Эконометрический анализ

  • Вид работы:
    Контрольная работа
  • Предмет:
    Менеджмент
  • Язык:
    Русский
    ,
    Формат файла:
    MS Word
    49,79 Кб
  • Опубликовано:
    2014-03-12
Вы можете узнать стоимость помощи в написании студенческой работы.
Помощь в написании работы, которую точно примут!

Эконометрический анализ

ЗАДАНИЕ 1

Сформулируйте основные принципы и методы построения линейных, нелинейных эконометрических моделей спроса, предложения. Приведите конкретные примеры

Начальным пунктом эконометрического анализа зависимостей обычно является оценка линейной зависимости переменных. Это объясняется простотой исследования линейной зависимости. Поэтому проверка наличия такой зависимости, оценивание ее индикаторов и параметров является одним из важнейших направлений приложения математической статистики.

Наиболее простым для изучения является случай взаимосвязи двух переменных (обозначим их х и у). Если это реальные статистические данные, то мы никогда не получим простую линию - линейную, квадратичную, экспоненциальную и т.д. Всегда будут присутствовать отклонения зависимой переменной, вызванные ошибками измерения, влиянием неучтенных величин или случайных факторов. Связь переменных, на которую накладываются воздействия случайных факторов, называется статистической связью. Наличие такой связи заключается в том, что изменение одной переменной приводят к изменению математического ожидания другой переменной [6, c. 81].

Выделяют два типа взаимосвязей между переменными х и у:

) переменные равноправны, т.е. может быть не известно, какая из двух переменных является независимой, а какая - зависимой;

) две исследуемые переменные неравноправны, но одна из них рассматривается как объясняющая (или независимая), а другая как объясняемая (или зависящая от первой).

В первом случае говорят о статистической взаимосвязи корреляционного типа. При этом возникают проблемы оценки связи между переменными. Вопрос о наличии связи между экономическими переменными сводится к определению конкретной формулы (спецификации) такой связи, устойчивой к изменению числа наблюдений. Для этого используются специальные статистические методы и, соответственно, показатели, значения которых определенным образом (и с определенной вероятностью) свидетельствуют о наличии или отсутствии линейной связи между переменными [3, c. 62].

Во втором случае, когда изменение одной из переменных служит причиной для изменения другой, должно быть оценено уравнение регрессии y = f(x). Уравнение регрессии - это формула статистической связи между переменными. Формула статистической связи двух переменных называется парной регрессией, зависимость от нескольких переменных - множественной регрессией. Например, Кейнсом была предложена линейная формула зависимости частного потребления С от располагаемого личного дохода Yd : С = С0 + b Yd, где С0 > 0 - величина автономного потребления, 1> b > 0 - предельная склонность к потреблению.

Выбор формулы связи переменных называется спецификацией уравнения регрессии. В данном случае выбрана линейная формула. Далее требуется оценить значения параметров и проверить надежность оценок.

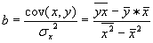
Построение уравнения регрессии сводится к оценке ее параметров. Для оценки линейных параметров регрессий используют метод наименьших квадратов (МНК), который позволяет получить такие оценки параметров, при которых сумма квадратов отклонений фактических значений результативного признака у от теоретических х минимальна, т.е.


Для уравнений, приводимых к линейному виду, решается следующая система линейных уравнений:


Можно воспользоваться готовыми формулами, которые вытекают из этой системы:


Оценку качества построенной модели даст коэффициент R2 = rxy2 (индекс детерминации), а также средняя ошибка аппроксимации:

 

Допустимый предел значений средней ошибки аппроксимации - не более 8-10%. В этом случае модель оценивается как достаточно точная, в противном случае говорят о плохом качестве построенной модели [3, c. 68].

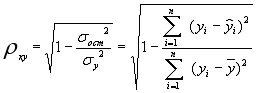
Одной из наиболее эффективных оценок адекватности регрессионной модели, мерой качества уравнения регрессии или, как говорят, мерой качества подгонки регрессионной модели к наблюдаемым значениям, характеристикой прогностической силы анализируемой регрессионной модели является коэффициент детерминации (0 R2 1), определяемый по формуле:


Коэффициент детерминации R2показывает, какая часть (доля) дисперсии результативного признака у, обусловлена вариацией объясняющей переменной. Показатель (1-R2) характеризует долю дисперсии у, вызванную влиянием остальных, не учтенных в модели факторов. Например, если R2 = 0,982, уравнением регрессии объясняется 98,2% результативного признака, а на долю прочих факторов приходится лишь 1,8% ее дисперсии (остаточная дисперсия). Чем ближе значение R2 единице, тем большую долю изменения результативного фактора можно объяснить за счет вариации включенного в модель фактора х, меньше роль прочих факторов, и, следовательно, линейная модель хорошо аппроксимирует исходные данные (наблюдения теснее примыкают к линии регрессии) и модель можно использовать для прогноза значений результативного признака [3, c. 71].

Заметим, что коэффициент детерминации R2 имеет смысл рассматривать только при наличии свободного члена в уравнении регрессии, так как лишь в этом случае верны равенства


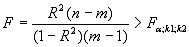
Если известен коэффициент детерминации R2, то критерий значимости уравнения регрессии или самого коэффициента детерминации может быть записан в виде:


В случае парной линейной модели коэффициент детерминации равен квадрату коэффициента корреляции, рассчитанного по формуле (1) (см. выше) Тогда


Существуют 2 этапа интерпретации уравнения регрессии:

. Первый состоит в словесном истолковании уравнения так, чтобы оно было понятно человеку, не являющемуся специалистом в области эконометрики и статистики [6, c. 89].

. На втором этапе необходимо решить, следует ли ограничиться первым этапом или провести более детальное исследование зависимости.

Будет проиллюстрирован моделью регрессии для функции спроса, т.е. регрессией между расходами потребителя на питание (у) и располагаемым личным доходом (х) по данным, приведенным в таблице Б.1. для США за период с 1959 по 1983 (данные взяты из учебника К. Доугерти «Введение в эконометрику»)

Год

1959

1960

1961

1962

1963

1964

1965

1966

1967

1968

 

X

479,7

489,7

503,8

524,9

542,3

580,8

616,3

646,8

673,5

701,3

 

Y

99,7

100,9

102,5

103,5

104,6

108,8

113,7

116,6

118,6

123,4

 

 Год

1969

1970

1971

1972

1974

1975

1976

1977

1978

 

X

722,5

751,6

779,2

810,3

865,3

858,4

875,8

906,8

942,9

988,8

 

y

125,9

129,4

130,0

132,4

129,4

128,1

132,3

139,7

145,2

146,1

 

Год

1979

1980

1981

1982

1983

Среднее

x

1015,5

1021,6

1049,3

1058,3

1095,4

780,032

y

149,3

153,2

153,0

154,6

161,2

128,084


Предположим, что истинная модель представлена в аддитивной линейной форме вида: y = + x + u и оценена регрессия: = 55,009 + 0,093 х

Коэффициент при х (коэффициент наклона) показывает, что если х увеличивается на одну единицу, то у возрастает на 0,093 единицы. Как х, так и у измеряются в миллиардах долларов в постоянных ценах, т.о., коэффициент наклона показывает, что если доход увеличивается на 1 млрд. долл., то расходы на питание возрастают на 93 млн.долл. Другими словами, из каждого дополнительного доллара дохода 9,3 цента будут израсходованы на питание [6, c. 91].

Что можно сказать о постоянной в уравнении а? Формально говоря, она показывает прогнозируемый уровень у, когда х = 0.

Если х = 0 находится достаточно далеко от выборочных значений х, то буквальная интерпретация может привести к неверным результатам; даже если линия регрессии достаточно точно описывает значения наблюдаемой выборки, нет гарантии, что так же будет при экстраполяции влево или вправо. В данном случае, константа выполняет единственную функцию: она позволяет определить положение линии регрессии на графике.

Проблема изучения взаимосвязей экономических показателей является одной из важнейших в экономическом анализе. Любая экономическая политика заключается в регулировании экономических переменных, и она должна основываться на знании того, как эти переменные влияют на другие переменные, являющиеся ключевыми для принимающего решение политика. Так, в рыночной экономике нельзя непосредственно регулировать темп инфляции, но на него можно воздействовать средствами бюджетно-налоговой и кредитно-денежной политики.

В наиболее общем виде в области изучения взаимосвязей исследователя интересует количественная оценка их наличия и направления, а также характеристика силы и формы влияния одних факторов на другие. Для ее решения применяется две группы методов, одна из которых включает в себя методы корреляционного анализа, а другого - регрессионный анализ. В то же время ряд исследователей объединяет эти методы в корреляционно - регрессионный анализ, что объясняется наличием целого ряда вычислительных процедур, взаимодополнения при интерпретации результатов и др.

Задачи собственно корреляционного анализа сводятся к измерению тесноты связи между варьирующими признаками, определению неизвестных причинных связей и оценке факторов, оказывающих наибольшее влияние на результативный признак. Задачи регрессионного анализа лежат в сфере установления формы зависимости, определения функции регрессии, использования уравнения для оценки неизвестных значений зависимой переменной.

Решение задач опирается на соответствующие приемы, алгоритмы, показатели, применение которых дает основание говорить о статистическом изучении взаимосвязей. Вычислительные процедуры представляют самостоятельный интерес, но знание принципов изучения взаимосвязей, возможностей и ограничений тех или иных методов интерпретации результатов являются обязательным условием исследования.

Невозможно строить, проверять или улучшать экономические модели без статистического анализа их переменных с использованием реальных статистических данных. Вся сфера экономических исследований может быть в определенном смысле охарактеризована как изучение взаимосвязей экономических переменных. При этом инструментарием их базового анализа являются методы статистики и эконометрики.

Методы оценки тесноты связи подразделяются на корреляционные (параметрические) и непараметрические. Параметрические методы основаны на использовании, как правило, оценок нормального распределения и применяются в случаях, когда изучаемая совокупность состоит из величин, которые подчиняются закону нормального распределения. Непараметрические методы не накладывают ограничений на закон распределения изучаемых величин.

Простейшим приемом выявления связи между изучаемыми признаками является построение корреляционной таблицы; ее наглядным изображением служит корреляционное поле. Оно представляет собой график, где на оси абсцисс откладываются значения хi, по оси ординат уi. По расположению точек, их концентрации в определенном направлении можно судить о наличии связи.

Последовательность точек хi и среднего значения уi , т.е. i, дает график, который иллюстрирует зависимость среднего значения результативного признака у от факторного х - эмпирическую линию регрессии. По существу, корреляционная таблица, корреляционное поле, эмпирическая линия регрессии предварительно уже характеризуют взаимосвязь, когда выбраны факторный и результативный признаки и требуется сформулировать предположение о форме и направленности связи.

Практически для количественной оценки тесноты связи для линейной регрессии используется линейный коэффициент парной корреляции rxy (-1< rxy < 1):

(1)

(2)

и индекс корреляции xy - для нелинейной регрессии (0 < rxy < 1):

(3)

Коэффициент (индекс) корреляции является безразмерной величиной, так как его значение не зависит от выбора единиц измерения обеих переменных.

Близкая к нулю величина коэффициента корреляции свидетельствует об отсутствии линейной связи переменных, но не об отсутствии связи между ними вообще. Например, если показатель корреляции величин уровней инфляции и безработицы для периода 1970-х-1980-х годов для экономики США практически равен нулю, не следует говорить сразу о независимости этих показателей в данный период: надо попытаться построить более сложную модель их связи, учитывающую, возможно, как нелинейность самой зависимости, так и наличие в ней запаздываний во времени (лагов), а также инерционность динамики соответствующих величин [6, c. 78].

Равенство нулю коэффициента корреляции для генеральной совокупности еще не означает, что он будет в точности нулевым для выборки. Наоборот, он обязательно будет отклоняться от истинного значения, но чем больше такое отклонение, тем менее оно вероятно при данном объеме выборки. При каждом конкретном значении коэффициента корреляции величин х и у для генеральной совокупности выборочный коэффициент корреляции является случайной величиной. Следовательно, случайной величиной является также любая его функция, и требуется указать такую функцию, которая имела бы одно из известных распределений, удобное для табличного анализа. Для выборочного коэффициента корреляции rxy такой функцией является t-статистика, рассчитываемая по формуле:


и имеющая распределение Стьюдента с (n-2) степенями свободы. Число степеней свободы меньше числа наблюдений на 2, поскольку в формулу коэффициента корреляции входят средние значения х и у, для расчета которых используются две линейные формулы их зависимости от наблюдений случайных величин. Для коэффициента корреляции будет проверяться нулевая гипотеза Н0 , то есть гипотеза о равенстве его нулю в генеральной совокупности. Эта гипотеза отвергается, если выборочный коэффициент корреляции слишком далеко отклонился от нулевого значения, то есть произошло событие, которое было бы маловероятно в случае равенства нулю теоретического коэффициента корреляции.

Такая нелинейная регрессия по включенным в объяснение переменным простым их преобразованием (заменой) легко сводится к обычной линейной регрессии для новых переменных. Поэтому оценка параметров в этом случае выполняется просто по МНК, поскольку зависимости линейны по параметрам. Так, важную роль в экономике играет нелинейная зависимость, описываемая равносторонней гиперболой:


Ее параметры хорошо оцениваются по МНК и сама такая зависимость характеризует связь удельных расходов сырья, топлива, материалов с объемом выпускаемой продукции, временем обращением товаров и всех этих факторов с величиной товарооборота. Например, кривая Филлипса характеризует нелинейное соотношение между нормой безработицы и процентом прироста заработной платы.

Совершенно по-другому обстоит дело с регрессией, нелинейной по оцениваемым параметрам, например, представляемой степенной функцией, в которой сама степень (ее показатель) является параметром или зависит от него. Также это может быть показательная функция, где основанием степени является параметр и экспоненциальная функция, в которой опять же показатель содержит параметр или комбинацию параметров. Этот класс, в свою очередь, делится на два подкласса: к одному относятся внешне нелинейные, но по существу внутренне линейные. В этом случае можно привести модель к линейному виду с помощью преобразований. Однако, если модель внутренне нелинейна, то она не может быть сведена к линейной функции.

Таким образом, только модели внутренне нелинейные в регрессионном анализе считаются действительно нелинейными. Все прочие, сводящиеся к линейным посредством преобразований, таковыми не считаются, и именно они рассматриваются чаще всего в эконометрических исследованиях. В то же время это не означает невозможности исследования в эконометрике существенно нелинейных зависимостей. Если модель внутренне нелинейна по параметрам, то для оценки параметров используются численные итеративные процедуры, успешность которых зависит от вида уравнения и от особенностей применяемого итеративного метода.

Вернемся к зависимостям, приводимым к линейным. Если они нелинейны и по параметрам и по переменным, например, вида у = а, умноженному на степень х, показатель которой и есть параметр β (бета):

.

Очевидно, такое соотношение легко преобразуется в линейное уравнение простым логарифмированием:

.

После введения новых переменных, обозначающих логарифмы, получается линейное уравнение. Тогда процедура оценивания регрессии состоит в вычислении новых переменных для каждого наблюдения путем взятия логарифмов от исходных значений. Затем оценивается регрессионная зависимость новых переменных. Для перехода к исходным переменным следует взять антилогарифм, т.е. фактически вернуться к самим степеням вместо их показателей (ведь логарифм это и есть показатель степени). Аналогично может рассматриваться случай показательных, или экспоненциальных, функций.

Для существенно нелинейной регрессии невозможно применение обычной процедуры оценивания регрессии, поскольку соответствующая зависимость не может быть преобразована в линейную. Общая схема действий при этом следующая.

Принимаются некоторые правдоподобные исходные значения параметров.

Вычисляются предсказанные значения у по фактическим значениям х с использованием этих значений параметров.

Вычисляются остатки для всех наблюдений в выборке и затем сумма квадратов остатков.

Вносятся небольшие изменения в одну или более оценку параметров.

Вычисляются новые предсказанные значения у, остатки и сумма квадратов остатков.

Если сумма квадратов остатков меньше, чем прежде, то новые оценки параметров лучше прежних и их следует использовать в качестве новой отправной точки.

Шаги 4, 5 и 6 повторяются вновь до тех пор, пока не окажется невозможным внести такие изменения в оценки параметров, которые привели бы к изменению суммы остатков квадратов.

Делается вывод о том, что величина суммы квадратов остатков минимизирована и конечные оценки параметров являются оценками по методу наименьших квадратов.

Среди нелинейных функций, которые могут быть приведены к линейному виду, в эконометрике широко используется степенная функция. Параметр b в ней имеет четкое истолкование, являясь коэффициентом эластичности. В моделях, нелинейных по оцениваемым параметрам, но приводимых к линейному виду, МНК применяется к преобразованным уравнениям. Практическое применение логарифмирования и, соответственно, экспоненты возможно тогда, когда результативный признак не имеет отрицательных значений. При исследовании взаимосвязей среди функций, использующих логарифм результативного признака, в эконометрике преобладают степенные зависимости (кривые спроса и предложения, производственные функции, кривые освоения для характеристики связи между трудоемкостью продукции, масштабами производства, зависимость ВНД от уровня занятости, кривые Энгеля).

Иногда используется так называемая обратная модель, являющаяся внутренне нелинейной, но в ней, в отличие от равносторонней гиперболы, преобразованию подвергается не объясняющая переменная, а результативный признак у. Поэтому обратная модель оказывается внутренне нелинейной и требование МНК выполняется не для фактических значений результативного признака у, а для их обратных значений.

Особого внимания заслуживает исследование корреляции для нелинейной регрессии. В общем случае парабола второй степени, так же как и полиномы более высокого порядка, при линеаризации принимает вид уравнения множественной регрессии. Если же нелинейное относительно объясняемой переменной уравнение регрессии при линеаризации принимает форму линейного уравнения парной регрессии, то для оценки тесноты связи может быть использован линейный коэффициент корреляции.

Если преобразования уравнения регрессии в линейную форму связаны с зависимой переменной (результативным признаком), то линейный коэффициент корреляции по преобразованным значениям признаков дает лишь приближенную оценку связи и численно не совпадает с индексом корреляции. Следует иметь в виду, что при расчете индекса корреляции используются суммы квадратов отклонений результативного признака у, а не их логарифмов. Оценка значимости индекса корреляции выполняется так же, как оценка надежности (значимости) коэффициента корреляции. Сам индекс корреляции, как и индекс детерминации, используется для проверки значимости в целом уравнения нелинейной регрессии по F-критерию Фишера.

Отметим, что возможность построения нелинейных моделей как посредством приведения их к линейному виду, так и путем использования нелинейной регрессии, с одной стороны, повышает универсальность регрессионного анализа, а с другой - существенно усложняет задачи исследователя. Если ограничиваться парным регрессионным анализом, то можно построить график наблюдений у и х как диаграмму разброса. Часто несколько различных нелинейных функций приблизительно соответствуют наблюдениям, если они лежат на некоторой кривой. Но в случае множественного регрессионного анализа такой график построить невозможно [6, c. 101]. эконометрический переменная уравнение корреляция

При рассмотрении альтернативных моделей с одним и тем же определением зависимой переменной выбор прост. Разумнее всего оценивать регрессию на основе всех вероятных функций, останавливаясь на функции, в наибольшей степени объясняющей изменения зависимой переменной. Если коэффициент детерминации измеряет в одном случае объясненную регрессией долю дисперсии, а в другом - объясненную регрессией долю дисперсии логарифма этой зависимой переменной, то выбор делается без затруднений. Другое дело, когда эти значения для двух моделей весьма близки и проблема выбора существенно осложняется.

Тогда следует применять стандартную процедуру в виде теста Бокса - Кокса. Если нужно всего лишь сравнить модели с использованием результативного фактора и его логарифма в виде варианта зависимой переменой, то применяют вариант теста Зарембки. В нем предлагается преобразование масштаба наблюдений у, при котором обеспечивается возможность непосредственного сравнения среднеквадратичной ошибки (СКО) в линейной и логарифмической моделях. Соответствующая процедура включает следующие шаги [6, c. 107].

Вычисляется среднее геометрическое значений у в выборке, совпадающее с экспонентой среднего арифметического значений логарифма от у.

Пересчитываются наблюдения у таким образом, что они делятся на полученное на первом шаге значение.

Оценивается регрессия для линейной модели с использованием пересчитанных значений у вместо исходных значений у и для логарифмической модели с использованием логарифма от пересчитанных значений у. Теперь значения СКО для двух регрессий сравнимы, и поэтому модель с меньшей суммой квадратов отклонений обеспечивает лучшее соответствие с истинной зависимостью наблюденных значений.

Для проверки того, что одна из моделей не обеспечивает значимо лучшее соответствие, можно использовать произведение 1/2 числа наблюдений на логарифм отношения значений СКО в пересчитанных регрессиях с последующим взятием абсолютного значения этой величины. Такая статистика имеет распределение χ2 с одной степенью свободы (обобщение нормального распределения).

ЗАДАНИЕ 2.

Решите задачу. Имеются данные, характеризующие поведение спроса:

,6; 16,3; 15,3; 17,8; 17,3; 19,1; 18,4;20,4; 21,8; 22,3; 23,8; 24,1; 24,3

Требуется определить поведение спроса на периоды t 14, t15.

Расчеты желательно осуществлять на основе программы Excel

Используя функцию «ТЕНДЕНЦИЯ», находим значение t 14 и t 15. Характеристика функции «ТЕНДЕНЦИЯ»:

Известные значения y- множество значений y, которые уже известны для соотношения y = mx + b.

Если массив известные значения y имеет один столбец, то каждый столбец массива известные значения x интерпретируется как отдельная переменная.

Если массив известные значения y имеет одну строку, то каждая строка массива известные значения x интерпретируется как отдельная переменная.

Известные значения x- необязательное множество значений x, которые уже известны для соотношения y = mx + b.

Массив известные значения x может содержать одно или несколько множеств переменных. Если используется только одна переменная, то известные значения y и известные значения x могут иметь любую форму, при условии, что они имеют одинаковую размерность. Если используется более одной переменной, то известные значения y должны быть вектором (то есть интервалом высотой в одну строку или шириной в один столбец).

Если известные значения x опущены, то предполагается, что это массив {1;2;3;...} такого же размера, как и известные значения y.

Новые значения x - новые значения x, для которых ТЕНДЕНЦИЯ возвращает соответствующие значения y.

Новые значения x должны содержать столбец (или строку) для каждой независимой переменной, как и известные значения x. Таким образом, если известные значения y - это один столбец, то известные значения x и новые значения x должны иметь такое же количество столбцов. Если известные значения y - это одна строка, то известные значения x и новые значения x должны иметь такое же количество строк.

Если новые значения x опущены, то предполагается, что они совпадают с известные значения x.

Если опущены оба массива известные значения x и новые значения x, то предполагается, что это массив {1;2;3;...} такого же размера, что и известные значения y.

15,6

16,3

15,3

17,8

17,3

19,1

18,3

20,4

21,8

22,3

23,8

24,1

24,3

25,5

26,3




СПИСОК ИСПОЛЬЗОВАННЫХ ИСТОЧНИКОВ

Айвазян С.А., Мхитарян В.С. Прикладная статистика и основы эконометрики -М ЮНИТИ, 1998 - 1022с 13ВМ 5-238-00013-8

Доугерти К. Введение в эконометрику - М ИНФРА-М, 1997 - XIV, 402

Елисеева И.И. Эконометрика Учебник /И И Елисеева и др - М Финансы и статистика, 2001

Князевский В.С., Житников И.В. Анализ временных рядов и прогнозирование Учеб пособие -Ростов-на-Дону РГЭА, 1998 - 161 с

Кремер Н., Прутко Б. Эконометрика. М.: БНИТИ-ДАНА, 2002. 311 с.

Магнус Я.Р., Катышев П.К., Пересецкий А.А. Эконометрика Начальный курс - М Дело, 2000 - 400 с

Похожие работы на - Эконометрический анализ

 

Не нашли материал для своей работы?
Поможем написать уникальную работу
Без плагиата!
Без нейросетей!