабельність витрат - як відношення прибутку до
собівартості (витрат), рентабельність продаж відношення прибутку до ціни
(виручки від реалізації)
Завдання аналізу ліквідності балансу виникає в зв'язку з
необхідністю давати оцінку кредитоспроможності організації, тобто його
спроможність своєчасно і повністю розраховуватися за всіма своїми
зобов'язаннями.
Аналіз ліквідності полягає в порівнянні коштів по активу,
згрупованих за ступенем їх ліквідності і розташованих у порядку убування
ліквідності, із зобов'язаннями по пасиву, згрупованими за термінами їх
погашення і розташованих у порядку зростання термінів.
Для оцінки фінансового стану підприємства необхідно
орієнтуватися виключно на дані про джерела фінансування, тобто на капітал. В
цьому випадку оцінка фінансової стійкості підприємства проводиться тільки на
основі даних пасиву балансу. Для того щоб провести оцінку фінансової стійкості
підприємства необхідно аналізувати взаємозв'язок між активом і пасивом балансу,
тобто прослідити направлення ви користування кошті. У підрозділі 1.2 та 1.3
були висвітлені коефіцієнти розрахунку рентабельності та ліквідності
підприємства.
Для аналізу стійкості підприємства було обрано вітчизняне
промислове підприємство ВАТ «Укрнафта». «Укрнафта» - найбільша
нафтогазовидобувна компанія України. Її видобуток в 2012 році склав 2,27 млн.
тон нафти та конденсату та 2,17 млрд. куб.м газу. Частка ВАТ
"Укрнафта" в видобутку нафти та газового конденсату складає 68%, в
видобутку газу - 11%.
Укрнафта володіє шістьма регіональними виробничими
підрозділами (Охтирканафтогаз, Чернігівнафтогаз, Полтаванафтогаз,
Долинанафтогаз, Надвірнанафтогаз, Бориславнафтогаз), трьома газопереробними
заводами (Гнідинцівский, Качанівський, Долинський), трьома буровими
управліннями (Охтирске, Прилуцьке і Прикарпатське), а також значним числом
інших нафтосервісних підрозділів.
У другому розділі курсової роботи були проведені розрахунки
фінансових показників на прикладі ВАТ «Укрнафта».
На основі проведеного вертикального та горизонтального
аналізу було виявлено, що підприємство моє легку структуру активів.
Підприємство моє великі обороти. Також одна з позитивних тенденцій є те, що у
підприємства велика кількість дебіторської заборгованості, це свідчить про те
що підприємство в змозі здійснювати свою операційну діяльність і одночасно з
тим бути кредитором для інших підприємств та проводити інвестиційну діяльність.
У результаті розрахунків коефіцієнтів фінансової стійкості
підприємства було виявлено, що ВАТ «Укрнафта» моє динаміку до збільшення
залученого капіталу, що дає за останні 2 роки зниження показнику абсолютної
ліквідності.
Зробивши аналіз рентабельності підприємства ми бачимо, що
підприємство має великі обороти та великі прибутки.
У третьому розділі була розглянута модель фірми «DuPont».
Призначення моделі - визначити фактори, що впливають на ефективність роботи
підприємства й оцінити цей вплив. Оскільки існує безліч показників
рентабельності, аналітиками цієї фірми обраний один, на їхню думку, найбільш
значимий - рентабельність власного капіталу.
Як свідчить модель, рентабельність власного капіталу залежить
від трьох чинників: рентабельність продажів, оборотності активів, і структури
капіталу підприємства. Вони, певним чином, узагальнюють усі аспекти
фінансово-господарської діяльності організації. Коефіцієнт рентабельності
продажів відображає фінансовий результат за певний період, коефіцієнт
оборотності активів характеризує ефективність використання майна підприємства,
а мультиплікатор власного капіталу - структуру джерел формування господарських
засобів.
Також у третьому розділі були вказані рекомендації щодо
поліпшення управління ліквідністю та прибутковістю підприємства.
Підприємству потрібно продовжувати таку політику, але
обов’язково потрібно враховувати коефіцієнт фінансового ризику та слідкувати
щоб він не був надто високим - щоб підприємство у будь який час мало змогу
розрахуватися за своїми обов’язками.
Найважливіше завдання для будь-якого підприємства - це
усунення неплатоспроможності, бо коли підприємство може своєчасно погасити свої
борги перед кредиторами, це свідчить про встановлення системи розрахунків і
попереджує виникнення процедури банкрутства.
управління ліквідність фінансовий прибутковість
Список використаних джерел
1. Короткевич О.В. Рентабельність господарської
діяльності підприємств. //Економіка і прогнозування. - 2008. - №3. - С. 61-69.
2. Тітов М.В. Моделювання
ефективності використання активів підприємства на основі методології
розв’язання зворотних задач. //Актуальні проблеми економіки. - 2008. - №11. -
С. 32-41.
. Павловська О.В.
Удосконалення методів аналізу фінансового стану підприємств / Павловська О.В.
// Фінанси України. - 2013. - №11. - с. 54-60.
. Васильєв В.В. Шляхи
підвищення результативності українських підприємств/ Васильєв В.В. // Фондовий
ринок. - 2007. - №12. - с. 11-14.
. Бець М.П. Планування
рентабельності виробництва / Бець М.П. // Економіка України. - 2013. - №2. - с.
40 - 45.
. Бланк И.О. Антикризисное
финансовое управление предприятием: учебное пособие. / И.О. Бланк. - К.: Центр
учебной литературы, 2006 - 672 с.
. Кононенко О. Аналіз
фінансової звітності / О. Кононенко, О. Маханько. - Х.: Фактор, 2006. - 208 с.
. Методика анализа
деятельности предприятий в условиях ры¬ночной экономики: Учеб. пособие / В.Г.
Лебедев, Д.Н. Томилина, Г.Н. Бургонова и др.; Под ред. Г.А. Краюхина; СПбГИЭА.
- СПб., 2010.
. Економіка підприємства:Учеб.
посібник для студентів економічних спеціальностей вузів / Підобщ. ред. Н.А.
Алексєєнко. - Гомель:ГГТУ їм.П.О. Сухого, 2009. - 156 з.
. Алєксеенко В. Рентабельність
підприємства в умовах трансформації ринкових процесів. /В. Алєксеенко//
Економіка України. - 2011. - №1 - С. 10-12.
. Мешко В.В. Сутність і методи
обчислення показників рентабельності підприємства /В.В. Мешко// Фінанси
України. - 2010. - №6.- С. 15-19.
. Руда Р.В. Аналіз фінансового
стану підприємства та його значення в сучасних умовах /Р.В. Руда// Вісник
Бердянського університету менеджменту і бізнесу. - 2009. - №3 - С. 54-59.
. Економічний аналіз:
Підручник длястуд. екон. спец вузів. /Г.В. Савицкая. - 9-те вид., испр. - Мн.:
Нове знання, 2008. -640с.
. Економіка підприємства:
Підручник для вузів / Л. Аврашков, В.В. Адамчук, О.В. Антонова та інших.; Під
ред. проф. В.Я. Горфинкеля, проф. В.А. Швандара. - 2-ге вид., перераб. ідоп. -
М.: Банки біржі, ЮНИТИ, 2008. - 742с.
. Фінансовий менеджмент:
Підручник / Під ред. Н.Ф. Самсонова. 2-ге вид. М.:ЮНИТИ-ДАНА, 2009. 451с.
. Управління фінансами: Підручник.
/ А.А. Володін, Н.Ф.Самсонов. М.:ИНФРА-М, 2007. 503с.
. Сивчик Л. Аналіз фінансових
результатів діяльності підприємства з урахуванням нового плану рахунків
//Веснiк Беларускага Дзяржаўнага еканамiчнага унiверсiтета. - 2013. - № 4. -С.
40-45.
. Аналіз господарську
діяльність підприємства: Підручник. - 2-ге вид., перераб. ідоп. - М.:ИНФРА-М,
2011. -400с. - (Серія «Вища ж освіта)
. Протасів В.Ф. Аналіз
діяльності підприємства (фірми): виробництво, економіка, фінанси, інвестиції,
маркетинг. - М.: «Фінанси і статистика», 2009. -536с
. Коваленка О.М. Оцінка
рентабельності продажу та чинників, які впливають його // Економіка. Фінанси.
Управління. 2008. № 3.С.7-16 (закінчення)
. Балобанов І.Т. Фінансовий
аналіз стану та планування господарюючого суб'єкту. - 2-ге вид., доп. - М.:
Фінанси і статистика, 2009. -208с.
. Маркарьян Э.А., Герасименко
Г.П. Фінансовий аналіз - М.: «>ПРИОР», 2010. - 160 з.
. Бланк І.А. Фінансовий
менеджмент: навчальний курс. Київ:Ника-Центр. - 2011 - 345 с.
. Бука Л.Н. Удосконалення
аналізу рентабельності продукції // Бухгалтерський облік і аналіз. - 2011. №12.
- з. 21-22
. Донцова Л.В., Никифорова
Н.А. Формування й оцінка показників проміжної (квартального) і обсяг річного
звітності. - М.: Вид-во «Річ навіть і Сервіс», 2012. - 272 з.
. Журавльов В.В.,Савруков Н.Т.
Аналіз фінансових результатів діяльності підприємства // Ділова інформація.
-2009. №3. - з. 111-123.
. Калашніков С.С. Як підвищити
рентабельність. - М.:Политиздат, 2006. - 323 з.
. Пузанкевич Про. Аналіз
фінансового становища підприємства: Основні підходи // Фінанси. Облік. Аудит. -
2009. №8. - з. 51-57
. Федорович Р.В. Теорія
економічного аналізу: Підручник. - Тернопіль.: Укрмедкнига, 2002.- 322с.
30. Финансовое управление
компанией / Под ред. Е.В. Кузнецовой. М.: Фонд «Правовая культура», 1998.- 247
с.
. Финансовый менеджмент / Под
ред. Е.С. Стояновой. - М: Перспектива, 2000.- 216 с.
. Финансовый менеджмент / Под
ред. Г.Б. Помека- М: Финансы - Юнити, 1997.- 378 с.
. Чумаченко М.Г. Економічний
аналіз.: Навчальний посібник. - К.: КНЕУ, 2001. - 540с.
. Шеремет О.О. Фінансовий
аналіз: Навчальний посібник. - К.: Кондор, 2005.
. Шиян Д.В., Строченко Н.І.
Фінансовий аналіз:Навчальний посібник. - К.:Видавництво А.С.К., 2003.
. Ярошенко Ю. Конкурентні
позиції та фінансова стійкість виробничо-економічних систем. //Банківська
справа. - 2005. - №2.