Расчет загрязнения атмосферы выбросами одиночного источника и методы защиты окружающей среды (на примере ОАО 'Гайский ГОК')
Министерство
образования и науки РФ
Московский
государственный горный университет
Кафедра
«Экономика природопользования»
Курсовая
работа
На
тему: «Расчет загрязнения атмосферы выбросами одиночного источника и методы
защиты окружающей среды» (на примере ОАО «Гайский ГОК»)
Москва
2013г.
ВВЕДЕНИЕ
Окружающая природная среда Оренбургской области
испытывает все возрастающее воздействие хозяйственной деятельности,
антропогенных, техногенных и других факторов. Появляются искусственные формы рельефа,
распахиваются склоновые земли, нарушается среда обитания многих зверей, птиц,
насекомых, сокращается их численность и видовой состав, уменьшаются запасы
лекарственных растений.
Нарушения в природных системах вызваны
техногенным типом экономического роста, специфическая особенность которого
заключается в фактическом исключении из сферы экономических интересов
хозяйствующих субъектов отношений природопользования. Их стремительный рост в
условиях трансформационной экономики существенно осложняет взаимоотношения
«природа - общество». Быстрому развитию этой негативной тенденции способствует
целый ряд факторов, среди которых одно из главных мест занимает современная
деятельность промышленных предприятий.
Вместе с тем, масштабы, направления и уровень
исследований в сфере управления процессами, связанными с внешними эффектами,
нельзя признать адекватными сложности современной эколого-экономической
ситуации. Проблемы совершенствования государственного экологического управления
незаслуженно отодвинуты на второй план и практически не затрагиваются в
исследованиях экономистов, в то время как эффективность государственного
экологического управления приобретает все большее значение в оптимизации
отношений системы «промышленное предприятие - окружающая среда». Задачи совершенствования
управленческих действий требуют разработки теоретических положений и
практических рекомендаций по учету экологического аспекта деятельности
промышленного предприятия. На качественное состояние атмосферного воздуха
оказывают влияние природные факторы (пыльные бури, лесные пожары, процессы
гниения, трансграничные переносы), но в большей степени - техногенные.
Экологическое состояние воздуха в области, по сравнению с другими регионами РФ,
можно оценить как удовлетворительное. Так, Белгородская область находится по
массе выбросов на 45-60 местах в РФ, экологическая ситуация в целом
благоприятная.
Целью курсовой работы является исследование
теоретических и методологических основ по формированию механизма управления
внешними эффектами промышленных предприятий с позиций их эффективного
функционирования, расчет рассеивания в атмосфере вредных веществ.
1. ОБЪЕКТЫ И ПРИНЦИПЫ ОХРАНЫ
ОКРУЖАЮЩЕЙ ПРИРОДНОЙ СРЕДЫ
Под охраной окружающей среды понимают
совокупность международных, государственных и региональных правовых актов,
инструкций и стандартов, доводящих общие юридические требования до каждого
конкретного загрязнителя и обеспечивающих его заинтересованность в выполнении
этих требований, конкретных природоохранных мероприятий по претворению в жизнь этих
требований. Только если все эти составные части соответствуют друг другу по
содержанию и темпам развития, т. е. складываются в единую систему охраны
окружающей природной среды, можно рассчитывать на успех. Поскольку не была
решена вовремя задача охраны природы от отрицательного воздействия человека,
теперь все чаще встает задача защиты человека от влияния изменившейся природной
среды. Оба эти понятия интегрируются в термине «охрана окружающей (человека)
природной среды».
Охрана окружающей природной среды складывается
из:
правовой охраны, формулирующей научные
экологические принципы в виде юридических законов, обязательных для исполнения;
материального стимулирования природоохранной
деятельности, стремящегося сделать ее экономически выгодной для предприятий;
инженерной охраны, разрабатывающей
природоохранную и ресурсосберегающую технологию и технику.
В соответствии с законом Российской Федерации
«Об охране окружающей природной среды» охране подлежат следующие объекты:
естественные экологические системы, озоновый
слой атмосферы;
земля, ее недра, поверхностные и подземные воды,
атмосферный воздух, леса и иная растительность, животный мир, микроорганизмы,
генетический фонд, природные ландшафты.
Особо охраняются государственные природные
заповедники, природные заказники, национальные природные парки, памятники
природы, редкие или находящиеся под угрозой исчезновения виды растений и
животных и места их обитания.
Основными принципами охраны окружающей природной
среды должны являться:
приоритет обеспечения благоприятных
экологических условий для жизни, труда и отдыха населения;
научно обоснованное сочетание экологических и
экономических интересов общества;
учет законов природы и возможностей
самовосстановления и самоочищения ее ресурсов;
недопущение необратимых последствий для охраны
природной среды и здоровья человека;
право населения и общественных организаций на
своевременную и достоверную информацию о состоянии окружающей среды и
отрицательном воздействии на нее и на здоровье людей различны производственных
объектов;
неотвратимость ответственности за нарушение
требований природоохранительного законодательства.
2. ПРИРОДООХРАННАЯ ДЕЯТЕЛЬНОСТЬ
ПРЕДПРИЯТИЙ
Природоохранной является любая деятельность,
направленная на сохранение качества окружающей среды на уровне, обеспечивающем
устойчивость биосферы. К ней относится как крупномасштабная, осуществляемая на
общегосударственном уровне деятельность по сохранению эталонных образцов
нетронутой природы и сохранению разнообразия видов на Земле, организации
научных исследований, подготовке специалистов-экологов и воспитанию населения,
так и деятельность отдельных предприятий по очистке от вредных веществ сточных
вод и отходящих газов, снижению норм использования природных ресурсов и т.д.
Такая деятельность осуществляется в основном инженерными методами.
Существуют два основных направления
природоохранной деятельности предприятий. Первое - очистка вредных выбросов.
Этот путь «в чистом виде» малоэффективен, так как с его помощью далеко не
всегда удается полностью прекратить поступление вредных веществ в биосферу. К
тому же сокращение уровня загрязнения одного компонента окружающей среды ведет
к усилению загрязнения другого. Например, установка влажных фильтров при
газоочистке позволяет сократить загрязнение воздуха, но ведет к еще большему
загрязнению воды. Уловленные из отходящих газов и сливных вод вещества часто
отравляют значительные земельные площади. Использование очистных сооружений,
даже самых эффективных, резко сокращает уровень загрязнения окружающей среды,
однако не решает этой проблемы полностью, поскольку в процессе функционирования
этих установок тоже вырабатываются отходы, хотя и в меньшем объеме, но, как
правило, с повышенной концентрацией вредных веществ. Наконец, работа большей
части очистных сооружений требует значительных энергетических затрат, что, в
свою очередь, тоже небезопасно для окружающей среды. Кроме того, загрязнители,
на обезвреживание которых идут огромные средства, представляют собой вещества,
на которые уже затрачен труд и которые за редким исключением можно было бы
использовать в народном хозяйстве.
Для достижения высоких эколого-экономических
результатов необходимо процесс очистки вредных выбросов совместить с процессом
утилизации уловленных веществ, что сделает возможным объединение первого направления
со вторым.
Второе направление - устранение самих причин
загрязнения, что требует разработки малоотходных, а в перспективе и безотходных
технологий производства, которые позволяли бы комплексно использовать исходное
сырье и утилизировать максимум вредных для биосферы веществ. Однако далеко не
для всех производств найдены приемлемые технико-экономические решения по
резкому сокращению количества образующихся отходов и их утилизации, поэтому в
настоящее время приходится работать по обоим указанным направлениям. Заботясь о
совершенствовании инженерной охраны окружающей природной среды, надо помнить,
что никакие очистные сооружения и безотходные технологии не смогут восстановить
устойчивость биосферы, если будут превышены допустимые (пороговые) значения сокращения
естественных, не преобразованных человеком природных систем, в чем проявляется
действие закона незаменимости биосферы.
3. НОРМАТИВНО-ПРАВОВЫЕ ОСНОВЫ ОХРАНЫ
ОКРУЖАЮЩЕЙ ПРИРОДНОЙ СРЕДЫ
Одной из важнейших составных частей
природоохранительного законодательства является система экологических
стандартов. Ее своевременная научно обоснованная разработка является
необходимым условием практической реализации принимаемых законов, так как
именно на эти стандарты должны ориентироваться предприятия-загрязнители в своей
природоохранной деятельности. Несоблюдение стандартов влечет за собой
юридическую ответственность.
Под стандартизацией понимается установление
единого и обязательного для всех объектов данного уровня системы управления
норм и требований. Стандарты могут быть государственными (ГОСТы), отраслевыми
(ГОСТы) и заводскими. Системе стандартов по охране природы присвоен общий номер
17, который включает несколько групп в соответствии с охраняемыми объектами.
Например, 17.1 означает «Охрана природы. Гидросфера», а группа 17.2 - «Охрана
природы. Атмосфера» и т. д. Этот стандарт регулирует различные стороны
деятельности предприятий по защите водных и воздушных ресурсов, вплоть до
требований к аппаратуре для наблюдения за качеством воздуха и воды.
Важнейшими экологическими стандартами являются
нормативы качества окружающей среды - предельно допустимые концентрации (ПДК)
вредных веществ в природных средах. ПДК утверждается для каждого из наиболее
опасных веществ в отдельности и действует на территории всей страны. В
последнее время ученые утверждают, что и соблюдение ПДК не гарантирует
сохранения качества среды на достаточно высоком уровне хотя бы потому, что
влияние многих веществ в перспективе и при взаимодействии друг с другом еще
слабо изучено. На основе ПДК разрабатываются научно-технические нормативы
предельно допустимых выбросов (ПДВ) вредных веществ в атмосферу и сбросов (ПДС)
в водный бассейн. Эти нормативы устанавливаются индивидуально для каждого
источника загрязнения с таким расчетом, чтобы совокупное воздействие на
окружающую среду всех источников в данном районе не приводило к превышению ПДК.
К сожалению, в настоящее время многие
предприятия в силу технических и экономических причин не способны сразу
уложиться в эти нормативы. Закрытие такого предприятия или резкое ослабление
его экономического положения в результате штрафных санкций тоже не всегда
возможно по экономико-социальным причинам. Поэтому таким предприятиям могут
быть установлены временные нормативы, так называемые ВСВ (временно согласованные
выбросы), допускающие повышенное сверх нормы загрязнение окружающей среды в
течение строго определенного срока, достаточного для проведения необходимых для
снижения выбросов природоохранных мероприятий. От того, укладывается или нет
предприятие в установленные ему нормативы и в какие именно - ПДВ, ПДС или
только в ВСВ, - зависят размер и источники платы за загрязнение окружающей
среды.
Природоохранительное законодательство - это
система законов и других юридических актов (постановлений, указов, инструкций),
которая регулирует природоохранные отношения в целях сохранения и
воспроизводства природных богатств, рационализации природопользования,
сохранения здоровья населения. Для обеспечения возможности практической
реализации принятых законов очень важно, чтобы они были вовремя подкреплены
принятыми на их основе подзаконными актами, точно определяющими и уточняющими в
соответствии с конкретными условиями отрасли или района, кому, что и как
делать, перед кем и в какой форме отчитываться, каких экологических норм,
стандартов и правил придерживаться и т. д. Так, в законе «Об охране окружающей
природной среды» устанавливается общая схема достижения совпадения интересов
общества и отдельных природопользователей через лимиты, платежи, налоговые
льготы, а конкретные параметры в виде точных значений нормативов, размеров
ставок, платежей конкретизируются в постановлениях Минприроды, отраслевых
инструкциях и т.д. Объектами природоохранительного законодательства являются
как природная среда в целом, так и ее отдельные естественные системы (например,
озеро Байкал) и элементы (вода, воздух и т.д.), а также международное право. В
нашей стране впервые в мировой практике требование охраны и рационального
использования природных богатств включено в Конституцию. Существует около двух
сотен юридических документов, касающихся природопользования. Одним из важнейших
является комплексный закон «Об охране окружающей природной среды», принятый в
1991 г. Он гласит, что каждый гражданин имеет право на охрану здоровья от
неблагоприятного воздействия загрязненной окружающей природной среды, на
участие в экологических объединениях и общественных движениях и получение
своевременной информации о состоянии окружающей природной среды и мерах по ее
защите. Вместе с тем каждый гражданин обязан принимать участие в охране
окружающей природной среды, повышать уровень своих знаний о природе,
экологическую культуру, соблюдать требования природоохранительного
законодательства и установленные нормативы качества окружающей природной среды.
Если же они нарушаются, то виновный несет ответственность, которая
подразделяется на уголовную, административную, дисциплинарную и материальную. В
случаях наиболее тяжелых нарушений, например при поджоге леса, виновный может
быть подвергнут уголовном у наказанию в виде лишения свободы, наложения крупных
денежных штрафов, конфискации имущества. Однако чаще применяется
административная ответственность в виде наложения штрафов как на отдельных лиц,
так и на предприятия в целом. Она наступает в случаях порчи или уничтожения природных
объектов, загрязнения природной среды, невыполнения мер по восстановлению
нарушенной окружающей среды, браконьерства и т. д. Должностные лица могут также
подвергаться дисциплинарной ответственности в виде полного или частичного
лишения премий, понижения в должности, выговора или увольнения за невыполнение
природоохранных мероприятий и несоблюдение экологических нормативов. Кроме
того, выплата штрафа не освобождает от материальной гражданско-правовой
ответственности, т. е. необходимости возмещения причиненного загрязнением или
нерациональным использованием природных ресурсов вреда окружающей среде,
здоровью и имуществу граждан, народному хозяйству.
Кроме декларации прав и обязанностей граждан и
установления ответственности за экологические правонарушения, вышеназванный
закон формулирует экологические требования при строительстве и эксплуатации
различных объектов, показывает экономический механизм охраны окружающей среды,
провозглашает принципы международного сотрудничества в этой области и т.д.
Необходимо отметить, что Природоохранительное
законодательство, хотя и является довольно обширным и разносторонним, на
практике действует еще недостаточно эффективно. Причин этому много, но одной из
важнейших является несоответствие тяжести наказания тяжести преступления, в
частности низкие ставки взимаемых штрафов. Например, для должностного лица он
равен от трехкратного до двадцатикратного размера минимальной месячной оплаты
труда (не путайте с фактической зарплатой, получаемой работником, которая
всегда значительно выше). Однако двадцать минимальных зарплат часто не
превышают одного-двух реальных месячных окладов этих должностных лиц, так как
речь идет обычно о руководителях предприятий и подразделений. Для рядовых
граждан штраф не превышает десятикратного размера минимальной оплаты труда.
Уголовная ответственность и возмещение нанесенного ущерба применяются
значительно реже, чем надо бы. Да и невозможно его полностью возместить, так
как он часто достигает многих миллионов рублей или вообще не поддается
денежному измерению. Обычно за год по всей стране рассматривается не более двух
десятков дел по ответственности за загрязнение воздуха и воды, повлекшее
тяжелые последствия, да и самые многочисленные дела, связанные с
браконьерством, не превышают полутора тысяч в год, что несравнимо меньше
реального количества правонарушений. Правда, в последнее время наметилась
тенденция роста этих цифр. Другими причинами слабого регулирующего действия
природоохранительного законодательства является недостаточная обеспеченность
предприятий техническими средствами для эффективной очистки сточных вод и
загрязненных газов, а проверяющих организаций - приборами для контроля за
загрязнением окружающей среды.
Наконец, большое значение имеет низкая
экологическая культура населения, незнание им основных природоохранных
требований, снисходительное отношение к губителям природы, а также отсутствие
знаний и навыков, необходимых для эффективного отстаивания своего права на
здоровую окружающую среду, провозглашенного в законе. Сейчас необходимо разработать
правовой механизм защиты экологических прав человека, т. е. конкретизирующие
эту часть закона подзаконные акты, и превратить поток жалоб в прессу и
вышестоящие управленческие инстанции в поток исков в судебные органы. Когда
каждый житель, здоровье которого пострадало от вредных выбросов какого-либо
предприятия, подаст иск с требованием материально возместить нанесенный ущерб,
оценив свое здоровье в достаточно крупную сумму, предприятие просто
экономически будет вынуждено срочно принять меры к снижению загрязнения.
3.1 Краткая сводка ОАО «Гайский ГОК»
Гайское медноколчеданное месторождение
расположено в восточной части Оренбургской области на территории Гайского
района. Областной центр город Оренбург находится в 300 км западнее г. Гай. В
35-50 км на юго-восток от месторождения расположены крупные промышленные города
Орск и Новотроицк. Город Гай связан железной дорогой со станцией Круторожино
Южно-Уральской железной дороги и автомобильными асфальтированными дорогами с
городами Орск, Новотроицк, Медногорск и с поселком Ириклинский, а также
Башкортостаном. Месторождение залегает в степной части Южного Урала,
рассеченной широкими долинами, оврагами и приурочено к водоразделу
правобережных притоков реки Урал, Елшанки и Колпачки. Река Урал протекает в 18 км
к востоку от месторождения.
Историю освоения Гайского месторождения можно
отнести к середине 18 века. Именно тогда в Гайском районе и было обнаружено
уникальное лечебное купоросное озеро. В 1931 году здесь был зарегистрирован
выход рыхлого железняка. Анализ воды в Гайском озере показал, что здесь
содержится медь.
января 1950 года была организована Гайская
поисково-разведочная партия. С 1951 года месторождение признано промышленным
медно-колчеданным.
Открытие мощных подсечений медных руд, послужило
основанием для проектирования в районе Гая большого объема геологоразведочных
работ, в результате выполнения которого было открыто такого типа одно из
крупнейших в мире Гайское медно-колчеданное месторождение.
За открытие и разведку месторождения геологи
М.С. Недожогин, В.И. Скрипиль, В.И. Ленных, Н.А. Сибирская и И.Л. Рудницкий
удостоены звания лауреатов Ленинской премии. Месторождение все прошедшие годы
продолжало разведываться и поэтому, несмотря на интенсивную эксплуатацию
месторождения, запасы его растут.
Гайское месторождение по праву называют
“жемчужиной” Восточного Оренбуржья. Здесь сосредоточены 76 процентов запасов
меди Оренбуржья. Гайская руда кроме меди, содержит в своем составе в
промышленных концентрациях цинк, свинец, серу, золото, серебро, а также редкие
и рассеянные элементы: кадмий, селен, теллур, галлий, висмут.
Первый ковш вскрыши в карьере № 1 был вынут 9
мая 1959 года. Этот день стал датой рождения комбината и города. Добыча руды
открытым и подземным способами в одной вертикальной плоскости, использование на
подземных работах прогрессивной системы отработки месторождений с применением
самоходного оборудования и закладкой выработанного пространства твердеющими
смесями, позволили уже за первые 10 лет эксплуатации значительно перекрыть
проектные мощности и полностью окупить капитальные вложения на строительство
комбината.
В 1999 году Гайский горно-обогатительный
комбинат вошел в состав Уральской горно-металлургической компании и является
основной сырьевой базой холдинга. Комбинат добывает медную, медно-цинковую и
серную руды, основная часть которых перерабатывается на собственной
обогатительной фабрике. Полученные медный, цинковый концентраты и часть руды
отправляются на перерабатывающие заводы страны, идет частичная поставка их на
экспорт. Из попутно добываемого диабаза производится щебень для дорожного
строительства. Успешному освоению месторождения способствовало тесное
содружество коллектива комбината с ведущими институтами страны. Огромная
заслуга в становлении и развитии комбината принадлежит первому директору С.Е.
Филярчуку и его преемникам Р.И. Семигину, В.Ф. Печину, Н.Ф. Иванову. Почти
полвека назад академик Ферсман писал о нашем месторождении: “Изучение этого
громадного района принесет еще много неожиданностей и раскроет исключительную
картину огромной области, большого промышленного будущего”. Жизнь подтверждает
эту истину. Предприятие продолжает жить и развиваться, обеспечивает ежегодную
добычу более 70 тысяч тонн меди. Комбинат имеет хорошие перспективы и способен
оставаться основным поставщиком меди для предприятий Урала на ближайшие
десятилетия. ОАО “Гайский горно-обогатительный комбинат”, численность
работающих на котором составляет почти 7000 человек, обеспечивает за счет
отчислений около 60 процентов городского бюджета г. Гая.
3.2 Выбросы в атмосферу
Оренбургская область - субъект Российской
Федерации. Территория области охватывает юго-восточную окраину
Восточно-Европейской равнины, южную оконечность Урала и южное Зауралье.
Наиболее развитыми отраслями промышленности
Оренбургской области являются машиностроение и металургия. В Курманаевском,
Первомайском, Сорочинском районах области ведется добыча нефти, также в регионе
обнаружены газоконденсатные месторождения. Треть промышленной продукции области
приходится на металлургию. Предприятия черной и цветной металлургии являются
градообразующими.
Основными промышленными центрами региона
являются - г. Оренбург, г. Орск, г. Новотроицк.
Оренбургская область относится к среднеразвитым
индустриально-аграрным регионам. Предприятия Оренбургской области дают более 5%
общероссийской добычи природного газа, 3% нефти, 6% производства стали, по 30%
доменного оборудования и производства серы, более 30% асбеста.
Наибольшую долю в объёме промышленного
производства имеют горно-металлургическая промышленность, химическое и
нефтехимическое производство, машиностроение и металлообработка.
Горнодобывающие и металлургические предприятия
Оренбургской области.
• Комбинат «Уральская Сталь»
<#"703457.files/image001.gif">
Рис. 1
4. РАСЧЕТ ЗАГРЯЗНЕНИЯ АТМОСФЕРЫ
Степень опасности загрязнения атмосферного
воздуха характеризуется наибольшим рассчитанным значением концентрации,
соответствующим неблагоприятным метеорологическим условиям, в том числе опасной
скорости ветра. Нормы не распространяются на расчет концентраций на дальних
(более 100км) расстояниях от источников выброса.
В зависимости от высоты Н устья источника
выброса вредного вещества над уровнем земной поверхности указанный источник
относится к одному из следующих четырех классов:
Высокие источники, Н ≥ 50 м;
Источники средней высоты, Н=10...50 м;
Низкие источники, Н=2...10м;
Наземные источники, Н≤2м.
Для источников указанных классов в расчетных
формулах длина (высота) выражена в метрах; время - в секундах; масса вредных
веществ - в граммах; их концентрация в атмосферном воздухе - в миллиграммах на
кубический метр; концентрация на выходе из источника- в граммах на кубический
метр.
При одновременном совместном присутствии в
атмосферном воздухе нескольких (n) веществ, для каждой группы указанных веществ
однонаправленного вредного действия рассчитываются безразмерная суммарная
концентрация q для значения концентраций (n) вредных веществ обладающих
суммацией вредного действия, приводятся к значению концентрации одного из них.
Безразмерная концентрация q определяется по
формуле:
где
(
)
- расчетные концентрации вредных веществ в атмосферном воздухе в одной и той же
точке местности;
(
)
- соответствующие максимальные разовые предельно допустимые концентрации
вредных веществ в атмосферном воздухе.
Безразмерная концентрация q на границе
санитарно-защитной зоны ОАО «Гайский ГОК» (расчет на основе данных таблицы
«Данные о состоянии атмосферного воздуха на границе санитарно-защитной зоны ОАО
«Гайский ГОК» на 19.09.11г):
=
.
Приведенная концентрация с рассчитывается по
формуле:
, (
)
где
-
концентрация вещества, к которому осуществляется приведение;
- его ПДК;
и
-
концентрации и ПДК других веществ входящих в рассматриваемую группу суммации.
Приведенная концентрация по пыли:
Расчетами определяются разовые концентрации
относящихся к 20-30-минутному интервалу осреднения.
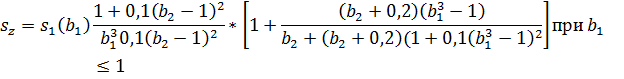
4.1 Расчет загрязнения атмосферы
выбросами одиночного источника
Максимальное значение приземной концентрации
вредного вещества
(
)
при выбросе газовоздушной смеси из одиночного источника с круглым устьем
достигается при неблагоприятных метеорологических условиях на расстоянии
(м)
от источника определяется по формуле:
, (
)
Где
А - коэффициент, зависящий от температурной
стратификации атмосферы.
Значение коэффициента А соответствующее
неблагоприятным метеорологическим условиям, при которых концентрации вредных
веществ n в атмосферном воздухе максимальна, принимается равным 180: для
Украины (источников высотой менее 200м в зоне от 50˚ до 52˚ с.ш.) (
ОАО «Гайский ГОК» располагается 51˚17' с.ш. и территория Белгородской
области имеет схожие климатические условия).
М (
)
- значение мощности выброса
и расход газовоздушной смеси
(
)
при проектировании предприятия определяются в соответствии с технологической
частью расчета проекта и принимается в соответствии с действующими для данного
производства процесса нормативами.
М =12
;
=10,8
.
безразмерный коэффициент. Для газообразных
вредных веществ и мелкодисперсных аэрозолей (пыли, золы и т.п.) F=1.
При определении ∆Т (˚С) следует
принимать температуру окружающего атмосферного воздуха
равной
средней максимальной температуре наружного воздуха наиболее жаркого месяца года
по СНиП 2.01.01-28, а температуру выбрасываемой в атмосферу газовоздушной смеси
-
по действующим для данного производства технологическим нормативам.
=25
;
.
Значения коэффициентов m и n определяются в
зависимости от параметров
.
Где
-
скорость выхода газовоздушной смеси
=7
.
Коэффициент
определяется
по формуле:
при
Коэффициенты
при
принимаются
равными 1.
.
Расстояние
(м)
от источника выбросов, на котором концентрация
)
при неблагоприятных метеорологических условиях достигает максимального значения
определяется
по формуле:
=[(5-F)/4]*d*H
Где безразмерный коэффициент d при
находится
по формуле
при
=[(5-1)/4]*12,1*35=423,5м
Значение опасной скорости
(
)
на уровне флюгера (обычно на уровне 10 м от земли), при которой достигается
наибольшее значение приземной концентрации вредных веществ
в
случае
определяется
по формуле:
при
Максимальное значение концентрации вредного
вещества
при
неблагоприятных метеорологических условиях и скорости ветра
,
Отличающейся от опасной скорости ветра
определяется
по формуле:
Где
- безразмерная
величина, определяемая в зависимости от отношения
.
при
Расстояние от источника выброса
(м),
на котором при скорости ветра
и неблагоприятных
метеорологических условиях концентрация вредных веществ достигает максимального
значения
определяется
по формуле:
Где p- безразмерный коэффициент, определяемы по
формуле:
м
При опасной скорости ветра
приземная
концентрация вредных веществ
(
)
в атмосфере по оси факела выброса на различных расстояниях x(м) от источника
выброса определяется по формуле:
окружающий среда охрана атмосфера
где
-
безразмерный коэффициент, определяемый в зависимоти от отношения
и
коэффициента F по формулам:
при
при
при F
и

|
(м)
|
|
|
|
50
|
0,12
|
0,078
|
|
100
|
0,24
|
0,245
|
|
200
|
0,47
|
0,426
|
|
500
|
1,18
|
0,96
|
|
1000
|
2,36
|
0,65
|
|
3500
|
8,26
|
0,11
|
|
x(м)
|
c( )
|
|
50
|
0,03*0,078=0,002
|
|
100
|
0,03*0,245=0,007
|
|
200
|
0,03*0,426=0,013
|
|
500
|
0,03*0,96=0,029
|
|
1000
|
0,03*0,65=0,002
|
|
3500
|
0,03*0,11=0,003
|
Значение приземной концентрации вредных веществ
в атмосфере
(
)
на расстоянии
(м) по
перпендикуляру от оси факела выброса определяется по формуле:
Где
-
безразмерный коэффициент, определяемый в зависимости от скорости ветра
и
отношения
по значению
аргумента
:
Принимаем за x расстояние
м
от источника выбросов, на котором концентрация
)
при неблагоприятных метеорологических условиях достигает максимального
значения.
Расчеты сведены в таблицу:
|
(м)
|
(м)
|
|
|
( )
|
( )
|
|
423,5
|
50
|
0,013
|
0,88
|
1,12
|
0,98
|
|
423,5
|
100
|
0,05
|
0,66
|
1,12
|
0,67
|
|
423,5
|
500
|
1,25
|
0,00003
|
1,12
|
0,00003
|
Расчеты распределения концентраций
)
на разных высотах
(м) над
подстилающей поверхностью производится по формуле:
при 
Расчеты сведены в таблицу:
|
|
|
|
|
( )
|
|
50
|
0,86
|
0,46
|
0,026
|
0,03
|
|
100
|
1,72
|
0,92
|
0,245
|
0,49
|
|
500
|
8,61
|
4,61
|
0,96
|
0,00043
|
5. МЕРЫ ПО ПРЕДОТВРАЩЕНИЮ
ЗАГРЯЗНЕНИЯ АТМОСФЕРНОГО ВОЗДУХА
Очень серьезной является проблема чистоты
атмосферы, и она далеко не нова. Данная проблема возникла вместе с появлением
промышленности и транспорта, которые работают на угле и на нефти. В течение
двух последних столетий задымление воздуха носило местный характер. Дым, копоть
от сравнительно редких заводов и фабрик почти полностью рассеивались в большом
воздушном пространстве. Однако быстрый рост промышленности в XX столетии привел
к такому увеличению объемов и токсичности вредных выбросов, которые не могут
уже растворяться в атмосфере до состояния безвредных для природной среды и
человека концентраций.
Главными и наиболее опасными источниками
загрязнения атмосферы являются промышленные, транспортные и бытовые выбросы.
Например, сжигание ископаемого топлива (уголь, нефть) играет определенную роль
в загрязнении атмосферы. За счет газов антропогенного происхождения образуются
кислотные осадки и смог.
Кислотные осадки серная и азотная кислоты,
образующиеся при растворении в воде диоксидов серы и азота и выпадающие на
поверхность земли вместе с дождем, туманом, снегом и пылью. Попадая в озера,
реки, кислотные осадки нередко вызывают гибель всего живого. Они же могут
вызывать повреждение листвы, а часто и гибель растений, ускорять коррозию
металлов и разрушение зданий. Кислотные дожди наблюдаются большей частью в
районах с развитой промышленностью.
При исследовании канцерогенных веществ,
содержащихся в атмосфере, ученые пришли к выводу, что большинство раковых
болезней у людей возникает в связи с накоплением небольших доз канцерогенов в
организме человека в течение длительного времени. Неблагоприятное влияние на
людей оказывают также соединения свинца, имеющиеся в выхлопных газах
автотранспорта. Присутствие свинца в крови человека возрастает с увеличением
его содержания в воздухе, что приводит к снижению активности ферментов,
участвующих в насыщении крови кислородом, к нарушению обменных процессов.
В развитых промышленных городах в результате
выброса в атмосферу вредных химических веществ часто образуется ядовитый туман.
Такой туман получил название «смог». Его возникновению способствуют
определенные метеорологические условия: отсутствие ветра и дождя, температурная
инверсия. Смог крайне вреден для людей и всех живых организмов. Во время такого
тумана резко ухудшается самочувствие людей, растет число легочных и
сердечнососудистых заболеваний, возникают эпидемии гриппа. Главным компонентом
смога является сернистый газ, вызывающих катар верхних дыхательных путей,
бронхит.
В результате фотохимических реакций, под
действием солнечной радиации, образуется так называемый фотохимический смог. Он
вызывает раздражение глаз, слизистых оболочек носа и горла, приводит к болезни
и гибели домашних животных, растений.
Из всего сказанного выше очевидно, какое большое
значение приобретают работы по очистке воздуха и его охране. Этими вопросами
занимаются во всех странах с развитой промышленностью, издаются специальные
законы, принимаются постановлений местными органами власти.
Наиболее эффективный путь снижения вредных
выбросов в атмосферу внедрение безотходных и малоотходных производств и
технологических процессов. Промышленные агрегаты должны быть оборудованы пыле-
и газоулавливающими средствами. Весьма эффективно применение полностью или
частично замкнутых воздушных циклов. Таким образом, загрязненный воздух
удаляется от оборудования и из зоны дыхания рабочих. Пройдя через
пылеуловители, он частично выбрасывается в воздух. Улавливание вредных для
окружающей среды веществ позволяет сохранить ценные готовые продукты и сырье во
многих отраслях промышленности. Так, улавливание серы из отходящих газов
Магнитогорского комбината (Челябинская область) обеспечивает санитарную очистку
и одновременно дает возможность получить многие тысячи тонн серной кислоты в
год по сравнительно низкой цене. Улавливание цемента позволило отказаться от
сооружения нескольких заводов.
В улучшении воздушной среды городов и поселков
большое значение имеют архитектурные и планировочные мероприятия. Структура
планировки должна способствовать улучшению микроклимата и защите воздушного
бассейна. Необходимо учитывать основные источники загрязнения окружающей среды
промышленные объекты и установки, автомобильные дороги, аэропорты, железные
дороги, телецентры, радиостанции, электростанции, дискомфортные
природно-климатические условия, организацию очистки и утилизацию отходов и т.д.
В зависимости от вредности выбрасываемых в
атмосферу веществ и степени их очистки в ходе технологического процесса
промышленные предприятия делятся на 5 классов. Для предприятий первого класса
устанавливается санитарно-защитная зона шириной в 1 000м, второго 500м,
третьего 300м, четвертого 100м, пятого 50м. В зоне допускается расположение
пожарных депо, бань, прачечных, гаражей, складов, административно-служебных
зданий, торговых помещений и т. д., но не жилых домов. Территория этих зон
обязательно должно быть озеленена. Роль зеленых насаждений и лесопарковых
массивов в городах многогранна. Зеленые растения являются биофильтром,
отфильтровывают вредные примеси, радиоактивные частицы, поглощают шум. Такова
роль, например, зеленых насаждений Москвы.
Нужно также сказать о новом, передовом методе
очистки газовых выбросов, дезодорации и бактерицидной очистке воздуха в
производственных и медицинских учреждениях, в том числе и в
сельскохозяйственном производстве, путем современных озоновых технологий.
Применение озоновых технологий для очистки
газовых выбросов позволило резко понизить концентрацию вредных веществ в
воздухе и перевести наиболее опасные вещества в менее активные формы. Известные
и реально используемые на сегодняшний день системы доочистки газовых сред, как
правило, не обеспечивают 100 % (до уровня ПДК) очистки газовых выбросов
промышленных предприятий. В рамках проводимых Центром системной и инженерной
экологии исследований в области разработки и внедрения высокоэффективных
озоновых технологий разработан и запатентован новый, полностью электрически
управляемый озонатор. Отличительной чертой данного оборудования является
высокая технологичность.
В целом защита атмосферного воздуха от
загрязнения должна производиться не только в региональном или местном масштабе,
но в первую очередь в глобальном, поскольку воздух не знает никаких границ и
находится в вечном движении.
6. ВИДЫ И ПРИНЦИПЫ РАБОТЫ ОЧИСТНОГО
ОБОРУДОВАНИЯ И СООРУЖЕНИЙ
Многие современные технологические процессы
связаны с дроблением и измельчением веществ, транспортированием сыпучих
материалов.
При этом часть материала переходит в пыль,
которая вредна для здоровья и наносит значительный материальный ущерб народному
хозяйству вследствие потери ценных продуктов.
Для очистки применяют различные конструкции
аппаратов.
По способу улавливания пыли их подразделяют на
аппараты механической (сухой и мокрой) и электрической очистки газов.
В сухих аппаратах (циклонах, фильтрах)
используют гравитационное осаждение под действием силы тяжести, осаждение под
действием центробежной силы, инерционное осаждение, фильтрование.
В мокрых аппаратах (скрубберах) это достигается
промывкой запыленного газа жидкостью.
В электрофильтрах осаждение на электроды
происходит в результате сообщения частицам пыли электрического заряда. Выбор
аппаратов зависит от размеров пылевых частиц, влажности, скорости и объема
поступающего на очистку газа, необходимой степени очистки.
Для очистки газов от вредных газообразных
примесей используют две группы методов - некаталитические и каталитические.
Методы первой группы основаны на выведении
примесей из газообразной смеси с помощью жидких и твердых (адсорберов)
поглотителей.
Методы второй группы заключаются в том, что
вредные примеси вступают в химическую реакцию и превращаются в безвредные
вещества на поверхности катализаторов.
6.1 Методы очистки
Все методы очистки делятся на регенеративные и
деструктивные. Первые позволяют возвращать в производство компоненты выбросов,
вторые трансформируют эти компоненты в менее вредные.
Методы очистки газовых выбросов можно разделить
по типу обрабатываемого компонента (очистка от аэрозолей - от пыли и тумана,
очистка от кислых и нейтральных газов и так далее).
Электрические методы очистки.
При этом способе очистки газовый поток
направляется в электрофильтр, где проходит в пространстве между двумя
электродами - коронирующим и осадительным. Частицы пыли заряжаются, движутся к
осадительному электроду, разряжаются на нем. Таким методом можно очищать пыли с
удельным сопротивлением от 100 до 100 млн. Ом*м. Пыли с меньшим удельным
сопротивлением сразу же разряжаются и улетают, а с большим - образуют плотный
изолирующий слой на осадительным электроде, резко уменьшая степень очистки.
Методом электрической очистки можно удалять не только пыли, но и туманы.
Очистка электрофильтров производится путем смыва пыли водой, вибрацией или с
помощью ударно-молоткового механизма.
Различные мокрые методы.
Использование пенных аппаратов, скрубберов.
Для очистки от газов применяют следующие методы:
Адсорбция.
То есть поглощение твёрдым веществом газового (в
нашем случае) компонента. В качестве адсорбентов (поглотителей) применяют
активные угли различных марок, цеолиты, силикагель и другие вещества. Адсорбция
- надёжный способ, позволяющий достигать высоких степеней очистки; кроме того,
это регенеративный метод, то есть уловленный ценный компонент можно вернуть
обратно в производство. Применяется периодическая и непрерывная адсорбция. В
первом случае по достижении полной адсорбционной емкости адсорбента газовый
поток направляют в другой адсорбер, а адсорбент регенерируют - для этого
используется отдувка острым паром или горячим газом. Затем ценный компонент
можно получить из конденсата (если для регенерации использовался острый пар);
для этой цели используется ректификация, экстракция или отстаивание (последнее
возможно в случае взаимной нерастворимости воды и ценного компонента). При
непрерывной адсорбции слой адсорбента постоянно перемещается: часть его
работает на поглощение, часть - регенерируется. Это, конечно, способствует
истиранию адсорбента. В случае достаточной стоимости регенерируемого компонента
использование адсорбции может быть выгодным. Например, недавно (весной 2001
года) проведенный для одного из кабельных заводов расчёт участка рекуперации
ксилола показал, что срок окупаемости составит менее года. При этом 600 т
ксилола, которые ежегодно попадали в атмосферу, будут возвращены в
производство.
Абсорбция.
То есть поглощение газов жидкостью. Этот метод
основан либо на процессе растворения газовых компонентов в жидкости (физическая
адсорбция), либо на растворении вместе с химической реакцией - химическая
адсорбция (например, поглощение кислого газа раствором с щелочной реакцией).
Этот метод также является регенеративным, из полученного раствора можно
выделить ценный компонент (при использовании химической адсорбции это не всегда
возможно). В любом случае вода очищается и хотя бы частично возвращается в
систему оборотного водоснабжения.
Термические методы.
Являются деструктивными. При достаточной
теплотворной способности выбросного газа его можно сжечь напрямую (все видели
факелы, на которых горит попутный газ), можно применить каталитическое
окисление, или (при малой теплотворной способности газа) использовать его в
качестве дутьевого газа в печах. Получающиеся в результате термического
разложения компоненты должны быть менее опасными для окружающей среды, чем
исходный компонент (например, органические соединения можно окислить до
углекислого газа и воды - если нет других элементов, кроме кислорода, углерода
и водорода). Этот метод позволяет добиться высокой степени очистки, но может
стоить дорого, особенно если используется дополнительное топливо.
Различные химические методы очистки.
Как правило связанные с использованием
катализаторов. Таковым, например, является каталитическое восстановление
оксидов азота из выхлопных газов автотранспорта (в общем виде механизм этой
реакции описывается схемой:
CnHm + NOx + CO----->CO2 + H2O
+N2,
где в качестве катализатора kt используется
платина, палладий, рутений или другие вещества). Методы могут требовать
применения реагентов и дорогих катализаторов.
Биологическая очистка.
Для разложения загрязняющих веществ используются
специально подобранные культуры микроорганизмов. Метод отличается низкими затратами
(реагентов используется мало и они дешевые, главное - микроорганизмы живые и
размножаются сами, используя загрязнения как пищу), достаточно высокой степенью
очистки, но в нашей стране, в отличие от Запада, широко распространения, к
сожалению, пока не получил.
Аэроионы - мельчайшие жидкие или твердые
частицы, заряженные положительно или отрицательно. Особенно благоприятно
действие отрицательных (легких аэроионов). Их справедливо называют витаминами
воздуха.
6.2 Реализация экологических
программ по охране ОС
Около 120 млн рублей направлено Гайским ГОКом на
реализацию экологических программ в 2010 году, что позволило выполнить 24
мероприятия по защите окружающей среды от техногенного воздействия
производства. В частности, на различных участках обогатительной фабрики
проведены ремонты системы приточно-вытяжной вентиляции. В цехе хвостового
хозяйства внедрена система пылеподавления, позволяющая максимально подавлять
пыль в процессе её возникновения на песчаных пляжах плотины. Для этой цели было
проложено более четырех километров трубопроводов, а по гребню плотины на девяти
распределительных секциях установлено более 650 специальных форсунок. В течение
года специалисты комбината вели контроль над соблюдением установленных
нормативов выбросов в атмосферный воздух, сбросов вредных веществ в
поверхностные воды и почву, за обращением с опасными отходами. Реконструкция
трех аспирационных технологических установок и замена части воздуховодов на
дробильно-сортировочной фабрике позволили на 57% снизить негативные выбросы в
атмосферу.
Завершена работа по созданию проекта
санитарно-защитной зоны предприятия. Была произведена реконструкция системы
очистки воздуха в подземной механической мастерской по ремонту вагонеток на
дренажной шахте, заменены вытяжные вентиляторы аспирационных установок в
ремонтно-строительном цехе, реконструирована приточно-вытяжная вентиляция в
энергоцехе. На керамзитовом заводе произведена замена футеровки вращающихся
печей, что позволило снизить выбросы в атмосферу.
Интегрированная система менеджмента экологии и
качества Гайского ГОКа признана соответствующей требованиям международных
стандартов ISO 14001:2004 и ISO 9001:2008. Проведенный в 2010 году
специалистами сертификационного общества Det Norske Veritas ресертификационный
аудит подтвердил, что она не только поддерживается на предприятии на требуемом
уровне, но и постоянно улучшается.
Однако природоохранные мероприятия не улучшают
кардинально экологическое состояние природной среды, т.к. до сих пор
отсутствуют комплексные исследования причин прогрессирующего развития процессов
деградации ОС. Нет также в области единого независимого экологического центра,
который мог бы координировать работы специалистов различного профиля и в
конечном итоге объективно оценить природу и масштабы проявления негативных
процессов, разработать программу оздоровления ОС и определить условия
сбалансированного подхода к решению задач по расширению объемов добычи и переработки
минерального сырья при смягчении противоречий между факторами сырьевой и
продовольственной безопасности области. Работы центра позволяли бы заложить
Фундамент более экологичных, чем существующие, технологий разработки полезных
ископаемых КМА и тем самым сохранить от уничтожения уникальные черноземные
почвы, а также улучшить здоровье и медико-демографическое состояние населения.
ЗАКЛЮЧЕНИЕ
В Белгородской области и в нашем городе
продолжается загрязнение и разрушение окружающей среды. На фоне планетарных
экологических проблем в Белгородской области все заметнее проявляются признаки
глобального экологического кризиса: выпадение кислотных дождей, учащение
аномальных гидрометеорологических явлений, изменение климата, истощение
природных ресурсов. Наибольшее техногенное влияние испытывает район Курской
магнитной аномалии. Основными загрязнителями окружающей среды остаются
предприятия горнодобывающей, металлургической и химической отраслей,
промышленности стройматериалов, транспорт. Объем выбросов загрязняющих веществ
увеличился в Старом Осколе: с 42 до 43 тысяч тонн. Установлено превышение
среднегодовых концентраций по оксидам серы и азота в Старом Осколе.
В целях улучшения экологической обстановки в
области нужно усиливать природоохранные мероприятия на предприятиях,
совершенствовать технологические процессы и способы очистки отходящих газов и
сточных вод.
Определенные шаги в этом направлении уже
сделаны:
по подавлению оксидов азота применяется
двухступенчатое сжигание на объектах "Белэнерго";
на обжигах печах цемзаводов Белгорода и Старого
Оскала установлены дополнительные устройства на электрофильтрах, позволяющие
снизить выбросы пыли до 200 тысяч тонн;
в акционерном обществе "Осколцемент"
смонтирована система возврата пыли в производство, что позволило снизить
выбросы в атмосферу на 50 тысяч тонн в год;
в акционерном обществе "Гайского ГОК"
проводятся ежегодные мероприятия по рекультивации пылящих отвалов на площади 50
гектаров.
Чистый, прозрачный воздух, настоянный на
ароматах трав или наполненный морозной свежестью, бодрящий, которым хочется
дышать, остается мечтой для горожан. Но нельзя ждать, когда органы власти решат
все экологические проблемы. Каждый из нас не только может, но и обязан внести
свои вклад в оздоровление природной среды. Как? Прежде всего, нельзя забывать,
что естественными фильтрами, очищающими воздух, являются растения. За
вегетативный период дерево с массой листьев 10 кг поглощает из воздуха до 500
мг ядовитого оксида серы. Сохранение зеленых насаждений, посадка саженцев в
наших дворах сделает воздух чище. Еще одним путем, как сделать воздух чище,
является снижение содержания в нем пыли.
СПИСОК ЛИТЕРАТУРЫ
1. Методические
указания для выполнения курсового проекта по дисциплинам «Охрана окружающей
среды» и «Производство и окружающая среда» для студентов специальности 060300
«Экономика природопользования». Третьяков О.Н., Третьяков И.О., Москва, 2002 г.
2. «Состояние
окружающей природной среды Белгородской области в 1999 году». Рабочая группа:
Глазунов Е.Г., Атанов Ю.Г., Гарманов Н.А., Геенко В.Н., Горохов Е.П., Мазуров
В.Е. Ежегодный доклад. Белгород, 2000 г.
. «Практическая
работа природоохранительных органов, промышленных и транспортных предприятий
области по охране атмосферного воздуха». Рабочая группа: Галеев А.Х., Гарманов
Н.А., Глазунов Е.Г., Завгородний В.П., Латышев В.И., Мазуров В.Е. Сборник
материалов областного семинара-совещания 6 марта 1997 г. Белгород, 1997
4. <http://www.ggok.ru/ru/>
. <http://ibprom.ru/>
. <http://www.ecoindustry.ru>
. <http://geocentr-msk.ru/content/view/361/73>
8. http://www.yavnauke.ru/blogs
/yekologicheskaja-obstanovka-belgorodskoi-oblasti.html
<http://www.yavnauke.ru/blogs/yekologija-i-vse-chto-s-nei-svjazano/yekologicheskaja-obstanovka-belgorodskoi-oblasti.html>
9. <http://www.orenobl.ru/>