Определение коэффициента термического расширения (объёмного) жидкости
Министерство
образования и науки Российской Федерации
Федеральное
государственное бюджетное образовательное учреждение высшего профессионального
образования
Национальный
минерально-сырьевой университет «Горный»
Отчёт по
лабораторной работе
Название:
«Определение коэффициента термического расширения (объёмного) жидкости»
Санкт-Петербург,
2013
Цель работы:
) измерить изменение объема воды при нагреве ее
от 0°С
до 90°С;
) определить показатель коэффициента
термического расширения.
Основные теоретические данные
В работе используются: кварцевая колба объемом
0,5 л; измерительная трубка длиной 50 см; термостат.
В отличие от твердых тел, объем которых
изменяется при изменении температуры линейно в большом диапазоне температур, у
жидкостей эта зависимость имеет более сложный, нелинейный, характер, особенно
вблизи температур фазового перехода. Особенный интерес представляет поведение
воды в диапазоне температур 0¸10°С.
В данной работе исследуется изменение объема воды в диапазоне температур от 0°С
до 40¸90°С,
максимальная температура ограничена длиной измерительной трубки. Вода находится
в колбе из кварцевого стекла, коэффициент термического расширения которого
ничтожно мал, и им при выполнении данной работы можно пренебречь. Измерительная
трубка выбирается диаметром в несколько миллиметров, что позволяет пренебречь
силами поверхностного натяжения.
Колба с водой помещена в термостат, который
позволяет устанавливать температуру в интервале 20¸90°С,
т.е. выше температуры окружающего воздуха. Для проведения измерений в интервале
0¸20°С
термостат в начале работы заполняется смесью льда и воды, что обеспечивает
начальную температуру 0°С.
Коэффициент термического расширения - физическая
величина, характеризующая относительное изменение объёма или линейных размеров
тела с увеличение температуры на 1 К при постоянном давлении. Различают
коэффициенты объёмного и линейного расширения.
Фазовый переход в термодинамике - это переход
вещества из одной термодинамической фазы в другую при изменении внешних
условий.
Фазовые переходы в свою очередь делятся на
переходы первого и второго рода.
При фазовом переходе первого рода
скачкообразно изменяются самые главные, первичные параметры
<#"705196.files/image001.gif">
Рис. 1
термический расширение
переход род
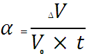
Основные формулы
Формула для вычисления среднего
коэффициента термического расширения воды (
):

, где 


- диаметр трубки, равный 6мм;

- начальная высота жидкости и
максимальная высота жидкости (при температуре t);

- начальный объем воды, принимается
равным 0,5 л;- температура, в °С,
соответствующая максимальной высоте столба жидкости;
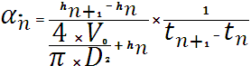
Коэффициент термического расширения
воды для n-интервала температур (в интервале 0¸15°С через 1°С,
в остальном интервале через 5°С).

где 
- коэффициент термического
расширения воды на n - интервале;

- высота столба воды в конце n -
интервала;

- высота столба воды в начале n -
интервала;

- температура воды в конце n -
интервала;

- температура воды в начале n -
интервала.
Таблица измерений и вычислений
|
Физ.
величина
|
Т
|
h
|
∆V
|
a
|
|
Ед.
измерений Номер опыта
|
оС
|
см
|
м3
|
оС-1
|
|
1
|
1
|
3.6
|
-5.65×10-8
|
-9.41×10-3
|
|
2
|
2
|
3.4
|
-5.65×10-8
|
-9.49×10-3
|
|
3
|
3
|
3.2
|
-5.65×10-8
|
-9.57×10-3
|
|
4
|
4
|
3.0
|
8.47×10-8
|
14.49×10-3
|
|
5
|
5
|
3.3
|
8.47×10-8
|
14.3×10-3
|
|
6
|
6
|
8.47×10-8
|
14.13×10-3
|
|
7
|
7
|
3.9
|
5.65×10-8
|
9.26×10-3
|
|
8
|
8
|
4.1
|
2.82×10-8
|
4.59×10-3
|
|
9
|
9
|
4.2
|
2.82×10-8
|
4.57×10-3
|
|
10
|
10
|
4.3
|
2.82×10-8
|
4.55×10-3
|
|
11
|
11
|
4.4
|
5.65×10-8
|
9.07×10-3
|
|
12
|
12
|
4.6
|
5.65×10-8
|
9×10-3
|
|
13
|
13
|
4.8
|
5.65×10-8
|
8.9×10-3
|
|
14
|
14
|
5.0
|
42.39×10-8
|
13.2×10-3
|
|
15
|
15
|
6.5
|
56.52×10-8
|
16.6×10-3
|
|
16
|
20
|
8.5
|
73.47×10-8
|
19.85×10-3
|
|
17
|
25
|
11.1
|
84.78×10-8
|
20.86×10-3
|
|
18
|
30
|
14.1
|
93.25×10-8
|
20.72×10-3
|
|
19
|
35
|
17.4
|
118.6×10-8
|
21.7×10-3
|
|
20
|
40
|
21.2
|
20.6×10-3
|
|
21
|
45
|
25.2
|
124.3×10-8
|
20.53×10-3
|
|
22
|
50
|
29.6
|
132.8×10-8
|
19.9×10-3
|
|
23
|
55
|
34.3
|
144.12×10-8
|
19.6×10-3
|
|
24
|
60
|
39.4
|
144.12×10-8
|
17.9×10-3
|
|
25
|
65
|
44.5
|
132.8×10-8
|
15.2×10-3
|
|
26
|
70
|
49.2
|
82.65×10-8
|
8.67×10-3
|
Примеры вычислений
= 0.36

= -9.41×10-3

Графики
Рис. 2
Рис. 3
Выводы
В проделанной мною лабораторной
работе наблюдалось изменение объёма воды при температуре от 0 до.
Также удалось получить средний
коэффициент термического (объёмного) расширения воды равный численно 0.36×10-3. Из графика 1
и 2 видно, что объём (1) и коэффициент термического расширения (2) изменяются
не линейно.
Список использованной литературы
1.
http://ru.wikipedia.org/wiki/
.
Физика. Методические указания к лабораторным работам (библиотечная литература).