Теория первичного поля
УДК 517.958
Теория
первичного поля
Рудый Л.А.
Раздел 1. Теория первичного поля. Динамика поля
энергия поле пространство максвелл
"Ни одно электромагнитное явление не противоречит предположению о
том, что оно определяется чисто динамическим действием". Максвелл.
Трактат, т. 1. с. 11.
"Задача, которая ставится настоящей работой, - двойная. Во-первых,
так сформулировать принцип сохранения энергии, чтобы он включал в себя принцип
противодействия. Во-вторых, показать, что объединенные таким образом принципы
сохранения энергии и противодействия в состоянии дать такое же общее
обоснование механики, как и ньютоновские аксиомы". И. Шютц, 1897. [13, с.
89]
Что такое первичное поле. В статье "Притяжение" Максвелл делает
вывод, что поле есть вполне самостоятельная несводимая к механической
физическая реальность. Плодотворность идеи Максвелла в том, что она указывает
на возможность локализации энергии в пространстве, лишенном "обычной
материи". Очевидное логическое продолжение этих представлений - возможность
распространения энергии в пространстве.
Теория Первичного Поля (ТПП) реализует идею Максвелла в форме,
невозможной в 19 веке. Это пространство, созданное Минковским, (4-мерное
псевдоэвклидовое) и энергия расширяется до 4-х вектора импульса-энергии.
Затем, новейшее развитие физики - диссипативные структуры ( после
солитонов) - позволило рассматривать поле в 8 -мерном фазовом пространстве QTPH
(Синг), создав для этой цели в ТПП новую физическую структуру - диадный
тензор.Так как теория поля Максвелла реализует теорию потенциала (Максвелл), то
новая физика в расширенном фазовом пространстве QTPH с диадным тензором
становится альтернативной к старой, основанной на теории потенциала. ….
заменяет сразу два тензора электродинамики Максвелла (поля и энергии-импульса);
электродинамика реформируется, полевые переменные имеют механический смысл
(электротоническое состояние), понятие заряда на этом 1-м уровне отсутствует
вовсе, а с ним исчезают понятия напряженностей. Эта реформация касается только
теории поля и не затрагивает электродинамику. Например, монополь Дирака не мог
избавиться от нитей (топология не в счет), а за рамками теории потенциала
приобрел понятную и полезную реальность (см. ст. автора).
Теория Первичного Поля разрушила многовековую идею Единства физики, т.к.
теория физики имеет многоуровневую структуру, со своими моделями и
теоретическими методами. Эта ложная идея (геометризация физики, стандартная
модель, большое объединение и т.д.) загубила значительную часть материальных и
интеллектуальных ресурсов нашей цивилизации.
Все выдающиеся ученые 19, 20 веков впустую тратили свой ресурс для
достижения этой цели.
1. Эйнштейн вытеснял материальную точку из поля; ОТО Эйнштейна
лишена им самим динамики; поэтому космология из ОТО не имеет смысла.
2. Единая теория элементарных частиц за 100 лет не улучшила
понимание электрона, протона и т.д., нагромождая бессмысленные теории и
бесполезные колайдеры (псевдо Хигс).
. Фейман отказался от понятия поля в пользу теории прямого
нечастичного взаимодействия, не поняв фиктивный характер поля в ТП.
. Фарадей говорил, что он не может представить себе границу между
частицей и окружающим ее полем.
. ТПП построена на постулате, что в Природе нет соседства вещества
и поля. Поэтому в ТПП поле в теории потенциала провозглашается фиктивным (но не
лишенным практической пользы).
Мы настаиваем на новом мировоззрении: Первичной реальностью Космоса
является импульс и энергия с их неотъемлемое свойство протяженность и
длительность.
Эту реальность мы назвали Первичным полем. Мы открыли законы ПП:
Это превращение импульса и энергии ПП друг в друга.
Все законы ПП содержатся в инвариантах диадного тензора, а также вытекают
из интегрального инварианта Пуанкаре-Картана, который становится на место
прежнего вариационного принципа Гильберта - Нётер в соответствии с расширенным
фазовым пространством PQ----PQTH.
Второй уровень организации Космоса составляют элементарные частицы и их
взаимодействия - и это продукт Автоволновых процессов в ПП.
Теория АП разработана группой Колесова, Мищенко, Розова, Садовничего.
Третий уровень прикладной: Здесь снова можно применять ТПП, памятуя об
условном смысле понятий. Здесь справедлива классическая механика (КМ). Модель
ТПП и КМ не совместимы. Это объясняет все неудачи механических моделей
классической электродинамики.
Общим началом стандартных теорий - квантовой механики,
квантовой теории поля, общей теории относительности и других, более поздних -
служат понятия массы или заряда и принцип соответствия с классикой.
Предлагаемая теория базируется на понятии двойного
поля, названного первичным, так как оно служит предшественником частиц.
Компоненты этого поля имеют смысл плотности энергии и импульса, а соответствие
с классическими понятиями массы или заряда достигается переходом на следующий
уровень организации реальности.
Поле может взаимодействовать только с полем. Поскольку
заряд и масса - характеристики частицы, то напряженность не может быть
характеристикой физического поля, даже если она является непрерывной функцией
пространственных и временной координат.
В существующих теориях нет физического поля, они
описывают взаимодействия - взаимодействия уровня частиц.
Поле несовместимо с зарядом или массой!
Цель предлагаемой теории изъять из существующих теорий
проблему энергии поля и проблему собственных энергий частиц и дополнить их в
этом.
Понятие эфира в данной работе не обсуждается.
.1 Общий анализ полевых теорий
Образцом полевых теорий считается электродинамика:
классическая и квантовая. Между ней и гравитацией существует аналогия [1, с.
61]
По отношению к этим первичным понятиям энергия и
импульс поля считаются вторичными.
Работа Гейзенберга и Паули "К квантовой теории
волновых полей" 1930 г. обозначила рубеж между классической и квантовой
полевыми концепциями. Однако, в знаменитом обзоре 1941 г. [2, с. 9] Паули
утверждал: "...необходимо помнить, что при заданных значениях интегралов
энергии и импульса локализация энергии и импульса в пространстве определяется
единственным образом лишь в гравитационной теории, в которой гравитационное
поле придает тензору энергии - импульса непосредственный физический
смысл".
Но единого мнения об энергии поля нет и сегодня.
Фаддеев [3, с. 435]: "Традиционный способ
определения энергии и импульса в релятивистской теории поля основан на введении
тензора энергии - импульса. Этот тензор определяется как вариация действия по
отношению к внешнему гравитационному полю. Такой способ неприменим в случае,
когда гравитационное поле само рассматривается как динамическая переменная, так
как возникающий тензор тождественно исчезает в силу уравнения движения. В связи
с этим в теории тяготения понятие энергии нуждается в дополнительном
обсуждении". [3, с. 436]: "Полная энергия гравитационного поля и
тяготеющей материи положительна и исчезает только в отсутствие материи и
гравитационных волн, когда метрика совпадает с плоской метрикой Минковского.
Однако этот результат еще не вошел в монографии.
Доказательство оказалось трудной задачей математической физики, которая была
решена совсем недавно".
Логунов [4, с. 32]: "Не так давно в работе [68]
(у нас [3]) появилось утверждение, что в ОТО на основе гамильтонова формализма
удается решить проблему энергии импульса гравитационного поля. Однако ... это
утверждение ошибочно и свидетельствует о недопонимании автором [68] существа
проблемы".
Мицкевич [1, с. 107]: "Один из интересных
вариантов 2-метризма - теория гравитации с минимальной связью [29] (у нас [4]),
трактующая гравитационное поле как независимое тензорное поле, существующее на
фоне плоского пространства-времени со своим метрическим тензором - совершенно в
духе предложенных Розеном традиционных полевых позиций Максвелла и
Нордстрема".
Удивительно, что при таком различии мнений все авторы
следуют принципу соответствия с классикой и рассматривают статические решения, каждый
для своей теории.
Еще более удивительно, что никто (даже, историк физики
Визгин В.П.) не приняли во внимание высказывание самого Эйнштейна [5, с. 239]:
"...принимаемая обычно локализация энергии (так же, как и количество
движения электромагнитного поля) отнюдь не следует из уравнений Максвелла -
Лоренца. Более того, можно указать, например, распределение энергии,
согласующееся с этими уравнениями, которое в случае статических и стационарных
состояний полностью совпадает с распределением, вытекающим из старой теории
дальнодействия".
1.2 Тензор энергии - импульса
Шредингер [6, с. 110]: "Таким образом, для тех
мест, где имеется материя, мы должны положить
(1)
Я предпочел бы, чтобы вы рассматривали эти равенства
не как уравнения поля, а как определение тензора материи T
. Точно так же, как и уравнение
Лапласа ( divE =
или ∆V = 4
) не сообщает нам ничего, кроме того,
что мы говорим, что повсюду, где дивергенция Е отлична от нуля, имеется заряд,
и называем divE плотностью заряда. Заряд не заставляет электрический вектор иметь
ненулевую дивергенцию, он и есть эта ненулевая дивергенция. И таким же образом
материя не заставляет отличаться от нуля геометрическую величину, образующую
левую часть "вышеприведенного уравнения, она и есть этот ненулевой тензор,
она им описывается". (Подчеркнуто Шредингером).
Это полностью соответствует представлениям Максвелла.
Заряд, как самостоятельную сущность, ввел Лоренц и тем самым покончил с
близкодействием Фарадея - Максвелла.
В дальнейшем все теоретики, включая Паули, следуют
Лоренцу.
Прототипом всех законов сохранения является уравнение
неразрывности, а прототипом тензоров энергии - импульса является тензор
несвязанных масс.
Что особенно важно, введение тензора вместо скалярной
характеристики материи абсолютно ничего не меняет в форме взаимодействия поля с
веществом.
Эйнштейн [7, с. 236] ищет дифференциальные уравнения
гравитационного поля как обобщение уравнения Пуассона, а в обобщении уравнения
неразрывности (закон сохранения) появляется дополнительный член [7, с. 235]:
"Из сказанного выше можно предположить, что закон
сохранения энергии - импульса имеет вид
(2)
Первые три из этих соотношений (σ=1,2,3)
выражают закон
сохранения импульса, последнее (σ =4) - закон сохранения энергии. Эти
соотношения действительно оказываются ковариантными относительно произвольных
преобразований.
...вторая сумма выражает влияние, гравитационного поля
на материальный процесс".
Как раз против этого влияния и возражал Шредингер.
Общепринятые представления о законах сохранения требуют, чтобы уравнения (2)
приняли форму обычной дивергенции:
(3)
Эйнштейн назвал
тензором энергии - натяжений
гравитационного поля [7, с. 241].
Но проблема
не решена и сегодня. Почему? Все ли
дело в римановой геометрии (Логунов, [4, с. 9])? Обратимся снова к Шредингеру.
Обсуждая общепринятое требование к тензору материи: его дивергенция должна
обращаться в нуль, он делает замечание: "Это, таким образом, очень
тривиальное, но тем не менее очень важное утверждение, имеющее чисто
геометрическую природу; оно не имеет ничего общего с динамическим
взаимодействием между частями жидкости или чем бы то ни было еще [6, с.
99]."
Итак, мы вынуждены констатировать - законы сохранения
не содержат динамику. Для замкнутых систем 4- дивергенция тензора материи равна
нулю, для незамкнутых - вектору и все равно ничего не говорит о внутренней
динамике системы.
И принципы симметрии с теоремами Нетер и калибровочные
концепции описывают динамику системы лишь внешним образом.
Согласно общим принципам стандартной теории поля
каждое поле имеет свой лагранжиан и свой тензор энергии-импульса.
Унифицированный подход Нетер ко всем полям и симметриям имеет своим следствием
единую структуру всех величин. Поэтому [8, с. 40]:
"Отождествление величин, выступающих в теореме
Нетер, с физическими величинами, известными из механики (энергия, импульс,
момент импульса), равносильно систематизации этих величин. Такая систематизация
базируется:
) на аналогии с частной теорией относительности, где
эти величины уже введены в теории поля;
2) на тех конкретных преобразованиях, которым эти
величины соответствуют в теореме Нетер в пределе частной теории
относительности...;
3) на "ранге" этих, хотя и не тензорных
величин...".
Итак, логически мы пришли к необходимости
проанализировать структуру тензора энергии - импульса в специальной теории
относительности (СТО).
.3 Специальная теория относительности
Паули [10, с. 17.7]: "…для дальнейших чисто
феноменологических рассуждений природа тензора энергии импульса несущественна,
важно только само его существование. ... Симметрия тензора энергии и импульса
гарантируется сведением его к механическому и электромагнитному тензорам;
раньше она устанавливалась с помощью специального постулата''.
Наиболее подробно специальная теория относительности -
изложена у Толмена. Для нас существенно его замечание [9, с. 75]:
"Возможно, следует подчеркнуть, что именно введение лоренцевых
преобразований определяет существенные черты релятивистской механики
непрерывных сред, поскольку уравнения движения (32.7) и уравнения непрерывности
(33.2) будут справедливы также во всех системах координат и в ньютоновской
механике, если использовать галилеевы преобразования вместо лоренцевых".
Затем Толмен записывает под номерами (36.6) и (36.7) упомянутые уравнения через
абсолютные натяжения Pij:
(4)
Далее он выписывает соответствующие этой системе
тензоры энергии-импульса в собственной и произвольной системах координат и
правило преобразования
:
(5)
В целях дальнейшего анализа подчеркнем, что структура
и смысл этого тензора нисколько не меняются при переходе к общей теории
относительности (ОТО), что следует из источников: Эйнштейн [7, с. 353], Толмен
[9, с. 22 4].
Что же означает переход от (4) к (5) - переход к СТО.
"Наиболее эффектное новое свойство состоит в том,
что три компоненты импульса являются в то же время компонентами потока энергии.
Более глубокий смысл заключается в том, что энергия и масса представляют собой
одно и то же [6, с. 101]." Но смысл каждой строки не изменился нисколько -
это сумма пространственного и временного изменения одной и той же величины.
Т.е., на самом деле сохранения нет. Привлекая предыдущее заключение - законы
сохранения не содержат динамику - мы приходим к необходимости:
1) ввести двойное поле в один тензор;
2) закон сохранения для системы двух полей выразить
как дивергенцию одного тензора;
3) изменить форму взаимодействия Ньютона -
Кулона и отказаться от прежнего принципа соответствия.
Принцип соответствия встал на пути Эйнштейна к единой
теории поля. В 1949 году в Автобиографических заметках он писал о теории
электронов Лоренца: "Если посмотреть на эту фазу развития теории
критически, то прежде всего бросается в глаза ее двойственность, состоящая в
том, что материальная точка, в ньютоновском смысле, и поле как континуум
употребляются рядом в качестве элементарных понятий. Кинетическая энергия и
энергия поля представляются как принципиально разные вещи. Это кажется тем
более неудовлетворительным, что, согласно теории Максвелла, магнитное поле
движущегося электрического заряда представляло инерцию. Почему же не всю
инерцию? Тогда имелась бы только энергия поля, и частица была бы лишь областью
особенно большой плотности этой энергии поля. Тогда можно было бы надеяться,
что понятие материальной точки вместе с уравнениями движения частицы может быть
выведено из уравнений поля - и мешающая двойственность была бы устранена''.
Но Эйнштейн не принял во внимание, что в процессе
вытеснения материальной точки из теории, признающей две реальности: вещество и
поле, сущность полевых величин не меняется. Эти полевые величины не имеют
самостоятельного существования.
Только отказ от принципа соответствия с ньютоновой
механикой, т.е. отказ от материальной точки (от массы и от заряда как первичных
понятий), открывает путь к теории физического поля.
.4 Построение теории первичного поля (ТПП)
Введем в пространство Минковского 4-вектор
энергии-импульса А,
. С импульсом связано 3-векторное поле А, с энергией связано
скалярное поле
. Постулируем уравнения движения для этих полей:
(6)
где
означает
без суммирования,
с условием
, (7)
которое выражает обмен энергией-импульсом между
полями. Как видно из уравнений, каждое поле представляет собой неконсервативную
систему, а сумма полей - систему консервативную. Поэтому к этой составной
системе можно применить метод Лагранжа вместо введения диссипативной функции
Релея для каждого поля. Уравнения (6) можно записать, пользуясь условием (7),
как уравнения с взаимными источниками
и
[14, с. 158].
Система (6) - альтернатива системе Прока и превосходит
ее наличием внутренних источников.
Уравнения (6) выражают закон сохранения для составной
системы полей, для которой введен термин: двойное поле. Если ввести тензор
энергии - импульса двойного поля, то уравнения (6) могут быть получены как
дивергенция этого тензора.
Фрагмент волны подчиняется соотношениям де Бройля, но
нет пакета, так как нет частицы на этом уровне. Волна (цилиндрическая или
сферическая) всегда "монохроматична". Эффект твердого тела для
поперечной цилиндрической волны создается затуханием А и кривизной
[6, c. 218]. То же для сферической волновой
системы первичного поля создает массу покоя.
Постулируем тензор энергии - импульса вместо постулата
(6):
Поскольку он образован как прямое произведение двух
4-векторов
(диадный тензор), то очевидна его релятивистская
инвариантность. Для выяснения физического смысла удобно представить
в форме:
Символами div, grad и
обозначены компоненты этих величин.
След этого тензора К
= divA +
, как обычно, инвариант.
В общем случае тензор К
не симметричен.
Для построения теории имеются две возможности:
) Разложить К
= F
+ T
нa антисимметричную и симметричную
части, где 2 F
=
и 2T
=
) Постулироватъ для K
симметрию или антисимметрию, исходя
из предполагаемых свойств физической системы.
Как обычно, симметричный тензор соответствует
безвихревому полю, а антисимметричный - бездивергентному полю.
Особенно подчеркнем, что у этого тензора нет
нерелятивистского предела. Его пространственно-временные компоненты никогда не
обращаются в нуль.
Самое интересное свойство тензора K
:
- идентичен тензору
электромагнитного поля [14]. Он антисимметричный и приводит к уравнениям,
идентичным уравнениям Максвелла или Прока, но имеющим другое физическое
содержание, как изложено выше. У первичного поля нет свойства калибровочной
инвариантности, т.к. нет заряда в ТПП.
Возможно, так называемая "суперсимметрия"
связана с разложением К
= F
+ T
.
Принципиальное отличие новой формы закона сохранения
от формы, рассмотренной в разделах 2-4, в том, что для замкнутой системы
а)
(нет суммирования по
),
б) несмотря на неравенство нулю дивергенции тензора
энергии-импульса никаких потоков энергии - импульса двойного поля через любую
замкнутую поверхность за конечное время не существует в силу условия (7), хотя
для каждого поля в отдельности они есть.
Для предложенной модели первичного поля существует
аналогия: волновой импульс + стоксов перенос+ возвратное движение.
Релятивистская неинвариантность отдельных частей (A и
) двойного поля дает основу для
принципа эквивалентности: фрагмент поля модели одной частицы в собственной
системе отсчета воспринимается в другой системе отсчета как фрагмент поля
модели другой частицы, согласно (6) и (7).
Пусть A - поле Киллинга,
- кривизна [6, с. 218]. Тогда такая
трактовка открывает путь к применению Римановой геометрии в полевых моделях
элементарных частиц. Именно кривизна
ответственна за единственность
заряда. Образно говоря, форма потенциальной ямы не зависит от ее глубины.
Глубина ямы определяет массу покоя частицы, а
неизменная для внешнего наблюдателя форма ямы определяет заряд. Предлагаемую
модель можно подвергнуть анализу Б.С. де Витта [17], не углубляясь слишком в
квантовую теорию поля. Следовательно, плоские полевые модели элементарных
частиц невозможны.
Заключение
Сформулируем кратко в виде гипотез основные
результаты, полученные в данной работе и укажем задачи, решение которых
положено в основу второй части данной работы.
Гипотезы:
Гипотеза 1. Симметричный тензор Т представляет собой
модель заряженной частицы в собственной системе отсчета.
Гипотеза 2. Антисимметричный тензор F есть модель
фотона.
Гипотеза 3. В произвольной системе отсчета тензор К
несимметричен и его расщепление К = Т + F1 + F2 + ... отображает излучение
фотона заряженной частицей.
Гипотеза 4. Тензор Т является монополью Дирака.
Задачи:
Задача 1. Интегрируя систему (6) при выбранных
начальных условиях, получить полную энергию заряженной частицы.
Задача 2. Задавая внешнее, поле
, получить закон движения системы
двойное поле - (заряженная частица) и на этом этапе получить стандартные
понятия заряда и напряженности.
Задача 3. Получить взаимодействие двух частиц. Считаем
поля А не взаимодействующими между собой, а поля
складывающимися; А и
- взаимные источники.
Задача 4. Разработать переход к квантовой теории,
решая задачу на собственные значения для векторного волнового поля А в
потенциальном поле
для системы (6). Отсюда получить спектр масс. В ТПП масса -
внутреннее свойство замкнутой волновой системы.
Задача 5. Изучить инверсию пространства и времени для
системы (6). Получить зарядовое сопряжение.
с
Задача 6. Получить гравитацию как не
скомпенсированность полей положительного и отрицательного зарядов.
Примечание 1. Тензор
служит моделью нескольких явлений
при изменении вариантности 4 - векторов и инверсиях.
Примечание 2. При наличии обмена энергией-импульсом
между компонентами двойного поля невозможны бесконечности, и задачей теории
остается объяснение стабильности системы.
Вторая часть работы посвящена решению поставленных
задач с применением принципов симметрии и теории представлений групп Лоренца и
де Ситтера, а также исследованию связи диадного тензора с кватернионом [12,
с.415. Послесловие]
Во второй части работы будет использовано объединение
координатного и импульсного пространств
[15, с. 203], связь геометрий
которых задается диадным тензором. Будет также реализована модель спина на
основе двойного поля [16, с. 70].
Список литературы
1. Н.В. Мицкевич, А.П. Ефремов, А.И. Нестеров. Динамика полей в ОТО.
М.: Энергоатомиздат, 1985.
2. В.Паули. Релятивистская теория элементарных частиц. М.: Изд. ин.
лит., 1947.
3. УФН, 1982 г. 136, с. 435-457.
4. А.А.
Логунов, Мествиришвили. Релятивистская теория гравитации. М.: Наука, 1988.
5. А.
Эйнштейн. Собр. соч. М.: Наука, 1966, т. З.
. Э.
Шредингер. Пространственно-временная структура Вселенной. М.: Наука, 1986.
7. А. Эйнштейн. Собр. соч. М.: Наука, 1966, т. 1.
8. Н.В. Мицкевич. Физические поля в ОТО. М.: Наука, 1969.
. Р. Толмен, Относительность, термодинамика и космология. М.:
Наука, 1974.
10. В. Паули. Теория относительности. М.; Наука, 1983.
11. Степанянц Ю.А., Фабрикант А.Л. Распространение волн в сдвиговых
потоках - М.: Наука. Физматлит, 1996, 240с. (Совр. пробл. физики)
. Дж.К. Максвелл. Трактат об электричестве и магнетизме.
. Визгин В.П. Развитие взаимосвязи принципов инвариантности с
законами сохранения в классической физике. М.: Наука.1972.
. Лич Дж. Классическая механика. М., ИЛ, 1961
. Синг Дж. Классическая динамика. М., Физматгиз, 1963
. Физика за рубежом. Серия Б., М., 1988
. Черные дыры. НФФ, вып. 9, МИР, 1978
Раздел 2. Теория первичного поля как источник специальной теории
относительности
В данной статье дается обоснование механики и уточяется роль специальной
теории относительности в общей механике. Для выполнения поставленной задачи
более других подходит понятие спина. На нем пересеклись классическая и
квантовая модели физического явления, ньютоновский и релятивистский методы,
понятия поля и частиц, проблема соотношения дискретного и непрерывного. Тем
более, что статья Космачева (Дубна) демонстрирует усиление интереса к трактовке
спина со стороны кварк-лептонного объединения. Обсуждение спина как важнейшего
элемента квантовой механики, невозможно без учета исходной идеи квантовой
механики. Дирак об этом писал: "В основе его (Шредингера - Ю.В.) идеи
лежала удивительная связь между волнами и частицами, которую несколько раньше
открыл де Бройль; эта связь, установленная де Бройлем, была великолепно
доказана математически и согласовывалась с теорией относительности". [4]
Автор убежден, что теория де Бройля давно себя изжила и мешает развитию квантовой
теории и физики в целом.
.1 Обзор литературы о спине
А. Хезлот. Классическая механика и спин электрона [5]
"В учебниках часто встречается утверждение, что неадекватность
наивной модели "вращающегося волчка" исключает возможность
классического описания спина электрона. Более того, с тех пор как Дирак
предложил естественный способ описания спина и было получено правильное
значение гиромагнитного отношения в рамках релятивистской квантовой механики,
принято считать, что релятивизм с необходимостью должен присутствовать при
рассмотрении этих проблем.
В действительности, что касается спина, то он не связан с релятивизмом
или квантовой механикой, а возникает из представлений группы вращений, которая
играет важную роль и в нерелятивистской классической механике.
Существенные дополнения:
Упомянутая группа вращения является инвариантной подгруппой группы
Лоренца; в этом можно увидеть связь спина с релятивизмом. Недостаток статьи в
выводе спина из "факта" существования у электрона собственного
магнитного момента.
Х. Оганян. Что такое спин? [6]
"Отсутствие наглядной картины спина оставляет печальный пробел в
понимании квантовой механики. Тот факт, что эта неудовлетворительная ситуация
почти всегда игнорируется, еще более удивляет, когда становится ясно, что способ
заполнить этот пробел был найден еще в 1939 г. в работе Белинфанте. Он показал,
что спин можно рассматривать как момент возникающий в результате циркулирующего
потока энергии, или плотности импульса в поле волны электрона.
Кроме того, в соответствии с результатом, полученным Гордоном в 1928 г.,
магнитный момент электрона возникает из-зи циркулирующего течения заряда в поле
электронной волны. Это означает, что ни спин, ни магнитный момент не являются
внутренними свойствами электрона; они не имеют ничего общего с его внутренней
структурой, а оба связаны со структурой поля его волны.
Я хочу подчеркнуть, что в отличие от других попыток объяснения спина
настоящее изложение полностью согласуется со стандартной интерпретацией
квантовой механики.
Решающим элементом в расчете Белинфанте является использование
симметризованного тензора энергии-импульса".
"Спин - это волновое свойство, независимо от того, классическая это
волна или квантовая. Единственное фундаментальное различие между ними состоит в
том, что спин классической волны - непрерывная макроскопическая величина, в то
время как квантовый спин представляется квантовомеханическим оператором и имеет
дискретный спектр значений.
Эта часть статьи Оганяна содержит очень важную информацию о природе
спина. Но Оганян не упоминает о трудностях классической электродинамики,
которые неизбежно проявятся в излагаемой теории спина Оганян предпочитает
нерелятивистский спин.
С другой стороны, излагаемая теория спина Белинфанте как нельзя лучше
согласуется с теорией первичного поля (ТПП), содержащей нужный тензор
энергии-импульса и лишенной трудностей классической электродинамики. Расчет
спина в ТПП будет в следующих статьях автора.
О.С. Космачев. Представление группы Лоренца и классификация стабильных
лептонов [7]
"Несмотря на долгую жизнь концепция спина и ее весьма успешную
математическую формализацию для электрона, вопрос о природе спина нельзя
считать закрытым".
Космачев обращает внимание на "…известный факт - поворот на
некоторый фиксированный угол одной инерциальной системы относительно другой при
их релятивистском движении. Очевидно, что при отклонении от равномерного
прямолинейного движения этот эффект будет носить более выраженный характер. При
переходе к регулярному, повторяющемуся движению, например, к орбитальному движению,
поворот примет так же регулярный характер, т.е. проявит себя как вращение.
Другими словами, движение типа орбитального генерирует релятивистский поворот.
Вот почему ни орбитальный момент, ни спин, а только их сумма может быть
интегралом движения для одной частицы. Таким образом, анализ группы σ
- матриц Паули и полное
совпадение коммутаторов ее алгебры с КС (21) являются прямым следствием
преобразований Лоренца и ничего более, демонстрирует, что так называемый
собственный момент частицы со спином 1/2 является следствием определенного
характера (как минимум не свободного) движения этой частицы".
"…как следует из изложенного, без релятивизма немыслима генерация
спинового поворота. Поэтому спин на самом деле есть проявление релятивизма.
Безусловно верно связывать спин со вполне определенным квантовым числом, если
под квантовыми числами понимать индексы представлений групп. Но наделять это
понятие свойствами физической величины, реально существующей в отрыве от
движения частицы как целого, является предположением, которое требует
доказательства. Таковое не было представлено за последние 80 лет".
"Очевидно, что предлагаемый метод применим для описания точечного
электрона или объектов, структура которых не принимается во внимание".
Очевидно, у Космачева метод чисто алгебраический, модель явления
отсутствует. Космачев защищает тезис: "… у релятивизма для описания
микромира нет альтернативы". К этому его побуждает острая необходимость:
"… истинный прогресс на пути объединения сильных и слабых взаимодействий окажется
возможным в том случае, если феноменологические успехи унитарной симметрии
получат объяснение и развитие исходя из требований релятивизма в первую
очередь".
Космачев блестяще выполнил задачу релятивистского описания спина, но
альтернатива все-таки есть.
Во-первых, Космачев не опроверг суждения Хезлота и Оганяна;
во-вторых, Космачев немножко пренебрег классикой, каковую мы найдем в
известной книге Соколика [8].
Соколик Г.А. Групповые методы в теории элементарных частиц [8]
"Следует отметить важное различие между квантовыми числами, типа
спина, описывающими внутренние степени свободы частицы, и квантовыми числами
типа углового момента. Числа последнего типа учитываются при разложении вектора
состояния в ряд по ортогональным функциям, образующим базис в гильбертовом
пространстве, при чем квантовые числа позволяют классифицировать чистые
состояния системы, соответствующие базисным векторам. Что касается квантовых
чисел, подобных спинам, то их можно интерпретировать в терминах инвариантов
представления некоторой фундаментальной группы или подгруппы.
В частности, спин частицы определяется как вес, задающий неприводимое,
конечномерное представление трехмерной подгруппы вращения группы Лоренца.
Операторы спина реализуются в таком пространстве представления группы Лоренца.
Другими словами, спин наряду с массой и зарядом служит собственной
характеристикой частицы, в то время как другие квантовые числа характеризуют ее
состояние в некотором поле".
"Существование нормального делителя у группы Лоренца сводит ее к прямому
произведению двух 3-мерных групп вращений, заданных алгеброй
[τi τj] = τk; [υi υj] =
υk; ijk = cycl; [τ
υ] = 0
Как известно, именно наличие нормального делителя, выделяющее О4 среди
всех ортогональных групп, позволяет представить полный момент через орбитальный
и спин
= L + S".
"Наличие нормального делителя связано с тем, что О4 изоморфна
прямому произведению двух унимодулярных групп первого ранга, заданных алгеброй
τ =
σ,
где σ - матрицы Паули. Эти сопряженные 3-параметрические
унимодулярные группы и соответствуют так называемым двухкомпонентным спинорным
пунктирным и непунктирным представлениям группы Лоренца или, что в данном
случае то же самое, О4" .
Перечисленных аргументов достаточно для того, чтобы считать спин
собственной характеристикой частицы, что не отменяет его особенных свойств. Для
нас важно:
1) совместное действие двух 3-мерных групп (нерелятивистских) вполне
характеризуют связанный электрон в атоме;
2) существует релятивистское описание связанного электрона в атоме;
при этом спин связан с 3-мерной подгруппой группы Лоренца.
Вывод: существуют эквивалентные описания спина: релятивистское и
нерелятивистское, т.е. альтернатива есть.
Вопрос: нет ли нерелятивистского объяснения релятивизма, т.е. специальной
теории относительности (СТО)? Да! См. Выводы.
Выводы
Все четыре автора (Хезлот, Оганян, Космачев, Соколик) признают более или
менее явно протяженность электрона.
И, наконец, теория первичного поля (ТПП) олицетворяет эту протяженность в
форме двойного поля А, φ и материализует тем самым прямое произведение двух
3-мерных групп вращений в виде углового и спинового моментов.
Другим примером той же теоретической конструкции является фотон -
поперечная волна в ТПП. Здесь продольное движение фотона и внутреннее
поперечное движение снова материализуют прямое произведение двух 3-мерных групп
вращений.
Отсюда по математическим и физическим основаниям неизбежный вывод:
Релятивизм - это эффект сочетания двух ньютоновских движений.
Одной из причин создания ТПП была уверенность в существовании в природе
такого сочетания ньютоновских движений, которые воспринимались в виде,
именованным релятивистским.
Раздел 3. Коллайдер получает альтернативу в теории первичного поля
Если бы нам удалось получить ясное механическое представление о природе
потенциала, то в сочетании с представлением об энергии это позволило бы нам
определить ту физическую категорию, к которой следует отнести
"электричество". Максвелл, Трактат… т. 1, с. 60
В работах автора [1] и [2] решалась задача - освободить КТП, ТЭЧ и др. от
неподвластных проблем собственной энергии. Предлагаемая данная статья,
продолжая эту тенденцию, посвящена объединению взаимодействий.
Необходимое для этого уточнение концепции первичного поля послужит также
для решения задач, поставленных в статье [1].
Теория первичного поля (ТПП) предназначена и для преодоления
предрассудков в современных физических теориях. Первый - материальная точка -
раскрыт в статье [1]. Второй - специальная теория относительности (СТО) как
неоклассическая механика - преодолен в статье [2] сведением СТО к сочетанию
двух ньютоновских движений (в противовес к с → ∞)
В данной статье предлагается инструмент для преодоления третьего
предрассудка - квантовой специфики микроявлений (индетерминированность) - это
переход к реальной квазиклассической модели первичного поля, по отношению к
которой модель де Бройля или принцип наблюдаемости являются извлечениями
(фрагментами).
Если бы не было этой неполноты модели де Бройля, не понадобился бы
принцип дополнительности Бора.
Чрезвычайная важность осознания этого недоразумения состоит в том, что
все без исключения существующие теории элементарных частиц унаследовали это
недоразумение (и суперструны, и солитоны…)
ТПП - квазиклассическая из-за удаления материальной точки из числа
первичных понятий. В ТПП первичны энергия и импульс ("плотности").
3.1 Частица, заряд и поле
Мнение де Бройля: "Нельзя ли восстановить понятие локализованной
частицы на основе волнового описания и вернуть тем самым понятию корпускулы
единственно точное значение" [3, с. 3].
"…из соотношения W = hυ, примененного к частице, следует
существование внутренних колебаний частицы с частотой υ,
а из работ Планка и
Эйнштейна известно, что υ есть также частота волны, переносящей частицу"
[4, с. 30].
Еще четче выразили эту мысль ученики де Брайля: "…движение
корпускулярной области управляется протяженным элементом" [3, с. 149].
Во всей дальнейшей истории физики континуальные модели частиц
отсутствуют.
Мнимые антиподы де Бройль и Гейзенберг принадлежат к одному лагерю
атомистов. Поэтому дискуссии о вероятностной интерпретации "волновой"
механики абсолютно бессодержательны.
Являются нелепыми попытки де Бройля обогатить образ частицы
"скрытыми параметрами" вместо построения полной волновой модели (он
атомист), или снабдить частицу волной-пилотом (эта идея нравилась Эйнштейну, он
тоже атомист) [5].
В лучшем случае волна де Бройля соответствует "передней" части
волновой системы первичного поля [1].
Самую точную оценку теории дает место в ней электрического заряда. В 1929
г. Зоммерфельд писал: "Мы верим в каждое чудо квантовой теории… Но
построение элементарного заряда было бы возможно ее величайшим триумфом: оно
открыло бы неслыханные перспективы в упрощении физической картины мира"
[6, с. 20]. В 1926 г. Шредингер считал заряд размазанным по пространству,
занимаемому волновой функцией ψ.
По мнению Паули : "Эйнштейн исходит из полевых представлений физики
сплошных сред Фарадея-Максвелла" [7, с. 177]. Сам Фарадей не пришел к
окончательному мнению: "Я не могу себе представить разницы между твердой
частичкой и окружающим ее полем" [8, с. 147].
Максвелл ни разу не определил, что такое заряд. По мнению Герца [9, с.
217] "Максвелл пришел к своим уравнениям, исходя из сил
дальнодействия". И "…понятие электричества употребляется Максвеллом в
двояком смысле…" - как жидкость и как величина.
С завидной легкостью оперируют этим понятием современные ученые:
"Поле в известной степени непрерывно переходит в частицу" [10, с.
151]. Это скорей всего кулинария, а не физика.
Теоретическая физика даже в самых изысканных вариантах представляет заряд
как нечто совершенно немеханическое. Только Ми отступил от традиций, когда
сравнивал
~ e [11, с. 253].
Тема электрического заряда e объединилась с темой интерпретации
постоянной Планка h в проблеме постоянной тонкой структуры α.
Ее значение хорошо
выразил в 1936 г. Паули [7, с. 19]: "Удовлетворительной была бы лишь такая
новая формулировка квантовой теории, которая …[бы] объясняла дискретность, как
квантовотеоретическое дополнение к классическому закону сохранения заряда,
позволяя дать интерпретацию значения безразмерного числа
[
] =
= 136,8 ± 0,2."
Это был конец физической науки как объясняющей теории. Это идейная основа
новейшего коллайдера, как материального носителя бесполезной суеты вокруг
названного третьего предрассудка (о квантовой специфике микроявлений).
Физика и физики стали заложниками дефектной модели; понятие поля стало
неадекватным (даже фарисейским - частица - это квант своего поля), поскольку
унаследовало негодную, но исторически вынужденную, временную модель поля из
теории электронов Лоренца. Отсюда смешные заключения Визгина: "…
максвелловская электродинамика и в особенности СТО привели к падению
механического "идеала единства" и укрепили полевую концепцию.
Но в максвелл - лоренцовой теории поля даже с учетом релятивизма,
вещество и поле рассматривались как принципиально различные объекты" [12,
с. 137].
Но Лоренц сам признавал, что был вынужден отступить от максвелловской
теории, чтобы ввести заряд [9, с. 263]. К несчастью Визгин выразил общепринятую
точку зрения.
Однако поле Лоренца стало классическим, и о нем Паули в 1956 г. говорил:
"Имеется еще один весьма спорный вопрос: можно ли считать
удовлетворительным классическое понятие поля. Мы много говорили с Эйнштейном на
эту тему, и я - так же, как и Борн, - склонен рассматривать это понятие лишь
как эвристическое, но неудовлетворительное при более глубоком подходе" [7,
с. 200]. Запоздалое признание.
"Можно ли объединить в одном образе два внешне антагонических
понятия - крупицы материи и поля энергии - и свести соотношения Гейзенберга к
соотношениям между неточностями в результатах измерения, а не к выражению
неопределенностей в поведении частиц?" [3, с. 147].
Обращение к теории первичного поля (ТПП) [1] позволяет с уверенностью
заявить:
Антагонизм между материей и полем преодолевается идеей концентрации
двойного поля, посредством обратной связи в нем.
Эта идея воплощена согласно принципу противодействия в уравнении (7) из
статьи [1]:
+
= inv
Волновая система, управляемая этим уравнением, названа мною замкнутой
динамической системой (ЗДС) первичного поля.
ЗДС первичного поля также ассимилирует проблему единственности заряда,
нивелирует принцип дополнительности, а редукция h → e становится
тривиальной интерпретацией единого явления: динамики первичного поля. [1]
Поэтому я назвал волны де Бройля примитивными и нефизичными. Однако, …
.2 Чем вызвана мода на солитоны?
Ж. Лошак считает солитоны важным развитием идей де Бройля [4, с. 27]. В
самом деле: "Идеи де Бройля и Д. Бома наиболее тесно связаны с МОЗР.
Согласно их теории "двойного решения" имеющей потенциальное значение
для будущих исследований, вещественная частица представляет собой
локализованное решение нелинейных уравнений вида…
С этим локализованным нелинейным решением ассоциируется решение
соответствующего линейного уравнения… за исключением малой окрестности …
частицы" [13, с. 43].
МОЗР - метод обратной задачи рассеяния, по другому - метод спектральных
преобразований.
Интересно отметить, что уравнение (7) из статьи [1] подходит [14] под
преобразование Беклунда для системы (6) из статьи [1]. Я подозреваю, что МОЗР -
это нелегальная реконструкция двойного поля с присущим ему противодействием и
обратной связью. Ибо "Каждое из таких уравнений, как и уравнение Кортевега
- де Вриза, является условием совместности по крайней мере двух линейных
дифференциальных уравнений" [15].
Очевидно, солитоны интересны для математиков. Так пусть они помогут
решить задачи из статьи [1] для системы (6), (7), а не апеллируют к де Бройлю,
где тупик. Но пока что эта тупиковая тенденция проявилась в очередном опусе
[16], где замахнулись аж на кварки: Тогда как дробные заряды кварков вводятся
сейчас в теории искусственно, солитоны со своими дробными квантовыми числами
возникают в солитонных теориях совершенно естественно". И "… солитоны
в трех измерениях можно интерпретировать как магнитные монополи". …Если не
выходить из ньютоновской парадигмы с материальной точкой!
.3 Монополи, кинки, струны, суперструны, суперсуперструны…
В статье [1] есть гипотеза, что ТПП может моделировать монополь
(правильный по сравнению с неправильным монополем Дирака). Монополь Дирака
неправильный, потому что он реализует статику или однонаправленное движение
поля (порок Лоренцевой электродинамики), из-за чего приходится выходить в
дополнительное измерение (трюк), привлекать струны. В общем, поиски физического
смысла подменять математическими упражнениями, скрывающими неполноту модели.
Теория первичного поля (ТПП) - имеет полную модель двойного поля -
замкнутой динамической системы (ЗДС).
Ей не нужны дополнительные измерения. Если бы Эйнштейн был знаком с ТПП,
он не требовал бы от всех и от себя регулярных статических решений. Он не вышел
из ньютонианской парадигмы и поэтому общая теория относительности (ОТО) не
является теорией физического поля, ее поле лишь актуально.
Это очень важно, так как супергравитация участвует в Великом объединении
(ТВО) и, следовательно, имеет отношение к теории элементарных частиц (ТЭЧ).
Даже в 1953 г. Эйнштейн утверждал: "… уравнения гравитации для
пустого пространства представляют собой единственный … случай теории поля,
который может претендовать на строгость…" [17] И вот: "В рамках
обычной теории поля, где частицы рассматриваются как точечные, не удалось
построить ни одной удовлетворительной квантовой теории гравитации, даже
несмотря на появление теорий супергравитации. В настоящее время большие надежды
возлагаются на теории суперструн. В принципе можно вместо струн рассматривать
поверхности, называемые мембранами, и уже рассматриваются супермембраны…"
[18, с. 139].
Сторонникам суперсимметрии "приходится предположить [18, с. 115] существование
целого семейства новых элементарных частиц… их удается обнаружить с помощью
ускорителей нового поколения…"
"Кроме того, теория струн предсказывает возбуждение струн и теневую
материю" [18, с. 100].
Вот к каким печальным последствиям приводит третий предрассудок -
квантовая специфика микроявлений - сводящийся к размножению частиц.
.4 Упущенные возможности
Первая, она же главная, заключена в эпиграфе. Потенциалы Максвелла - это
тени, образованные токами и зарядами от импульса - энергии первичного поля.
Поэтому уравнения Максвелла совпали с уравнениями ТПП. Термин
"потенциал" вводится в пятом томе "Трудов" Гаусса и в его
"Атласе земного магнетизма" 1840 г. определяется как "возможная
работа", которую пришлось бы выполнить для того, чтобы перенести единичный
точечный электрический заряд из бесконечности в рассматриваемую точку [19, с.
35]. Основное влияние на Максвелла оказала работа Грина 1828 г. "Опыт
применения математического анализа к теориям электричества и магнетизма",
забытая и переизданная В. Томсоном, старшим товарищем Максвелла.
В работах Гаусса и Грина независимо заложена теория ньютоновского
потенциала, гордость математической науки и, как ни странно, основа всех
физических наук под названием функций Грина, которых великое множество.
Сам Максвелл (это поразительно) объяснял эквивалентность своей теории
(математическую) теориям дальнодействия, а преимущество своей теории видел в
возможности механической аналогии.
Взяв на вооружение теорию потенциала, Максвелл упустил возможность
создать теорию физического поля.
Именно из-за своей условности теория потенциала несовместима с
механическими (т.е. реальными) моделями. Она виновата в проблеме собственной
энергии, расходимостях, неопределимости гравитационного "поля",
странной космологии, основанной на ОТО, и, несомненно, теория потенциала
породила квантовую "специфику" микроявлений, т.к. волны де Бройля -
это ее порождение, а дальше одна дорога: к корпускулярно-волновому дуализму и к
дополнительности.
Дирак с 1936 г. искал правильную классическую модель, не сомневаясь в
правильности квантовой теории [20]. Но он оставался в рамках ньютонианской
парадигмы вместе со своими тремя формами динамики и со своей Релятивисткой
теорией электронов.
Все другие упущенные возможности привязаны к первой. Сюда относятся
"Полевая теория материи" Ми, обобщающая ее работа Гильберта
"Основания физики", многочисленные работы 30-х годов.
Особенно интересны работы Борна о "Принципе взаимности" 1936 -
1939 годов, где исследуется связь координатного и импульсного пространств,
причем импульсное пространство искривлено. Эта идея была опробована Таммом и
Кадышевским в Квантовой теории поля, но особенных результатов не дала
(ньютонианская парадигма).
Я намерен в следующей статье применить принцип взаимности в теории
первичного поля, которая освобождена от ньютонианской парадигмы, и реализовать
эту упущенную возможность.
Из неупущенных возможностей
"для нас представляет, в частности, интерес "преобразование
Беклунда", которое можно рассматривать как метод постороения решений уравнений
в частных производных с помощью пфаффовых форм:
ф = Pdx + Qdt " [21, с. 39].
Пфаффовы формы могут помочь в
установлении геометрии пространства импульса - энергии, а через принцип
взаимности инициировать геометрию координатного пространства и в итоге мы
получим геометрию из физики.
Список литературы
1. Актуальные
проблемы современной науки. №5. М. 2008
2. Актуальные
проблемы современной науки. №6. М. 2008
. Ж.Л.
Андраде Э. Силва, Ж. Лошак. Поля, частицы, кванты. 1971, с. 149
. Л.де
Бройль. Соотношение неопределенностей Гейзенберга. М.: 1986.
. Проблемы
физики. Классика и современность. М.: 1982.
. Зоммерфельд
А. Пути познания в физике. М.: 1973.
. Паули
В. Физические очерки. М.: 1974.
. Вопросы
причинности в квантовой механике. ИЛ. 1955.
. Вяльцев
А.Н. Генрих Герц. М.: 1966.
. Философские
проблемы физики элементарных частиц. М.: 1963.
. Исследования
по истории физики и механики. М.: 2001.
. Визгин
В.П. Развитие взаимосвязи принципов инвариантности с законами сохранения в
классической физике. М.: 1972.
. Скотт
Э. Нелинейная наука. М.: 2007.
. Ньюэлл
А. Солитоны в математике и физике. М.: Мир.1989.
. Калоджеро
Ф., Дегасперис А. Спектральные преобразования и солитоны. М.: Мир. 1985.
Предисловие Захарова В.Е.
. Физика
за рубежом. М.: Мир. 1983, с. 235
. Эйнштейн
А. Собрание сочинений. Т. 2, с. 789
. Физика
за рубежом, А; 1989.
. Клейн
Ф. Лекции о развитии математики в XIX столетии. С. 35
. Дирак
П. Собрание сочинений, т. 3., ст. 3
. Нелинейные
электромагнитные волны. М: Мир. 1983
Раздел 4. Теория первичного поля как диссипативной структуры объсняет
кванты и таготение
В работах [1-2] теория первичного поля (ТПП) представлена полностью. Ее
краткое содержание:
1. В теории физического поля нет места материальной точке.
. Полевые величины должны прямо выражать импульс и энергию поля.
Напряженности и тензор поля - не полевые величины.
3. ТПП инициирована электродинамикой Фарадея-Максвелла (за
электротоническое состояние [4]) и электродинамикой Лоренца (против
"синтеза механики Ньютона и теории поля Максвелла" [5])
. Теория потенциала не находит места в ТПП.
. Первичное поле не сводится ни к каким средам или элементам.
Только так можно избежать нерешенной проблемы: "Диалектика
точечности и континуума всегда представлялась исследователям одной из самых сложных
проблем, с которыми когда-либо сталкивался человек." [6].
6. Первичное поле - двойное (А,φ), чтобы реализовать принцип
противодействия Шютца и выйти из Ньютонианской парадигмы с материальной точкой.
. ТПП - источник специальной теории относительности (СТО).
. В ТПП действуют нетривиальные законы сохранения - превращения импульса
- энергии (против теорем Нётер).
. Так называемое "условие Лоренца" является основным
динамическим законом ТПП, как "замкнутой динамической системы"
механики (ЗДС); то есть: затухание поля А порождает "кривизну" поля φ;
"кривизна"
поля φ
порождает импульс поля
А.
. Все перечисленное образует основу моделей объектов и явлений
вышележащего уровня - частиц и их взаимодействий.
4.1 Диссипативные структуры
Если термин "затухание А" перевести в "диссипацию А",
а поле φ
назвать
"средой", то получится из ТПП "диссипативная структура"
Пригожина [7].
Далее последуем совету Хакена [8]: "Довольно очевидно, что
самоорганизацию можно описать, включив внешние силы как части полной
системы" (имеем в виду поле φ).
Возможно, Хакен имел в виду ТПП, так как "...теперь внешние силы
следует рассматривать не как заданные величины, а как переменные, подчиняющиеся
уравнениям движения".
Вывод: теория диссипативных структур позволяет изучать самоорганизацию в
ТТП.
Самое важное и замечательное среди таких явлений - генерация незатухающих
колебаний, свойства которых не зависят от того, когда и из какого начального
состояния была запущена система... "[9].
Их назвали авто колебаниями, связав с предельными циклами (ПЦ) Пуанкаре.
ПЦ - это замкнутая фазовая траектория, к которой стремятся все соседние
траектории. "Далее, система, обладающая предельным циклом, должна быть
структурно-устойчивой и внутри замкнутой траектории, на которую с обеих сторон
навиваются другие траектории, должна лежать по крайне мере одна неустойчивая
сингулярная точка типа узла или фокуса" [10].
Итак, "существование самоподдерживающихся колебаний в динамической
системе возможно только в открытых системах с диссипацией, нелинейными взаимодействиями
и структурно-устойчивыми стационарными состояниями" [10].
Роль динамической системы с диссипацией выполнит поле импульсов А из ТПП.
Нелинейное взаимодействие между частями А и φ двойного поля отражено в зависимости
скорости импульса А от "среды φ".
"Интересно отметить, что введение временного запаздывания приводит к
появлению устойчивого и единственного решения с предельным циклом, при этом
патологические нейтральные устойчивые циклы заменяются регулярными
колебаниями" [10].
Значит, уравнения ТПП должны быть типа уравнений с запаздывающим
аргументом, что позволяет сформулировать новую квантовую гипотезу:
в первичном поле отклик запаздывает.
"В системах с множественными колебаниями с ПЦ возникают
дополнительные явления, наиболее интересные из которых - порог и
возбуждаемость: устойчивое стационарное состояние или устойчивый ПЦ отделены от
второго устойчивого ПЦ неустойчивым циклом, который делит пространство
переменных на колебания малой (или нулевой) амплитуды и на большие колебания.
Для перевода системы из состояния устойчивых малых колебаний в состояние с
большой амплитудой колебаний (возбуждаемая система) необходимо конечное
возбуждение (т.е. у системы имеется порог)".
ПЦ или устойчивые состояния равновесия называют аттракторами (от слова
attract -"притягивать ").
"Чтобы полностью охарактеризовать качественное поведение системы с
одной степенью свободы, не обязательно знать все фазовые траектории, достаточно
знать только особые: а) состояния равновесия,
б) сепаратрисы седел, в) предельные циклы. Зная их взаимное расположение,
мы можем нарисовать на плоскости фазовый портрет любой динамической системы,
если она грубая. Понятие грубости было впервые введено А.А. Андроновым и Л.С.
Понтрягиным. Оно эквивалентно понятию структурной устойчивости динамической
системы. Фазовый портрет грубой системы топологически не меняется при малом
изменении параметров системы".
Грубость системы соответствует стабильности элементарных частиц.
"Переход от одного грубого портрета к другому происходит через
негрубое состояние, называемое бифуркационным".
Бифуркации "соответствует рождение (при изменении параметра) ПЦ из
состояния равновесия (при обратном изменении параметра ПЦ "влипает" в
состояние равновесия и таким образом исчезает).
Бифуркации - это путь к превращению частиц.
"...бифуркации возможны не только на фазовой плоскости, но и в
фазовом пространстве более высокой размерности" [9, c. 241].
"Сейчас есть надежды на подтверждение представлений об элементарных
частицах как о солитонах квантовых полей" [9, c. 13].
Аттракторы принципиально невозможны в консервативных (гамильтоновых)
системах [11].
.2 Перспективы
Наше представление о современной физике:
"Одной из надежд, возлагавшихся на нелинейную науку, был вывод и
анализ фундаменталъных уравнений. Например, В.Гейзенберг полагал, что такое
уравнение может дать спектр масс элементарных частиц. Ряд принципиальных
нелинейных уравнений выдвигался и в других областях. Эти задачи часто
оказывались, связаны с построение сложных стационарных или автомодельных
решений, анализом решений, время существования которых ограничено, либо с
изучением задач с малым параметром при старшей производной" [12].
Но эта тенденция проигрывает возможностям ТПП. А именно, при наличии
пространственного сдвига и временного запаздывания поля φ
относительно поля А в
уравнении
применительно к моделям положительного и отрицательного зарядов, мы
получим нейтральной системы атома петлю гистерезиса двойного поля.
Сдвиг и запаздывание настолько малы, что размер гистерезиса соответствует
величине гравитационного взаимодействия по сравнению с электрическим.
Значит, теория первичного поля осуществит гипотезу Цельнера - Moccoтти о
тяготении.
"...формирование диссипативных структур вследствие потока энергии в
нелинейных системах может рассматриваться как совершенно новая парадигма
динамики" [13].
Литература
1-3.
Актуальные проблемы современной науки. X~5,6,2008; Х!!1 2009.
. Дж.К.
Максвелл. Трактат...§540. М. 1986.
. А.
Эйнштейн. Собрание сочинений. Том 4. (Физика и реальность).
.
Пространство, время, движение. М. Наука 1971.
. Николис Г.,
Пригожин И. Самоорганизация в неравновесных системах. М. Мир 1979.
. Хакен Г
Синергетика. М. Мир 1980.
. М.И.
Рабинович, Д.И. Трубецков. Введение в теорию колебаний и волн. М. Наука 1984.
. Кайзер
Ф.Ст. Нелинейные колебания. В сб. Нелинейные электромагнитные волны. М. Мир
1983.
. Карлов
Н.Е., Кириченко Н.А. Колебания, волны, структуры. М. 2003.
. Малинецкий,
Потапов. Современные проблемы нелинейной динамики. М. 2002.
.
Диссипативные солитоны. Перевод с англ. М. Физматлит 2008.
Раздел 5. Теория первичного поля как гамильтонова динамика
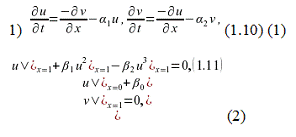
Отказ от теории потенциала в теории первичного поля [1] влечет за собой
совмещение: тензоров поля и энергии - импульса, канонического и механического
импульсов, уравнений Гамильтона и движения.
"Во многих задачах механики выражения для обобщенных импульсов легко
получить непосредственно из физических соображений" [2, стр. 246]
"Использование пространства QTPH создает наибольшие возможности для
общего рассмотрения динамики". [3, стр. 203]
"Динамика консервативной системы в пространстве PQ с гамильтоновой
функцией H(q,p) математически тождественна динамике в пространстве QTPH с
функцией энергии Ω(x,y)" [3, С. 335]
-вектор (А, φ) = φμ теории первичного поля [4].
Тогда гамильтоново действие [3, С. 221, 405)] принимает вид
, (1)
уравнение энергии можно взять с2А2-φ2 = 0
Канонические уравнения Гамильтона имеют знакомую форму
т.е.
(2)
Гамильтониан Н в (1) - четвертая компонента 4-вектора, а не
релятивистский инвариант.
Уравнения (2) можно сравнить с
(3)
А инвариант (φ2-с2А2) сводится в СТО к
, который может служить функцией
энергии.
Далее [5, стр. 228]: "Любое преобразование, оставляющее инвариантным
каноническое подинтегральное выражении (1) оставляет также инвариантными и
канонические уравнения". ... "Роль функции Гамильтона берет на себя
тождество" [5, стр. 362]
φ2-А2с2=inv
или
(4)
В итоге, в качестве инварианта, определяющего сдвиг и запаздывание в
первичном поле, примем гамильтоново действие (1). "В отличие от
классической физики, требовавшей для интеграла Гамильтона (1) экстремума,
Зоммерфельд определяет значение этого интеграла равным h/2π [6, 509]". Это служит
подтверждением квантовой гипотезы автора, предложенной в [1], и открывает новые
возможности анализа мировых констант в рамках ТПП. Равенство (4) - один из
инвариантов диадного тензора. Другой инвариант
взят из антисимметрического тензора
2Fμν = Kμν -
Kνμ [4].
Диадный тензор осуществляет связь координатного QT и импульсного РН
подпространств и пространства QTPH. Метрики QT и PH одинаковы - постулат. Поле
в ТПП характеризуется: протяженностью, длительностью, импульсом, энергией.
(QTPH).
В отличие от систем гидродинамического типа - солитон с фазовым
пространством QP, ТПП как диссипативная система требует расширенного фазового
пространства QTPH.
"Гамильтон - динамист. [6, 167]". "Интересно отметить, что
Гамильтон не дал каноническим уравнениям какого-либо применения..." [6,
167].
По-моему он не смог придумать механическую модель "plenum’a", в
котором главным должна быть непрерывность, а не заполненность (как думают).
Дальше, Якоби отошел от Гамильтона, как Лоренц от Максвелла.
Литература
1. Рудый Л.А.
Теория первичного поля как диссипативной структуры объясняет кванты и тяготение
// Естественные и технические науки. - 2009, №5.
. Голдстейн
Г. Классическая механика. 1975.
. Синг Дж.Л.
Классическая динамика. 1963.
. Рудый Л.А.
Теория первичного поля / Акт. пробл. совр. науки. - 2008, №5.
.Ланцош К.
Вариационные принципы механики. 1965.
. Полак Л.С.
Вариационные принципы механики. 1960.
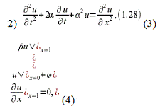
Раздел 6. Теория первичного поля раскрывает секрет монополя Дирака
Основа физической природы - это Первичное поле (ПП), теорию которого
разработал Рудый Л.А. ПП представляет собой систему полей импульса и энергии
вместе с неотъемлемым свойством протяженности и длительности. Эта гипотеза
выражена диадным тензором д/дxμ* φυ=
Kμυ , где φυ
- 4-вектор
импульса-энергии поля,
, имеет вид условия Лоренца. Динамика первичного поля
разворачивается в расширенном фазовом пространстве QTPH, призванном для выхода
гамильтонова формализма за рамки теории потенциала (ТП). Исторически ПП было
расчленено на электрические заряды и электромагнитное поле, что было оформлено,
как и в теории тяготения, в математическую теорию потенциала. Так возник дуализм
вещества и поля - союз двух фиктивных понятий. Монополь Дирака - это и есть
плод дуализма вещества и поля.
Ключевые слова: общая теория относительности, теория первичного поля,
диадный тензор, диссипативные структуры, парадигма, потенциал, дуализм.
Фейнман [1, с. 318] обозначил базовую проблему теоретической физики:
"Мы не знаем, как с учетом квантовой механики построить самосогласованную
теорию, которая не давала бы бесконечной собственной энергии электрона или
какого-то другого точечного заряда. И в то же время нет удовлетворительной
теории, которая описывала бы неточечный заряд. Так эта проблема и осталась
нерешенной".
Академик Мигдал А.Б., [2], по этому поводу пишет "Бесконечности и
разрывы в физических функциях есть результат сознательно идеализированной или
неудачной формулировки. Те же величины в более совершенной теории оказываются
конечными и непрерывными… Как ни замечательны успехи квантовой электродинамики,
но появление бесконечностей, даже если от них удается избавиться, означает
незамкнутость теории."
Решением этой проблемы является теория первичного поля.
В науке фикция бывает неизбежной и полезной, если не выдавать ее за
реальность. Пример, классическая электродинамика. Противоположный пример,
квантовая теория поля, которая является не теорией поля, а теорией многих
частиц, но существует за счет смещения понятий: "частица - это квант
своего поля". Нет смысла в том, чтобы выправлять теорию, построенную на
фиктивных компонентах (перенормировки). Фиктивный характер КТП не осознал Фейнман,
который отказался от "полевых теорий" в пользу прямого межчастичного
взаимодействия. Фиктивный характер электродинамики и общей теории
относительности не понимал Эйнштейн и поэтому его ЕТП бессмысленны.
Модель ПП для своей реализации привлекает теорию диссипативных структур.
Этот союз благотворен для обоих, ибо ведет к гравитации и квантовой теории.
Заряд Кулона реален. Заряд Лоренца - нет, т.к. его реальность усечена
полем, а само поле - условно.
.1 Реальность векторного магнитного потенциала А
В этом параграфе нам хотелось бы обсудить вопрос: что такое векторный
потенциал - просто полезное для расчетов приспособление (так в электродинамике
полезен скалярный потенциал), или же он как поле вполне "реален"? Или
же "реально" лишь магнитное поле, так как только оно ответственно за
силу, действующую на движущуюся частицу?
Для начала нужно сказать, что выражение "реальное поле"
реального смысла не имеет. Во-первых, вряд ли вообще можно полагать, что
магнитное поле хоть в какой-то степени "реально", потому что и сама
идея поля - вещь довольно отвлеченная. Нельзя протянуть руку и пощупать это
магнитное поле. Кроме того, величина магнитного поля тоже не очень определенна;
выбором подходящей подвижной системы координат можно, к примеру, добиться,
чтобы магнитное поле в данной точке вообще пропало.
Под "реальным" полем мы понимаем здесь вот что: реальное поле -
это математическая функция, которая используется нами, чтобы избежать
представления о дальнодействии.
Мы ввели А потому, что оно действительно имеет большое физическое
значение. Оно не просто связано с энергиями токов (в чем мы убедились в
последнем параграфе), оно - "реальное" физическое поле в том смысле,
о котором мы говорили выше.
"Предположим, что магнитное поле исчезло бы. Тогда появилось бы
меняющееся магнитное поле, которое создавало бы электрическое поле. Если бы это
электрическое поле попыталось исчезнуть, то изменяющееся электрическое поле
создало бы магнитное поле снова. Следовательно, за счет непрерывного
взаимодействия - перекачивания туда и обратно от одного поля к другому - они
должны сохраняться вечно. Они не могут исчезнуть. Они сохраняются, вовлеченные
в общий танец - одно поле создает другое, а второе создает первое,-
распространяясь все дальше и дальше в пространстве". [1, с. 88]
В ТПП более соответствует реальности динамика полевых переменных импульса
и энергии
, отзвуки которой описал выше Фейнман
относительно напряженностей поля.
"..мы так и не знаем, как же на самом деле распределена энергия в
электромагнитном поле… Самое интересное то, что единого способа избавиться от
неопределенности энергии поля, по-видимому, вообще нет". [1, с. 290-291]
.2 Векторный потенциал в квантовой механике
Оказывается, что именно из-за того, что в квантовой механике главную роль
играют импульс и энергия, самый прямой путь введения в квантовое описание
электромагнитных эффектов - сделать это с помощью А и j.
…фазу, с какой амплитуда достигает детектора, двигаясь по какой-то
траектории, присутствие магнитного поля меняет на величину, равную интегралу от
векторного потенциала вдоль этой траектории, умноженному отношение заряда
частицы к постоянной Планка, то есть
, или
(1)
где
- изменение фазы под влиянием магнитного поля
Хотя для наших теперешних рассуждений в этом нет необходимости, заметим
все же, что влияние электростатического поля тоже выражается в изменении фазы,
равном интегралу по времени от скалярного потенциала j со знаком минус:
или
(2)
где
- изменение фазы под влиянием электрического поля.
Именно этот закон и заменяет собой формулу
[1 , с.15-20]
Но ТПП содержит эти интегралы как элементы динамики волновой системы ПП -
модели заряженной частицы, - с правом выбора A или j для описания этого явления.
Указанные Фейнманом интегралы входят в интегральный инвариант Пуанкаре-Картана,
численное значение которого указал Зоммерфельд.
(3)
"В интегральный инвариант Пуанкаре-Картана время входит на правах
координаты системы, а функция Гамильтона
, взятая со знаком минус, играет роль
обобщенного импульса" [3]
Из формул (1), (2) Фейнмана получаем
(4)
"Вы помните, что криволинейный интеграл от А вдоль петли это то же
самое, что поток поля В сквозь петлю [см. гл. 14, § 1 (вып. 5)]. И что же
происходит, когда я мгновенно включаю векторный потенциал? Согласно
квантовомеханическому уравнению, внезапное изменение А не вызывает внезапного
изменения y; волновая
функция пока та же самая… в момент появления потока частица получает полный
импульс (т. е. изменение в mv), равный -qА. Иными словами, если вы подействуете
на заряд векторным потенциалом, включив его внезапно, то этот заряд немедленно
схватит mv-импульс, равный -qА". [2, с. 232-233]
В ТПП импульсу qA стандартной квантовой теории отвечает
- импульс первичного поля. Оставаясь
в рамках теории потенциала, Фейнман (как и Дирак) не может отказаться от поля
напряженности B. Отсюда ведет свое происхождения сингулярная нить в монополе
Дирака. В ТПП в ней нет необходимости, так как в ТПП действует постулат:
импульс
и энергия
могут взаимно превращаться друг в
друга. Именно это избавляет модель заряженной частицы от сингулярности. Таким
образом, явление монополя Дирака получает совершенно новую трактовку.
.3 Магнитный монополь в калибровочных теориях
"Теперь, конечно, никто уже не верит в чистую электродинамику.
Таким образом, теперь связь между монополями и квантованием заряда
прочнее, чем когда бы то ни было, хотя конкретные черты теории сильно
отличаются от первоначальных концепций. Причина существования монополей и
квантования заряда одна и та же, это - спонтанное нарушение полупростой группы
симметрии.". [3, с. 284]
"Будем работать в рамках калибровочной теории со спонтанным
нарушением симметрии. Теории такого рода - насущный хлеб современной физики
высоких энергий". [3, с. 311]. С Коулменом полемизирует Гринберг:
"Теории с ненарушенной локальной калибровочной симметрией, например
квантовая хромодинамика и электромагнетизм, обладают красотой, которая
позволяет надеяться, что они играют фундаментальную роль в описании природы.
Нет красоты в теориях с нарушенной калибровочной симметрией, например в теории
слабых взаимодействий. Это заставляет усомниться в их фундаментальном характере
и предположить, что калибровочные бозоны W и Z являются составными". [4,
с. 209]
"Почему монополи тяжелы? Монополи тяжелы, потому что интеграл для
электромагнитной энергии кулоновского поля расходится на малых
расстояниях". [3, с. 317].
Диссонансом к изысканной математике калибровочных теорий проявляется
старая как мир форма и формула электромагнитной энергии кулоновского поля,
унаследованная от классической электродинамики.
Калибровочные поля - это наиболее успешная реализация теории потенциала,
но сохранившая все проблемы классической электродинамики.
"Одно нам известно о развитии во времени полевых конфигураций с
нетривиальным топологическим зарядом. Как бы то ни было, они не могут
совершенно рассосаться, ускользнув из нашего ящика в виде обычного излучения,
массивного или безмассового. Причина этого в том, что излучение не уносит
топологического заряда, и топологический заряд сохраняется. Топология -
сила!" [3, с. 315]. Топология совершенно не причастна к монополю.
Начало калибровочной идеологии, приведшей к столь заметным успехам,
положила работа Янга и Миллса 1954 года [Визгин, с. 254]. Исходя из требования
локальной изотопической инвариантности, они ввели новое поле, ответственное за
взаимодействие нуклонов.
Перед их глазами стоял пример электромагнитного поля. Вот как тогда
писали они об этом: "Весьма сходная ситуация имеет место в отношении
обычной калибровочной инвариантности заряженного поля, которое описывается
обычной волновой функцией
. Изменение калибровки … означает изменение фазового
множителя
,
, т.е. изменение не приводящее к каким либо физическим
следствиям."
Переход от
к
нарушает инвариантность теории, и, как известно, "в
электродинамике для компенсации изменения
с изменением
возникает необходимость вводить
электромагнитное поле
, которое преобразуется при калибровочном преобразовании по
закону
"[там же] (5)
Янг и Миллс ссылаются на знаменитый обзор Паули 1941 года [Паули]. В
параграфе 2 обзора Паули исходит из стандартного вариационного принципа
Гильберта-Нётер, не называя их. Действие Гамильтона
Содержит общую функцию Лагранжа
, но на стр.13 читаем: "Для
простоты мы считали, что все комплексные поля, содержащиеся в
принадлежат частицам с одним и тем
же зарядом."
Поэтому декларацию калибровочных преобразований (23 а), (23 b) принимаем
на веру. Из его формул (21) и (23) совершенно очевидно действие теории
потенциала. Но мы уже заявляли об искусственном характере теории потенциала. Мы
показали [Р,5], что реальное физическое поле может быть построено только за
рамками ТП в расширенном фазовом пространстве QTPH вместо обычного PQ. Выход за
рамки ТП влечет за собой отказ от 1) теорем Нётер, 2) тензора поля. Действие
Гамильтона при этом принимает вид интегрального инварианта Пуанкаре-Картана
(3). Связь теории ПП с квантовой механикой осуществляется теорией диссипативных
структур (ТДС), согласно работе автора [Р, 4].
Реальность магнитного потенциала A, неопровержимо доказанная опытом
Ааронова-Бома, и органическое вхождение его в форме qA =
, как импульса, в теорию первичного
поля окончательно подтверждает фиктивный характер теории калибровочных полей,
как реализации теории потенциала.
.4 Магнитный монополь в теории первичного поля
Очевидно, основная особенность, специфичная для монополей, связана с
нитями, существование которых в свою очередь обусловлено использованием
потенциалов. С одной стороны, существующая обычная квантовая теория включает в
себя представление электромагнитного поля с помощью потенциалов; с другой
стороны концепция магнитных зарядов не согласуется с использованием векторного
потенциала, который может сохраниться в этом случае только ценой появления
сингулярности.
Можно ли развить теорию, в которой удалось бы избежать "дираковских
нитей"?
Теория первичного поля отделена от теории ньютоновского потенциала.
Введем в пространство Минковского 4-вектор энергии-импульса
. С импульсом связано 3-векторное
поле
, с энергией связано скалярное поле
. Постулируем уравнения движения для
этих полей:
(6)
где
означает
без суммирования,
с условием
=0, (7)
которое выражает превращение импульса
и энергии
друг в друга.
Как показано в параграфе 3 согласно квантовой механике
,
Взаимное превращение импульса
в энергию
в ТПП влечет как тени или проекции
взаимное превращение потенциалов А и
в классической электродинамике.
Таким образом находит поддержку в ТПП гипотеза: В электродинамике элементарный
заряд
, представленный "полем"
, содержит магнитный заряд g ,
представленный "полем" А с условием вида (7). Конечно,
Взаимное превращение А и
в монополе/заряде является искусственным в той же мере, в
какой являются искусственными сами максвелловские потенциалы (Фейман). Лишь
реальные превращения реальных полей импульса
и энергии
дают оправдание для А и
, но этого достаточно для того, чтобы
избежать "дираковских нитей".
Квантование и единственность электрического заряда представляемого
компонентой
первичного поля, а вместе с ним и квантование и
единственность магнитного заряда, представляемого компонентой
первичного поля, мы ждем от теории
диссипативных структур, как это изложено в работе автора [Р, 4].
Список
литературы
1. Фейнмановские
лекции по физике. Вып. 6. М.: 1967.
. Вопросы
философии. - 1990. - №1. - с. 5-32
. И.М.
Беленький. Введение в аналитическую механику: М. 1964.
. Фейнмановские
лекции по физике. Вып. 9. М.: 1967.
. С.
Коулмен. Магнитный монополь пятьдесят лет спустя. УФН, 1984, т. 144, вып. 2.
. Физика
за рубежом. Серия А; 1987. Ст. Гринберг О.У. Новый уровень структуры материи.
Перевод статьи: Greenberg O.W. - Physics Today, September 1985, р. 22.
. В.П.
Визгин. Единые теории поля в 1-й трети XX в. М.: 1985.
. В.
Паули. Релятивистская теория элементарных частиц. М.: 1947.
. Л.А.
Рудый. Теория первичного поля, как гамильтонова динамика. Журнал
"Естественные и технические науки". 2010 г, №1.
. Л.А.
Рудый. Теория первичного поля, как диссипативной структуры объясняет кванты и
тяготение. Журнал "Естественные и технические науки". 2009г, №5.
. М.
Атья, Н. Хитчин. Геометрия и динамика магнитных монополей. М.: Мир, 1991.
. Л.
Райдер. Квантовая теория поля. М.: Мир, 1987.
. Дирака,
с. 112-237.
. Л.А.
Рудый. Теория первичного поля. Динамика поля. Журнал "Актуальные проблемы
современной науки". 2008 г, №5.
. Физика
за рубежом. Серия А; 1989. Ст.Дж. Шварц. Суперструны.
. Перевод статьи: Schwarz J.H. - Physics Today, November 1987, p. 33.
17. Нелинейные
волны. М.: 1977. Ред. С. Лейбович, А. Сибасс.
. Нелинейная
квантовая теория поля. М.: 1959. Ст.Р. Финкельстейн и другие
. Нелинейные
спинорные поля. Перевод статьи: R. Finkelstein and other. Phys. Rev., 83,
326-332 (1951).
. Диссипативные
солитоны. М.: Физматлит, 2008.
Раздел 7. Представление элементарных частиц в виде автоволновых процессов
В данной работе предложена новая модель и новая трактовка элементарных
частиц.
Основа физической Природы есть Первичное Поле импульса и энергии, из
которого образуются элементарные частицы как автоволновые процессы. Теория
Первичного Поля создана как альтернатива теории потенциала. Наш постулат - в
теории потенциала поле фиктивно, и им усечена реальность частиц. В этом состоит
проблема дуализма. Никакие нелинейные модификации такого поля (например,
солитоны) или декларации тензорного поля спина 2 (Логунов), или замена точечных
частиц струнами нисколько не меняют сути проблемы - это метастазы теории
потенциала. Теория Первичного Поля есть также реализация Фарадей-Максвелловской
идеи электротонического состояния. Поэтому уравнения Первичного Поля - телеграфные.
Ключевые слова: автоволновые процессы, теория первичного поля, диадный
тензор, диссипативные структуры, магнитный монополь, потенциал, дуализм,
телеграфные уравнения.
Нашим достижением является получение телеграфных уравнений (ТУ) из
диадного тензора
д/дxμ*
υ=
Kμυ [1].
В Kμυ пространство xμ и материя
υ
входят симметрично
(вместо их потенциалоподобной связи в ОТО [2]), образуя 8-мерное пространство
QTPH. Тогда как все исторические прецеденты были гидродинамического типа PQ
[3].
Монографии [4], [5] мы нашли в конце 2012 года. Они дают нам средство
завершить Теорию Первичного Поля (ТПП) построением теории элементарных частиц
(ТЭЧ) на новом принципе с применением нового математического метода.
Под новым принципом мы подразумеваем отказ от теории потенциала (ТП) в
теории поля, что означает отсутствие на этом первичном уровне Природы частиц,
тензора поля и производного от него тензора энергии импульса. Как показано в
нашей работе [6] классическая электродинамика и построенная по ее образцу
(Эйнштейн) ОТО являются реализациями ТП. Поэтому частицы и поля в них фиктивны
(если одна компонента теории фиктивна, то и остальные - тоже). Ни в ОТО [7], ни
у Логунова [8] гравитационное поле как фиктивная величина (компонента
реальности) не может обладать реальными энергией и импульсом (хотя величины с
этими размерностями можно составить). Как псевдотензор Эйнштейна, так и тензор
энергии-импульса Логунова - это мифы. Они не стоят таких трудов. Коллапс,
струны, суперструны, темная материя и прочее - это метастазы теории потенциала,
то есть мифы.
Конечно, гравитационное поле существует и обладает энергией-импульсом,
так же, как и электромагнитное поле, но они, чтобы быть реальными, чужды теории
потенциала. Эти поля Первичны, с собственной динамикой. Наша задача - открыть и
описать эту динамику, используя знания всей физики.
.1 Состояние современной физики
За последние полвека успехи теоретической физики весьма скромны.
Стандартная модель (СМ) независимо от открытия бозона Хиггса покинет
историческую сцену [9]. Заменить ее нечем, ибо ТП себя исчерпала. Теория
великого объединения (ТВО) фиктивных теорий лишена смысла даже при наличии
технических возможностей. Кварк-лептонное объединение [10] не прибавит ни на
йоту знание электрона или протона. Столетняя история ОТО - это хождение по
кругу внутри ТП [3], [7], [8]. Ускоренное расширение вселенной - такой же миф,
как коллапс звезды.
Единственная попытка преодолеть рамки ТП - это теория диссипативных
структур (ТДС), где взаимодействуют две и более реальные сущности (открытые
системы). Но эта идея не была осознана полностью (большинство работ в этой
области не вышли за рамки ТП). Небольшое число имевшихся моделей исчерпали эту
тему за два десятилетия, ТДС включили в Синергетику и отдали гуманитариям [11].
Последняя попытка реанимировать ТДС предпринята в модели генератора в
работах [4], [5] и в близких к ним. Но и в них отсутствует позиция в отношении
ТП. Из-за этого богатые возможности их метода не полностью реализованы.
Мы предъявляем уникальную модель - ТПП, в которой основные компоненты -
ТДС и телеграфные уравнения - врожденные (изначальные), и они порождены отказом
от ТП и реформированием электродинамики. Вот достойное поле для применения
методов [4], [5] и зарождения новой теоретической физики, адекватной физической
Природе.
.2 Автоволновые процессы в средах с диффузией
В монографии [4] "Предпринята попытка систематизации всех имеющихся
к настоящему времени результатов о феномене буферности, высокомодовых
аттракторах и диффузионном хаосе в параболических и гиперболических краевых
задачах и создания единой концепции нелинейной среды с диффузией" [4, c.
14].
"О феномене буферности принято говорить, если в фазовом пространстве
некоторой системы при подходящем выборе параметров можно гарантировать
существование любого фиксированного числа однотипных аттракторов (состояние
равновесия, циклов, торов и т.д.) [4, c. 9].
"Развитые специфические методы,…позволившие получить весьма тонкие
утверждения о неограниченном росте количества устойчивых диссипативных структур
(как стационарных, так и периодических по времени) при уменьшении коэффициентов
диффузии" [4, c, 14].
Благодаря [5] мы располагаем эквивалентными формулировками краевых задач
(1.10), (1.11) и (1.28), (1.29).
Задача (1.10), (1.11) описывает работу RCLG-автогенератора…
Связь краевых задач 1) и 2):
"Полагая в (1.10)
и исключая обычным образом переменную
, приходим к уравнению (1.28). Далее,
первое граничное условие (1.29) получается при подстановке в уравнение для
равенство
….
…Необходимость в подобном усложнении модели вызвана тем, что в отличие от
краевой задачи (1.10), (1.11) здесь мы будем интересоваться не малыми
колебаниями в окрестности нулевого состояния равновесия, а колебаниями
произвольной амплитуды" [5, c. 15].
С появлением ТПП мы поняли, что исключение
"обычным образом" есть
рудимент теории потенциала. В том и состоит новизна ТДС и ТПП, что они следуют
совета Хакена: "…самоорганизацию можно описать, включив внешние силы как
части полной системы" [12]. В ТПП роль внешних сил играет поле
- скалярная компонента 4-вектора
).
В [4, c. 120] эта краевая задача имеет вид:
(5)
Здесь
- нормированная переменная составляющая напряжения в линии;
- нормированная емкость на конце
;
имеют порядок единицы.
Решения в виде автоколебаний ищут в виде
(6)
Здесь сделана ссылка на [5].
В итоге в [4, c. 417] "в главе 2 удалось сформулировать общие
представления о характере аттракторов произвольной нелинейной гиперболической
системы. Было установлено, что…в случае одной пространственной переменной и при
диффузии порядка единицы типовой является ситуация, когда ее аттракторы -
конечный набор циклов, сосредоточенный на младших модах" (теорема 9.1).
Главы 3 и 4 представляют собой дальнейшее развитие, содержащейся в главе
1 теории диссипативных структур и распространение ее на колебательный случай.
Приведены дополнительные аргументы в пользу концепции общей нелинейной среды с
диффузией.
Имея в виду цель ТПП мы сомневаемся в необходимости называть [4, c. 11]
коэффициентом диффузии коэффициент перед
.
.3 Автоволновые процессы в первичном поле
Из исследований [4] и [5] нам нужны решения телеграфных уравнений (ТУ),
причем
) знание элементарных частиц даст отбор решений; нас не интересует
диффузионный хаос [4, c. 410];
) анализ всех возможных решений ТУ поможет раскрыть тайну элементарных
частиц.
Наша форма системы ТУ отражает уникальную динамику ПП, заключенную в
постулате: импульс
и энергия
превращаются друг в друга.
Именно этого явления не доставало всем бесчисленным попыткам (Ми, Борн,
Гейзенберг и т.д.) нелинейных теорий [11, с. 13]. "Например, Гейзенберг
предлагал, что такое уравнение может дать спектр масс элементарных частиц…Эти
задачи часто оказывались связаны с построением сложных стационарных или
автомодельных решений...с изучением задач с малым параметром при старшей
производной".
Введем в пространство Минковского поле 4-вектора энергии-импульса (
,
). С импульсом связано 3-векторное поле
с энергией связано скалярное поле
. Постулируем уравнения движения для
этих полей:
Или
(нет суммирования по
), (7)
где Kμυ - диадный тензор,
означает
без суммирования,
с условием


=0,
которое выражает превращение импульса
и энергии
друг в друга.
Получение ТУ (7) из диадного тензора Kμυ помогает решению и интерпретации ТУ,
так как инварианты Kμυ - это законы сохранения ПП. Мы показали
в [12], что реальное физическое поле может быть построено только за рамками ТП
в расширенном фазовом пространстве QTPH вместо обычного PQ. Выход за рамки ТП
влечет за собой отказ 1) от теорем Нётер, 2) от тензора поля.
Вариационный принцип Гильберта-Нётер с действием Гамильтона при этом
принимает вид интегрального инварианта Пуанкаре-Картана
(8)
численное значение которого указал Зоммерфельд.
Связь ТПП с квантовой механикой осуществляется ТДС согласно работе автора
[13]. Там же показано, как "геометрическое затухание" [14] может быть
истолковано, как сдвиг и запаздывание
относительно
через инвариант
(9)
что позволяет это малое "несохранение" в ПП отнести на счет
гравитации.
Эта идея позволила ТПП получить "большое число" 1042 в работе
[15].
Эта же идея гравитации, как малой доли электромагнетизма, диктует новый
взгляд на гравитационные волны.
Их рождению наиболее благоприятные процессы аннигиляции частиц, т.е.
рождение и уничтожение электрических зарядов.
Заключение
Первое применение АВП в ТПП решило проблему магнитного монополя [16] на
интуитивном уровне (без [4] и [5]). Здесь Квантовая Теория Поля оказалось
бессильной. Оказалось, что монополь Дирака - это "вид сзади"
известных частиц: электрона, протона и т.д. Та же ситуация с бозоном Хиггса.
Цитируем журнал "Природа": "В этих работах к безмассовым
векторным частицам добавлялись скалярные…Это делалось таким образом, что
состояние с наименьшей энергией (вакуумное состояние) представляло собой
эквивалент некой среды, распространяясь в которой векторные частицы набирают
массу. Итак, симметрия не требует наличия безмассовых векторных частиц, если
вакуум видоизменен скалярным полем. Роль такого вакуума двояка: во-первых,
векторные бозоны приобретают ненулевую массу, а во-вторых, вакуум обзаводится
рябью, "бегущей" по нему. Это и есть новая элементарная частица -
бозон Хиггса, имеющий спин ноль" [17].
Добавим, что время жизни этой "частицы" 10-22 секунды.
Сравнив ТПП со стандартной моделью (СМ), делаем вывод, что СМ - это
кривое зеркало реальности, в котором, изловчившись, можно увидеть что угодно.
Мы утверждаем, что бозон Хиггса есть отблеск поля - "среды"
в ТПП, как и монополь Дирака. Это
объясняет проблемы с их массами, с их неуловимостью. Змея (СМ) поймала свой
хвост.
С точки зрения логики СМ, а тем более теория суперструн, не сложна и не
удивительна. Вопрос в другом: кому и зачем они нужны? Выиграет ли наша
цивилизация от знания того, что "Все СМ-поля находятся на тэвной бране, в
то время как гравитация распространяется в дополнительной размерности"
[18].
Очень ли мы хотим "увидеть" бозон Хиггса, который живет 10-22
секунды.
Ничтожный логический тупик - нет движения без материи - не преодолен
теоретической физикой, [19], и она следует концепции: вакуум - основное
состояние любого вида материи.
Как мы попытались показать в этой статье, устранил указанный тупик другой
постулат - нет материи без движения (хоть и скрытого), и он дает прочную основу
для новой теории - Теории Первичного Поля. Мировая среда (вакуум) не
наблюдаема, а ее движение первично. И оно есть поле!, и вид материи! И это поле
имеет физический смысл без упоминания и присутствия вещества, как того хотел
Эйнштейн, но не сумел понять, [20].
Список литературы
1. Л.А.
Рудый. Теория первичного поля. Динамика поля. Журнал "Актуальные проблемы
современной науки", 2008 г, №5.
. Тредер
Г-Ю. Теория гравитации и принцип эквивалентности. М.: Атомиздат, 1973.
. ЖЭТФ,
2010 г, том 138, выпуск 5, стр. 830-843.
. Мищенко
Е.Ф. и др. Автоволновые процессы в нелинейных средах с диффузией. М.:
Физматлит, 2005г.
. Труды
МИАН имени В.А. Стеклова, 1998 г, том 222.
. Л.А.
Рудый. Теория первичного поля есть продолжение общей теории относительности за
рамки теории потенциала. Журнал "Актуальные проблемы современной
науки", 2012 г, №3.
. Л.Д.
Фаддеев. Новые динамические переменные теории тяготения Эйнштейна. ТМФ, том
166, №3, март 2011 г.
. А.А.
Логунов и др. Невозможность гравитационного коллапса. ТМФ, том 174, №2, февраль
2013 г.
. Физика
за рубежом. Серия А; 1987. Ст. Гринберг О.У. Новый уровень структуры материи.
Перевод статьи: Greenberg O.W. - Physics Today, September 1985, р. 22.
. Физика
за рубежом. Серия А; 1989. Ст. Дж. Шварц. Суперструны. Перевод статьи: Schwarz
J.H. - Physics Today, November 1987, p. 33.
. О.С.
Космачев. Представления группы Лоренца и классификация стабильных лептонов.
Препринт ОИЯИ, 2006г.
. Л.А.
Рудый. Теория первичного поля как источник специальной теории относительности.
Журнал "Актуальные проблемы современной науки", 2008г.
. Г.Г.
Малинецкий и др. Современные проблемы нелинейной динамики, М., 2002 г.
. Л.А.
Рудый. Теория первичного поля, как гамильтонова динамика. Журнал
"Естественные и технические науки". 2010г, №1.
. Л.А.
Рудый. Теория первичного поля, как диссипативной структуры объясняет кванты и
тяготение. Журнал "Естественные и технические науки". 2009 г, №5.
. Нелинейные
волны. М.: 1977. Ред. С. Лейбович, А. Сибасс.
. Л.А.
Рудый. Теория первичного поля в роли единой теории гравитации и
электромагнетизма производит отношение их сил 10-42 для электронов.
"Актуальные проблемы современной науки", 2012г, №4.
. И.М.
Бондарь, Л.А. Рудый. Магнитный монополь в теории потенциала и за ее рамками.
Принято к рассмотрению в ЖЭТФ
. Журнал
"Природа", №1, 2013 г.
. УФН,
2004 г, том 174, №7, стр. 717.
. Пространство
и время в современной физике. Редактор З.Г. Петров, Киев, 1968 г.
. Эйнштейн
А. Собрание сочинений, Т. 4, стр.452, 1966 г.
Английский вариант
L.FIELD THEORY VERSUS POTENTIAL THEORY - THE MOST SIMPLE EXIT
BEYOND STANDART MODEL In primary field theory (PFT) by the author reached the
final (full) the unity of the four categories: space, time, metric and field.
Used for this dyadic tensor d / dxμ .φυ = Kμυ (obviously
non-degenerate), where φυ - 4-vector of impulse-energy field.
In primary field theory (PFT) by Rudy first in the physics appeared beyond the
Newtonian paradigm, i.e., potential theory.eliminated the dualism of matter and
field, as in the PFT field is initially the carrier of energy and momentum,
what is reflected in a single field tensor (instead of two - field and energy -
momentum), there are no particles (i.e., mass and charge). Eight parameters of
the primary fields: length, duration, impulse and energy - form the extended
phase space QTPH.and successful general relativity (GR) - one of realizations
potential theory (PT):field is active, but not real, in general relativity
there is no short-range. But there is the second version of general relativity
(GR - 2), rejected by Einstein in the Project, as an extension of Einstein's
general relativity. This position may be filled with primary field theory (PFT)
by Rudy.this point, Einstein's general relativity get free from the problem of
the energy field, imposed by any opponents.words: general relativity, primary
field theory, dyadic tensor, dissipative structures, the paradigm, the
potential, the dualism.1 DYNAMICS OF THE PRIMARY FIELD 1. Introduction
"None of electromagnetic phenomenon does not contradict
the assumption that it is determined purely dynamical effect." (Maksvell.
Treatise. Preface) "The problem is posed by this work - double., to
formulate the principle of conservation of energy, so that it included the
principle of counteraction., to show that combined so the principles thereby
saving energy and counteraction able to give the same general study of
mechanics, like Newton's axioms. " [1, p. 88], J. Schutz, 1897)proposed
theory is based on the concept of double-field, called the primary, since it
serves as a precursor of particles. The components of this field are the
density of energy and impulse, and their correspondence with the classical
concepts of mass or charge is achieved by transition to the next level of
organization of reality (to a dynamic system, not to the second quantized
field). The field can interact only with the field. Since the charge and mass
are characteristics of the particles, the strength may be not characteristic of
the physical field, even if it is a continuous function of spatial and temporal
coordinates. In this, PFT fundamentality difference from any realization of
PT. 2. A general analysis of field theories An example of field theory is
considered electrodynamics: classical and quantum. Between it and the gravity
is possible analogous:: Gravity: Potential Metrics Strength Connection
Curvature With respect to these primary concepts energy and impulse of the
field are considered secondary., in a famous review in 1941 [2, p.9] Pauli
stated: "... it must be remembered that, for given values of the integrals
of energy and impulse localization of energy and impulse in space is uniquely
determined only in the gravitational theory in which gravity field gives the
energy - impulse tensor direct hysical meaning. "But the consensus of the
field energy is absent today. Faddeev [3, p.436]: "The total energy of
the gravitational field and gravitating matter is positive and vanishes only in
the absence of matter and gravitational waves, when the metric coincides with
the flat Minkowski metric. However, this result has not yet entered in the book.
The proof was difficult problem for mathematical physics, which was solved
recently. "[4, p. 32]: "Not so long ago in [68] (we have [3])
appeared to say that in general relativity on the basis of the Hamiltonian
formalism can not solve the problem of energy- impulse of the gravitational
field. But ... this statement is wrong and demonstrates a misunderstanding of
the author [68] being the problem. ".is surprising that with such a
difference of opinion, all authors follow the principle of conformity with the
classics and consider the static solutions each for his theory.more
surprisingly, no one took into consideration the statement by Einstein himself
[5, p. 239]: "... usually considered by the localization of energy (as
well as the amount of motion of the electromagnetic field) does not follow from
the Maxwell - Lorentz. More you can also specify, for example, energy
distribution, consistent with these equations, which in the case of static and
stationary states completely coincides with the distribution derived from the
old theory of action at a distance. "prototype of all the conservation
laws is a continuity equation, and the prototype of the energy - momentum
tensor is disconnected masses tensor . Most importantly, the introduction of
the tensor instead of scalar characteristics of the matter is absolutely no
difference in the form of interaction of field with matter. Einstein [6,
p.236] is looking for differential equations of the gravitational field as a
generalization of the Poisson equation, and the generalization of the
continuity equation (conservation law) an additional term [6, p. 235]:
"From the above it can be assumed that the law of conservation of energy -
momentum is given by
(1)
first three of these ratios (σ = 1,2,3) express the law
of conservation of momentum, the last (σ = 4) - the law of
conservation of energy. These relations are indeed covariant under arbitrary
transformations.second sum is ... influence of the gravitational field on the
material process. " Common understanding of conservation laws require that
equation (1) took the form of an ordinary divergence:
(2)
called
the tensor of energy - tension of the gravitational field
[6, p.241]. But the problem is not solved today. Why
not? Do all work in Riemannian geometry (Logunov, [4, p.9])? Address to
Schrödinger. Discussing the common requirement for the tensor of matter:
its divergence must vanish, he makes the remark: "It is, therefore, a very
trivial, but nonetheless a very important statement, which has a purely
geometric nature, it has nothing to do with the dynamic interaction between the
parts fluid or anything else yet " [7]. So we have to admit - the conservation
laws do not contain any dynamics. For closed systems, the 4-divergence of the
tensor of matter is zero, for open - vector and still that says nothing about
the internal dynamics of the system. And the principles of symmetry, and
Noether's theorems, and gauge concepts describe the dynamics of the system only
outwardly.
We are led to:
1) to introduce a double field into one tensor;
) the conservation law for a system of two fields to
express as divergence of one tensor;
) to abandon the old correspondence principle.
) The correspondence principle stood on Einstein's way
to unified field theory. In 1949, in Autobiographical Notes he wrote about the
theory of the electron Lorentz: "If you look critical at this phase of
development of the theory, the first thing that strikes the eye is her duality,
consisting in the fact that a material point, in the Newtonian sense, and the
field as a continuum used a number of as elementary concepts. The kinetic
energy and the energy fields are represented as fundamentally different things.
It seems all the more unsatisfactory that, according to Maxwell's theory, the
magnetic field of a moving electric charge represented the inertia. Why does
not the whole inertia? Then there would be only the energy field and the
particle would be a region of especially high density of this energy field.
Then one would hope that the concept of a material point together with the
equations of motion of a particle can be deduced from the field equations - and
interfere with duality would be eliminated.''Einstein (also Mi and Hilbert) did
not take into account that during the displacement of a material point from the
theory that recognizes two realities: matter and field, the essence of the
field variables does not change. These field values do not have an independent
existence.the rejection of the principle of correspondence with Newtonian
mechanics, i.e. rejection of the material point (on the mass and charge of both
the primary concepts), opens the way to the theory of physical fields. 3.
Construction of the theory of the primary field (PFT). The theory of primary
field is separated from the theory of Newtonian potential. We introduce the
four-dimensional impulse - energy vector (A,φ) into Minkowski’s space.
The impulse associated with 3-vector field, the energy associated with the
scalar field. We postulate the equations of motion for these fields:
(3)
means
(no summation)
, with the condition
= 0, (4)
which expresses the energy- impulse exchange between the
fields. As seen from the equations (3), each field is a non-conservative
system, and the sum of the fields - a conservative system. Therefore, for this composite
system can be used Lagrangian method instead of introducing the Rayleigh
dissipation function for each field. Equations (3) can be written, using the
condition (4), as the equations with reciprocal sources.(3) express the
conservation law for a composite system of fields, for which the term is
introduced: the double field. If we introduce the energy - momentum tensor of
double field, equations (3) can be obtained as the divergence of this tensor.
Wave (cylindrical or spherical) are always "monochromatic". The
effect of solid-state for the transverse cylindrical wave is generated by
attenuation A and by curvature φ. The same for a spherical wave of
the primary field generates a lot of rest.postulate energy - momentum tensor
instead of the postulate (3):
/ dxμ .φυ = Kμυ (5)
it was founded as a direct product of
two 4-vectors
(dyadic tensor), then it is obvious
relativistic invariance. To clarify the physical meaning is conveniently
represented
in the form of:
The symbols of div, grad, and
identify the components of
these values. The trace of this tensor
=
, as usual, is invariant. In general,
the tensor
is not symmetric.construct a theory there are two
possibilities:
) Arrange
К
= F
+ T
antisymmetric and symmetric parts, where
F
=
and 2T
=
) For К
set symmetry or antisymmetry, based
on the assumed properties of the physical system.
As usual, the symmetric tensor
corresponds to an irrotational field, and antisymmetric --divergence-free
field. Especially, we emphasize that this tensor is no nonrelativistic limit.
Its spatial -- temporal components are never state zero.most interesting
property of the tensor К
:
- identical to the tensor of the
electromagnetic field. It is antisymmetric and leads to equations similar to
Maxwell's equations, but having a different physical content, as described
above. In the primary field is not property of gauge invariance, as no charge
in PFT.principal difference between a new form of conservation law from the
form discussed in sections 2, that for a closed system
)
(no summation at
)
) despite the inequality of zero
divergence of the energy-momentum tensor is no flow of energy - momentum of
double field through any closed surface in finite time does not exist by virtue
of condition (4), although for each field separately, they are.the proposed
model of the primary field there is an analogy: wave pulse + Stokes transport +
return motion. [8]non-invariance of the individual parts (A and φ) of double field provides
the basis for the principle of equivalence: a fragment of a field model of one
particle in its own frame of reference is perceived in a different frame of
reference as a part of the field of another particle model, according to (3)
and (4).A - Killing field, φ - the curvature. Then, this
interpretation opens the way to the use of Riemannian geometry in the field
models of elementary particles. It is responsible for the curvature of the
unique of the charge. Figuratively speaking, the shape of the potential hole
well does not depend on its depth. The depth of the hole determines the rest
mass of the particle, and sustained for an external observer the shape of the
hole determines the charge.state briefly in the form of hypotheses, the main
results obtained in this chapter. Hypothesis 1. Symmetric tensor T is field
model of charged particle in its own frame of reference.2. Antisymmetric tensor
F is field model of the photon.3. In an arbitrary coordinate system the tensor
K is asymmetric and its splitting K = T + F1 + F2 + ... displays photon
emission by a charged particle.4. The tensor T is a field of the monopole.2.
THEORY OF PRIMARY FIELD AS A SOURCE OF SPECIAL THEORY OF RELATIVITY 1.
Introduction In Chapter 1, the theory of the primary field (PFT) has
implemented the principle counteraction by Schutz and clarified the role of a material
point in the structure of mechanics. This chapter will continue to study the
mechanics and clarify the role of the special theory of relativity in general
mechanics. To accomplish put problem more than any other suitable notion of
spin. He crossed the classical and quantum models of physical phenomena,
Newtonian and relativistic methods, concepts of fields and particles, the
problem of the relation of discrete and continuous. Moreover, that article by
Kosmachev (Dubna) demonstrates the increasing interest in the treatment of the
spin from side of the quark-lepton unification.
. A literature review on the spin.
A.Hezlot. Classical mechanics and the electron spin.[9] "In common
textbooks claim that the inadequacy of the naive model" spinning top
"excludes the possibility of a classical description of electron spin. In
fact, with respect to spin, then it is not associated with relativism and
quantum mechanics, but arises from the representations of the rotation group,
which plays an important role also in the non-relativistic classical mechanics.
" Significant additions:above-mentioned group of rotations is a normal
subgroup of the Lorentz group, in which you can see the connection of spin with
relativism. The lack of articles in the derivation of the spin of the
"fact" of the existence of the electron intrinsic magnetic
moment..Oganyan. What is spin? [10] "The lack of a visual picture of the
spin leaves a sad gap in the understanding of quantum mechanics. The fact that
this unsatisfactory situation is almost always ignored, even more surprising
when it becomes clear that the way to fill this gap was found in 1939 in
thework by Belinfante. He showed that the spin can be regarded as a moment
resulting from the circulating flow of energy or momentum density in the wave
field of the electron".
This part of the article by Ohanian contains very important
information about the nature of the spin. But Ohanian does not mention the
difficulties of classical electrodynamics, which will inevitably show up in the
present theory of spin. Ohanian prefers the non-relativistic spin. On the other
hand, the present theory of spin by Belinfante as well as possible consistent
with the theory of the primary field (PFT), contains the required
energy-momentum tensor, and devoid of problems of classical electrodynamics.
O.S. Kosmachev. Representation of the Lorentz group and the classification of
stable leptons [11] "Despite the long life of the concept of spin and its
highly successful mathematical formalization for the electron, the nature of
the spin can not be considered closed." Kosmachev attracts attention to
"... a well-known fact - turn at a fixed angle of one inertial system with
respect to the other when they are relativistic motion. In other words, the
type of orbital motion generates the relativistic rotation. That is why neither
the orbital angular momentum or spin, but only their sum can be an integral of
motion for a single particle. "...as it follows from the above, without
relativism the generation of relativistic spin rotation is impossible.
Therefore, the spin is actually a manifestation of relativism. Of course true
to associate spin with well-defined quantum number, if by the quantum numbers
mean indices of group representations. But this concept is to grant the
properties of a physical quantity actually existing in isolation from the
motion of a particle as a whole, is the assumption, which requires proof. Such
was not provided in the last 80 years. " Obviously, a purely algebraic
method by Kosmachev, model of the phenomenon is absent. Kosmachev defends the
thesis: "... the relativity for the description of the microworld there is
no alternative." To this hi is leaded to an urgent need: "... the
real progress towards unification of strong and weak interactions will be
possible in the event that the phenomenological success of the unitary symmetry
will have an explanation and the development based on the requirements of
relativism in the first place." Kosmachev brilliantly completed the task
of a relativistic description of spin, but the alternative is still there.
First Kosmachev did not deny the judgment by Hezlot and by Ohanian; Second,
Kosmachev little neglected classics, what we find in the famous book by G.A.
Sokolik. Sokolik. Group methods in the theory of elementary particles. [12].
"It should be noted an important difference between the
quantum numbers, such as spin, describing the internal degrees of freedom of
the particle and the quantum numbers of the type of angular momentum. The
numbers of the latter type are taken into account in the expansion of the state
vector in a series of orthogonal functions forming a basis in Hilbert space,
and quantum numbers allow you to classify the pure states of the system
corresponding to the basis vectors. As for the quantum numbers like spin, then
they can be interpreted in terms of the invariants of the representation of
some of the fundamental group or subgroup. In particular, the spin of a
particle is defined as the weight of the defining irreducible, finite-dimensional
representation of three-dimensional rotation subgroup of the Lorentz group.
Spin operators are realized in such a space of the Lorentz group. In other
words, the spin along with the mass and charge is characteristic of its own
particles, while the other quantum numbers characterize its state at a certain
field. " "The existence of a normal subgroup of the Lorentz group
reduces it to a direct product of two 3-dimensional rotation groups, given an
algebra
[τi τj] = τk; [υi υj] = υk; ijk = cycl; [τ υ] = 0
is known that the presence of a
normal subgroup that distinguishes O4 among all orthogonal groups, can provide
a full momentum in the orbital and spin
= L + S ".
arguments is sufficient to consider
the spin of its own characteristic particle that does not negate its
exceptional properties. For us, it is important to: 1) The combined action of
two groups of three-dimensional (non-relativistic) is completely characterized
by a bound electron in an atom; 2) there is a relativistic description of bound
electron in an atom, while the spin associated with a 3-dimensional subgroup of
the Lorentz group. Conclusion: There are equivalent descriptions of spin:
relativistic and nonrelativistic, ie, alternative exists.: Is there a
non-relativistic explanation of relativism, that is, special theory of
relativity (SRT)? Yes! See the Findings.
. Findingsfour of the author (Hezlot,
Ohanian, Kosmachev, Sokolik) recognize more or less explicitly the length of
the electron., the theory of the primary field (PFT) represents this length of
field in the form of a double field (A, φ), and thus materializes a
direct product of two 3-dimensional rotation groups in the form of the angular
and spin moments. Another example of the same theoretical construct is a photon
- a transverse wave in the PFT. Here, the longitudinal motion of the photon and
the inner transverse motion materializes again the direct product of two
3-dimensional rotation group. Hence, the mathematical and physical foundations
of an inevitable conclusion: Relativism - the effect is a combination of two
Newtonian motion. One reason for the creation of the PFT had the confidence in
the existence in nature of such a combination of Newton's movements, which were
perceived as a named relativisti3. THEORY OF THE PRIMARY FIELD AS DISSIPATIVE
STRUCTURE EXPLAIN THE QUANTUM AND GRAVITY
. Introductionthe chapters (1-2) the
theory of the primary field (PFT) is presented in full. Her short content:
. Field values should explicitly
express the momentum and energy of the primary field. 2. PFT is initiated by
the Faraday-Maxwell electrodynamics (for electrotonic standing ) and the
Lorentz electrodynamics (against the "synthesis of Newton’s mechanics and
of Maxwell’s theory ")
. Potential theory finds no place in
the PFT.
. Primary field is double (A, φ), to implement the
principle by Schutz and leave the Newtonian paradigm about material point.
. PFT - the source of the special
theory of relativity (SRT).
. In PFT act non-trivial conservation
laws - turning momentum - energy (none Noether).
. As called the "Lorentz
condition" is the basic dynamic law at PFT as "a closed dynamical
system" of mechanics.
. All listed forms the basis for
models of objects and phenomena from the higher level - of elementary particles
and their interactions.
. Dissipative structure.the term
"attenuation of A" transfer in "dissipation of A", and the
field φ called the
"environment", then "dissipative structure" of Prigogine
[13] is obtained from the PFT.we follow the advice of Haken [14]: "It is
quite obvious that the self-organization can be described, including external
forces as part of a complete system" (we mean the field φ).Haken means PFT, as
"... now the external force should consider not as a set value, but the
variables, which obey the equations of motion." Conclusion: The theory of
dissipative structures allows us to study self-organization in the PFT.
"What a fundamentally new (as compared with conservative systems)
phenomena arise in dissipative systems ... The most important and remarkable of
these phenomena - the generation of undamped oscillations whose properties do
not depend on whether, when and from which the initial state of the system was
launched ... ". [15, p.222]are called auto oscillations associated with
limit cycles (LC) Poincare. Thus, "the existence of self-sustained
oscillations in a dynamical system can possibility only in open systems with
dissipation, nonlinear interactions and structure-stable stationary
states," [16, p.260]. The role of a dynamical system with dissipation will
perform a field of impulses A PFT. The non - linear interaction between parts A
and φ of double field are
reflected in depending soon impulse A from the " environment φ".
"It is interesting to note that
the introduction of time delay leads to an appearance of sustainable and the
only solution with limit cycle, with its abnormal neutral stable cycles are
replaced by regular oscillations." [16, p. 261] Hence, the equations in
PFT must be of delay argument equations
(9)
allows us to formulate a new quantum
hypothesis: in the primary field, the response is delayed.or stable state of
equilibrium is called attractors (from the word attract - "pull").of
the system corresponds to the stability of elementary particles. "The
transition from one crude portrait to another happens through uncrude
condition, called a bifurcation.""corresponds to the birth (in the
change of the parameter) of the LC from the state of equilibrium (in the
reverse change of the parameter LC "adheres"to the state of
equilibrium, and thus disappears).- a way to transform of the particles.
"... bifurcation possible not only in the phase plane, but also in the
phase space of higher dimension." [15, p.241]
Attractors fundamentally impossible in the conservative (Hamiltonian)
systems. [17, p. 176]
. Prospects.the presence of spatial displacement and time
delay of the field φ with respect to the field A in the
equation (9), applied to models of positive and negative charges, we obtain
hysteresis loop of the double field for the neutral system of an atom.
Displacement and the delay are so small that the amount of hysteresis loop
corresponds to the gravitational interaction as compared to electric.to the
counter nature of components A and φ of the primary field
(electricity), we let to consider
as the complete measure of the
primary field (gravitation), and
- as measure of
"unconversation" of the primary field.values of
and
are so, that
(10)
definition, soon of the wave
, where
- length of wave and
- period of wave., we obtain from
(9)
, i.e.
, (11)
,
- displacement,
- delay of wave for primary field,
and moreover
., the theory of the primary field will carry out the
hypothesis by Zellner - Moccotti about gravitation.
"... The formation of dissipative structures due to the
energy flow in nonlinear systems can be regarded as an entirely new paradigm of
the dynamics." [18, p.18] 4. PRIMARY FIELD THEORY AS A HAMILTONIAN
DYNAMICSof potential theory in the theory of the primary field (Sec. 1.3)
entails the combination of: tensors field and the energy - momentum, of the
canonical and mechanical momentums, Hamilton and movement equations. "Many
problems of mechanics expressions for the generalized momenta can easily be
obtained directly from physical considerations" [19, p. 246].
"Using space QTPH creates the greatest opportunity for
the general treatment of dynamics." [20, p. 203]
"The dynamics of a conservative system in the space of
PQ with the Hamiltonian function H (q, p) is mathematically identical to the
dynamics in space QTPH with function of the energy Ω (x, y)" [20, p.
335], y = yr = (pi, H) -- vector momentum - energy. He is responsible 4-vector
(A, φ) = φμ primary field theory
(Chapter 1).the Hamiltonian action [20, p.221, 405] takes the form
(12)
equation can be taken с2А2-φ2 = 0canonical Hamiltonian
equations have the familiar form
т.е.
(13)
Hamiltonian H in (12) - the fourth component of the 4-vector,
not a relativistic invariant. Invariant с2А2-φ2 reduces to the station,
which can serve as a function of energy. Then [21, p.228]: "Any
transformation which leaves invariant the canonical expression under of the
integral (12), also leaves invariant and the canonical equations." ...
"The role of the Hamiltonian assumes the identity" [21, p. 362]
с2А2-φ2 = inv or
(14)
, as an invariant that defines the shift and the delay in the
primary field, we adopt a Hamiltonian action (12). "In contrast to
classical physics, which required for the integral of Hamilton (12) extreme,
Sommerfeld defines the value of this integral is equal to h/2π [22, p. 509]." This
confirms the author's quantum hypothesis, proposed in (Ch. 3), and opens up new
opportunities for the analysis of the universal constants by the PFT. Equation
(14) - one of the dyadic tensor invariants. Dyadic tensor communicates
coordinate QT and impulse PH subspaces from space QTPH. Metrics QT and PH are
the same - a postulate. The primary field is characterized by length, duration,
impulse and energy (QTPH).contrast to the hydrodynamic-type systems - a soliton
with a phase space QP, the PFT as a dissipative system requires the extended
phase space QTPH
"Hamilton - apologist of dynamics. [22, p.109]. "
"It is interesting to note that Hamilton has not given his canonical
equations of any application ..." [22, p. 167].my opinion, he could not
think of a mechanical model of the "plenum'a", in which the principal
must be continuous, rather than occupancy (as thought)., Jacobi moved from
Hamilton, as Lorenz from Maxwell.5. NEW PARADIGM OF PHYSICS STARTED IN THE
THEORY OF PRIMARY FIELD
1. Particle, the charge and fieldde Broglie: "Is it
possible to restore the concept of a localized particle-based description of
the wave and return to the concept of corpuscles thus only the exact
value" [23, p. 3]. "... The relation W = hυ, applied to the particle,
implies the existence of the internal vibrations of the particles with the
frequency υ, and from the works of Planck and Einstein we know that υ is the frequency of the
wave which carries the particle" [24, p. 30]. Even more clearly expressed
this idea of de Broglie disciples: "... the movement corpuscular area is
controlled by an extended element "[23, p. 149]. In the whole subsequent
history of physics continuum model particles are absent. According to Pauli
" Einstein comes from the field representations of continuum physics of
Faraday-Maxwell" [25, p. 177]. Faraday himself did not come to a final
judgment: "he can not imagine the difference between the solid particles
and the surrounding field".has never defined what is the charge. Hertz
considered, that Maxwell arrived his equations, based on long-range forces.
Weil vacillated between "field
theory of matter" [26, p. 261] and "Never the less it is charged
material points are, apparently, the last elementary constituents of matter, in
particular, these are the electrons." [26, p. 352] Physics and physicists
have become hostages of the defect model, the concept of the field was
inadequate because the inherited worthless, but historically an emergency,
temporary model of the field from the electron theory by Lorentz. But Lorentz
himself acknowledged that he was forced to retreat from the Maxwell theory to
introduce a charge . However, the Lorentz’s field has become a classic, and
about it Pauli in 1956, said: "There is still a very controversial
question as to whether satisfactory classical notion of the field. We talked a
lot with Einstein on this subject, and I - as well as Born - inclined to regard
it merely as a heuristic concept, but poor for a deeper approach "[25,
p.200]. The belated recognition. Even in 1953, Einstein stated: "... the
gravitational equations for empty space are the only ... the case of field
theory, which can lay claim to the severity of ...". [44] And: "In
the usual field theory, where the particles are considered as point, we can not
construct any satisfactory theory of quantum gravity, despite the emergence of
theories of supergravity., high expectations of superstring theory.principle,
one can consider the surface instead of strings, called membranes, and is already
considered supermembrane ... "[45, p. 139].of supersymmetry, "it must
be assumed [45, p. 115] the existence of a whole family of new elementary
particles ... they can be detected by a new generation of accelerators
..." Such a multiplication of particles - is a negative feature of the
theory.
1.
Lost opportunity
In the Treatise [Volume 1, p. 60],
Maxwell wrote, "If we could get a clear idea of the mechanical nature of
the building, in conjunction with the representation of the energy it would
allow us to determine that the physical category, which include"
electricity ""potentials by Maxwell - is a shadow formed by the
currents and charges from the impulse and energy of the primary field.
Therefore, the Maxwell equations in tune with the equations of PFT.himself
(it's amazing), explaining his theory of the equivalence (mathematical) with
theory of action at a distance, and saw the advantage of his theory in the
possibility of a mechanical analogy.with potential theory, Maxwell missed the
opportunity to create a theory of physical field.is because of its
conventionality potential theory is incompatible with the mechanical (i.e.,
real) models. She is to blame for the problem of self-energy, divergences,
indeterminacy of the gravitational "field" and strange cosmology,
based on GR.in 1936, searching for the correct model of a classic, no doubt the
correctness of quantum theory. But he remained within the Newtonian paradigm
together with his three forms of dynamics and his theory of relativistic
electrons.other missed opportunities tied to the first. These include a
"field theory of matter," by Mi, summarizing its work of by Hilbert,
"Foundations of Physics", many works of the 30 s.particular interest
are the work by Born on the "principle of reciprocity," 1936-1939
period, which examines connection of coordinate and momentum spaces, and the
momentum space is curved. This idea was tested by Tamm and Kadyshevsky in
Quantum Field Theory, but the results did not give singular (Newtonian
paradigm).applied the principle of reciprocity in the theory of the primary
field, which is exempt from the Newtonian paradigm, and realized this missed
opportunity in the dyadic tensor.
. PFT becomes GTR 2, and saves GTR
from the trouble of energy field. We identify the tensor Kμv (PFT) with Rμv by Eddington. [48, p.
485] In Eddington [49 s. 328] as in the PFT
, where the first (second) term
represents a symmetric (antisymmetric) part (Chapter 1). Since the in the
Riemannian case
=0, Eddington suggested that
play the role of the electromagnetic
field, and we, along with Eddington put
=
, where
is the cosmological constant. The
analogue of this equation is our equation
.
in contrast to the Eddington and
Einstein which use the signature (--- +) in the PFT needs a positive definite
metric as the release of potential theory and the emergence of a real field
instead of the actual electromagnetic and gravitational fields.refer to Weil
... "metric, one of which is associated with a degenerate form, the other
- with non-degenerate, despite their formal similarity, shared the abyss."
[41, s. 407]may be objected to Einstein that mathematics is indifferent to the
physical interpretation of the formula: differential equations with partial
derivatives and tensor analysis equally well serve as for short-range as for
long-range.did not create the theory of real fields, and Hertz saw not what
Maxwell has created, but what is hidden behind it. At Hertz is reality, at
Maxwell is theory (the potential). Such doubts have been at Weil [41, p. 348]:
"We no longer consider it absolutely precise Maksvell’s understanding of
localization of energy." Interesting and useful for us to monitor said
Recami [48 p. 108]: "Staying in a 4-dimensional space ... Fantappie in
1954 showed that there is an unique new group ... which is reduced to the
Poincare group in the
, and which can not be the limit of what else other than her
group. This new group is a group of internal motions of space-time de Sitter
space, ... ". In view of Chapter 2 is probably the action of this group in
the primary field. (I accept as a hypothesis). De Sitter space [50, c. 221] a
special case of Einstein spaces [1, c. 123], including both Riemannian and
pseudo-Riemannian manifold. It turns out [51, c. 250], that for the Laplace and
d'Alembert are two natural definitions coincide in any metric: = It should be
understood as the proximity of the mathematical description (wave) phenomena in
GR and GR-2 (PFT). As for the "principle of the irreducibility of"
Pauli "that divided the god, not given to connect the man" [52, p.
223], it seems God is merciful, for a single source was found to gμv and Fμv.Primary field theory and
received with the new interpretation of GR and GR-2 allows us to give an
initial axioms of physics:
. Field contains these and only these
attributes: the length, duration, impulse and energy.
. Matter is organized field, having
properties of the whole, different from the properties of its parts.
. Duality of field and matter is
absent in nature, but he may be in the theory.
. Nature has no jumps and dips, the
concept Discreteness belongs to the theory. 5. Laws of Nature are local,
integral laws - the subject of the theory. Consequences of the axioms:
. Physical field and the particle can
not be objects of one theory, that is, in a dualistic theory both components
are fictitious.
. In the dualistic theory there is no
short-range.
. Discussion about the primacy of
space and matter - the idle. 4. Matter has many levels of the organization. One
level of organization of matter can answer a few theories, but not vice versa.
5.United field theory in the traditional sense does not make sense. This is the
new paradigm of physics. In this article, the author used the publication
[34.35].
References
1. Визгин В.П. Развитие взаимосвязи принципов инвариантности с
законами сохранения в классической физике. М.: Наука 1972.
2. Reviews of Modern Physics, vol.13, №3, p.p. 203-232,
July, 1941
3. УФН, 1982, г.136, с. 435-457.
4. А.А.
Логунов, Мествиришвили. Релятивистская теория гравитации. М.: Наука 1988.
5. А.
Эйнштейн. Собр. соч. М.: Наука 1966, т.З.
6. А. Эйнштейн. Собр. соч. М.: Наука 1966, т. 1.
7. Э.
Шредингер. Пространственно-временная структура Вселенной. М.: Наука 1986.
8. Степанянц Ю.А., Фабрикант А.Л. Распространение волн в сдвиговых
потоках - М.: Наука. Физматлит 1996, 240с. (Совр.пробл.физики)
9. Heslot A. HANDBUCH DER PHYSIC, VOLUME
III/1,Springer-Verlag, 1960
10. Ohanian
N.C. - Amer.J. Phys., June 1986, v. 54, №6, p.500
11. O.S.
Kosmachev. Representations of the Lorentz group and the classification of
stable leptons. Preprint.
Dubna. In 2006.
. Г.А.
Соколик. Групповые методы в теории элементарных частиц. Атомиздат 1965.
13. G.
Nicolis. I. Prigogine. Self-organization in nonequilibrium systems. J.Wiley,New- York,1977.
14. H.
Haken. Synergetics. Springer-Verlag ,Berlin,1978
15. М.И.
Рабинович, Д.И. Трубецков. Введение в теорию колебаний и волн. М.Наука 1984.
16. F.
Kaiser. Of Art. Non-linear oscillations. In Sat Nonlinear electromagnetics. New
York 1983.
17. Н.Е.
Карлов, Н.А. Кириченко Колебания, волны, структуры. М.: 2003.
. Dissipative
solitons. Springer, 2005.
19. Голдстейн
Г. Классическая механика. 1975.
20. J.L.
Synge. Classical dynamics. Springer, 1960. [21] C. Lanczos. The Variational
Principles of Mechanics. Toronto,
1962.
. Л.С.
Полак Вариационные принципы механики. 1960.
. Ж.Л.
Андраде Э. Силва, Ж. Лошак. Поля, частицы, кванты. 1971, с. 149
23. Louis
de Broglie. Compt. Rent. 277, 1973
24. В.
Паули. Физические очерки. М.: 1974.
. Г.
Вейль. Пространство, время, материя. М.: Янус 1996.
A. Einstein.
The Meaning of Relativity, fourth edition.Prinston,1953
. Fayet
P. La Recherche,Mars,1988, p.335
27. A.
Pais. The Science and Life of A.Einstein New York, 1982, §17.5.
. Astrofisica
e Cosmologia, Gravitazione, Quanti e Relativita. Firenze, 1979. Art. 4., E. Recami, § 8.1
. А.З.
Петров. Пространства Эйнштейна. М.: Физматлит 1961.
. Р.
Рихтмайер. Принципы современной математической физики, т. 2. М.: Мир 1984.
. В.П.
Визгин единые теории поля в 1-й трети ХХ в. М.: Наука 1985.
. Рудый
Л.А. Актуальные проблемы современной науки. 2008 г, №5, с. 158; №6, с. 101;
2009 г, №1, с. 100.
. Рудый
Л.А. Естественные и технические науки. 2009г, №5 с. 52; 2010 г №1 с. 55.
Раздел 8. О соотношении силы тяготения к силе электрического отталкивания
В работах [1.2] построена теория первичного поля путем расширения
формализма Гамильтона [3] за рамки теории потенциала. Хотя в теории первичного
поля только одно векторное поле, зато оно носитель энергии - импульса, и
необходимость в традиционном тензоре поля отпадает, что означает отказ от
теории потенциала. Благодаря диадному тензору решается проблема Эйнштейна о
форме связи материи с геометрией, т.к. они входят в диадный тензор симметрично.
В 1965 г. Р. Фейман писал "Тяготение относится к электрическому
отталкиванию, как 1 к числу с 42 нулями. Это вызывает глубочайшее недоумение.
Откуда могло взяться такое огромное число? Если бы у нас когда-нибудь появилась
общая теория для двух этих явлений, то как она давала бы такую диспропорцию для
двух электронов:
.
Каким должно быть общее уравнение, если, решая его для двух видов сил -
гравитационного притяжения и электрического отталкивания, мы приходим к такому
фантастическому отношению?". [3, с. 281].
Данная статья, продолжая работы [1,2], отвечает на вопросы Р.Феймана.
Введем в пространство Минковского 4-вектор энергии-импульса А,
. С импульсом связано 3-векторное
поле А, с энергией связано скалярное поле
.
Вследствие встречного характера компонент A и φ
первичного поля, мы
должны считать
за полную меру первичного поля (электричество), и
- за меру "несохранения"
первичного поля (гравитация).
Пусть величины
и
таковые, что
(1)
По определению скорость волны
, где
- длина волны и
- период волны. Тогда мы получим из
(1)
, т.е.
, (2)
где
,
где
- сдвиг,
- запаздывание волны первичного поля, и более того
.
Таким образом, теория первичного поля реализует гипотезу Цельнера -
Моссотти о гравитации.
Пусть
является (равно)
. Тогда с увеличением
уменьшается
.
Этот эффект наблюдается как в микромире, так и в космологии.
Таким образом, теория первичного поля кроме внутреннего совершенства
получает внешнее оправдание.
Литература
1. Рудый
Л.А. Актуальные проблемы современной науки. 2008 г, №5, с. 158; №6, с. 101;
2009 г, №1, с. 100, №3, 2012 г., с. 180
. Рудый
Л.А. Естественные и технические науки. 2009г, №5 с.52; 2010г №1 с. 55.
. Томилин
К.А. Фундаментальные физические постоянные в историческом и методологическом
аспектах. М.: Физматлит, 2006 г., 368 с.
Раздел 9. Что такое первичное поле?
В статье "Притяжение" Максвелл делает вывод, что поле есть вполне
самостоятельная несводимая к механической физическая реальность. Плодотворность
идеи Максвелла в том, что она указывает на возможность локализации энергии в
пространстве, лишенном "обычной материи". Очевидное логическое
продолжение этих представлений - возможность распространения энергии в
пространстве.
Теория Первичного Поля (ТПП) реализует идею Максвелла в форме,
невозможной в 19 веке. Это пространство, созданное Минковским, (4-мерное
псевдоэвклидовое) и энергия расширяется до 4-х вектора импульса-энергии.
Так как теория поля Максвелла реализует теорию потенциала (Максвелл), то
новая физика в расширенном фазовом пространстве QTPH с диадным тензором
становится альтернативной к старой,
основанной на теории потенциала.
заменяет сразу два тензора
электродинамики Максвелла
и
(поля и энергии-импульса); электродинамика реформируется,
полевые переменные
имеют механический смысл (электротоническое
состояние), понятие заряда на этом 1-м уровне отсутствует вовсе, а с ним
исчезают понятия напряженностей. Эта реформация касается только теории поля и
не затрагивает электродинамику. Например, монополь Дирака не мог избавиться от
нитей (топология не в счет), а за рамками теории потенциала приобрел понятную и
полезную реальность (см. ст. автора).
Теория Первичного Поля разрушила многовековую идею Единства физики, т.к.
теория физики имеет многоуровневую структуру, со своими моделями и
теоретическими методами. Эта ложная идея (геометризация физики, стандартная
модель, большое объединение и т.д.) загубила значительную часть материальных и
интеллектуальных ресурсов нашей цивилизации.
Все выдающиеся ученые 19, 20 веков впустую тратили свой ресурс для
достижения этой цели.
1. Эйнштейн вытеснял материальную точку из поля; ОТО Эйнштейна
лишена им самим динамики; поэтому космология из ОТО не имеет смысла.
2. Единая теория элементарных частиц за 100 лет не улучшила
понимание электрона, протона и т.д., нагромождая бессмысленные теории и бесполезные
колайдеры (псевдо Хигс).
. Фейман отказался от понятия поля в пользу теории прямого
нечастичного взаимодействия, не поняв фиктивный характер поля в ТП.
. Фарадей говорил, что он не может представить себе границу между
частицей и окружающим ее полем.
. ТПП построена на постулате, что в Природе нет соседства вещества
и поля. Поэтому в ТПП поле в теории потенциала провозглашается фиктивным (но не
лишенным практической пользы).
Мы настаиваем на новом мировоззрении: Первичной реальностью Космоса
является импульс и энергия с их неотемлемое свойство протяженность и
длительность.
Эту реальность мы назвали Первичным полем. Мы открыли законы ПП:
Это превращение импульса и энергии ПП друг в друга
=inv,
или
Все законы ПП содержатся в инвариантах диадного тензора
, а также вытекают из интегрального
инварианта Пуанкаре-Картанакоторый становится на место прежнего вариационного
принципа Гильберта-Нётер в соответствии с расширенным фазовым пространством PQ
PQTH.
Второй уровень организации Космоса составляют элементарные частицы и их
взаимодействия - и это продукт Автоволновых процессов в ПП.
Теория автоволновых процессов разработана группой Колесова, Мищенко,
Розова, Садовничего.
Третий уровень прикладной: Здесь снова можно применять ТПП, памятуя об
условном смысле понятий. Здесь справедлива классическая механика (КМ). Модель
ТПП и КМ не совместимы. Это объясняет все неудачи механических моделей
классической электродинамики.
Тезисы по теории первичного поля
. Предложения
. Электродинамика, стандартная модель, общая теория
относительности (ОТО) есть реализация теории потенциала (ТП).
. В теории потенциала поле (и, следовательно, частицы) фиктивны
(постулат).
. Математический аппарат (дифференциальные уравнения) безразличны
к реальности или фиктивности поля.
. Классический вариационный формализм адекватен теории потенциала
(механика точки с фазовым пространством PQ , фиктивное поле).
. Реальное поле требует расширенного фазового пространства PQTH,
нового вариационного принципа - интегральный инвариант Пуанкаре - Картана,
новой модели механики - теории диссипативных структур (ТДС) и ее применения -
теории автоволновых процессов (АП).
. На базе PQTH открыта новая физическая структура - диадный тензор
(невырожденный), где
- 4-вектор импульса-энергии Первичного
поля (ПП) с его неотъемлемым свойством протяженности и длительностью
.
8.
- заменяет прежние а) тензорные поля
классической электродинамики и б)
конструируемый из
тензор импульса-энергии
. Так называемое условие Лоренца выражает превращение импульса и
энергии ПП друг в друга (постулат).
. Результаты
. Первичное поле есть электротоническое состояние Фарадея-Максвелла.
. В форме телеграфных уравнений ПП образует одну из моделей для
автоволновых процессов.
. Автоволновые процессы в Первичном поле есть элементарные частицы.
. Вследствие затухания и сдвига в Первичном поле реализуется гипотеза
Цельнера-Моссотти о гравитации как вторичной к электричеству, что
подтверждается получением в теории ПП отношения силы электрического
отталкивания к силе тяготения для электрона и других частиц равном 1042.
. Решена проблема магнитного монополя вне теории потенциала.
. Теория ПП доказала отсутствие понятия энергии поля в электродинамике и
ОТО.
. Диадный тензор
по определению включает пространство
и материю
симметрично вместо их
потенциалоподобной связи в электродинамике и ОТО.
. Квантовая механика получает от теории ПП новые физические переменные и,
что устраняет парадоксы и решает проблемы, существующие в настоящее время в
квантовой механике.
Список литературы
1. Л.А.
Рудый. Теория первичного поля. Динамика поля. Журнал "Актуальные проблемы
современной науки", 2008 г, №5.
. Тредер
Г-Ю. Теория гравитации и принцип эквивалентности. М.: Атомиздат, 1973.
. ЖЭТФ,
2010 г, том 138, выпуск 5, стр. 830-843.
. Мищенко
Е.Ф. и др. Автоволновые процессы в нелинейных средах с диффузией. М.:
Физматлит, 2005г.
. Труды
МИАН имени В.А. Стеклова, 1998 г, том 222.
. Л.А.
Рудый. Теория первичного поля есть продолжение общей теории относительности за
рамки теории потенциала. Журнал "Актуальные проблемы современной
науки", 2012 г, №3.
. Л.Д.
Фаддеев. Новые динамические переменные теории тяготения Эйнштейна. ТМФ, том
166, №3, март 2011 г.
. А.А.
Логунов и др. Невозможность гравитационного коллапса. ТМФ, том 174, №2, февраль
2013 г.
. Физика
за рубежом. Серия А; 1987. Ст. Гринберг О.У. Новый уровень структуры материи.
Перевод статьи: Greenberg O.W. - Physics Today, September 1985, р. 22.
. Физика
за рубежом. Серия А; 1989. Ст.Дж. Шварц. Суперструны. Перевод статьи: Schwarz
J.H. - Physics Today, November 1987, p. 33.
. О.С.
Космачев. Представления группы Лоренца и классификация стабильных лептонов.
Препринт ОИЯИ, 2006г.
. Л.А.
Рудый. Теория первичного поля как источник специальной теории относительности.
Журнал "Актуальные проблемы современной науки", 2008г.
. Г.Г.
Малинецкий и др. Современные проблемы нелинейной динамики, М., 2002 г.
. Л.А.
Рудый. Теория первичного поля, как гамильтонова динамика. Журнал
"Естественные и технические науки". 2010 г, №1.
. Л.А.
Рудый. Теория первичного поля, как диссипативной структуры объясняет кванты и
тяготение. Журнал "Естественные и технические науки". 2009 г, №5.
. Нелинейные
волны. М.: 1977. Ред. С. Лейбович, А. Сибасс.
. Л.А.
Рудый. Теория первичного поля в роли единой теории гравитации и
электромагнетизма производит отношение их сил 10-42 для электронов.
"Актуальные проблемы современной науки", 2012 г, №4.
. И.М.
Бондарь, Л.А. Рудый. Магнитный монополь в теории потенциала и за ее рамками.
Принято к рассмотрению в ЖЭТФ
. Журнал
"Природа", №1, 2013 г.
. УФН,
2004 г, том 174, №7, стр. 717.
. Пространство
и время в современной физике. Редактор З.Г. Петров, Киев, 1968 г.
. Эйнштейн
А. Собрание сочинений, Т. 4, стр. 452, 1966 г.