Построение прогнозного значения уровня инфляции

  • Вид работы:
    Контрольная работа
  • Предмет:
    Менеджмент
  • Язык:
    Русский
    ,
    Формат файла:
    MS Word
    848,98 Кб
  • Опубликовано:
    2013-12-06
Вы можете узнать стоимость помощи в написании студенческой работы.
Помощь в написании работы, которую точно примут!

Построение прогнозного значения уровня инфляции

Задание 1

. Провести группировку единиц наблюдения статистической совокупности по факторному признаку, образовав пять групп с равными интервалами. Построить аналитическую таблицу. Построить гистограмму и круговую диаграмму. Сделать выводы.

Заносим табличные данные в Excel.


. Строим точечный график

Первичные данные выборочной совокупности могут содержать аномальные значения изучаемых признаков. Выявим их и исключим из дальнейшего рассмотрения с целью обеспечения устойчивости данных статистического анализа.


Из данного графика мы видим, что в данной выборке нет аномальных единиц.

. Проведем сортировку данных предприятий по цене товара в порядке возрастания ( используя в MS Excel функцию сортировка).

. Определим величину интервала, а также нижнюю и верхнюю границы каждой группы предприятий по цене товара, образовав 5 групп с равными интервалами:

i= (Xmax-Xmin)/N=(30-20)/5=2


Определив нижнюю и верхнюю границы, выделяем по ранжированной таблице предприятия попавшие в каждую группу по цене товара различными цветами и определяем их число:


.Строим аналитическую таблицу


Вывод: Аналитическая таблица показывает взаимосвязь этих пременных. Следовательно с увеличением цены товара, объем продаж уменьшается. Средняя цена за 1 кг. товара по совокупности предложенных предприятий равна 23,73 руб., а объем продаж составляет 10 т.

6.Строим гистограмму и круговую диаграмму


Вывод: самое большое число предприятий находится в интервалах от 24-26руб/кг.(это 12 предприятий, доля которых составляет 40%), а самая малочисленная группа предприятий имеет от 28-30руб/кг., что составляет 7% от общего числа предприятий.

. По данным первоначальной и аналитической таблицы по факторной и результативной переменными расчетным путем и с использованием статистических функций в Excel (в качестве проверки правильности расчета) определим: средние значения моду и медиану.

Расчетным путем.

Мода.


Вывод: Для рассматриваемой совокупности предприятий наиболее распространенная цена за 1 кг. характеризуется средней величиной 24,5 руб.

Медиана.




Вывод:

У одной половины предприятий цена за 1 кг. товара составила до 24,32 руб., а у другой половины свыше 24,32 руб.

С использованием статистических функций в Excel мода и медиана по факторной переменной (цене за 1 кг.) равны 24, а по результативной переменной (объем продаж) мода = 11,а медиана = 10.


Вывод: Средняя величина Моды и Медианы приблизительно равны, соответственно можно сделать вывод, что распределение предприятий на группы по цене товара соответствует нормальному закону распределения.

Теперь рассчитаем показатели вариации:

Для расчета этих характеристик формируем вспомогательные таблицы:

Рассчитываем при помощи Excel среднее для Х и Y:


Рассчитаем

Xi - Xср., IXi - Xср.I,

1. Найдем ср.лин.отклонение :



Вывод: Средняя цена за 1 кг. товара равная 23,73 руб. отличается в среднем от фактической цены каждого предприятия на 1,84руб. Средний объем продаж равный 10т., отличается от фактического объёма продаж каждого предприятия на 2 т.

Рассчитаем столбец (Хi-Хср)^2


2. Найдем дисперсию

Дисперсия =

По дисперсии вывода нет, она экономической интерпритации не подлежит.

3.       Найдем ср. квадратическое отклонение:

Вычтем корень из дисперсии:


Вывод:

Имеет тот же экономический смысл, что и найденное ср.лин. отклонение. Средняя цена за 1 кг. товара равная 23,73 руб. отличается в среднем от фактической цены каждого предприятия на 2,37 руб. Средний объем продаж равный 10т., отличается от фактического объёма продаж каждого предприятия на 2,5т.

4.  Рассчитаем коэффициент вариации:

 

Вывод: Отобранная совокупность предприятий по цене товара является качественно однородной и средний показатель является надежной величиной.(24%). Отобранная совокупность предприятий по объему продаж товара является качественно однородной и средний показатель является надежной величиной.(25%). Таким образом сопоставляя ср.лин.отклонение со ср.квадратич.мы делаем вывод об устойчивости.


Коэффициент устойчивости по х= 0,78, это значит, что сформированные данные являются устойчивыми, т.е. в них отсутствуют аномальные единицы. Коэффициент устойчивости по у=0,80, это значит, что сформированные данные являются устойчивыми, т.е. в них отсутствуют аномальные единицы.


Задание 2

1.       Установить наличие и направление связи между факторной и результативной переменными.



Отсюда мы видим, что связь обратная (отрицательная).

2.  Дадим количественную оценку тесноте связи между исследуемыми переменными на основе расчета линейного коэффициента корреляции расчетным путем (в форме расчетной таблицы):




,

Теперь посчитаем в Excel:


Вывод: связь между ценой товара и объемом продаж тесная.

3.       Построить уравнение регрессии и показать его на графике. Обосновать параметры уравнения. Определить теоретические значения результативной переменной. Рассчитать коэффициент эластичности. Все расчеты представить в виде расчетной таблицы. Проверить полученные расчеты в автоматическом режиме с использованием статистических функций в Excel. Сделать выводы.

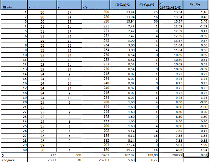
Рассчитаем:

Уравнение регрессии имеет вид: Yт =a0+a1*xi

а1=((Xi*Yi)ср.- Xср*Yср.)/дx^2=-5,27/5,6=-0,9411

а0=Yср.-а1*Xср.=10-(-0,9411)*23,73=32,332

Теперь в Excel:


Уравнение регрессии: у = - 0,9472х+32,48

Формируем расчетный столбец у = - 0,9472х+32,48 и Yi - Yт


Вывод:

При увеличении цены товара на 1р. объем продаж в среднем будет уменьшаться на 0,9472 т.

Рассчитаем коэф. Эластичности:


Вывод: при увеличении цены товара на 1 % , объем продаж будет уменьшатся на 2,25%.

4. Провести дисперсионный анализ на основе расчета общей, факторной и остаточной дисперсий (расчеты показать в виде данных расчетной таблицы). На основе правила сложения дисперсий определить эмпирический коэффициент детерминации и эмпирическое корреляционное отношение. Оценить выведенное уравнение регрессии на статистическую значимость. Сделать соответствующие выводы.

Строим расчетную таблицу по определению трех дисперсий:


Добщ= ∑(Уi факт - Yсред)^2/n=6,27

Дфакт =∑(Уi теор - Yсред)^2/n=5,02

Дост = ∑(Уi факт - Уi теор )^2/n=1,25

Добщ.=Дфакт.+Дост.

Подставим то, что получилось: 5,02+1,25=6,27. Верно!

Проверим выведенное уравнение регрессии на статистическую значимость.

Дфакт > Дост

Вывод: полученное уравнение регрессии статистически значимо.

Найдем эмпирический коэффициент детерминации :

R²= Дфакт/ Добщ

R²= 5,02/6,27=0,801

В Excel:


<0,801<1

Вывод: На 80% изменение объема продаж зависит от влияния цены товара и на 20% от других факторов.

Теперь извлечем корень из эмп.коэф.детерм. R² и получим эмпирическое корреляционное отношение R:

R=√ R²=√0,801=0,895

Вывод: Связь между ценой товара и объемом продаж тесная.

R=r (коэфф.кореляции)

Между ценой товара и объемом продаж существует линейная зависимость. И между ними существует линейная закономерная связь.

Задание 3

По результатам выполнения задания 1 с вероятностью 0,683 определите:

)        ошибку выборки средней цены реализации товара и границы, в которых она будет находиться для генеральной совокупности торговых организаций;

Рассчитаем ошибку выборки для ( t=1, при р=0,683, при 5%выборке)

µ

Определим границы:

,

,73-0,421≤≤23,73+0,421

,309≤≤24,151

Теперь в Excel:


Вывод: На основании проведенного выборочного обследования с вероятностью 0,683 можно утверждать, что средняя цена реализации товара находиться в пределах от 23,31 до 24,15 руб.

2) ошибку выборки доли предприятий с уровнем цен реализации 26 и более руб. и границы, в которых будет находиться генеральная доля.

Доля единиц выборочной совокупности, обладающих тем или иным заданным свойством, выражается формулой:

,

Для собственно-случайной и механической выборки с бесповторным способом отбора предельная ошибка выборки  доли единиц, обладающих заданным свойством, рассчитывается по формуле

,

Предельная ошибка выборки  определяет границы, в пределах которых будет находиться генеральная доля р единиц, обладающих заданным свойством:

 

По условию задания исследуемым свойством является равенство или превышение уровня цен реализации 26руб.

Число предприятий с заданным свойством определяется из таблицы.

,104  0,236

или

10%  23%


Вывод: Таким образом, с вероятностью 0,683 можно утверждать, что доля предприятий с уровнем цен реализации 26 и более руб. в генеральной совокупности находится в пределах от 10% до 23%.

Задание 4

По материалам государственной статистики построить за последние пять лет ряд динамики, характеризующий изменение уровня инфляции на любом территориальном уровне. Ряд динамики представить в табличной и графической (в виде линейной диаграммы) форме.

Уровень Инфляции в России, %

Источник: данные Росстата.

В табличной форме:


Представим данные в графической (в виде линейной диаграммы) форме:


На основе построенного ряда динамики определить:

.Показатели анализа ряда динамики (абсолютный прирост, темп роста, темп прироста, абсолютное содержание 1% прироста, средний уровень ряда, средний абсолютный прирост, средние темпы роста и прироста).


Вывод: Таким образом, величины абсолютного прироста свидетельствуют, что уровень инфляции по сравнению с 2009г.уменьшался, однако сравнительная оценка показателей цепного прироста выявила тенденцию увеличения уровня инфляции в 2013 г.

Таким образом цепные темпы роста показывают снижение уровня инфляции до 2013г. В 2013 г. по сравнению с 2012г. произошло увеличение на 4,1%. Получаем, что с 2009г. по 2013г. наблюдалось снижение уровня инфляции, однако в 2013 г. она вновь повысилась по сравнению с предыдущим годом.


Вывод: Таким образом уровень инфляции ежегодно уменьшался на 7 %.

2. Построить уравнение тренда, определив теоретические значения уровня ряда динамики за каждый период, обосновать параметры уравнения тренда, определить точечный прогноз по исследуемому показателю.

Уравнение имеет вид:


Строим вспомогательную таблицу:


Для определения параметров надо решить систему уравнений:

n*+*∑t=∑y;

*∑t+*=∑yt.

Подставляем известные значения:

+15=36,

+55=100,39

умножим первое уравнение на 3

+45=108,

+55=100,39

-55=108-100,39

=7.61

=-0,761

+15*(-0,761)=36

-11,415=36

=47,415

=9,483

Подставим значение параметров и получим уравнение тренда:

=-0.761t+9,483

Подставим в полученное уравнение тренда значения t, рассчитаем теоритическое значение .


В Excel я получила точно такое же уравнение тренда, что и расчетным путем:

инфляция статистический факторный

Прогнозное значение уровня инфляции на 2014г.:

=-0.761*6+9,483

Вывод: Таким образом с 2009 г. по 2013 г. наблюдалось уменьшение уровня инфляции. В среднем ежегодный прирост составляет - 0,761%.

При сохранении данной тенденции уровень инфляции в 2014 г. составит 4,917%.


Не нашли материал для своей работы?
Поможем написать уникальную работу
Без плагиата!
Без нейросетей!