Общая теория относительности Эйнштейна и альтернативные теории относительности

  • Вид работы:
    Реферат
  • Предмет:
    Физика
  • Язык:
    Русский
    ,
    Формат файла:
    MS Word
    134,46 Кб
  • Опубликовано:
    2013-10-13
Вы можете узнать стоимость помощи в написании студенческой работы.
Помощь в написании работы, которую точно примут!

Общая теория относительности Эйнштейна и альтернативные теории относительности

ФЕДЕРАЛЬНОЕ АГЕНТСТВО МОРСКОГО И РЕЧНОГО ТРАНСПОРТА РФ

ФЕДЕРАЛЬНОЕ ГОСУДАРСТВЕННОЕ ОБРАЗОВАТЕЛЬНОЕ УЧРЕЖДЕНИЕ ВЫСШЕГО ПРОФЕССИОНАЛЬНОГО ОБРАЗОВАНИЯ

«САНКТ-ПЕТЕРБУРГСКИЙ ГОСУДАРСТВЕННЫЙ УНИВЕРСИТЕТ ВОДНЫХ КОММУНИКАЦИЙ»

Кафедра физики






Реферат

по физике

на тему: “ОБЩАЯ ТЕОРИЯ ОТНОСИТЕЛЬНОСТИ ЭЙНШТЕЙНА И АЛЬТЕРНАТИВНЫЕ ТЕОРИИ ОТНОСИТЕЛЬНОСТИ”

Выполнил: Некрасов А.В.

Проверил: Сапрыкин Б.И., доцент.



Санкт - Петербург 2011 г.

СОДЕРЖАНИЕ

ВВЕДЕНИЕ

.        ОБЩАЯ ТЕОРИЯ ОТНОСИТЕЛЬНОСТИ ЭЙНШТЕЙНА (ОТО)

. История создания ОТО

. Принцип эквивалентности и геометризация тяготения

. Черные дыры

. Пульсар psr 1913+16 и гравитационные волны

. Гравитационные линзы и коричневые карлики

.        АЛЬТЕРНАТИВНЫЕ ТЕОРИИ ОТНОСИТЕЛЬНОСТИ

. Теория Эйнштейна - Картана

. Релятивистская теория гравитации

. Калибровочная теория гравитации

. Модифицированная ньютоновская динамика

. Несимметричная теория гравитации

. Теория струн

ЗАКЛЮЧЕНИЕ

ЛИТЕРАТУРА

ВВЕДЕНИЕ

Название “теория относительности” возникло из наименования основного принципа (постулата), положенного Пуанкаре и Эйнштейном в основу из всех теоретических построений новой теории пространства и времени.

Содержанием теории относительности является физическая теория пространства и времени, учитывающая существующую между ними взаимосвязь геометрического характера.

Название же “принцип относительности” или “постулат относительности”, возникло как отрицание представления об абсолютной неподвижной системе отсчета, связанной с неподвижным эфиром, вводившимся для объяснения оптических и электродинамических явлений.

Дело в том, что к началу двадцатого века у физиков, строивших теорию оптических и электромагнитных явлений по аналогии с теорией упругости, сложилось ложное представление о необходимости существования абсолютной неподвижной системы отсчета, связанной с электромагнитным эфиром. Зародилось, таким образом, представление об абсолютном движении относительно системы, связанной с эфиром, представление, противоречащее более ранним воззрениям классической механики (принцип относительности Галилея). Опыты Майкельсона и других физиков опровергли эту теорию “неподвижного эфира” и дали основание для формулировки противоположного утверждения, которое и получило название “принципа относительности”. Так это название вводится и обосновывается в первых работах Пуанкаре и Эйнштейна.

Но крупнейший советский теоретик Л. И. Мандельштам в своих лекциях по теории относительности разъяснял: “Название “принцип относительности” - одно из самых неудачных. Утверждается независимость явлений от неускоренного движения замкнутой системы. Это вводит в заблуждение многие умы”. На неудачность названия указывал и один из творцов теории относительности, раскрывший ее содержание в четырехмерной геометрической форме, - Герман Минковский. В 1908 г. он утверждал: “... термин “постулат относительности” для требования инвариантности по отношению к группе , кажется мне слишком бедным. Так как смысл постулата сводится к тому, что в явлениях нам дается только четырехмерный в пространстве и времени мир, но что проекции этого мира на пространство и на время могут быть взяты с некоторым произволом, мне хотелось бы этому утверждению дать название: постулат абсолютного мира”.

Таким образом, мы видим, что названия “принцип относительности” и “теория относительности” не отражают истинного содержания теории.

ОБЩАЯ ТЕОРИЯ ОТНОСИТЕЛЬНОСТИ ЭЙНШТЕЙНА (ОТО)

1.      История создания ОТО

Общая теория относительности (ОТО) - современная теория тяготения, связывающая его с кривизной четырехмерного пространства-времени.своем классическом варианте теория тяготения была создана Исааком Ньютоном еще в XVII веке и до сих пор верно служит человечеству. Она вполне достаточна для многих, если не для большинства задач современной астрономии, астрофизики, космонавтики. Между тем ее принципиальный внутренний недостаток был ясен еще самому Ньютону. Это теория с дальнодействием: в ней гравитационное действие одного тела на другое передается мгновенно, без запаздывания. Ньютоновская гравитация так же соотносится с общей теорией относительности, как закон Кулона с максвелловской электродинамикой. Дж.К. Максвеллу удалось изгнать дальнодействие из электродинамики. В гравитации это сделал Альберт Эйнштейн. В 1905 году А. Эйнштейн сформулировал специальную теорию относительности, которая завершила в идейном отношении развитие классической электродинамики. В статьях предшественников Эйнштейна Х.А. Лоренца и Ж.А. Пуанкаре содержались многие элементы специальной теории относительности, однако цельная картина физики больших скоростей появилась лишь в работе Эйнштейна.

Создание современной теории тяготения было немыслимо без специальной теории относительности, без глубокого понимания структуры классической электродинамики, без осознания единства пространства-времени. Очень велико для ОТО значение математики. Ее аппарат, тензорный анализ, или абсолютное дифференциальное исчисление, был развит Г. Риччи и Т. Леви-Чивита.

.        Принцип эквивалентности и геометризация тяготения

Г. Галилей установил: все тела движутся в поле тяжести (при отсутствии сопротивления среды) с одинаковым ускорением, траектории всех тел с заданной скоростью искривлены в гравитационном поле одинаково. Благодаря этому в свободно падающем лифте никакой эксперимент не может обнаружить гравитационное поле, иными словами, в свободно движущейся в гравитационном поле системе отсчета в малой области пространства-времени гравитации нет. Последнее утверждение - это одна из формулировок принципа эквивалентности.

Данное свойство поля тяготения отнюдь не тривиально. В случае электромагнитного поля ситуация совершенно иная. Существуют, например, незаряженные нейтральные тела, которые электромагнитного поля вообще не чувствуют. Так вот, гравитационно-нейтральных тел нет, не существует ни линеек, ни часов, которые не чувствовали бы гравитационного поля. Любой эталон прямой, например луч света, не обладает в поле тяготения свойствами прямой линии. Нет объектов, которые в этом поле можно было бы отождествить с прямыми, как в евклидовой геометрии. Поэтому геометрию нашего пространства естественно считать неевклидовой.

Некоторое представление о свойствах такого пространства можно получить на простейшем примере сферы, поверхности обычного глобуса. Рассмотрим на ней сферический треугольник, фигуру, ограниченную дугами большого круга. (Дуга большого круга, соединяющая две точки на сфере, - это кратчайшее расстояние между ними; она представляет собой естественный аналог прямой на плоскости.) Выберем в качестве этих дуг участки меридианов, отличающихся на 90° по долготе, и экватора (рис. 1). Сумма углов этого сферического треугольника не равна π - сумме углов треугольника на плоскости:

α+β+γ =1,5π. (1)

Превышение суммы углов данного треугольника над π может быть выражено через его площадь S и радиус сферы R:

α+β+γ-π =S/R2. (2)

Это соотношение справедливо для любого сферического треугольника. Обычный случай треугольника на плоскости также вытекает из этого равенства: плоскость можно рассматривать как сферу с R→∞. Если переписать формулу (2) иначе:

=1/R2=[α+β+γ-π]/S, (3)

то видно, что радиус сферы можно определить, оставаясь на ней, не обращаясь к трехмерному пространству, в которое она погружена. Для этого достаточно измерить площадь сферического треугольника и сумму его углов. Иными словами, R или K являются внутренней характеристикой сферы. Величину K принято называть гауссовой кривизной, она естественным образом обобщается на произвольную гладкую поверхность:

K(x)=limS→∞[α+β+γ-π]/S. (4)

Здесь углы и площадь относятся к малому треугольнику на поверхности, ограниченному линиями кратчайших расстояний на ней, а кривизна, вообще говоря, меняется от точки к точке, то есть является величиной локальной. В общем случае, так же как и для сферы, параметр K служит внутренней характеристикой поверхности, не зависящей от ее погружения в трехмерное пространство. Гауссова кривизна не меняется при изгибании поверхности без ее разрыва и растяжения. Так, например, конус или цилиндр можно разогнуть в плоскость, и поэтому для них, так же как для плоскости, K=0.

Рис. 1. Сферический треугольник

Если взять на полюсе (рис. 1) вектор, направленный вдоль одного из меридианов, перенести его вдоль этого меридиана, не меняя угла между ними (в данном случае нулевого), на экватор, далее, перенести его вдоль экватора, снова не меняя угла между ними (на сей раз π/2), на второй меридиан, наконец таким же образом вернуться вдоль второго меридиана на полюс, то в отличие от такого же переноса по замкнутому контуру на плоскости вектор окажется повернутым относительно своего исходного направления на π/2 или на

α+β+γ-π =KS. (5)

Этот результат - поворот вектора при его переносе вдоль замкнутого контура на угол, пропорциональный охваченной площади, - естественным образом обобщается не только на произвольную двумерную поверхность, но и на многомерные неевклидовы пространства. Однако в общем случае n-мерного пространства кривизна не сводится к одной скалярной величине K(x) . Это более сложный геометрический объект, имеющий n2(n2-1)/12 компонент. Его называют тензором кривизны или тензором Римана, а сами эти пространства - римановыми. В четырехмерном римановом пространстве-времени общей теории относительности тензор кривизны имеет 20 компонент.

3.      Черные дыры

Роль ОТО отнюдь не сводится к исследованию малых поправок к обычной ньютоновской гравитации. Существуют объекты, называемые черными дырами, в которых эффекты ОТО играют ключевую роль. Это компактные звезды.

Еще в XVIII веке Дж. Митчел и П.С. Лаплас независимо заметили, что могут существовать звезды, обладающие необычным свойством: свет не может покинуть их поверхность. Рассуждение выглядело примерно так. Тело, обладающее радиальной скоростью V , может покинуть поверхность звезды радиуса R и массы M при условии, что кинетическая энергия этого тела mV2/2 превышает энергию притяжения GMm/R, то есть при V2>2GM/R. Применение последнего неравенства к свету (что совершенно необоснованно) приводит к выводу: если радиус звезды массы M меньше чем rg,

(6)

то свет не может покинуть ее поверхность: такая звезда не светит! Последовательное применение ОТО приводит к такому же выводу, причем, что поразительно, правильный критерий количественно совпадает с наивным, необоснованным. Черная дыра - вполне естественное название для такого объекта. Свойства его весьма необычны. Черная дыра возникает, когда звезда сжимается настолько сильно, что усиливающееся гравитационное поле не выпускает во внешнее пространство ничего, даже свет. Поэтому из черной дыры не выходит никакая информация.

При падении пробного тела на черную дыру по часам бесконечно удаленного наблюдателя оно будет достигать гравитационного радиуса бесконечно долго. Однако по часам, установленным на самом пробном теле, время этого путешествия вполне конечно.

Многочисленные результаты астрономических наблюдений дают серьезные основания полагать, что черные дыры - это не просто игра ума физиков-теоретиков, а реальные объекты, существующие, по крайней мере, в ядрах галактик. Подробнее о проблемах, связанных с черными дырами, можно узнать из статей А.М. Черепащука "Черные дыры в двойных звездных системах" и Д.А. Киржница "Горячие черные дыры" в этом томе.

.        Пульсар psr 1913+16 и гравитационные волны

Нобелевская премия по физике за 1993 год была присуждена Р.А. Халсу и Дж.Г. Тейлору за исследование пульсара PSR 1913+16 (PSR означает пульсар, а цифры относятся к координатам на небесной сфере: прямое восхождение 19h13m, склонение 16°). Исследование свойств излучения этого пульсара показало, что он является компонентой двойной звезды, иными словами, у него есть компаньон и обе звезды вращаются вокруг общего центра масс. Расстояние между пульсаром и его компаньоном составляет всего 1,8·109 м. Если бы невидимый компаньон был обычной звездой с характерным радиусом ~109 м, то наблюдались бы, очевидно, затмения пульсара. Однако ничего подобного не происходит. Подробный анализ наблюдений показал, что невидимая компонента - это не что иное, как нейтронная звезда. Иными словами, система PSR 1913+16 состоит из двух нейтронных звезд, одна из которых имеет сильное ( ~1012 Гс) магнитное поле, то есть является пульсаром.

Существование нейтронных звезд было предсказано теоретически еще в 30-е годы. Они образуются в результате бурного гравитационного сжатия массивных звезд, сопровождающегося взрывом сверхновых. После взрыва давление в оставшемся ядре массивной звезды продолжает нарастать, электроны с протонами сливаются (с испусканием нейтрино) в нейтроны. Образуется очень плотная звезда с массой, несколько большей массы Солнца, но очень малого размера, порядка 10-15 километров, не превышающего размер астероида. Наблюдение нейтронных звезд уже само по себе является выдающимся открытием. Кроме того, тщательное исследование движения двойной звезды PSR 1913+16 дало новое подтверждение предсказания ОТО, касающегося незамкнутости эллиптических орбит. Поскольку гравитационные поля в данной системе очень велики, периастр орбиты вращается несравненно быстрее, чем перигелий орбиты Меркурия, он поворачивается на 4°,2 в год. Изучение этого и других эффектов позволило также определить с высокой точностью массу пульсара и нейтронной звезды. Они равны соответственно 1,442 и 1,386Mʘ.

В 1918 году Эйнштейн предсказал на основе ОТО существование гравитационного излучения. Хорошо известно, что электрически заряженные частицы, будучи ускоренными, излучают электромагнитные волны. Аналогично, массивные тела, двигаясь с ускорением, излучают гравитационные волны - рябь геометрии пространства, распространяющуюся тоже со скоростью света. Аналогия эта неполна (впрочем, как практически и всякая иная). Одно из отличий между электромагнитными и гравитационными волнами, имеющее довольно существенный характер, состоит в следующем. В отличие от случая электромагнитного поля плотность энергии гравитационного поля, гравитационной волны локальна: в данной точке ее всегда можно обратить в нуль выбором соответствующей системы координат. Лет 60-70 назад это обстоятельство рассматривалось как серьезная трудность теории. Затем, однако, смысл его был прояснен и проблема снята. В последние годы вновь появились утверждения о том, что возможность обращения в нуль локальной плотности энергии гравитационного поля является коренным, принципиальным дефектом ОТО.

На самом же деле ничего страшного в этом нет. Данный вывод является прямым следствием принципа эквивалентности. Действительно, при переходе в систему, связанную со свободно падающим лифтом, обращается в нуль напряженность гравитационного поля. Естественно, что в этой системе равна нулю и плотность энергии гравитационного поля. (Это соображение принадлежит С.И. Литерату, учителю средней школы 130 г. Новосибирска.)

Отсюда, однако, отнюдь не следует, что гравитационные волны - всего лишь игра ума, математическая абстракция. Это в принципе наблюдаемое физическое явление. Так, например, стержень, находящийся в поле гравитационной волны, испытывает деформации, меняющиеся с ее частотой. Оговорка "в принципе" отнюдь не случайна: масса любого объекта на Земле настолько мала, а движение его столь медленно, что генерация гравитационного излучения в земных условиях совершенно ничтожна, не видно сколько-нибудь реального способа зарегистрировать такое излучение. Существует ряд проектов создания детекторов гравитационного излучения от космических объектов. Однако и здесь реальных результатов до сих пор нет.

Хотя плотность энергии гравитационного поля в любой точке можно по своему желанию обратить в нуль выбором подходящей системы координат, полная энергия этого поля во всем объеме, полный его импульс имеют реальный физический смысл (конечно, если поле достаточно быстро убывает на бесконечности). Столь же наблюдаемой, хорошо определенной величиной является и потеря энергии системой за счет гравитационного излучения.

Все это имеет прямое отношение к пульсару PSR 1913+16. Эта система также должна излучать гравитационные волны. Их энергия в данном случае огромна, она сравнима с полной энергией излучения Солнца. Но даже этого недостаточно, чтобы непосредственно зарегистрировать эти волны на Земле. Энергия гравитационных волн может черпаться здесь только из энергии орбитального движения звезд. Ее уменьшение приводит к уменьшению расстояния между звездами. Тщательные измерения импульсов радиоизлучения от пульсара PSR 1913+16 показали, что расстояние между компонентами этой двойной звезды уменьшается на несколько метров в год в полном согласии с предсказанием ОТО. Потеря энергии двойной звездой за счет гравитационного излучения была впервые рассчитана советскими физиками-теоретиками Л.Д. Ландау и Е.М. Лифшицем.

5.      Гравитационные линзы и коричневые карлики

И наконец, сюжет, еще более свежий, чем пульсар PSR 1913+16. Он тесно связан, однако, с идеей, возникшей еще на заре ОТО. В 1919 году Эддингтон и Лодж независимо заметили, что, поскольку звезда отклоняет световые лучи, она может рассматриваться как своеобразная гравитационная линза. Такая линза смещает видимое изображение звезды-источника по отношению к ее истинному положению.



Первая наивная оценка может привести к выводу о полной безнадежности наблюдения эффекта. Из простых соображений размерности можно было бы заключить, что изображение окажется сдвинутым на угол порядка rg /d, где rg - гравитационный радиус линзы, а d - характерное расстояние в задаче. Даже если взять в качестве линзы скопление, состоящее из 104 звезд, а для расстояния принять оценку d~10 световых лет, то и тогда этот угол составил бы всего 10-10 радиан. Разрешение подобных углов практически невозможно.

 (8)

Однако такая наивная оценка просто неверна. Это следует, в частности, из исследования простейшего случая соосного расположения источника S, линзы L и наблюдателя O (рис. 2). Задача эта была рассмотрена в 1924 году Хвольсоном (профессор Петербургского университета, автор пятитомного курса физики, широко известного в начале века) и спустя 12 лет Эйнштейном. Обратимся к ней и мы. Ясно, что для всякого расстояния d1 между источником и линзой, d - между линзой и наблюдателем для любого гравитационного радиуса rg линзы (звезды или скопления звезд) найдется такое минимальное расстояние ρ между лучом из источника и линзой, при котором этот луч попадает в приемник. При этом изображения источника заполняют окружность, которую наблюдатель видит под углом φ Углы φ и θ1 малы, так что φ=h/d,φ1=h/d а, кроме того, h=ρ Отсюда легко находим

С другой стороны, для θ справедлива, очевидно, формула (8). Таким образом,

И наконец, интересующий нас угол составляет

(9)


Таким образом, правильный порядок величины угловых размеров изображения не rg /d, а √rg/d (мы считаем здесь, что все расстояния по порядку величины одинаковы). Он оказался намного больше первой, наивной, оценки, и это радикально меняет ситуацию с возможностью наблюдения эффектов гравитационных линз.

Изображение источника в виде окружности (ее принято называть кольцом Эйнштейна), создаваемое гравитационной линзой при аксиально-симметричном расположении, реально наблюдалось. Сейчас известно несколько источников в радиодиапазоне, которые выглядят именно так, кольцеобразно.

Если, однако, гравитационная линза не лежит на прямой, соединяющей источник с наблюдателем, картина оказывается иной. В случае сферически-симметричной линзы возникают два изображения (рис. 3), одно из которых лежит внутри кольца Эйнштейна, соответствующего осесимметричной картине, а другое - снаружи. Подобные изображения также наблюдались, они выглядят как двойные квазары, как квазары-близнецы. Если источник движется, то перемещаются и оба изображения. Пока яркости обоих сравнимы с яркостью источника, для оценки углового расстояния между ними можно по-прежнему использовать выражение (10). Если масса звезды, действующей в качестве линзы, невелика, скажем на два - три порядка величины меньше массы Солнца, то разрешить такой угол между изображениями, ~0,001", практически немыслимо. Тем не менее обнаружить подобное явление можно. Дело в том, что при сближении изображений их суммарная яркость растет. Явление это, так называемое микролинзирование, имеет достаточно специфический характер: рост яркости и ее последующее падение происходят симметрично во времени, причем изменение яркости происходит одинаково на всех длинах волн (угол отклонения (10) не зависит от длины волны).

Поиски микролинзирования, которые велись на протяжении нескольких лет двумя группами астрономов, австралийско-американской и французской, не просто привели к обнаружению эффекта. Таким образом был открыт новый класс небесных тел: слабосветящиеся карликовые звезды, так называемые коричневые карлики, именно они играют роль микролинз. Все это произошло совсем недавно. Если еще в январе 1994 года было известно лишь два - три подобных события, то в настоящее время они уже исчисляются десятками. Поистине первоклассное открытие в астрономии.

АЛЬТЕРНАТИВНЫЕ ТЕОРИИ ОТНОСИТЕЛЬНОСТИ

Альтернативными теориями гравитации (или альтернативными теориями относительности) принято называть теории гравитации, существующие как альтернативы общей теории относительности (ОТО) или существенно (количественно или принципиально) модифицирующие ее. К альтернативным теориям гравитации часто относят вообще любые теории, не совпадающие с общей теории относительности хотя бы в деталях или как-то обобщающие её. Тем не менее, нередко теории гравитации, особенно квантовые, совпадающие с общей теорией относительности в низкоэнергетическом пределе, «альтернативными» не называют.

В физике XVII-XIX столетий доминирующей теорией гравитации была теория Ньютона. В настоящее время большинство физиков основной теорией гравитации считают общую теорию относительности (ОТО), поскольку весь существующий массив экспериментов и наблюдений согласуется с ней (см. Тесты общей теории относительности). Однако ОТО имеет ряд существенных проблем, что приводит к попыткам модификации ОТО или к представлению новых теорий. Современные теории гравитации можно разбить на следующие основные классы:

.        Метрические теории. Сюда относятся ОТО, релятивистская теория гравитации (РТГ) Логунова, и другие.

.        Неметрические теории наподобие теории Эйнштейна-Картана.

.        Векторные теории.

.        Скалярно-тензорные теории. Такова, в частности, теория Йордана-Бранса-Дике.

.        Теории, альтернативные классической теории Ньютона. Известными теориями являются гравитация Ле-Сажа и модифицированная ньютоновская динамика (МОНД).

.        Теории квантовой гравитации, представленные целой серией разновидностей.

.        Теории объединения различных физических взаимодействий. Здесь можно указать теорию супергравитации и теорию струн.

В своём реферате я приведу несколько основных альтернативных теорий относительности.

.        Теория Эйнштейна - Картана

Теория Эйнштейна - Картана (ЭК) была разработана как расширение общей теории относительности, внутренне включающее в себя описание воздействия на пространство-время кроме энергии-импульса также и спина материальных полей. В теории ЭК вводится аффинное кручение, а вместо псевдоримановой геометрии для пространства-времени используется геометрия Римана - Картана. В результате от метрической теории переходят к аффинной теории пространства-времени. Результирующие уравнения для описания пространства-времени распадаются на два класса. Один из них аналогичен общей теории относительности, с тем отличием, что в тензор кривизны включены компоненты с аффинным кручением. Второй класс уравнений задаёт связь тензора кручения и тензора спина материи и излучения. Получаемые поправки к общей теории относительности в условиях современной Вселенной настолько малы, что пока не видно даже гипотетических путей для их измерения.

Теория Картана стоит особняком среди альтернативных теорий гравитации как потому, что она неметрическая, так и потому, что она очень старая. Состояние теории Картана неясно. Уилл (1986) утверждает, что все неметрические теории противоречат Эйнштейновскому принципу эквивалентности (ЭПЭ), и поэтому должны быть отброшены. В одной из последующих работ Уилл (2001) смягчает это утверждение, разъясняя экспериментальные критерии тестирования неметрических теорий на удовлетворение ЭПЭ. Мизнер, Торн и Уилер (1973) утверждают, что теория Картана является единственной неметрической теорией, проходящей все экспериментальные тесты, а Турышев (2007) приводит эту теорию в списке удовлетворяющих всем текущим экспериментальным ограничениям.

Картан (1922, 1923) предложил простое обобщение теории гравитации Эйнштейна, введя модель пространства-времени с метрическим тензором и линейной связностью, ассоциированной с метрикой, но не обязательно симметричной. Антисимметричная часть связности - тензор кручения - связывается в этой теории с плотностью внутреннего момента импульса (спина) материи. Независимо от Картана, похожие идеи развивали Скиама, Киббл и Хейл в промежутке от 1958 до 1966 года.

Исходно теория была развита в формализме дифференциальных форм, но здесь она будет изложена на тензорном языке. Лагранжева плотность гравитации в этой теории формально совпадает с таковой ОТО и равняется скаляру кривизны:


однако введение кручения модифицирует связность, которая теперь не равняется символам Кристоффеля, а равна их сумме с тензором конторсии


где  - антисимметричная часть линейной связности - кручение. Предполагается, что линейная связность является метрической, что снижает количество степеней свободы, присущих неметрическим теориям. Уравнения движения этой теории включают 10 уравнений для тензора энергии-импульса, 24 уравнения для канонического тензора спина и уравнения движения материальных негравитационных полей:


Где

- метрический тензор энергии-импульса материи,  - канонический тензор спина,

, а  - след тензора кручения.

Кривизна пространства-времени при этом - не риманова, но на римановом пространстве-времени лагранжиан сводится к лагранжиану ОТО. Эффекты неметричности в данной теории являются настолько малыми, что ими можно пренебречь даже в нейтронных звёздах. Единственной областью сильных расхождений оказывается, возможно, очень ранняя Вселенная. Привлекательной чертой этой теории (и её модификаций) является возможность получения несингулярных решений типа «отскока» для Большого Взрыва.

2.      Релятивистская теория гравитации

Релятиви́стская тео́рия гравита́ции (РТГ) - теория гравитации, основанная на представлении гравитационного поля как симметричного тензорного физического поля валентности 2 в пространстве Минковского. Разрабатывается академиком РАН А. А. Логуновым с группой сотрудников. Теория в целом практически неизвестна и не цитируется за пределами русскоязычной группы Логунова, а также подверглась существенной критике.

Отличия от общей теории относительности

В ряде работ авторы теории утверждают, что РТГ имеет следующие отличия от общей теории относительности (ОТО):

.        Гравитация есть не геометрическое поле, а реальное физическое силовое поле, описываемое тензором.

.        Гравитационные явления следует рассматривать в рамках плоского пространства Минковского, в котором однозначно выполняются законы сохранения энергии-импульса и момента количества движения. Тогда движение тел в пространстве Минковского эквивалентно движению этих тел в эффективном римановом пространстве.

В тензорных уравнениях для определения метрики следует учитывать массу гравитона, а также использовать калибровочные условия, связанные с метрикой пространства Минковского. Это не позволяет уничтожить гравитационное поле даже локально выбором какой-то подходящей системы отсчёта.

Как и в ОТО, в РТГ под веществом понимаются все формы материи (включая и электромагнитное поле), за исключением самого гравитационного поля. Однако плотность лагранжиана гравитационного поля Lg в ней зависит как от метрического тензора γik, так и от гравитационного поля φik, чем она и отличается от ОТО, в которой плотность лагранжиана зависит лишь от метрического тензора риманова пространства gik. Следствия из теории РТГ, по утверждениям создателей, таковы: чёрных дыр как физических объектов, предсказываемых в ОТО, не существует; Вселенная - пространственно плоская, однородная, изотропная, неподвижная; во Вселенной (если понимать под ней лишь материю Вселенной, но не математические, то есть идеальные и абстрактные, объекты) сингулярностей не существует. Существуют явления, для которых закономерности, предсказываемые ОТО и РТГ, которые возможно наблюдать или измерять в эксперименте при существующем уровне техники, сходны, и есть такие, для которых они резко различны. К сходным можно отнести величины замедления течения времени в слабых гравитационных и акселерационных полях, отклонение луча света вблизи массивного тела и др. К резко различным можно отнести характер гравитационных волн: в ОТО они поперечные квадрупольные, в РТГ они продольные (как предполагают, именно поэтому поиск волн по ОТО и не увенчался сколько-нибудь однозначным успехом; по РТГ же их никто пока и не искал).

3.      Калибровочная теория гравитации

Калибровочная инвариаантность - инвариантность прогнозов теории относительно (локальных) калибровочных преобразований. Требование калибровочной инвариантности - одно из ключевых положений физики элементарных частиц. Именно через калибровочную инвариантность удается самосогласованным образом описать в Стандартной модели электромагнитное, слабое и сильное взаимодействия.

Упрощённо основную идею калибровочной инвариантности можно пояснить следующим образом. Основная характеристика, описывающая физическую систему в квантовой механике, - волновая функция - есть величина комплексная. Однако, все наблюдаемые величины, которые строятся как билинейные комбинации волновых функций, оказываются вещественными (как и должно быть - ведь в нашем осязаемом мире все величины вещественны). В результате получается, что ничего в предсказаниях теории не изменится, если волновые функции умножаются на комплексное число, равное по модулю единице (сопряжённая функция умножается, соответственно, на сопряжённое комплексное число). Это вполне естественно: абсолютное значение фазы комплексного числа - вещь произвольная и не должно влиять на предсказания теории. Таким образом, квантовая механика инвариантна относительно глобальных фазовых вращений, иначе называемых глобальными калибровочными преобразованиями.

Идея калибровочной инвариантности

А инвариантна ли квантовая механика относительно локальных фазовых вращений (локальных калибровочных преобразований)? Иными словами, изменится ли что-либо, если волновую функцию в одной точке мы провернём на одну фазу, а в другой точке - на другую? Да, изменится. В частности, очевидно изменится, причём почти произвольным образом, правая часть уравнения Шрёдингера, а значит и эволюция системы во времени. То есть квантовая механика свободной частицы оказывается неинвариантной относительно локальных фазовых вращений.

Можно ли восстановить инвариатность? Да, можно. Однако для этого надо ввести новое физическое поле, которое «чувствует» то внутреннее пространство, в котором мы производим фазовые вращения. В результате, при локальных фазовых вращениях у нас преобразуются как волновые функции, так и новое поле, причём так, что изменения в уравнениях за счёт них компенсируют, «калибруют» друг друга. То есть квантовая механика с дополнительным новым полем стала калибровочно инвариантна.

Если теперь изучить свойства нового поля, то оно будет напоминать электромагнитное поле, которое мы наблюдаем в нашем мире. В частности, взаимодействие этого поля с веществом как раз совпадает с электромагнитным. Поэтому вполне естественно при построении теории отождествить эти два поля.

Итак, требование калибровочной инвариантности оказалось неожиданно удобным способом ввести в теорию и электромагнитное поле. Его не пришлось рассматривать отдельно, оно появилось в теории почти «само».

Калибровочные поля как основа Стандартной Модели

Абсолютно аналогично можно ввести и калибровочные преобразования более сложного вида, отвечающие за инвариантность в некотором более сложном пространстве внутренних степеней свободы. Так, например, инвариантность относительно вращений кварков в цветовом пространстве приводит к тому, что сильные взаимодействия тоже можно описать как калибровочные поля. Слабые взаимодействия отдельно описать как калибровочные не получается, однако существует неожиданно изящный метод описания электромагнитного и слабого взаимодействий одновременно как двух разных проявлений некоторого калибровочного электрослабого поля.

Таким образом, получается, что все фундаментальные взаимодействия выводятся на основании калибровочной инвариантности. С точки зрения построения физической теории, это крайне экономная и удачная схема.

Особняком стоит гравитационное взаимодействие. Оно также оказывается калибровочным полем, причём общая теория относительности как раз и является калибровочной теорией гравитационного взаимодействия. Однако она формулируется, во-первых, не на квантовом уровне, и до сих пор непонятно, как именно проквантовать её, а во-вторых, пространством, в котором мы производим вращения, является наше привычное четырёхмерное пространство-время, а не внутреннее пространство симметрии взаимодействия.

.        Модифицированная ньютоновская динамика

В физике, Модифицированная ньютоновская динамика (MOND) - гипотеза, предлагающая изменение в законе тяготения Ньютона, объясняющее вращение галактик. Когда постоянная скорость обращения галактик была впервые обнаружена, это было неожиданно, так как ньютоновская теория гравитации предсказывает, что чем дальше объект, тем меньше его скорость. Например, для орбит планет солнечной системы скорость убывает с увеличением расстояния до Солнца. MOND была предложена Мордехаем Милгромом (англ. Mordehai Milgrom) в 1983, для того чтобы смоделировать наблюдаемые постоянные скорости вращения. Милгром заметил, что ньютоновская сила гравитации подтверждена только для больших ускорений, и предположил, что для малых ускорений может не работать. MOND теория устанавливает, что ускорение зависит нелинейно от массы для малых ускорений.

Наблюдения скорости вращения спиральных галактик начались в 1978 году. В начале 1980-х было ясно, что галактики не демонстрируют ту же картину снижения орбитальной скорости с увеличением расстояния от центра масс, которая наблюдается в солнечной системе. Спиральная галактика состоит из утолщения из звёзд в центре и огромного диска из звезд, вращающихся вокруг центральной группы. Если орбиты звезды подчиняются исключительно силе тяготения и наблюдаемого распределения обычного вещества, предполагалось, что звезды на внешнем крае диска будут иметь значительно более низкую орбитальную скорость, чем звёзды в середине. В наблюдаемых галактиках эта закономерность не прослеживается. Звезды около внешнего края вращаются вокруг центра галактики с той же скоростью, что и звезды ближе к середине.

Рисунок 1 - Ожидаемая (A) и наблюдаемая (B) скорость звёзд, как функция расстояния от центра галактики.

Пунктирной кривой на Рис.1, слева показана предсказанная орбитальная скорость, как функция расстояния от центра галактики без учёта MOND и темной материи. Сплошной кривой B показано, наблюдаемое распределение. Вместо того, чтобы снизиться асимптотически до нуля, эта кривая, с ослабеванием действия гравитации, остаётся плоской, показывая одинаковую скорость при увеличении расстояния от центра. Астрономы называют это явление «уплощение кривых вращения галактик».

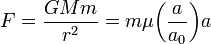
В 1983 году, Мордехай Милгром, физик из Вейцмановского Института в Израиле, опубликовали три статьи в Astrophysical Journal с предложением внести изменения в Закон всемирного тяготения Ньютона. На самом деле, Милгром предоставил несколько интерпретаций его предложению, одна из них является модификацией Второго закона движения Ньютона. Однако, это предлагаемое толкование противоречит закону сохранения импульса и требует некоторых нетрадиционных физических допущений, чтобы добиться правдоподобия. Вторая интерпретация, как изменение закона гравитации, требует, чтобы ускорение за счет силы тяжести зависело не просто от массы m, а от m/μ(a/a0), где μ - некоторая функция, величина которой стремится к единице для больших аргументов и к a/a0 для малых аргументов, a - ускорение, обусловленное силой тяжести, а a0 является константой, a0 ≈ 10−10 m/с2.

Центростремительное ускорение звезд и газовых облаков на окраине спиральных галактик, как правило, будет ниже a0. Точная форма µ не указана, только его поведение, когда аргумент a/a0 малый или большой. Как Милгром доказал в своих статьях, форма µ не меняет большинство следствий из теории, таких как уплощение кривых вращения.

В повседневном мире, a гораздо больше, чем a0 для всех физических эффектов, поэтому µ(a/a0)=1 и F=ma как обычно. Следовательно, изменения в законе всемирного тяготения Ньютона являются незначительными, и Ньютон не мог их видеть.

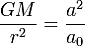
Вдалеке от центра галактики, сила тяготения движения звезд равна, с хорошим приближением:


где G - гравитационная постоянная, М - масса галактики, m - масса звезды, а r - расстояние между центром и звездой. Используя новый закон динамики получаем:


Исключая m получаем:


Предполагаем, что при большом расстоянии r, a меньше, чем a0,


Так как уравнение, которое связывает скорость с ускорением для круговой орбиты - , то получаем:


Следовательно, скорость звезд на круговой орбите далеко от центра является постоянной и не зависит от расстояния r: кривая вращения является плоской.

В то же время, существует четкая взаимосвязь между скоростью и постоянной a0. Уравнение v=(Gmа0)1/4 позволяет рассчитать a0 из наблюдаемых v и М. Милгром вывел -a0=1.2×10-10 ms-2.

Чтобы объяснить значение этой константы, Милгром сказал: «… Это приблизительно то ускорение, которое нужно объекту, чтобы разогнаться от состояния покоя до скорости света за время существования вселенной. Также оно близко к недавно обнаруженному ускорению вселенной».

Тем не менее, воздействие от предполагаемого значения a>>a0 на физические процессы на Землю остается в силе. Если бы a0 было больше, последствия этого были бы видны на Земле, и, поскольку это не так, новая теория была бы противоречивой.стоит особняком от широко распространённых теорий тёмной материи. Теория тёмной материи предполагает наличие в каждой галактике не определённого ещё типа материи, что обеспечивает распределение массы, отличное от наблюдаемого для обычного вещества. Эта тёмная материя изменяет гравитацию в случае однородных скоростей вращения.

. Несимметричная теория гравитации

Несимметричная теория гравитации (НТГ) Джона Моффата представляет собой вариант классической теории гравитации, который предлагает объяснение загадке темной материи. В общей теории относительности гравитационное поле характеризуется симметричным тензором ранга 2, известным как метрический тензор. Возможность обобщения метрического тензора рассматривалась многими, в том числе Эйнштейном. В общем случае (произвольный несимметричный) тензор всегда можно разложить на симметричную и антисимметричную части. Так как электромагнитное поле характеризуется антисимметричным тензором ранга 2, то существует очевидная возможность для построения единой теории в виде несимметричного тензора, состоящего из симметричной части, представляющей гравитацию, и антисимметричной части, представляющей электромагнетизм. Исследования в этом направлении в конечном счете оказались безуспешными - желаемой классической единой теории поля не было найдено.

В 1979 году Моффат заметил, что антисимметричная часть обобщенного метрического тензора не обязательно должна представлять электромагнетизм; она может представлять собой некий новый гипотетический вид взаимодействия. Позднее, в 1995 году, Моффат отметил, что поле, соответствующее антисимметричной части, не обязательно должно быть безмассовым, как это имеет место в случае с электромагнитным (а также гравитационным) взаимодействием.

В своем первоначальном виде теория может быть нестабильной, хотя это было показано только для линеаризованного варианта теории.

В приближении слабого поля, когда взаимодействие между полями не принимается во внимание, НТГ характеризуется симметричным тензорным полем ранга 2, антисимметричным тензорным полем, а также константой, характеризующей массу антисимметричного тензорного поля. Было найдено, что антисимметричное тензорное поле должно удовлетворять уравнениям Максвелла-Прока для массивного антисимметричного тензорного поля. Это привело Моффата к предложению Метрической-Кососимметрично-Тензорной теории гравитации, в которой кососимметрическое тензорное поле постулируется как часть гравитационного действия.

6. Теория струн

Теория струн - направление математической физики, изучающее динамику и взаимодействия не точечных частиц, а одномерных протяжённых объектов, так называемых квантовых струн. Теория струн сочетает в себе идеи квантовой механики и теории относительности, поэтому на её основе, возможно, будет построена будущая теория квантовой гравитации.

Теория струн основана на гипотезе, что все элементарные частицы и их фундаментальные взаимодействия возникают в результате колебаний и взаимодействий ультрамикроскопических квантовых струн на масштабах порядка планковской длины 10−35 м. Данный подход, с одной стороны, позволяет избежать таких трудностей квантовой теории поля, как перенормировка, а с другой стороны, приводит к более глубокому взгляду на структуру материи и пространства-времени.

Рис. 4. Взаимодействие в микромире: диаграмма Фейнмана в стандартной модели и её аналог в теории струн.

Квантовая теория струн возникла в начале 1970-х годов в результате осмысления формул Габриэле Венециано, связанных со струнными моделями строения адронов. Середина 1980-х и середина 1990-х ознаменовались бурным развитием теории струн, ожидалось, что в ближайшее время на основе теории струн будет сформулирована так называемая «единая теория», или «теория всего», поискам которой Эйнштейн безуспешно посвятил десятилетия. Но, несмотря на математическую строгость и целостность теории, пока не найдены варианты экспериментального подтверждения теории струн. Возникшая для описания адронной физики, но не вполне подошедшая для этого, теория оказалась в своего рода экспериментальном вакууме описания всех взаимодействий.

Одна из основных проблем при попытке описать процедуру редукции струнных теорий из размерности 26 или 10 в низкоэнергетическую физику размерности 4 заключается в большом количестве вариантов компактификаций дополнительных измерений на многообразия Калаби - Яу и на орбифолды, которые, вероятно, являются частными предельными случаями пространств Калаби - Яу. Большое число возможных решений с конца 1970-х и начала 1980-х годов создало проблему, известную под названием «проблема ландшафта», в связи с чем некоторые учёные сомневаются, заслуживает ли теория струн статуса научной.

Несмотря на эти трудности, разработка теории струн стимулировала развитие математических формализмов, в основном, алгебраической и дифференциальной геометрии, топологии, а также позволила глубже понять структуру предшествующих ей теорий и сущность материи и квантовой гравитации. Развитие теории струн продолжается, и есть надежда, что недостающие элементы струнных теорий и соответствующие феномены будут найдены в ближайшем будущем, в том числе в результате экспериментов на Большом адронном коллайдере.

ЗАКЛЮЧЕНИЕ

ОТО - завершенная физическая теория. Она завершена в том же смысле, что и классическая механика, классическая электродинамика, квантовая механика. Подобно им, она дает однозначные ответы на физически осмысленные вопросы, дает четкие предсказания для реально осуществимых наблюдений и экспериментов. Однако, как и всякая иная физическая теория, ОТО имеет свою область применимости. Так, вне этой области лежат сверхсильные гравитационные поля, где важны квантовые эффекты. Законченной квантовой теории гравитации не существует.

ОТО - удивительная физическая теория. Она удивительна тем, что в ее основе лежит, по существу, всего один экспериментальный факт, к тому же известный задолго до создания ОТО (все тела падают в поле тяжести с одним и тем же ускорением). Удивительна тем, что она создана в большой степени одним человеком. Но прежде всего ОТО удивительна своей необычайной внутренней стройностью, красотой. Не случайно Ландау говорил, что истинного физика-теоретика можно распознать по тому, испытал ли человек восхищение при первом же знакомстве с ОТО.

Примерно до середины 60-х годов ОТО находилась в значительной мере вне основной линии развития физики. Да и развитие самой ОТО отнюдь не было весьма активным, оно сводилось в большой степени к выяснению определенных тонких мест, деталей теории, к решению пусть важных, но достаточно частных задач.

Вероятно, одна из причин такой ситуации состоит в том, что ОТО возникла в некотором смысле слишком рано, Эйнштейн обогнал время. С другой стороны, уже в его работе 1915 года теория была сформулирована в достаточно завершенном виде. Не менее важно и то обстоятельство, что наблюдательная база ОТО оставалась очень узкой. Соответствующие эксперименты чрезвычайно трудны. Достаточно напомнить, что красное смещение удалось измерить лишь спустя почти 40 лет после того, как было обнаружено отклонение света в поле Солнца. На протяжении более 80 лет теория Эйнштейна демонстрирует свою необычайную стройность, экономность построения и красоту. На данный момент существует множество экспериментов и наблюдений, подтверждающих правильность общей теории относительности Эйнштейна и не наблюдается физических явлений, противоречащих ей. Следовательно, ОТО скорее верна чем нет.

ЛИТЕРАТУРА

1.       Берков А.В., Кобзарев И.Ю. Теория тяготения Эйнштейна. Общие принципы и экспериментальные следствия. М.: МИФИ, 1989.

.        Берков А.В., Кобзарев И.Ю. Приложения теории тяготения Эйнштейна к астрофизике и космологии. М.: МИФИ, 1990.

.        Ландау Л.Д., Лифшиц Е.М. Теория поля. М.: Наука, 1988.

.        Новиков И.Д. Энергетика черных дыр. М.: Знание, 1986.

1.       <http://ru.wikipedia.org/wiki/Альтернативные_теории_гравитации>

.        <http://www.astronet.ru/db/msg/1210272>

Похожие работы на - Общая теория относительности Эйнштейна и альтернативные теории относительности

 

Не нашли материал для своей работы?
Поможем написать уникальную работу
Без плагиата!
Без нейросетей!