Определение экономической эффективности капитальных вложений и инвестиций
Введение
Актуальность работы обусловлена тем, что энергоресурсы имеют
важное значение для улучшения качества жизни и расширения возможностей,
открывающихся перед гражданами стран мира - как развитых, так и развивающихся.
Поэтому обеспечение эффективного, надежного и экологически безопасного
энергоснабжения по ценам, отражающим фундаментальные принципы рыночной
экономики, представляет собой вызов для нашей страны и всего человечества.
Можно сказать, что на данный момент не выработано единое
понимание самого понятия энергетической безопасности государства (ЭБГ), а в
ряде случаев значения, которые страны вкладывают в это понятие, прямо
противоположны друг другу. Но в контексте понимания этого понятия как
глобального, энергетическая безопасность означает не только предотвращение
конфликтов за энергетические ресурсы между поставщиками и потребителями, внутри
группы стран-поставщиков и внутри группы стран-потребителей, но и расширение
доступа к энергетическим ресурсам. Невозможность развития экономики без энергетики
означает также невозможность преодоления проблем, которые давно признаны
мировым сообществом как глобальные: бедность, эпидемии, низкий уровень
образования, угрозы экологии и др. Из этого следует вывод, что энергетическая
безопасность является составной частью глобальной системы безопасности.
На данный момент в мировом сообществе существует понимание
того, что углеводородные ресурсы, являющиеся на данный момент базовыми, могут
быть исчерпаны через определенное время. Соответственно страны-поставщики, так
же, как и все остальные, будут постепенно приходить к необходимости изменения
структуры своего топливно-энергетического баланса, уделяя все большее внимание
альтернативным источникам энергии.
Сохранение ситуации, при которой 2 млрд. людей не имеют
доступа к энергетическим ресурсам, грозит гуманитарными катастрофами, ростом
напряженности в мире, появлением новых конфликтов и усугублением имеющихся
глобальных проблем. И именно в рамках международного механизма по обеспечению
энергетической безопасности возможен выход за пределы исключительно
торгово-финансовых энергетических взаимоотношений отдельных стран, и создание
системы устойчивого обеспечения энергетическими ресурсами всех стран.
Основной сферой деятельности данной инстанции должно стать
обеспечение глобальной энергетической безопасности путем предотвращения и
разрешения конфликтов в данной сфере, а также путем управления глобальным
сбалансированным энергетическим потенциалом. Для этого необходимо достижения
максимально широкого согласия стран, которые на данный момент в качестве
поставщиков или потребителей имеют устойчивый доступ к энергетическим ресурсам.
Ключевой целью управления глобальным энергетическим потенциалом должно стать
как поддержание энергетической ресурсной базы планеты, так и ее справедливое
распределение. В ближайшее время на первый план в этом направлении выйдет
задача обеспечения энергетическими ресурсами тех стран, которые пока не имеют к
ним устойчивого доступа и лишены возможности обеспечить это за счет слабости
экономики или иных факторов.
Международный механизм глобальной энергетической безопасности
мог бы стать той инстанцией, которая от имени международного сообщества
управляла как подобными международными энергетическими центрами, так и иными
организациями или формами, нацеленными на создание глобального
сбалансированного энергетического потенциала.
Цель изучения дисциплины - освоение методики экономической
оценки деятельности энергетического предприятия.
Важными задачами в процессе изучения дисциплины являются:
овладение методикой экономической оценки деятельности энергетического
предприятия для оценки приемлемости тех или иных технических решений в области
теплоэнергетики с точки зрения оптимальности технико-экономических показателей
работы энергетического предприятия.
Информационная база курсовой работы включает:
нормативно-правовые акты, статистические материалы, труды ведущих отечественных
и зарубежных авторов, посвященные проблемам экономической безопасности, статьи,
опубликованные в периодических изданиях, а также Интернет-ресурсы.
Целью данной курсовой работы по дисциплине «Экономика и
управление системами теплоэнергоснабжения» является освоение методики
экономической оценки деятельности энергетического предприятия для оценки
приемлемости тех или иных технических решений в области теплоэнергетики с точки
зрения оптимальности технико-экономических показателей работы энергетического
предприятия.
Задачами данной курсовой работы является энергетическая
безопасность государства, оценка деятельности предприятия, определение оптимальной
толщины изоляции, выбор наиболее эффективного метода использования
оборудования, способы начисления амортизации, определение себестоимости
транспортировки тепловой энергии, расчет целесообразности модернизации турбины,
оценка эффективности капиталовложений.
1. Энергетическая безопасность государства
Энергетическая безопасность подразумевает состояние
защищенности страны (региона), ее граждан, общества, государства, экономики от
угрозы дефицита в обеспечении их обоснованных потребностей в энергии экономически
доступными топливно-энергетическими ресурсами приемлемого качества, а также
защищенности от нарушений стабильности, бесперебойности топливо- и
энергоснабжения.
В данном разделе будут приведены цитаты великих ученых,
влиятельных политиков и общественных деятелей об энергетической безопасности
государства.
Президент Белоруссии Лукашенко А.Г.
«Энергетическая безопасность сродни независимости государства. Идет реализация
концепции энергетической безопасности, по уменьшению удельного веса природного газа
в топливно-энергетическом балансе, производстве тепловой и электрической
энергии. Подготовка и строительство в Беларуси АЭС. Одним из важнейших
инструментов выполнения названной концепции является Государственная
комплексная программа модернизации основных производственных фондов
энергетической системы Беларуси. Министерство энергетики определено
координатором деятельности по выполнению этой программы». [7]
Российский государственный деятель и экономист
Илларионов А.Н. «Энергетическая безопасность - фантом, который появляется вместе
с вмешательством государства в ту или иную отрасль. По мнению Илларионова,
лучше всего проблема энергетической безопасности лечится, если устранить
государство из затронутой им отрасли. Он добавил, что можно, напротив, увеличить
долю государства в отрасли - и обеспечить себе знакомство с проблемой
энергетической безопасности на сколь угодно долгий срок». [8]
Президент Российской Федерации Путин В.В. «Энергобезопасность в
любом государстве рассматривается в качестве гарантии суверенного развития
нации. Эта энергобезопасность прямо влияет на решение самых разных задач,
прежде всего, конечно, социально-экономических, и на конкурентоспособность
экономики в целом».
Научный деятель в сфере экономики и политик
Прохоров М. «В условиях стремительного роста населения во всем мире
энергетическая безопасность становится одной из важнейших мировых проблем.
Энергетика будущего будет сочетать в себе традиционные и новые виды энергии -
ветер, солнце, водород». [10]
Заместитель министра энергетики Р.Ф. ШишкинА.Н.: «Энергетическая
безопасность - это увеличение доли ГЭС, АЭС и ВИЭ, рост среднего КПД ТЭС на
угле и газе, а также снижение уровня потерь в электрических сетях. Все
поставленные задачи должны быть реализованы при условии сдерживания роста
тарифов на электроэнергию». [11]
Ученый Мазур И.И.: «Глобальный характер
проблем энергетической безопасности диктует необходимость создания всемирной
системы управления энергоресурсным балансом в интересах всего человечества».
Региональный советник по энергетике Европейской
экономической комиссии ООН Е.В. Надеждин считает, что энергетическая безопасность - это
«состояние общества, которое позволяет при наличии угроз внешнего и внутреннего
характера и влияния дестабилизирующих факторов экономического, социально-политического,
природного и техногенного происхождения поддерживать необходимый уровень
национальной энергетической безопасности, устраняя и компенсируя негативное
влияние этих факторов».
Вячеслав Шишкин, ведущий эксперт бывшего РАО «ЕЭС
России»,
определяет энергетическую безопасность как «защищенность граждан и государства
в целом от угроз дефицита всех видов энергии и энергоресурсов, возникающих
из-за воздействия негативных природных, техногенных, управленческих,
социально-экономических, внутри- и внешнеполитических факторов».
Председатель правительства РФ Медведев Д.А. - Россия верит в хорошую
перспективу своей инициативы о создании международной сети центров по
обогащению урана. По словам президента РФ, реализация этой инициативы «не
только помогла бы продвинуться в решении проблемы «энергетической бедности», но
и укрепила бы режим нераспространения ядерных технологий». «Нам не менее важно
было бы сформулировать режим равного и недискриминационного доступа к ядерным
технологиям», - подчеркнул Медведев. Он указал, что «мирная ядерная
энергетическая альтернатива должна быть доступна и другим странам, в том числе
- развивающимся», сообщает «Интерфакс». [9]
Директор Института проблем нефти и газа РАН,
академик А. Дмитриевский определяет глобальную энергетическую безопасность как
«стремление мирового сообщества обеспечить жизнедеятельность всех государств с
помощью такого действенного инструмента, как открытый рынок нефти и газа, как
справедливое желание каждого продавца и каждого покупателя защитить свои национальные
интересы».
Николай Чуркин, первый заместитель председателя
комитета Совета Федерации по аграрно-продовольственной политике и
природопользованию считает, что энергетическая безопасность - одна из важнейших
составляющих национальной безопасности страны. Она трактуется как защищенность
граждан и государства в целом от угроз дефицита всех видов энергии и
энергоресурсов, возникающих из-за воздействия негативных природных,
техногенных, управленческих, социально-экономических, внутри- и внешнеполитических
факторов. Эти угрозы определяются не только внешними (геополитическими,
макроэкономическими, конъюнктурными) факторами, но и собственно состоянием и
функционированием всего энергетического сектора страны. А потому энергетическая
политика является одним из главных звеньев в обеспечении национальной
безопасности любого государства. Факторы, сдерживающие развитие ТЭК, являются
одновременно источником угроз энергетической безопасности России. Анализ
сложившейся ситуации в топливно-энергетическом комплексе свидетельствует, что
эти угрозы носят уже вполне реальный характер. Диспропорции в топливо- и
энергообеспечении отдельных регионов России становятся «хронической болезнью»
(неудовлетворительное состояние коммунальной энергетики, сбои в теплоснабжении,
нерациональное природопользование и др.), что реально влияет на энергетическую
безопасность регионов. Проблема усугубляется географией размещения запасов
первичных энергоресурсов, производства нефтепродуктов и электроэнергии по
регионам страны, недостаточностью мощностей линий электропередачи, связывающих
Дальний Восток, Сибирь и европейскую часть страны. Необходимо подчеркнуть, что
Россия располагает практически всеми видами природных ресурсов и занимает одно
из ведущих мест в мире по запасам минерального сырья и топливно-энергетических
ресурсов. В то же время природно-ресурсный потенциал страны используется с
низкой эффективностью: энергетические затраты на единицу продукции в среднем
превышают показатели многих развитых стран в 2,5-3 раза, а при производстве
единицы ВВП расход многих видов природных ресурсов значительно выше, чем еще 10
лет тому назад. Несмотря на общее снижение хозяйственной активности и масштабов
природопользования, удельная природоемкость и, следовательно, относительная
сырьевая ориентированность экономики России возросла. Низкую эффективность
использования энергии необходимо повышать за счет последовательного улучшения
ее следующих главных характеристик: способность ТЭК надежно обеспечивать
экономически обоснованный внутренний и внешний спрос энергоносителями
соответствующего качества и приемлемой стоимости; способность потребительского
сектора экономики эффективно использовать энергоресурсы, предотвращая тем самым
нерациональные затраты общества на свое энергообеспечение и дефицитность топливно-энергетического
баланса; устойчивость энергетического сектора к внешним и внутренним
экономическим, техногенным и природным угрозам, а также его способность
минимизировать ущерб, вызванный проявлением различных дестабилизирующих
факторов.
Важнейшими принципами обеспечения энергетической безопасности
являются: гарантированность и надежность энергообеспечения экономики и
населения страны в полном объеме в обычных условиях и в минимально необходимом
объеме при угрозе возникновения чрезвычайных ситуаций различного характера;
контроль со стороны государства, федеральных органов исполнительной власти и
местных органов управления за надежным энергоснабжением объектов,
обеспечивающих безопасность государства; восполняемость исчерпаемых ресурсов
топлива (темпы потребления этих ресурсов должны согласовываться с темпами
освоения замещающих их источников энергии); диверсификация используемых видов
топлива и энергии (экономика не должна чрезмерно зависеть от какого-либо одного
энергоносителя); учет требований экологической безопасности (развитие
энергетики должно соответствовать возрастающим требованиям охраны окружающей
среды); предотвращение нерационального использования энергоресурсов
(взаимосвязь с политикой энергетической эффективности); создание экономических
условий (прежде всего за счет налоговых и таможенных мер), обеспечивающих
равную выгоду поставок энергоресурсов на внутренний и внешний рынки и
рационализацию структуры экспорта; максимально возможное использование во всех
технологических процессах и проектах конкурентоспособного отечественного
оборудования; использование отходов в качестве альтернативных устойчивых
источников энергии. Для обеспечения энергетической безопасности необходимо
решение двух первоочередных проблем.
Во-первых, необходимо осуществить модернизацию во многом
устаревшей морально и изношенной физически технологической базы ТЭК и
обеспечить воспроизводство его вырабатываемой ресурсной базы (обычно в новых
регионах и худших природно-геологических условиях).Предусматривается, что в
текущем десятилетии из-за ограниченности инвестиций (кроме нефтяной отрасли)
будет осуществляться в первую очередь технологическая модернизация существующих
производственных мощностей (с учетом продления сроков их службы), а в
дальнейшем - их коренная реконструкция и создание новых мощностей с
использованием лучших отечественных и соответствующих нашим условиям зарубежных
технологий.
Во-вторых, потребуется изменение структуры потребления и
размещения производства топливно-энергетических ресурсов. Предусмотрено увеличение
потребления атомной и гидроэнергии, угольной продукции и использования
возобновляемых источников, а также рассредоточение из Западной Сибири по другим
регионам страны (Восточная Сибирь и Дальний Восток, Европейский Север и
Прикаспийский регион) добычи углеводородов. Важнейшим условием обеспечения
энергетической безопасности и сбалансированного развития ТЭК станет единство
целей и методов государственной энергетической политики на федеральном и
региональном уровнях. В соответствии с законодательством предусматриваются
следующие особенности управления энергетикой в центре и на местах. Федеральные
органы исполнительной власти разрабатывают нормативно-правовую базу
функционирования ТЭК и взаимоотношений в сфере топлива и энергии, в директивном
порядке осуществляют координацию и контроль деятельности федеральных
энергетических систем и атомной энергетики; управляют стратегическими запасами
энергетических ресурсов; устанавливают технические регламенты, стандарты и
нормативы безопасности и эффективности работы энергетических объектов и
установок, организуют государственный надзор за их соблюдением; ведут
лицензирование месторождений полезных ископаемых и деятельности субъектов ТЭК;
регулируют деятельность естественных монополий на основе законодательной и нормативной
базы, а также путем владения акциями компаний и акционерных обществ. Ситуация в
сфере энергобезопасности обостряется тем, что в ближайшие годы истекают сроки
действия долгосрочных контрактов, определявших систему энергетических отношений
России и Запада на протяжении последних десятилетий. Да и великое наследство
бывшего СССР - инфраструктура вывоза энергоносителей - ветшает прямо на глазах.
Износ магистральных газопроводов сегодня близок к критическому. По данным
самого Газпрома, около 14% трубопроводов служит свыше 33 лет и фактически
подлежит списанию, еще 20% построены более 20 лет тому назад.
В целях укрепления глобальной энергетической безопасности
необходимо развитие партнерских отношений между всеми заинтересованными
сторонами: странами-производителями, транзитными странами и
странами-потребителями. Эта единая система отдельно работать не будет.
Необходимо осознать тот факт, что энергетическая безопасность неотделима от
глобализации энергетического сектора. Поэтому важно наметить практические меры
по обеспечению устойчивого доступа мировой экономики к традиционным источникам
энергии, а также позаботиться о внедрении энергосберегающих программ и развитии
альтернативных источников энергии.
Проблема энергетической безопасности и охраны окружающей среды
- это важнейшая проблема. Она касается не одного отдельно взятого государства,
даже такого, как Россия. Это проблема мировая, и ее необходимо решать всем
миром.
2. Расчетная часть
Задание 1
1) Рассчитать зависимость срока окупаемости (
) капитальных вложений в автоматизацию
промышленной котельной от числа часов использования установленной мощности
котельной (
).
) Сделать выводы о целесообразности капиталовложений в
автоматизацию промышленной котельной на основе сравнения полученного срока
окупаемости с его нормативным значением.
Исходные данные
Теплота сгорания топлива
: для газа - 8200 ккал/нм3, для мазута -
8400 ккал/кг. КПД котельной до автоматизации
- 84%. Число часов использования установленной мощности
изменяется от 4000 до 7000 ч,
с шагом в 1000 ч. Стоимость топлива
: для газа - 2000 р./1000 нм3, для мазута - 8000 р./т
н.т. Фонд заработной платы
- 60 тыс. р. Количество высвобождаемых работников
= 4. Прочие исходные данные по вариантам
представлены в таблице 1. Четным вариантам принять в качестве топлива газ,
нечетным - мазут.
Таблица 1 Исходные данные по вариантам для расчета
показателей экономической эффективности автоматизации промышленной котельной
|
Номер варианта расчета
|
, Гкал/ч , % , тыс. р.
|
|
|
|
21
|
42
|
89
|
2300
|
Порядок выполнения работы
Сначала определяется годовая экономия топлива в тоннах
натурального топлива (т н.т.) или тысячах метров кубических (1000 нм3)
по формуле
где
- часовая теплопроизводительность
котельной, Гкал/ч;
- число часов использования установленной мощности котельной, ч;
- КПД котельной до и после автоматизации;
- теплота сгорания топлива, Гкал/т н.т. (Гкал/1000 нм3).
Годовая экономия затрат на топливо определяется по формуле,
р./год
где
- цена топлива на месте потребления,
р./т.н.т (р./1000 нм3).
Годовая экономия на заработной плате за счет высвобождения
штатного персонала котельной рассчитываются по выражению, р./год
,
где
- среднегодовой фонд заработной платы
штатного персонала котельной, р./чел.;
- количество высвобождаемых работников, чел.
Увеличение амортизационных отчислений и затрат на текущий ремонт
определяется по уравнению, р./год
,
где
- дополнительные капитальные затраты в
автоматизацию котельной, р.

.
Срок окупаемости дополнительных капитальных вложений
рассчитывается по выражению, в месяцах
где
- экономический эффект от автоматизации
котельной, р./год.
Вывод: Исходя из решенной задачи с увеличением числа часов
использования установленной мощности, увеличивается годовая экономия затрат на
топливо, но при этом уменьшается срок окупаемости дополнительных капитальных
вложений.
Задание 2
1) Определить оптимальную толщину изоляции
.
2) Сделать выводы о влиянии изменения толщины тепловой
изоляции на суммарные затраты.
Исходные данные
Разность значений температуры теплоносителя и окружающей среды
= 200°C. Коэффициент теплопроводности материала изоляции
- 0,06
. Коэффициент теплоотдачи с поверхности изоляции
- 8
Переменная составляющая капитальных затрат на изоляцию
- 2000 р./м3. Норма амортизации
изоляции
- 8%. Нормативный коэффициент эффективности капитальных вложений
- 0,12. Прочие исходные данные по
вариантам представлены в таблице 2.
Таблица 2. Исходные данные по вариантам для расчета оптимальной
толщины изоляции
|
Номер варианта
|
h, ч/год
|
, р. / Гкалa2, р./м2
|
|
|
21
|
3000
|
420
|
400
|
Порядок выполнения работы
Суммарные годовые затраты на 1 м2 поверхности
изоляции рассчитываются по формуле, р./(м2·год)
,
где
- затраты, обусловленные потерями
тепловой энергии через изоляцию, р./(м2·год);
- эксплуатационные расходы, р./(м2·год).
Затраты, обусловленные потерями тепловой энергии через
изоляцию, определяются по выражению, р./(м2·год)
,
где
- годовой объем тепловой энергии,
рассеиваемой в окружающую среду с 1 м2 поверхности тепловой
изоляции, Гкал/(м2·год);
- стоимость тепловой энергии, р. / Гкал.
Годовые потери тепловой энергии через 1 мІ поверхности
изоляции рассчитываются по уравнению, ккал/(м2·год)
,
где
- величина тепловых потерь с 1 мІ
поверхности изоляции,
;
- усредненное годовое число часов тепловых потерь, ч/год;
- температура теплоносителя,°С;
- температура окружающего воздуха,°С;
- толщина тепловой изоляции, м;
- коэффициент теплопроводности материала изоляции,
;
a - коэффициент теплоотдачи с поверхности
изоляции,
.
Годовые эксплуатационные расходы на 1 мІ изоляции
определяются по формуле, р./(м2·год)
,
где
- амортизационные отчисления на реновацию
изоляции, р./(м2·год);
- удельные капитальные затраты на 1 мІ поверхности изоляции, р./м2;
- нормативный коэффициент эффективности капитальных вложений или
ставка банковского процента, 1/год.
Амортизационные отчисления на реновацию изоляции определяются
по выражению, р./(м2·год)
,
где
- норма амортизационных отчислений для
тепловой изоляции, 1/год.
Удельные капитальные затраты на 1 мІ поверхности изоляции
рассчитываются по уравнению, р./м2
,
где
- переменная составляющая капитальных
вложений, зависящая от толщины изоляции, р./м3;
- постоянная составляющая капитальных
вложений, не зависящая от толщины изоляции, р./м2.
Физический смысл коэффициентов
и
, заключается в том, что при увеличении
толщины тепловой изоляции так называемый покровный слой не изменяет своей
толщины, поэтому существует постоянная часть капитальных затрат, не зависящая
от толщины изоляции. С другой стороны, толщина внутреннего слоя изменяется
пропорционально общей толщине тепловой изоляции, поэтому существует переменная
составляющая капитальных вложений, зависящая от толщины изоляции.
Суммарные годовые затраты на 1 мІ. поверхности изоляции
определяются по формуле, р./(м2·год)
Оптимальное значение толщины изоляции определяется в точке
минимума суммарных годовых затрат, для этого необходимо найти первую
производную
, приравнять ее к нулю и выразить из
полученного выражения d
Вывод: Исходя из решения задачи с увеличением толщины
тепловой изоляции, суммарные затраты увеличиваются.
Задание 3
1) Определить показатели использования ОПФ и оборотных
средств.
) Сделать выводы о характере влияния установленной мощности
на коэффициенты экстенсивного и интенсивного использования оборудования.
Исходные данные
Стоимость электроэнергии,
- 1,1 р./(кВт·ч). Удельный расход условного топлива на
вырабатываемую электрическую энергию
=0,325 кг/(кВт·ч). Стоимость топлива
- 2,5 р./кг у.т. Нормативный оперативный
запас топлива
- 14 дн. К к.г. = 8,3 млрд.
руб. Исходные
данные по вариантам представлены в таблице 3.
Таблица 3 Исходные данные по вариантам для определения показателей
использования ОПФ и оборотных средств ТЭС (с учетом R)
|
Номер варианта
|
, МВт , млн МВт·ч , млрд р. , ч
|
|
|
|
|
21
|
2400
|
11,5
|
14,4
|
6700
|
Порядок выполнения работы
Фондоотдача определяется по выражению, р./(р.·год)
,
где
- стоимость годовой продукции, млн
р./год;
- средний тариф расчета за электроэнергию, к./кВт·ч;
- количество электроэнергии, вырабатываемой за год, МВт·ч/год;
- среднегодовая
балансовая стоимость основных фондов предприятия, млн р.
Среднегодовая балансовая стоимость основных фондов
предприятия, вычисляется по уравнению, млн р.
,
где
- величина ОПФ на начало года, млн р.;
Далее определяются показатели использования оборудования.
Число часов использования установленной мощности определяется по выражению,
ч/год
,
где
- величина установленной мощности, МВт.
Коэффициент экстенсивного использования оборудования
рассчитывается по формуле
,
где
- число часов работы оборудования за год,
ч/год;
- календарный фонд времени в году, ч/год,
= 8760 ч/год.
Коэффициент интенсивного использования оборудования
,
где
- максимально возможная годовая выработка
энергии, МВт·ч/год.
Количество оборотов за год определяется по формуле, 1/год
,
где
- средняя величина оборотных средств, млн
р., определяемая по уравнению
,
где
- средняя стоимость оперативного запаса
топлива, млн р.;
- среднее значение прочих оборотных средств, млн р.
Средняя стоимость оперативного запаса топлива рассчитывается
по выражению, млн р.
,
где
- удельный расход условного топлива на
вырабатываемую электроэнергию, г/(кВт·ч);
- нормативный оперативный запас топлива, дн.;
- цена тонны условного топлива, р./т у.т.
Среднее значение прочих оборотных средств рассчитывается в
размере 4% от среднегодовой балансовой стоимости ОПФ по формуле, млн р.
Продолжительность оборота рассчитывается по выражению, ч
,
Вывод: Наиболее выгоден и эффективен метод экстенсивного
использования оборудования (коэффициент равен 0,76), чем метод интенсивного
использования оборудования (коэффициент равен 0,55).
Задание 4
1) Всеми способами начисления амортизации определить
остаточную стоимость котлоагрегата на начало восьмого года его эксплуатации.
) Сделать выводы о влиянии способа начисления амортизации на
сумму накопленного амортизационного фонда.
Исходные данные
Срок службы котлоагрегата - двадцать лет. Принять, что
ликвидационная стоимость отсутствует, т.е. оборудование после окончания срока
службы не продается. Прочие исходные данные по вариантам представлены в табл.
Таблица 4 Исходные данные по вариантам для расчета
амортизационных отчислений
|
Номер варианта
|
К, тыс. р.
|
Выработка тепловой энергии по годам, Гкал
|
, Гкал
|
|
|
Q1
|
Q2
|
Q3
|
Q5
|
Q6
|
Q7
|
|
|
21
|
3680
|
14200
|
12400
|
8400
|
11800
|
9200
|
6400
|
12500
|
214 000
|
Порядок выполнения работы
Ежегодные амортизационные отчисления при линейном способе
начисления амортизации составляют постоянную величину для каждого года и
определяются по формуле, р./год
амортизация модернизация
турбина изоляция
где К - первоначальная стоимость основных фондов,
р.;
- ликвидационная стоимость основных фондов (стоимость продажи
после окончания срока службы), р.;
- срок службы основных фондов, год;
n - рассчитываемый год.
Остаточная стоимость оборудования определяется как разность
его первоначальной стоимости за вычетом амортизированной части по формуле, р.
,
где t - рассматриваемый год, на который определяется
остаточная стоимость по одному из выбранных методов начисления амортизации.
Ежегодные амортизационные отчисления при регрессивном способе
начисления амортизации к окончанию срока службы основных фондов постепенно
уменьшаются и рассчитываются по формуле, р./год
где
- рассчитываемый год.


Амортизационные отчисления при кумулятивном способе
начисления амортизации характеризуются постепенным уменьшением к концу срока
полезного использования оборудования, но в отличие от расчета амортизации
регрессивным способом их первоначальная величина больше, чем при расчете
линейным способом. Амортизационные отчисления при кумулятивном способе
вычисляются по уравнению, р./год
Способ списания стоимости пропорционально объему выпускаемой
продукции предполагает начисление амортизации на основе плана производства на
весь срок службы оборудования. Амортизационные отчисления при данном способе
рассчитываются по формуле, р./год
где
- объем выпуска продукции в денежном
выражении за рассматриваемый год, р./год;
- общий объем выпуска продукции за весь срок службы основных
фондов в денежном выражении, р.
Вывод: Способ списания стоимости пропорционально объему
выпускаемой продукции и кумулятивный способ - самый выгодный в отличие от
регрессивного способа.
Задание 5
По данным варианта схемы теплоснабжения, условий прокладки и
площади застройки, соотношения нагрузок горячего водоснабжения и отопления,
определить себестоимость транспортировки 1 ГДж тепловой энергии.
Исходные данные
1) Значения коэффициента
приведены в таблице 5.
Таблица 5 Значения коэффициента
|
Схема теплоснабжения
|
|
|
0
|
0,1
|
0,2
|
|
Закрытая, смешанная схема включения ГВС
|
1,07
|
1,13
|
|
Открытая, параллельная схема включения ГВС
|
1
|
1,03
|
1,05
|
2) Значения коэффициента
: в непроходных каналах, при мокром грунте - 1,1 - 1,2;
) Теплоплотность района
, ГДж/ч/га: для одноэтажных домов -
0,65 - 0,85;
Норма амортизации на тепловую изоляцию
- 5%. Удельные капиталовложения в
отопительные устройства
- 100 тыс. р./(ГДж/ч).
Температура воды в подающем трубопроводе на входе отопительной
системы
- 70°C. Температура воды в обратном трубопроводе на выходе отопительной
системы
- 40°C.
Температура воды, поступающей в систему горячего водоснабжения,
- 60°C. Температура холодной воды
- 5°C. Теплоемкость воды
- 4,19 кДж/(кг·°С). Годовое число часов
использования отопительной нагрузки
- 2500 ч/год.
Годовое число часов использования нагрузки горячего водоснабжения
- 3500 ч/год. Перепад
значений давления, обеспечиваемый насосами,
- 500 кПа. Плотность воды
- 955 кг/м3.
КПД насосной установки
- 0,7. Стоимость электроэнергии
- 1,7 р./(кВт·ч). Стоимость тепловой энергии
- 250 р./ГДж. Годовые
потери тепла через трубопроводы тепловой сети
.
Штатный коэффициент по тепловым сетям
- 0,05 чел./(ГДж/ч). Затраты на оплату
труда эксплуатационного персонала
- 160 тыс. р./(чел.·год).
Прочие исходные данные по вариантам представлены в таблице 6.
Коэффициент
для нечетных - 0,2.
Таблица 6 Исходные данные по вариантам для расчета себестоимости
транспорта теплоносителя (R)
|
Номер варианта
|
Схема теплоснабжения*
|
Вид тепловой сети*
|
Вид застройки по числу этажей
|
, га
|
|
21
|
закрытая
|
в
|
1
|
10
|
* Схема теплоснабжения: открытая; закрытая. Вид
тепловой сети: а - в непроходных каналах, сухой грунт; б - в непроходных
каналах, мокрый грунт; в-бесканальная прокладка.
Порядок выполнения работы
Годовые амортизационные отчисления рассчитываются по формуле,
р./год
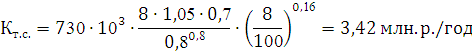
где Кт.с − капиталовложения в тепловые сети,
р.;
- капиталовложения в отопительные устройства, р.
За=0,05∙(
+0,67)=0,2 млн.р.,
Капиталовложения в тепловые сети вычисляются по выражению,
р./год
где
- расчетная тепловая нагрузка района,
ГДж/ч;
- коэффициент, учитывающий зависимость удельного расхода воды в
сети от схемы теплоснабжения и структуры нагрузки;
- коэффициент, зависящий от типа и условий прокладки сети;
- расчетная теплоплотность района энергоснабжения, ГДж/(ч·га).
Расчетная тепловая нагрузка района определяется по уравнению,
ГДж/ч
где
- площадь застройки, га.
Qч=q∙F=0,8∙10=8 ГДж/ч,
Капиталовложения в отопительные устройства рассчитываются по
формуле, р.
где
- удельные капиталовложения в
отопительные устройства, р./(ГДж/ч);
- расчетная отопительная нагрузка района, ГДж/ч.
Кот.у=k∙Qч.от.=100∙103∙6,7=0,67 млн.р.,
Расчетная отопительная нагрузка района рассчитывается по
выражению, ГДж/ч
где
- соотношение нагрузок на горячее
водоснабжение и отопление, вычисляемое по выражению
где
- нагрузка на горячее водоснабжение,
ГДж/ч, определяемая по формуле
Qч.ГВС= Qч −Qч.от.=8−6,7=1,3 ГДж/ч,
Затраты на ремонт принимаются в размере 18% от затрат на
амортизацию по формуле, р./год
Зр=0,18∙За=0,18∙0,2=0,036 млн.р.
Затраты на перекачку теплоносителя вычисляются по уравнению,
р./год
где
- расход воды на отопление и горячее
водоснабжение, кг/с;
- годовое число часов использования нагрузки на отопление и
горячее водоснабжение, ч/год;
- перепад значений давления, обеспечиваемый насосами, кПа;
- плотность воды, кг/м3;
- КПД насосной установки;
- тариф на электроэнергию, к./(кВт·ч).
Расход воды на отопление определяется по формуле, кг/с
где
- теплоемкость воды, кДж/(кг·°С);
- температура воды в подающем
трубопроводе на входе отопительной системы,°С;
- температура воды в обратном трубопроводе на выходе отопительной
системы, °С.
Расход воды на горячее водоснабжение вычисляется по
уравнению, кг/с
где
- температура воды, поступающей в систему
горячего водоснабжения, °С;
- температура холодной воды, °С.
Затраты на возмещение потерь тепла рассчитываются по формуле,
р./год
Зпот=Цт.э.∙Qпот=250∙0,04Qг=250∙0,04∙21300=0,213 млн.р./год,
где
- тариф на отпускаемую тепловую энергию
от энергоснабжающей организации, р./ГДж;
- величина потерь тепла при транспортировке, ГДж/год.
Зз.п.=n∙Qч∙Фз.п.=0.05∙8∙160=64
тыс. р./год,
где
- штатный коэффициент по тепловым сетям,
чел./(ГДж/ч);
- среднегодовой фонд заработной платы на
одного работника, р./(чел.·год).
Прочие затраты, принимаемые в размере 25% от суммы затрат на
амортизацию, ремонт и оплату труда, вычисляются по формуле, р./год
Зпр=0,25∙(За+Зр+Зз.п.)=0,25∙
(0,2+0,036+0,064)=0,075 млн. р./год
Суммарные затраты, относимые на себестоимость передачи
тепловой энергии, определяются по выражению, р./год
Зпер=За+Зр+Зп.т.+Зпот+Зз.п+Зпр=0,2+0,213+0,00054+0,064+0,075=0,553 млн. р./год.
Таким образом, себестоимость передачи 1 ГДж тепловой энергии
определится по уравнению, р./ГДж
где
- годовой объем транспортировки тепловой
энергии, ГДж/год, определяемый по формуле
Qг=Qч.от.∙hот+Qч.ГВС∙hГВС=6,7∙2500+1,3∙3500=21300 ГДж/год.
Вывод: Себестоимость передачи 1 ГДж тепловой энергии равна 26
р./ГДж.
Задание 6
1) Рассчитать значения минимального процента экономии тепла (
) в зависимости от числа часов
использования установленной мощности (
).
) Сделать выводы о влиянии числа часов использования установленной
мощности на значение минимального процента экономии тепла.
Исходные данные
Нормативный срок окупаемости капитальных вложений в энергетике
- 6,7 года. КПД нетто котельной
- 0,9. Амортизационные отчисления
- 8%. Число часов использования
установленной мощности
- 4000, 5000, 6000, 7000 ч/год.
Прочие исходные данные по вариантам представлены в таблице 7.
Таблица 7 Исходные данные по вариантам для расчета экономической
эффективности модернизации проточной части турбины
|
Номер варианта
|
Марка турбины
|
, млн р. , Гкал/ч , р./т у.т
|
|
|
|
21
|
Т-25
|
3,6
|
72
|
1900
|
Порядок выполнения работы
Годовая экономия условного топлива, достигаемая в результате
снижения расхода тепловой энергии на турбину, рассчитывается по формуле, т
у.т./год
,
где
- часовая экономия условного топлива, т
у.т./ч;
- число часов использования установленной мощности, ч/год;
- КПД нетто котельной;
- достигаемое снижение расхода тепла, %;
- часовой расход тепла на турбину при номинальной нагрузке,
Гкал/ч.
Годовая экономия затрат на топливо рассчитывается по
выражению, р./год:
,
где
- цена тонны условного топлива с учетом
транспортировки, р./т у.т.
Однако в связи с дополнительными капиталовложениями возрастут
и амортизационные отчисления на величину определяемую по выражению, р./год:
,
где
- амортизационные отчисления в долях
единицы.
Принимая постоянными другие составляющие ежегодных расходов
(например, заработную плату), условие экономической целесообразности проведения
модернизации турбины можно записать так:
,
где
- нормативный срок окупаемости
капиталовложений, год.
Минимальное значение процента экономии тепла определится по
формуле,
%
.
Вывод: По проведенным расчетам видно, что с увеличением числа
часов использования установленной мощности, минимальное значение процента
экономии тепла уменьшается и наоборот с уменьшением числа часов использования
установленной мощности, минимальное значение процента экономии тепла
увеличивается.
Заключение
По выполненной курсовой работе можно сделать следующие
выводы:
) Исходя из решенной задачи с увеличением числа часов
использования установленной мощности, увеличивается годовая экономия затрат на
топливо, но при этом уменьшается срок окупаемости дополнительных капитальных
вложений.
2) Исходя из решения задачи с увеличением толщины тепловой
изоляции, суммарные затраты увеличиваются.
3) Наиболее выгоден и эффективен метод экстенсивного
использования оборудования (коэффициент равен 0,73), чем метод интенсивного
использования оборудования (коэффициент равен 0,58).
4) Способ списания стоимости пропорционально объему
выпускаемой продукции и кумулятивный способ - самый выгодный в отличие от
регрессивного способа.
5) Себестоимость передачи 1 ГДж тепловой энергии равна 1472
р./ГДж.
6) По проведенным расчетам видно, что с увеличением числа
часов использования установленной мощности, минимальное значение процента
экономии тепла уменьшается и наоборот с уменьшением числа часов использования
установленной мощности, минимальное значение процента экономии тепла
увеличивается.
7) По результатам расчетов технико-экономических показателей
можно сказать, что данный проект целесообразен, т.к. ЧДД›0 ИД>1, срок
окупаемости 2,8 года.
) В результате расчетов видно, что перевод на
дифференцированный учет электроэнергии экономически выгоден, т.к. коэффициент
экономической эффективности капиталовложений выше нормативного.
Библиографический
список
1) Методические указания к выполнению
курсовой работы. [Текст]/ Кипчакбаева Э.Р. // - БГАУ. Уфа, 2009-24 с.
) Самсонов В.С. Экономика предприятий
энергетического комплекса. [Текст]/ Учеб. для вузов/В.С. Самсонов, М.А. Вяткин
// - М.: Высш. Шк., 2001-416 с.
) Водянников В.Т. Организационно -
экономические основы сельской электроэнергетики. [Текст]./ Водянников В.Т. //
Учебное пособие для вузов по агроинженерным специальностям. - М., ООО УМЦ
«Триада», 2002.
) Водянников В.Т. Экономическая оценка
энергетики АПК. [Текст]/ Водянников В.Т. // Учебное пособие для студентов
высших учебных заведений. - М.: ИКФ «ЭКМОС», 2002.
) Экономика и управление в энергетике:
Учеб. Пособие для студентов сред. проф. учеб. заведений. [Текст]/ Т.Ф. Басова,
Н.Н. Кожевников, Э.Г. Леонова и др.; под ред. Н.Н. Кожевникова. // - М.:
Издательский центр «Академия», - 2003, 384 с.
) Акимова Т.А., Хаскин В.В. Основы
экоразвития. [Текст]/ Акимова Т.А., Хаскин В.В. // Учебное пособие. - М.:
Издательство Российской экономической академии им. Г.В. Плеханова, 1994. - 312
с.
7) Энергетическая безопасность сродни независимости
государства, заявил президент Беларуси Александр Лукашенко http://naviny.by/rubrics/economic/2009/10/15/ic_news_113_319453/
8) Энергетическая безопасность глазами
Илларионова
http://lenta.ru/articles/2006/06/08/illarionov/
) На заседании Совбеза Дмитрий Медведев поручил
Правительству разработать Доктрину энергетической безопасности
энергоресурсов.http://www.infobio.ru/news/664.html
) Энергетика. Прохоров М.
http://www.mprokhorov.com/ru/words/commentary/
11) Проблемы российской энергетики, Андрей Шишкин
http://www.kapital-rus.ru/index.php/articles/article/177438
12) НОВАЯ ЭНЕРГЕТИКА
http://www.ural.so-ups.ru/newspapers/shownp.php? id=11