Построение классической линейной модели множественной регрессии

  • Вид работы:
    Практическое задание
  • Предмет:
    Менеджмент
  • Язык:
    Русский
    ,
    Формат файла:
    MS Word
    329,86 Кб
  • Опубликовано:
    2014-01-15
Вы можете узнать стоимость помощи в написании студенческой работы.
Помощь в написании работы, которую точно примут!

Построение классической линейной модели множественной регрессии

Министерство образования и науки Российской Федерации

ГОСУДАРСТВЕННОЕ ОБРАЗОВАТЕЛЬНОЕ УЧРЕЖДЕНИЕ

ВЫСШЕГО ПРОФЕССИОНАЛЬНОГО ОБРАЗОВАНИЯ

"ОРЕНБУРГСКИЙ ГОСУДАРСТВЕННЫЙ УНИВЕРСИТЕТ"

Факультет экономики и управления

Кафедра математических методов и моделей в экономике

ОТЧЕТ

по лабораторной работе № 1

по курсу "Эконометрика (продвинутый курс) ”

Построение классической линейной модели множественной регрессии

Лист задания

 

Исходные данные: - Выборочные данные по 53 предприятиям машиностроения, характеризующимся показателями производственно-хозяйственной деятельности

Задание: исследовать влияние основных социально-экономических показателей на результативный признак.

.        Построить и исследовать классическую линейную модель множественной регрессии

.1.      Оценить коэффициенты модели регрессии методом наименьших квадратов

1.2.    Исследовать характер распределения регрессионных остатков

.3.      Проверить гипотезу об адекватности модели выборочным данным (о значимости модели регрессии)

.4.      Проверить гипотезу о значимости отдельных коэффициентов регрессии

.5.      Оценить качество построенной модели

.6.      Построить доверительные интервалы для коэффициентов регрессии

.7.      Дать содержательную интерпретацию полученным результатам

2.       Исследовать линейную модель множественной регрессии на наличие мультиколлинеарность

.1.      Проверить внешние признаки мультиколлинеарности

2.2.    Проверить формальные признаки мультиколлинеарности

.3.      Устранить мультиколлинеарность методом пошаговой регрессии (с исключением переменных)

3.       Исследовать линейную модель множественной регрессии на наличие/отсутствие гетероскедастичности в регрессионных остатках

.1.      Проверить внешние признаки гетероскедастичности: провести графический анализ поведения регрессионных остатков

3.2.    Применить статистические критерии для выявления гетероскедастичности: тест ранговой корреляции Спирмена, тест Голдфелда-Квандта

4.       Исследовать линейную модель множественной регрессии на наличие/отсутствие автокорреляции регрессионных остатков

.1.      Проверить внешние признаки автокорреляции: провести графический анализ поведения регрессионных остатков

4.2.    Применить критерий Дарбина-Уотсона для выявления автокорреляции первого порядка

Содержание

Введение

1. Построение и исследование классической линейной модели множественной регрессии

1.2 Исследование характера распределения регрессионных остатков

1.3 Проверка гипотезы об адекватности модели выборочным данным (о значимости модели регрессии)

1.4 Проверка гипотезы о значимости отдельных коэффициентов регрессии

1.5 Оценка качества построенной модели

1.6 Построение доверительных интервалов для коэффициентов регрессии

2. Исследование линейной модели множественной регрессии на наличие мультиколлинеарность

2.1 Проверка внешних признаков мультиколлинеарности

2.2 Проверка формальных признаков мультиколлинеарности

2.3 Устранение мультиколлинеарности методом пошаговой регрессии (с исключением переменных)

3. Исследование линейной модели множественной регрессии на наличие/отсутсвие гетероскедастичности в регрессионных остатках

3.1 Проверка внешних признаков гетероскедастичности: проведение графического анализа поведения регрессионных остатков

3.2 Применение статистического критерия для выявления гетероскедастичности: тест ранговой корреляции Спирмена, тест Голдфелда-Квандта

4. Исследование линейной модели множественной регрессии на наличие/отсутсвие автокорреляции регрессионных остатков

4.1 Проверка внешних признаков автокорреляции: проведение графического анализа поведения регрессионных остатков

4.2 Применить критерий Дарбина-Уотсона для выявления автокорреляции первого порядка

Заключение

Приложения

Введение

Актуальность исследования: Рентабельность является одним из основных критериев оценки эффективности работы предприятия; рост рентабельности способствует повышению финансовой устойчивости предприятия; для предпринимателей показатель рентабельности характеризует привлекательность бизнеса в данной сфере.

Показатели рентабельности более полно характеризуют окончательные результаты хозяйствования, потому что их величина отражает соотношение эффекта с вложенным капиталом или потребленными ресурсами. Их используют и как инструмент в инвестиционной политике и ценообразовании.

Цель: исследовать влияния основных факторов на рентабельность

Предмет исследования: деятельность предприятий машиностроения, характеризующаяся набором показателей:

Y - рентабельность, млн. руб.

X1 - удельный вес рабочих в составе ППП, тыс. чел.

X2 - удельный вес покупных изделий, млн. руб.

X3 - фондоотдача, млн. руб.

X4 - оборачиваемость нормируемых оборотных средств, дней

X5 - непроизводственные расходы, млн. руб.

Объекты исследования: 53 предприятия машиностроения

Задачи исследования:

1.       Построить и исследовать классическую линейную модель множественной регрессии

2.       Исследовать линейную модель множественной регрессии на наличие мультиколлинеарность

.        Исследовать линейную модель множественной регрессии на наличие/отсутствие гетероскедастичности в регрессионных остатках.

линейная модель множественная регрессия

4.       Исследовать линейную модель множественной регрессии на наличие/отсутствие автокорреляции регрессионных остатков

1. Построение и исследование классической линейной модели множественной регрессии


Будем предполагать линейную зависимость между результативным признаком и основными факторами

= Xβ + ε,

где Y - вектор результативного признака;- матрица факторных признаков;

β - вектор неизвестных коэффициентов;

ε - вектор регрессионных остатков.

Будем предполагать, что данная модель удовлетворяет всем условиям Гаусса-Маркова, следовательно, является КЛММР.

Для оценки коэффициентов КЛММР воспользуемся методом наименьших квадратов.

 

.1 Оценка коэффициентов модели регрессии методом наименьших квадратов

 

Пусть оценка модели регрессии имеет вид:

ŷ = b 0 + b1 x1 + b2 x2 + b3 x3 + b4 x4 + b5 x5,

где ŷ - зависимая (объясняемая переменная);

b0 - свободный коэффициент;

b1, b2, b3, b4, b5 - параметры модели (коэффициенты регрессии);

x1, x2, x3, x4, x5 - независимые (объясняющие) переменные.

Регрессионный анализ будем поводить при помощи ППП Excel. Результаты оценки уравнения представлены в "Приложение 2" таблица 1.

Оценка модели регрессии будет иметь вид:

ŷ = 24,775 - 11,472 x1 - 14,84 x2 + 8,235 x3 - 0,021 x4 - 0,429 x5

На основании полученных значений коэффициентов регрессии можно сделать вывод, что:

при увеличении удельного веса рабочих в составе ППП на 1 тыс. чел.

рентабельность предприятия уменьшится в среднем на 11,472 млн. руб.;

при увеличении удельного веса покупных изделий на 1 млн. руб. рентабельность предприятия уменьшится в среднем на 14,84 млн. руб.;

при увеличении фондоотдачи на 1 млн. руб. рентабельность предприятия увеличится в среднем на 8,235 млн. руб.;

при увеличении оборачиваемости нормируемых оборотных средств на 1день рентабельность предприятия уменьшится в среднем на 0,021 млн. руб.;

при увеличении непроизводственных расходов на млн. руб. рентабельность предприятия уменьшится в среднем на 0,429 млн. руб.

На основании сделанных выводов можно сказать, что все полученные значения коэффициентов не противоречат экономическому смыслу показателей.

 

.2 Исследование характера распределения регрессионных остатков


Дальнейшее исследование модели будем проводить при предположении о нормальном характере распределения регрессионных остатков. Регрессионные остатки представлены в "Приложение 2" таблица 2.

На рисунке 1 видно, что остатки имеют нормальный закон распределения.

Рисунок 1 - Распределение регрессионных остатков

На основании рисунка 1 можно сделать вывод о том, что форма зависимости между результативным признаком и основными факторами выбрана правильно, т.к. регрессионные остатки имеют нормальный закон распределения.

 

.3 Проверка гипотезы об адекватности модели выборочным данным (о значимости модели регрессии)


Так как показатели регрессии, корреляции и детерминации могут быть искажены действием случайных факторов. Чтобы проверить, насколько эти показатели характерны для всей совокупности, не являются ли они результатом стечения случайных обстоятельств, необходимо проверить адекватность построенной модели.

Для проверки значимости модели регрессии используется F-критерий Фишера. Он определяется по формуле:


Выдвигаем следующие гипотезы

Н0: b1 = b2 = b3 = b4 = b5 = 0 (модель не адекватна выборочным данным)

H1: bj ≠ 0 (модель адекватна выборочным данным)

При помощи Excel проводим дисперсионный анализ результаты представлены в "Приложение 2" таблица 3 и находим Fкр.

Fн =5,19 Fкр (0,05; 5; 47) = 2,41

Fн > Fкр следовательно гипотеза Н0 отклоняется - это означает, что модель адекватна выборочным данным.

 

.4 Проверка гипотезы о значимости отдельных коэффициентов регрессии


Проверка значимости отдельных коэффициентов регрессии проводится по t-критерию Стъюдента путем проверки гипотезы о равенстве нулю каждого коэффициента регрессии.

Формулы для определения t - критерия Стъюдента:

                   |bj |= - -------; j = 1, 2,…k,

                   Sbj

где Sbj - стандартная ошибка коэффициента bj, которая показывает с какой погрешностью найден данный коэффициент.

Выдвигаем гипотезу, что:

Н0: βj = 0 (коэффициент βj незначимо отличен от 0);

H1: βj ≠ 0 (коэффициент βj значимо отличен от 0).

Сравнивая tн и tкр делаем выводы о значимости коэффициентов. Если tн > tкр, то Н0 отклоняется и наоборот, если tн < tкр, то Н0 принимается.

Рассчитаем значение критерия Стъюдента при помощи ППП Excel. Получаем значение t = 2,01.

Из таблицы 3 видно, что значимым является только коэффициенты b3 и b2. Значимость остальных коэффициентов регрессии не подтвердилась, следовательно, можно сделать вывод о несущественности в модели остальных факторных признаков и необходимости их устранения из модели или замены на другие факторные признаки.

Таблица 3 - Результаты оценивания коэффициентов

Оценка коэффициентов

Наблюдаемое значение t-статистики

t-крит.

Вывод о значимости коэффициента

b1 =11,472 b2 =14,84 b3 =8,235 b4 =0,021 b5 =0,429

-0,274 2,657 4,087 0,83 0,897

2,01 2,01 2,01 2,01 2,01

H0 принимается - коэффициент незначим H0 отклоняется - коэффициент значим H0 отклоняется - коэффициент значим H0 принимается - коэффициент незначим H0 принимается - коэффициент незначим


1.5 Оценка качества построенной модели


Для оценки качества множественных регрессионных моделей используют коэффициент множественной детерминации.

Коэффициент детерминации показывает долю вариации результативного признака, находящегося под воздействием факторных признаков, т.е. определяет, какая доля вариации признака у учтена в модели и обусловлена влиянием на него факторов, включенных в модель.

Чем ближе R2 к единице, тем выше качество модели.

Таблица 4 - Регрессионная статистика

Показатель

Значение

Множественный R

0,596450745

R-квадрат

0,355753491

Нормированный R-квадрат

0,287216628

Стандартная ошибка

5,316224239


Из таблицы 4 видно, что R2 = 0,35 это означает, что вариация результативного признака на 35% объясняется вариацией вошедших в модель факторов и на 65% объясняется вариацией неучтенных в модели факторов.

 

.6 Построение доверительных интервалов для коэффициентов регрессии


Доверительные интервалы строятся для значимых коэффициентов модели.

Таблица 5 - Доверительные интервалы коэффициентов модели

Нижняя граница

Коэффициент

Верхняя граница

-26,074

b2

-3,606

4,182

b3

12,288


1.7 Содержательная интерпретация полученных результатов

 

На основе регрессионного анализа можно сделать вывод, что рентабельность предприятий значимое влияние оказывают два фактора: удельный вес покупных изделий (Х2) и фондоотдача (Х3). При этом:

при увеличении удельного веса покупных изделий на 1 млн. руб. рентабельность предприятия уменьшится в среднем на 14,84 млн. руб.;

при увеличении фондоотдачи на 1 млн. руб. рентабельность предприятия увеличится в среднем на 8,235 млн. руб.;

Коэффициент детерминации составил R2 = 0,35. Это означает, что вариация результативного признака на 35% объясняется вариацией вошедших в модель факторов и на 65% объясняется вариацией неучтенных в модели факторов.

2. Исследование линейной модели множественной регрессии на наличие мультиколлинеарность


В общем случае под мультиколлинеарностью понимают парную или множественную взаимосвязь между факторными признаками, включенными в модель. Для установления наличия мультиколлинеарности проверяем модель по внешним признакам.

2.1 Проверка внешних признаков мультиколлинеарности


1) Из таблицы 3 видно, что большинство коэффициентов незначимы, в то время как вся модель значима;

) Из таблицы 1 "Приложение 2" видно, что все стандартные ошибки, кроме Sb3, превышают значения самих коэффициентов;

) Так же из таблицы 1 "Приложение 2" видно, что доверительные интервалы всех коэффициентов, кроме b2 b3 содержат внутри себя точку "0".

2.2 Проверка формальных признаков мультиколлинеарности


1) Находим среди коэффициентов парной корреляции такие значения, которые по абсолютной величине ≥ 0,7. При помощи ППП Excel строим матрицу коэффициентов парной корреляции.

Рисунок 2 - Матрица коэффициентов парной корреляции

Из рисунка 2 видно, что существует тесная взаимосвязь между факторами Х1 и Х5 (r1,5 = 0,94), а так же умеренная взаимосвязь между факторами Х1 и Х4 (r1,4 = 0,56) и факторами Х4, Х5 (r4,5 = 0,54);

) Находим значения множественных коэффициентов корреляции при помощи ППП Excel/

Rx1/x2 x3 x4 x5 = 0,94, Rx2/x1 x3 x4 x5 = 0,533/x1 x2 x4 x5 = 0,44. Rx4/x1 x2 x3 x5 = 0,605/x1 x2 x3 x4 = 0,94

По полученным значениям можно сделать вывод, что Х1 и Х5 тесно взаимосвязаны друг с другом.

2.3 Устранение мультиколлинеарности методом пошаговой регрессии (с исключением переменных)


1) Исключаем из модели переменную Х1, которая незначима и имеет наименьшую t-статистику.

Таблица 6 - Анализ значимости коэффициентов

Коэффициенты

Значение

t-статистика

t-критическое

Вывод

Х0

24,77472613

0,623185851

2,01

незначим

X1

-11,47232088

-0,273730434

2,01

незначим

X2

-14,84027054

-2,657422772

2,01

значим

X3

8,235150882

4,087617737

2,01

значим

X4

-0,021466327

-0,830222592

2,01

незначим

X5

-0,429311836

-0,897166051

2,01

незначим

кр = (0,05; 53-5-1) = 2,01

Таблица 7 - Вывод итогов. Шаг 1

Коэффициенты

Значение

t-статистика

t-критическое

Вывод

Х0

13,953162

3,363564828

2,01

незначим

X2

-15,09654338

-2,768934314

2,01

значим

X3

8,251287912

4,13744517

2,01

значим

X4

-0,020597707

-0,810544862

2,01

незначим

X5

-0,309636509

-1,607399459

2,01

незначим

кр = (0,05; 53-4-1) = 2,01

) Исключаем из модели переменную Х4, которая незначима и имеет наименьшую t-статистику.

Таблица 8 - Вывод итогов. Шаг 2

Коэффициенты

Значение

t-статистика

t-критическое

Вывод

Х0

13,34871

3,282655

2,0

незначим

X2

-13,9804

-2,65946

2,0

значим

X3

8,119295

4,099274

2,0

значим

X5

-0,40008

-2,55684

2,0

незначим

кр = (0,05; 53-3-1) = 2,0

) Исключаем из модели переменную Х5, которая незначима и имеет наименьшую t-статистику.

Таблица 9 - Вывод итогов. Шаг 3

Коэффициенты

Значение

t-статистика

t-критическое

Вывод

Х0

5,878436809

1,97204933

2,0

незначим

X2

-15,92892735

-2,905798924

2,0

значим

X3

8,268280535

3,962634418

2,0

значим

кр = (0,05; 53-2-1) = 2,0

Исключив из модели все незначимые коэффициенты, получим значимую модель. Она будет иметь вид:

ŷ = 5,878 - 15,929x2 + 8,268x3

Вывод: из уравнения регрессии следует, что значимое влияние на рентабельность предприятий оказывают два фактора: удельный вес покупных изделий (Х2) и фондоотдача (Х3). При этом:

при увеличении удельного веса покупных изделий на 1 млн. руб. рентабельность предприятия уменьшится в среднем на 15,929 млн. руб.;

при увеличении фондоотдачи на 1 млн. руб. рентабельность предприятия увеличится в среднем на 8,235 млн. руб.;

Коэффициент детерминации составил R2 = 0,26. Это означает, что вариация результативного признака на 26% объясняется вариацией вошедших в модель факторов и на 74% объясняется вариацией неучтенных в модели факторов.

3. Исследование линейной модели множественной регрессии на наличие/отсутсвие гетероскедастичности в регрессионных остатках

3.1 Проверка внешних признаков гетероскедастичности: проведение графического анализа поведения регрессионных остатков


Гетероскедастичность называется явление непостоянства дисперсий регрессионных остатков регрессии.

ОЛММР с гетероскедастичными остатками описывается следующей системой соотношений и условий:

. Х1, Х2, Х3,…. Хк детерменированны;

. rang X = 1+k$

. M (εi) = 0$

. D (εi) = σi2 i = 1,n;

. cov (εiεj) = 0$

,. ∑ε = σ20

Проверим внешние признаки гетероскедастичности. Для этого проведем графический анализ поведения регрессионных остатков при помощи ППП Excel.

Рисунок 3 - Поведение регрессионных остатков при увеличении Х3

Рисунок 4 - Поведение регрессионных остатков при увеличении Х2

 

Из рисунков 3 и 4 видно, что диаграммы имеют пики, однако в целом подобный рисунок может соответствовать как гомо-, так и гетероскедастичной выборке.

Чтобы определить, какая же именно ситуация имеет место, используются тесты на гетероскедастичность.

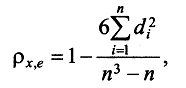
3.2 Применение статистического критерия для выявления гетероскедастичности: тест ранговой корреляции Спирмена, тест Голдфелда-Квандта


1) Проводим тест ранговой корреляции Спирмена

Выдвигаются следующие гипотезы:

Н0: ρx/e/ = 0 Модель гомоскедастична

Н1: ρx/e/ ≠ 0 Модель гетероскедастична

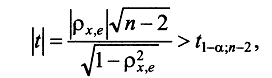
Для проверки Н0 используется формула:


где  - табличное значение t-критерия Стьюдента, определенное на уровне значимости α при числе степеней свободы (n-2);

  - ранговый коэффициент корреляции Спирмена.

    определяется по формуле:


где di - разность между рангами значений  и .

Для нахождения коэффициента ранговой корреляции следует ранжировать наблюдения по значениям переменной X2 и остатков .

Находим значение коэффициента ранговой корреляции. di находим при помощи ППП Excel.

= 27498, ρ = 1- (6*27498/ (533 - 53)) = - 0,11

Находим tн.

tн = (0,11*53-2) / 1- (-0,11) 2 = 0,795

Находим t кр по таблице Стьюдента. t кр = 2,401

Сравним tн = 0,795 < t кр = 2,401 следовательно Н0 принимается и делается вывод о гомоскедастичности модели.

) Проведем тест Голдфелда-Квандта

Выдвигаются следующие гипотезы:

Н0: σ12 = σ22 = σ32 …… σk2 модель гомоскедастична

Н1: σi2 ≠ σj2 модель гетероскедастична

Для проверки гипотезы Н0 используется статистика, которая рассчитывается по формуле:

Fн = max {Q׳Q״} / min {Q׳Q״}

      n׳

Q = ∑ (ei׳) 2,i=1

где ei׳ - регрессионные остатки, полученные по модели первой подвыборки.

      n״

Q = ∑ (ei״) 2,i=1

где ei״ - регрессионные остатки, полученные по модели последней подвыборки.

Определим объем первой и последней подвыборок по формуле:

n = n’’ = (n - ¼ n) / 2.

где n и n’’ количество объектов.


Определяем Q׳ и Q״ для этого берем первые и последние 20 наблюдений и строим регрессию.

Величина Q׳ = 980,7479; Q״ = 171,4503

Находим Fн = 980,7479/171,4503 = 5,72. Находим Fкр = 2,2718.

Сравнивая Fкр = 2,2718 < 5,72 = Fн делаем вывод о том, модель гетероскедастична.

Сравнивая Q׳ = 980,7479 > 171,4503 = Q״ делаем вывод об обратной зависимости, т.е. по мере увеличения факторного признака Х2 регрессионные остатки по абсолютной величине имеют тенденцию к снижению.

4. Èññëåäîâàíèå ëèíåéíîé ìîäåëè ìíîæåñòâåííîé ðåãðåññèè íà íàëè÷èå/îòñóòñâèå àâòîêîððåëÿöèè ðåãðåññèîííûõ îñòàòêîâ


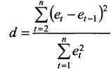
Àâòîêîððåëÿöèåé ðåãðåññèîííûõ îñòàòêîâ íàçûâàåòñÿ êîððåëÿöèîííàÿ çàâèñèìîñòü òåêóùèõ (ei) è ïðåäûäóùèõ (ei-1) ðåãðåññèîííûõ îñòàòêîâ.

 

.1 Ïðîâåðêà âíåøíèõ ïðèçíàêîâ àâòîêîððåëÿöèè: ïðîâåäåíèå ãðàôè÷åñêîãî àíàëèçà ïîâåäåíèÿ ðåãðåññèîííûõ îñòàòêîâ


Ïîâåäåíèå ðåãðåññèîííûõ îñòàòêîâ ïðåäñòàâëåíî íà ðèñóíêå 5. Íà îñíîâàíèè ðèñóíêà 5 ìîæíî ñäåëàòü âûâîä î íàëè÷èè îòðèöàòåëüíîé àâòîêîððåëÿöèè.

Ïðîâåðÿåì äàííîå ïðåäïîëîæåíèå ïî êðèòåðèþ Äàðáèíà-Óîòñîíà.

Ðèñóíîê 5 - Àíàëèç ïîâåäåíèÿ ðåãðåññèîííûõ îñòàòêîâ

4.2 Ïðèìåíèòü êðèòåðèé Äàðáèíà-Óîòñîíà äëÿ âûÿâëåíèÿ àâòîêîððåëÿöèè ïåðâîãî ïîðÿäêà


Âûäâèãàþòñÿ ñëåäóþùèå ãèïîòåçû:

Í0: ρ = 0 àâòîêîððåëÿöèÿ îòñóòñòâóåò;

Í1: ρ ≠ 0 íàëè÷èå àâòîêîððåëÿöèè.

Äëÿ ïðîâåðêè Í0 èñïîëüçóåòñÿ êðèòåðèé Äàðáèíà-Óîòñîíà, êîòîðûé ðàññ÷èòûâàåòñÿ ïî ôîðìóëå:


Íàõîäèì DW = 1,600.

Ïî òàáëèöå Äàðáèíà-Óîòñîíà îïðåäåëÿåì ñëåäóþùèå çíà÷åíèÿ:

dí = 1,3

dâ = 1,45

Èçîáðàçèì ðåçóëüòàò Äàðáèíà-Óîòñîíà ãðàôè÷åñêè:

Ðèñóíîê 6 - Ðåçóëüòàò êðèòåðèÿ Äàðáèíà-Óîòñîíà

Èç ðèñóíêà 6 âèäíî, ÷òî ïîëó÷åííîå çíà÷åíèå êðèòåðèÿ Äàðáèíà-Óîòñîíà ïîïàäàåò â çîíó îòñóòñòâèÿ àâòîêîððåëÿöèè.

Çàêëþ÷åíèå


Íà îñíîâàíèè ïîëó÷åííûõ çíà÷åíèé êîýôôèöèåíòîâ ðåãðåññèè ìîæíî ñäåëàòü âûâîä, ÷òî:

ïðè óâåëè÷åíèè óäåëüíîãî âåñà ðàáî÷èõ â ñîñòàâå ÏÏÏ íà 1 òûñ. ÷åë.

ðåíòàáåëüíîñòü ïðåäïðèÿòèÿ óìåíüøèòñÿ â ñðåäíåì íà 11,472 ìëí. ðóá.;

ïðè óâåëè÷åíèè óäåëüíîãî âåñà ïîêóïíûõ èçäåëèé íà 1 ìëí. ðóá. ðåíòàáåëüíîñòü ïðåäïðèÿòèÿ óìåíüøèòñÿ â ñðåäíåì íà 14,84 ìëí. ðóá.;

ïðè óâåëè÷åíèè ôîíäîîòäà÷è íà 1 ìëí. ðóá. ðåíòàáåëüíîñòü ïðåäïðèÿòèÿ óâåëè÷èòñÿ â ñðåäíåì íà 8,235 ìëí. ðóá.;

ïðè óâåëè÷åíèè îáîðà÷èâàåìîñòè íîðìèðóåìûõ îáîðîòíûõ ñðåäñòâ íà 1äåíü ðåíòàáåëüíîñòü ïðåäïðèÿòèÿ óìåíüøèòñÿ â ñðåäíåì íà 0,021 ìëí. ðóá.;

ïðè óâåëè÷åíèè íåïðîèçâîäñòâåííûõ ðàñõîäîâ íà ìëí. ðóá. ðåíòàáåëüíîñòü ïðåäïðèÿòèÿ óìåíüøèòñÿ â ñðåäíåì íà 0,429 ìëí. ðóá.

Íà îñíîâàíèè ñäåëàííûõ âûâîäîâ ìîæíî ñêàçàòü, ÷òî âñå ïîëó÷åííûå çíà÷åíèÿ êîýôôèöèåíòîâ íå ïðîòèâîðå÷àò ýêîíîìè÷åñêîìó ñìûñëó ïîêàçàòåëåé.

Ïîñëå óñòðàíåíèè ÿâëåíèÿ ìóëüòèêîëëåíèàðíîñòè ìîæíî ñäåëàòü âûâîä, ÷òî çíà÷èìîå âëèÿíèå íà ðåíòàáåëüíîñòü ïðåäïðèÿòèé îêàçûâàþò òîëüêî äâà ôàêòîðà: óäåëüíûé âåñ ïîêóïíûõ èçäåëèé (Õ2) è ôîíäîîòäà÷à (Õ3). Ïðè ýòîì:

ïðè óâåëè÷åíèè óäåëüíîãî âåñà ïîêóïíûõ èçäåëèé íà 1 ìëí. ðóá. ðåíòàáåëüíîñòü ïðåäïðèÿòèÿ óìåíüøèòñÿ â ñðåäíåì íà 15,929 ìëí. ðóá.;

ïðè óâåëè÷åíèè ôîíäîîòäà÷è íà 1 ìëí. ðóá. ðåíòàáåëüíîñòü ïðåäïðèÿòèÿ óâåëè÷èòñÿ â ñðåäíåì íà 8,235 ìëí. ðóá.;

Êîýôôèöèåíò äåòåðìèíàöèè ñîñòàâèë R2 = 0,26. Ýòî îçíà÷àåò, ÷òî âàðèàöèÿ ðåçóëüòàòèâíîãî ïðèçíàêà íà 26% îáúÿñíÿåòñÿ âàðèàöèåé âîøåäøèõ â ìîäåëü ôàêòîðîâ è íà 74% îáúÿñíÿåòñÿ âàðèàöèåé íåó÷òåííûõ â ìîäåëè ôàêòîðîâ.

Ïðèëîæåíèÿ


Ïðèëîæåíèå 1

 

Òàáëèöà 1 - Èñõîäíàÿ èíôîðìàöèîííàÿ áàçà

 ¹ îáúåêòà

Y

X1

X2

X3

X4

X5

1

2

3

4

5

6

7

1

13,26

0,78

0,40

1,45

166,32

17,72

2

10,16

0,75

0,26

1,30

92,88

18,39

3

13,72

0,68

0,40

1,37

158,04

26,46

4

12,85

0,70

0,50

1,65

93,96

22,37

5

10,63

0,62

0,40

1,91

173,88

28,13

6

9,12

0,76

0, 19

1,68

162,30

17,55

7

25,83

0,73

0,25

1,94

88,56

21,92

8

23,39

0,71

0,44

1,89

101,16

19,52

9

14,68

0,69

0,17

1,94

166,32

23,99

10

10,05

0,73

0,39

2,06

140,76

21,76

11

13,99

0,68

0,33

1,96

128,52

25,68

12

9,68

0,74

0,25

1,02

177,84

18,13

13

10,03

0,66

0,32

1,85

114,48

25,74

14

9,13

0,72

0,02

0,88

93,24

21,21

15

5,37

0,68

0,06

0,62

126,72

22,97

16

9,86

0,77

0,15

1,09

91,80

16,38

17

12,62

0,78

0,08

1,60

69,12

13,21

18

5,02

0,78

0, 20

1,53

66,24

14,48

19

21,18

0,81

0, 20

1,40

67,68

13,38

20

25,17

0,79

0,30

2,22

50,40

13,69

21

19,40

0,77

0,24

1,32

70,56

16,66

22

21,0

0,78

0,10

1,48

72,00

15,06

23

6,57

0,72

0,11

0,68

97, 20

20,09

24

14, 19

0,79

0,47

2,30

80,28

15,98

25

15,81

0,77

0,53

1,37

51,48

18,27

26

5,23

0,80

0,34

1,51

105,12

14,42

27

7,99

0,71

0, 20

1,43

128,52

22,76

28

17,50

0,79

0,24

1,82

94,68

15,41

29

17,16

0,76

0,54

2,62

85,32

19,35

30

14,54

0,78

0,40

1,75

76,32

16,83

31

6,24

0,62

0, 20

1,54

153,00

30,53

32

12,08

0,75

0,64

2,25

107,64

17,98

33

9,49

0,71

0,42

1,07

90,72

22,09

34

9,28

0,74

0,27

1,44

82,44

18,29

35

11,42

0,65

0,37

1,40

79,92

26,05

36

10,31

0,66

0,38

1,31

120,96

26, 20

37

8,65

0,84

0,35

1,12

84,60

17,26

38

10,94

0,74

0,42

1,16

85,32

18,83

39

9,87

0,75

0,32

0,88

101,52

19,70

40

6,14

0,75

0,33

1,07

107,64

16,87

41

12,93

0,79

0,29

1,24

85,32

14,63

42

9,78

0,72

0,30

1,49

131,76

22,17

43

13,22

0,70

0,56

2,03

22,62

44

17,29

0,66

0,42

1,84

138,24

26,44

45

7,11

0,69

0,26

1,22

156,96

22,26

46

22,49

0,71

0,16

1,72

137,52

19,13

47

12,14

0,73

0,45

1,75

135,72

18,28

48

15,25

0,65

0,31

1,46

155,52

28,23

49

31,34

0,82

0,08

1,60

48,60

12,39

50

11,56

0,80

0,68

1,47

42,84

11,64

51

30,14

0,83

0,03

1,38

142, 20

8,62

52

19,71

0,70

0,02

1,41

145,80

20,10

53

23,56

0,74

0,22

1,39

120,52

19,41



Ïðèëîæåíèå 2

 

Èòîãè ðåãðåññèîííîãî àíàëèçà ïðîâîäèìîãî ïðè ïîìîùè ÏÏÏ Excel

Òàáëèöà 1 - Ðåçóëüòàòû îöåíèâàíèÿ óðàâíåíèÿ

 

Êîýôôèöèåíòû

Ñòàíäàðòíàÿ îøèáêà

t-ñòàòèñòèêà

P-Çíà÷åíèå

Íèæíèå 95%

Âåðõíèå 95%

Y-ïåðåñå÷åíèå

24,774726

39,75495609

0,623185851

0,53617493

-55, 20192

104,7513

X1

-11,472320

41,91101709

-0,273730434

0,78549118

-95,78641

72,84176

X2

-14,840270

5,584459762

-2,657422772

0,01072480

-26,0747

-3,605786

X3

8,2351508

2,014657782

4,087617737

0,00016891

4,182182

12,28811

X4

-0,0214663

0,02585611

-0,830222592

0,41061034

-0,07348

0,030549

X5

-0,4293118

0,47851993

-0,897166051

0,37420306

-1,391969

0,533346


Òàáëèöà 2 - Ðåãðåññèîííûå îñòàòêè

Íàáëþäåíèå

Ïðåäñêàçàííîå Y

Îñòàòêè

Íàáëþäåíèå

Ïðåäñêàçàííîå Y

Îñòàòêè

1

2

3

4

5

6

1

10,65349123

2,60650877

11

14,43357414

-0,44357414

2

13,1288742

-2,968874197

12

9,373999832

0,306000168

3

7,567466988

6,152533012

13

14,18118518

-4,151185182

4

11,29128338

1,558716619

14

12,35755813

-3,227558129

5

11,64581034

-1,015810338

15

8,607419467

-3,237419467

6

16,05275681

-6,93275681

16

13,68857628

-3,828576276

7

17,35448364

8,475516364

17

20,66037376

-8,040373762

8

15,1123938

8,277606204

18

17,81967772

-12,79967772

9

16,44270106

-1,762701057

19

16,84626999

4,333730008

10

15,21321151

-5,16321151

20

22,58236453

2,587635466

21

14,58277409

4,817225906

31

10,98472711

-4,744727114

22

18,51930033

2,480699671

32

15,1721396

-3,092139601

23

9,770726206

-3, 200726206

33

7,777152516

1,712847484

24

19,09379267

-4,903792669

34

14,51515546

-5,235155457

25

10,40923864

5,400761363

35

10,45686655

0,963133455

26

14,53903834

-9,309038345

36

8,507202232

1,802797768

27

12,90760028

-4,917600277

37

9,941277369

-1,291277369

28

18,48977511

-0,989775114

38

9,689621217

1,250378783

29

19,47942047

-2,319420468

39

8,031827027

1,838172973

30

15,43809342

-0,898093424

40

10,53168157

-4,391681566

41

13,50716212

-0,577162124

51

19,41882023

10,72117977

42

11,98670215

-2, 206702152

52

16,29990052

3,410099475

43

12,93604024

0,283959763

53

13,54714447

10,01285553

44

11,80424841

5,485751587




45

10,12140237

-3,011402366




46

17,25460988

5,235390122




47

13,37209398

-1,232093978




48

9,282637737

5,967362263




49

20,99400565

10,34599435




50

11,69435005

-0,13435005





Òàáëèöà 3 - Äèñïåðñèîííûé àíàëèç

 

df

SS

MS

F

Çíà÷èìîñòü F

Ðåãðåññèÿ

5

733,5023954

146,7004791

5, 190688291

0,000713299

Îñòàòîê

47

1328,325288

28,26224016



Èòîãî

52

2061,827683

 

 

 

Ðàçìåùåíî íà Allbest.ru

Похожие работы на - Построение классической линейной модели множественной регрессии

 

Не нашли материал для своей работы?
Поможем написать уникальную работу
Без плагиата!
Без нейросетей!