Инвестиционный проект для СХПК 'Металлист' по производству концентрированных комбинированных кормов для крупного рогатого скота

  • Вид работы:
    Дипломная (ВКР)
  • Предмет:
    Эктеория
  • Язык:
    Русский
    ,
    Формат файла:
    MS Word
    274,13 Кб
  • Опубликовано:
    2014-01-03
Вы можете узнать стоимость помощи в написании студенческой работы.
Помощь в написании работы, которую точно примут!

Инвестиционный проект для СХПК 'Металлист' по производству концентрированных комбинированных кормов для крупного рогатого скота

МИНИСТЕРСТВО ОБРАЗОВАНИЯ И НАУКИ РОССИЙСКОЙ ФЕДЕРАЦИИ

ФИЛИАЛ ГОСУДАРСТВЕННОГО ОБРАЗОВАТЕЛЬНОГО УЧРЕЖДЕНИЯ ВЫСШЕГО ПРОФЕССИОНАЛЬНОГО ОБРАЗОВАНИЯ

"САНКТ-ПЕТЕРБУРГСКИЙ ГОСУДАРСТВЕННЫЙ УНИВЕРСИТЕТ ЭКОНОМИКИ И ФИНАНСОВ" в г. ПСКОВЕ

Кафедра "Финансы и кредит"




ДИПЛОМНАЯ РАБОТА

На тему: Инвестиционный проект для СХПК "Металлист" по производству концентрированных комбинированных кормов для крупного рогатого скота


Студентки 5 курса, 510 группы

Ушкаловой Натальи Анатольевны

Научный руководитель:

ассистент, Павлова Наталья Олеговна



ПСКОВ

год

Содержание

Введение

. Экономическая сущность инвестиционного процесса

.1 Инвестиции: понятие, классификация инвестиций

.2 Инвестиционный проект

.3 Методы оценки инвестиционных проектов

. Анализ финансового состояния предприятия СХПК "Металлист"

.1 Краткая характеристика СХПК "Металлист"

.2 Анализ актива и пассива баланса

.3 Анализ ликвидности

.4 Анализ финансовой устойчивости

.5 Анализ деловой активности

.6 Анализ прибыли и рентабельности предприятия

. Разработка инвестиционного проекта для СХПК "Металлист"

.1 Описание инвестиционного проекта

.2 Маркетинговый план

.3 Производственный план

.4 Финансовый план

.5 Оценка эффективности инвестиционного проекта

Заключение

Список литературы

ликвидность финансовый прибыльность инвестиционный

Введение

Агропромышленный комплекс - залог продовольственной безопасности и независимости государства, что особенно актуально в условиях кризисного и посткризисного развития страны и регионов. Одно из основных направлений адаптации сельскохозяйственных предприятий к изменяющимся условиям ведения производства - реструктуризация производственных систем. При этом выход на оптимальные параметры функционирования невозможен без инвестиций, обеспечивающих необходимые структурные изменения. В этой связи особую остроту и актуальность приобретает проблема инвестиционною процесса в сельском хозяйстве. Сельское хозяйство - основополагающая отрасль в любой экономике, которая изначально является малоприбыльной и малопривлекательной для инвестиций, но от развития сельского хозяйства зависит развитие всей экономики. Поэтому вопрос инвестиций в сельское хозяйство является ключевым в развитии экономики нашей страны и регионов. Одним из приоритетных направлений развития Псковской области сегодня является увеличение конкурентоспособности сельскохозяйственной отечественной продукции. АПК региона на 70% состоит из молочных хозяйств, и в нынешних условиях, когда конъюнктура рынка молочных продуктов изменилась в сторону снижения, Псковская область оказалась в непростой ситуации - производимая продукция оказалась невостребованной на рынке. Эти тенденции будут иметь пролонгированный характер, поэтому необходимо диверсифицировать АПК и развивать новые направления сельхозпроизводства. Таким образом, целью исследования является разработка инвестиционного проекта по диверсификации деятельности сельскохозяйственного предприятия животноводческой отрасли молочно-мясного направления. Объект - финансово-хозяйственная деятельность сельскохозяйственного предприятия на примере СХПК "Металлист". Предмет - определение путей диверсификации деятельности данного предприятия. Достижение поставленной цели предполагает решение следующих задач:

·        изучение теоретических аспектов процесса инвестирования;

·        анализ финансового состояния предприятия в динамике; выявление основных проблем деятельности предприятия и источников их решения;

·        анализ отрасли и рыночной среды, в которой функционирует предприятие; разработка плана маркетинга, определение конкурентных преимуществ будущего производства; составление производственного плана, выбор технологии производства;

·        расчет финансовых показателей и оценка эффективности разработанного инвестиционного проекта.

Проблема инновационного развития отрасли сельского хозяйства - актуальна и важна как для развития экономики страны, так и для отдельно взятого субъекта Российской Федерации. Результаты проделанной работы могут быть полезны для предприятий отрасли, стремящихся к модернизации и совершенствованию своей хозяйственной деятельности. Дипломная работа включает в себя три главы. Первая глава носит теоретический характер: раскрывает понятие инвестиционного процесса, описывает основные методы оценки эффективности инвестиционных проектов. Вторая глава содержит анализ финансового состояния предприятия: анализ активов и пассивов баланса, ликвидности, финансовой устойчивости и платежеспособности, деловой активности предприятия. Также приведен прибыли и анализ рентабельности деятельности. Третья глава состоит из описания разработанного инвестиционного проекта, маркетингового плана, производственного плана, финансового плана и оценки эффективности инвестиционного проекта по производству комбинированных концентрированных кормов для КРС.

1.      
Экономическая сущность инвестиционного процесса

.1 Инвестиции: понятие, классификация инвестиций

Инвестиции (от лат. investire - "облачать") - вложение капитала в объекты предпринимательской и иной деятельности с целью получения прибыли или достижения положительного социального эффекта. Согласно ФЗ "Об инвестиционной деятельности в Российской федерации, осуществляемой в форме капитальных вложений" инвестиции - денежные средства, ценные бумаги, иное имущество, в том числе имущественные права, иные права, имеющие денежную оценку, вкладываемые в объекты предпринимательской и (или) иной деятельности в целях получения прибыли и (или) достижения иного полезного эффекта.

В рыночной экономике получение прибыли является движущим мотивом инвестиционной деятельности. Данная цель опосредуется производством конкретных товаров, оказанием услуг, которые находят признание на рынке; без этого инвестиции окажутся бесполезными. Побудительный мотив усиливается, если сокращаются налоги, в том числе на прибыль, и, в особенности, если законодательно закреплено право собственности. Эту прибыль целесообразно рефинансировать, т. е. направлять ее в определенном объеме на развитие производства.

В экономической литературе инвестиции рассматриваются как акт отказа от сиюминутного потребления благ ради более полного удовлетворения потребностей в последующие годы посредством инвестирования средств в объекты предпринимательской деятельности. Это более глубокое по содержанию определение, связывающее две стороны понимания инвестиций - как затраченного капитала и как капитала, который позволяет достичь намеченного результата.

Для уяснения экономической природы инвестиций важно иметь в виду, что в их состав включается капитал в разнообразных формах. В состав инвестиций входят денежные средства в форме привлеченных средств (акций), заемных средств, собственных средств, а также в форме конкретных материально-вещественных элементов, например в форме зданий, сооружений, оборудования, интеллектуальных ценностей, имущественных прав, вносимых участниками инвестиционного процесса для создания (развития, модернизации) объекта предпринимательской деятельности. В любом случае инвестиции приобретают стоимостную характеристику.

Указанные формы инвестиций объединяет, во-первых, то, что они все воплощаются в создаваемом объекте предпринимательской деятельности, формируют его активы, и, во-вторых, долговременное перераспределение средств и ресурсов между теми, кто ими располагает, и теми, кто в них нуждается.

Для целей планирования и анализа инвестиции могут быть классифицированы по ряду направлений, что дает возможность глубже понять сущность инвестиций. Наиболее распространенной является следующая классификация:

. По объектам инвестирования:

• финансовые;

• реальные;

• инвестиции в нематериальные активы.

Финансовые инвестиции - это вложение денежных средств в ценные бумаги, акции, облигации, долговые права, на депозитные счета в банке под определенные проценты.

Реальные инвестиции - вложение капитала в производство на его создание и развитие.

Инвестиции в нематериальные ценности - это вложение средств в научные исследования, подготовку кадров, рекламу, приобретение лицензий на использование новых технологий.

Соотношение между реальными и финансовыми инвестициями должно выглядеть следующим образом. На начальном этапе развития предприятия основной объем инвестиций направляется в реальный сектор, а в дальнейшем - еще и на приобретение акций предприятий, обслуживающих данное предприятие и снабжающих его сырьем, материалами (финансовые инвестиции).

. По продолжительности инвестирования:

• краткосрочные инвестиции (до 1 года);

• долгосрочные инвестиции.

Основными инструментами краткосрочного инвестирования являются банковские депозиты, векселя, сертификаты и высоколиквидные ценные бумаги.

Долгосрочные инвестиции (на продолжительный период времени)- это инвестиции в реальный сектор. К ним относятся долгосрочные финансовые инвестиции, например в акции дочерних предприятий, в уставный капитал других фирм.

. По формам воспроизводства в реальном секторе:

• на создание объекта предпринимательской деятельности;

• на расширение производства;

• на реконструкцию, техническое перевооружение.

Структура инвестиций по данным направлениям зависит от стадий, на которых находится предприятие. На начальном этапе инвестиции направляются на создание объекта. В условиях, когда продукт востребован на рынке, инвестиции направляются на расширение производства. Все зависит от масштабности производства и конъюнктуры рынка

. В зависимости от конечных результатов:

• на рост объемов производства;

• на повышение качества производимой продукции;

• на экономию ресурсов (в конечном счете, на снижение себестоимости);

• на увеличение количества рабочих мест.

. По формам собственности:

• частные;

• государственные.

Частные инвестиции - инвестиции, образуемые из средств частных, корпоративных предприятий и организаций, граждан, включая как собственные, так и привлеченные средства.

Государственные инвестиции - инвестиции, образуемые из средств государственного бюджета и других государственных финансовых источников.

. По источникам финансирования:

• собственные (амортизация, прибыль);

• заемные (кредиты);

• привлеченные (посредством эмиссии акций).

Соотношение между собственными и заемными инвестициями формирует показатель финансовой устойчивости. Нормально, когда собственные средства при инвестировании составляют около 70%, заемные - 30%. Разные источники имеют разную ценность для предприятия. Необходимо, чтобы соотношение между источниками инвестирования было оптимальным. Главная задача - сократить расходы, связанные с инвестированием.

. По составу участников инвестиционного процесса, их вкладу в разработку и реализацию проекта:

• предприятия;

• акционеры;

• коммерческие банки;

• структуры более высокого уровня по отношению к проекту (компании, холдинги);

• бюджеты разного уровня (федеральный, региональный, местный).

Различают также и интеллектуальные нематериальные инвестиции - это затраты на покупку патентов, лицензии, ноу-хау, подготовку и переподготовку персонала, вложения в научно- исследовательские и опытно- конструкторские разработки, рекламу и др.

Кроме того, различают начальные инвестиции, или нетто инвестиции, осуществляемые на основании проекта или при покупке предприятия (фирмы). Вместе с реинвестициями они образуют брутто инвестиции.

Реинвестиции - это вновь освободившиеся инвестиционные ресурсы, используемые на приобретение или изготовление новых средств производства и другие цели. Такие инвестиции могут быть направлены на замену имеющихся объектов новыми, рационализацию и модернизацию технологического оборудования или процессов. Изменение объемов выпуска (производства), диверсификацию, связанную с изменением номенклатуры; созданием новых видов продукции и организацией новых рынков сбыта, на обеспечение выживания предприятия (фирмы) в перспективе.

Суммы новых инвестиций, увеличивающих размер основного капитала и направляемых на его модернизацию (возмещение) (средств, направляемых на возмещение износа основного капитала), составляют валовые инвестиции.

1.2 Инвестиционный проект

Для ускорения принятия инвестором решения о том, вкладывать ли средства в то или иное предприятие, необходимо составлять инвестиционный проект, определяющий цель, которую стремится достичь фирма, стратегию предпринимательской деятельности в совокупности со сроками достижения цели.

Инвестиционный проект в том его виде, который принят в мировой практике, представляет собой комплекс взаимосвязанных мероприятий, направленных на достижение поставленных целей в условиях ограниченных финансовых, временных и других ресурсов.

Инвестиционный проект (ИП) - обоснование экономической целесообразности, объема и сроков осуществления капитальных вложений, в том числе необходимая проектно-сметная документация, разработанная в соответствии с законодательством РФ и утвержденными в установленном порядке стандартами (нормами и правилами), а также описанием практических действий по осуществлению инвестиций (бизнес-план). Это официальная трактовка, которая определяет государственное понимание термина инвестиционный проект.

Большинство экономистов считают общим для всех инвестиционных проектов временной лаг между моментом начала инвестиционного проекта и моментом начала его окупаемости. Срок жизни инвестиционного проекта определяется временем, в течение которого этот инвестиционный проект реализуется. В зарубежной практике оперируют, как правило, временным сроком не более десяти лет, так как, чем дольше действует инвестиция, тем более ненадежным становится процесс прогнозирования.

Срок жизни инвестиционного проекта можно представить тремя фазами развития проекта: прединвестиционной, инвестиционной и эксплуатационной. Выделяют три вида прединвестиционных исследований: исследование возможностей, предпроектные исследования и оценку осуществимости проекта.

Исследование возможностей включает:

·        маркетинговое исследование (возможности сбыта, конкурентная среда);

·        исследование обеспеченности материально-сырьевыми ресурсами (обеспеченность, цена, потребность);

·        кадровые исследования (обеспеченность, потребность).

Предпроектные исследования могут быть следующими:

·        выбор технологии производства;

·        разработка перспективной программы продаж и номенклатуры продукции;

·        выработка ценовой политики;

·        исследование места размещения с учетом технологических, климатических, социальных и иных факторов.

Оценка осуществимости проекта может выглядеть следующим образом:

·        оценка объемов строительства;

·        разработка конструкторской и технологической документации;

·        спецификация оборудования, выбор поставщиков и условий поставки;

·        разработка организации управления производством и сбытом продукции;

·        разработка графика работы предприятия;

·        оценка необходимости обучения работников (если это новое производство);

·        выбор поставщиков и условий поставки сырья, материалов, энергоносителей;

·        разработка условий оплаты труда;

·        разработка условий и графика амортизации оборудования;

·        определение условий аренды помещений, оборудования;

·        разработка графика осуществления проекта (строительства, монтажа, пуско-наладочных работ и функционирования проекта;

·        коммерческая оценка проекта;

·        переговоры с потенциальными участниками проекта;

·        юридическое оформление проекта (регистрация, оформление контрактов);

·        эмиссия ценных бумаг.

Перечень и порядок проведения работ на прединвестиционной фазе проекта имеют ориентировочный характер и могут меняться в зависимости от цели проекта, его организации, экономического состояния фирмы и ее окружения.

Заключительным документом прединвестиционного исследования является инвестиционный бизнес-план. Инвестиционный бизнес-план содержит всю необходимую информацию о проекте. В тоже время для осуществления переговоров с потенциальными участниками проекта он может содержать только его финансовую часть. Основные разделы, которые содержит типовая структура бизнес-плана инвестиционного проекта:

. Титульная страница бизнес-плана - содержит название компании, ее юридический и фактический адреса, телефоны, e-mail и адрес сайта (если есть), наименование и полные реквизиты собственников компании, наименование и очень кратко (одним предложением) - суть проекта, информацию об исполнителях проекта и дату его составления.

. Резюме проекта - представляет собой основные положения, суть, "выжимки" из проекта, его основные выводы. Цель резюме - заинтересовать инвестора и заставить его подробнее ознакомиться с содержанием бизнес-плана. Объем резюме проекта в бизнес-плане обычно составляет 2-3 страницы текста, который должен быть составлен простыми словами без использования терминологии и простыми предложениями. Резюме должно показать инвестору выгодность и перспективность вложений в представляемый инвестиционный проект.

. Описание компании - автора инвестиционного проекта - содержит основную информацию о компании, которая предлагает данный инвестиционный проект, ее полные реквизиты, информацию о учредителях и их реквизиты, цели компании, сведения о руководстве, историю компании, достижения, организационную структуру, основные продукты, и место компании на рынке.

. Описание продукта или услуги - включает информацию о продукте или услуге, его основных характеристиках, основных потребителях, потребительских свойствах товара, отличиях от существующих аналогов, информацию патентах и лицензиях.

. Маркетинговый анализ - содержит информацию об имеющихся на рынке товарах, продукции конкурентов, сравнение характеристик и потребительских качеств товаров конкурентов и предлагаемого продукта, информацию о наименовании конкурентов и их реквизиты, цены конкурентов и их стратегию продвижения товаров.

. Стратегия продвижения товара - здесь основным является определение рыночной ниши, т.е. того, какой именно и для каких категорий потребителей предназначен товар, количественный и качественный анализ потребителей, где они расположены, какими именно методами и каналами сбыта предлагается реализовывать товар или услугу. Приводится информация о стратегии рекламирования продукта или услуги, затратах на маркетинг, ценообразовании, политике при работе с покупателями. Этот раздел бизнес-плана часто является его самым слабым местом и может быть недостаточно проработан неопытным разработчиком бизнес-плана.

. Производство - в случае, если это производственное предприятие, данный раздел бизнес-плана включает информацию о выбранной технологии производства, мотивации ее выбора, описание основных технологических процессов предприятия, схему его работы, расстановку оборудования. В разделе приводятся расчеты потребности в материалах и сырье на производство продукции, затраты на их закупку, динамика цен, анализ поставщиков, затраты на обслуживание и плановые ремонты оборудования. В случае если специфика производства того требует, приводится информация о необходимости приобретения лицензий и прочих разрешений и согласований, требования по технике безопасности труда.

. План по персоналу - в этом разделе бизнес-плана приводится информация о потребности в персонале, его количестве и квалификации, анализ рынка труда по каждой позиции работников, приводятся расчеты затрат на оплату труда персонала, его социальное обеспечение, методы стимулирования и обучение.

. Организационная структура и управление - содержит схему организационной структуры управления предприятием, информацию о количественном и качественном составе подразделений предприятия, требования к его квалификации, расчет затрат на оплату труда, социальное обеспечение и стимулирование труда управляющего персонала.

В случае реорганизации или вновь создаваемого предприятия дается информация о форме собственности предприятия, его основных или предполагаемых акционерах, их реквизиты, доли в капитале предприятия, процесс принятия решений и принципы управления.

. Финансовый план - самая интересная часть бизнес-плана с практической точки зрения, он показывает, какие финансовые ресурсы потребуются для реализации инвестиционного проекта и в какие периоды времени, а также отдачу от проекта при заданных исходных данных и верности выводов маркетингового исследования. В финансовом плане приводятся или рассчитываются все денежные потоки предприятия - затраты, выручка от реализации, налоги и прибыль.

. Анализ рисков проекта - в этом разделе бизнес-плана дается описание возможных рисков проекта и их характеристика, а также приводится стратегия по их минимизации.

. Приложения к бизнес-плану - это документы, на базе которых был составлен бизнес-план: данные маркетинговых исследований, спецификации и подробные описания продуктов, развернутые характеристики конкурентов и их продуктов, копии рекламных материалов, прайс-листов, каталогов, письма от покупателей и заказчиков, контракты, резюме руководителей проекта и подразделений предприятия, заключения экспертов и прочие документы.

Вторая фаза инвестиционного цикла связана с формированием производственных активов долгосрочного характера. Особенностью данной фазы является необратимый характер затрат, принимающих значительный размер. Затраты по формированию производственных активов долгосрочного характера (строительство, закупка оборудования, его монтаж, пуско-наладка) капитализируются, а расходы на обучение персонала, проведение рекламных мероприятий относятся на себестоимость. Начало производства продукции означает начало третьей фазы жизни инвестиционного проекта - эксплуатационной. Она характеризуется соответствующими издержками производства и поступлениями от реализации продукции, являющейся результатом осуществления ИП. Доход, получаемый при этом, обеспечивает окупаемость инвестиционного проекта.

Так как финансирование является ресурсоограничивающим фактором реализации инвестиционных проектов, их отбор проводится с соблюдением следующих правил:

·        составляется исчерпывающий список вариантов инвестиций;

·        обеспечивается сравнимость альтернативных вариантов.

Привлекательность инвестиционных проектов, включенных в список вариантов инвестиций, оценивается по их эффективности и финансовой состоятельности.

.3 Методы оценки инвестиционных проектов

С формальной точки зрения любой инвестиционный проект зависит от ряда параметров, которые в процессе анализа подлежат оценке и нередко задаются в виде дискретного распределения, что позволяет проводить этот анализ в режиме имитационного моделирования. В наиболее общем виде инвестиционный проект (Р) представляет собой следующую модель:

Р = {IС,-, CFk, n, r}, (1.1)

где IС, - инвестиция в/-М году,/=1,2.....т (чаще всего считается, что т=1);

CFk- приток (отток) денежных средств в /с-м году, /с=1,2.....n;

n - продолжительность проекта;

г - коэффициент дисконтирования.

Инвестиционные проекты, анализируемые в процессе составления бюджета капиталовложений, имеют определенную логику.

• С каждым инвестиционным проектом принято связывать денежный поток, элементы которого представляют собой либо чистые оттоки, либо чистые притоки денежных средств; в данном случае под чистым оттоком денежных средств в k-м году понимается превышение текущих денежных расходов по проекту над текущими денежными поступлениями (соответственно, при обратном соотношении имеет место чистый приток); иногда в анализе используется не денежный поток, а последовательность прогнозных значений чистой годовой прибыли, генерируемой проектом.

• Чаще всего анализ ведется по годам, хотя это ограничение не является безусловным или обязательным; иными словами, анализ можно проводить по равным базовым периодам любой продолжительности (месяц, квартал, год, пятилетка и др.), необходимо лишь помнить об увязке величин элементов денежного потока, процентной ставки и длины этого периода.

• Предполагается, что весь объем инвестиций делается в конце года, предшествующего первому году генерируемого проектом притока денежных средств, хотя в принципе инвестиции могут делаться в течение ряда последующих лет.

• Приток (отток) денежных средств имеет место в конце очередного года (подобная логика вполне понятна и оправданна, поскольку, например, именно так считается прибыль - нарастающим итогом на конец отчетного периода).

• Коэффициент дисконтирования, используемый для оценки проектов с помощью методов, основанных на дисконтированных оценках, должен соответствовать длине периода, заложенного в основу инвестиционного проекта (например, годовая ставка берется только в том случае, если длина периода - год).

Необходимо особо подчеркнуть, что применение методов оценки и анализа проектов предполагает множественность используемых прогнозных оценок и расчетов. Множественность определяется как возможностью применения ряда критериев, так и безусловной целесообразностью варьирования основными параметрами. Это достигается использованием имитационных моделей в среде электронных таблиц.

Критерии, используемые в анализе инвестиционной деятельности, можно подразделить на две группы в зависимости от того, учитывается или нет временной параметр:

а) основанные на дисконтированных оценках;

б) основанные на учетных оценках.

К первой группе относятся критерии: чистый приведенный эффект (Net Present Value, NPV); индекс рентабельности инвестиции (Profitability Index, PI); внутренняя норма прибыли (Internal Rate of Return, IRR); модифицированная внутренняя норма прибыли (Modified Internal Rate of Return, MIRR); дисконтированный срок окупаемости инвестиции (Discounted Payback Period, DPP). Ко второй группе относятся критерии: срок окупаемости инвестиции (Payback Period, PP); коэффициент эффективности инвестиции (Accounting Rate of Return, ARR). Рассмотрим ключевые идеи, лежащие в основе методов оценки инвестиционных проектов, использующих данные критерии.

Метод расчета чистого приведенного эффекта (NPV).

В основе данного метода заложено следование основной целевой установке, определяемой собственниками компании - повышение ценности фирмы, количественной оценкой которой служит ее рыночная стоимость. Тем не менее, принятие решений по инвестиционным проектам чаще всего инициируется и осуществляется не собственниками компании, а ее управленческим персоналом. Поэтому здесь молчаливо предполагается, что цели собственников и высшего управленческого персонала конгруэнтны, т.е. негативные последствия возможного агентского конфликта не учитываются.

Этот метод основан на сопоставлении величины исходной инвестиции (IC) с общей суммой дисконтированных чистых денежных поступлений, генерируемых ею в течение прогнозируемого срока. Поскольку приток денежных средств распределен во времени, он дисконтируется с помощью коэффициента r, устанавливаемого аналитиком (инвестором) самостоятельно исходя из ежегодного процента возврата, который он хочет или может иметь на инвестируемый им капитал.

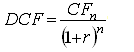
Допустим, делается прогноз, что инвестиция (IC) будет генерировать в течение n лет годовые доходы в размере Р1, Р2, … , Рn. Общая накопленная величина дисконтированных доходов (Present Value, PV) и чистый приведенный эффект (Net Present Value, NPV) соответственно рассчитываются по формулам:

PV=å Pk / (1+r) ^k (1.2)=å Pk / (1+r) ^k-IC (1.3)

Очевидно, что если:

NPV > О, то проект следует принять;

NPV < 0, то проект следует отвергнуть;

NPV = О, то проект ни прибыльный, ни убыточный.

Следует особо прокомментировать ситуацию, когда NPV = 0. В этом случае действительно благосостояние владельцев компании не меняется, однако, как уже отмечалось выше, инвестиционные проекты нередко принимаются управленческим персоналом самостоятельно, при этом менеджеры могут руководствоваться и своими предпочтениями. Проект с NPV = 0 имеет все же дополнительный аргумент в свою пользу - в случае реализации проекта благосостояние владельцев компании не изменится, но в то же время объемы производства возрастут, т.е. компания увеличится в масштабах.

Если проект предполагает не разовую инвестицию, а последовательное инвестирование финансовых ресурсов в течение т лет, то формула для расчета NPV модифицируется следующим образом:

NPV= å Pk /(1+r)^k- å ICj /(1+i)^j (1.4)

где: i - прогнозируемый средний уровень инфляции;

Pk - годовые доходы;

k - период получения дохода;

r - ставка дисконтирования;

IC - инвестиции;

J - период инвестирования.

Расчет с помощью приведенных формул вручную достаточно трудоемок, поэтому для удобства применения этого и других методов, основанных на дисконтированных оценках, разработаны специальные финансовые таблицы, в которых табулированы значения сложных процентов, дисконтирующих множителей, дисконтированного значения денежной единицы и т. п. в зависимости от временного интервала и значения коэффициента дисконтирования. При расчете NPV, как правило, используется постоянная ставка дисконтирования, однако при некоторых обстоятельствах, например, ожидается изменение уровня учетных ставок, могут использоваться индивидуализированные по годам коэффициенты дисконтирования. Если в ходе имитационных расчетов приходится применять различные коэффициенты дисконтирования, то, во-первых, формула (1.3) неприменима и, во-вторых, проект, приемлемый при постоянной дисконтной ставке, может стать неприемлемым.

Метод расчета индекса рентабельности инвестиции.

Этот метод является, по сути, следствием, предыдущего. Индекс рентабельности (PI) рассчитывается по формуле:

PI=å Pk / (1+r)^k: IC (1.5)

где: Pk - годовые доходы;

k - период получения дохода;

r - ставка дисконтирования;

IC - инвестиции;

Очевидно, что если: PI > 1, то проект следует принять,

PI < 1, то проект следует отвергнуть,

PI = 1, то проект не является ни прибыльным, ни убыточным.

В отличие от чистого приведенного эффекта индекс рентабельности является относительным показателем: он характеризует уровень доходов на единицу затрат, т.е. эффективность вложений - чем больше значение этого показателя, тем выше отдача каждого рубля, инвестированного в данный проект. Благодаря этому критерий PI очень удобен при выборе одного проекта из ряда альтернативных, имеющих примерно одинаковые значения NPV (в частности, если два проекта имеют одинаковые значения NPV, но разные объемы требуемых инвестиций, то очевидно, что выгоднее тот из них, который обеспечивает большую эффективность вложений), либо при комплектовании портфеля инвестиций с целью максимизации суммарного значения NPV.

Метод расчета внутренней нормы прибыли инвестиции.

Под внутренней нормой прибыли инвестиции (IRR-синонимы: внутренняя доходность, внутренняя окупаемость) понимают значение коэффициента дисконтирования (r), при котором NPV проекта равен нулю:

IRR = r, при котором NPV = f(r) = 0.

Иными словами, если обозначить IC = CF0, то IRR находится из уравнения:

å CFk / (1+IRR)^k=0 (1.6)

Смысл расчета внутренней нормы прибыли при анализе эффективности планируемых инвестиций, как правило, заключается в следующем: IRR показывает ожидаемую доходность проекта, и, следовательно, максимально допустимый относительный уровень расходов, которые могут быть ассоциированы с данным проектом. Например, если проект полностью финансируется за счет ссуды коммерческого банка, то значение IRR показывает верхнюю границу допустимого уровня банковской процентной ставки, превышение которого делает проект убыточным.

На практике любая коммерческая организация финансирует свою деятельность, в том числе и инвестиционную, из различных источников. В качестве платы за пользование авансированными в деятельность организации финансовыми ресурсами она уплачивает проценты, дивиденды, вознаграждения и т.п., иными словами, несет некоторые обоснованные расходы на поддержание экономического потенциала. Показатель, характеризующий относительный уровень этих расходов в отношении долгосрочных источников средств, как обсуждалось выше, называется средневзвешенной ценой капитала (WACC). Этот показатель отражает сложившийся в коммерческой организации минимум возврата на вложенный в ее деятельность капитал, его рентабельность, и рассчитывается по формуле средней арифметической взвешенной.

Таким образом, экономический смысл критерия IRR заключается в следующем: коммерческая организация может принимать любые решения инвестиционного характера, уровень рентабельности которых не ниже текущего значения показателя "цена капитала" СС, под последним понимается либо WACC, если источник средств точно не идентифицирован, либо цена целевого источника, если таковой имеется. Именно с показателем СС сравнивается критерий IRR, рассчитанный для конкретного проекта, при этом связь между ними такова.

Данное утверждение верно лишь для "классического" проекта в том смысле, в каком он был определен ранее в данном разделе. Ниже будут приведены примеры проектов, для которых суждения о соотношении цены источника и IRR имеют другую интерпретацию.

Если: IRR > СС, то проект следует принять; IRR < СС, то проект следует отвергнуть; IRR = СС, то проект не является ни прибыльным, ни убыточным.

Метод определения срока окупаемости инвестиций.

Этот метод, являющийся одним из самых простых и широко распространенных в мировой учетно-аналитической практике, не предполагает временной упорядоченности денежных поступлений. Алгоритм расчета срока окупаемости (РР) зависит от равномерности распределения прогнозируемых доходов от инвестиции. Если доход распределен по годам равномерно, то срок окупаемости рассчитывается делением единовременных затрат на величину годового дохода, обусловленного ими. При получении дробного числа оно округляется в сторону увеличения до ближайшего целого. Если прибыль распределена неравномерно, то срок окупаемости рассчитывается прямым подсчетом числа лет, в течение которых инвестиция будет погашена кумулятивным доходом. Общая формула расчета показателя РР имеет вид:

РР = min n,

при котором åPk > IC (1.7)

где: Pk - годовые доходы;

k - период получения дохода;

IC - инвестиции.

Нередко показатель РР рассчитывается более точно, т.е. рассматривается и дробная часть года; при этом делается молчаливое предположение, что денежные потоки распределены равномерно в течение каждого года. Некоторые специалисты при расчете показателя РР все же рекомендуют учитывать временной аспект. В этом случае в расчет принимаются денежные потоки, дисконтированные по показателю WACC, а соответствующая формула для расчета дисконтированного срока окупаемости, DPP, имеет вид:

DPP - min n, при котором å Pk/ (1+r)^k (1.8)

Для удобства расчетов можно пользоваться дисконтирующим множителем FM2 (r%,n). Очевидно, что в случае дисконтирования срок окупаемости увеличивается, т.е. всегда DPP > PP. Иными словами, проект, приемлемый по критерию РР, может оказаться неприемлемым по критерию DPP.

Метод расчета коэффициента эффективности инвестиции.

Этот метод имеет две характерные черты: во-первых, он не предполагает дисконтирования показателей дохода; во-вторых, доход характеризуется показателем чистой прибыли PN (прибыль за минусом отчислений в бюджет). Алгоритм расчета исключительно прост, что и предопределяет широкое использование этого показателя на практике: коэффициент эффективности инвестиции, называемый также учетной нормой прибыли (ARR), рассчитывается делением среднегодовой прибыли PN на среднюю величину инвестиции (коэффициент берется в процентах). Средняя величина инвестиции находится делением исходной суммы капитальных вложений на два, если предполагается, что по истечении срока реализации анализируемого проекта все капитальные затраты будут списаны; если допускается наличие остаточной или ликвидационной стоимости (RV), то ее оценка должна быть учтена в расчетах. Иными словами, существуют различные алгоритмы исчисления показателя ARR, достаточно распространенным является следующий:

ARR =PN/1/2*(IC+RV) (1.9)

где: PN - среднегодовая прибыль;

IC - инвестиции;

RV - остаточная (ликвидационная) стоимость.

Данный показатель чаще всего сравнивается с коэффициентом рентабельности авансированного капитала, рассчитываемого делением общей чистой прибыли коммерческой организации на общую сумму средств, авансированных в ее деятельность (итог среднего баланса-нетто). В принципе возможно и установление специального порогового значения, с которым будет сравниваться ARR, или даже их системы, дифференцированной по видам проектов, степени риска, центрам ответственности и др.

2. Анализ финансового состояния предприятия СХПК "Металлист"

.1 Краткая характеристика СХПК "Металлист"

Сельскохозяйственный производственный кооператив "Металлист" - коммерческая организация сельскохозяйственного профиля, молочно-мясного направления, частной формы собственности. СХПК "Металлист" расположен в юго-западной части Псковского района в 16 км. от областного центра г. Пскова, в деревне Тямша, ул. Молодёжная, д. 3. Хозяйство граничит на севере с землями СХПК "Красный боец", ОПХ "Родина", на юге - с землями колхоза "Черский". Пунктом сбыта сельскохозяйственной продукции является г. Псков.

Кооператив имеет густоразветвленную дорожную сеть. С запада на восток проходят две дороги: по северной части землепользования трасса республиканского значения Псков - Рига, по южной части - трасса областного значения Псков - Палкино.

Природные условия хозяйства вполне благоприятны для роста и возделывания сельскохозяйственных культур. Землепользование хозяйства расположено в зоне умеренно- континентального климата, с относительно благоприятными агроклиматическими условиями, с умеренно холодной зимой и умеренно теплым вегетационным периодом. Почвы в основном дерново-подзолистые супесчаного состава. Земельная площадь составляет 6519 га, в том числе сенокосов - 406 га и пастбищ- 1008 га.

В настоящее время, в условиях постоянного повышения цен на основные виды продуктов питания: мясо, молоко, картофель, а так же дефицита отечественной продукции на продовольственном рынке, перед производителями Псковской области стоят две основные задачи: увеличение объемов продукции и снижение себестоимости, чтобы конкурировать с другими производителями. Необходимо учитывать, что развитие производства продукции растениеводства и животноводства происходит при постоянном повышении цен на энергоресурсы. Диспаритет цен на сельскохозяйственную продукцию, сокращение государственного финансирования, снижение покупательной способности потребителей сельскохозяйственной продукции привело по Псковскому району к сокращению посевных площадей, к резкому понижению поголовья крупнорогатого скота. Сельхозтоваропроизводители из-за неплатежеспособности и высоких цен испытывают затруднение в приобретении техники. Она поступает в незначительных количествах по лизингу. Истощается пашня, лишенная минеральных и органических удобрений. Эти и другие негативные факторы привели к значительному снижению урожайности полей, продуктивности скота, сокращению валовых сборов зерна и картофеля. Выше указанные отрицательные факторы привели к тому, что сельскохозяйственное производство в районе стало убыточным.

Рынок воспроизводства животноводческой продукции характеризуется наличием большого количества конкурентов. В Псковском районе конкурентами является СХП "Передовик" - доля на рынке сбыта составляет 35%, "Агрофирма "Победа" - 25% и др.

Но, несмотря на масштабы и количество конкурентных агроформирований, животноводческая продукция СХПК "Металлист" пользуется спросом на рынке перерабатывающей промышленности г. Пскова.

Отличительные особенности производимой продукции: высокое качество, доступные цены для потребителей со средним и низким уровнем доходов.

Фирма "Металлист" берет свое начало в 1934 году, когда объединились несколько немногочисленных артелей. А в 1959 году в "Металлист" вошло 20 довоенных колхозов. Из колхоза он перерос в совхоз "Металлист", и, начиная с 1974 года, становится одним из крупнейших хозяйств.

Согласно постановлению РФ от 29.12.1991 г. № 86 "О порядке реорганизации колхозов и совхозов" Администрацией Псковского района Псковской области совхоз "Металлист" был реорганизован в ТОО "Металлист" и зарегистрирован.

В 2000 году группой лиц с целью производства и сбыта сельхозпродукции на базе ТОО "Металлист" был зарегистрирован производственный кооператив "Металлист".

Основные виды деятельности СХПК "Металлист":

-        растениеводство - производство зерна, заготовка кормов;

- животноводство - молочное и мясное скотоводство (производство молока, разведение крупного рогатого скота молочного и мясного направления, откорм скота), являющееся основной отраслью производства.

В хозяйстве имеется животноводческий комплекс на 8500 голов (по состоянию на конец 2010 года), в который входят:

-        производственные здания,

-        молочный блок,

         дворы.

Также имеется ферма по выращиванию молодняка крупного рогатого скота.

Среднесписочная численность работников на наконец 2010 года составляет 98 человек, в том числе: трактористы-машинисты - 11 чел., операторы машинного доения, дояры - 13 чел., скотники крупного рогатого скота - 26 чел., 1 работник коневодства, 11 руководителей и 8 специалистов. Среднемесячная заработная плата по предприятию - 8 000 руб./мес.

.2 Анализ актива и пассива баланса

Сравнительный аналитический баланс сводит воедино и систематизирует те расчёты, которые осуществляет аналитик при ознакомлении с балансом. Аналитическим балансом (приложение №3) охвачено большинство важных показателей, характеризующих статику и динамику финансового состояния организации. Этот баланс включает показатели как горизонтального, так и вертикального анализа.

Из данных приложения №3 видно, что за 2008 год активы предприятия выросли на 19269 тыс. руб., или на 70,55%, исключительно за счет увеличения объёма внеоборотных активов - на 21368 тыс. руб., или на 110,9%. Следует отметить, что увеличение обусловлено поступлением основных средств: машин и оборудования на 14817 тыс. руб., зданий на сумму 1531 тыс. руб., транспортных средств на 1391 тыс. руб., земельных участков на 3583 тыс. руб., а также в результате покупки продуктивного скота на сумму 2064 тыс. руб. При этом оборотные активы сократились на 2099 тыс. руб., или на 10,9%. Иначе говоря, в основной капитал данный период было вложено более чем в 10 раз больше средств, чем в оборотные активы. Материальные оборотные средства увеличились на 3410 тыс. руб., как за счет увеличения сырья и материалов на 1659 тыс. руб., так и в результате увеличения статьи "Животные на выращивании и откорме" на 1695 тыс. руб. Эти изменения связаны с наращиванием в 2008 году деятельности СХПК "Металлист". Увеличение наблюдалось также в незавершенном производстве - на 56 тыс. руб. Дебиторская задолженность и денежные средства сократились на 5509 тыс. руб., преимущественно за счет сокращения прочей краткосрочной дебиторской задолженности на 5728 тыс. руб., а также сокращения денежных средств на 113 тыс. руб. в результате наращивания предприятием инвестиционной деятельности.

За 2009 год активы сократились на 2205 тыс. руб., или на 4,7%, за счёт сокращения как объема внеоборотных активов на 1351 тыс. руб., так и за счёт сокращения оборотных активов на 854 тыс. руб. Следует отметить, что уменьшение внеоборотных активов произошло исключительно за счет статьи "Незавершенное строительство", сократившейся на 2126 тыс. руб. в результате завершения ремонтных работ животноводческого комплекса. Статья "Основные средства" внеоборотных активов увеличилась на 775 тыс. руб. за счет поступления: зданий, машин и оборудования на сумму 2315 тыс. руб., производственного скота на 3559 тыс. руб. Данные цифры указывают на продолжение начавшегося в 2008 году наращивания деятельности СХПК "Металлист".

Однако, рассматривая динамику оборотных средств в 2009 году, следует отметить, что запасы предприятия в 2009 году сократились на 908 тыс. руб. в результате сокращения объемов сырья и материалов на 302 тыс. руб., животных на выращивании и откорме на 184 тыс. руб. а также затрат в незавершенном производстве на 422 тыс. руб. В целом сокращение запасов можно объяснить сокращением поголовья крупного рогатого скота на 116 голов за 2009 год, или на 15 %. Несмотря на поступления производственного скота на 3559 тыс. руб., его выбытие на сумму 1978 тыс. руб., оказавшееся на 58% больше, чем за аналогичный период 2008 года, не дало ожидаемого продолжения наращивания производственной деятельности СХПК "Металлист".

В 2009 году на 280 тыс. руб. уменьшилась дебиторская задолженность, а денежные средства увеличились на 334 тыс. руб. Сокращение дебиторской задолженности произошло исключительно за счет сокращения краткосрочной дебиторской задолженности по расчетам с покупателями и заказчиками на 297 тыс. руб., при одновременном увеличении прочей краткосрочной дебиторской задолженности на 17 тыс. руб.

Чистое увеличение денежных средств за 2009 год оказалось в 3 раза больше, чем в 2008 году. Это обусловлено увеличением поступлений от текущей деятельности предприятия на 55 % в сравнении с 2008 годом, а также за счет прочих поступлений.

В 2010г. активы СХПК "Металлист" выросли на 8015 тыс. руб. или на 18%. Увеличение произошло за счет увеличения статьи "Основные средства" на 3033 тыс. руб. и роста запасов на 5157 тыс. руб.. Данный рост обусловлен поступлением машин и оборудования в отчетном периоде на сумму 6151 тыс. руб., а также продуктивного скота на 2675 тыс. руб. Общее увеличение с учетом выбытия составило 1132 тыс. руб., что повлекло наращивание предприятием запасов на 62,9% по сравнению с 2009 годом. Можно сделать вывод, что СХПК "Металлист" пережил острый кризис, имевший место в 2009 году, повлекший сокращение деятельности, и в отчетном периоде восстанавливает производство.

В 2010 г. дебиторская задолженность продолжила сокращаться, составив на конец периода лишь 167 тыс. руб., что также свидетельствует о положительных тенденциях развития. Однако имеет место сокращение денежных средства на 24%. Произошло это в результате уменьшения чистых денежных средств от текущей деятельности за счет уменьшения выручки от продаж на 2326 тыс. руб. Чистые денежные средства от инвестиционной деятельности также оказались меньше, чем в прошлом периоде, в результате приобретения объектов основных средств, доходных вложений в материальные ценности и материальные активы. Финансовая деятельность принесла предприятию увеличение денежных средств в результате роста поступлений от займов и кредитов, предоставленных другим организациям, однако из-за значительных затрат на инвестиционную деятельность, общий результат - сокращение денежных средств СХПК "Металлист".

Рассматривая финансовое состояние предприятия в динамике за 2008-2010гг. нельзя не отметить, что к концу 2009 года "Металлист" смог сформировать резервный капитал в сумме 3070 тыс. руб., нарастив его к концу 2010 года до 11850 тыс. руб. Таким образом, пассивная часть баланса характеризуется к концу 2010 года преобладающим удельным весом собственных источников средств, что положительно характеризует деятельность организации, усиление финансовой устойчивости.

Отсутствие в составе общих активов 2008, 2009 и 2010 гг. нематериальных активов отрицательно характеризует избранную стратегию организации, отражая незаинтересованность в инновационном развитии.

В целом следует отметить, что структура совокупных активов в период с 2008 по 2010 гг. характеризуется постоянным ростом в их составе внеоборотных средств, которые стабильно составляют 70-80% в общем объёме активов. Их величина значительно выросла в течение 2008-2010гг. в основном за счёт поступления машин и оборудования, а также за счёт увеличения земельных участков и объектов природопользования, продуктивного скота, транспортных средств и зданий, сооружений и передаточных устройств. Данная структура активов соответствует основному направлению деятельности предприятия - молочно-мясное животноводство. Данная сфера требует постоянного наращивания и обновления средств производства для обеспечения деятельности и поддержания конкурентоспособности фирмы на рынке.

Структура заемных средств в течение отчетных периодов 2008- 2010 гг. претерпела ряд изменений. Так, в 2008 году доля долгосрочных займов и кредитов увеличилась на 12% в общей стоимости пассивов. Связано это с привлечением кредита на обновление парка сельскохозяйственной техники, на механизирование трудоемких процессов на молочных фермах, на увеличение поголовья скота. Таким образом, абсолютное увеличение долгосрочной кредиторской задолженности составило 10560 тыс. руб. В период с 2009 по 2010 гг. колебания доли долгосрочных займов в общей стоимости пассивов было незначительным (3-4%).

Если мы исследуем баланс по статьям, то увидим, что в 2008г. рост задолженности наблюдается по всем позициям кредиторских расчетов, кроме задолженности перед персоналом организации, доля которой в общем объеме сократилась на 0,82%, а также задолженности перед прочими кредиторами (сокращение на 1,57%). Кредиторская задолженность организации увеличивалась в большей степени за счёт увеличения задолженности перед поставщиками и подрядчиками. Ее доля в общем объеме пассивов увеличилась на 3,53% к концу 2009 г. Однако в 2010 гг. произошло сокращение кредиторской задолженности на 24,4%. Произошло это преимущественно за счет сокращения задолженности перед поставщиками и подрядчиками на 1492 тыс. руб. или на 41,56%. Таким образом, можно сделать вывод о грамотном управлении кредиторской задолженностью на предприятии и положительных тенденциях.

Анализируя сравнительный баланс, необходимо обратить внимание на соотношения темпов роста собственного и заемного капитала, а также на соотношение темпов роста дебиторской и кредиторской задолженности.

Темп роста собственного капитал предприятия составил:

Трсоб.кап. 08= 23255/15621=1,5

Трсоб.кап. 09=23113/23255=1

Трсоб.кап. 10 =27025/23113=1,2

В то же время темп роста заемного капитала, который складывается из долгосрочных и краткосрочных обязательств предприятия, оказался равным:

Трзаем.кап.08=23328/11690=1,99

Тр заем.кап.09=21265/23328=0,9

Тр заем.кап.10 = 25368/21265=1,2

Таким образом, можно сделать вывод о том, что темп роста собственного капитала в 2008 году был ниже темпа роста заемного, что говорит о наращивании привлечения средств. За аналогичный период в 2009 году темпы роста как собственного, так и заемного капитала сократились, но при этом темпы роста заемного капитала оказались ниже, чем собственного капитала предприятия, характеризуя положительные тенденции в финансовой устойчивости. В 2010 году темпы роста собственного и заемного капитала увеличились и сравнялись.

Темпы роста дебиторской и кредиторской задолженностей составили:

Тр08деб=535/5931=0,09; Тр08кред=2959/2143=1,38;

Тр09деб=255/535=0,48; Тр09кред=4386/2959=1,48;

Тр10деб=167/255=0,65. Тр10кред=3315/4386=0,7.

В период с 2008 по 2009гг. большими темпами увеличивается кредиторская задолженность, показатели друг друга не уравновешивают, что говорит о нестабильной финансовой устойчивости предприятия. Помимо более низкого темпа роста, дебиторская задолженность и в абсолютном выражении значительно меньше кредиторской, что неизбежно влечет дефицит платежных средств. К концу 2010г. ситуация стабилизируется: темпы роста снижаются и практически уравновешивают друг друга, что свидетельствует о положительных тенденциях, однако в абсолютном выражении соотношение дебиторской и кредиторской задолженности далеко от оптимального.

Анализируя динамку валюты баланса необходимо отметить увеличение в 2008 году, что, на первый взгляд, свидетельствует о положительных тенденциях в хозяйственной деятельности предприятия, о наращивании производственных мощностей. Однако такие показатели как темпы роста кредиторской и дебиторской задолженности, темпы роста собственного капитала и заемного, недостаточная доля собственных средств в оборотных активах не позволяют характеризовать состояние баланса как положительное. Этот вывод подтверждает и уменьшение в абсолютном выражении валюты баланса в 2009 году, что говорит о сокращении организацией хозяйственного оборота, влекущее за собой ее неплатежеспособность. В 2010г. увеличение валюты баланса на 18% указывает на улучшение финансового состояния предприятия, т.к. причинами увеличения послужил рост величины основных средств на 3033 тыс. руб., оборотных средств на 4982 тыс. руб., резервного капитала на 8780 тыс. руб. Темп прироста оборотных активов оказался к концу 2010г. выше, чем темп прироста внеоборотных активов, что положительно характеризует баланс и финансовое состояние СХПК "Металлист".

.3 Анализ ликвидности бухгалтерского баланса

Задача анализа ликвидности баланса возникает в связи с необходимостью давать оценку платежеспособности организации, т.е. ее способностью своевременно и полностью рассчитываться по всем своим обязательствам за счет наличия готовых средств платежа (остатка денежных средств) и других ликвидных активов.

Ликвидность баланса - степень покрытия обязательств организации ее активами, срок превращения которых в деньги соответствует сроку погашения обязательств.

В зависимости от степени ликвидности, т.е. скорости превращения в денежные средства, активы предприятия подразделяются на следующие группы:

А1. Наиболее ликвидные активы = денежные средства + краткосрочные финансовые вложения

А2. Быстро реализуемые активы = краткосрочная дебиторская задолженность

А3. Медленно реализуемые активы = запасы + долгосрочная дебиторская задолженность + НДС+ прочие оборотные активы

А4. Труднореализуемые активы = внеоборотные активы

Пассивы баланса группируются по степени срочности их оплаты.

П1. Наиболее срочные обязательства = кредиторская задолженность

П2. Краткосрочные пассивы = краткосрочные займы и кредиты + задолженность участникам по выплате доходов + прочие краткосрочные обязательства

П3. Долгосрочные пассивы = долгосрочные обязательства + доходы будущих периодов + резервы предстоящих расходов и платежей

П4. Постоянные (устойчивые) пассивы = капитал и резервы

Результаты расчетов по данным анализируемой организации (приложение №4) показывают, что на предприятии на 2008 год сопоставление итогов групп по активу и пассиву имеет следующий вид:

А1<П1; А2>П2; А3<П3; А4<П4.

Текущая ликвидность = (А1+А2) - (П1+П2)

Текущая ликвидность на начало периода = 1378;

Текущая ликвидность на конец периода = - 5206

Перспективная ликвидность = А3 - П3

Перспективная ликвидность на начало периода = - 1306;

Перспективная ликвидность на конец периода = - 8456

Исходя из этого, можно охарактеризовать ликвидность баланса как недостаточную. За анализируемый период возрос платежный недостаток наиболее ликвидных активов для покрытия наиболее срочных обязательств на 929 тыс. руб. в связи с уменьшением денежных средств в отчетном периоде на 113 тыс. руб. и ростом кредиторской задолженности на 816 тыс. руб. (соотношение по первой группе). В начале анализируемого периода соотношение было 0,06 к 1, когда теоретически достаточным значением для коэффициента срочности является соотношение 0,2 к 1. Обращает на себя внимание резкое сокращение на 5,6 пунктов величины коэффициента срочности. В результате в конце отчетного периода организация могла оплатить лишь 1% своих краткосрочных обязательств, что свидетельствует о крайне стесненном финансовом положении. При этом, исходя из данных аналитического баланса (приложение 1), можно заключить, что причиной снижения ликвидности явилось то, что краткосрочная задолженность увеличилась более быстрыми темпами, чем денежные средства.

По второй группе срочности в начале 2008 года наблюдался платежный излишек в размере 3381 тыс. руб., а на конец периода имелся недостаток 2274 тыс. руб. Такое изменение связано с резким сокращением краткосрочной дебиторской задолженности на 5396 тыс. руб. при одновременном увеличении краткосрочных займов и кредитов на 259 тыс. руб., что также свидетельствует о недостаточной ликвидности в недалеком будущем.

Анализируя третье соотношение итогов по активу и пассиву, следует отметить резкое увеличение платежного недостатка в течение 2008 года на 7150 тыс. руб. в результате привлечения долгосрочного кредита, т. е. увеличения долгосрочных пассивов. Такая динамика отражает недостаточную ликвидность в отдаленной перспективе.

Анализ ликвидности бухгалтерского баланса организации за 2009 год показал следующее сопоставление итогов групп по активу и пассиву:

А1<П1; А2<П2; А3<П3; А4>П4.

Текущая ликвидность на начало периода = - 5206;

Текущая ликвидность на конец периода = - 5977;

Перспективная ликвидность на начало периода = - 8456;

Перспективная ликвидность на конец периода = - 6476.

Ликвидность в 2009 году можно также определить как недостаточную. Сопоставление первых двух неравенств свидетельствует о том, что в ближайший к рассматриваемому моменту промежуток времени организации не удастся поправить свою платежеспособность. В 2009 году увеличился коэффициент срочности с 0,009 до 0,08, таким образом, предприятие могло оплатить 8% своих краткосрочных обязательств, что на 7,1 пункт больше, чем в предыдущем периоде. Исходя из данных аналитического баланса (приложение 3), можно сделать вывод о том, что краткосрочная задолженность увеличивалась более медленными темпами, чем денежные средства.

Платежный недостаток по первой группе срочности, отражающей соотношение текущих платежей и поступлений, возрос за 2009 год на 1093 тыс. руб. в результате увеличения кредиторской задолженности на 1427 тыс. руб. Платежный недостаток по второй группе сократился за период на 322 тыс. руб. за счет уменьшения краткосрочных займов и кредитов на 602 тыс. руб., характеризуя тенденцию увеличения текущей ликвидности в недалеком будущем, но остался все же значительным, составив 1952 тыс. руб. Соотношение платежей и поступлений в относительно отдаленной перспективе (группы 3 и 4) характеризуют постепенное увеличение ликвидности, поскольку платежный недостаток по соотношению медленнореализуемых активов и долгосрочных пассивов сократился на 1980 тыс. руб. в результате сокращения долгосрочных обязательств на 2888 тыс. руб. По четвертой группе имелся платежный излишек в размере 12453 тыс. руб. на конец 2009 года, что отражает нерациональное формирование внеоборотных активов.

Анализ ликвидности бухгалтерского баланса СХПК "Металлист" за 2010 год показал следующее сопоставление итогов групп по активу и пассиву:

А1<П1; А2<П2; А3<П3; А4>П4.

Текущая ликвидность на начало периода = -5977;

Текущая ликвидность на конец периода = -5872;

Перспективная ликвидность на начало периода = - 6476;

Перспективная ликвидность на конец периода = - 5702.

Так же, как и в предыдущих периодах, ликвидность можно охарактеризовать как крайне недостаточную. В результате сокращения кредиторской задолженности на 1071 тыс. руб. платежный недостаток по первой группе ликвидности-срочности снизился, однако остался существенным. Текущие платежи и поступления предприятия не соответствуют друг другу. Коэффициент срочности к концу 2010 года остался на уровне 0,08 пункта, что говорит о том, что у предприятия по-прежнему очень стесненное финансовое положение. Перспективная ликвидность также отражает существенный платежный недостаток. Излишек по четвертой группе ликвидности-срочности в размере 11574 тыс. руб. свидетельствует о том, что у предприятия по-прежнему очень высока величина внеоборотных активов, которые не приносят необходимого финансового результата.

Для анализа платежеспособности предприятия рассчитываются также финансовые коэффициенты платежеспособности (приложение №4). Исходя из данных баланса (приложение №1) в анализируемой организации коэффициенты, характеризующие платёжеспособность, имеют значения, приведенные в приложении №4.

Динамика коэффициентов в 2008 году L1, L2, L3, L4, L6, L7 отрицательная. Общий показатель платежеспособности (L1), дающий комплексную оценку платежеспособности предприятия, резко сокративший в конце 2008 года в результате сокращения краткосрочной дебиторской задолженности на 5396 тыс. руб. и увеличения на 10560 тыс. руб. долгосрочных обязательств, так и не восстановился к концу 2010 года, составив лишь 0,4 пункта при оптимальном значении коэффициента L1≥1. В конце отчетного периода 2008 года предприятие могло оплатить лишь 0,46% своих краткосрочных обязательств. За аналогичный период 2009 года - 5,4%, в результате увеличения денежных средств на 334 тыс. руб. По итогам 2010 года этот показатель достиг 5,9%, оставаясь крайне незначительным. Динамика положительна, но абсолютные значения показателей крайне далеки от оптимальных значений коэффициентов (L2≥ 0,3-0,4 пункта для производственных предприятий), что отражает явный недостаток денежных средств у предприятия.

Коэффициент "критической оценки" (L3) показывает, какая часть текущих обязательств может быть погашена не только за счёт ожидаемых поступлений от разных дебиторов. Нормальным считается значение 0,7-0,8, в то время как в анализируемой организации СХПК "Металлист" данный коэффициент, резко сократившись на 1,2 пункта в конце отчетного периода 2008 года вследствие сокращения денежных средств на 113 тыс. руб., и уменьшения краткосрочной дебиторской задолженности на 5396 тыс. руб., составив лишь 0,1, в дальнейшем имел отрицательную динамику, сокращаясь в 2009 году за счет дальнейшего сокращения краткосрочной дебиторской задолженности, увеличения текущих обязательств и имеющегося дефицита денежных средств. К концу 2010 года коэффициент также сократился на 0,02 пункта в результате уменьшения денежных средств.

Коэффициент текущей ликвидности (L4) позволяет установить, в какой кратности текущие активы покрывают краткосрочные обязательства. Это главный показатель платежеспособности. Оптимальным значением для данного показателя считают соотношения от 1,5 до 3,5. На рассматриваемом предприятии он составил в начале отчетного периода 2008 года 2,5, что говорит о том, что организация располагала достаточно большим объемом свободных ресурсов, формируемых за счет собственных источников. В 2009 году коэффициент текущей ликвидности сокращался, и в конце года составлял лишь 1,3 пункта. Такая динамика указывает на активное использование предприятием свободных ресурсов (сокращение оборотных активов), а также на увеличение текущих обязательств. В 2010 году коэффициент L4 увеличился до 2,2 пунктов, достигнув оптимального значения в большей степени в результате увеличения оборотных активов на 4982 тыс. руб. и в меньшей степени за счет сокращения текущих обязательств на 280 тыс. руб.

Обобщая предыдущие показатели, коэффициент текущей ликвидности свидетельствует о том, что, несмотря на явный недостаток денежных средств, мобилизовав все оборотные средства, предприятие сможет погасить текущие обязательства по кредитам и расчетам.

Коэффициент маневренности функционирующего капитала (L5) показывает, какая часть функционирующего капитала обездвижена в производственных запасах и долгосрочной дебиторской задолженности. В анализируемой организации данный показатель очень высок, имеет положительную динамику в период с 2008 по 2009 гг., составляя на конец 2009 года 3,7 пункта. Этот отрицательный факт обусловлен необоснованным увеличением запасов за 2008 - 2009 год, что говорит о диспропорции и несбалансированности активов и пассивов организации. К концу 2010 года коэффициент сократился на 1,9 пункта в результате того, что оборотные активы росли большими темпами, чем текущие обязательства предприятия. В 2010 году оборотные активы выросли на 56,54%, тогда как краткосрочные обязательства сократились на 4,25%.

Недостаток собственных оборотных средств для текущей деятельности предприятия отражает коэффициент обеспеченности собственными средствами (L7). В СХПК "Металлист" данный показатель является крайне низким, имеет отрицательное значение с конца 2008 года и отрицательную динамику, составляет на конец 2010 года - 0,83 пункта. Это обусловлено тем, что темп роста внеоборотных активов оказался значительно выше, чем темп роста собственного капитала, что, в свою очередь привело к тому, что величина внеоборотных средств оказалась больше, чем собственный капитал предприятия. Увеличения оборотных активов в 2010 году на 4982 тыс. руб. было недостаточно, учитывая величину существующую внеоборотных средств, и привело лишь к небольшому росту коэффициента L7 .

Следует также отметить, что коэффициенты платежеспособности могут быть оптимальными, например, если оборотные активы производственной организации имеют структуру, приведенную на рисунке 2.1:

Рис. 2.1 Оптимальная структура оборотных активов организации

В анализируемой организации оборотные активы имеют иную структуру, представленную на рисунках 2.2, 2.3, 2.4, 2.5.

Рис. 2.2 Структура оборотных активов СХПК "Металлист" на начало 2008г.

Рис. 2.3 Структура оборотных активов СХПК "Металлист" на конец 2008/начало 2009 гг.

Рис. 2.4 Структура оборотных активов СХПК "Металлист" на конец 2009/ начало 2010 гг.

Рис. 2.5 Структура оборотных активов СХПК "Металлист" на конец 2010 г.

Такая структура активов предприятия наглядно подтверждает недостаточную ликвидности и неплатежеспособность СХПК "Металлист" вследствие необоснованного увеличения запасов при имеющемся дефиците денежных средств. Недостаток денежных средств для обеспечения текущей деятельности, несоответствие величин кредиторской и дебиторской задолженности, нерациональная структура оборотных активов может иметь отрицательные последствия и привести к банкротству предприятия в будущем.

2.4 Анализ финансовой устойчивости

Оценка финансового состояния организации была бы неполной без анализа финансовой устойчивости. Анализируя платежеспособность, сопоставляют состояние пассивов с состоянием активов. Это дает возможность оценить, в какой степени организация готова к погашению своих долгов.

Финансовая устойчивость - характеристика стабильности финансового положения предприятия, обеспечиваемая высокой долей собственного капитала в общей сумме используемых им финансовых средств. Оценка уровня финансовой устойчивости предприятия осуществляется с использованием обширной системы показателей.

Долгосрочные пассивы (кредиты и займы) и собственный капитал направляются преимущественно на приобретение основных средств, на капитальные вложения и другие внеоборотные активы. Для того чтобы выполнялось условие платежеспособности, необходимо, чтобы денежные средства и средства в расчетах, а также материальные оборотные активы покрывали краткосрочные пассивы.

На практике должно соблюдаться следующее соотношение:

Оборотные активы < (Собственный капитал × 2 - Внеоборотные активы)

По балансу анализируемой организации (приложение №1) приведенное выше условие соблюдается на начало 2008 года, на конец 2009 и 2010 гг.:

На начало 2008 года: 11765 < (15621×2 - 15549)

На конец 2008 года/ на начало 2009 года: 9666 > (23255×2 - 36917)

На конец 2009 года/ на начало 2010 года: 8812 < (23113×2 - 35566)

На конец 2010 года: 13749<(27025х2 - 38599)

Таким образом, нарушение финансовой независимости на конец 2008 года, связанное с резким увеличением внеоборотных активов исключительно в результате поступления основных средств на сумму 21368 тыс. руб. может свидетельствовать о возникновении финансовой неустойчивости организации. Соблюдение приведенного нами соотношения на конец 2009 года за счет сокращения внеоборотных активов исключительно в результате уменьшения статьи "Незавершенное строительство" на 2126 тыс. руб., а также за счет сокращения собственного капитала на 142 тыс. руб., говорит о улучшении финансовой устойчивости предприятия. Эти тенденции имели продолжение в 2010 году: в результате увеличения собственного капитала предприятию удалось достигнуть стабильной финансовой независимости.

Приведенный метод - самый простой и приблизительный способ оценки финансовой устойчивости. Для более точного определения финансовой устойчивости организации необходимо рассмотреть также другие методики анализа, в частности коэффициенты оценки финансовой устойчивости.

Коэффициенты оценки финансовой устойчивости предприятия - система показателей, характеризующих структуру используемого капитала предприятия с позиции степени финансовой стабильности его развития в предстоящем периоде.

Исходя из данных баланса (приложение №1) анализируемой организации коэффициенты, характеризующие финансовую устойчивость, имеют значения, приведенные в приложении №5.

Коэффициент капитализации (плечо финансового рычага -U1), который показывает, сколько заемных средств организация привлекает на 1 рубль вложенных в активы собственных средств, за 2008 год вырос на 0,25 пункта, составив на конец периода 1. Это связано с привлечением долгосрочного кредита в размере 10560 тыс. руб., использованного преимущественно на приобретение основных средств: сооружений и передаточных устройств, зданий, машин и оборудования, транспортных средств, земельных участков и объектов природопользования. За аналогичный период 2009 года коэффициент сократился на 0,008 пункта за счет сокращения долгосрочных обязательств на 2888 тыс. руб. Таким образом, на конец 2009 года на 1 рубль вложенных в активы собственных средств СХПК "Металлист" привлекал 0,92 рубля заемных. В 2010 году коэффициент вырос на 0,02 пункта преимущественно в результате привлечения долгосрочного кредита на приобретение животных. К концу 2010 года на рубль собственных средств привлекалось 0,94 рубля заемных. Динамика коэффициента капитализации свидетельствует о достаточной финансовой устойчивости организации, так как для этого необходимо, чтобы этот коэффициент был U1 ≤ 1,5.

Однако коэффициент соотношения собственных и заемных средств дает лишь общую оценку финансовой устойчивости. Этот показатель необходимо рассматривать в увязке с коэффициентом обеспеченности собственными средствами (U2). Он показывает, в какой степени материальные запасы имеют источником покрытия собственные оборотные средства.

В начале 2008 года данный показатель составлял 0,006, что указывает на недостаточность собственных источников финансирования. Лишь 0,6% оборотных активов финансировалось за счет собственных средств. Следует отметить, что собственные оборотные средства не покрывали в полной мере даже производственные запасы предприятия (1,3%). К концу 2008 года коэффициент обеспеченности собственными средствами составил - 1,4. Отрицательное значение показателя говорит о крайней недостаточности собственных оборотных средств в связи с увеличением внеоборотных активов на 21368 тыс. руб. при недостаточном увеличении собственного капитала лишь на 7634 тыс. руб. Таким образом, в 2008 году темп роста внеоборотных активов составил 2,4, а темп роста собственного капитала лишь 1,5.

В 2009 году коэффициент обеспеченности собственными источниками финансирования увеличился на 1,3 пункта, но оставаясь при этом отрицательным (- 0,1). Увеличение произошло в результате сокращения внеоборотных активов (незавершенного строительства) на 1351 тыс. руб. в результате завершения ремонтных работ животноводческого комплекса.

В 2010 году коэффициент вырос на 0,57 пунктов, также оставаясь отрицательным. Рост обусловлен как увеличением собственных средств на 3912 тыс. руб. или на 16,9%, так и оборотных активов на 4982 тыс. руб. или на 56,54.

Уровень общей финансовой независимости характеризуется коэффициентом U3, т. е. определяется удельным весом собственного капитала организации в общей его величине. Данный показатель характеризует степень независимости организации от заёмных источников.

В 2008 году коэффициент сократился на 0,07 пункта, составив к концу периода 0,5. Это снижение связано с тем, что темп роста собственного капитала (1,5) оказался меньше, чем темп роста валюты баланса (1,7). В 2009 году произошло увеличение на 0,02 пункта в связи с сокращением валюты баланса. В 2010 году колебания коэффициента были незначительны. Следует отметить, что сокращение за 2008 - 2009 гг. удельного веса собственного капитала организации в общей его величине составило 5%. В большинстве стран принято считать финансово независимой фирму с удельным весом собственного капитала в общей его величине от 30% (критическая точка) до 70%. В анализируемой нами организации значение коэффициента финансовой независимости выше критической точки, т. е. собственникам на конец 2010 года принадлежат 52% в стоимости имущества, что свидетельствует о нормальной финансовой ситуации. Этот вывод подтверждает и значение коэффициента финансирования.

Коэффициент финансирования (U4) показывает, какая часть деятельности финансируется за счет собственных средств, а какая - за счет заемных. В начале 2008 года показатель составлял 1,3, что близко к оптимальному значению (1,5). Сократившись за период на 0,3 пункта в результате привлечения долгосрочного кредита, показатель составил лишь 1. Изменения, произошедшие в 2009 году в структуре капитала, свидетельствуют о положительной тенденции на предприятии, т.к. произошло увеличение доли финансирования деятельности за счет собственных средств на 0,09 пункта в результате сокращения долгосрочных обязательств на 2888 тыс. руб.

В 2010 году коэффициент финансирования сократился на 0,02 пункта в связи с привлечением долгосрочного кредита составив 1,07 пункта.

Для характеристики источников формирования запасов и затрат используется несколько показателей, которые отражают различные виды источников.

.  Наличие собственных оборотных средств:

СОС = Капитал и резервы - Внеоборотные активы

.  Наличие собственных и долгосрочных заемных источников формирования запасов или функционирующий капитал:

КФ = (Капитал и резервы + Долгосрочные пассивы) - Внеоборотные активы

.  Общая величина основных источников формирования запасов:

ВИ = (Капитал и резервы + Долгосрочные пассивы + Краткосрочные займы и кредиты) - Внеоборотные активы

Трем показателям наличия источников формирования запасов соответствуют три показателя обеспеченности запасов источниками формирования:

1.       Излишек или недостаток собственных оборотных средств:

Фс =СОС - Зп

2.       Излишек или недостаток собственных и долгосрочных заемных источников формирования запасов:

Фт = КФ - Зп

3.       Излишек или недостаток общей величины основных источников для формирования запасов:

Фо = ВИ - Зп

С помощью этих показателей можно определить трехкомпонентный показатель типа финансовой ситуации:

S (Ф) = 1, если Ф≥ 0;

S (Ф) = 0, если Ф < 0

Данные, представленные в таблице 2.1, говорят о том, что в организации в начале 2008 года наблюдалась нормальная независимость финансового состояния, гарантирующая платежеспособность: S (Ф) = {0, 1, 1}. Т.е. недостаток наблюдался лишь в собственных оборотных средствах, о чем свидетельствует также показатель U2 . Общая величина запасов превысила собственные оборотные средства на 5622 тыс. руб.

Таблица 2.1 Классификация типов финансового состояния СХПК "Металлист" за 2008-2010 гг., тыс. руб.

 Показатели

На начало периода 2008

На конец периода 2008

На начало периода 2009

На конец периода 2009

На начало периода 2010

На конец периода 2010

Общая величина запасов (Зп)

5694.00

9104.00

9104.00

8196.00

8196.00

13353.00

Наличие собственных оборотных средств (СОС)

72.00

-13662.00

-13662.00

-12453.00

-12453.00

-11574.00

Функционирующий капитал (КФ)

7072.00

3898.00

3898.00

2219.00

2219.00

7481.00

Общая величина источников (ВИ)

9622.00

6707.00

6707.00

4426.00

4426.00

10479.00

Фс=СОС-Зп

-5622.00

-22766.00

-22766.00

-20649.00

-20649.00

-24927.00

Фт=КФ-Зп

1378.00

-5206.00

-5206.00

-5977.00

-5977.00

-5872.00

Фо= ВИ-Зп

3928.00

-2397.00

-2397.00

-3770.00

-3770.00

-2874.00

Трехмерный показатель типа финансовой ситуации S (Ф)

(0,1,1)

(0,0,0)

(0,0,0)

(0,0,0)

(0,0,0)

(0,0,0)


Далее уже к концу 2008 года ситуация резко ухудшилась и, как и в дальнейшем в 2009 и 2010 гг., характеризовалась кризисным финансовым состоянием: S (Ф) = {0, 0, 0}. Это свидетельствует о том, что предприятие полностью зависит от заемных источников финансирования. Собственного капитала и долго- и краткосрочных кредитов и займов не хватает для финансирования материальных оборотных средств, т.е. пополнение запасов идет за счет средств, образующихся в результате замедления погашения кредиторской задолженности. Такая критическая ситуация сложилась в результате: резкого увеличения внеоборотных средств в сравнении с относительно маленькой величиной капитала предприятия и резервов; необоснованного производственной необходимостью увеличения запасов в организации (следует отметить, что ранее о неэффективном управлении запасами показывал и коэффициент маневренности функционирующего капитала L5); сокращения общей величины источников формирования запасов.

.5 Анализ деловой активности

В рыночной экономике главным мерилом эффективности работы организации является результативность. Одно из направлений анализа результативности - оценка деловой активности объекта. Деловая активность проявляется в динамике развития организации, достижении ею поставленных целей, что отражают абсолютные стоимостные и относительные показатели.

Анализ деловой активности заключается в исследовании уровней и динамики разнообразных финансовых коэффициентов - показателей оборачиваемости.

Таким образом, для анализа деловой активности организации используют две группы показателей:

А. Общие показатели оборачиваемости.

Б. Показатели управления активами.

В анализируемой организации СХПК "Металлист" за 2008 - 20010 гг. деловая активность характеризуется значениями коэффициентов, приведенными в приложении №6.

Коэффициент общей оборачиваемости капитала (ресурсоотдача d1) или коэффициент трансформации отражает скорость оборота всего капитала организации или эффективность использования всех имеющихся ресурсов независимо от их источников. Данные приложения 5 показывают, что за 2008 -2009 гг. этот показатель увеличился на 0,12 пункта и составил 0,55 оборота за период. Значит, в организации быстрее совершался полный цикл производства и обращения, приносящий прибыль. В 2010 году ресурсоотдача сократилась, составив 0,47 пункта. Произошло это в результате того, что темпы роста выручки оказались ниже темпа роста среднегодовой стоимости активов предприятия: 0,88:1,2. Это свидетельствует о снижении эффективности использования имущества.

Коэффициент оборачиваемости мобильных средств (d2), как материальных, так и денежных, имеет положительную динамику в 2008-2009гг. (увеличился на 1,2 пункта), составляя 2,7 оборота за период. Произошло это в результате снижения среднегодовой стоимости оборотных активов на 1476,5 тыс. руб. в результате сокращения величины запасов на 908 тыс. руб. и дебиторской задолженности на 280 тыс. руб. В 2010 году коэффициент снизился на 0,7 пунктов, т. к. темп роста выручки оказался значительно ниже, чем темп роста среднегодовой стоимости оборотных активов: 0,88: 1,57. Оборотные активы в 2010 году выросли на 56,54%, тогда как выручка сократилась на 10,2%. Это говорит о том, что приобретенные в 2010 году оборотные активы не были эффективно реализованы в производстве.

Скорость отдачи от собственного капитала (d5) отражает активность использования денежных средств. В СХПК "Металлист" этот показатель в 2009 году больше, чем в аналогичном периоде прошлого года - на каждый рубль инвестированных собственных средств приходится 0,3 тыс. руб. выручки от продажи. Показатель характеризует задействованность собственных средств в деятельности предприятия. В 2010 году показатель сократился на 0,17 оборота в связи с сокращением выручки от продаж и ростом собственного капитала.

Оборачиваемость денежных средств на предприятии (показатель d7) увеличилась на 0,9 дня, составив 2,8 дней в 2009 году. Связано это было с увеличением стоимости денежных средств более чем в 2 раза, что при существующем на предприятии дефиците денежных средств не является отрицательной тенденцией. В 2010 году оборачиваемость выросла ещё на 2,26 дня в связи со снижением выручки от продаж на 10,2%.

Оборачиваемость запасов характеризует коэффициент d6. Сокращение этого показателя на 43 дня в 2009 году говорит о положительных тенденциях на предприятии, увеличении скорости погашения долгов. Увеличение оборачиваемости материальных средств обусловлено увеличением выручки от продаж в 2009 году по сравнению с 2008 годом. В 2010 же году оборачиваемость выросла на 47 дней, что говорит об отрицательных тенденциях затоваривания на предприятии. В среднем запасы стали оборачиваться 173 дня за период.

Анализируя показатели деловой активности СХПК "Металлист", нельзя не отметить резкое увеличение коэффициента оборачиваемости средств в расчетах (d8). Составляя в 2008 году 5 оборотов за период, в 2009 году он имел значение уже 64 оборота за период, увеличившись, таким образом, на 59 оборотов, а к концу 2010 году уже 108 оборотов. Это явление обусловлено сокращением среднегодовой стоимости дебиторской задолженности в период с 2008 по 2010 гг. на 5764 тыс. руб. и характеризует положительные тенденции на предприятии.

Увеличился также коэффициент оборачиваемости кредиторской задолженности (d10) на 0,6 оборота за 2009, что характеризует снижение коммерческого кредита, предоставляемого организации. Это явление обусловлено увеличением в 2009 году собственных средств на предприятии для погашения обязательств и проведения необходимых расчетов с поставщиками и подрядчиками. Однако в 2010 году данный коэффициент снизился на 0,9 оборота в связи с сокращением выручки от продаж на 2326 тыс. руб. за период.

Устойчивость финансового положения анализируемого объекта и его деловая активность характеризуются соотношением дебиторской и кредиторской задолженности, в том числе сроками погашения данных задолженностей. Сравнивая сроки погашения дебиторской и кредиторской задолженности, необходимо сказать, что к 2009 году они сократились как по кредиторской, так и по дебиторской задолженности, составив: срок погашения кредиторской задолженности на предприятии - 54 дня, срок погашения дебиторской задолженности - 6 дней. Сокращение на 68 дней срока погашения дебиторской задолженности обусловлено ее абсолютным сокращением в 2009 году на 5676 тыс. руб. по сравнению с началом 2008 года. Сокращение же срока погашения кредиторской задолженности было не столь значительным - на 5 дней. В 2010 году дебиторская задолженность продолжила сокращаться, срок ее погашения составил всего 3 дня. Тогда как срок погашения кредиторской задолженности увеличился на 8 дней, составив к концу 2010 года 62 дня из-за сокращения выручки от продаж на 10,2%. Это говорит о том, что на предприятии все еще сохраняется недостаток денежных средств, т. к. срок погашения кредиторской задолженности, равный 62 дням, для организации данного типа является достаточно большим.

Динамика рассмотренных коэффициентов деловой активности указывает на отрицательную тенденцию развития на предприятии, в частности: снижение ресурсоотдачи, оборачиваемости мобильных средств, затоваривание, увеличение оборачиваемости кредиторской задолженности (сокращения сроков погашения). Следует отметить, что результаты анализа свидетельствуют о недостаточной рыночной финансовой устойчивости организации, снижении конкурентоспособности предприятия на рынке.

.6 Анализ прибыли и рентабельности предприятия

Финансовый результат деятельности предприятия выражается в изменении величины его собственного капитала за отчетный период. Способность организации обеспечивать неуклонный рост собственного капитала может быть оценена системой показателей финансовых результатов.

Показатели финансовых результатов (прибыли) характеризуют абсолютную эффективность хозяйствования предприятия по всем направлениям его деятельности. Они составляют основу экономического развития предприятия и укрепления его финансовых отношений со всеми участниками коммерческого дела.

Рост прибыли создает финансовую базу для самофинансирования, расширенного воспроизводства, решения проблем социального и материального поощрения персонала. Прибыль является также важнейшим источником формирования доходов бюджета и погашения обязательств перед банками, другими кредиторами и инвесторами.

Показатели финансовых результатов СХПК "Металлист" представлены в приложении №7.

Анализируя первый показатель - выручку (нетто) от продажи товаров, продукции, работ, услуг (за минусом налога на добавленную стоимость, акцизов и аналогичных обязательных платежей) - следует отметить ее снижение в 2008 году на 1054 тыс. руб. по сравнению с 2007 годов, ее рост в период с 2008 по 2009 год на 9093 тыс. руб., или на 64%, и снижение за 2010 год на 2326 тыс. руб. или на 10,2%.

Произошло снижение себестоимости проданных товаров, работ, услуг в 2008 году на 931 тыс. руб., исключительно за счет снижения себестоимости сельскохозяйственной продукции собственного производства и продуктов ее переработки на 931 тыс. руб., при уже отмеченном нами падении выручки говорит о более низких объемах производственной деятельности и сбыта в этом году. Связано это высокой конкуренцией на рынке сбыта производимой продукции, а также снижением покупательной способности потребителей сельскохозяйственной продукции.

В 2009 году отмечено повышение себестоимости реализованных товаров на 9966 тыс. руб. или на 60%, когда за аналогичный период прошлого 2008 года увеличение составляло лишь 19%, из-за сокращения государственного финансирования и увеличения затрат на основное производство. Материальные затраты выросли более чем на 20%, в том числе затраты на посадочный материал, корма для животных, минеральные удобрения, химические средства защиты растений, затраты на топливо, на ремонт устаревшей техники. Амортизационные отчисления выросли на 55%, также прочие затраты увеличились более чем в три раза. Такой существенный рост затрат обусловлен в большей степени общим ростом уровня цен. Таким образом, темп роста себестоимости продукции за 2007 -2008г. был равен 0,9, когда за период 2008 -2009 гг. темп роста себестоимости составил уже 1,7.

В 2010 году себестоимость сократилась на 3324 тыс. руб. или на 15%. В совокупности с сокращением выручки на 10,2% это свидетельствует о сокращении объемов производства и реализации.

Рассматривая прибыль от продаж за 2007-2009 г., мы наблюдаем тенденцию к сокращению: 2007 г. - 1022 тыс. руб., 2008 г. - 899 тыс. руб., 2009 г. - лишь 26 тыс. руб. (рисунок 2.6). И, если в 2008 г. сокращение прибыли связано с трудностями сбыта произведенной продукции из-за большой конкуренции на рынке, в частности из-за большого количества импорта на отечественном рынке, то в 2009 г., несмотря на значительное увеличение выручки от продаж, высокая себестоимость продукции не позволила получить достаточную прибыль. Темп роста прибыли 2007-2008гг. - 0,9, в 2008-2009гг. - только 0,03.

Рис. 2.6 Динамика прибыли СХПК "Металлист"

В 2010 году ситуация резко изменилась (рисунок 2.6). Прибыль от продаж увеличилась на 988 тыс. руб. или на 97,5%. Обусловлено это исключительно снижением себестоимости на 3324 тыс. руб. за счет: преимущественно снижения материальных затрат по всем статьям на 833 тыс. руб., а также снижения прочих затрат. Сократить себестоимость СХПК "Металлист" удалось за счет возобновления государственного субсидирования в 2010 году расходов на посадочный материал и семена, минеральные удобрения и химические средства защиты растений, нефтепродукты, а также в результате сокращения объемов производства.

Прочие доходы предприятия за 2007-2009 гг. увеличивались. Темп роста прочих доходов в 2007-2008 гг. составил 2,3, за аналогичный период 2008-2009 гг. - 1,5. В 2010 году прочие доходы сократились незначительно. Но следует отметить, что увеличивались и прочие расходы, их темп роста за 2008 год оказался равным 1,6, за 2009 год - 1,2. В 2010 году произошло сокращение прочих расходов 527 тыс. руб. за счет

В 2008 г. произошло резкое увеличение величины процентов к уплате на 2554 тыс. руб. в связи с привлечением долгосрочного инвестиционного кредита на приобретение основных средств. В 2009 г. сумма процентов сократилась, но незначительно - на 16%. В 2010 году проценты к уплате снова выросли, составив 2595 тыс. руб., что связано с привлечением долгосрочного кредита на приобретение животных.

Следует отметить, что общая сумма расходов предприятия в 2008г. растет большими темпами, чем величина доходов: темп роста доходов составил 1,02, а темп роста расходов 1,11. В 2009 г. темп роста доходов выше темпа роста расходов, что говорит о наметившейся положительной тенденции, которая имела продолжение в 2010 году.

Коэффициент соотношения общих доходов и расходов в анализируемых периодах 2008-2010гг. оставался приблизительно одинаковым - около 1, т. е. на предприятии практически равное соотношение доходов и расходов, о чем свидетельствуют небольшие прибыли организации.

Анализ структуры финансовых результатов деятельности СХПК "Металлист" подтверждает ранее полученные выводы. Доля себестоимости проданных товаров, работ и услуг в выручке в 2008 - 2010 гг. значительная, составляет в 2010 г. 95,5%, чем обусловлена низкая прибыль предприятия. При этом наибольшее увеличение доли себестоимости приходится на 2009 г. - на 5,5%. Связано это с кризисными явлениями в экономике, резким увеличением цен. В 2010 году произошло небольшое снижение доли себестоимости в выручке на 4,4%, что, однако является недостаточным для получения необходимой величины прибыли, позволяющей наращивать хозяйственный оборот и формировать резервы.

Доля прибыли в выручке сокращается на протяжении 2007 - 2009 гг. Общее сокращение составило почти 6%, таким образом, прибыль составила в 2009 г. 0,1% от выручки. Это значение говорит о крайне низкой прибыльности СХПК "Металлист". В 2010 году произошел рост на 4,4%. Однако полученная прибыльность 4,5% также является недостаточной.

Ещё один показатель эффективности работы предприятия - рентабельность (таблица 2.2). Анализ показателей рентабельности подтверждает критическое положение СХПК "Металлист". Несмотря на то, что чистая рентабельность росла на протяжении 2008-2010 гг., составив 8,5% к концу периода, она остается крайне недостаточной. Экономическая рентабельность также увеличивалась, её значение достигло в конце 2010 года почти 4%. Однако такая эффективность использования всего имущества предприятия является крайне низкой. Затратоотдача, резко сократившись в 2009 году в связи с сокращением прибыли на 873 тыс. руб., с увеличением прибыли в 2010 году восстановилась. В 2010 году на 1 тыс. руб. затрат приходится 4,74% прибыли от продаж. Такое соотношение ещё раз подтверждает низкую прибыльность предприятия.

Таблица 2.2 Показатели рентабельности деятельности СХПК "Металлист" за 2008-2010 гг., в %.

Наименование показателя

2008 год

2009 год

2010 год

Рентабельность продаж

5.62

0.10

4.50

Чистая рентабельность

0.54

3.08

8.46

Экономическая рентабельность

0.23

1.70

3.98

Рентабельность собственного капитала

0.44

3.33

7.69

Затратоотдача

5.95

0.10

4.71


В целом анализ прибыли организации за 2007 - 2010гг. позволяет сделать вывод о достаточно тяжелом финансовом состоянии СХПК "Металлист", учитывая, что главной целью любого коммерческого предприятия является получение прибыли. Тенденция ее сокращения в анализируемой организации подтверждает неудовлетворительное состояние бухгалтерского баланса, недостаточную ликвидность, нарушение финансовой независимости и стабильности развития, т.е. выводы, полученные при анализе баланса, ликвидности, платежеспособности, финансовой устойчивости и деловой активности предприятия.

Следует также отметить, что проводимые с 2007 года организацией мероприятия по увеличению объемов производства и реализации сельскохозяйственной продукции (привлечение долгосрочных кредитов, повышение качества продукции, переоборудование производственных помещений, приобретение новой техники и т. д.), не дали необходимых результатов. По-прежнему существует платежный недостаток, дефицит собственных оборотных активов, в том числе острая нехватка денежных средств. Это определяет зависимость предприятия от заемных источников финансирования производственной деятельности. Не удается снизить производственные издержки и накладные расходы по производимым фирмой товарам. Материальное положение СХПК "Металлист" в отрасли и на ее целевых рынках нестабильно, что затрудняет реализацию и сбыт произведенной продукции, и, как следствие, сокращает возможности для наращивания производственной деятельности и увеличения прибыли. Связано это с кризисными явлениями в экономике в целом, а также с неэффективным управлением хозяйственной деятельностью предприятия.

3. Инвестиционный проект для СХПК "Металлист" по производству концентрированных комбинированных кормов для КРС

3.1 Описание инвестиционного проекта

На сегодняшний день в России сложилась тяжелая ситуация в отрасли сельского хозяйства. Существует широкий круг проблем, по причине которых сельское хозяйство в большинстве регионов РФ убыточно:

1.       Россия по уровню техники и технологии в сельском хозяйстве отстает от передовых стран на 40 лет. Только 2% сельскохозяйственных угодий обрабатываются по технологиям сберегающего земледелия. Из-за технологической отсталости потери урожая достигают 30 %. Удельные затраты электроэнергии у нас в несколько раз выше, чем в США и в Западной Европе.

2.       Серьезные опасения вызывает деградация сельскохозяйственных земель. За последние 15 лет объемы вносимых минеральных удобрений значительно сократились. Так, на 1 га посевной площади в 1990 году вносилось 88 кг действующего вещества, в 2005 году - всего 25 кг. В последнее время наблюдается тенденция увеличения внесения минеральных удобрений. В 2010 году в среднем было внесено 36 кг действующего вещества в расчете на 1 га. Однако наибольший прирост внесения минеральных удобрений отмечался в Центральном и Южном федеральных округах.

.        Высокие цены на горючее, которые делают невозможным высокорентабельное производство сельскохозяйственной продукции. В целом за период 2001-2011 годов ценовые соотношения показали, что индексы цен на продукцию сельского хозяйства за исследуемый период увеличились в 2,4 раза, а индексы цен на промышленные товары, приобретаемые сельским хозяйством, выросли почти в 3 раза, причем на электроэнергию, топливо и строительные материалы - более чем в 4 раза, минеральные удобрения - в 3,8 раза, ГСМ - в 3,1 раза.

.        Высокие таможенные пошлины на сельскохозяйственную технику и незащищенный внутренний рынок от демпинговых поставок продуктов питания из-за границы. Даже северные страны Западной Европы отличаются от России гораздо более благоприятными природно-климатическими условиями. Там дольше период произрастания растений, намного менее суровая зима и пр. У нас строения должны быть более капитальными, расходы на обогрев помещений много выше. Поэтому нам состязаться с западными производителями по эффективности сельскохозяйственного производства при прочих равных условиях невозможно.

.        Социальные проблемы сельских жителей: необходимо строительство жилья на селе, улучшение социальных условий для крестьян. На селе сохраняется тревожная демографическая ситуация. Снижается численность людей трудоспособного возраста, особенно молодежи. Усиливается несоответствие между численностью сельского населения и громадными размерами территорий.

6.       В 2010 году уровень заработной платы в сельском хозяйстве составил 47% от среднего уровня по экономике. Расширенное воспроизводство трудовых ресурсов при существующей оплате труда практически невозможно.

7.       Цены на молоко в течение последних лет находятся практически на одном уровне. А энергоносители подорожали за это время примерно на 70%. Затраты на энергоносители в среднем втрое превышают аналогичные расходы зарубежных компаний. Поэтому себестоимость российского молока на 20-30% выше импортного. Но дело не только в затратах, а еще и в нерациональном использовании ресурсов, устаревшем оборудовании и технологиях. Например, производительность труда в российском животноводстве минимум вдвое ниже, чем в развитых западных странах. 60% коров доят не в молокопроводы, а в переносные ведра. Большинство молочных ферм в России построено 30-40 лет назад и спроектировано по разработкам середины прошлого века.

Не исключением является и Псковская область и, в частности, анализируемое нами предприятие СХПК "Металлист". На основе проведенного в главе 2 анализа, были выявлены основные проблемы, препятствующие нормальному ведению хозяйства и развитию предприятия, в том числе увеличение затратности производства и, как следствие, сокращение прибыли. Одним из способов решения данных проблем может стать расширение сферы деятельности организации, а именно собственное производство концентрированных комбинированных кормов для крупного рогатого скота.

В процессе анализа финансового состояния СХПК "Металлист" причиной сокращения прибыли было определено увеличение затрат на основное производство по многим статьям расходов: ремонт техники, амортизационные отчисления, нефтепродукты, химические средства защиты растений и удобрения и т. д. Существенное увеличение произошло по статье "Корма", в том числе корма, закупленные в сторонних организациях.

Следует отметить, что СХПК "Металлист" удовлетворяет свою потребность в грубых кормах для крупного рогатого скота на 98% (потребность в силосе на 104%, потребность в сене на 98%), а потребность в концентратах лишь на 20%. Это приводит к значительным затратам на закупку кормов для животных, что в свою очередь, увеличивает себестоимость производимой продукции и снижает прибыль.

Собственное производство необходимых кормов может обеспечить предприятию:

1)     полнорационный комбикорм, положительно влияющий на производительность молочного скота;

2)      снижение затрат на основное производство;

)        дополнительный источник прибыли при реализации продукции комбикормов сторонним организациям;

)        увеличение прибыли в целом.

Отдельно следует отметить существующую ситуацию на рынке комбинированных кормов в Псковской области. Предложение кормов ограничено, самым крупным оптовым продавцом является ООО "Псковский мелькомбинат", специализирующийся в большей степени на поставках муки и мукомольной продукции. Конкуренция на рынке комбикормов Псковской области не обострена, наблюдается превышение спроса над предложением.

Одной из важнейших проблем современного сельского хозяйства России является устаревшие технологии, отсутствие инноваций в этой сфере. В кризисные 90-е годы многие сельскохозяйственные предприятия сворачивали до минимума свою деятельность, оставляя лишь источники "быстрых денег". Так, анализируемая нами организация в этот период прекратила производство концентратов и комбинированных кормов для животных, полагая, что при сократившемся на тот момент поголовье основного стада и устаревших производственных мощностях, выгоднее закупать корма у других коммерческих организаций. Однако опыт ведения хозяйственной деятельности в рыночных условиях показал необходимость развития по нескольким направлениям, в том числе в области переработки производимого сырья, а также необходимость обеспечения потребностей собственной хозяйственной деятельности. Без таких мероприятий организация сильно зависит от поставщиков и заемных средств, что затрудняет как текущую деятельность фирмы, так и перспективное развитие. В итоге это приводит к потере финансовой независимости и устойчивости, что и произошло с анализируемой нами организацией.

Основными предпосылками для успешной реализации проекта являются следующие положения:

1.     Использование качественного сырья для производства продукции;

2.       Использование высококлассного оборудования;

.        Рост поголовья скота в хозяйствах области и района;

.        Рост объемов производства продукции животноводства;

.        Рост платежеспособного спроса животноводческих хозяйств;

.        Наличие необходимого опыта по производству кормов в СХПК "Металлист".

.2 Маркетинговый план

Маркетинговый план - важнейший этап в процессе разработки инвестиционного проекта. Как правило, все типичные ошибки и просчеты в инвестиционных проектах связаны именно с тем, что при оценке проектов основной упор делается на производственно-технические, и частично на финансовые показатели. Обычно практически отсутствует анализ рыночной ситуации - размера и прибыльности рынка, состояния конкуренции, характеристики товаров конкурентов, оценка доли рынка, которую можно захватить. Отсутствуют либо недостаточно конкретно указаны потенциальные потребители продукции, их характеристики.     

Таким образом, необходимо в первую очередь отметить существующую ситуацию на рынке комбинированных кормов для крупного рогатого скота Псковской области, частично уже затронутую в резюме инвестиционного проекта. Предложение кормов ограничено, не удовлетворяет в полной мере потребности животноводческих хозяйств. Помимо основного оптового поставщика ООО "Псковский мелькомбинат", находящегося на стадии банкротства, существует ряд мелких фирм, которые не могут удовлетворить имеющийся спрос. Кроме того, ни одно из таких предприятий не занимается производством кормов, закупая их в других регионах. Основной проблемой отмечена тяжелая ситуация с сырьем для производства, в частности с зерном. Это обусловлено как сложной ситуацией в сельском хозяйстве области в целом, так и тем, что Псковская область расположена в зоне рискованного земледелия. По данным статистики в среднем по стране урожайность зерновых в 2010 году составила 20 ц/га, когда в Псковской области лишь 17,8 ц/га. В частности в СХПК "Металлист" урожайность зерновых в 2010 году была лишь 15,4 ц/га. Для сравнения необходимо отметить, что сосед по району - ОПХ "Родина", собрал урожая 30 ц/га за счет использования энергосберегающих современных технологий, что подтверждает высокий потенциал Псковской области в сфере растениеводства при условии использования высокопроизводительной техники и технологий. В дальнейшем анализируемой нами организации также будут предложены проекты внедрения современных механизмов ведения хозяйства. На данном же этапе в связи с очень высокой себестоимостью зерна собственного производства будет рассмотрен вариант производства комбинированных кормов с использованием покупного сырья.

Крупнейшим регионом по производству комбикормов для животных в России является Белгородская область, что обусловлено благоприятными климатическими условиями (Черноземье). На втором же месте находится Ленинградская область, схожая с Псковской областью по природно-климатическим условиям, что также подтверждает потенциал нашей области в производстве комбикормов для животных.

Поставщиками необходимых производственных компонентов, а именно зерновых смесей (ячмень, пшеница, овёс, горох и т. д.) и добавок (отруби, премиксы, витамины, микроэлементы) могут стать: Подольский комбинат, Мичуринский, Новомосковский, Смоленский, Белгородский в зависимости от предложенных условий поставок.

Следует отметить, что проблемы высокой себестоимости продукции растениеводства могут быть успешно преодолены СХПК "Металлист". Для этого в хозяйстве имеются пустующие земли, пригодные при надлежащей обработке для выращивания зерновых, необходимый опыт, накопленный за годы ведения хозяйственной деятельности, а также квалифицированные трудовые ресурсы.

Основной стратегией проекта является ориентация на производство с учетом выпуска видов продукции в объемах, соответствующих нуждам предприятия, а так же спросу и предпочтениям потребителей.

Выход на рынок для данного проекта обеспечен с одной стороны - имеющимися заказами, с другой - устойчивой нехваткой, а в отдельные моменты - явным дефицитом комбикормов на местном рынке.

Потенциальными потребителями продукции, предлагаемой для производства (комбикормов), могут быть многочисленные конкуренты СХПК "Металлист" по основной хозяйственной деятельности - молочно-мясному животноводству: СПК "Передовик", СХПК "Ершовский", СХПК "Смена", СПК "Арена", СПК "Дворицы", СПК "Заречье" и т. д. Большинство из них закупают у сторонних организаций корма для животных. Основной объем продукции поставляется из соседних регионов или импортерами. Учитывая относительно небольшие объемы производства комбикормов, предполагаемыми клиентами могут быть также индивидуальные фермерские хозяйства района и области.

Конкурентными преимуществами комбикормов СХПК "Металлист" можно назвать высокое качество, достигаемое за счет использования современного высокотехнологичного оборудования, что предполагает строгий контроль за качеством исходного сырья, гарантирует использование прогрессивной технологии производства, правильно сбалансированных рецептур. Современные технологии обеспечивают также в результате более рационального и эффективного использования сырья и энергетических ресурсов более низкую, по сравнению с конкурентами, цену. В целом ценовую политику можно охарактеризовать как политику умеренных цен. Обусловлено это ситуацией на рынке, а именно превышением спроса над предложением. В данной экономической ситуации конкуренция на рынке возникает среди покупателей. Все выше изложенные аспекты, несомненно, должны стимулировать мотивацию потенциальных покупателей к принятию решения о покупке.

Путями и методами доведения информации о продукте до потребителя в связи с достаточно ограниченным на этапе внедрения производства целевым рынком могут стать личные контакты руководства СХПК "Металлист" с хозяйствами района и области, хорошо налаженные за долгие годы сотрудничества. В дальнейшем могут быть использованы следующие средства продвижения товара на рынок: рекламная поддержка через рекламные издания, каталоги, справочники, газеты, радио и телевидение.

Объем продаж производимой продукции не может быть установлен однозначно, т. к. в первую очередь производство кормов внедряется для личных нужд предприятия, и будет напрямую зависеть от объемов основной деятельности предприятия - от поголовья основного стада СХПК "Металлист". Но с учетом имеющихся в СХПК "Металлист" запасов комбикормов для удовлетворения собственным нужд на этапе внедрения новой технологии производства рекомендуется до полной выплаты кредита весь объем производимых кормов реализовывать. Прогноз продаж на первые 6 месяцев составит при функционировании всего кормозаготовительного комплекса и умеренном потреблении товаров 220 тонн комбикормов в месяц или 2200 тыс. руб., на следующие 6 месяцев (после уплаты кредита): 140 тонн в месяц в натуральном выражении, или 1400 тыс. руб. с учетом собственной потребности предприятия в кормах в размере 80 тонн в месяц.

Расчеты показывают, что проект обладает достаточно высокими технико-экономическими показателями. Проект является рентабельным, что позволит предприятию получать прибыль, рассчитаться по заемным средствам, удовлетворить собственные потребности в кормах, а также сельскохозяйственных предприятий региона в комбикормах.

.3 Производственный план

Для реализации производственного процесса была выбрана технология, предложенная фирмой ООО "ДОЗА-Агро", находящейся по адресу: 603062 Россия, г. Нижний Новгород, ул. Горная, д.11 корпус 2. Электронный адрес: www.dozaagro.ru.

Основное направление деятельности компании - производство оборудования для комбикормовых заводов. Вся продукции компании под торговой маркой серии "Доза" аккредитована в "Россельхозбанке" в рамках целевой программы "Кредит под залог приобретаемого комбикормового оборудования". Вся предлагаемая продукция имеет сертификаты соответствия Системы сертификации ГОСТ-Р Федерального агентства по техническому регулированию и метрологии.

ООО "ДОЗА-Агро" изготавливает и поставляет ресурсосберегающее оборудование, имеет оптимальные инженерные и технологические решения, отлаженную систему сервисного обслуживания, осуществляет доставку оборудования в любую точку России и Ближнего Зарубежья.

Преимущества ООО "ДОЗА-Агро":

·        лучшее соотношение "цена-качество";

·        индивидуальный подход к каждому клиенту;

·        производство оборудования по современным технологиям;

·        грамотный и квалифицированный персонал.

Комбикормовые заводы серии "ДОЗА" обеспечивают оптимальное соотношение качественных и ценовых параметров. Использование пневматической загрузки гибким шлангом позволяет использовать плоские склады, избежать применения норий, шнеков, завальных ям, и других металлоконструкций.

Они позволяют приготовлять полнорационные комбинированные корма, состоящие как из основных компонентов, так и биологических минеральных добавок. Качественный показатель смешивания приближается к 98%. Предлагаемое оборудование дает возможность приготовить полноценный комбикорм из зерна различного класса, премиксов с минимальными затратами ресурсов и небольшим сроком окупаемости. В оборудовании серии "ДОЗА" устанавливается мощная система аспирации, что позволяет повысить качество смешивания, а также является защитой от запыления помещения. В изготовлении оборудования используется высококачественная сталь, что значительно повышает прочность и износостойкость конструкции.

Эти и многие другие отличия позволяют считать комбикормовые заводы серии "ДОЗА" лучшими в своем классе.

Из широкого ассортимента оборудования, предлагаемого ООО "ДОЗА-Агро", был выбран комплекс для приготовления комбикорма серии КК-2, который включает:

.        Дробилка ДКР-3:

производительность: 1,1-2,1 т/ч.;

мощность:18,5 кВт;

частота вращения ротара: 3000мм.;

ширина дробильной камеры 105 мм.;

диаметр ротара: 521 мм.;

габаритные размеры: 960*740*1130;

вес: 271 кг.;

срок службы: 8 лет;

количество обслуживающего персонала: 1 человек.

Преимущества дробилки: большая производительность и надежность за счет особенностей конструкции (двигатель, ротор, вентилятор и т.д.), пневматический забор продукта и выгрузка, простая конструкция и установка, легкое и безопасное обслуживание, с помощью сменных решет регулируется качество и крупность помола.

2.       Сепаратор (в комплекте с дробилкой).

Состоит из двух камер сепарации. В первичной камере отделение камней и стекла происходит в кипящем слое, который образуется за счёт дополнительного подсоса воздуха. Для каждой культуры дополнительный подсос воздуха регулируется воздушной заслонкой. Металлические примеси отделяются мощным магнитом. Во вторичной камере в специальном сепарирующем устройстве происходит выделение песка, что невозможно на сепараторах другого типа. Преимущества сепаратора: по сравнению со стандартным сепаратором, более эффективно отделяет от зерна примеси (песок 60%, камни 90%, металл 100%), увеличивает ресурс рабочих органов дробилки (молотков на 56%, ротора 42%, вентилятора на 42%, дорожки выбрасывающей на 60%), повышает производительность дробилки на 15 % при потреблении такого же количества электроэнергии, благодаря дополнительному подсосу воздуха.

.        Смеситель шнековый ССК-3,7:

производительность: 2 т/ч.;

рабочая вместимость: не < 3,7 м 3;

установленная мощность электродвигателя: не >3 кВт;

общий цикл смешивания: 60 мин.;

продолжительность смешивания компонентов комбикормов: 40 мин.;

продолжительность загрузки/выгрузки: 10 мин.;

частота вращения шнека смесителя: 500 об./мин.;

однородность смешивания: не менее 0,75-0,80

габариты: 1650*1650*4060;

масса: 500 кг.

.        Транспортер шнековый

.        Весы механические:

максимальный вес до 3000 кг.;

габариты: 1250*1250*300

точность взвешивания: 1 кг.;

погрешность по ГОСТУ: 0,005%;

весы снабжены звуковым сигналом.

.        Пульта управления

Дробилка измельчает зерно и попускает его через две камеры. Такая технология позволяет сохранить полезные элементы, содержащиеся в зерне. Сепаратор предназначен для повышения качества очистки зерна до уровня агрегатов первичной очистки зерна, увеличения срока эксплуатации дробилки. Смеситель необходим для получения однородной смеси из сухих измельченных компонентов комбикорма и добавок. Транспортер служит для перемещения зерна и других продуктов в горизонтальном и наклонном направлениях. Весы предназначены для взвешивания грузов при технологических операциях в производстве комбикорма. Подробная схема технологии производства представлена в приложении 7.

Стоимость комплекса серии КК-2 составляет 320000 руб. (включая транспортировку). График начисления амортизации по приобретаемому основному средству представлен в приложении 8.

Средняя производительность выбранного нами оборудования составляет 1,6 тонн в час, с учетом 8 часового рабочего дня и 22 дневного рабочего месяца производительность оборудования в месяц составит 220 тонн, или 2640 тонн за год. Соотношение зерновой смеси и добавок для производства составляет 0,7:0,3 (в долях). Исходя из рассчитанных данных, представленных в приложении №8, потребность в сырье будет включать:

1.     Зерновая смесь: 220×6000= 1320000 руб./мес.;

2.       Добавки для производства комбикорма: 220× 1000=220000 руб./мес.

Энергопотребление оборудования - 24,5 кВт/час, затраты электроэнергии на производство 1 тонны комбикорма составят 65,08 руб./т., в месяц: 14317,6 руб. Затраты на запчасти в расчете на одну тонну комбикорма 19,17 руб./т., за месяц: 4217,4 руб. (стоимость запасных частей, устанавливаемых после выработки ресурса - 23000).

Заработная плата рабочего, привлеченного для обслуживания нового оборудования в расчете на 1 тонну комбикорма (с учетом налоговых отчислений): 50 руб./час, за месяц: 8250 руб., что соответствует средней заработной плате на предприятии. Предполагается привлечь двух новых сотрудников.

Помещения, необходимые для реализации предлагаемого инвестиционного проекта, а именно: производственные помещения и склады для хранения готовой продукции на предприятии имеются и не требуют дополнительных вложений для подготовки к производственному процессу. Есть также техника для транспортировки готовой продукции до потребителя в пределах района, осуществление которой предполагается за счет будущих клиентов.

СХПК " Металлист" предлагается производить следующий ассортимент продукции комбикормов для коров, телят и молодняка по рецептам: К 60-17-89; К 60-8-89; К 60-3-89; К 60-26-89; K 60-31-89; K 60-32-89; К 61-1-89; К 62-2-89; К 62-5-89; К 65-13-89; К 65-14-89.

Состав рецепта К 60-17-89: ячмень-15%; пшеница фуражная - 30%; овес -30%; горох - 6%; травяная мука - 9%; шрот рапсовый 6%,; мочевина - 1%; монокальций фосфат - 2%; соль поваренная - 1%; премикс (П 60-5М) - 1%

Состав рецепта К 60-8-89: ячмень - 15%; пшеница фуражная - 30%; овес - 30%; горох - 6%; травяная мука - 9%; шрот рапсовый - 6%; мочевина - 1%; монокальций фосфат - 2%; соль поваренная - 1%; премикс (П 60-5М) - 1%.

Состав рецепта К 60-3-89: ячмень - 15%; пшеница фуражная - 35%; овес - 8%; отруби пшеничные - 10%; шрот подсолнечный - 15%; шрот рапсовый - 10%; меласса - 3%; обесфторенный фосфат - 2%; соль поваренная - 1%; премикс (П 60-5М).

Состав рецепта К 60-26-89: ячмень - 61%; отруби пшеничные - 4%; шрот соевый - 8%; шрот подсолнечный - 8%; шрот льняной - 6%; дрожжи кормовые - 8%; монокальций фосфат - 2%; соль поваренная - 1%; мел - 1%; премикс (П 60-5М) - 1%.

Состав рецепта K 60-31-89: ячмень - 27%; пшеница фуражная - 26%; овес - 15%; отруби пшеничные - 18%; шрот подсолнечный - 3%; меласса - 7%; монокальций фосфат - 2%; соль поваренная - 1%; премикс - 1%.

Состав рецепта K 60-32-89: ячмень - 30%; пшеница фуражная - 27%; овес - 15%; отруби пшеничные - 24%; монокальций фосфат - 2%; соль поваренная - 1%; премикс - 1%.

Состав рецепта К 61-1-89: ячмень - 30%; пшеница фуражная - 27%; овес - 15%; отруби пшеничные - 24%; монокальций фосфат - 2%; соль поваренная - 1%; премикс - 1%.

Состав рецепта К 62-2-89: ячмень экструдированный - 58%; жир кормовой - 3%; шрот подсолнечный - 25%; травяная мука - 4%; дрожжи кормовые - 7%; фосфат кормовой - 1%; мел - 1%; премикс -1%; премикс - 1 %.

Состав рецепта К 62-5-89: ячмень экструдированный - 25%; кукуруза экструдированная - 27%; соя экструдированная - 22%; шрот подсолнечный - 15%; травяная мука - 4%; дрожжи кормовые - 5%; фосфат кормовой - 1%; мел - 1%; соль поваренная -1%; премикс -1%.

Состав рецепта К 65-13-89: ячмень - 37%; кукуруза - 5%; отруби пшеничные 15%; жмых подсолнечный - 20%; гранулы подсолнечной лузги - 20%; мел - 1 %; соль поваренная - 1%; премикс - 1%.

Состав рецепта К 65-14-89: ячмень - 40%; кукуруза - 5%; отруби пшеничные 18%; жмых подсолнечный - 15%; карбамид - 2%; гранулы подсолнечной лузги - 20%; мел - 1%; соль поваренная - 1%; премикс -1%.

.4 Финансовый план

Финансовые затраты, необходимые для реализации предлагаемого инвестиционного проекта в период с июля по декабрь, будут включать ("Бюджет доходов и расходов", приложение №9):

1.     Оборудование, включая транспортные расходы = 320 тыс. руб.;

2.       Сырьё: - зерновая смесь для производства = 1320 тыс. руб./мес.,

добавки для производства комбикорма = 220 тыс. руб./мес.;

. Электроэнергия: 14,317 тыс. руб./мес.;

. Затраты на запчасти: 4,2 тыс. руб./мес.;

. Заработная плата: 16,5 тыс. руб./мес.;

. Ежемесячные отчисления в фонд амортизации: 3,8 тыс. руб./мес.;

. % по кредиту: 34,29 тыс. руб./мес.;

. Прочие затраты: 197,6 тыс. руб./мес.

В дальнейшем при направлении части произведенных кормов на собственные нужды, часть затрат будет финансироваться из статьи "Затраты на основное производство", вследствие чего финансовые затраты по производству кормов для реализации сторонним организациям сократятся.

Ожидаемый объем выручки от реализации комбикормов за июль:

Выручка от реализации = 120×10 = 1200 тыс. руб./мес.

Ожидаемый объем выручки от реализации комбикормов за месяц в период с августа по декабрь:

Выручка от реализации = 220×10=2200 тыс. руб./мес.

После оплаты кредита с декабря месяца ожидаемый объем выручки от реализации сократится вследствие направления части произведенных кормов на удовлетворение собственных потребностей предприятия:

Выручка от реализации = 140×10 = 1400 тыс. руб./мес.

Все выше изложенные и другие финансовые показатели реализации предлагаемого инвестиционного проекта представлены в "Бюджете продаж", "Бюджет доходов и расходов", "Бюджет движения денежных средств" (приложение №9, №10, №11).

Источником финансирования инвестиционного проекта выступает заемный капитал, а именно инвестиционный кредит, привлекаемый из государственной кредитной системы. В результате анализа банковской системы, сравнения условий выдачи кредита и удобства погашения будущей задолженности, банком-кредитором для инвестиционного проекта был выбран "Россельхозбанк". Сельскохозяйственному производственному кооперативу "Металлист" предлагается стать участником региональной целевой программы "Развитие сельского хозяйства Псковской области на 2008 - 2012гг" и федеральной целевой программы "Кредит под залог приобретаемого зерносушильного и комбикормового оборудования", которая дает возможность приобретения нового отечественного и импортного зерносушильного и комбикормового оборудования под его залог.

С учетом этих программы, а также ежегодных субсидий из федерального бюджета на возмещение части затрат на уплату процентов по инвестиционным кредитам в размере 95% ставки рефинансирования (учетной ставки) Центрального банка Российской Федерации, действующей на дату заключения кредитного договора (договора займа), процентная ставка, которую предприятию необходимо будет выплачивать по кредиту составит 10 % годовых.

Таким образом, исходя из рассчитанных финансовых затрат на реализацию инвестиционного проекта по производству комбикормов предприятием СХПК "Металлист", общая сумма привлекаемых средств составляет:

Сумма инвестиций = Оборудование + Затраты = 2057,6 тыс. руб.

Срок кредита 6 месяцев, процентная ставка 10% годовых с учетом программ государственной поддержки сельского хозяйства.

График погашения кредита будет иметь вид, представленный в таблице 3.1

Таблица 3.1 График погашения кредита, тыс. руб.

Месяц

Основной долг

Проценты

Остаток задолженности

Июль

342,9

34,29

1886,17

Август

342,9

34,29

1508,98

Сентябрь

342,9

34,29

1131,79

Октябрь

342,9

34,29

754,6

Ноябрь

342,9

34,29

377,19

Декабрь

342,9

34,29

0


3.5 Оценка эффективности инвестиционного проекта

Ключевым моментом в разработке любого инвестиционного проекта является оценка его эффективности. Здесь очень важно установить временные рамки анализа рассматриваемого проекта. В данном случае за начало расчётного периода был выбран момент начала инвестиционной фазы. В целях анализа проекта были рассчитаны чистые денежные потоки за 12 месяцев деятельности предприятия (таблица 3.2.).

Таблица 3.2 Расчет чистых денежных потоков инвестиционного проекта, тыс. руб.


июль

август

сентябрь

октябрь

ноябрь

декабрь

январь

февраль

март

апрель

май

июнь

Чистая прибыль

238,7

365,9

365,9

365,9

365,9

365,9

365,9

276,2

276,2

276,2

276,2

276,2

Амортизация

-

3,8

3,8

3,8

3,8

3,8

3,8

2,4

2,4

2,4

2,4

2,4

Чистый денежный поток (CF)

238,7

369,7

369,7

369,7

369,7

369,7

278,6

278,6

278,6

278,6

278,6


Рассчитав чистые денежные потоки, можно узнать:

) Срок окупаемости проекта (PP - payback period). Простым сроком окупаемости называют продолжительность периода от начального момента инвестирования (нулевой период времени) до того момента времени в n-ом расчётном периоде, в котором сальдо накопленного денежного потока принимает положительное значение.

Таблица 3.3 Определение простого срока окупаемости инвестиционного проекта, тыс. руб.


0

1

2

3

4

5

6

Чистый денежный поток

 -2057,6

238,7

369,7

369,7

369,7

369,7

369,7

Сальдо накопленного ден. потока

 - 2057,6

 -1818,9

- 1449,2

-1079,5

-709,8

-340,1

29,6


Таким образом, сальдо накопленного денежного потока принимает положительное значение на интервале (5;6). Для определения более точного срока окупаемости проекта воспользуемся формулой:

 где:

D- дробная часть года;

Pt- - отрицательная величина сальдо накопленного денежного потока в периоде, предшествовавшему моменту окупаемости;

Pt+ - положительная величина сальдо накопленного денежного потока в периоде после момента окупаемости.

В нашем случае D = 0,9. Тогда срок окупаемости инвестиционного проекта составит: 5 месяцев + 0,9×30дней = 5 месяцев 27 дней.

Однако следует помнить, что критерий РР не учитывает временную стоимость денег, поэтому для получения более точной оценки проекта с точки зрения его экономической эффективности используют принцип дисконтирования денежных потоков.

2) Метод дисконтированного срока окупаемости.

Аналогичен предыдущему методу с той разницей, что чистые денежные потоки корректируются на ставку дисконтирования с учётом требуемой доходности на инвестируемый капитал.


где: DCF- дисконтированный денежный поток;

СFn - денежный поток в расчетном периоде времени;

r - норма дисконта или ставка доходности;

n - расчётный период времени.

Поскольку наш проект финансируется исключительно за счёт заёмного капитала, то ставка дисконтирования определяется как стоимость кредитных ресурсов (10%).

Зная ставку дисконтирования, можно будущие чистые денежные потоки привести к настоящему моменту времени, т.е. продисконтировать.

Таблица 3.4 Определение дисконтированного срока окупаемости проекта, тыс. руб.


0

1

2

3

4

5

6

7

8

9

10

11

Дисконтированный денежный поток

 -2057,6

217

305,5

277,7

252,5

229,6

208,9

189,9

130,08

118,3

107,6

97,8

Сальдо накопленного дисконтированного потока

 - 2057,6

 -1840,6

- 1535,1

-1257,4

-1004,9

-775,3

-566,4

-376,5

-246,42

-128,12

-20,52

77,28


Дисконтированный срок окупаемости, исходя из данных таблицы 3.3, составит 10 месяцев +∆ . ∆=0,2 Þ дисконтированный срок окупаемости проекта составит 10 месяцев + 0,2х30 дней=10 месяцев 6 дней.

2) Метод чистой текущей стоимости (NPV - net present value).

Этот метод построен на предположении, что денежные потоки по проекту генерируются периодически и их можно изучить с учётом требуемой доходности на инвестируемый капитал. Для одномоментных инвестиций и последующих притоков денежных средств значение чистого дисконтированного дохода рассчитывается по формуле:


где: CFn - денежный поток;

r- ставка дисконтирования;

IC - вложенные инвестиции;

n - период времени.

В нашем случае:

NPV =2134,88 - 2057,6 =77,28

Критерий NPV принимает положительное значение, т.е. сумма дисконтированных денежных потоков превысит сумму первоначальных инвестиций. Это означает, что желаемая доходность по проекту будет обеспечена.

3) Метод расчёта индекса (нормы) доходности проекта (PI).

Данный показатель показывает относительную "отдачу проекта" на вложенные в него средства и представляет собой отношение суммы дисконтированных денежных потоков к сумме инвестиционных затрат.

PI=∑DCFn/IC

где: DCFn - дисконтированный денежный поток;

n - период времени;

IC - вложенные инвестиции.

PI =2134,88/2057,6=1,037

Поскольку индекс доходности проекта принимает значение > 1, то проект является рентабельным и экономически целесообразным.

4) Расчёт показателя рентабельности

Одним из наиболее важных индикаторов конкурентоспособности предприятия является такой показатель, как рентабельность реализации (продаж). Коэффициент определяется как отношение прибыли (чистой или бухгалтерской) к объёму реализованной продукции. Он показывает, сколько денежных единиц прибыли принесла каждая денежная единица реализованной продукции. За первый расчётный месяц функционирования предприятия этот показатель рентабельности равны:

Rпродаж = 238,72/1200х100%=20%

В период с февраля по июль этот показатель рентабельности равен:

Rпродаж = 365,9/2200х100% = 17%

С августа по декабрь рентабельность составит:

Rпродаж=276,2/1400х100%=20%.

Анализ эффективности инвестиционных вложений в проект по производству комбикормов показал, что проект является чрезвычайно выгодным для предприятия. С помощью него решится несколько важнейших проблем, препятствующих развитию финансово-хозяйственной деятельности СХПК "Металлист":

1.     Появится новый источник поступления денежных средств в результате реализации комбикормов сельскохозяйственным предприятиям Псковской области и района;

2.       В результате собственного производства качественных кормов для животных повысится производительность основного стада;

.        Снизятся затраты на основное производство вследствие сокращения затрат на закупку кормов у сторонних организаций;

.        Увеличится прибыль предприятия

Заключение

В современных экономических условиях инвестиции должны направляться туда, где от них будет получен наиболее быстрый и максимальный эффект. Очевидно, что в условиях острой конкурентной борьбы на рынке инвестиций между государствами, регионами, предприятиями победит тот, кто сумеет привлечь их достаточную массу и с наибольшим эффектом их использовать. Задача местных региональных органов власти, отраслевых, хозяйственных органов - правильно определить приоритеты инвестирования, придать им инновационно-производственную направленность. Поиск инвестиций является трудной задачей, но еще более трудным делом является обеспечение их эффективного использования.

Инвестиционная политика в системе АПК должна быть подчинена задачам структурной перестройки экономики и направлена на обеспечение сбалансированного и гармоничного развития всех звеньев комплекса, на обновление производственного потенциала, повышение эффективности его использования на основе внедрения в практику достижений научно-технического прогресса, освоения ресурсосберегающих технологий, модернизации и реконструкции производства. Именно таким предпосылкам отвечает разработанный нами инвестиционный проект по производству комбикормов на отдельно взятом сельскохозяйственном предприятии - СХПК "Металлист". Таким образом, нами достигнута главная цель и решены следующие задачи:

·        изучены теоретические аспекты процесса инвестирования;

·        проанализировано финансовое состояние предприятия;

·        выявлены основные проблемы деятельности;

·        проведен анализ отрасли и рыночной среды;

·        разработан плана маркетинга;

·        составлен производственный план;

·        рассчитаны финансовые показатели, проведена оценка эффективности разработанного инвестиционного проекта.

Список литературы

1.  Гражданский Кодекс РФ. Ч.1, Ч.2. от 30.11.1994 №51-ФЗ (в редакции Федерального закона от 18.07.2009 №181-ФЗ)

2.       Налоговый кодекс РФ. Ч.1, Ч.2. от 31.07.1998 №146-ФЗ (в редакции Федерального закона от 29.11.2010 N 313-ФЗ)

3.  Об инвестиционной деятельности в Российской Федерации, осуществляемой в форме капитальных вложений: федеральный закон от 25 февраля 1999г. №39-ФЗ // Собрание законодательства Российской Федерации. - 20 августа 2010г. - №9. - Ст.1096.

4.       Методические рекомендации по оценке эффективности инвестиционных проектов, утвержденные Минэкономики РФ, МФ РФ, Госкомитетом РФ по строительной, архитектурной и жилищной политике 21.06.1999 №ВК 477Абрамов С.И. Инвестирование. - М.: Центр экономики и маркетинга, 2010. - 440с.

.        Анализ финансовой отчетности: учеб. пособие/ под ред. О. В. Ефимовой, М. В. Мельник. - 2-е изд., испр. и доп. - М.: Изд-во ОМЕГА - Л, 2008. -408с.

.        Андреева С. А. Меньшенина С. М. Методические подходы к оценке эффективности инвестиционных решений.: Предпринт. - СПб.: Изд-во СПбГУЭФ, 2010. - 16с.

.        Бизнес-план инвестиционного проекта: Отечественный и зарубежный опыт. Современная практика и документация: Учеб. Пособие. - 5-е изд., перераб. и доп. / Под ред. Попова В.М. - М.: Финансы и статистика, 2009.- 432 с.

.        Бочаров В. В. Инвестиции: Учебник для вузов. 2-е издание. - СПб: Питер, 2009. - 384с.

.        Бригхэм Ю., Эрхардт М. Финансовый менеджмент. 10-е изд. Пер.с англ. СПб.: Питер, 2007. - 341с.

.        Вахрин П.И. Инвестиции: Учебник. - М.: Издательско - торговая корпорация "Дашков и К", 2009. - 384с.

.        Виленский П.Л., Лившиц В.Н., Смоляк Н.А. Оценка эффективности инвестиционных проектов: Теория и практика: Учебно - практическое пособие. - М.: Дело, 2009. - 832с.

.        Вострокнутова А. И., Друзь И. А. Инвестиции: Учеб. пособие. - СПб.: Изд-во СПбГУЭФ, 2009. - 154с.

13.     Вяткин В.Н. и др. Принятие финансовых решений в управлении бизнесом: концепции, задачи, ситуации: Учебник для вузов / Ин-т международного бизнеса и финансов; Вяткин В.Н., Хэмптон Д.Д., Казак А.Ю. - М. - Екатеринбург: ЗАО "Издательский дом "ЯВА", 2009. - 255 с.

14.     Горемыкин В.А., Богомолов А.Ю. Бизнес-план. Методика разработки.-М.: "Ось-89", 2010.-864 с.

15.     Донцова Л. В., Никифорова Н.А. Анализ финансовой отчетности: Учеб. пособие . - 2-е изд. - М.: изд-во "Дело и сервис", 2009. - 336с.

16.     Золотогоров В.Г. Инвестиционное проектирование. Учебное пособие.-Мн.: ИП "Экоперспектива", 2008 . - 463 с.

.        Иванов Г.И. Инвестиционный менеджмент: Учебное пособие. - Ростов н/Д: "Фениск", 2010.- 320с.

.        Игошин Н.В. Инвестиции. Организация управления и финансирование: Учебник для вузов. 4-е изд., перераб. и доп. - М.: ЮНИТИ-ДАНА, 2010. -542с.

.        Карасева И.М, Ревякина М.А Финансовый менеджмент Уч. Пос. М.: Омега - Л, 2009 -335с.

.        Крюков С.В. Методы и модели оценки и выборов инвестиционных проектов: Монография/РГЭУ. - Ростов Н/Д., 2001 . - 252с.

21.     Ковалев В.В. Введение в финансовый менеджмент. - М.: Финансы и статистика, 2008. - 768 с.

22.     Ковалёв В.В. Методы оценки инвестиционных проектов. - М.: Финансы и статистика, 2000. - 144 с.

23.     Крутякова Ю. А., Юсупова С. Р. Бизнес-планирование: учеб. - практич. пособие . - М.: ТК Велби, изд-во Проспект, 2009. - 352с.

24.     Малышев В. И. Социально-экономические проблемы регулирования инвестиционной деятельности в регионах России. - СПб.: Изд-во СПбГУЭФ, 2009. - 132с.

.        Марголин А.М., Быстряков А.Я. Экономическая оценка инвестиций: Учебник. - М.: Ассоциация авторов и издателей "Тандем".Изд. "Экмос", 2010. - 240 с.

.        Нанивская В.Г., Чистякова Г. А., Ленкова О.В.. Бизнес - планирование. Курс лекций.Тюмень: ТюмГНГУ, 2009 - 194 с.

.        Новашина Т.С., Карпунин В.И., Волнин В.А. Финансовый менеджмент. / Под ред. доц. Т.С. Новашиной. - М.: Московская финансово-промышленная академия, 2008 - 255 c.

.        Стрекалова Н.Д. Бизнес-планирование: Учеб. пособие. - СПб.: Питер, 2009. - 352с.

.        Серов В. М., Ивановский В. С. Козловский А. В. Инвестиционный менеджмент: Учебное пособие для вузов/ГУУ - М.: ЗАО "Финстатинформ", 2009. - 502с.

.        Теплова Т.В. Финансовый менеджмент: управление капиталом и инвестициями: Учебник для вузов / Гос. ун-т; Высшая школа экономики. - М.: ГУ ВШЭр, 2008. - 249с.

31.     Финансовый менеджмент: Учебник для вузов / Под. ред. Н.Ф. Самсонова. - М.: ЮНИТИ-ДАНА, 2009. - 495с.

32.     Финансы организаций (предприятий): учебник для вузов/ Н. В. Колчина, Г. Б. Поляк, Л.М. Бурмистрова и др.; под ред. Проф. Н. В. Колчиной . - 3-е издание, перераб. и доп. - М.: ЮНИТА-ДАНА, 2010. - 358с.

.        Шарп У., Александер Г., Бэйли Дж. Инвестиции: пер. с англ. - М.: ИНФРА-М, 2009- 1028 с.

.        Губенко А.И. Критерии оценки и выбора инвестиционных проектов//Деньга и кредит. - 2009.-№5.-с. 39-42.

.        Жуков Н. К. Зерновое хозяйство Нечерноземной зоны: возможности развития//Экономист.-2009.-№9.-с. 47-52.

.        Кистерева Е. В. Инвестиционный бизнес-план: разработка финансового плана//Справочник экономиста.- 2010.-№3.- с. 15-20.

.        Кистерева Е. В. Прогноз движения денежных средств в инвестиционном проектировании//Справочник экономиста.- 2010.-№4.- с. 25-29.

.        Лебедева Л. Н. Анализ финансовой отчетности организации//Справочник экономиста. - №3 2009. - с. 33-37.

.        Милова Е.М. Предварительная оценка бизнеса методом дисконтирование денежных потоков//Справочник экономиста.- 2009.-№5.- с. 36-39.

.        Петриков А. В. Задачи развития в аграрном секторе //Экономист.- 2010.-№3.- с. 3-5.

.        Соколова Л.С. Финансовое состояние предприятия: оценка и моделирование механизма управления//Справочник экономиста.- 2010.-№9.- с. 26-29.

.        Фигуровская Н. И. Экономическая стратегия аграрного развития //Экономист.- 2010.-№8.- с. 82-86.

.        www.minfin.ru (28.04.2011г.)

.        www.mcx.ru (29.04.2011 г.)

.        www.cbr.ru (08.05.2011г.)

.        www.rshb.ru (05.05.2011г.)

47.     www.dozaagro.ru (03.05.2011г.)

48.     www.gks.ru (15.04.2011г.)

49.     www.pskovstat.gks.ru (15.04.2011г.)

.        www.akdi.ru (01.05.2011г.)

.        www.finbook.biz (05.05.2011г.)

.        www.elobook.com (11.04.2011г.)

53.     www.ruseconomy.ru (22.04.2011)

54.     www.kommersant.org.ua (22.04.2011г.)

Похожие работы на - Инвестиционный проект для СХПК 'Металлист' по производству концентрированных комбинированных кормов для крупного рогатого скота

 

Не нашли материал для своей работы?
Поможем написать уникальную работу
Без плагиата!
Без нейросетей!