Диверсификация деятельности предприятия как способ снижения рисков и повышения эффективности
Курсовая работа
Диверсификация
деятельности предприятия как способ снижения рисков и повышения эффективности
Введение
Динамичное развитие рыночной экономики,
быстрое изменение спроса, возникновение новых отраслей и рынков объясняет
интенсивное развитие диверсификации деятельности предприятий и интерес к
рассматриваемому процессу, как к одному из способов повышения эффективности и
снижения рисков на предприятии.
Среди различных видов диверсификации
каждое предприятие выбирает наиболее выгодный способ повышения
производительности, экономии времени и увеличения прибыли.
Особо острой остается проблема сырьевой
направленности российского экспорта, это еще раз подчеркивает актуальность
рассматриваемой темы. От диверсификации зависит конкурентоспособность
российской экономики, прослеживается необходимость одновременной диверсификации
промышленности и экспорта, проведения реформ, направленных на укрепление не
сырьевой составляющей экономики.
Основной целью изучения данной работы является рассмотрение диверсификации
деятельности предприятия как одного из способов снижения рисков и повышения
эффективности.
Для достижения указанной цели были поставлены следующие
задачи:
рассмотреть теоретические основы понятия диверсификации;
исследовать применение данного метода в зарубежной практике;
выявить необходимость применения метода диверсификации на
российском производстве.
определить состав и структуру основных фондов;
дать характеристику составу и структуре оборотных средств
предприятия;
распределить кадры предприятия и оплату труда;
рассчитать состав затрат на производство продукции;
рассмотреть формирование финансовых результатов;
проанализировать показатели эффективности деятельности;
представить срок окупаемости и зону безопасности предприятия;
разработать мероприятия по улучшению показателей деятельности
предприятия.
Объектом изучения в данной курсовой работе будет выступать
деятельность предприятия, а предметом исследования - снижение рисков и
повышение эффективности деятельности предприятия.
В процессе выполнения работы использовались такие
экономические методы, как анализ, синтез, сравнение, статистический, индукция,
дедукция.
В ходе проведения данного исследования использовались
законодательные документы и постановления РФ, учебные пособия, экономические журналы,
аналитические газеты, данные Госкомстата, Минфина и Центробанка РФ,
интернет-ресурсы и другие.
1.
Диверсификация как способ снижения рисков и повышения эффективности в
деятельности предприятия
1.1 Теоретические основы понятия
диверсификация
Предпринимательский риск заключается в возможности не
достижения цели, ожидаемых результатов реализации принятого решения или
осуществления запланированной деятельности вследствие неопределенности. Риск
реализуется через потерю предпринимателем своих ресурсов, недополучение
доходов, или появление дополнительных расходов [1, с. 547]. Основные виды
экономических рисков представлены на рисунок 1.1 [1, с. 548].
Рисунок 1.1 - Основные группы рисков деятельности предприятия
Задачей руководства предприятия является снижение степени
риска. Для этого используются различные способы: диверсификация, страхование,
лимитирование, резервирование средств на покрытие непредвиденных расходов,
распределение риска, получение большей информации о предстоящем выборе в
результатах, использование различных форм расчетов между продавцом и
покупателем, учет и распределение транспортных рисков при осуществлении сделок
и другие способы [2, с. 577].
Диверсификация деятельности - переход от односторонней, часто
базирующейся на лишь на одном продукте производственной структуры, к
многопрофильному производству с широкой номенклатурой выпускаемой продукции.
Идея диверсификации имеет многолетнюю историю [6, с. 134].
Диверсификация, прежде чем приобрела современные черты, в
рамках глобальной стратегии фирм прошла сложный путь развития, меняясь под
влиянием внешних обстоятельств, так и внутрифирменных критериев. Историю такой
эволюции условно можно разделить на четыре этапа, и на каждом из них
происходило становление таких основных элементов, как: товарный набор;
отраслевой набор; набор отраслей и сфер деятельности; набор стран [6, с. 134].
Интенсивное развитие диверсификации деятельности
обусловливалось повышением динамичности рыночной экономики, быстрыми изменениями
спроса, возникновением большого числа новых отраслей и рынков продукции.
Диверсификация производства в этих условиях позволяла компенсировать падение
сбыта на одном рынке за счет увеличения его на других рынках. Благодаря этому
диверсифицированные предприятия, в целом, оказываются более устойчивы и
конкурентоспособны, по сравнению с узкоспециализированными, так как они
проникают в новые для себя сферы деятельности, расширяют ассортимент
выпускаемых товаров.
Сейчас диверсификация снова широко применима, но по иным
причинам. На авансцену выходит все больший круг управленческих структур,
представленных людьми с деловым мышлением, обладающих при этом способностями и
смелостью для осуществления диверсификации [6, с. 135].
Диверсификация (diversifying) выражается во владении многими
рискованными активами, вместо концентрации всех капиталовложений только в одном
из них. Поэтому диверсификация ограничивает вашу подверженность риску,
связанному с одним единственным видом активов [7, с. 194].
Рассмотрим, например, диверсификацию рисков в сфере бизнеса.
Предположим, что вы склоняетесь к тому, чтобы вложить средства в какой-либо
проект, поскольку считаете, что появление новых видов продукции связано с
возможностью получить большой доход в течение ближайших нескольких лет. Если вы
вложите свои денежные средства исключительно в одну из компаний, которая
разрабатывает новый продукт, то ваши инвестиции концентрируются, а не
диверсифицируются [7, с. 195].
Диверсификация вложений может быть выполнена индивидуальным
инвестором, как на фондовом рынке, так и путем прямых инвестиций. Вот как вы
можете диверсифицировать свои инвестиции в производство.
• Инвестировать в несколько компаний, каждая из которых
производит только один новый препарат.
• Инвестировать в одну компанию, которая производит много
различных препаратов.
• Инвестировать во взаимный фонд, который владеет акциями
многих компаний, выпускающих новые препараты [7, с. 195].
Диверсификация связана с расширением видов продукции,
ассортиментных групп производимых товаров; развитием не связанных друг с другом
видов производств; разнообразием источников финансовых ресурсов предприятия;
направлений инвестиций; сфер деятельности с учетом фактора риска. Предприятие,
неся убытки по одному виду деятельности, может получать прибыль за счет другой
сферы деятельности. Диверсификация позволяет повысить устойчивость предприятия
к изменениям в предпринимательской среде [2, с. 578].
Для более наглядного сравнения и эффективности применения
диверсификации, обратимся к основным методам снижения риска на предприятии.
По сравнению с остальными, методы диверсификации риска
представляют собой более гибкие, но во многих случаях трудноприменимые
инструменты управления, находящиеся в определенном противоречии с методами
избежания риска (так, дифференциация поставок и сбыта возможна при
распределении поставок между многими потребителями, взаимодействии со многими
поставщиками, что приводит к увеличению числа контрагентов предприятия) [1, с.
556].
В настоящее время практика опережает теоретические
исследования по диверсификационным процессам. Это экономическое явление
выступает в качестве эволюционной формы реорганизации управления и производства
и служит базой для создания новых производственных отношений, например,
аутсортинга, представляющего собой эффективную модель хозяйствования, которая
заключается в передаче сторонней компании различных элементов деятельности,
которая ранее осуществлялась в рамках данной компании [3, с. 169].
Развитие науки и новых технологий призвано обеспечить
эффективное использование всех видов материальных ресурсов в условиях их
ограниченности, поскольку, диверсификация - это процесс эффективного
комплексного использования производственных факторов путем совершенствования
производства на основе инноваций, она является одним из способов повышения
производительности труда и эффективности производства.
Исходя из вышесказанного, можно говорить о наличии
причинно-следственной связи: инновация - диверсификация - производительность
труда - эффективность производства [3, с. 168].
Рисунок 1.2 - Матрица выбора диверсификационной стратегии
предприятия для повышения его конкурентоспособности
диверсификация экономический риск
Поскольку число стратегических зон хозяйствования растет, это
позволяет говорить о том, что при решении вопроса о диверсификации деятельности
фирмы следует учитывать затраты на его управление. При этом повышенные издержки
могут нивелировать более высокие прибыли, получаемые путем диверсификации.
То есть, выбор стратегии диверсификации зависит от сравнения
прибыльности при диверсификации и дополнительных удельных затрат на управление.
Для подобных оценок В.А. Солдаткин предлагает использовать матричный подход на
основе нескольких факторов: темп роста рынка - конкурентоспособность предприятия
- уровень рисков (Рис. 1.2) [4, с. 84].
Для оценки диверсификации используют показатель уровня
диверсификации (Д), который рассчитывается по формуле:
Где Ут - удельный вес отдельных видов экономической
деятельности в общем объеме товарной продукции, %; I - порядковый номер
отдельных видов экономической деятельности по отдельному весу товарной
продукции в ранжированном ряду; n - количество видов экономической деятельности предприятия
[4, с. 81].
Данный показатель позволяет установить взаимосвязь
диверсификации и специализации и учесть отраслевую специфику. При анализе
ситуации, необходимо учесть, что при специализации предприятия на одном
продукте - коэффициент диверсификации равен 0, если предприятие одновременно
занимается разнообразными видами деятельности, то значение коэффициента
диверсификации стремится к 1 [4, с. 81].
Рисунок 1.3 - Приоритеты целей диверсификации деятельности
предприятий в зависимости от уровня инвестиций
Рационально применять механизм диверсификации позволяет
правильная формулировка целей (Рис. 1.4), которые определяются возможностью
инвестирования в диверсификацию за счет прибыли предприятия. Эффективность
метода определяется его универсальным характером для всех типов рисков: при
распределении потоков инвестиций, снижается возможность конкретного риска,
зависящего от инвестирования [4, с. 82].
С точки зрения процессного подхода, рассматриваемое нами
понятие, представляет собой процесс расширения и переноса деятельности
предприятия в новые отрасли с целью повышения его конкурентоспособности. На
практике же, наибольшее значение в хозяйственной деятельности имеют так
называемые связанные и несвязанные виды диверсификации (Табл. 1.1) [4, с. 82].
Таблица 1.1 - Классификация основных видов диверсификации
|
№
|
Критерий
классификации
|
Виды
диверсификации
|
|
1
|
Связь с
основной деятельностью
|
Связанная,
несвязанная
|
|
2
|
Устойчивость на
рынке
|
Социальноориентированная,
выживание, получение заданной прибыли
|
|
3
|
Уровень рисков
|
Умеренная,
значительная, интенсивная
|
|
4
|
Звено цепи
создания стоимости продукции
|
Горизонтальная
- производство, вертикальная - сбыт, заготовка
|
|
5
|
Участие государства
|
Программная,
целевая
|
|
6
|
Территориальность
|
Региональная,
федеральная, международная
|
|
7
|
Структурированность
|
Конгломеративная,
концентрическая
|
|
8
|
Уровень
неопределенности
|
Случайная,
сопутствующая
|
Характер диверсификации определяется социально-экономическими
особенностями рассматриваемой страны. Вместе с тем на ее развитие влияют и
некоторые общие факторы (относящиеся ко всем странам): научно-техническая
революция, борьба за высокие прибыли, необходимость изыскивать сферы для
приложения своих накоплений, милитаризация экономики, конкурентная борьба,
боязнь отстать от технического прогресса [6, с. 134].
В результате диверсификации фирмы, и в особенности монополии,
приобретают многоотраслевой характер, они проникают прежде всего в новые,
наиболее прибыльные отрасли, развивающиеся высокими темпами - электронику,
химию. Компаниям выгодно идти по пути развития комбинированного производства -
производить различные товары из одного и того же исходного сырья, что снижает
расходы этих компаний, в частности и на исследования, которые часто приводят к
изобретениям, далеким от специализации фирм [6, с. 134].
Многие предприятия используют аутсортинг, применяя передовые
технологии, не теряя время и ресурсы на их разработку. Кроме этого, благодаря
аутсортингу работники имеют возможность сконцентрироваться на главной работе и
соответственно работать более производительно [3, с. 169].
В работах по совершенствованию организации вспомогательных
производств отмечалось, что 70-75% всех потерь рабочего времени в основном
производстве происходит во вспомогательных службах, где занято около 50%
рабочих. При этом вспомогательные рабочие лишь 50-65% времени заняты
непосредственно работой, а остальное время проходит в ожидании работы. В новых
условиях внедрение таких форм хозяйственных отношений, как аренда, подряд,
кооперация малых предприятий позволяют на 10-20% снизить трудоемкость,
материалоемкость и фондоемкость производства на основе диверсификации [3, с.
168-170].
Перелив капиталов из менее доходных отраслей в более
рентабельные происходит через диверсификацию, минуя традиционный рынок
капитала. Функция учредительства постепенно переходит к фирмам, которые,
диверсифицируя свое производство, пытаются застраховать себя от возможных
неудач и банкротств, хотя начинания фирм часто кончаются неудачей. Под влиянием
диверсификации производства специализированные предприятия (фирмы) превращаются
в многоотраслевые комплексы [6, с. 135].
Под связанной диверсификацией понимают область деятельности
предприятия, имеющую какое-либо отношение к существующим направлениям его
предпринимательской активности. Преимуществом такой диверсификации является то,
что фирма действует в привычной для себя обстановке и меньше рискует [5, с.
112].
Несвязанная диверсификация - это переход фирмы в совершенно
иную, не знакомую для себя область деятельности, к новым технологиям и
потребностям рынка. Ее цель - получение большей прибыли и минимизация
предпринимательских рисков. Это намного сложнее связанной диверсификации,
поскольку предприятие приходит на неизвестный рынок, должно осваивать новые
технологии, формы, методы организации работ идр. Поэтому риск здесь намного
выше [5, с. 112].
Также, нельзя забывать, что все созданные диверсифицируемые
подразделения должны иметь определенную организационно-правовую форму. В этом
случае, диверсификацию подразделяют на внешнюю и внутреннюю. При внутренней - в
составе действующего предприятия открывают новые производственные участки,
цеха, лаборатории. При внешней - создают подразделения вне действующего
предприятия [5, с. 113].
Итак, диверсификация представляет собой одновременное
развитие многих, не связанных друг с другом видов деятельности, расширение
ассортимента производимых изделий, расширение активности за рамки основного
бизнеса, под которым понимается производство товаров и услуг, имеющих
максимальные доли в чистом объеме продаж по сравнению с другими видами
выпускаемой продукции. Среди различных видов диверсификации каждое предприятие
выбирает наиболее выгодный и эффективный способ повышения производительности,
экономии времени и увеличении прибыли.
1.2 Зарубежная практика применения метода
диверсификации
В настоящее время главным становится вопрос о способах и
методах конкуренции. Решения, принимаемые в рамках современной корпоративной
стратегии, включают в себя выбор направления деятельности и положения компании
среди конкурентов. Одним из наиболее сложных методов является диверсификация
корпорации. Можно сказать, что она является своеобразным минным полем для
компании. Попытки объединить зачастую взаимоисключающие требования к
эффективности, гибкости, инновациям и отношению к потребителю вызвали к жизни
сложные организационные структуры и управленческие системы диверсифицированных
компаний [7, с. 195].
-е годы были рекордными по числу диверсифицированных
компаний. Это была «эра конгломератов». В настоящее время, несмотря на
тенденцию к специализации и разукрупнению, диверсификация по-прежнему
представляет собой весьма привлекательную возможность снижения риска финансовых
потерь для многих специализированных корпораций. 1990-е годы стали свидетелями
многих успешных диверсификационных проектов, как например, объединение
телефонных компаний и компаний кабельного телевидения. В это же время
наблюдаются и крупные неудачи, как правило, при попытке диверсификации в новые
отрасли, не связанные с основным видом деятельности компании [7, с. 195].
Наглядным примером конгломеративной диверсификации может
служить американский нефтепромышленник Джон Рокфеллер, который в 1870 г.
основал колоссальный нефтяной трест «Стандарт ойл компании». Громадные прибыли,
которые приносил этот трест, были частично использованы Рокфеллером для
помещения в другие отрасли промышленности и транспорт: он приобрел акции ряда
газовых компаний, железных дорог, медных рудников, сталелитейных компаний.
Далее Рокфеллер проник в банковское дело: он скупил
контрольный пакет акций «Нэшнл сити бэнк оф Нью-Йорк», что позволило ему широко
использовать этот банк для финансирования своих предприятий. Так промышленный
магнат стал одновременно и банковским [9, с. 146].
В США, уже в период 1950-1970 гг. среди крупнейших 500
корпораций число компаний, выпускающих однопрофильную продукцию, сократилось с
30 до 8%. Процесс диверсификации ускоряется поглощениями отдельных, ранее
независимых компаний; число таких поглощений в США в 1968 году в 8 раз
превысило среднее число их за 1950-54 гг. Большинство из них носило
конгломератный характер. Затем в судьбе концепции диверсификации наступил
поворот, на смену ей пришли взгляды о необходимости концентрации усилий на
основных сферах бизнеса. Причиной тому послужили процессы глобализации
производства и другие явления, обусловленные эффектом экономии на масштабах
производства [6, с. 135].
Эффективность диверсификации можно проследить на примере
зарубежных компаний, развивающихся экономически быстрыми темпами. Обратимся к
табл. 1.2 [15, с. 48-49]:
Таблица 1.2 - Классификация основных видов диверсификации
|
Рейтинг
|
корпорация
|
страна
|
Сфера
деятельности
|
|
1
|
Ceneral Electric
|
США
|
Электрика и
электротехника
|
|
2
|
Vodafone Group Pic
|
Великобритания
|
Телекоммуникации
|
|
3
|
Royal
Dutch| Shell Group
|
Нидерланды /
Великобритания
|
Нефтяная
промышленность
|
|
6
|
Toyota
Motor Corporation
|
Япония
|
Автомобильная
промышленность
|
|
8
|
Electricity
De France
|
Франция
|
Электричество,
газ и вода
|
|
10
|
E. ON AG
|
ФРГ
|
Электричество,
газ и вода
|
|
11
|
ArcelorMittal
|
Люксембург
|
Металлургия
|
В постиндустриальном обществе и развитии рыночных связей
диверсификации стали придавать первостепенное значение, но теперь в основе
этого лежат уже совсем иные причины. Многие компании сейчас располагают большими
объемами капиталов, получаемых в основных сферах бизнеса, а поскольку
возможности дальнейшей экспансии в них весьма ограничены, диверсификация
представляется наиболее подходящим путем для инвестиций капиталов и уменьшения
степени риска [6, c.
135].
Примером компании, которая придерживается стратегии
родственной диверсификации, является компания Disney. Все направления ее
деятельности объединены в единую систему посредством персонажей Уолта Диснея,
логотипа компании, идеи нравственности и репутации компании, предоставляющей
высококачественные услуги в сфере семейного досуга.
Диснеевские фильмы и телевизионные шоу, многие из которых
транслируются по кабельным телеканалам, принадлежащим компании, способствуют
увеличению количества посетителей тематических парков Disney, что в свою
очередь способствует увеличению объема продаж товаров, выпускаемых компанией
[10, c. 17].
Компания Accor SA, второй в мире по величине оператор
гостиничного бизнеса, также использует в своей деятельности стратегию
родственной диверсификации. На начальном этапе своего жизненного цикла эта
компания, штаб-квартира которой находится в Париже, представляла собой сеть
ресторанов; впоследствии она начала приобретать сети гостиниц высшей категории
(такие как Sofitel), а также сети недорогих гостиниц (такие как Motel). Для
того чтобы поддерживать высокий уровень заполняемости ресторанов и номеров
гостиниц, в компании Ассог было принято решение заняться организованным
туризмом и прокатом автомобилей.
С целью развития туризма компания даже открыла к северу от
Парижа свой собственный тематический парк, посвященный персонажу известного
французского мультфильма «Asterix the Gaul» («Астерикс из Галлии»).
Например, всем известная компания Gillette производит очень
много видов разнородной продукции: лезвия и бритвы, зубные щетки Oral-B,
письменные и канцелярские принадлежности (ручки Paper Mate, Parker, Waterman,
корректирующая жидкость Liquid Paper), бритвенные станки Braun, кофеварки,
будильники, миксеры, фены, электрические зубные щётки, батарейки Duracell, тем
самым зарабатывая огромную прибыль [10, c. 17].
Многие компании выбирают стратегии неродственной
диверсификации, демонстрируя тем самым готовность диверсифицировать в любую
отрасль с хорошими перспективами получения прибыли. При неродственной диверсификации
не нужно подбирать предприятия со стратегическими соответствиями. Достаточно,
чтобы избранная отрасль соответствовала критериям привлекательности и затрат на
вхождение, а третий критерий (дополнительные преимущества) играет
второстепенную роль.
Компании, осуществляющие неродственную диверсификацию, обычно
выходят на новые рынки путем приобретения уже работающих на них компаний, а не
формирования нового филиала в недрах материнской компании. Они исходят из того,
что рост путем покупки преобразуется в увеличение рыночной стоимости акции [10,
c. 19].
Примером компании, которая придерживается стратегии
неродственной диверсификации, является компания General Electric (GE), которая
владеет такими разнотипными подразделениями, как телевизионная сеть (NBC),
предприятие по выпуску осветительных приборов, компания по выпуску медицинской
техники, компания по производству авиационных двигателей, предприятие по
производству полупроводников, а также инвестиционный банк. Все эти
подразделения действуют обособленно, поэтому вряд ли можно рассчитывать на
получение синергетических преимуществ от совместной деятельности таких
разнотипных предприятий и компаний [10, c. 19].
Большим потенциалом обладает космическая и авиационная
промышленность. При формировании систем управления диверсификации космической
техники и технологий целесообразно использовать успешный зарубежный опыт,
например, систему передачи технологий Европейского космического агентства
(ЕКА).
Система передачи технологий ЕКА представляет собой совокупность
следующих основных элементов:
сеть бизнес-брокеров с центром в Германии;
он-лайн экспертиза проектов использования космических
технологий;
сеть европейских [6, с. 135].
Опыт стран со зрелой диверсифицированной экономикой и уже
немалый российский опыт по изменению экстенсивно-сырьевой модели экономики
свидетельствует о том, что переход на инновационный путь развития требует
комплексного подхода. Такой переход потребует от России глубокого системного
оздоровления социальной и правовой инфраструктуры. Приоритетом должны стать не
поддержка избранных отраслей, а создание инновационного климата в стране [15,
с. 20-21]. Следовательно, развитие инноваций, новых технологий играет
первостепенную роль. В таблице 1.3 [13, с. 97] показана тенденция по числу
патентных заявок в ряде стран. Хороший рост наблюдается в США, Россия же
отстает, но за рассматриваемый период с 2000 по 2007 гг. их число заметно
возросло. А в таких странах, как Германия, Великобритания, Япония их количество
даже сократилось.
Таблица 1.3 - Число патентных заявок на изобретения (тысяч)
|
2000
|
2003
|
2005
|
2006
|
2007
|
|
Германия
|
62,1
|
58,5
|
60,2
|
60,6
|
61,0
|
|
Россия
|
26,7
|
30,7
|
32,3
|
37,7
|
39,4
|
|
Великобритания
|
32,7
|
31,6
|
28,0
|
25,7
|
25,0
|
|
США
|
295,9
|
342,4
|
390,7
|
426,0
|
456,2
|
|
Франция
|
17,4
|
16,9
|
17,3
|
17,2
|
17,1
|
|
Япония
|
419,5
|
413,1
|
427,1
|
408,7
|
396,3
|
Итак, в условиях конкуренции любая компания стремится
упрочить свое положение на рынке и пытается своевременно реагировать на
изменение конъюнктуры. При помощи стратегии диверсификации специализированные
зарубежные фирмы превращаются в многоотраслевые комплексы-конгломераты,
составные части которых не имеют между собой функциональных связей. Являясь
инструментом устранения диспропорций воспроизводства и перераспределения
ресурсов, диверсификация производства и предпринимательской деятельности
преследует различные цели и определяет направления реструктуризации экономики.
Диверсификацию выбирают, пытаясь повысить устойчивость
бизнеса, увеличить стоимость компании, повысить эффективность организации,
иногда - просто использовать удачную возможность или сменить вид деятельности.
Отрасли, которые выбираются для осуществления диверсификации, должны быть
привлекательными с точки зрения их структуры или должны быть потенциально
способны обеспечить такую привлекательность.
1.3 Диверсификация производства в России
В современных условиях в России происходит усиление
конкуренции, вследствие чего руководители предприятий вынуждены постоянно
находить новые инструменты управления и рычаги повышения конкурентоспособности.
Одной из основных причин невысокого уровня конкурентоспособности отечественной
промышленности, как на внешнем, так и на внутреннем рынке, является
сравнительно узкая специализация российских фирм, привязанность их к
какому-либо одному виду деятельности или одной товарной группе. В данной связи
особого внимания экономистов и менеджеров заслуживает один из ключевых подходов
к обеспечению конкурентоспособности предприятий, а именно диверсификация
производства.
В нашей стране понятие «диверсификация» появилось после
дефолта 1998 года. Именно тогда многие поняли: чтобы остаться на плаву,
необходимо развивать смежный бизнес. Потому диверсификацию можно считать
здоровым и экономическим обоснованным поведением любого предпринимателя. Чтобы
лучше ориентироваться в конкурентной среде, нужно правильно выбрать направление
диверсификации [6, с. 135].
На рубеже веков не один раз ставился вопрос о том, что в
российской экономике уже сформировались основные предпосылки развития процесса
диверсификации производства в России:
конкурентное развитие рынка и рост потребностей;
необходимость интенсификации использования производственных и
финансовых ресурсов;
стремление к сглаживанию конъюнктурных колебаний на рынке;
усиление неравномерности распределения инвестиционного
капитала между отраслями и комплексами;
гармонизация государственных регуляторов экономического
развития в соответствии с нормами Всемирной торговой организации;
ускоренный чистый приток иностранных инвестиций и превращение
российской промышленности в нетто - получателя инвестиционных ресурсов [11, с.
35-36].
Низкая диверсификация российского экспорта - одна из наиболее
острых проблем российской экономики. По данным Федеральной таможенной службы,
за 2007 год более 67% отечественного экспорта в страны дальнего зарубежья
приходилось на топливно-энергетический сектор. На втором месте находится
металлургия, занимающая порядка 14% отечественного экспорта в страны дальнего
зарубежья [11, с. 35].
Таким образом, структура российского экспорта носит
преимущественно сырьевой характер: на внешний рынок поставляются в основном
энергетическое сырье, необработанные металлы и концентраты. Доля продукции
глубокой обработки не превышает 10%. Экспорт важнейших видов
минерально-сырьевой продукции является важнейшим источником наполнения бюджета,
обеспечивая до 70% валютных поступлений [11, с. 35].
По данным таблицы 1.4 [13, с. 111-113] можно проследить, что
по сравнению с другими странами, Россия обогащается только за счет сырья -
нефти и газа. Это плачевно сказывается на Российской экономике. Глава
Минэкономразвития РФ Э. Набиулина отмечает, что мировой финансовый кризис
показал исчерпанность роста российской экономики. Среди причин были названы:
недостаточное развитие собственного финансового рынка, чрезмерная зависимость
от экспорта только нескольких секторов экономики, а также низкая
диверсификация. Все это доказывает, что стратегия диверсификации должна стать
одной из доминирующих базовых стратегий развития реального сектора экономики
нашей страны [11, с. 37].
Таблица 1.4 - Основные товары экспорта и импорта в 2007 г.
|
Экспорт
|
Импорт
|
|
Наименование
товара
|
В % от общего
объема экспорта
|
Наименование
товара
|
В% от общего
объема импорта
|
|
Германия
|
Легковые
автомобили
|
10,4
|
Сырая нефть и
нефтяные масла
|
5,2
|
|
Детали и
аксессуары к автомобилям
|
3,3
|
Легковые
автомобили
|
4,2
|
|
Медикаменты
|
3,1
|
Детали и
аксессуары к автомобилям
|
2,6
|
|
Россия
|
Сырая нефть
|
34,5
|
Легковые
автомобили
|
10,7
|
|
Нефтепродукты
|
14,8
|
Аппаратура
телефонной и телеграфной связи
|
3,4
|
|
Газ природный
|
12,7
|
Черные металлы
|
3,1
|
|
США
|
Летательные
аппараты и оборудование к ним
|
6,5
|
Сырая нефть и
нефтяные масла
|
12,5
|
|
Электронные
лампы, трубки, транзисторы
|
4,4
|
Легковые
автомобили
|
6,7
|
|
Легковые
автомобили
|
3,8
|
Оборудование
для электросвязи
|
3,5
|
|
Япония
|
Легковые
автомобили
|
15,1
|
Сырая нефть и
нефтяные масла
|
16,7
|
|
Электронные
лампы, трубки, транзисторы
|
6,2
|
Природный газ
|
4,3
|
|
Детали и
аксессуары к автомобилям
|
4,1
|
Электронные
лампы, трубки, транзисторы
|
3,9
|
В этом случае: большее внимание диверсификации отраслевых
предприятий, создание новых производств, ориентированных на экспорт, должно
позволить осуществить диверсификацию самого российского экспорта, по таким
направлениям, которые часто называются различными авторами:
диверсификацию путем мобилизации и комбинирования уже
имеющихся конкурентных преимуществ (инерционная диверсификация), когда в
экспортный оборот вовлекаются товары и услуги, существенно не меняющие, а
только корректирующие сложившуюся специализацию.
- диверсификацию на основе реализации сценария инновационного
развития и структурной диверсификации российской промышленности (инновационная
диверсификация). В данном случае инновационная диверсификация предполагает
дальнейшее развитие и усиление системы национальных конкурентных преимуществ и
становление новых конкурентоспособных производств, улучшение параметров международной
стандартизации нашей страны [11, с. 38].
Создание крупных российских корпораций является важным
фактором обеспечения конкурентоспособности национальной экономики. И
наблюдаемое усиление этих процессов в последнее время можно считать вполне
объективным и позитивным, за исключением, разумеется, тех случаев, когда при
этом грубо нарушаются условия поддержания конкурентной среды [11, с. 35].
Если сравнить крупнейшие мировые корпорации с российскими, то
масштабы концентрации финансового и промышленного капиталов там существенно
превышают аналогичные российские показатели. Отечественные аналоги пока
несопоставимы со многими зарубежными корпорациями не только по масштабам
деятельности, но и по эффективности управления и взаимоучастия в капитале [11,
с. 35].
Таблица 1.5 - Крупнейшие российские международные компании и
ФПГ по рыночной стоимости, 2008 г.
|
Рейтинг
|
компания
|
отрасль
|
Капитализация
(млн. руб.)
|
|
1
|
«Газпром»
|
Нефтяная и
газовая промышленность
|
5804745
|
|
2
|
«Роснефть»
|
Нефтяная и
газовая промышленность
|
2284861
|
|
3
|
Сбербанк России
|
Банки
|
1254849
|
|
4
|
«ЛУКойл»
|
Нефтяная и
газовая промышленность
|
1583655
|
|
9
|
«Мобильные
телесистемы»
|
Телекоммуникации
и связь
|
513321
|
В отличие от зарубежных корпораций, диверсифицирующихся, как
правило, для достижения синергетического эффекта, в России практикуется
создание объединений «на бумаге» в расчете на то, что будущая совместная
деятельность сама по себе создаст основу для приращения капитала. Однако, есть
и сходство: большинство российских компаний диверсифицируется, дабы застраховать
себя от возможного спада в той или иной отрасли, и этим они копируют политику
корпораций развивающихся стран [11, с. 35].
От диверсификации зависит конкурентоспособность российской
экономики. Диверсификационная модель развития российской экономики была
предложена Минэкономразвития РФ еще в 2003 году при разработке проекта
«Концепции долгосрочного социально-экономического развития РФ» до 2020 года.
Очевидно, что наращивание экспортного потенциала страны
невозможно без наличия сильной и диверсифицированной экономики, но создание
такой экономики предполагает формирование целостного механизма диверсификации
экспорта. Чтобы вернуть себе статус державы, России необходимо развитие
отраслей машиностроения, станкостроения, авиации, судостроения и др. [11, с.
38].
Перед машиностроительными предприятиями в нашей стране
ставится задача перехода к более прогрессивному типу, а именно - всесторонней
диверсификации фондосберегающего вида, позволяющей повысить эффективность
производства на основе экономии материальных и трудовых ресурсов. Такая
постановка задач определяет проблему повышения эффективности производства:
оптимальное использование всех видов производственных ресурсов, значительная
часть которых должна направляться на цели производственно-коммерческой деятельности
и технической реконструкции производства, т.е. непосредственно на создание
комплексной диверсификации [3, с. 169].
Аутсортинг (эффективная модель хозяйствования, заключающаяся
в передаче сторонней компании различных элементов деятельности, которая ранее
осуществлялась в рамках данной компании) позволяет предприятию
сосредотачиваться на своем основном деловом процессе: производстве
высокотехнологичных «расширенных продуктов» по индивидуальным запросам
потребителей, производстве знаний, новых идей, технологий, решений.
Развитие аутсортинга обусловлено особенностями отрасли
машиностроения, которые предоставляют возможности значительного развития
диверсификации деятельности и специализации отдельных производств. При этом
предоставляет интерес возможность объединения эффектов от диверсификации и
специализации деятельности за счет выделения направлений в самостоятельные
дочерние предприятия, их специализации и предоставления выполняемых работ в
форме аутсортинга [3, с. 169].
В 21 веке на российских предприятиях ракетно-космической
отрасли накоплен значительный научно-технический потенциал, а в арсеналах
организаций, эксплуатирующих космическую и ракетную технику, есть в наличии
большое количество еще не использованной техники. При этом научно-технический потенциал
и техника получены в основном в советские годы при реализации военных программ
развития боевой военной техники и освоения космоса [12, с. 67].
В России недостаточно реализовались возможности
диверсификации космической техники и технологий - в частности ее конверсии, то
есть использования в гражданских целях. Это подтверждается тем, что большинство
заказов российских предприятий ракетно-космической отрасли формируется и по
настоящее время на основе государственного финансирования [12, с. 67].
В отличие от практики российских предприятий, портфель
заказов зарубежных аэрокосмических фирм сильно диверсифицирован. В РФ для
предприятий отрасли повышение их капитализации становится актуально, тем более
что многие из них уже преобразованы или находятся в стадии преобразования в
акционерные общества: ОАО «РКК Энергия», ОАО «Космические информационные
системы», ОАО «Российская корпорация ракетно-космического приборостроения и
информационных систем». Увеличению капитализации российских компаний
ракетно-космической отрасли в значительной степени будет способствовать
диверсификации использования космической техники и технологий в гражданском
секторе.
Рисунок 1.4 - Этапы создания и использования конверсионных
ракет России и США
Проекты модернизации конверсионных космических технологий для
космонавтики представляют собой «возвращение» конверсионной космической
технологии. Таким образом, обеспечивается диверсификация применений космических
технологий, что позволяет снижать себестоимость и риск реализации разработок, а
также повышать конкурентоспособность изделий и ускорять развитие космической и
ракетной техники [16, с. 19].
Фаза жизненного цикла, с которой начинается конверсия или
модернизация космической технологии может быть различной: НИР, ОКР, ОП\ПП,
производство, утилизация, что существенно влияет на особенности управления
проектами и определяет ограничения при реализации проекта.
Характерным примером могут являться проекты конверсии
ракетно-космической техники. С начала ракетостроительной эры середины 20 века
ракеты космического назначения проектировались на основе баллистических ракет
военного назначения. Так, например, известная ракета космического назначения
«Союз» и ее модификация являются переоборудованной боевой ракетой Р-7.
Большинство американских ракет имеют военную предысторию. В настоящее время
переоборудование межконтинентальных баллистических ракет (МБР) в
ракеты-носители (РН) производится российскими и американскими фирмами в рамках
Договора о сокращении стратегических наступательных вооружений СНВ-1 [12, с.
70].
Конверсия военного производства - перевод предприятий,
выпускающих военную продукцию, на производство гражданской, мирной продукции.
На рисунке 1.5 показаны этапы преобразования большинства американских и
российских баллистических ракет в конверсионные. Примером успешного
переоборудования боевой ракеты является доработка изделия РС-18 в ракету
космического назначения «Рокот» с различными вариантами разгонных блоков и
новой космической головной частью [12, с. 70].
В факторы среды конверсионных проектов входят также рыночные
показатели, т.е. показатели спроса, политические и другие факторы, которые для
каждого проекта должны быть классифицированы отдельно. Адаптивная система
управления проектами может быть применена к различным проектам диверсификации
космических проектов в целом [12, с. 71].
Повышение производительности труда и эффективности
производства являются важнейшими проблемами теории и практики современной
экономики России. Обладая огромным ресурсным потенциалом, наша страна по уровню
производительности отстает от развитых стран в 5-7 раз, и, как следствие,
занимает серединное место в мире по уровню благосостояния населения. Как
известно, производительность труда является одним из важнейших показателей
эффективности функционирования хозяйствующих субъектов.
Значительный удельный вес машиностроения в российской
промышленности обусловливает актуальность проблемы роста производительности
труда на предприятиях данной отрасли. В условиях перехода к рыночной экономике
наблюдался значительный спад производства в машиностроении, особенно в ОПК. Еще
при плановой экономике был накоплен значительный научно-технический потенциал,
который целесообразно использовать сегодня для производства высокотехнологичных
продуктов гражданского назначения. Это становится особенно актуальным в
современной ситуации в период перехода к наукоемкой экономике. Так, именно
производство наукоемкой продукции США обеспечивает высокие темпы роста
производительности труда и эффективности производства [3, с. 168].
Таблица 1.5 - Индекс предпринимательской уверенности
организаций по видам экономической деятельности (в текущем месяце, в %)
|
2008
|
2010
|
|
март
|
июнь
|
сентябрь
|
декабрь
|
март
|
июнь
|
сентябрь
|
декабрь
|
|
Добыча полезных
ископаемых
|
6
|
0
|
6
|
-16
|
-1
|
2
|
2
|
-3
|
|
Обрабатывающие
производства
|
5
|
5
|
2
|
-20
|
-6
|
-3
|
-2
|
-6
|
|
Производство и
распределение электроэнергии, газа и воды
|
-3
|
-2
|
3
|
1
|
-6
|
-7
|
6
|
6
К примеру, если рассматривать фармацевтический рынок в
России, то нужно отметить, что успешная диверсификация на фармацевтическом
ранке должна осуществляться с учетом сложившейся расстановки сил при
необходимом наличии финансовых возможностей, а также профессиональном отношении
к фармацевтическому рынку. Принимая во внимание эти условия, у любой компании
будет намного больше шансов при осуществлении диверсификации.
Основное отличие большинства отечественных фармацевтических
компаний от зарубежных конкурентов состоит в том, что они в разы меньше.
Соответственно, для поддержания конкурентоспособности нужно либо вкладывать в
рост столько же ресурсов, сколько вкладывают западные конкуренты, что весьма
проблематично, либо сконцентрировать свои ресурсы только на самых перспективных
направлениях: освоении новых сегментов, создании альянсов либо на выходе на
зарубежные рынки [5, с. 114-115].
Проблема формирования организационно-экономического механизма
эффективной диверсификации производства в настоящее время остается для
российской экономики одной из наиболее актуальных и значимых [6, с. 136].
В условиях перехода к рыночной экономике наблюдался
значительный спад производства в машиностроении, особенно в
оборонно-промышленном комплексе. В плановой экономике значительную долю
машиностроительного комплекса составляли оборонные предприятия. Многочисленные
государственные заказы и финансирование позволяли им активно развивать свое
производство, обеспечивая высокие темпы производительности, проводить научно-исследовательские
работы, благодаря чему и был накоплен значительный научно-технический
потенциал, который целесообразно использовать сегодня для производства
высокотехнологичных продуктов гражданского назначения. Это становится особенно
актуальным в 21 тысячелетии, в период перехода к наукоемкой экономике. Так,
именно наукоемкое производство в США (30% мирового объема) обеспечивает высокие
темпы роста производительности труда и эффективности производства [3, с. 168].
Таким образом, при рассмотрении диверсификации как метода
повышения эффективности на предприятиях и в экономике России, становится
очевидным, что наращивание экспорта энергоресурсов и специализации производства
не даст ожидаемого эффекта по диверсификации, что возможно только в случае
одновременной диверсификации промышленности и диверсификации экспорта,
проведении реформ, направленных на укрепление несырьевой составляющей
экономики.
Для формирования диверсифицированной экономики в РФ
необходимо привлекать значительно большее количество новых субъектов
хозяйствования, рыночных игроков, включая малые и средние предприятия, которые
также должны быть диверсифицированы в ходе эволюции. При этом необходимы
государственные механизмы стимулирования данных процессов в виде
амортизационной, налоговой составляющих, инфраструктурной поддержке.
2. Формирование основных экономических
показателей деятельности предприятия
.1 Состав и структура основных фондов
Для того чтобы рассчитать Nоб. - количество
оборудования, воспользуемся формулой, ед.:
где Qг - годовая производственная программа, ед.;
Нвр - норма времени на изготовление продукции, ч.;
ЭВФ - эффективный фонд работы оборудования в году, ч.
В свою очередь эффективный фонд рабочего времени
рассчитывается следующим образом, ч.:
где Дк - число календарных дней, дн.;
Двых,пр - число выходных и праздников, дн.;
nс - число смен, ед.;
tc - часы рабочего времени, ч.;
tпр - регламентированное время простоя на ремонт
оборудования, ч.
Посчитаем эффективный фонд рабочего времени:
ЭФВ =248*2*8*0,95 = 3769,6 ч.
Зная ЭФВ, найдем требуемое количество оборудования:
Nоб = 13000*7,2/3769,6 = 24,83≈25 единиц.
Формула расчета стоимости оборудования, руб.:
Соб.н=Nоб* Цоб
Соб.н = 25*38 000 = 950 000 руб.
Определим стоимость основных фондов по группам в соответствии
со структурой (табл. 2.1.1).
Таблица 2.1.1 - Стоимость структуры основных фондов
предприятия на начало года
|
Группа основных
фондов
|
Стоимость, руб.
|
Структура, %
|
|
Здания
|
2 137 500,00
|
45
|
|
Сооружения
|
475 000,00
|
10
|
|
Оборудование
|
950 000,00
|
20
|
|
Перед.
Устройства
|
237 500,00
|
5
|
|
Инвентарь
|
237 500,00
|
5
|
|
Прочие
|
712 500,00
|
15
|
|
Итого:
|
4 750 000,00
|
100
|
Таким образом, суммарная стоимость основных фондов составляет
4 750 000,00 рублей.
Структура основных фондов приведена на рисунке 1: почти
половина основных фондов приходится на здания, оборудование составляет 20%,
сооружения в два раза меньше, инвентарь и передаточные устройства в
совокупности составляют десятую часть основных фондов.
Рисунок 2.1. - Структура основных фондов предприятия
Рассчитаем стоимость оборудования на конец года:
Соб.кг= Снг - Свыб.+
Сввед
где ОСоб.кг - стоимость оборудования на конец
года, руб.;
Снг - стоимость основных фондов на начало
месяца, руб.;
Сввед - стоимость введённых основных
средств, руб.;
Свыв - стоимость выведенных основных
средств, руб.
Соб.кг= 950 000 - 30 000 + 33 000 = 953 000
руб.
Стоимость оборудования на конец года составляет 953 000
рублей.
Таблица 2.1.2 - Стоимость и структура основных фондов
предприятия на конец года
|
Группа основных
фондов
|
Стоимость, руб.
|
Структура, %
|
|
Здания
|
2 137 500,00
|
45,11
|
|
Сооружения
|
475 000,00
|
10,02
|
|
Оборудование
|
953 000,00
|
20,11
|
|
Перед.
Устройства
|
237 500,00
|
5,01
|
|
Инвентарь
|
237 500,00
|
5,01
|
|
Прочие
|
712 500,00
|
15,04
|
|
Итого:
|
4 753 000,00
|
100
|
Расчет среднегодовой стоимости основных фондов, руб.:
где Фср.год - среднегодовая стоимость
основных фондов, руб.;
Фн.г - стоимость основных фондов на начало
года, руб.;
Фвв - стоимость введённых
основных средств, руб.;
Фвыв - стоимость выведенных основных
средств, руб.;
tвв- с какого месяца ввели;
tвыв- с какого месяца вывели;
Фср.год= 4 750 000 + (33 000*6/12) - (30
000*11/12) = 4 739 000 руб.
Среднегодовая стоимость основных фондов составляет 4 739 000
рубля.
Рассчитаем ежегодную сумму амортизационных отчислений по
линейному методу (табл. 2.1.3):
Таблица 2.1.3 - Годовая сумма амортизационных отчислений
|
Группа
|
Срок службы,
лет
|
Норма
амортизацион-ных отчислений (месячная), %
|
Сумма
амортизацион-ных отчислений в месяц, руб.
|
Сумма
амортизацион-ных отчислений в год, руб.
|
|
Здание
|
50
|
0,17
|
29 688,50
|
356 250,00
|
|
Сооружения
|
30
|
0,28
|
10 995,37
|
131 944,44
|
|
Оборудование
|
15
|
0,56
|
-
|
63 084,00
|
|
Передаточные
устройства
|
20
|
0,42
|
8 246,53
|
98 958,33
|
|
Инвентарь
|
3
|
2,78
|
54 976,85
|
659 722,22
|
|
Прочие
|
5
|
1,67
|
98 958,33
|
1 187 500,00
|
|
Итого
|
-
|
100
|
|
2 497 458,90
|
|
|
|
|
|
|
Для расчета амортизационных отчислений по оборудованию
составим следующую таблицу:
Таблица 2.1.4 - Расчет амортизационных отчислений по оборудованию
|
Стоимость, руб.
|
Число месяцев
|
Норма
амортизационных отчислений в месяц, %
|
Сумма
амортизационных отчислений (месячная), руб.
|
Сумма
амортизационных отчислений (годовая), руб.
|
|
950 000,00
|
2
|
0,56
|
5 320,00
|
10 640,00
|
|
920 000,00
|
5
|
0,56
|
5 152,00
|
25 760,00
|
|
953 000,00
|
7
|
0,56
|
5 336,80
|
26684,00
|
|
Итого:
|
12
|
|
|
63 084,00
|
Таким образом, стоимость оборудования на начало года
составила 950 000 рублей, на конец года - 953 000 рублей, среднегодовая
стоимость основных фондов - 4 739 000 рублей, а годовая сумма амортизационных
отчислений составила 2 497 458,90 рублей.
2.2 Состав и структура оборотных средств
предприятия
Годовая потребность в i-ом элементе
производственных запасов определяется на основе годовой производственной
программы и нормы его расхода:
,
где Рi - потребность i-го элемента
производственных запасов, ед.;
Hi - норма расхода i-го элемента на единицу
выпускаемой продукции, ед.
Р1 = 13 000*6=78 000 ед.;
Р2 = 13 000*8=104 000 ед.;
Р3 = 13 000*8=104 000 ед.;
Р4 = 13 000*5=65 000 ед.
Найдем расход производственных запасов по элементам исходя из
их потребности и цены за единицу:
,
где Спзi - стоимость i-го элемента, руб.;
Цi - цена единицы i-го элемента, руб.
Спз1 = 78 000 *47=3 666 000 руб.;
Спз2 = 104 000 *78=8 112 000 руб.;
Спз3 = 104 000 *60=6 240 000 руб.;
Спз4 = 65 000 *70=4 550 000 руб.
Норматив оборотных средств i-го элемента определяется
по формуле:
,
где Wi - норматив запаса i-го элемента оборотных средств, руб.;
- однодневный расход i-го
элемента оборотных средств, руб.;
ni - норма запаса, дн.
Рассчитаем однодневный расход i-ого элемента
производственных запасов, руб.:
Сднi= Спзi / (Дкал - Двых,пр)
Сдн1 = 3 666 000 /248= 14 782,26 руб.;
Сдн2 = 8 112 000 /248= 32 709,68 руб.;
Сдн3 = 6 240 000 /248= 25 161,29 руб.;
Сдн4 = 4 550 000 /248= 18 346,77 руб.
Норма запаса для каждого элемента производственного запаса
складывается из:
,
где tтек - текущий запас, дн.;
tстр -
страховой запас, дн.;
tтр -
транспортный запас, дн.;
tтех -
технологический запас, дн.;
tпод -
подготовительный запас, дн.
Таблица 2.2.1 - Исходные данные норм запаса для каждого элемента
производственного запаса
|
Элемент ni
|
Т, дн.
|
С, дн.
|
М, дн.
|
Ф, дн.
|
П, дн.
|
Сумма ni, дн.
|
|
1
|
15
|
7
|
3
|
1
|
1
|
27
|
|
2
|
22
|
11
|
5
|
2
|
1
|
41
|
|
3
|
10
|
5
|
2
|
1
|
1
|
19
|
|
4
|
30
|
15
|
5
|
2
|
2
|
54
|
Теперь можем найти норматив оборотных средств каждого
элемента:
W1 = 14 782,26 *27= 399 120,97 руб.;
W2 = 32 709,68 *41= 1 341 096,77 руб.;
W3 = 25 161,29 *19= 478 064,52 руб.;
W4 = 18 346,77 *54= 990 725,81 руб.
На основе данных заполним таблицу 2.2.2.
Таблица 2.2.2 - Производственные запасы
|
Элемент
|
Рi, ед.Цi, руб. за ед.Спзi, руб.ni, дн.Сднi, руб.Wi, руб.
|
|
|
|
|
|
|
1
|
78 000
|
47
|
3 666 000,00
|
27
|
14 782,26
|
399 120,97
|
|
2
|
104 000
|
78
|
8 112 000,00
|
41
|
32 709,68
|
1 341 096,77
|
|
3
|
104 000
|
60
|
6 240 000,00
|
19
|
25 161,29
|
478 064,52
|
|
4
|
65 000
|
70
|
4 550 000,00
|
54
|
18 346,77
|
990 725,81
|
|
Итого
|
351 000
|
|
22 568 000,00
|
|
91 000,00
|
3 209 008,06
|
Зная сумму норматива оборотных производственных запасов и
структуру оборотных средств можно рассчитать сумму остальных элементов,
входящих в состав оборотных средств (таблица 2.2.3).
Таблица 2.2.3 - Состав и структура оборотных средств
|
Группа
оборотных средств
|
Сумма, руб.
|
Структура, %
|
|
Оборотные
производственные фонды:
|
6 418 016,13
|
70
|
|
Производственные запасы (Wп)
|
3 209 008,06
|
50
|
|
Незавершенное производство
|
2 567 206,45
|
40
|
|
Расходы будущих периодов
|
641 801,61
|
10
|
|
Фонды
обращения:
|
2 750 578,34
|
30
|
|
Денежные средства
|
1 375 289,17
|
50
|
|
Дебиторская задолженность
|
1 100 23,34
|
40
|
|
Средства в расчетах
|
275 057,83
|
10
|
|
Итого
|
9 168 594,47
|
100
|
Получаем, что итоговая сумма всех оборотных средств
составляет 9 168 594,47 рублей.
Рисунок 2.2.1 - Структура оборотных производственных фондов
Из рис. 2.2.1 видно, что 50% оборотных производственных фондов
составляют производственные запасы, 40% приходится на незавершенное
производство и десятую часть занимают расходы будущих периодов.
Рисунок 2.2.2 - Структура фондов обращения
На рис. 2.2.2 представлена структура фондов обращения: 50%
составляют денежные средства, 40% приходится на дебиторскую задолженность и десятую
часть составляют средства в расчетах.
Рисунок 2.2.3 - Структура оборотных средств предприятия
На рисунке 2.2.3 представлена структура оборотных средств
предприятия: около 30% приходится как на производственные запасы, так и на
дебиторскую задолженность, 15% составляют денежные средства, затем следует
дебиторская задолженность, расходы будущих периодов 7% и 3% средства в
расчетах.
Таким образом, необходимая сумма производственных запасов
предприятия составляет 22 568 000,00 рублей. Рассматривая структуру оборотных
средств предприятия и ее составляющих, можно отметить, что производственные
запасы составляют большую долю оборотных средств, а затем уже следует
незавершенное производство и денежные средства. От общей доли оборотных средств
70% принадлежит ОПФ, а остальные 30% - ФО.
2.3 Кадры предприятия и
оплата труда
Персонал предприятия (кадры) состоит из работников различных
профессионально-квалификационных групп, занятых на предприятии, как
совокупности физических лиц, связанных договором найма с предприятием как
юридическим лицом. Структурная характеристика персонала предприятия
определяется составом и количественным соотношением различных категорий групп
работников.
При планировании персонала различают календарный, номинальный
и эффективный фонды бюджета рабочего времени. Календарный фонд времени
соответствует числу дней в году. Номинальный фонд представляет собой
календарное время за вычетом выходных и праздничных дней.
Реальный фонд времени рассчитывается как разность между
номинальным фондом и общим числом неявок на работу, среди которых отпуска,
болезни, прогулы, целодневные простои, забастовки и др.
,
где Дотп - продолжительность отпуска,
дн.;
Дб - дни по болезни, дн.;
Дго - дни выполнения государственных
обязанностей, дн.;
Ддр - продолжительность других неявок,
дн.
Фонд времени номинальный, дн., рассчитывается по формуле:
ФВн = 366-118=248 дн.
Зная фонд времени номинальный и число дней остальных
компонентов формулы найдем реальный фонд времени:
ФВр = 248 - (28+10+3+3)=204 дн.
Эффективный фонд рабочего времени представляет собой
количество часов рабочего времени, отработанных работником на предприятии в
течение календарного периода и определяется:
,
где tсм - продолжительность рабочей смены, ч;
Дпп - количество предпраздничных дней в году, дн.;
tс - время
сокращения рабочей смены в предпраздничные дни, ч.
ФВэ = 204*8-3*1=1 629 ч.
Трудоемкость производственной программы рассчитывается, как
правило, прямым счетом: объем продукции по каждой номенклатурой позиции плана
умножается на затраты времени, необходимые в плановом периоде на изготовление
единицы продукции.
При расчете по нормам выработки численность основных рабочих
определяют исходя из производственного задания и норм выработки по формуле:
,
где Qг - годовой объем производства, ед.;
Нв - плановая норма выработки в единицу
рабочего времени, ед.
No =13 000/(0,7*1 629*2)=
5,7 ≈ 6 чел.
Трудоемкость основных работ определяется в
соответствии с удельной трудоемкостью и годовой производственной программы
найдем по формуле:
где t - удельная трудоемкость изготовления
единицы продукции, чел.-ч.
Чтобы найти удельную трудоемкость изготовления единицы продукции
воспользуемся формулой:
t = 1/0,7=1,43 чел.-ч.
Отсюда То = 1,43*13 000=18 590 ч.
Численность вспомогательных рабочих,
занятых на работах, рассчитывается по трудоемкости вспомогательных работ:
где Твсп - плановая трудоемкость
производственной программы (по затратам труда основных рабочих), чел.-ч.
Трудоемкость вспомогательных работ составляет 40% от трудоемкости
основных работ:
Отсюда численность вспомогательных рабочих будет составлять:
Nвсп =
(0,4*18 590)/1 629 = 4,56 ≈ 5 чел.
Численность служащих определяется исходя из имеющихся
среднеотраслевых данных, а при их отсутствии - по нормативам,
разработанным предприятием. Нужно отметить, что нормативы численности в
зависимости от сферы их применения должны разрабатываться не только по каждой
отдельной функции управления, предприятию в целом, но и по отдельным видам
работ и должностям. Численность руководителей определяется размером
предприятия, его отраслевыми особенностями, нормами управляемости.
Таблица 2.3.1 - Численность руководителей специалистов и
служащих
|
Функция
|
Количество
работников (основных и вспомогательных)
|
|
до 40
|
40-80
|
80-110
|
свыше 110
|
|
1. Общее
руководство
|
2
|
3
|
3
|
4
|
|
2. Планирование
|
2
|
3
|
4
|
4
|
|
3. Бухучет
|
2
|
3
|
4
|
4
|
|
4. Снабжение
|
1
|
2
|
2
|
3
|
|
5. Сбыт
|
1
|
2
|
2
|
3
|
Среднесписочная численность работников
предприятия составит:
Nрсс =2+2+2+1+1=8 чел.
Получаем, что Nсс = 6+5+8=19 чел.
Для работников основного производства примем сдельно-премиальную
форму оплаты труда. При этом величина фонда заработной платы определится:
,
где ФЗПо - фонд заработной платы работников основного
производства, руб.;
ЗПосн - основная заработная плата, руб.;
ЗПдоп - дополнительная заработная плата, руб.
Основная заработная плата (руб.)
определяется по формуле:
,
где ЗПтар - тарифная часть заработной платы, руб.;
ЗПд,н - доплаты, надбавка, руб.;
П - премия, руб.
Тарифная часть заработной платы, руб.:
,
где Ср - сдельная расценка за
единицу произведенной продукции, руб.;
Кп - поясной коэффициент
(=1,15).
ЗПтар = 13 000*75*1,15= 1 121
250 руб.
Доплаты, надбавка, руб.:
,
где Нд,н - норма доплат и надбавок, 18%.
ЗПд,н = 0,18*1 121 250 = 201 825 руб.
Премии основным рабочим находим по формуле:
 ,
где Нп - норма премиальных выплат, 35%.
П = 0,35*(1 121 250 + 201 825)= 463 076,25 руб.
Теперь найдем величину основной заработной платы:
ЗПосн = 1 121 250 +201 825 +463 076,25 = 1 786
151,25 руб.
Дополнительная заработная плата учитывает
оплату за неотработанное время (отпуска и т.п.) и определяется:
 ,
где Ндоп - норма дополнительной заработной платы, 13%.
ЗПдоп = 0,13*1 786 151,25 = 232 199,65 руб.
Фонд заработной платы работников основного
производства составляет:
ФЗПо = 1 786 151,25 +232 199,65 = 2 018 350,8 руб.
Среднемесячная заработная плата работников
основного производства:
ЗПсм = 2 018 350,8 /(12*6)= 28 032,65 руб.
Для работников вспомогательного
производства примем повременно-премиальную форму оплаты труда. При этом
величина фонда заработной платы определится:
При этом основная заработная плата считается по такой же формуле
что и для работников основного производства:
Тарифная часть заработной платы определяется в соответствии с
часовой тарифной ставкой и отработанным временем:
 ,
ЗПтар = 50*7 436*1,15= 427 570 руб.
где Сч - часовая тарифная
ставка вспомогательного рабочего, руб.
Доплаты, надбавки определим в соответствии
с нормой:
 ,
где Нд,н - норма доплат и надбавок, 16%.
ЗПд,н = 0,16*427 570 =68 411,2 руб.
Премии вспомогательным рабочим:
,
где Нп - норма премиальных выплат, 35%.
П =0,35*(68 411,2 +427 570)=173 593,42 руб.
Найдем основную заработную плату вспомогательных рабочих:
ЗПосн = 68 411,2 +427 570+173 593,42 = 669 574,62 руб.
Дополнительная заработная плата определяется:
 ,
где Ндоп - норма дополнительной заработной платы, 13%.
ЗПдоп =0,13*669 574,62 = 87 044,7 руб.
Таким образом, фонд заработной платы работников
вспомогательного производства составляет:
ФЗПвсп =669 574,62 +87 044,7 =756 619,32 руб.
Среднемесячная заработная плата работников
вспомогательного производства:
ЗПсм =756 619,32 /(12*5)= 12 610,32 руб.
Фонд заработной платы руководителей,
специалистов и служащих определим в соответствии со среднемесячным окладом
данной категории персонала:
 ,
где ЗПрсс - среднемесячный оклад руководителей,
специалистов и служащих, руб.;
Nрсс -
число руководителей, специалистов и служащих, чел.
ФЗПрсс = 22 000*12*8=2 112 000 руб.
Фонд оплаты труда работников предприятия составит сумму фондов
заработной платы основных и вспомогательных рабочих, руководителей,
специалистов и служащих:
ФОТ = 2 018 350,8 +756 619,32 +2 112 000 = 4 886 970,1 руб.
Рассчитаем взносы в социальные фонды.
Согласно Федеральный закону от 24.07.2009 №212-ФЗ «О страховых взносах в
Пенсионный фонд Российской Федерации, Фонд социального страхования Российской
Федерации, Федеральный фонд обязательного медицинского страхования и территориальные
фонды обязательного медицинского страхования» для организаций и
предпринимателей, применяющих общую систему налогообложения, упрощенную систему
налогообложения и переведенных на уплату единого налога на вмененный доход
налоговая нагрузка (сумма всех страховых взносов) составляет 30% (в Пенсионный
фонд РФ - 22%, Фонд социального страхования РФ - 2,9%, Фонд обязательного
медицинского страхования РФ - 5,1%, в т.ч. ФФОМС - 3,1%, ТФОМС - 2%)
Таблица 2.3.2 - Фонд оплаты труда работников предприятия
|
Показатель
|
Значение, руб.
|
|
1. Фонд оплаты
труда всего
|
4 886 970,1
|
|
- в т.ч.
основных рабочих
|
2 018 350,8
|
|
- вспомогательных
рабочих
|
756 619,32
|
|
- руководителей,
специалистов и служащих
|
2 112 000,00
|
|
2.
Среднемесячная заработная плата работников предприятия
|
20 881,00
|
|
- основных
рабочих
|
28 032,65
|
|
- вспомогательных
рабочих
|
12 610,32
|
|
- руководителей,
специалистов и служащих
|
22 000,00
|
|
3. Взносы в
социальные фонды
|
1 466 090,90
|
|
- в ПФР - 22%;
|
1 075 133,40
|
|
- в ФСС - 2,9%;
|
141 722,13
|
|
- в ФФОМС -
3,1%;
|
151 496,07
|
|
- в ТФОМС - 2%.
|
97 739,40
|
Таким образом, необходимая численность
работников на предприятии составляет 19 человек, а общий фонд оплаты труда
работников составил 4 886 970,1 рублей, среднемесячная заработная плата
работников предприятия составила 20 881 рублей, взносы в социальные фонды 1 466
090 рублей 90 копеек.
2.4 Состав затрат на
производство продукции
Себестоимость продукции (работ, услуг) - это
стоимостная оценка используемых в процессе производства продукции (работ,
услуг) природных ресурсов, сырья, материалов, топлива, энергии, основных
фондов, трудовых ресурсов, а также других затрат на ее производство и
реализацию.
Для расчета себестоимости всего объема производства и анализа
структуры издержек все затраты группируются в соответствии с их экономическим
содержанием по следующим элементам:
. Материальные ресурсы (ЗМ)
. Оплата труда (ФОТ).
. Отчисления на социальные нужды (ОТЧ).
. Амортизация основных фондов (АО).
. Прочие затраты (ЗПР).
В соответствии с указанной группировкой представим затраты
предприятия на производство и реализацию продукции, причем величину прочих
затрат определим по норме от суммы всех остальных затрат:
,
Зпр= (22 568 000,00+4 886 970,10+1 466 090,90+2
497 458,90)*0,2 = 6 283 703,60 (руб.),
где Нпр - норма прочих затрат, 20%.
Общая величина затрат составит: ,
Зобщ = 22 568 000,00+4 886 970,10+1 466 090,90+2 497
458,90+ 6 283 703,60 = 37 702 221,00 (руб.)
Тогда себестоимость единицы продукции будет равна:
С/с = 37 702 221,00/13 000 = 2 900,17 (руб.)
Полученные расчеты сведем в таблицу 2.4.1.
Таблица 2.4.1 - Себестоимость выпускаемой продукции
|
Статья затрат
|
Значение, руб.
|
Структура, %
|
|
1. Материальные
ресурсы
|
22 568 000,00
|
59,9
|
|
2. Фонд оплаты
труда
|
4 886 970,10
|
13,0
|
|
3. Взносы в
социальные фонды
|
1 466 090,90
|
3,9
|
|
4.
Амортизационные отчисления
|
2 497 458,90
|
6,6
|
|
5. Прочие
|
6 283 703,60
|
16,6
|
|
Всего
|
37 702 221,00
|
100
|
|
Себестоимость
единицы продукции
|
2 900,17
|
|
Для наглядности изобразим графическую структуру
себестоимости:
Рисунок 2.4.1 - Графическая структура себестоимости
Из рисунке 2.4.1 видно, что больше половины (59,9%) себестоимости
продукции составляют материальные ресурсы, 13% приходится на фонд оплаты труда,
около 4% занимают взносы в социальные фонды и 6,6% приходится на
амортизационные отчисления. Из данной структуры видно, что производство
является материалоемким.
Таким образом, общие затраты предприятия на производство и
реализацию продукции составляют 37 702 221 рублей, себестоимость единицы
продукции 2 900 рублей 17 копеек.
2.5 Формирование
финансовых результатов
К основным показателям, отражающим
финансовый результат, относится выручка от реализации продукции и прибыль
(убыток). Выручка от реализации продукции определяется исходя из установленной
цены и объема реализации:
,
где Цпр - цена единицы продукции, руб.
 = 13 000 ед.
По нашим данным установим цену, исходя из себестоимости
единицы продукции - уменьшим ее на 15 рублей, и получим цену единицы продукции.
ЦПР= 2 900,17 - 15 = 2 885,17 (руб.)
Найдем выручку от реализации продукции:
В = 2 885,17 × 13 000 = 37 507
210 (руб.)
Прибыль от реализации составляет разницу
между выручкой и себестоимостью:
,
где Зобщ - годовая сумма затрат на производство и
реализацию продукции, руб.
Зобщ = 37 702 221 (руб.)
Пр = 37 507 210 - 37 702 221 = - 195 011
(руб.)
Общую рентабельность не вычисляем, поскольку
предприятие несет убытки.
Налог на имущество предприятия
определяется по ставке от среднегодовой стоимости имущества:
,
где sим - ставка налога на имущество, % (определяется согласно
действующему законодательству, 2,2%);
 - среднегодовая стоимость имущества, руб.
Среднегодовую стоимость имущества определим укрупнено:
,
где А - амортизационные отчисления, руб.
- норматив оборотных средств, руб.
Среднегодовая стоимость имущества, признаваемого объектом
налогообложения, за налоговый период определяется как частное от деления суммы,
полученной в результате сложения величин остаточной стоимости имущества на 1-е
число каждого месяца налогового периода и последнее число налогового периода,
на число месяцев в налоговом периоде, увеличенное на единицу (п. 4 в ред.
Федерального закона от 24.07.2007 №216-ФЗ) (см. текст в предыдущей редакции).
Поэтому, рассчитаем среднегодовую стоимость основных фондов с
учетом данной поправки:
 ,
Соф = 4 750 000+(33 000*7)/13 - (30 000*12)/13 = 4
740 076,9 (руб.)
Получаем, = 4 740 076,90 - 2
497 458,90 + 3 209 008, 06 = 5 451 626,00 (руб.)
Отсюда, Ним = 0,022* 5
451 626,00 = 119 935,77 (руб.)
Прибыль для налогообложения не вычисляем, поскольку
предприятие несет убытки.
Величина чистой прибыли, остающейся в
распоряжении предприятия будет равна нулю.
Таблица 2.5.1 - Финансовые показатели
деятельности
|
Показатель
|
Значение
|
|
Затраты, руб.
|
37 702 221
|
|
Выручка, руб.
|
37 507 210
|
|
Прибыль от
реализации, руб.
|
- 195 011
|
|
Рентабельность,
%
|
0
|
|
Налог на
имущество, руб.
|
119 935,77
|
|
Налог на
прибыль, руб.
|
0
|
|
Чистая прибыль,
руб.
|
0
|
Таким образом, затраты на предприятии составили 37 702 221
рублй, а выручка 37 507 210, то есть, фирма несет убытки от реализации продукции
в размере 195 011 рублей. Налог на имущество составил 119 935 рублей 77 копеек.
Следовательно, чистой прибыли предприятие не имеет.
2.6 Показатели эффективности производственной
деятельности
Обобщающими показателем использования
основных фондов являются:
· фондоотдача;
· фондоемкость;
· фондовооруженность;
· рентабельность.
Наиболее общим показателем использования основных фондов
является фондоотдача, рассчитываемая по формуле:
,
ФО = 37 507 210/ 4 739 000= 7,91
Фондоотдача (ФО) характеризующаяся
выпуском продукции на один рубль стоимости ОПФ. Чем больше величина фондоотдачи
тем эффективнее используются ОПФ предприятия.
Обратным фондоотдаче показателем является показательфондоемкости,
показывающий потребность в основном капитале (основных фондах) на единицу
произведенной продукции:
ФЕ = 4 739 000/ 37 507 210= 0,13
Уровень обеспеченности работников
основными средствами определяется показателем фондовооруженности труда.
Фондовооруженность - это отношение
стоимости ОПФ к количеству работников:
Nсс = 19 человек.
ФВ = 4 739 000/ 19 = 249 421,05
Рентабельность основных фондов (RОФ) характеризует величину
прибыли, приходящуюся на один рубль фондов и рассчитывается по формуле:
В нашем случае, поскольку предприятие несет убытки,
рентабельности оно не имеет.
Эффективность использования оборотных
средств характеризуется системой показателей. Важнейшим критерием интенсивности
использования оборотных средств является скорость их оборачиваемости. Чем
короче период оборота средств и чем меньше они находятся в различных стадиях
оборота и чем эффективнее они используются, тем ниже себестоимость продукции.
Коэффициент оборачиваемости оборотных
средств (количество оборотов) - показывает число оборотов, совершенных
оборотными средствами за анализируемый период (квартал, полугодие, год):
,
где  - среднегодовой остаток оборотных средств, руб.
КОб 37 507 210/ 9 168 594,47 = 4,09 оборота в год.
Длительность одного оборота в днях
(продолжительность одного оборота) - время прохождения оборотных средств через
все стадии кругооборота. Время оборота показывает, за какой срок оборотные
средства совершают полный оборот, т.е. возвращаются к предприятию в виде
выручки от реализации продукции:
 ,
где - календарный
период, 366 дней.
Tоб= 366/
4,09 = 89,49 (дня).
Показателями эффективности использования трудовых ресурсов
является производительность труда в стоимостном выражении:
 ,
Nсс = 19 человек.
ПТс = 37 507 210/ 19 = 1 974 063,6 (руб.)
Производительность труда в натуральном выражении вычисляется
по формуле:
 ,
ПТн = 13000/19 = 684,2 ≈ 684 (ед.)
Полученные результаты расчетов показателей эффективности
деятельности предприятия занесем в таблицу 2.6.1.
Таблица 2.6.1 - Показатели эффективности деятельности
|
Показатель
|
Значение
|
|
1. Эффективности
использования основных фондов
|
|
|
фондоотдача
|
7,91
|
|
фондоемкость
|
0,13
|
|
фондовооруженность
|
249 421,05
|
|
рентабельность
|
-
|
|
2.
Эффективности использования оборотных средств
|
|
|
количество
оборотов
|
4,09
|
|
продолжительность
оборота
|
89,49
|
|
3.
Эффективности использования трудовых ресурсов
|
|
|
производительность
в стоимостном выражении
|
1 974 063,6
|
|
производительность
в натуральном выражении
|
684
|
Таким образом, показатель фондоотдачи показывает, что каждый рубль
активов предприятия создает 7,91 руб. от произведенной продукции. Показатель
фондовооруженности показывает, что из среднегодовой стоимости основных фондов
приходиться на каждого работающего 249 421,05 руб. Коэффициент оборачиваемости
оборотных средств равен 4,09 оборотам в год. Длительность одного оборота составляет
89,49 дней. Производительность в стоимостном выражении составила 1 974 063,6 руб. и она показывает, сколько от выручки
реализованной продукции приходится на одного работающего. Производительность в
натуральном выражении равна 684 единиц продукции приходится на каждого работающего.
2.7 Построение точки безубыточности и расчет
срока окупаемости инвестиций
Безубыточность - это такое состояние,
когда производство (оказание услуг) не приносит ни прибыли, ни убытков. Это
выручка, которая необходима для того, чтобы предприятие начало получать
прибыль, а также количество продукции (услуг) которое необходимо продать чтобы
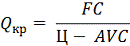
покрыть затраты после чего каждая дополнительная единица проданной продукции
будет приносить прибыль предприятию.
Для построения графика безубыточности необходимо рассчитать
следующие показатели:
. Критический (пороговый) объем реализации, ед.:

где  - постоянные расходы на объем реализации, руб.,
 - средние переменные затраты на единицу продукции, руб.

где  - величина налога на имущество организаций и предприятий, руб.;
АО - величина амортизационных отчислений, руб.,
 - фонд заработной платы руководителей, специалистов и служащих,
руб.;
 - величина социальных взносов руководителей, специалистов и
служащих, руб.
Зпр - затраты прочие, руб.
Налог на имущество организаций и предприятий рассчитывается
следующим образом:

где sим - ставка налога на имущество, % (определяется согласно
действующему законодательству, 2,2%);
Рассчитаем налог на имущество:
Ним(ОФ)= 0,022*(4 740 076,90 - 2 497 458,9)= 49 337,6 (руб.)
Рассчитаем величину социальных взносов руководителей, специалистов
и служащих, руб.:

где ОТЧСВ - процент отчислений на социальные взносы с
ФЗП согласно действующему законодательству, 30%,
 2 112 000 рублей.
Далее, рассчитаем постоянные расходы на объем реализации
 6 283 703,6 рублей.
FC= 49 337,6 + 2 112 000+ 2 497 458,9+ 633 600+ 6 283 703,6 = 11 576
100 (руб.)
Средние переменные затраты на единицу продукции, руб.:

Рассчитаем долю налога на имущество производственных запасов,
руб.:

W = 3 209 008,06 рублей.
Ним(ПЗ)=0,022*3 209 008,06= 70598,2 (руб.)
Доля социальных взносов основных рабочих, руб.:

ФОТо= 2 018 350,8*0,3= 605 505 (руб.)
Доля социальных взносов вспомогательных рабочих, руб.:

 = 756 619,32* 0,3= 226 985,79 (руб.)
Далее, рассчитаем средние переменные затраты на единицу
продукции, руб.:
СПЗ = 22 568 000 (руб.)
 = 13 000 ед.
AVC=(70 598,2 + 2 018 350,8 + 756 619,32 + 22 568 000+ 605 505 + 226 985,79)|13 000 = 2 018 93 (руб.)
Рассчитаем общие переменные издержки:
Тогда общие издержки составят:
TC=VC+FC
TC= 26 246 090 + 11 576 100= 37 822 190 (руб.)
. Порог рентабельности, руб.:

Для расчета порога рентабельности нам понадобится величина
критического объема реализации:
FC= 11 576 100 (руб.)
ЦПР = 2 285, 17 (руб.)
AVC= 2 018, 93 (руб.)
Qкр = 11 576 100 / (2 285, 17 - 2 018, 93)= 43 479,94 (ед.)
Рассчитаем порог рентабельности:
R пор=43 479,94 * 2 285, 17 = 99 359 059 (руб.)
. Запас финансовой прочности, руб.:

Зфп= 37 507 210 - 99 359 059 = - 61 851 849 (руб.)
. Маржа безопасности, ед.:

Мбез= 13 000 - 43 479,94 = - 30 479,94 (ед.)
На основе имеющихся данных мы можем сделать следующие выводы.
Критический объем реализации составил 43 480 шт., что на 30 480 шт. больше
нашего объема реализации. Это значит, что для того чтобы предприятие получало
прибыль объем продаж (реализации) должен превышать 43 480 шт. Если объем
реализации останется меньше чем критический объем реализации, то предприятие
также будет нести убытки.
Запас финансовой прочности равен - 61 851 849 рублей, порог
рентабельности составил 99 359 059 рублей. Переменные издержки равны 26 246 090
руб.
Деятельность предприятия несет одни убытки, не получая
прибыли. Лучшим выходом из данной ситуации будет отказ од данного проекта,
поскольку он совсем не оправдывает себя.
.8 Разработка мероприятий по улучшению показателей
деятельности предприятия
Для достижения лучших результатов, повышения прибыли на
предприятии необходимо проведение ряда мер, способствующих повышению
эффективности его деятельности. Среди наиболее эффективных можно выделить
следующие:
снизить себестоимость, что позволит значительно увеличить
получаемую предприятием прибыль. Но стоит учесть, что снижение
затрат также небезгранично, потому как при производстве любой продукции всегда
существует необходимый минимум затрат.
повысить производительность труда с помощью нововведений,
технологий, эффективного оборудования;
минимизировать запасы хозяйственных материалов, малоценных и
быстроизнашивающихся предметов, инвентаря, спец. одежды на складе; При
снабжении материалами, полуфабрикатами и комплектующими соответствующие службы
предприятия должны следовать заявкам, исходя из производственной необходимости,
с учетом остатков на складах;
увеличить объем выпускаемой продукции, тем самым снизить
издержки на себестоимость единицы продукции, но при этом необходимо помнить,
что это небезгранично, т.к. в любой отрасли существует момент, с которого
начинается отрицательная отдача от масштаба;
использовать более технологичное оборудование, т.е.
производить больше, при этом использовать меньше сырья, применять и вводить в
производство новые усовершенствованные и эффективные технологии;
рационально использовать имеющиеся ресурсы, применять
диверсификацию на производстве и для получения дополнительной прибыли
распределять имеющиеся средства;
повысить уровень организации производства, то есть свести к
минимуму или вообще ликвидировать нерациональные издержки;
повысить качество продукции и разнообразить ассортимент, либо
сократить его в случае не получения прибыли с данных товаров;
организовать взаимовыгодную работу основного, вспомогательного,
обслуживающего производства, сократить время простоя;
использовать резерв по производству на имеющемся у
предприятия оборудовании дополнительной продукции;
передать в аренду не используемые площади и оборудование,
чтобы иметь дополнительный доход помимо основного рода деятельности;
ликвидировать дебиторскую задолженность, для этого следует
провести ее подробную инвентаризацию, выявить причину возникновения, сроки
возникновения, установить правоустанавливающие документы;
оптимизация структуры сбыта, при этом удельный вес продукции,
реализуемой по договорным, более высоким ценам, должен увеличиться до своего
максимального уровня;
повысить эффективность системы бухгалтерского учета и
планирования, для этого необходимо переподчинить бухгалтерскую службу
непосредственно внешнему управляющему, не загружая главного бухгалтера никакими
другими функциями, кроме тех, которые ему необходимо осуществлять в
соответствии с законодательными актами о главном бухгалтере и бухгалтерской
службе, и сконцентрировать их внимание на вопросах анализа и систематизации
затрат для принятия более правильных управленческих решений;
увеличить рынок сбыта, повысить эффективность используемых
площадей путем приобретения и установки оборудования для переработки отходов на
производстве;
применять маркетинговый анализ конкурентной среды, и
правильное формирование ценообразования, для отслеживания динамики спроса
экономической службе предприятия следует вести постоянный учет и наблюдение за
тенденциями рынка, как отдельных товаров, так и групп товаров. Для этой работы
необходимо оснастить экономическую службу предприятия необходимой современной
оргтехникой, а также для временных специальных работ привлекать
специализированные организации или временные творческие группы на условиях
договоров подряда;
использовать мероприятия по изменению структуры управления
предприятия, произвести анализ дублирования управленческих функций,
перераспределить обязанности между управленцами в случае проведенного аудита
персонала появится необходимость в сокращении в профессионально непригодном
персонале, тем самым снизятся издержки и повыситься качество работы;
найти источники инвестиционного капитала путем подготовки
программных мероприятий и выставления их на конкурс, получить дополнительные
источники финансирования;
Таким образом, в целом повышение эффективности деятельности
будет происходить за счет: увеличения прибыли, повышения производительности,
повышения рентабельности.
В результате, возрастет эффективность нашей деятельности,
т.е. произойдет увеличение прибыли, за счет проведения поставленных
мероприятий. А это очень важно в рыночных конкурентных отношениях для развития
прибыльного предприятия.
Заключение
В данной курсовой работе я раскрыла тему «Диверсификация как
способ снижения рисков и повышения эффективности в деятельности предприятия». В
первой главе я рассмотрела теоретические основы понятия диверсификации и
применение данного метода повышения эффективности на практике, как в России,
так и за рубежом.
Итак, рассматриваемый процесс диверсификации представляет
собой одновременное развитие многих, не связанных друг с другом видов
деятельности, расширение ассортимента продукции, выход за рамки основного
бизнеса (производство товаров и услуг). Из множества видов диверсификации
предприятие выбирает наиболее рациональный и эффективный способ повышения
производительности, увеличения прибыли и экономии времени в производстве.
С помощью рассматриваемой стратегии специализированные
зарубежные фирмы превращаются в многоотраслевые комплексы, фирмы-конгломераты,
структурные подразделения которых не связаны между собой функционально. Такая
практика широко распространена в США, Германии, Японии, Великобритании, Франции
и других зарубежных странах. Примерами таких известных компаний могут служить Disney, Gilett, Accor SA, General Electric, Vodafone Group Pic, Royal Doutch, Toyota Motor Corporation и другие компании.
Отрасли, выбираемые для осуществления диверсификации, должны быть
привлекательными с точки зрения их структуры, чтобы добиться наибольшего эффекта
при снижении рисков и получения наивысшей прибыли.
В России наиболее остро стоит проблема низкой диверсификации
экспорта, что влечет за собой и низкой диверсификации в промышленности,
прослеживается острая необходимость проведения реформ, направленных на
укрепление несырьевой составляющей экономики нашей страны. При этом необходимы
государственные механизмы стимулирования данных процессов в виде
инфраструктурной поддержки, амортизационной и налоговой составляющих.
При выполнении расчетной части курсовой работы, я рассмотрела
на примере предприятия, какие показатели эффективности деятельности фирмы
необходимо анализировать и учитывать их значения, структуру для эффективного
функционирования деятельности фирмы и планировании дальнейшей деятельности.
Основные фонды представляют собой наиболее значимую составную
часть имущества предприятия, их суммарная стоимость составила 4 750 000 рублей.
Наличие имущества обеспечивает материально-техническую возможность
функционирования организации, их самостоятельность и надежность. Наибольшую
составляющую занимают здания и оборудование. Сумма материальных отчислений в
год равна 2 497 458 рублей 90 копеек.
Не менее важное значение в структуре фондов предприятия имеют
оборотные производственные фонды, из которых половина приходиться на
производственные запасы (22 568 000 руб.), 40% на незавершенное производство.
Фонды обращения составляют денежные средства, дебиторская задолженность и
средства в расчетах.
Структурная характеристика персонала предприятия определяется
составом и количественным соотношением различных категорий групп работников,
важно правильно рассчитать необходимое количество работников на предприятии,
также сформировать фонд оплаты труда работников. Необходимая численность
работников на предприятии составила 19 человек, а среднемесячная заработная
плата равна 20 881 рубль. В целом ФОТ составил 4 886 970,10 руб., а взносы в
социальные фонды 1 466 090,90 руб.
Расчет себестоимости продукции одна из наиболее важных оценок
на предприятии, от которой зависит формирование цены продукта и следовательно
прибыли. Расчет себестоимости всего объема производства включает в себя
материальные ресурсы, оплату труда, отчисления на социальные нужды, амортизацию
основных фондов и прочие затраты. В результате подсчетов были посчитаны
издержки и выручка от реализации, мое предприятие несет убытки. На моем
предприятии себестоимость одной единицы продукции составила 2 900,17 рублей.
Основные фонды должны эффективно использоваться предприятием,
о чем свидетельствуют такие показатели, как фондовооруженность (249 421,05
руб.), фондоемкость (0,13 руб.), фондоотдача (7,91 руб.) и рентабельность.
Каждая фирма стремиться к получению максимальной прибыли, но
не всегда она ее имеет, сначала необходимо установить такое состояние, когда
производство не приносит ни прибыли, ни убытков (безубыточность). Наглядное
изображение такого состояния и выявления количества выпускаемой продукции, при
котором достигается максимум прибыли, представлено на графике точки
безубыточности. Критический объем реализации составил 43 480 шт., порог
рентабельности при этом равен 99 359 059 руб.
И в завершении расчетной части, мною были разработаны
мероприятия по повышению эффективности деятельности предприятия, поскольку его
деятельность оказалось убыточной, среди которых: увеличение прибыли, повышение
производительности и повышение рентабельности.
Моя работа помогает составить общее представление о
функционировании предприятия, его составных частях, организации, найти пути
эффективного использования ресурсов, эффективного функционирования за счет
проведенных расчетов основных показателей деятельности предприятия.
Библиографический список
1. Волков,
О.И. Экономика предприятия (фирмы): учебник / О.И. Волков. М.: ИНФРА-М, 2003. -
601 с.
. Сафронов,
Н.А. Экономика организации (предприятия) / Н.А. Сафронов. М.: Экономистъ, 2004.
- 618 с.
. Ефимычев,
Ю.И. Диверсификация как способ повышения производительности труда и
эффективности производства / Ю.И. Ефимычев // Вестник Нижегородского
госуниверситета им. Н.И. Лобачевского. 2007. №3. С. 168-170.
4. Солдаткин,
В.А. Развитие диверсификационной деятельности предприятий аграрной сферы
экономики / В.А. Солдаткин // Экономист. 2009. №12. С. 68-87.
. Богдан,
В. Фармбизнес и диверсификация / В. Богдан // Экономика и управление. 2011. №5.
С. 110-115.
. Жукова,
Т.В. Диверсификация производства как один из современных методов развития
российской экономики / Т.В. Жукова // Новые технологии. 2010. №3. С. 134-136.
7. Боди,
З. Финансы: учебник: пер. с англ. / Зви Боди, Роберт Мертон. М.: Юрайт, 2007. -
592 с.
8. Шапкин,
А.С. Экономические и финансовые риски. Оценка, управление, портфель инвестиций
/ А.С. Шапкин. М.: Издательско-торговая корпорация «Дашков и К», 2003. - 544 с.
9. Трифонов,
Д.А. Новые явления в концентрации банков и диверсификация банковской
деятельности / Д.А. Трифонов // Вестник ОГУ. 2008. №8. С. 146-150.
10. Климовец,
О.В. Диверсификация деятельности ТНК / О.В. Климовец // Российское
предпринимательство. 2009. №10. С. 16-19.
11. Магомедова,
З.Г. Диверсификация экспорта как условие экономического роста России. / З.Г.
Магомедова // Российский внешнеэкономический вестник. 2009. №3. С. 35-40.
12. Фионов,
А.С. Адаптивное управление диверсификацией космической техники и технологий. /
А.С. Фионов // Инновации. 2010. №8. С. 67-71.
. Статистический
сборник. «Группа восьми» в цифрах. 2009: Росстат - М., Г90. - 131 с.
14. Российский
статистический ежегодник. 2011: Росстат - M., Р76. 2011, - 581 с.
. Шкваря,
Л.В. Мировая экономика. Схемы и таблицы учебник / Л.В. Шкваря. М.: ЮНИТИ-ДАНА,
2011. - 391 с.
16. Ночевкина,
Л. Необходимы ли отраслевые предпочтения для инноваций?/ Л. Ночевкина //
Мировая экономика и международные отношения. 2011. №12. С. 13-21.
Похожие работы на - Диверсификация деятельности предприятия как способ снижения рисков и повышения эффективности
|