Использование дифференциальных уравнений в экономике

  • Вид работы:
    Контрольная работа
  • Предмет:
    Менеджмент
  • Язык:
    Русский
    ,
    Формат файла:
    MS Word
    351,58 Кб
  • Опубликовано:
    2013-11-02
Вы можете узнать стоимость помощи в написании студенческой работы.
Помощь в написании работы, которую точно примут!

Использование дифференциальных уравнений в экономике

Введение

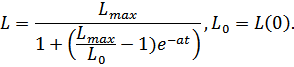
Дифференциальные уравнения широко используются в моделях экономической динамики, в которых исследуются не только зависимость переменных от времени, а и от их взаимосвязи во времени. Такими моделями являются: модель Эванса - установления уравновешенной цены на рынке одного товара; а также динамическая модель экономического роста, известная под названием «базовая модель Солоу».

В модели Эванса рассматривается рынок одного товара, время считается непрерывным. Пусть d(t), s(t), p(t) - спрос, предложение и цена соответственно этому товару на момент времени t.

Допустим, что спрос и предложение являются линейными функциями цены, то есть d(p)=a-bp, a,b>0 - спрос с возрастанием цены падает, а s(p)=α+βp,α,β>0 - предложение с возрастанием цены возрастает. Природным является соотношение а> α, то есть при нулевой цене спрос превышает предложение.

Модель Солоу рассматривает экономику как единое целое (без структурных подразделений).

Эта модель достаточно адекватно отображает самые важные макроэкономические аспекты процесса производства.

Актуальность контрольной работы заключается в том, чтобы рассмотреть использование дифференциальных уравнений в экономике.

Целью данной курсовой работы является обеспечить наибольшую эффективность усвоения методов использования дифференциальных уравнений в экономике, изучить экономические модели (модель Золотаса, модель Реденура, моедль Самуэльсона, модель Солоу).

В соответствие с целью курсовой работы поставлены следующие задачи:

.        Найти и изучить литературу по данной теме;

.        Накопить и систематизировать полученную информацию по теме;

.        Обобщение полученных знаний;

.        Использование дифференциальных уравнений в различных экономических моделях.

1. Экономическая мозаика (обзор наиболее известных простых моделей)

1.1 Рост общественного благосостояния (модель Золотаса)

Крупнейший греческий экономист К. Золотас высказал гипотезу , согласно которой производство большего количества товаров необязательно ведет к лучшей жизни.Он рассматривает два фактора: один - стимулирующий развитие, другой - сдерживающий. Пусть  уровень общественного благосостояния в целом. Если  критическая точка, то сдерживающим фактором будет а стимулирующим При таком подходе динамика  определяется уравнением

1)


где  доход на душу населения.

Интегрирование уравнения (1) приводит к решению

2


Которое является уравнением логической кривой. Золотас выделяет три стадии развития общества: 1˗ «общество нужды»; 2 ˗˗ «общество постоянных улучшений»; 3- «общество снижающихся темпов роста благосостояния», на котором постоянные PиQопределяют некоторые (разделительные уровни доходов).

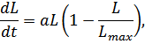
1.2 Динамика потребителей (Модель Реденура)

Для изменения числа потребителей Lв этой модели принято уравнение

3


где  верхний предел потребителей. Нетрудно видеть, что его решение определяется формулой

4



Здесь снова наблюдаю замедление роста (в данном случае числа потребителей некоторой технологии) с течением времени.

2. Теория фирмы (производство, рынок)

.1 Интенсивность выпуска продукции

Пусть для некоторого предприятия (фирмы) эта интенсивность есть  Естественно предположить, что с увеличением выпуска продукции будет происходить насыщение рынка, и цена товарабудет падать. Пусть , например,  и скорость увеличения интенсивности выпуска продукции пропорциональна доходу  от продажи выпуска  по цене . Уравнение описанного процесса есть, очевидно,


( коэффициент пропорциональности). Интегрируя, прихожу к логистической кривой


Произвольную постоянную cможно вычислить, если известно значениеy(0). Вижу, что здесь происходит насыщение рынка товаром с течением времени. Величина насыщения есть

2.2 Процесс естественного роста выпуска продукции

Пусть продукция продается по фиксированной цене количество продукции. Реализованной на момент времени  Тогда на этот момент получен доход, равный  часть которого расходуется на инвестиции в производство реализуемой продукции, то есть где норма инвестиции (Если исходить из предположения о ненасыщенности рынка (или о полной реализации производимой продукции), то в результате расширения производства будет получен прирост дохода, часть которого опять будет использована для расширения выпуска продукции. Это приведет к росту скорости выпуска. Естественно считать скорость выпуска пропорциональной увеличению инвестиций (то есть имеет место так называемый принцип акселерации):


Подставляя сюда  получу стандартное уравнение роста (чего бы то ни было):

 где  

Интегрируя это уравнение, имею  Аналогично описывается динамика роста цен при постоянном темпе инфляции.

2.3 Реклама

Пусть некоторая фирма реализует продукцию, о которой в момент  из числа потенциальных потребителей  знают лишь xпотребителей. Предположу, что для ускорения сбыта продукции были даны рекламные объявления по радио и телевидению. Буду считать, что последующая информация о продукции распространяется среди покупателей посредством их общения друг с другом. С большой степенью достоверности можно также считать, что после рекламных объявлений скорость изменения числа о продукции пропорциональна как числу уже знающих о товаре покупателей , так и числу не знающих . Буду отсчитывать время с момента выхода рекламных объявлений, когда о товаре узнало человек, то есть  Дифференциальным уравнением данного процесса будет где указанный выше коэффициент пропорциональности. Интегрируя указанное уравнение , прихожу к логистической кривой

5

Соотношение (5) позволяет вычислить в любой момент времени  количество осведомленных о товаре покупателей.

2.4 Пример анализа производительности труда

Пусть на некотором предприятии темп изменения производительности труда в момент времени  задается отношением и известно, что при  производительность составляет 2 (усл. ед.). Под темпом По условию задачи


Интегрируя это уравнение, получу Из начального условия найду  Таким образом,

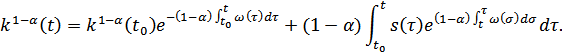
2.5 Динамика рыночной цены (модель Самуэльсона)

Изучается связь между изменением ценыpи неудовлетворенным спросом:  где есть соответственно спрос и предложение при цене положительные постоянные. Согласно рассматриваемой модели, скорость изменения цены пропорциональна неудовлетворенному спросу, то есть


где  коэффициент пропорциональности. С учетом явного вида функцией спроса и предложения данное уравнение принимает вид

6

 

Очевидно, (6)- линейное уравнение с постоянными коэффициентами. Общее решение соответствующего однородного уравнения есть Частным решением неоднородного будет (метод неопределенных коэффициентов) постоянная Таким образом,


Видно, что при стремится с течением времени к постоянному значению

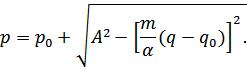
2.6 Модель рынка с прогнозируемыми ценами.

Используется динамика цены товара при условии, что прогноз спроса  и предложения описывается соотношениями цена)

7



Равновесное состояние рынка характеризует равенство  С учетом этого равенства и (7) имею

8



Это есть линейное уравнение с постоянными коэффициентами. Характеристическое уравнение имеет комплексные корни  Общее решение однородного уравнения, соответствующего (8), есть

Я вижу, что цена  стремится к равновесному значению  с колебаниями относительно этого значения. Амплитуда этих колебаний стремится к нулю при.

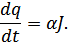
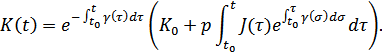
2.7 Движение фондов

 9



Если считать, что постоянные, то решением уравнения (9) будет

(10


Если то величина фондов с течением времени сремится к постоянному значению Если функции, то вместо (10) получится

(11


 

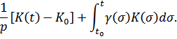
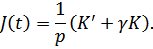
Понятно, что (11) позволяет прогнозировать величину фондов при планируемом распределении (по времени) инвестиций J(t). Но можно также прогнозировать величину инвестиций в момент t по планируемому уровню фондов. А именно, из (9) очевидно, что


Следовательно, общая сумма инвестиций за период составит величину

 

2.8 Модель экономического роста (Солоу)

Рассматривается модель, в которой производственные фонды K и трудовые ресурсы Lсвязаны соотношением


где конечный продукт (выпуск), а  так называемая производственная функция. В модели Солоу предполагается, что где  доля сбережений в доходе, и где  темп роста Динамическая природа этих предположений состоит в том, что они определяют не уровни значений и а скорости их изменения. В качестве производственной функции рассматривается известная функция Кобба-Дугласа: Обозначая и учитывая, что имеем

(12


Посколькуто из (12) следует

(13



Так как  то или (в силу

 (14



Приравнивая правые части (13), (14), получаю уравнение Бернулли

(15



Полагая, что  приведу (15) к линейному уравнению

(



общее решение которого имеет вид

(17



Если , то  или . Следовательно, отношение  (оно обычно и рассматривается в качестве основной характеристики экономического роста) стремится к постоянной величине, растущей с увеличением доли сбережений  в доходе и убывающей с увеличением темпов роста трудовых ресурсов  Отмечу, что до сих пор я считал  постоянными (не зависящими от  а  функциями от . Я предлагаю здесь остановиться еще на более обще ситуации, когда  Тогда все рассуждения, приводящие к уравнению (16), сохраняются, но его решением будет

(18


Конечно, при постоянных  формула (18) должна совпадать с (17) . Учитывая, что из (17) следует  нетрудно убедиться в указанном совпадении.

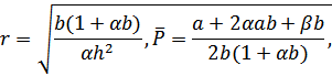
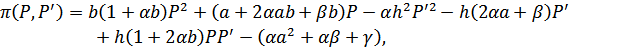
2.9 Обоснование цены товара фирмы-монополиста

Рассматривается фирма, производящая однородную продукцию с квадратичной функцией затрат   положительные постоянные,  выпуск продукции). Так как запасы продукции не предусматриваются и отсутствуют конкуренты, выпуск  всегда устанавливается равным спросу. Спрос предполагается зависящим не только от цены  но также от скорости  ее изменения:   Таким образом, прибыль фирмы является функцией двух переменных :


Целью фирмы является нахождение оптимальной функции, максимизирующей общую прибыль  на конечном промежутке времени  Этот промежуток предполагается достаточно коротким, чтобы функции спроса и затрат можно было считать фиксированными. Следовательно, задача состоит в отыскании функции  на которой функция

(19

 

достигает своего максимального значения. При этом должны выполняться условия

(20



Из вариационного исчисления известно, что экстремум функционала (19) может достигаться лишь на решениях уравнения Эйлера

(21



Так как


После приведения подобных членов уравнение принимает вид


Общее решение этого уравнения дается формулой

(22


 

(23


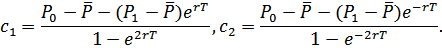
а  произвольные постоянные, определяемые условиями (20). Они имеют вид

(24



Таким образом, если решение задачи существует, то оно дается формулами (22) -(24). Чтобы удостовериться, что полученная функция действительно является решением, нужно еще проверить выполнение для нее достаточных условий экстремума функционала (19). Здесь я на этом на останавливаюсь.

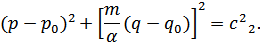
2.10 Обоснованные цены по уровню актива

Под активом  понимается совокупность (в денежном выражении) всех принадлежащих данному предприятию материальных ценностей. Буду предполагать, что изменение  пропорционально разности между предложением и спросом  с коэффициентом пропорциональности  Пусть, кроме того, изменение цены  также пропорционально отклонению актива  от некоторого фиксированного уровня  с коэффициентом пропорциональности  Следуя условиям задачи, можно записать


Здесь я учитываю, что предложение  и спрос  являются функциями цены  

Рассмотрю простейший случай линейной зависимости  от цены


Тогда система уравнений приобретает вид

труд производительность дифференциальный уравнение

(25



Буду решать ее методом исключения. Дифференцируя второе уравнение и подставляя в первое, получу линейное уравнение с постоянными коэффициентами


корнями характеристического многочлена которого будут  где  Частное решение неоднородного уравнения легко вычислить методом неопределенных коэффициентов. Поэтому его общее решение запишу в виде


Тогда из второго уравнения (25) вычислю


Пусть начальная цена устанавливается равной  (то есть ). Тогда между ценой и уровнем актива выполняется соотношение


Очевидно, эта кривая описывает динамическое равновесие рассматриваемого процесса. Подставляя в это уравнение значения  взятые в какой-то момент времени  точно можно определить эту кривую (овал типа эллипса), отвечающую полученному значению  Ясно, что, желая находиться в указанном равновесном состоянии, я должен определять значение цены с помощью уровня актива по формуле


Заключение

Я рассмотрел использование дифференциальных уравнений в экономике. Изучив несколько моделей, а именно рост общественного благосостояния (модель Золотаса), динамику потребителей (модель Реденура). Самой широкомасштабной моделью оказалась теория фирмы. В ней я изучил, каким образом применяются дифференциальные уравнения в процессе естественного роста выпуска продукции, рекламе, динамике рыночной цены и т.д. Таким образом, дифференциальные уравнения являются одним из часто применяемых видов вычислений в деятельности человека.

Список литературы

1.       Жегалов В.И., Киясов С.Н. Приложения обыкновенных дифференциальных уравнений, Издательство казанского государственного университета, 2007, 179 с.

2.       Сабитов К.Б. Функциональные, дифференциальные и интегральные уравнения. «Высшая школа». Москва 2005, 671 с.

3.       Самойленко А.М., Кривошея С.А., Перестюк Н.А. Дифференциальные уравнения: примеры и задачи. Москва 1989, 464 с.

4.       Краснов М.Л., Киселев А.И., Макаренко Г.И. Обыкновенные дифференциальные уравнения. Москва 2009, 259 с.

5.       Бугров Я.С., Никольский С.М. Высшая математика. Москва 2007, 511 с.

Похожие работы на - Использование дифференциальных уравнений в экономике

 

Не нашли материал для своей работы?
Поможем написать уникальную работу
Без плагиата!
Без нейросетей!