Математичне моделювання процесів руху заряджених часток в аксиально-симетричних електростатичних полях
КУРСОВА РОБОТА
“ЕЛЕКТРОННА ТА ІОННА ОПТИКА”
Математичне моделювання
процесів руху заряджених часток в аксиально-симетричних електростатичних полях.
Зміст
Вступ
Основна частина
1. Теоретичні
положення
1.1 Розподіл
потенціалу в аксиально-симетричному електричному полі
1.2 Рух
параксиальних електронів в аксиально-симетричному електричному полі
1.3 Методи, що
використовуються для розв’язання задачі
1.3.1 Метод
кінцевих різниць для розрахунку поля електростатичних лінз
1.3.2 Метод
лінійних відрізків осьового потенціалу при розрахунку траєкторій електронів в
електростатичному полі лінзи
1.4
Лінза-діафрагма
1.5 Імерсійна
лінза
2.
Експериментальна частина
2.1 Програмне
забезпечення практичних занять
2.2 Програма
роботи дослідження електронних лінз
2.2.1 Метод
кінцевих різниць для розрахунку поля електростатичних лінз
2.2.2
Лінза-діафрагма
2.2.3 Імерсійна
лінза
2.2.4 Одиночна
лінза
2.2.5 Імерсійний
об'єктив
Висновок
Список
використаної літератури
Вступ
Практичне дослідження теоретичних положень розділу курсу
«Електронна оптика електростатичних полів» на основі математичного моделювання
процесів руху заряджених часток в аксиально-симетричних електростатичних полях.
У електронній оптиці дуже важливу роль грають електростатичні
поля, які володіють симетрією обертання, тобто симетричні відносно деякої осі.
Виявляється, що такі аксіально-симетричні поля здатні створювати електронні
зображення і грають відносно електронних пучків ту ж роль, яку грають відносно
світлових пучків заломлюючі середи, обмежені поверхнями обертання. Тому
дослідження аксіально-симетричних полів
1. Теоретичні положення
1.1 Розподіл потенціалу в аксиально-симетричному
електричному полі.
Розглянемо електричне поле, яке задовольняє одній єдиній
умові: воно є симетричним відносно осі z. Таке поле може бути утворене,
наприклад, двома соосними циліндрами або діафрагмами, що мають постійні, але не
рівні потенціали.
Мал. 1.1. Розподіл потенціалу.
Розподіл потенціалу в такому полі, представленому в циліндричній
системі координат (r, z,j), буде функцією лише відстані по осі симетрії z і
відстані від осі симетрії r. Воно не буде залежати від азимутальної координати:
U = f(z, r),
. (1.1)
Природно, що картина поля буде повністю визначена, якщо відомий
розподіл потенціалу в одній з так званих меридіональних площин, т. е. в
площині, що проходить через вісь симетрії поля. Крім того, ясно, що в такому
полі U(z, r)=U(z,-r), т. е. аналітичний вираз, що описує таке поле, може
містити тільки парні міри r.
У полі, вільному від зарядів, розподіл потенціалу задовольняє
рівнянню Лапласа, яке в циліндричній системі координат для випадку
аксиально-симетричного поля має вигляд:
(1.2)
Розв’язок рівняння (1.2) для аксиально-симетричного
електричного поля може бути виражене у вигляді парної функції:
(1.3)
Фізичне значення функції
вельми
просте. Якщо в (1.3) покласти r=0, то 

,
т. е. являє собою розподіл потенціалу вздовж осі симетрії поля.
З рівняння (1.3) видно, що розподіл потенціалу U(z, r)
аксиально-симетричного поля у всьому просторі повністю визначається розподілом
потенціалу на осі симетрії поля. Якщо відомий розподіл потенціалу на осі
симетрії поля, то тим самим визначені потенціали в будь-якій точці цього поля.
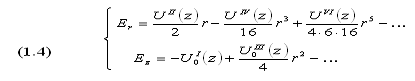
Тепер можна визначити складові напруженості аксиально-симетричного електричного
поля відповідно до виразу
:
Отримані рівняння для складових вектора напруженості
аксиально-симетричного поля є вельми громіздкими. Однак їх можна істотно
спростити, враховуючи умови формування електронних пучків в
електронно-променевих приладах. У більшості ЕПП електронні пучки формуються в
приосьовій області, електрони пучка мають однакову швидкість, яка визначається
пройденою різницею потенціалів, і вектори швидкості електронів пучка направлені
вздовж осі z.
Умови параксиальності електронів можна сформулювати таким
чином:
1. Параксиальні електрони мало віддалені від оптичної осі поля так, що
можна вважати
;
. Складова швидкості параксиальних електронів uz дорівнює повній швидкості електронів, тобто вектор
швидкості параксиальних електронів направлений вздовж осі z
аксиально-симетричного поля.
. Швидкість електронів визначається в основному різницею потенціалів,
пройденою електроном в електричному полі, і початковою швидкістю електрона при
аналізі процесу формування електронних пучків можна нехтувати, тобто
.
Враховуючи умови параксиальності електронів можна істотно спростити
аналітичні вирази, що описують розподіли потенціалу в аксиально-симетричному
полі, відкинувши з рівняння члени з високими мірами r.
(1.5)
Відповідно складові напруженості електричного поля з осьовою
симетрією будуть мати наступний вигляд:
(1.6)
(1.7)
Знаючи значення складових напруженості електричного поля
можна перейти до аналізу процесів руху параксиальних електронів в
аксиально-симетричному електричному полі.
1.2 Рух параксиальних електронів в аксиально-симетричному
електричному полі
Зазначимо також, що у вигляду осьової симетрії поля, складова його
напруженості в напрямі азимута
дорівнює
нулю і електрон, що ввійшов в поле в якійсь площині (в меридіональній площині),
буде продовжувати рухатися в цій же площині, тобто траєкторія його буде плоскою
кривою.
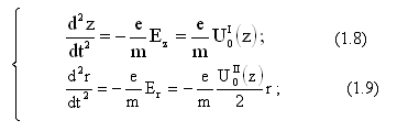
Для аксиально-симетричного електричного поля рівняння руху електрона
мають вигляд:
Вирішуючи ці рівняння і виключаючи з них час отримуємо вираження, що
описує траєкторію рухомої частки:
(1.10)
Якщо провести диференціювання в лівій частині рівняння (1.10), то воно
приводиться до більш зручному для аналізу вигляду:
(1.11)
Рівняння (1.10) і (1.11) є дві форми одного і того ж
співвідношення, яке являє собою рішення рівнянь руху зарядженої частки в
аксиально-симетричному електричному полі і яке зв'язує координати її руху r і
z. Отже, це є виражене в диференціальній формі рівняння траєкторії будь-якого
параксиального електрона в аксиально-симетричному електричному полі. Щоб
отримати рівняння траєкторії конкретного електрона в явному вигляді, необхідно
проінтегрувати диференціальне рівняння траєкторії (1.11) при відповідних даному
електрону початкових умовах. Цими умовами будуть відстань електрона від осі,
кут нахилу траєкторії до осі, а також величина різниці потенціалів, пройдена
електроном в момент входу його в поле.
Точне аналітичне рішення диференціального рівняння траєкторії
(1.11) в більшості практично цікавих випадків являє собою вельми складну
задачу. Однак навіть в своєму загальному вигляді воно дозволяє зробити цілий
ряд важливих практичних висновків:
1) У рівняння входить тільки розподіл потенціалу по осі
симетрії поля U(z). Тому траєкторія параксиального електрона визначається
розподілом потенціалу на осі поля і граничними умовами, відповідними
конкретному електрону.
2) У рівняння не входять ні заряд, ні маса рухомої в полі
зарядженої частки. Це означає, що не тільки електрони, але і будь-які заряджені
частки, в тому числі і набагато більш важкі негативні іони, будуть при
співпадаючих початкових умовах рухатися по одних і тих же траєкторіях.
) Рівняння (1.11) лінійне і однорідне відносно U(z). Це
означає, що потенціал і його похідні входять в рівняння в першій степені і,
крім того, права частина рівняння дорівнює нулю. Звідси відразу слідує, що якщо
потенціали всіх електродів, що створюють поле, змінити на одне і теж число, то
траєкторії електронів залишаються незмінними.
) Рівняння лінійно і однорідно також і відносно r(z). Тому,
якщо модель є збільшеною копією електродів електронно-оптичної системи, то
траєкторії електронів в ній залишаються геометрично подібними траєкторіям в
реальній системі.
) Будь-яке аксиально-симетричне поле є електронною лінзою і
може створювати зображення за допомогою параксиальних електронів.
Сила, з якою аксиально-симетричне електростатичне поле діє на
рухомий електрон в радіальному напрямі, дорівнює:
(1.12)
Отже, якщо U"(z)>0, що відповідає наростанню
напруженості поля вздовж осі z, радіальна сила направлена протилежно напряму
вектора r, тобто до осі z. При цьому, траєкторія електрона буде згинатися до
осі симетрії поля, яке, діючи на рухомий пучок параксиальних електронів, буде
прагнути зібрати його до осі симетрії.
У випадку ж, якщо U"(z)<0, радіальна сила направлена
від осі z і пучок буде розсіюватися.
1.3 Методи, що використовуються для розв’язання задачі
1.3.1 Метод кінцевих різниць для розрахунку поля
електростатичних лінз
Аналітичний розрахунок електричного поля (розв’язок рівняння
Лапласа) може бути виконаний тільки у найпростіших випадках. Але навіть тоді,
коли вдається отримати аналітичний розв’язок, кінцеві вирази часто опиняються
громіздкими и не досить зручними для практичного використання. Тому при
розв’язанні електронно-оптичних завдань широко використовуються наближені
методи розрахунку і експериментального дослідження електричних полів.
В основі методу кінцевих різниць лежить заміна похідних в
вихідному рівнянні невеликими різницями. Припустимо, що необхідно знайти
розподіл потенціалу у просторі між двома непаралельними пластинами відхиляючої
системи електронно-променевої трубки. (мал.1.2)
Мал.1.2 Приклад знаходження потенціалу.
Розіб’ємо увесь простір між пластинами на клітинки з рівними
сторонами д. Неважко показати, що величина потенціалу Ux в точці x,
рівновіддаленої від точок a, b, c, d з відомими величинами потенціалів Ua,
Ub, Uc, Ud може бути визначена як:
(1.13)
Зіставимо різниці:
При достатньо малих значеннях д можна покласти, що ці різниці приблизно
рівні
Використовуючи повторно таку ж операцію, отримаємо
Складаючи рівняння (1.14), отримаємо в правій частині рівняння Лапласа:
(1.15)
З (1.15) безпосередньо випливає (1.13). Розв’язок
кінечно-різничного рівняння може бути виконано методом послідовних наближень
(метод ітерацій). Задаючи граничні значення потенціалу на електродах, можна
орієнтовно нанести величини U a1, a2, …, b1, b2,
…, c1, c2, …, d1, d2, … і
підрахувати згідно з (1.13) значення потенціалу в точках x1, x2,
… . Після цього прийняв знайдені величини Ux за вихідні,
потрібно перерахувати значення потенціалів в точках a, b, c, d, знову уточнити
величину Ux і т.д. Повторюючи такий прийом декілька разів можна
поступово наблизитись до точних значень потенціалу усього простору. Часто 4-5-е
наближення мало відрізняється від попереднього, і подальшого уточнення не
потребується.
Вказаний метод може бути використаний для розрахунку не
тільки плоских, а й осесиметричних полів. В цьому випадку значення потенціалу в
точках площини, що проходить скрізь вісь системи (меридіональної площини),
визначається виразом:
(1.16)
де R - відстань точки х від осі системи.
Визначив шляхом послідовних наближень значення потенціалу в
усіх точках досліджуваного поля і з’єднав точки з однаковими потенціалами
неперервними кривими, отримаємо картину еквіпотенціальних ліній, що достатньо
повно характеризують електронно-оптичну систему.
1.3.2 Метод лінійних відрізків осьового потенціалу при
розрахунку траєкторій електронів в електростатичному полі лінзи
Рівняння руху електронів в електричних полях лише в рідких
випадках можуть бути розв’язані аналітично. Тому практично для знаходження
траєкторій електронів, що рухаються в електричних полях, потрібно або
використовувати наближені методи розв’язку основних рівнянь, або будувати
траєкторії графо-аналітично. У тих випадках, коли осьовий розподіл потенціалу,
знайдений експериментально або визначений наближено, не піддається апроксимації
аналітичною функцією, може бути використаний метод наближеного розв’язку
основного рівняння, що отримав назву метода многокутників або методу лінійних
відрізків осьового потенціалу. При використанні цього методу область
осесиметричного електричного поля, в якій необхідно знайти траєкторію
параксіального електрону, розбивається на низку ділянок, усередині кожної з
яких осьовий розподіл потенціалу представляється лінійною функцією z, тобто
напруженість поля є постійною усередині кожної ділянки і змінюється стрибком
при переході до іншої ділянки. Іншими словами, плавна крива розподілу осьового
потенціалу замінюється ломаною, що складається з відрізків прямих. (мал.1.3)
Мал.1.3 Побудова траєкторії електронів методом лінійних
відрізків.
При такому представленні усередині кожної ділянки U0(z)
= kz, U0I(z) = const, 0II(z) = 0.
На границях ділянок U0II(z) переходить у нескінченність.
Визначимо координати границь ділянок через z1, z2,
z3, …, zn, значення осьового потенціалу на границях
ділянок через U1, U2, U3, …, Un, значення
перших похідних dU0/dz усередині ділянок через U1I,
U2I, U3I, …, UnI
і віддалення траєкторій від осі на границях ділянок через r1, r2,
…, rn . Оскільки усередині кожної ділянки U0II(z)
= 0, вираз (1.11) для ділянок, що знаходяться між площинами з координатами (z1,
z2), (z2, z3), …, (zn-1, zn-2),
приймає вигляд
,
(1.17)
де диференціювання іде по змінній z. Перепишемо рівняння
(1.17) у вигляді
(1.18)
і проінтегруємо по z усередині ділянки від z1 до
деякого значення z, що лежить між z1 і z2:
.
(1.19)
Неважко побачити, що підінтегральні функції зручно
представити логарифмами, тобто перетворити (1.19) у рівняння
,
(1.20)
яке після інтегрування запишеться як
,
(1.21)
де r1 = (dr/dz)z1 (праворуч від площини
з координатою z1).
З (1.21) безпосередньо виходить, що усередині розглянутої
ділянки
(1.22)
Тут
- стала, що визначається початковими умовами -
нахилом дотичної до траєкторії і значенням потенціалу в точці z1.
Інтегрування рівняння (1.22) в границях ділянки призводить до виразу
для r(z) усередині ділянки, що розглядається:
(1.23)
де
.
На правій границі ділянки (при z = z2)
(1.24)
(індекс l вказує на кут нахилу траєкторії зліва від границі розділу
першої і другої ділянки).
Вираз (1.24) дозволяє побудувати відрізок траєкторії параксіального
електрону усередині ділянки, що обмежовується площинами, перпендикулярними до
осі, в границях від z1 до z2.
Величина r2, що підрахована в кінці першої ділянки,
використовується як початкова при розрахунку траєкторії у другій ділянці. Але
значення
, що було підраховане в кінці першої ділянки не можна
вважати початковим для розрахунку траєкторії у другій ділянці, так як при
переході через границю ділянок
терпить
розрив і траєкторія має злам, тобто
не
дорівнює
(індекс p вказує на кут нахилу траєкторії справа від
границі розподілу ділянок).
Для підрахунку кута нахилу траєкторії на початку другої ділянки
скористуємось тим, що в околиці точки z2
значення U0(z) і U0І (z) залишаються
кінцевими, а значення U0ІІ обертається у нескінченність.
На підставі цього поблизу границь ділянок в рівнянні (1.11) можна не
враховувати величину (U0І /2U0)rІ
порівняно з (U0ІІ /4U0)r, тобто представити
(1.11) у вигляді
(1.25)
Можна також припустити, що в області U0(z) = U0(z2)
=const. Тоді інтегрування рівняння (1.25) в границях між точками z2l і
z2p, що лежать близько до z2, приводить до виразу
,
(1.26)
де
.
Визначив з (1.24) і (1.26) r2 і
і прийняв їх за початкові дані для лівої границі
другої ділянки, знаходять траєкторії на другій ділянці, визначають r3
і
, приймають їх за початкові дані для третьої ділянки і
т.д. Таким чином може бути знайдена уся траєкторія електрону у при осьовій
області електричного поля, що має властивості осьової симетрії.
1.4 Лінза-діафрагма
Лінза-діафрагма утворюється диском із круглим отвором, що має деякий
потенціал Uд. По обидва боки до диска примикають області постійної, але різної
з кожної сторони напруженості електричного поля Е1 і Е2. В деяких випадках одне
з полів може бути відсутнім (Е1 = 0 чи Е2 = 0). Очевидно, поблизу отвору
діафрагми напруженість поля буде змінюватися уздовж осі
; саме ця область поля і буде власне лінзою.
Оптичну силу лінзи-діафрагми приблизно можна розрахувати досить просто.
Так як потенціал в області отвору діафрагми змінюється незначно, у першому
наближенні можна винести корінь з U0 у вираженні
з-під знака інтеграла. При цьому для оптичної сили лінзи-діафрагми
виходить наближена рахункова формула:
(5.1)
З огляду на
формулу (5.1) зручно переписати у виді
(5.2)
де Е1 і Е2 - напруженості електричного полючи по обох сторони
діафрагми.
У залежності від співвідношення абсолютних величин
напруженості поля лінза-діафрагма може бути збиральною (позитивною) чи
розсіювальною (негативною). При цьому, коли електрон переходить з області з
меншою напруженістю в область з більшою напруженістю поля, лінза буде
збиральною. Напрямок сили, що діє на електрон в області лінзи, визначається
знаком другої похідної.
На малюнку 1.25 показані графіки
,
і
для
випадку
. Як видно з малюнка, при
,
- збиральна лінза, при
,
- розсіювальна лінза.
1.5 Імерсійна лінза
Імерсійна лінза утворюється двома співвісними діафрагмами,
діафрагмою і циліндром чи двома співвісними циліндрами з різними потенціалами
(мал. 1.26), причому з обох сторін лінзи потенціали постійні і дорівнюють
потенціалам електродів лінзи.
Графіки зміни потенціалів, а також їх перших і других похідних
показані на мал. 1.27 При проходженні імерсійної лінзи швидкість електронів
змінюється: при
лінза буде прискорюючою, при
- гальмуюючою.
З мал. 1.27 видно, що імерсійна лінза має області з додатною і
від’ємною другою похідною потенціалу
тобто
збиральною і розсіювальною складовими поля. Однак швидкість електрона,
обумовлена величиною потенціалу, більше в тій області, де <0, тобто область,
що розсіює, електрон проходить швидше, у результаті чого імпульс, переданий
йому в радіальному напрямку до осі, виявляється більше імпульсу, спрямованого
від осі (збиральна дія переважає). Отже, типова імерсійна лінза є збиральною.
Оптичну силу імерсійної лінзи можна розрахувати по загальних формулах за умови,
що розподіл потенціалу уздовж осі відомо. Для розподілу потенціалу уздовж осі
імерсійної лінзи, утвореної двома циліндрами однакового радіуса R з
потенціалами U1 і U2, при відстані між циліндрами, малому в порівнянні з
радіусом, мається наближене вираження:
(3.3)
Оптична сила імерсійної лінзи, утвореної двома діафрагмами:
(3.4)
Оптична сила імерсійної лінзи, утвореної двома циліндрами
однакового радіуса:
(3.5)
Приблизно:
Оптична сила імерсійної лінзи, утвореної двома діафрагмами:
(3.6)
Оптична сила імерсійної лінзи, утвореної двома циліндрами
однакового радіуса:
З наближених виражень випливає, що імерсійна лінза завжди є
збиральною тому що оптична сила завжди позитивна не залежно від різниці
потенціалів (квадратичний ступінь).
.6 Одиночна лінза
Одиночна лінза (мал. 3.4, а) утвориться трьома співвісними
електродами (діафрагмами чи циліндрами), причому потенціали крайніх електродів
(U1) однакові, а потенціал середнього електрода (U2) може бути менше чи більше
потенціалу крайніх електродів.
Якщо крайні електроди мають однакову геометричну форму і
розташовані на однаковій відстані від середнього електрода, то поле лінзи буде
симетричним щодо середньої площини лінзи. Така одиночна лінза називається
симетричною. Показані на мал. 3.4,а, варіанти електродних систем утворять
симетричні одиночні лінзи. Якщо ж крайні електроди неоднакові чи розташовані на
різній відстані від середнього електрода, то одиночна лінза буде несиметричною.
Характерною рисою одиночної лінзи є рівність потенціалів крайніх електродів,
унаслідок чого при проходженні крізь одиночну лінзу енергія електронів не
міняється, змінюється тільки напрямок швидкості. Рівність потенціалів крайніх
електродів обумовлює протилежні напрямки електричного поля по обидві сторони
від середньої площини лінзи. Отже, поле одиночної лінзи завжди має сідлоподібну
особливу крапку. У випадку симетричної одиночної лінзи ця крапка збігається з
крапкою перетинання середньої площини віссю.
Як видно на мал. 3.4,б одиночна лінза має збиральні і
розсіювальні області
Однак, як і в імерсійній лінзі, швидкість електронів
виявляється більше в областях, що розсіюють, у результаті чого збиральна дія
переважає й оптична сила одиночної лінзи завжди позитивна.
Оптичні параметри одиночної лінзи сильно залежать від
відношення потенціалів внутрішнього і зовнішнього електродів U2/U1.
Чим більше це відношення відрізняється від одиниці, тим "сильніше"
лінза. При U2/U1=1 оптична сила одиночної лінзи дорівнює
нулю. Оскільки по обидві сторони від одиночної лінзи лежать області рівного
потенціалу, фокусні відстані в просторах об'єктів і зображення рівні. Головні
площини одиночної лінзи також перехрещені, але на відміну від імерсійної лінзи
головні площини симетричної лінзи розташовані на однаковій відстані від
середньої площини.
Положення фокусів і головних площин одиночної лінзи можуть
бути визначені по загальних формулах. Оскільки аналітичні вираження для
розподілу потенціалу уздовж осі одиночної лінзи виходять занадто складними, при
розрахунку широко застосовують наближені вираження для осьового розподілу
потенціалу і фокусної відстані.
Для симетричної одиночної лінзи, утвореної трьома діафрагмами
з радіусами отворів R1 (крайніх електродів) і R2 (середні діафрагми), за умови,
що відстань між діафрагмами d не менше радіусів отворів Rl, R2, потенціал у
центрі лінзи й у центрах отворів крайніх електродів може бути представлений
наближеними вираженнями:
(3.7)
Вираження (3.7) зручні тим, що відношення
з достатньою для практичних цілей
ступенем точності визначає фокусну відстань симетричної одиночної лінзи,
утвореної трьома діафрагмами:
(3.8)
Задовільний збіг експериментально визначеної фокусної
відстані одиночної лінзи, що складається з трьох діафрагм із величиною f,
розрахованої по формулі (3.8), виходить при f > d, тобто для порівняно
слабких лінз. Очевидно, вимога f>d приводить до x>0.2, що звичайно і
вважають критерієм застосовності формули (3.8).
З наближених виражень випливає, що одиночна лінза завжди є
збиральною тому, що оптична сила завжди позитивна не залежно від різниці
потенціалів (квадратичний ступінь).
1.7 Імерсійний об’єктив
Під імерсійним об'єктивом, який іноді називають також
катодною лінзою, розуміється комбінація електронної лінзи з джерелом електронів
- катодом. Якщо наприклад, перед катодом К, що має плоску поверхню, що емітує,
помістити діафрагму А (анод) і подати на цю діафрагму позитивний щодо катода
потенціал (мал.3.5), то ми одержимо найпростіший імерсійний об'єктив. При цьому
з приведеного на тому ж малюнку розподілу потенціалу уздовж осі симетрії
об'єктива можна переконатися, що в даному випадку він буде діяти як
розсіювальна лінза.
У випадку, якщо потрібно, навпаки, сфокусувати електронний
пучок, необхідно між анодом і катодом помістити ще одну діафрагму, що
називається модулятором і має невеликий від’ємний щодо катода потенціал. Такий
імерсійний об'єктив представлений на мал.3.6, де показані також розподіл
потенціалу уздовж його осі симетрії й оптичний еквівалент такої лінзи, що
випливає з цього розподілу. Очевидно, що поле в області діафрагми модулятора М
буде фокусувати електронний пучок, поле ж в області анодної діафрагми А буде
розсіювати. Однак загальна дія такого імерсійного об'єктива буде збиральною,
тому що в першій області швидкості електронів, що емітує катод, значно менше
швидкостей, що набираються ними в поле лінзи при підході до розсіювальної
області поля об'єктива.
Оптичну силу імерсійного об'єктива можна змінювати, змінюючи
співвідношення потенціалів утворюючих його електродів. При цьому вона буде
рости з ростом відношення анодної напруги до абсолютної величини напруги на
модуляторі і зменшенням відстані між цими електродами.
Очевидно, що поряд з утворенням електронного зображення
імерсійний об'єктив може бути використаний для керування величиною струму пучка
електронів, що відбирається з катода, тому що, змінюючи від’ємний стосовно
катода потенціал модулятора, можна змінювати як розміри поверхні катода, перед
якою поле лінзи є прискорюючим, тобто змінювати робочу поверхню катода, так і
саму величину цього поля.
електрон лінза аксіальний оптичний\
2. Експериментальна частина
2.1 Програмне забезпечення практичних
занять
Для математичного моделювання процесів руху заряджених часток
в аксиально-симетричних електростатичних полях використовується спеціалізована
програма LINZA. Програма написана на мові Borland PASCAL 7.0 з використанням
об'єктно-орієнтованих бібліотек TURBO-VISION.
Завдання геометричних параметрів лінзи, що досліджується,
потенціалів на її електродах і параметрів влету електрона здійснюється у
віконному інтерфейсі програми LINZA, що моделює процес руху параксиального
електрона в неоднорідному аксиально-симетричному електричному полі. Геометрія
електродів задається за допомогою комбінацій циліндрів і діафрагм в
циліндричній системі координат. Оскільки електронно-оптичні елементи мають
осьову симетрію, геометрія електродів задається в площині, що проходить через
вісь симетрії поля. Для кожного елемента електродів лінзи необхідно задати три
параметри: потенціал; координату (для діафрагми - нижня точка, а для циліндра -
ліва точка); довжину електрода.
Для розрахунку траєкторії руху електрона в аксиально-симетричному
електричному полі програмно реалізований метод лінійних відрізків осьового
потенціалу. Для розрахунку траєкторії необхідно задати параметри вльоту
електрона в діалоговому вікні «Електрон». Параметрами вльоту електрона в полі
є:
відстань електрона від осі R(0);
кут вльоту електрона, утворений дотичною траєкторії електрона
з віссю симетрії поля в точці вльоту електрона.
Розрахунок траєкторії здійснюється в тому випадку, якщо поле
по всій своїй довжині не міняє знак. Якщо поле на осі міняє знак, то на екран
монітора виводиться попередження. У цьому випадку необхідно виправити дані для
розрахунку поля і траєкторії електрона. Результати розрахунку поля і траєкторії
електрона відображаються в графічному вигляді на екрані монітора. Тут же відображається
геометрія електродів лінзи, що моделюється. Потрібно мати на увазі, що
результати розрахунку траєкторії електрона для наочності автоматично
масштабуються по максимальному радіальному розміру системи електродів, що
моделюється.
2.2 Програма роботи дослідження електронних лінз
2.2.1 Метод
кінцевих різниць для розрахунку поля електростатичних лінз
Для розрахунку поля електростатичної лінзи використав
розрахунковий метод кінцевих різниць. Розраховувати поле в системі координат з
кроком координатної сітки 0.5 мм.
Рис. 2.8 Імерсійна лінза
Опис методу кінцевих різниць описано в пункті 1,3,1
теоретичної частини.
Розрахунок проводив за допомогою програми Excel. Процес
розрахунку потенціалу в системі координат проводив за допомогою Visual Basic
for Application. Результат відобразив на графіках.
Текст програми VBA
Кнопка1_Щелчок()a(84, 20) As Integerb(84, 20) As Integer
' Задаємо початкові значенняm = 0 To 84n = 0 To 20(m, n) =
350nmm = 42 To 84n = 0 To 20(m, n) = 25nmk = 1 To 10 ' кількість ітерацій
' Обчислюємо потенціали в точкахm = 1 To 83n = 1 To 19(m, n)
= (a(m, n - 1) + a(m, n + 1) + a(m - 1, n) + a(m + 1, n)) / 4nmn = 2 To 19m = 2
To 83(m, n) = b(m, n)mnk
' Записуємо дані в лист ExlelWorksheets("Лист1")n =
1 To 20m = 1 To 84
.Cells(n + 1, m + 1).Value = a(m, n)mnWithSub
Дані, отримані під час розрахунку на 10 ітерації:
Всі потенціали лівіше дорівнюють 350, правіше - 25
Починаючи з 29-го кроку по 65-й
На основі отриманих даних будуємо графіки
2.3 Графіки
Рис 2.7.1 Розподіл потенціалу в залежності від відстані від
центру та координати z
Рис 2.7.2 Розподіл потенціалу в залежності від відстані від
центру та координати z
Рис 2.7.3 Розподіл потенціалу вздовж осі
Перевірка за допомогою програми LINZA
Задамо геометричні параметри та потенціали електродів
імерсійної лінзи відповідно до свого варіанту (варіант 14)
Таблиця 1
|
Тип лінзи
|
Потенціал, В
|
Координати x,y
|
Радіус/розмір, мм
|
|
Діафрагма
|
350
|
0,0
|
5
|
|
Циліндр
|
350
|
0,5
|
20
|
|
Циліндр
|
25
|
21,5
|
20
|
|
Діафрагма
|
25
|
41,0
|
5
|
Рис. 2.9. Картина поля імерсійної лінзи і розподіл потенціалу
в полі імерсійної лінзи
Дані отримані за допомогою методу кінцевих різниць для
розрахунку електростатичного поля, і дані, отримані за допомогою програми LINZA
співпадають.
2.2.2 Лінза-діафрагма
1) Задамо геометричні параметри та потенціали електродів
лінзи відповідно до рис.2.1.
Таблиця 2
|
Тип лінзи
|
Потенціал, В
|
Координати x,y
|
Радіус/розмір, мм
|
|
Діафрагма
|
25
|
0,0
|
5
|
|
Діафрагма
|
25
|
5,1
|
4
|
|
Діафрагма
|
350
|
10,1
|
5
|
Рис. 2.1. Геометричні розміри системи лінзи-діафрагми.
Картина поля для лінзи-діафрагми із заданими параметрами
показана на рис.2.2.
Рис. 2.2. Картина поля лінзи-діафрагми і розподіл потенціалу
в полі лінзи-діафрагми.
) Дослідимо траєкторію руху електрона у полі лінзи, для цього
задамо параметри влету електрона:
Таблиця 3
|
Частинка
|
точка вльоту
|
кут вльоту
|
|
Електрон
|
-2
|
0
|
Траєкторію руху електрона показано на рис.2.3.
Рис.2.3. Траєкторія руху електрона в полі лінзи-діафрагми.
Фокусна відстань у цьому випадку дорівнює 6.87 мм.
Як видно з рис. 2.3, електрон відхиляється до осі симетрії
лінзи, тобто лінза є збираючою, пояснюється це наступним. Напрям сили, що діє
на електрон в області лінзи, визначається знаком другої похідної U0"(z).
Це випливає з аналізу основного рівняння електронної оптики (1.11). Радіальна
сила, що діє на електрон визначається рівнянням (1.12), з якого слідує, що якщо
U0"(z) > 0, то це відповідає наростанню напруженості поля вздовж осі
z. Радіальна сила направлена протилежно до r, тобто направлена до осі z.
Електрон рухається прямолінійно у однорідному полі,потрапляючи у неоднорідне
поле електрон під дією радіальної сили починає рухатися до осі.
Запустимо ще три електрони:
Таблиця 4
|
Частинка
|
точка вльоту
|
кут вльоту
|
|
Електрон
|
2
|
0
|
|
Електрон
|
-1
|
0
|
|
Електрон
|
1
|
0
|
З рис.2.4. видно,що якщо змінювати точку вльоту електрона при
нульовому куті вльоту, фокус буде незмінним. Це пояснюється тим, що залежно від
точки вльоту, на електрон діє сила, яка пропорційна відстані від осі z. Тобто,
чим далі електрон влітає від осі тим більша радіальна сила на нього діє.
Рис.2.4. Траєкторія руху кількох електронів у полі лінзи.
Рис.2.5. Траєкторія руху кількох електронів з ненульовими
кутами вльоту.
Змінимо кути вльоту електронів (рис.2.5.) при цьому фокус
буде різний для кожного електрона, або відсутній. Це пояснюється тим, що
електрони, які влітають під деяким кутом, зазнають дії відхиляючої сили,
завдяки чому траєкторії у зоні з однорідним полем будуть не прямими, а
відрізками парабол. Траєкторії електронів не перетинаються в одній точці. Для
непараксіальних електронів аксіально-симетричне поле не є електронною лінзою.
) Для збільшення оптичної сили лінзи, тобто зменшення
фокусної відстані f зменшимо U1 та U2 до 15 В а U3
збільшимо до 400 В (рис.2.6.) при цьому фокусна відстань буде рівна 5.76 мм. Це
пояснюється наступним: по-перше, оптична сила лінзи падає із збільшенням
величини швидкості електронів в лінзі, по-друге, оптична сила зростає із
збільшенням величини швидкості зміни напруженості поля у напрямку осі.
Рис.2.6. Збільшення оптичної сили лінзи.
) Задамо наступні значення потенціалів електродів:U1=0
В, U2=U3=400 В (рис.2.7.). Як видно з рисунку, така зміна
потенціалів призвела до зміни конфігурації поля і лінза набула розсіюючу
здатність. Як зазначалося раніше, напрям сили, що діє на електрон в області
лінзи, визначається знаком другої похідної U0"(z). У цьому
випадку U0"(z)<0, і траєкторія електрона буде зкривлятися
від осі симетрії поля. На електрон діє радіальна сила, яка відштовхує його від
осі z.
Рис.2.7. Розсіююча лінза-діафрагма.
2.2.3
Імерсійна лінза
1) Задамо геометричні параметри та потенціали електродів
імерсійної лінзи відповідно до рис.3.
Таблиця 5
|
Тип лінзи
|
Потенціал, В
|
Координати x,y
|
Радіус/розмір, мм
|
|
Діафрагма
|
350
|
0,0
|
5
|
|
Циліндр
|
350
|
0,5
|
20
|
|
Циліндр
|
25
|
21,5
|
20
|
|
Діафрагма
|
25
|
41,0
|
5
|
Рис.3. Геометричні параметри імерсійної лінзи.
Картина поля для імерсійної лінзи із заданими параметрами (
) показана на рис.3.1.
Рис. 3.1 Картина поля імерсійної лінзи і розподіл потенціалу
в полі імерсійної лінзи
2) Дослідимо траєкторію руху електрона у полі лінзи, для
цього задамо параметри вльоту електрона:
точка вльоту 3(3 мм.);
кут вльоту 0 град.
Траєкторію руху електрона показано на рис.3.2
Фокусна відстань у цьому випадку дорівнює 31.43 мм.
Як видно з рис 3,2., електрон відхиляється до осі симетрії
лінзи, тобто лінза є збираючою, пояснюється це наступним. Імерсійна лінза має
дві області: збиральну та розсіювальну. Збиральну область електрон проходить з
меншою швидкістю ніж розсіювальну, так як збиральна область лінзи для електрона
є гальмуючою, а розсіювальна - прискорює електрони.
У даному випадку електрон потрапляє у прискорювальне поле
першого циліндра, а потім у гальмуюче поле другого циліндра. U0"(z)<0
у полі першого циліндра, то радіальна сила направлена від осі z, U0"(z)>0
у полі другого циліндра, то радіальна сила напрямлена до осі z. Тобто
направлена протилежно направленню r. При цьому траєкторія електрона буде
зкривлятися до осі симетрії поля.
Рис.3.2. Траєкторія руху електрона в полі імерсійної лінзи.
2) Запустимо ще 3 електрони:
Таблиця 6
|
Частинка
|
точка вльоту
|
кут вльоту
|
|
Електрон
|
-3
|
0
|
|
Електрон
|
2
|
0
|
|
Електрон
|
-2
|
0
|
З рис.3,3. видно,що якщо змінювати точку вльоту електрона при
нульовому куті, фокус буде незмінним. Це пояснюється тим, що залежно від точки
вльоту, на електрон діє сила, яка пропорційна відстані від осі z. Тобто, чим
далі електрон влітає від осі тим більша радіальна сила на нього діє.
Рис.3.3 Траєкторія руху кількох електронів у полі лінзи.
Змінимо кути вльоту електронів (рис.3,4.) при цьому фокус
буде відсутній. Це пояснюється тим, що електрони, які влітають під деяким
кутом, зазнають дії відхиляючої сили, завдяки чому траєкторії у зоні з
однорідним полем будуть не прямими, а відрізками парабол. Траєкторії електронів
не перетинаються в одній точці, відсутня фокусна відстань. Можемо зробити
висновок, що імерсійна лінза для не параксіальних електронів не є електронною
лінзою.
Рис.3.4 Траєкторія руху кількох електронів з різними кутами
вльоту.
4) Змінимо пропорційно (в 2 рази) геометричні розміри
електродів початкової лінзи (рис.2.13.). Фокусна відстань у цьому випадку
дорівнює 38.82 мм. Видно, що при пропорційній зміні розмірів лінзи, фокусна
відстань змінюється також пропорційно, у нашому випадку - в 2 рази. Таку
ситуацію можна пояснити, виходячи з рівняння 1.11., воно однорідне відносно r.
Електрон більше часу проводить під дією поля лінзи, і його траєкторія
геометрично подібна до попередньої.
Рис.3.5 .Вплив пропорційної зміни розмірів електродів на рух
електрона.
) Змінимо пропорційно (в 2 рази) потенціали електродів
початкової лінзи (Рис.3.6). Фокус не змінюється. Це пояснюється тим, що
рівняння (1.11) однорідно відносно потенціалу, тому збільшення (зменшення)
потенціалу в однакове число разів в усіх точках поля не змінює траєкторії
електронів.
Рис. 3.6 .Вплив пропорційної зміни потенціалів електродів на
рух електрона.
Електрон потрапляє у гальмівне поле першого циліндра, а потім
у прискорювальне поле другого циліндра. U0"(z)>0у полі
першого циліндра, то радіальна сила напрямлена до осі z, U0"(z)<0
у полі другого циліндра, то радіальна сила направлена від осі z.
Рис.3.7.Вплив зміни потенціалів електродів на рух електрона.
2.2.4 Одиночна
лінза
1) Задамо геометричні параметри та потенціали електродів
одиночної лінзи відповідно до рис.2.16.
Таблиця 7
|
Тип лінзи
|
Потенціал, В
|
Координати x,y
|
Радіус/розмір, мм
|
|
Діафрагма
|
350
|
0,0
|
5
|
|
Циліндр
|
350
|
0,5
|
10
|
|
Циліндр
|
25
|
12,5
|
10
|
|
Циліндр
|
350
|
19,5
|
10
|
|
Діафрагма
|
350
|
34,0
|
5
|
Картина поля для одиночної лінзи із заданими параметрами
показана на рис.4.1.
Рівність потенціалів крайових електродів зумовлює протилежний
напрям поля по обидві сторони від середньої площини лінзи. Тому поле одиночної
лінзи завжди має впадину або випуклість (в залежності від потенціалів на
електродах ) - що можна побачити на рис.4.2 Одиночна лінза має як розсіювальні
області так і збираючу, або навпаки, але у будь-якому випадку одиночна лінза
являється збиральною.
Рис. 4.1 Геометричні розміри одиночної лінзи.
Рис. 4.2 Картина поля одиночної лінзи і розподіл потенціалу в
полі одиночної лінзи.
) Дослідимо траєкторію руху електронів у полі лінзи, для
цього задамо параметри вльоту електронів:
Таблиця 8
|
Частинка
|
точка вльоту
|
кут вльоту
|
|
Електрон
|
-3
|
0
|
Траєкторію руху електрона показано на рис.4.3.
Фокусна відстань у цьому випадку дорівнює 31,91 мм.
Поведінка електрона пояснюється наступним. Напрям сили, що
діє на електрон в області лінзи, визначається знаком другої похідної U0"(z).
Це випливає з аналізу основного рівняння електронної оптики (1.11). Радіальна
сила, що діє на електрон визначається рівнянням (1.12), з якого слідує, що якщо
U0"(z) > 0, то це відповідає наростанню напруженості поля вздовж осі
z. Радіальна сила направлена протилежно направленню r, тобто до осі z. При
цьому траєкторія електрона буде змінюватися до осі симетрії поля. Якщо U0"(z)
< 0, то траєкторія руху електрона буде відхилятися від осі симетрії. Електрон
швидко пролітає прискорююче поле першого циліндра, далі електрон потрапляє у
гальмівне поле другого циліндра, де швидкість його зменшується і під дією радіальною
сили електрон напрямляється до осі, далі електрон потрапляє у розсіююче поле
третього циліндра
Рис.4.3 Траєкторія руху електрона в полі одиночної лінзи.
) Запустимо ще два електрони:
Таблиця 9
|
Частинка
|
точка вльоту
|
кут вльоту
|
|
Електрон
|
3
|
0
|
|
Електрон
|
2
|
0
|
|
Електрон
|
-1
|
0
|
З рис.4.4. видно,що якщо змінювати точку вльоту електрона при
нульовому куті, фокус буде незмінним. Це пояснюється тим, що радіальна сила
пропорційна відстані від осі z.
Рис.4.4 Траєкторія руху кількох електронів у полі лінзи.
) Змінимо кути вльоту електронів (рис. 4.5.) при цьому
фокусу не буде(тобто він буде різним для різних кутів). Це пояснюється тим, що
електрони, які влітають під деяким кутом, зазнають дії відхиляючої сили,
завдяки чому траєкторії у області з однорідним полем будуть не прямими, а
відрізками парабол. Для не параксіальних електронів аксиально-симметричне поле
не являється електронною лінзою.
Рис. 4.5 Траєкторія руху кількох електронів з ненульовими
кутами вльоту
5) Змінимо пропорційно (в 2 рази) геометричні розміри
електродів початкової лінзи (рис.4.6.). Фокусна відстань у цьому випадку
дорівнює 67,23 мм. Видно, що при пропорційній зміні розмірів лінзи, фокусна
відстань змінюється також пропорційно, у нашому випадку - в 2 рази. Таку
ситуацію можна пояснити, виходячи з рівняння 1.11., воно однорідне відносно r.
Це дозволяє досліджувати траєкторії на пропорційно збільшених або зменшених
моделях, при цьому траєкторії електронів залишаються геометрично подібними.
) Змінимо пропорційно (в 2 рази) потенціали електродів
початкової лінзи (рис.4.7.). Фокус не змінюється. Це пояснюється тим, що
рівняння (1.11) однорідно відносно потенціалу, тому збільшення (зменшення)
потенціалу в однакове число разів в усіх точках поля не змінює траєкторії
електронів.
Рис. 4.6 Вплив пропорційної зміни розмірів електродів на рух
електрона.
) Поміняємо потенціали на електродах початкової лінзи:
U1=700, U2=50 (рис.2.23.). Фокусна відстань у цьому випадку дорівнює 67,23 мм.
Видно, що в обох випадках (U1<U2 і U1>U2) лінза залишається збираючою.
Збираюча дія одиночної лінзи в любих випадках якісно випливає з того факту, що
в любому випадку електрони проходять збираючу область поля лінзи з меншими
швидкостями, ніж розсіюючу. Частіше використовують U1<U2 тому що оптична
сила лінзи в випадку U1<U2, зростає набагато сильніше ніж U1>U2, це
пояснюється тим, що в останньому випадку зі зростом потенціалу середнього
електрода зростає швидкість зміни напруженості поля у напрямку осі лінзи, але
одночасно зростає і швидкість електронів в її полі, що уповільнює ріст оптичної
сили.
Рис.4.7.Вплив зміни потенціалів електродів на рух електрона.
2.2.5 Імерсійний
об'єктив
1) Задамо геометричні параметри та потенціали електродів
імерсійного об'єктива відповідно до рис.5.1
Таблиця 10
|
Тип електроду
|
Потенціал, В
|
Координати x,y
|
Радіус/розмір, мм
|
|
Катод
|
Діафрагма
|
0
|
0,1
|
3
|
|
Модулятор
|
Циліндр
|
-12
|
0,5
|
3
|
|
Діафрагма
|
-12
|
3,3
|
2
|
|
Анод
|
Діафрагма
|
100
|
5,3
|
2
|
|
Циліндр
|
100
|
5,5
|
10
|
|
Діафрагма
|
100
|
15,0
|
5
|
Картина поля для імерсійного об'єктива із заданими
параметрами показана на рис.5.2
Рис. 5.1 Геометричні розміри імерсійного об’єктива.
Рис. 5.2. Картина поля, розподіл потенціалу і траєкторія
польоту електрона в полі імерсійного об’єктива з нульовим кутом вльоту.
При дослідженні руху електронів фокусна відстань залишається
сталою. Це пояснюється тим,що на електрони діє одна і та сама радіальна сила. І
повна швидкість у них одна і та сама, що дорівнює складовій швидкості Vz.
Фокусна відстань
рівна 6,12 мм
2) Для перетину траєкторії з віссю х на ділянці між
модулятором і анодом збільшив відстань від катоду до модулятора. При цьому
фокус перемістився на потрібну відстань. Очевидно, що поле в області діафрагми
модулятора буде фокусувати електронний пучок, поле ж в області анодної
діафрагми буде надавати розсіюючу дію. Проте загальна дія такого імерсійного об’єктива
буде збираючою, так як в першій області швидкості електронів, емітованих
катодом, значно менші швидкостей, які набираються електронами у полі лінзи при
підході до розсіюючої області. Фокусна відстань рівна 4,96 мм.
Геометричні розміри та потенціали при перетині траєкторії
руху електронів з віссю х на ділянці між модулятором і анодом подано в таблиці:
Таблиця 11
|
Тип електроду
|
Потенціал, В
|
Координати x,y
|
Радіус/розмір, мм
|
|
Катод
|
Діафрагма
|
0
|
0,1
|
3
|
|
Модулятор
|
Циліндр
|
-12
|
0,5
|
4
|
|
Діафрагма
|
-12
|
4,3
|
2
|
|
Анод
|
Діафрагма
|
100
|
5,3
|
2
|
|
Циліндр
|
100
|
6,5
|
10
|
|
Діафрагма
|
100
|
16,0
|
5
|
Рис. 5.3. Картина поля, розподіл потенціалу і траєкторія
польоту електрона при перетині траєкторії з віссю х на ділянці між модулятором
і анодом.
)
Дослідимо умову параксіальності (рис. 5.3.). З рисунку видно,що якщо змінювати
точку вльоту електрона при нульовому куті, фокус буде незмінним. Це пояснюється
тим, що залежно від точки вльоту, на електрон діє сила, яка пропорційна
відстані від осі z. Тобто, чим далі електрон влітає від осі тим більша
радіальна сила на нього діє
) При зміні кута вльоту фокус практично не змінюється.
Це пояснюється тим, що, імерсійний об’єктив має катод. Електрони, що виходять з
центральної частини катоду, попадають в прискорююче поле. Характерна
властивість імерсійного об’єктива - байдужість поля до властивостей електрона,
тобто нема залежності від кута вильоту електрона з катоду, тому що початкова
швидкість електрона практично дорівнює нулю.
Рис.5.4 Траєкторія польоту електронів з різними кутами вльоту
в полі імерсійного об’єктива.
) Оптичну силу імерсійного об’єктива можна змінювати,
змінюючи відношення потенціалів електродів, що створюють його (рис. 5.5.). При
цьому вона буде зростати зі зростом відношення анодної напруги до абсолютної
величини напруги на модуляторі і зменшенням відстані між цими елементами.
Рис. 5.5 Збільшення оптичної сили імерсійного об’єктива .
Як бачимо фокусна відстань зменшилась до 2,16 мм. А отже
оптична сила збільшилась. Також оптичну силу можна збільшити пропорційно
зменшуючи розміри електродів
Висновок
Дослідивши 4 типи лінз за допомогою програми LINZA,
побудували ці лінзи, дослідили розподіл потенціалів у полях цих лінз та
траєкторію електронів, в результаті можна зробити такі висновки:
· Лінза-діафрагма є електронною лінзою.
Поле такої лінзи є аксіально-симетричним. Оптична сила лінзи діафрагми залежить
від потенціалів на електродах і відстані між ними. Лінза-діафрагма може бути як
розсіювальною, так і збиральною.
· Імерсійна лінза є електронною лінзою.
Поле такої лінзи є аксіально-симетричним. Має наступні властивості:
лінза завжди збиральна.
має дві області збиральну і розсіювальну.
несиметрична, тобто фокусні відстані не однакові.
· Одиночна є електронною лінзою. Вона
має три області: дві збиральні і одну розсіювальну, або навпаки. Поле такої
лінзи є аксіально-симетричним. Має наступні властивості:
лінза завжди збиральна. Можливо два варіанта:
U1<U2 , U1>U2
симетрична, тобто фокусні відстані однакові.
Дослідивши ці три лінзи: при збільшенні пропорційно
геометричних розмірів електродів, траєкторія електронів має той же вигляд як і
до зміни розмірів. Збільшуючи пропорційно потенціали електродів траєкторія не
змінюється і фокус залишається тим же. Для не параксіальних електронів аксіально-симетричне
поле не є електронною лінзою.
· Імерсійний об’єктив є електронною
лінзою. Поле такої лінзи є аксіально-симетричним. Має наступні властивості:
має катод і попередньо фокусує пучок електронів.
Фокус мало залежить від куту вльоту електронів.
імерсійний об’єктив завжди збиральний.
може бути використаний для зміни струму пучка
електронів, що відбираються з катода.
має здатність «відбору» електронів. У лінзу
попадають переважно електрони з малим кутом нахилу до осі.
має прискорювальне поле при наявності додатнього
потенціалу на катоді.
Аналізуючи імерсійний об’єктив дізналися, що він являється
збиральною лінзою для параксіальних електронів і непараксіальних електронів,
створюючи первинне фокусування - кроссовер.
Список використаної літератури
1. А.А. Жигарев «Електронна оптика та
електронно-променеві прилади»,видавництво «Вища школа», м. Москва, 2009.
2. Л.Г. Шерстньов «Електронна оптика та
електронно-променеві прилади», видавництво «Енергія», м. Москва, 2010.