Загальний погляд на ефективність ринку з конкуренцією

  • Вид работы:
    Курсовая работа (т)
  • Предмет:
    Эктеория
  • Язык:
    Украинский
    ,
    Формат файла:
    MS Word
    506,73 Кб
  • Опубликовано:
    2014-02-21
Вы можете узнать стоимость помощи в написании студенческой работы.
Помощь в написании работы, которую точно примут!

Загальний погляд на ефективність ринку з конкуренцією

Вступ

Конкуренція (від лат. "concurrientia" - стикатися) означає суперництво між суб'єктами ринкового господарства за найбільш вигідні умови виробництва, продажу і купівлі товарів. Такий вид економічних відносин функціонує тоді, коли виробники товарів виступають як самостійні і ні від кого не залежні суб'єкти господарської системи. У такому самому становищі повинні бути і покупці товарів.

Конкурентна боротьба за економічне процвітання і виживання є економічним законом ринкового господарства.

Продавці хочуть продати свої товари найдорожче, але конкуренція змушує їх збувати продукцію дешевше, щоб стимулювати попит покупців. У боротьбі між продавцями (прагнуть продати найдорожче) і покупцями (прагнуть купити дешевше) виграють ті, хто більш згуртований і має можливість нав'язати свою (вигідну для них) ціну. В умовах "вільної" конкуренції на ринку всі рівні, як продавці, і всі рівні, як покупці, але перемагає той, хто при тій самій якості товару має менші витрати виробництва або при тих самих витратах виробляє продукцію вищої якості.

Конкуренція - категорія товарно-ринкової економіки. Її зародження і виникнення історично належать до простого товарного виробництва. У процесі конкуренції кожний дрібний виробник намагається створити для себе найбільш вигідні умови виробництва і збуту товарів. Особливого розвитку конкуренція набула з переходом до великого товарного виробництва. У ХХ і на початку ХХІ ст. конкуренція в усіх країнах свідомо використовується як одна з рушійних сил економічного і соціального прогресу.

1. Моделювання поведінки споживача

Дані варіанту: I=18, Px=1 Py=3, ∆I=-3, ∆Px= +2.

Завдання №1

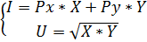
Поведінка споживача досліджується на основі двопродуктової моделі вибору ринкового кошика з товарами X та Y. Функція корисності має вигляд: U = (XY)0.5=‪√(XY).

За даними варіанту побудувати графік (графік 1) бюджетної лінії (I1)за екстремальними точками.

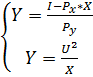
Для побудови графіку бюджетної лінії (лінії бюджетного обмеження) необхідно скласти рівняння останньої. Її загальний вигляд I = Px*X +Py*Y, частковий 18=1Х + 3Y. Побудуємо графік бюджетної лінії за екстремальними точками: якщо Y=0, то Х=18; якщо Х=0, то Y=6. Тобто бюджет споживача дозволяє придбати або 18 одиниць товару Х, або 6 одиниць товару Y. Позначаючи кількість товару Х на горизонтальній вісі, кількість товару Y - на вертикальній , побудую бюджетну лінію. ( мал. 1).

Обчислити параметри точки рівноваги. Числове значення кількості товарів X та Y, а також рівня корисності знаходимо, розв’язавши систему рівнянь, утворену рівняннями бюджетної лінії та функцією корисності. У відповідності до заданої функції U обчислити і побудувати криву корисності (байдужості) (U1) на графіку бюджетної лінії. Визначити параметри точки рівноваги і позначити її на графіку літерою Е*1.

Визначимо точку рівноваги споживача і побудуємо криву корисності , скориставшись такими рівняннями: Бюджетна лінія споживача описується рівнянням:

= Px*X +Py*Y

Функція корисності:

U = (X*Y)0.5=√(X*Y).

Розв’язуємо систему рівнянь:

 ;

 ;

= ;

;

 ax2+bx2 +c=0, де=  = ;=  =  = 6.

Дане рівняння має такий частковий вигляд:

 х2 + 6х + с = 0.

Так як точка рівноваги є точкою дотику (однією точкою), то квадратичне рівняння має лише один корінь (тобто дискримінант дорівнює 0):

= b2 - 4ac =  +  =  ;

U2 = ;=  X= =  = ;= ; I = 2 * U *;

Згідно даних рівнянь визначимо точку рівноваги споживача для часткового випадку:

= =

Споживач отримає максимум корисності, купуючи 9 одиниць товару Х і 3 одиниці товару Y (визначено точкою рівноваги споживача).

Визначивши параметри точки рівноваги, позначимо її на графіку 1 літерою Е*1. Побудуємо криву корисності на графіку 1 у відповідності до заданої функції U і позначимо її літерою U1. Для цього знайдемо значення функції U для часткового випадку, підставивши відповідні значення у рівняння:

= = ;

Підставляємо отримане значення до заданої функції корисності , яка має вигляд U = (XY)0.5=‪√(XY) або U2=X*Y, отримуємо значення 27 = XY.

Для побудови кривої байдужості у отримане рівняння, підставляємо умовні значення X та Y, які наведені у таблиці 1.1.

Таблиця 1.1 - Умовні значення X та Y, використані для побудови кривої корисності U1

Умовна кількість одиниць товару Y

1

2

3

4

5

6

Умовна кількість одиниць товару X

27

13,5

9

6,75

5,4

4,5


Табл.1.1 умовні значення X та Y, використані для побудови кривої корисності U1.

За даними варіанту ( на графіку 1) зобразити графічно зміну стану рівноваги споживача під впливом зміни його доходу, побудувавши нові бюджетну лінію (I2), криву корисності (U2) та точку рівноваги Е*2.

Розглянемо другий частковий випадок, де бюджет споживача дорівнює 15 (18 - 3) = 15 ум. од.

Для побудови нової бюджетної лінії I2, складемо рівняння, яке має загальний вигляд I = Px*X +Py*Y, частковий 15=Х + 3Y. Тобто новий бюджет споживача дозволяє придбати або 0.06 одиниці товару Х, або 5 одиниць товару Y. Зобразимо нову бюджетну лінію на графіку 1, позначивши її I2.

Для визначення нової точки рівноваги споживача, підставимо відповідні значення до рівнянь:


Отримуємо для часткового випадку 2:

=7.5; =2.5.

Споживач отримує максимум корисності, купуючи 7.5 одиниці товару Х і 2.5 одиниці товару Y ( визначено параметрами точки рівноваги для 2 часткового випадку).

За розрахованими параметрами, зобразимо точку рівноваги споживача для другого часткового випадку, на графіку 1, позначивши її літерою Е*2.

Для побудови нової кривої корисності у відповідності до заданої функції U знайдемо значення функції U для часткового випадку 2, підставивши відповідні значення у раніше розраховане рівняння:

= = ;

Підставляємо отримане значення до заданої функції корисності , яка має вигляд U = (XY)0.5=‪√(XY) або U2=X*Y, отримуємо значення 4,33 = XY.

Для побудови кривої байдужості U2 в отримане рівняння, підставляємо умовні значення X та Y, які наведені у таблиці 1.2.

Таблиця 1.2 - Умовні значення X та Y, використані для побудови кривої корисності U2

Умовна кількість одиниць товару X

4,33

2,88

2,17

1,44

1,08

0,96

Умовна кількість одиниць товару Y

1

1.5

2

3

4

4.5


Відобразивши дані умовні значення на графіку 1, побудуємо нову криву корисності, позначивши її U2.

На основі одержаних результатів побудувати:

а) криву «дохід споживання» (на графіку 1) і визначити який з двох товарів є більш якісним;

б) криві Енгеля для товарів Х та Y ( на графіку 2) і визначити характер цих товарів - вони є нормальними чи нижчими.

Для побудови кривої «дохід споживання» на графіку 1, позначені точки дотику бюджетних ліній з кривими корисності, тобто точки Е*1 та Е* 2, з’єднаємо між собою. Отримана крива і є кривою «дохід споживання» для заданого часткового випадку. Вона показує, яким чином змінюється споживання людини в міру зміни її доходу ( у даному випадку зменшення). У такому випадку, коли погіршується добробут людини, скорочується споживання одного із благ, умовно названого неякісним. Для нашого випадку товари Х та Y є однаково якісними.

Криві Енгеля характеризують залежність обсягу споживання товару від доходу споживача.

Позначаючи на горизонтальній вісі кількість товару Q, дохід споживача I - на вертикальній, побудуємо криві Енгеля для товару Х та Y на графіку 2.

В результаті побудови кривих Енгеля, бачимо, що і товар Х, і товар Y є нормальними, так як при збільшенні доходу споживача, попит на ці товари збільшується. Показати графічно реакцію споживача на зміну ціни товару Х згідно даних варіанту (змінюється лише ціна товару Х, а бюджет залишається початковим I1). Повторити (на графіку 3) бюджетну лінію (I1) та криву корисності (U1) з точкою рівноваги Е*1 та побудувати нові бюджетну лінію (I3), криву корисності (U3), позначивши нову точку рівноваги Е*3. Визначити і показати графічно величини ефекту, заміни, ефекту доходу та загального ефекту для товарів Х та Y.

Ціна товару Х змінюється при початковому бюджеті I1 = 18 від Рх до ∆Рх (∆Рх = +2), звідси: Рх3 = Px1 + ∆Рх = 1 + 2 = 3

Знайдемо кіл-ть товару X при зміні ціни на товар Х (кіл-ть товару Y залишається тією ж, так як змінюється ціна лише на товар Х):

Х3 = I1 / Px3 = 18 / 3 =6

Знайдемо координати т. рівноваги E*3:

х3 = 18/2*3=3, y3 = 18/2*3=3

Отже, E*3 (3; 3)

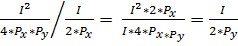
Визначаємо нову корисність (U3): U23 = I21 / 4*Px3*Py3

= 182 / 4*6*3 = 324/ 72 = 4,5,

для побудови кривої візьмемо деякі точки:

X

1

2

3

4

5

Y

4,5

2,25

1,5

1,125

0,9


Будуємо на гр. 3 I1, U1, E1 та нові I3, U3, E3.

На основі одержаних даних щодо зміни точок рівноваги споживача за зміни ціни товару Х побудувати :

А) криву «ціна-споживання» ( на графіку3)

Через т. E1*та т.E3*проводимо криву. Ця крива і буде кривою «ціна споживання для даного часткового випадку.

Б) на основі графіка «ціна-споживання» побудувати взаємозв’язаний з ним графік індивідуального попиту на товар Х ( на графіку4).

Для побудови графіку попиту на товар Х на горизонтальній вісі позначаємо кількість спожитого товару Х, а на вертикальній - ціну товару Х. Позначивши точки E1*та E3* на даному графіку, з’єднаємо їх та отримуємо графік індивідуального попиту для даного часткового випадку.

2. Явні та неявні витрати фірми ринку

Фірма працює на одному з чотирьох видів ринку. Обрати сферу діяльності фірми, тобто чим вона займається, що продає, вказати умови її функціонування і довести, що вибрана сфера діяльності відповідає заданому ринку (сфера діяльності не повинна повторюватися у групі студентів).

Перерахувати можливі складові явних витрат фірми, що характерні для даного виду ринку, наприклад у вигляді таблиці, що надається нижче. Розрахувати суму явних витрат, вказавши частку постійних і змінних витрат. Перерахувати неявні витрати для даної фірми.

Зіставити особливості фірми на двох видах ринку. У табличному вигляді визначити відмінності за різними ознаками та методи ціноутворення.

Підприємство «Придніпровська залізниця» здійснює управління процесом перевезень у внутрішньому сполученні свого регіону та регулює виробничо-господарську діяльність залізниці у сфері організації цього процесу, і є підрозділом підприємства - «Укрзалізниця». Підприємство є монополістом, так як в даному регіоні (Південь України) відсутні інші підприємства з надання аналогічних послуг з залізничних перевезень. Для даного ринку характерна нецінова конкуренція, абсолютний контроль за ціною, деякі обмеження щодо отримання інформації. Порівняно з монополістичною конкуренцією, до ринку монополії набагато складніше вступити (майже неможливо).

Таблиця 2.1 - Особливості функціонування підприємства «Придніпровська залізниця» на двох видах ринку: монополії та монополістичної конкуренції

Умови

Монополістична конкуренція

Монополія

Кількість і розмір фірм

Безліч дрібних фірм, які надають послуги залізних перевезень на Півдні України

Одна фірма «Придніпровська залізниця»

Характер продукції

Всілякі (диференційовані) послуги: одні фірми надають послуги вантажного перевезення, інші - пасажирського, або послуги з обслуговування рухомого складу.

Унікальні послуги, пов’язані з вантажним та пасажирським перевезеннями залізничним транспортом

Умови входу і виходу на ринок

Ніяких ускладнень, отримання дозволу відбувається на рівних, конкурентних правах.

Практично непереборні бар’єри, пов’язані с отриманням дозволу на експлуатацію залізничних шляхів регіону

Доступність інформації

Деякі обмеження

Деякі обмеження

Контроль за ціною

Існує незначний(в рамках послуг кожної фірми)

Контроль за ціною абсолютний: ціни встановлюються «Укрзалізницею» і розповсюджуються на всі її підрозділи.

Нецінова конкуренція

Дуже характерна: широко використовується реклама та інші маркетингові заходи

Присутня: реклама, фірмові знаки, логотипи.


Таблиця 2.2 - Витрати підприємства «Придніпровська залізниця»

Економічні витрати

 

Явні(бухгалтерські)витрати

Неявні витрати

 

Постійні витрати

Змінні витрати


 

1. Витрати на страхування - 1000000 2. Витрати на обслуговування позикових зобов’язань - 200000 3. Витрати на охорону - 150000 4Витрати на заробітну плату адміністративного персоналу - 100000 5. Амортизація основних засобів - 800000

1. Витрати на обслуговування шляхів - 500000 2. На заробітну плату працівників (обслуговуючий, допоміжний персонал, виробничий) 2 500 000 3.Витрати на електроенергію - 100000 4. Витрати на предмети праці - 1700000 6. Витрати на експлуатацію обладнання - 1000000

1. Заробітна плата власника, яку він міг би отримати, працюючи на іншому підприємстві 2. Доходи за розміщенням коштів в акціях 3. Можливі доходи при більш вигідних контрактах. 4. Можливі доходи від надання в оренду обладнання

 

Разом - 2250000 (28%)

Разом - 5800000 (72%)



3. Моделювання поведінки конкурентної фірми. Оптимізація обсягів виробництва фірми в умовах досконалої конкуренції

Припустимо, що конкурентна фірма нарощує обсяги виробництва від 0 до 10 одиниць продукції у короткостроковому періоді за певного рівня постійних та змінних витрат.

Обчислити витрати та економічні прибутки (збитки) фірми. Розрахунки надати у вигляді таблиці (див. табл. №3). Надати розрахунок цін Р2 та Р3.

Обчислимо витрати та економічні прибутки (збитки) фірми. Розрахунки надані нижче у таблиці 3. Знайдемо ціни P2 та P3:

= 35, ∆P2 = -20%, ∆P3 = +43%. Звідси знайдемо нові P2 та P3:= P1 * (1 - 0,2) = 35 * (1 - 0,2) = 28 грн.;= P1 * (1 + 0,43) = 35 * (1 + 0,43) = 50,05 грн.

споживач поведінка монополія конкуренція

Побудувати графіки:

сукупних витрат, сукупних виторгів та економічних прибутків (результатів) за кожної з конкретних цін (криві TС, VC, FC, TR1, TR2, TR3, EP1, EP2, EP3).

середніх та граничних витрат та виторгу за кожної ціни AVC, AFC, ATC, MC.

Визначити двома методами и позначити на графіках оптимальний обсяг виробництва для кожної заданої ціни.

Визначити коротко страхову криву пропонування фірми . Позначити точки рівноваги фірми за наступних цін

=min AVC, Py=min ATC, Pz> ATC

Визначити за графіком числове значення цін ,які будуть критичними для фірми. За якої ціною фірма буде готова припинити виробництво? За якою ціною фірма буде отримувати тільки нормальний прибуток?

Опишіть як впливуть на розтушування кривих витрат фірми наступні умови:

а) підвищення залізничних тарифів

б) зростання цін енергоносіїв ,які використовуються робітників

в)скорочення управлінського персоналу

г) звільнення частини робітників

. Будуємо:

графіки TC , VC, FC,TR1,TR2,TR3, EP1,EP2,EP3  графік №5)

Рис. 3.1

графіки AVC,AFC ,ATC, MC будуємо на окремому графіку (графік №6)

Рис. 3.2

3. Розглянемо метод MRMC:

на графіку №6 проведемо прямі Р1, Р2 и Р3 , точки перетину цих прямих з кривою MC на її зростанні й будуть визначати оптимальний об’єм виробництва для кожної ціни відповідно, тобто

Рис. 3.3

для Р1 оптимальний об’єм - 6 одиниць(точка Q1)

для Р2 - 5 одиниць(точка Q2 )

для Р3 - 8 одиниць.(точка Q3)

Розглянемо метод TRTC:

Якщо TR>TC,то фірма є надприбуткова і отримує дохід більше 0: загальний прибуток від товару за ціною Р3 є найбільшим, визначаємо кількість товарів відповідно до найбільшого прибутку, опустивши перпендикуляр на вісь Q, і дорівнює 8 шт.(рис.5). Продовживши цей перпендикуляр між TR3 і TC, знайдемо найбільший розрив між загальними витратами і виторгом.

Якщо TR<TC,то фірма є збиткова і несе тільки збитки: що стосується товару за ціною Р1, відповідно до прибутку, піднімаємо перпендикуляр на вісь Q, і дорівнює 6 шт.(рис.5). Продовживши цей перпендикуляр між TR1 і TC, знайдемо найменші збитки між загальними витратами і виторгом.

Аналогічно товару за ціною Р1, для товару за ціною Р2 визначаємо аналогічну різницю між витратами і виторг та кількість товару, що вироблятиметься = 0.

Розглянемо графік №6:

На другому графіку визначити короткострокову криву пропонування фірми. Позначити точки рівноваги фірми ( x,e,z,i ) за наступних цін:

= min AVC, Py = min ATC, Pz >ATC, ATC> Рі≥ AVC.

Рх = 28

Ру= 41= (41,4; 45,3; 48,7)= (28; 35; 48,7)

Після того, як ми відмітили точки x,e,z,i , дивимося на ціни:

Якщо ціна > min ATC, то фірма називається надприбуткова і отримує прибуток > 0.

= ( Pz - ATCz) * Qz= (41,4 -41,43 )*7=-0,21= (45,3-42,88)*8=27,09=(48,7-48,7)*10=0

Якщо ціна = minATC, то фірма називається прибуткова і отримує нормальний прибуток = 0.

= ( Py - ATCy) * Qy=(41-41)*6=0

Якщо ціна <minATC, то фірма називається збиткова і несе збитки.

Якщо ціна від min AVC до min ATC, то фірма називається гранична і несе збитки.

і= ( Pі - ATCі) * Qіі=(28 - 41)*6 = -78і=(35-45,33)*9= -92,97і=(37,5 - 48,7)*10= -112

Якщо ціна = minAVC - такий стан називається точкою закриття фірми.

В даному випадку точка і є точкою закриття фірми (ціна Р1).

Якщо ціна <minAVC, то фірма повинна закритися.

х = (Pх - ATCх) * Qх, EPх= (28-41)*6= -78

.А) підвищення залізничних тарифів

Вони відносяться до змінних витрат, тобто змінні витрати збільшуються =>збільшуються загальні витрати => збільшуються середні змінні витрати =>збільшуються середні загальні витрати =>збільшуються граничні витрати.

Б) зростання цін енергоносіїв, які використовуються у виробництві

Це належить до змінних витрат, тобто змінні витрати збільшуються =>збільшуються загальні витрати => збільшуються середні змінні витрати =>збільшуються середні загальні витрати =>збільшуються граничні витрати.

В) скорочення управлінського персоналу

Це належить до постійних витрат, тобто постійні витрати зменшуються =>зменшуються загальні витрати => зменшуються середні постійні витрати =>зменшуються середні загальні витрати =>зменшуються граничні витрати.

Г) звільнення частини робітників

Це належить до змінних витрат, тобто змінні витрати зменшуються =>зменшуються загальні витрати => зменшуються середні змінні витрати =>зменшуються середні загальні витрати =>зменшуються граничні витрати.

Д) зростання орендної плати за приміщення офісу фірми

Це належить до постійних витрат, тобто постійні витрати збільшуються =>збільшуються загальні витрати => збільшуються середні постійні витрати =>збільшуються середні загальні витрати =>збільшуються граничні витрати.

4. Галузеве пропонування в умовах досконалої конкуренції

Визначити та зазначити у таблиці:

Обсяги пропонування фірми у короткостроковому періоді за заданими ринковими цінами.

Будуємо на гр. 6 криві цін за даними таблиці №5. Знаходимо точки перетину P ∩ MC, де ціни вище перетину MC та AVC і MC має позитивний нахил. Проводимо перпендикуляри до осі Q (Q1 = 0; Q2 = 6; Q3 = 7; Q4 = 8; Q5 = 9; Q6 = 10). Знайдені дані заносимо до таблиці, що й будуть обсягами пропонування фірми - Sf.

Рис. 4.1

Величини прибутків (збитків), одержаних за кожної ринкової ціни.

Величина прибутків (збитків) визначається за ф-лою:

EPf = (P - ATC) * Q.

Якщо ЕРf > 0, то фірма отримує прибуток;

Якщо EPf < 0, то фірма отримує збитки.

Перші 4 обсяги будуть мати значення Q = 0, так як вони знаходяться нижче ATC, відповідно фірма виробляє 0 продукції і буде отримувати збиток у вигляді постійних витрат.

= EPq2 = EPq3 = EPq4: Q1-4 = 0 → EPq1-4 = -FC = -70.

Фірма 5 буде мати обсяг Q = 9; ATC = 10; P = 50, але буде отримувати збитки:

= (P5 - ATC) * Q5 = (50 - 42) * 9 =72 .= (P6 - ATC) * Q6 = (60 - 41) * 8 = 152.

Обсяги галузевого пропонування за умови, що в галузі функціонує 1000 фірм з ідентичними витратами.

Галузеве пропонування: Sc = Sf * 1000, так як в галузі 1000 фірм.

Розрахунки надані у таблиці №5.

Накреслити графік ринкового попиту і пропонування галузі.

Визначити рівноважну ціну та рівноважний обсяг випуску галузі. Який прибуток чи збиток буде отримувати одна фірма та галузь в цілому. Визначити динаміку галузі у довгостроковому періоді (галузь буде розширюватись чи скорочуватися). Накреслити на графіку пунктирною лінією галузеве пропонування у довгостроковому періоді за умови, що витрати фірм значно не змінюються. Визначити рівноважні обсяг і ціну, які встановить галузь у довгостроковому періоді та який прибуток буде отримувати кожна фірма та галузь в цілому.

Будуємо гр. 7, згідно даних галузевого пропонування та обсягу попиту на продукцію галузі (Sc та Dc):

Рис. 4.2

Знаходимо точку перетину Sc та Dc. Проводимо перпендикуляри до осі ціни та обсягу випуску. Таким чином, визначимо рівноважну ціну та рівноважний обсяг випуску:

Рівноважна ціна = 40 (гр. од.); рівноважний обсяг = 8000 (од).

= 4 шт.; Qc = 8000 шт.

Звідси знайдемо прибутки (збитки) фірми та галузі в цілому, в якій функціонує 1000 фірм:

= (140 - 181) * 6 = -246 ; EPc = (140 - 181) * 8000 = -328000 .

У короткостроковому періоді фірми отримують збитки й тому у довгостроковому будуть виходити з галузі. Пропонування зменшується, а ціна буде рости. Отже, галузь буде скорочуватися. Проводимо на графіку пунктирною лінією галузеве пропонування у довгостр. періоді при незначних витратах фірм. Аналогічно попередньому графіку, проводимо перпендикуляри і, таким чином, знаходимо рівноважні обсяг і ціну: P* = 50 ; Q*c = 9000 → q*f = 5. Знайдемо, який прибуток фірми та галузь будуть отримувати при нових пропонуванні та ціні: EP*c = EP*f = 0, так як P = min ATC. Знайдемо кіл-ть фірм, які залишаться в галузі після отриманих рез-тів: Кіл-ть фірм = Q*c / q*f = 9000 / 5 =1800.

Таблиця 4.1 - Обсяги попиту та пропонування галузі в умовах досконалої конкуренції

Ціна

Обсяги пропонування фірми

Прибуток (+), збиток (-) фірми

Галузеве пропонування

Обсяг попиту на продукцію галузі

P

Sf

EPf

Sc

Dc

25

0

-70

0

10000

30

6

-70

6000

9500

35

7

-70

7000

8500

40

8

-70

8000

8000

50

9

72

9000

7000

60

10

152

10000

6000


5. Моделювання поведінки монопольної фірми

На основі даних варіанту щодо попиту на продукцію монополії і виходячи з того, що витрати монопольної фірми ідентичні витратам конкурентної фірми, визначити величини сукупного та граничного виторгу, економічних прибутків фірми-монополіста.

Заповніть таблицю, добравши необхідні дані з першої таблиці про досконалу конкуренцію.

Знаходимо дані величини за формулами:

Сукупний виторг:

= P * Q;

Граничний виторг:

= ∆TR / ∆Q;

Значення граничних витрат, середніх та сукупних витрат (MC, ATC та TC) беремо з табл. 3 про досконалу конкуренцію.

Економічні прибутки:

= TRm - TC;

Цінова дискримінація:

→ 1TRd + 2Pm = 2TRd → 2TRd + 3Pm = 3TRd і т.д. EPd = TRd -TC.

Розрахунки надані у таблиці №5.1

Таблиця 5.1 - Вихідні дані 5-го практичного завдання

Обсяг попиту

Ціна

Сукупний виторг

Граничний виторг

Граничні витрати

Середні витрати

Сукупні витрати

Економічні прибутки

Цінова дискримінація

Dm

Dm=Pm

TRm

MRm

MC

ATC

TC

EPm

TRd

Epd

1

2

3

4

5

6

7

8

9

10

0

130

0

-3

-66

-

70

-70

0

-70

1

120

120

-120

36

106

106

14

120

14

2

110

-100

28

67

134

86

230

96

3

100

300

-80

22

52

156

144

330

174

4

90

360

-60

25

45,25

181

179

420

239

5

80

400

-40

29

42

210

190

500

290

6

70

420

-20

36

41

246

174

570

324

7

60

420

0

44

41,43

290

130

630

340

8

50

400

20

53

42,88

343

57

680

337

9

40

360

40

65

45,33

408

-48

720

312

10

30

300

60

79

48,7

487

-187

750

263


За даними визначити рівняння (функцію) попиту. Побудувати графіки попиту і сукупного виторгу монополії, позначити зони еластичності. За якого значення еластичності монополія максимізує сукупний виторг? Розрахувати коефіцієнт еластичності в точці максимуму TR для фірми.

Рис. 5.1

Використовуючи два метода аналізу, накреслити графіки TRTC та MRMC, позначити на останньому графіку точки оптимального для монополії обсягу випуску продукції (Qm), монопольної ціни (Pm).

Визначити рівень виробництва (Qd) і прибутків (EPd) за умови, що монопольна фірма здійснює досконалу цінову дискримінацію.

Пункти 2-4.

Визначимо рівняння (функцію) попиту: Q = a + b * P (Q беремо початкове та кінцеве = 0 та 10; P - при 0Q та 10Q = 130 та 30).

= a + b * 130 a = -130b; -100b = 10; a = -130 * (-0,1) =13 ;

= a + b * 30; 10 = -130b + 30b; b = 10 / -100 = -0,1;

Звідси: Q = 13 - 0,1P (рівняння попиту);

0,1P = 13 - Q → P = (13 - Q) / 0,1.

Розрахуємо коефіцієнт еластичності в точці максимуму TR для фірми:при MR = 0 → TRmax = P * Q = 8 * 80 = 640 → Ed =│-b *

= P * Q =  =  * Q = 130Q - 10Q2 ;= TR’ = (130Q - 10Q2)’ = 130 - 20Q;

- 20Q = 0 → 20Q = 130 → Q = 6,5;= (13 - Q) / 0,1 = (13 - 6,5) /0,1 = 65;=│-b * │=│0,1 * │= 1.

Монополія максимізує сукупний виторг при Ed = 1 ( TRmax = 6,5*65 =422,5 ).

Побудуємо графік сукупного виторгу (графік 8). Позначимо на ньому TRm, TC, EPm, TRd, EPd. Знайдемо max значення EPm та EPd: EPm = TRm - TC; EPd = TRd - TC.

Рис. 5.2

EPmmax = 190 при Q = 5 → Знаходимо найбільшу відстань між TRm та TC - з’єднуємо і отримуємо, що фірма буде отримувати прибуток, так як TRm>TC.= 270 при Q = 5 → Знаходимо найбільшу відстань між TRd та TC - маємо, що фірма отримує прибуток на цьому проміжку, так як TRd > TC.

За методом MRMC знаходимо точки оптимального для монополії обсягу випуску продукції (Qm), монопольної ціни (Pm).

На графіку 9 Qm i Pm знаходимо за даними коеф. еластичності, тобто Qm = 6,5 i Pm = 65.

Рис. 5.3

знаходимо через проведені пунктиром площі фігур, які утворилися згідно надлишкам виробників і споживачів.

Порівняти графічно і описати рівні випуску, рівноважні ціни і економічні прибутки в умовах чистої конкуренції, чистої монополії та монополії з досконалою ціновою дискримінацією.

Підприємства на ринку досконалої конкуренції максимізують прибуток при P =MC.

P = 100 Q = 3 EP = (100 - 22) * 3 = 234

При ціні P = min ATC= 41 Q = 6 EP = (70 - 41) * 6 = 174

(P * Q) → EP = 174)

Фірми встановлюють ціну, яка максимально задовольняє досконалу конкуренцію.

Фірма на ринку чистої монополії максимізує прибуток при MR = MC (EPmmax = 190).

= 80 Q = 5 EP = (80 - 29 ) * 5 = 255 255 > 190

Фірма-монополіст з ціновою дискримінацією максимізує прибуток при P = MC (P змінюється від 130 до т с). Неможливо знайти, який прибуток буде отримувати фірма, так як ціна змінюється від 130 до 30, але повинні мати на увазі, що цей прибуток повинен бути більшим, ніж 270→ EP > 270 (EPdmax = 270). Визначити і показати графічно величину суспільних втрат від монопольної влади (резерв потужності фірми). Зробити висновки відносно економічної ефективності системи, де панує монополія. Визначити величини надлишків споживачів та виробників в умовах чистої конкуренції, монополії з досконалою ціновою дискримінацією та чистої монополії. Знаходимо для досконалої конкуренції надлишок споживача (утворення найбільшого прямокутника):

= 5*27=135

Надлишок виробника (трапеція):

= 135 +(8,3*27)/2= 359

Для монополії змінюється: надлишок споживача зменшується і стає B (трикутник зменшується):

=(8,3*27)/2=112,05.

- надлишок споживача; SB - надлишок виробника.

За умовами монополії споживачі, купуючи товари за більшою ціною PА втрачають частину надлишку. І споживачі, які не можуть купити товари за такою великою ціною, а купували б за PВ, теж втрачають надлишок.

В той час виробник отримує прибуток S, реалізуючи товар за ціною PА, однак втрачає частину надлишку.

Вираховуючи втрати надлишку споживачів з прибутку виробника, отримуємо чисті збитки від монопольної влади .

За досконалої цінової дискримінації попит та граничний виторг співпадають. За єдиної ціни монополіст погіршує ситуацію: частина сукупного надлишку споживачів перетворюється на монопольний продукт (частина стає безповоротно втраченою частиною і лише мала частина надлишку споживача).

6. Загальний погляд на ефективність ринку з конкуренцією

Конкуренція (від лат. "concurrientia" - стикатися) означає суперництво між суб'єктами ринкового господарства за найбільш вигідні умови виробництва, продажу і купівлі товарів. Такий вид економічних відносин функціонує тоді, коли виробники товарів виступають як самостійні і ні від кого не залежні суб'єкти господарської системи. У такому самому становищі повинні бути і покупці товарів.

Конкурентна боротьба за економічне процвітання і виживання є економічним законом ринкового господарства.

Продавці хочуть продати свої товари найдорожче, але конкуренція змушує їх збувати продукцію дешевше, щоб стимулювати попит покупців. У боротьбі між продавцями (прагнуть продати найдорожче) і покупцями (прагнуть купити дешевше) виграють ті, хто більш згуртований і має можливість нав'язати свою (вигідну для них) ціну. В умовах "вільної" конкуренції на ринку всі рівні, як продавці, і всі рівні, як покупці, але перемагає той, хто при тій самій якості товару має менші витрати виробництва або при тих самих витратах виробляє продукцію вищої якості.

Конкуренція - категорія товарно-ринкової економіки. Її зародження і виникнення історично належать до простого товарного виробництва. У процесі конкуренції кожний дрібний виробник намагається створити для себе найбільш вигідні умови виробництва і збуту товарів. Особливого розвитку конкуренція набула з переходом до великого товарного виробництва. У ХХ і на початку ХХІ ст. конкуренція в усіх країнах свідомо використовується як одна з рушійних сил економічного і соціального прогресу.

Позитивна економічна роль конкуренції проявляється в ряді функцій, які вона виконує.

По-перше, як показує історичний досвід, конкуренція, пронизуючи всі зв'язки виробництва і споживання, є єдино можливим засобом досягнення збалансованості між попитом і пропозицією, а в кінцевому підсумку - між суспільними потребами і виробництвом.

По-друге, конкуренція виконує функцію спілкування і погодження інтересів виробників. В умовах розвинутого поділу праці інтерес кожного пов'язаний і взаємодіє з інтересами інших товаровиробників. Виконуючи цю функцію, конкуренція через ринковий механізм підпорядковує індивідуальні прагнення суб'єктів господарювання суспільним інтересам.

Третя функція конкуренції - змушувати товаровиробників знижувати індивідуальні виробничі витрати. Зменшення витрат вимагає від підприємців постійно працювати над удосконаленням технічної бази виробництва, шукати шляхи економії сировини, матеріалів, устаткування і робочого часу, а також підвищення продуктивності праці.

Четверта важлива функція конкуренції - це стимулювання підвищення якості продукції та послуг. Ця функція набуває особливого значення в умовах науково-технічної революції, яка надає кожному виробникові можливості вдосконалювати споживні вартості, широко орієнтуватися на задоволення найрізноманітніших потреб покупців, усього суспільства. Конкуренція спонукає виробників неухильно запроваджувати у виробництво все нові й нові види продукції, а також виробляти один і той самий продукт найрізноманітніших модифікацій.

Нарешті, історично найважливіша функція конкуренції - формування ринкової ціни. Це така ціна, яка врівноважує в собі не тільки попит і пропозицію, але й ціни попиту і пропозиції. За допомогою ринкової ціни конкуренція забезпечує збалансоване співвідношення між суспільними потребами і суспільним виробництвом.

Виконуючи ці функції, конкуренція забезпечує зростання економічної ефективності виробництва, підвищення його технічного рівня, удосконалення якості та структури суспільного продукту.

Пронизуючи всю систему виробництва й споживання товарів і послуг, конкуренція здійснюється в багатьох формах, які з розвитком суспільства стають дедалі різноманітнішими. Історично найстарішими формами конкуренції є внутрігалузева і міжгалузева.

Внутрішньогалузева - це конкуренція між виробниками певної галузі. Об'єктами такої конкуренції є умови виробництва, ринки збуту, "портфелі" замовлень, затрати виробництва, якість продукції та послуг. Вона зумовлює зростання ефективності всієї галузі, кількісних і якісних показників, її подальший розвиток.

Міжгалузева конкуренція здійснюється між виробниками (підприємствами, підприємцями) даної галузі й виробниками інших галузей. Об'єктом такої конкуренції є більш висока норма прибутку (рентабельності) в тій чи іншій галузі, отже, і боротьба за вигідніше вкладення капіталу. Ця конкуренція сприяє міжгалузевому переливанню капіталів і переміщенню ресурсів до більш ефективних галузей і сфер виробництва. Швидке переміщення капіталу і ресурсів з однієї галузі до іншої дає суспільству можливість найбільш раціонально використовувати засоби виробництва і робочу силу.

Міжнародна конкуренція являє собою конкуренцію виробників на світовому ринку і включає в себе як внутрігалузеву, так і міжгалузеву форми конкуренції. На світовому ринку домінуюча роль належить компаніям найбільш розвинутих країн. Міжнародна конкуренція сприяє зниженню інтернаціональних затрат, збалансованому розвитку світового ринку, переливанню капіталу не тільки між галузями виробництва, але й між державами світової співдружності.

У сучасній економічній науці розглядаються дві основні форми конкуренції: чиста або "досконала" та обмежена або "недосконала".

Досконала або чиста конкуренція - це така модель ринку, при якій вплив кожного учасника економічного процесу на загальну ситуацію настільки малий, що ним можна знехтувати.

"Недосконала" (обмежена) конкуренція репрезентується двома основними формами: монополістичною конкуренцією та олігополією. Об'єднує їх те, що на відміну від чистої конкуренції, вони дають змогу окремій фірмі впливати на ринок, використовуючи для цього ряд важелів і, насамперед, важіль ціни.

Монополістична конкуренція - це конкуренція, яка виникає між монополіями. Монополістична конкуренція у трактуванні сучасної зарубіжної економічної теорії - це така модель ринку, для якої властивою є відносно велика, але значно менша, ніж за умов чистої конкуренції, кількість підприємств, що випускають диференційовану продукцію. Це дає змогу порівняно легко проникати в галузь, але вимагає від фірми значних зусиль для реклами та використання торговельної марки.

Олігополія (від гр. "oligos" - незначний; "poleo" - продаю) є конкуренція, при якій декілька великих фірм монополізують виробництво і збут основної маси продукції і ведуть між собою переважно нецінову конкуренцію.

Універсальним механізмом порівняння ефективності різних економічних агентів та заохочення тих, хто працює краще, є конкуренція. Конкуренція сприяє підвищенню ефективності розподілу ресурсів (алокативній ефективності), ефективності використання ресурсів (Х-ефективності) та ефективності створення нових ресурсів (динамічної ефективності).

Оптимуми різних типів ефективності забезпечуються різними типами конкуренції. Так оптимум алокативної ефективності досягається за умов, максимально наближених до досконалої конкуренції. Найбільш сприятливими для динамічної ефективності є ринки зі структурними ознаками розпливчастої олігополії, де ринкова частка чотирьох найбільших продавців складає приблизно 50-55%. Оптимум Х-ефективності забезпечується за умов слабкорозпливчастої олігополії, де ринкова частка чотирьох найбільших продавців складає приблизно 40%. Завданням конкурентної політики є сприяння саме тій моделі конкуренції, що в конкретних умовах забезпечує найбільш вагомий ефект. При цьому вибір певного типу конкурентної політики повинен визначатися насамперед стадією життєвого циклу техніко-економічної парадигми, в якій знаходиться економіка суспільства та її найважливіші сектори.

Отже, конкуренція - двигун економічного прогресу. Лауреат Нобелівської премії Ф.фон Хайєк говорив, що суспільство, яке покладається на конкуренцію, більш успішно, ніж інші, досягає цілей і що саме конкуренція показує, як можна ефективніше виробляти речі. У цьому, без сумніву, позитивна роль конкуренції у суспільному розвитку.

Здобувши державну незалежність, Україна розв’язує важливі завдання - формування культурного, політичного, наукового життя. Але надзвичайно важливе завдання є створення економіки, спроможної забезпечити гідне життя народові. Тому Україна здійснює перехід до ринкової економіки. В процесі цього переходу відбуваються глибокі зміни в різних сферах економічного життя. Однією з найвагоміших змін є те, що конкуренцію в роки незалежності почали розглядати, як важливий інструмент мікроекономічного аналізу. Більшість українських підприємств відчувають конкурентний тиск, який сприяє підвищенню продуктивності праці та якості продукції. Водночас чимало ринків монополізовано внаслідок високого рівня концентрації або інституційних обмежень, на інших не створено рівні умови для всіх суб’єктів господарювання. При цьому головним чинником нерівних умов конкуренції є дії державних органів, які надають одним підприємствам субсидії або привілеї, одночасно створюючи іншим бар’єри для вступу на ринки. На конкурентне середовище негативно впливає також надмірна ускладненість дозвільних процедур, високий рівень плати за адміністративні послуги. Існуючі перешкоди на шляху розвитку конкурентних відносин, на наш погляд, є найважливішим чинником, що обумовлює низький рівень ефективності української економіки.

Отже, конкуренція має свої позитиви і негативи. До плюсів можна віднести те, що конкуренція - є двигуном економічного прогресу, є знаряддям інноваційного прогресу, знижує витрати на одиницю продукції, підбирає життєздатні фірми. До мінусів можна віднести те, що конкуренція - призводить до економічних криз виробництва, розорення і безробіття, призводить до хижацького використання ресурсів, інколи переростає у недобросовісну конкуренцію.

Висновок

Виконання курсової роботи дозволило краще ознайомитись з мікроекономікою не тільки, як предметом , а й наукою яка розкриває основні закономірності функціонування ринкової економіки на рівні товаровиробника та споживача і показує механізм прийняття рішень господарюючими суб'єктами, які прагнуть досягти максимального задоволення потреб в умовах використання обмежених ресурсів. Дослідивши поведінку споживача , на основі двопродуктової модель, я навчилася досліджувати зміну стану рівноваги споживача під впливом зміни його доходу, визначати який з товарів є більш якісним. Створивши власну фірму навчилася розмежувати її витрати на явні та неявні. Змоделювавши поведінку:

конкурентної фірми - навчилася визначати оптимальні обсяги виробництва. попиту і сукупного виторгу монополії, позначити зони еластичності.

монопольної фірми - визначати зони еластичності та знаходити значення еластичності де монополія максимізує сукупний виторг.

Робота з теоретичною частиною значно покращила мої знання з питань ефективності ринку з конкуренцією.

Список використаних джерел

1. Методичні вказівки для виконання курсової роботи 2012

. Нурєєв Р. М., «Курс Мікроекономіки»,Посібник для ВУЗів, М., Норма - ІНФРА - 2010.

. Мікроекономіка. Коробова: збірник задач.-К:КНЕУ- 2009.

Похожие работы на - Загальний погляд на ефективність ринку з конкуренцією

 

Не нашли материал для своей работы?
Поможем написать уникальную работу
Без плагиата!
Без нейросетей!