Исследование поведения линии с распределенными параметрами
Министерство
образования и науки Российской Федерации
ФГАОУ ВПО
«Уральский федеральный университет имени первого Президента России Б.Н.
Ельцина»
Уральский
Энергетический институт
Кафедра
«Автоматизированные электрические системы»
Реферат
По дисциплине:
Теоретические основы электротехники
На тему:
«Исследование поведения линии с распределенными параметрами»
Студент:
Кузнецов К.А.
Группа:
ЭН-310102
Преподаватель:
Шелюг С.Н.
Екатеринбург
2013
СОДЕРЖАНИЕ
Основные положения
Уравнения линии с распределенными
параметрами
Список литературы
ОСНОВНЫЕ ПОЛОЖЕНИЯ
Электрическими линиями с распределенными
параметрами называются такие линии, в которых для одного и того же момента
времени ток и напряжение непрерывно изменяются при переходе от одной точки
(сечения) линии к соседней точке, т.е. являются функциями времени и
пространственной координаты.
Под магнитными линиями с распределенными
параметрами понимают такие линии, магнитный поток и магнитное напряжение вдоль
которых непрерывно меняются при переходе от одной точки линии к соседней.
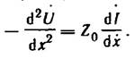
Эффект непрерывного изменения тока (потока) и
электрического (магнитного) напряжения вдоль линии имеет место вследствие того,
что линии обладают распределенными продольными и поперечными элементами
(рис.1).
Рис.1
На рисунке через dx
обозначен бесконечно малый элемент длины линии. Сопротивления Z1,
Z2, Z3,…
называются продольными, в них включены сопротивления и прямого и обратного
проводов; сопротивления Z4,
Z5, Z6,…
называют поперечными.
В результате утечки тока через сопротивление Z4
ток i2 ≠ i1.
Аналогично, ток i3 ≠ i2
и т.д. Напряжение между точками a
и b не равно
напряжению между точками c
и d и т.д.
В электрических линиях с распределенными
параметрами продольными сопротивления образованы активными сопротивлениями
проводов линии и индуктивностями двух противостоящих друг другу участков линии
длиной dx. Поперечные
сопротивления состоят из сопротивлений утечки, появляющейся вследствие
несовершенства изоляции между проводами линии, и емкостей, образованных
противостоящими друг другу элементами (участками) линии. В магнитных линиях с
распределенными параметрами продольные сопротивления представляют собой
магнитные сопротивления самих магнитных стержней, образующих магнитную линию, а
поперечные сопротивления обусловлены утечкой магнитного потока по воздуху между
противостоящими друг другу участками линии.
Линию с распределенными параметрами называют
однородной, если равны друг другу все продольные сопротивления участков линии
одинаковой длины и равны друг другу все поперечные сопротивления участков линии
одинаковой длины. Участок линии рис.1 однороден, если Z1=Z2=Z3=…
и Z4=Z5=Z6.
Линию с распределенными параметрами называют
неоднородной, если продольные сопротивления в ней различны или поперечные
сопротивления неодинаковы.
Кроме того линии с распределенными параметрами
можно поделить на две большие группы: нелинейные и линейные.
В нелинейных линиях с распределенными
параметрами продольные и (или) поперечные сопротивления являются функциями
протекающих по ним токов, в линейных продольные и поперечные сопротивления не
являются функциями протекающих по ним токов.
Примером нелинейной электрической линии с
распределенными параметрами является электрическая линия передачи высокого
напряжения при наличии между проводами линии тихого электрического разряда
(явление короны на проводах). В этом случае емкость между противостоящими друг
другу участками линии является функцией напряжения между этими участками.
Примером нелинейной магнитной линии с распределенными
параметрами является линия, образованная параллельно расположенными магнитными
сердечниками, которые в процессе работы линии могут насыщаться.
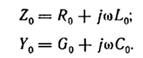
Рис.2
Когда используют термин "линия с
распределенными параметрами", то обычно его мысленно связывают с мощными
линиями передачи электрической энергии на большие расстояния, а также когда
"линий" в буквально, смысле слова, казалось бы, вовсе нет. Так,
обычная индуктивная катушка при достаточно высоких частотах представляет собой
линию с распределенными параметрами. Картина электрического и магнитного полей
катушки показана на рис. 2. Линии напряженности электрического поля Е показаны
пунктиром, линии напряженности магнитного поля Н - сплошными линиями.
Рис.3
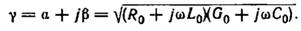
Схема замещения катушки показана на рис. 3. Из
рисунка видно, что кроме индуктивностей в схеме есть межвитковые емкости и
емкости на корпус прибора (на землю).
Если по катушке проходит переменный ток, то
через межвитковые емкости и емкости на землю также идет ток. При одном и том же
напряжении между соседними витками ток через емкости тем больше, чем выше
частота переменного тока. При низкой частоте (десятки, сотни, тысячи герц) ток
через емкости несоизмеримо мал по сравнению с токами через витки катушки.
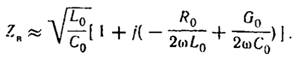
Рис.4
Пусть R0
- продольное активное сопротивление единицы длины линии; L0
- индуктивность единицы длины линии; С0 - емкость единицы длины линии; G0
- поперечная проводимость единицы длины линии. Поперечная проводимость G0
не является обратной величиной продольного сопротивления R0.
x - расстояние,
отсчитываемое от начала линии (рис.4). На длине dx
активное сопротивление равно R0dx,
индуктивность - L0dx,
проводимость утечки - G0dx
и емкость - G0dx.
Ток в начале рассматриваемого участка линии i,
а напряжение между проводами линии - u.
И ток и напряжение являются в общем случае функциями расстояния вдоль линии х и
времени t.
Уравнение по второму закону Кирхгофа дли
замкнуто контура, образованного участком линии длиной dx,
обойдя его по часовой стрелке:
…u + R0dxi +
+ u +
После упрощения и деления уравнения на dx:
R0i
(1)
G
u+C
(2)
Уравнения (1) и (2) являются основными
дифференциальными уравнениями для линии с распределенными параметрами.
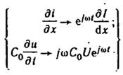
УРАВНЕНИЯ ЛИНИИ С РАСПРЕДЕЛЕННЫМИ ПАРАМЕТРАМИ
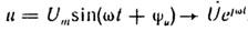
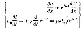
Пусть напряжение и ток в линии изменяются по
синусоидальному закону во времени.
Изображение тока
где
Изображение напряжения
где
Представление изображений тока и напряжения в
виде произведения двух множителей, из которых один является функций, только х,
а другой - функцией только t,
дает возможность перейти от уравнений в частных производных уравнений к
уравнениям в простых производных:
(3)
(4)
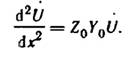
Подставим (3) и (4) в (1) и
(2), сократив в полученных уравнениях множитель
:
где
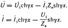
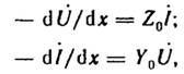
Решим систему уравнений (5) и (6) относительно U.
С этой целью продифференцируем (5) по х:
(7)
В (7) вместо dI/dx
подставим правую часть уравнения (6):
(8)
Уравнение (8) представляет собой линейное
дифференциальное уравнение второго порядка. Его решение:
(9)
Комплексные числа А1 и А2 есть постоянные
интегрирования. Комплексное число:
называют постоянной распространения; его можно
представить в виде

[γ]
= [α]
= [β]
= 1/м
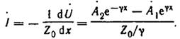
Ток I
найдем из уравнения (5):
(10)
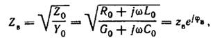
Отношение
имеющее
размерность сопротивления, обозначают ZB
и называют волновым сопротивлением.
(11)
где zв
- модуль; φ - аргумент
волнового сопротивления Zв.
Следовательно,
(10а)
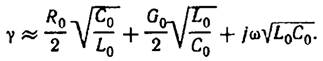
Как указывалось ранее, постоянная
распространения:
(11)
Для линии постоянного тока 𝜔=0
и потому:
Для линии синусоидального тока без потерь (R0 = G0 =
0):
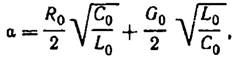
Запишем формулы для приближенного определения β
и
α
в линии с малыми потерями, когда R0/𝜔L0
<< l и G0/𝜔C0<<l.
С этой целью перепишем формулу (11) следующим образом:
линия распределенный электрический
сопротивление
и разложим биномы в ряды, ограничившись двумя
членами каждого ряда [т. е. воспользуемся
соотношением
]. В результате
получим:
Следовательно,
Рассмотрим вопрос о волновом сопротивлении. Для
постоянного тока (𝜔=0) из (11)
следует, что:
Для линии синусоидального тока без потерь (R0 = G0 =
0):
Для линии синусоидального тока с малыми
потерями, когда
Для реальных воздушных линий |Zв|
300
600
Ом, для кабельных |Zв|
50
200
Ом. Угол φ имеет емкостный
характер.
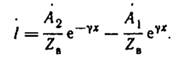
Пусть в начале линии при x=0
напряжение U1, и ток I1.
Формулы (12) и (13) позволяют найти комплексы
напряжения и тока в точке линии, расположенной на расстоянии х от ее начала.
Следует иметь в виду, что аргументом гиперболических функций в этих формулах
является комплексное число γx=αx+jβx.
Рис.5
(14)
Зная U2
и I2 с помощью формул
(14) и (15), можно найти комплексы напряжения и тока в точке, находящейся на
расстоянии у от конца линии.
СПИСОК ЛИТЕРАТУРЫ
Бессонов
Л.А. Теоретические основы электротехники: Электрические цепи. Учеб. для
студентов электротехнических, энергетических и приборостроительных
специальностей вузов. -7-е изд., перераб. и доп. -М.: Высш. шк., 1978. -528с.
Теоретические
основы электротехники. Учеб. для вузов. В трех т. Под общ. ред. К.М.Поливанова.
Т.2. Жуховицкий Б.Я., Негневицкий И.Б. Линейные электрические цепи
(продолжение). Нелинейные цепи. -М.:Энергия- 1972. -200с.
Основы
теории цепей: Учеб. для вузов /Г.В.Зевеке, П.А.Ионкин, А.В.Нетушил, С.В.Страхов.
-5-е изд., перераб. -М.: Энергоатомиздат, 1989. -528с