Оцінка стану екологічної системи басейну річки Інгул

  • Вид работы:
    Курсовая работа (т)
  • Предмет:
    Экология
  • Язык:
    Украинский
    ,
    Формат файла:
    MS Word
    4,18 Мб
  • Опубликовано:
    2013-12-25
Вы можете узнать стоимость помощи в написании студенческой работы.
Помощь в написании работы, которую точно примут!

Оцінка стану екологічної системи басейну річки Інгул

МІНІСТЕРСТВО ОСВІТИ І НАУКИ УКРАЇНИ,молоді та спорту

Національний університет водного господарства та природокористування

Кафедра Екології










Курсова робота

на тему: Оцінка стану екологічної системи басейну річки Інгул


Виконав:

Розумнюк О.М.

Перевірила:

Матушевська Н.Р.



Рівне 2012

Зміст

Вступ

Розділ 1. Географічне положення басейну

.1 Загальна характеристика басейну

.2 Фізико-географічні умови розташування басейну

Розділ 2. Характеристика абіотичних компонентів екосистеми басейну річки

.1 Кліматичні фактори

.2 Едафічні фактори

.3 Гідрологічні фактори

Розділ 3. Характеристика біотичної складової екосистеми

.1 Характеристика рослинного світу басейну річки

.2 Характеристика тваринного світу басейну річки

.3 Екологічна структура популяцій

.4 Дослідження вертикальної структури біоцинозу

.5 Характеристика біоценотичних зв'язків

Розділ 4. Оцінка стану поверхні водозбору і оптимізації її структурно-функціональної організації

.1 Визначення комплексного екологічного індексу стану поверхні водозбору

.2 Побудова колової діаграми стану поверхні водозбору рекомендації природоохоронних закладів

Розділ 5. Оцінка впливу стаціонарного джерела забруднення на атмосфернеповітря

Загальні висновки

Використана література

Вступ

річка інгул екологічний географічний

Нині екологія стала теоретичною основою та науковою базою для розробки питань охорони природи й раціонального використання її ресурсів, визначення стратегії й тактики гармонізації взаємин людського суспільства та довкілля. Екологія стала одною з головних міждисциплінарних наук. В умовах, коли антропогенні зміни торкнулися практично всіх екосистем земної кулі, атмосфери й навіть найближчого до планети космічного простору, найважливішим завданням стало глобальне потепління, вдосконалення природокористування, обов’язкове екологічне обґрунтування всіх видів господарської діяльності, виконання силами міжнародного співтовариства глобальних заходів з охорони біосфери планети в ім’я її населення. У вирішенні цих проблем головна роль належить екології.

Найважливішим завданням сучасної загальної екології є вивчення основних законів взаємовідносин організмів усіх рівнів організації між собою й природним середовищем.

Вперше термін «екологія» запропонував у 1866р. німецький дослідник природи Е. Геккель, однак формування екології, як науки почалося у ХХ ст. й триває досі. Специфіка сучасної екології полягає в тому що вона із суто біологічної науки перетворилася на цілий цикл знань, увібравши в себе розділи географії, фізики, соціології, економіки й навіть теології.

На думку інших учених, екологія - це соціально природнича наука; її однаково можна віднести і до біологічної і її слід розглянути як цілком самостійну науку, що набула фундаментальності й глобальності. Сучасна екологія - це одна з головних наук про взаємовідносини живої і неживої природи, нова філософія людства, що перебуває в стадії формування. Це наука про середовище нашого проживання, його живі і неживі компоненти, що формує умови життя та розвитку всіх екосистем.

Погіршення стану більшості екосистем біосфери, істотне зменшення біопродуктивності, катастрофічне виснаження ґрунтів і мінеральних ресурсів, небачена забрудненість поверхні Землі й атмосфери, гідросфери. Саме необхідність задоволення дедалі більших потреб людського суспільства призвело до гігантського розширення масштабів господарської діяльності. Тому основним завданням екології та її досліджень це вирішити такі проблеми в нашому довкіллі: народонаселення, парникового ефекту, повної утилізації відходів промисловості, екологічного «чистого» транспорту, демілітаризації і біосфери планети, ресурсозбереження, екологічно «чистої» енергетики та збереження гідросфери.

Тому, об’єктом нашої курсової роботи є басейн річки Інгул;

Предметом - оцінка стану екологічної системи басейну річки Інгул.

Розділ 1. Географічне положення території

.1 Загальні відомості про басейн річки

При вимірюванні площі водозбору використовуємо палетку із стороною квадрата 1 см.

Площа кожного квадрата палетки при масштабі 1:50 000 дорівнює 0.25 км2. Палетку накладаємо на контур водозбору і вираховуємо число квадратів. По ізогіпсах карти шляхом оконтурювання меж водо розділу. Використовуючи методи діаграм або дискограм. Крім цього існують методи: графоаналітичний (шляхом розбивки басейну на трикутники або трапеції, з на дальшою сумацією отриманих площ); графічний (з допомогою лінійчатої палетки); лінійчатий (з допомогою планіметра типу ПП - 2К).

Точність вимірів за допомогою палетки, особливо клітчатої, вище точності вимірів, проведених за допомогою планіметрів. Точність вимірів (відхилення) при вимірюванні палетками дорівнює: клітчатою 0,1 - 3,5%, лінійчатою 0,2 - 5,0%.

Графічний метод (за допомогою палетки). Вишукувана площа дорівнює площі малого квадрату палетки помноженому на кількість підрахованих квадратів.

При клітчатій палетці

=S*M2

При лінійчатій палетці

S=a*

де а - віддаль між лініями;

у - відрізок прямих у межах контура, що вимірюється циркулем або курвіметром;

М - іменований масштаб на середній паралелі.

Для уточнення результатів:

1.)     площу басейну вимірюють тричі;

2.)     при площі більше 20 см2 використовують палетку з відстанню між лініями 1 см;

.)       при менших площах та радіусом звиви менше 1,0 см використовують палетку з відстанню між лініями 0,5см;

.)       при вимірах співзміщують одну з ліній палетки з краєм контура.

Довжина річки Інгул: ____ км

Площа басейну річки Інгул ___ км2

Довжину річки вимірюємо розгином циркуля в 2мм.

Дані вимірювань біоценозів басейну річки наведено в таблиці 1.1.

Таблиця 1.1

№ п/п

Назва біоценозу

Площа біоценозу, км2

% від загальної площі

1

рілля



2

болото



3

ліс



4

луки - чагарники




Загальна площа басейну




.2 Фізико-географічні умови розташування басейну річки Тартак

Географічне положення - це розміщення певної територій на земній поверхні, що визначається за її географічними координатами та по відношенню до інших природних, адміністративних та економіко географічних об'єктів.

Річка Тартак розташована в Кіровоградській області.

 

Герб Кіровоградської області Прапор Кіровоградської області

Площа області.

Площа становить 24,6 тис. км² (4,1% від території України). Протяжність області з півночі на південь становить майже 148 км, із заходу на схід - 335 км.

Рельєф басейну.

Область розташовується на південних схилах Придніпровської височини. Таке місцезнаходження обумовлює дуже нерівний горбистий рельєф, на території області знаходиться велика кількість балок і ярів. Дуже актуальною проблемою є водна ерозія ґрунтів.

Клімат області.

Клімат: помірно континентальний. Зима м'яка, з частими відлигами, а літо спекотне. Середня температура липня + 21 °C, січня - 5,5 °C. Опади випадають найчастіше влітку і восени у вигляді дощів.

Ґрунти в басейні річки Тартак.

Ґрунти області характеризуються високою родючістю. Ґрунтовий покрив області характерний для перехідної зони від південного лісостепу до північного степу.

У північній частині області переважають чорноземи потужні малогумусні із вмістом гумусу 5,0% та середньогумусні із вмістом гумусу трохи більше 5,5%. Значні площі тут займають чорноземи в різному ступені реградуровані, а також чорноземи опідзолені, темно-сірі опідзолені та сірі опідзолені ґрунти.

Для південно-східних районів найбільш поширеними ґрунтами є чорноземи звичайні, середньо - та малогумусні, а в південній частині - чорноземи звичайні малогумусні малопотужні.

За механічним складом ґрунти північних районів - важкосуглинисті, південних - легкосуглинисті, а в Придніпров`ї - легко - та середньосуглинисті.

Водойми області.

Річки області належать до систем Дніпра і Південного Бугу. Значущі притоки Дніпра - Тясмин, Інгулець і Цибульник, Південного Бугу -Тартак, Синюха і Синиця.

Тартак витікає з невеликого лісового озерця біля села Бровкове північніше Кіровограда. Тече в південному напрямку в межах Придніпровської височини; у пониззі протікає Причорноморською низовиною і розділяється на рукави. Біля Миколаєва впадає в Південний Буг. У верхів'ях річка має вузьке, звивисте русло; на ділянці між селами Костичі і Виноградівка - плавні; в середній течії русло розширюється до 30 м, в нижній - до 80 м і більше. Глибина річки переважно 0,7 - 1,2 м, швидкість течії - до 0,5 м / с (1,8 км / год). Притоки Тартака- Сугоклія, Аджамка, Кам'янка, Громоклія, Березівка та інші.

Живлення переважно снігове і дощове. Середні витрати води біля села Новогорожене (118 км від гирла) 8,84 м³/с. Замерзає у першій половині грудня, льодостав нестійкий; скресає наприкінці лютого - в першій половині березня.

Вода Тартака використовується для водопостачання і зрошення - у басейні річки споруджена зрошувальна система на площі 33 тис. га. Верхні ділянки Тартака та його приток зарегульовані - тут побудовані ставкові господарства; в ставках, крім всюдисущих риб, таких як карась, короп і деяких інших, зустрічаються піскар, вівсянка, окунь, уклея.

Розділ 2. Характеристика абіотичних компонентів екосистеми басейну річки Інгул

Абіотичні фактори - сукупність кліматичних, ґрунтових (едафічних), а також топографічних факторів. Сюди також відносять потоки, хвилі і т. д.

Абіотичні фактори визначають можливість існування всіх груп організмів у тому чи іншому середовищі, впливають на географічне поширення рослин, тварин та мікроорганізмів. Вони відіграють певну роль при розмноженні тварин, мають велике значення для загального рівня життєдіяльності організмів. В екосистемах абіотичні фактори виступають як ланка, що зв’язує різні групи організмів і тим забезпечує структурно-функціональну цілісність екосистеми.

Абіотичні фактори (фактори неживої природи) поділяються на:

Кліматичні

·   енергія сонця

·        освітленість

·        температура

·        вологість

·        повітря

1.       Едафічні

2.       Орографічні

.        Гідрологічні

.        Геологічні.

.1 Кліматичні фактори

Клімат - сума метеорологічних явищ в атмосфері протягом тривалого періоду. Клімат як єдиний абіотичний фактор зумовлює великомаштабний розподіл рослинності на значних територіях, а також грунтів і, частково, видів тварин.

Більша частина басейну належить до вологої, помірно теплої, південно-східна - до недостатньо вологої, теплої агрокліматичних зон. Діє метеостанція Сімферополь.

Світло як екологічний фактор. Сонце є єдиним джерелом енергії на нашій планеті. Світло, у всіх його проявах, необхідне для життя. Нам відомо, що світло є невід’ємною умовою процесу фотосинтезу, але разом з тим є інші аспекти його впливу на живі істоти. Розглядаючи ці аспекти, слід відзначити, що вони залежні від інтенсивності світла, довжини хвилі, кольору та фотоперіоду. Всі ці властивості світла залежать від кута падіння сонячних променів на земну поверхню. Якщо на екваторі довжина світлового дня (фотоперіод) більш менш постійна (близько 12 год.), то у вищих широтах вона залежить від пори року і змінюється циклічно. Зрозуміло, що в таких умовах життєві цикли живих організмів, синхронізовані відповідно до конкретної пори року (фотоперіоду). Ця синхронізація проявляється у різних формах пристосування, таких як сплячка, діапауза комах, приліт відліт птахів і т. п.

Кількість променистої енергії, яка проходить через атмосферу, є постійною величиною: 1.98 до 2 кал/см2 Хв., або 5Х1020 Ккал в рік на всю поверхню земної кулі. Цю величину називають сонячною сталою.

Світло є важливим фактором, який впливає на процеси розмноження рослин і тварин. Розглядаючи екологічне значення світла, слід відзначити його основну роль у фотосинтезі зелених рослин, оскільки воно сприяє утворенню органічної речовини - рослинної біомаси, тобто первинної біологічної продукції, від трансформації і використання якої залежить життя на Землі.

Для рослин важливі промені видимої і невидимої частин спектра, особливо оранжево-червоні і синьо-фіолетові. Найменше поглинаються жовто-сині, майже не поглинаються інфрачервоні.

Сонячну енергію, яку зелені рослини поглинають і використовують у процесі фотосинтезу, називають фізіологічно активною радіацією, або скорочено ФАР. В житті рослин велике значення має також кількість падаючого світла, тобто інтенсивність освітлення. Рослини упродовж життя потребують неоднакової кількості світла.

Часто світло виступає як фотоперіодичний стимулятор. Щоб рослина могла вступати в черговий цикл росту і розвитку, їй потрібно пережити холод і одержати таким чином фізіологічне підтвердження того, що зима минула.

Світловий режим будь-якого місцезростання визначається інтенсивністю прямої та розсіяної радіації, кількістю річної сумарної радіації, її спектральним складом, а також альбедо (відображаючу здатність поверхні на яку падає світло). Річна сума прямої сонячної радіації басейну становить 1088 мДж/м2, розсіяної - 1630 мДж/м2. сумарна радіація становить 3720 мДж/м2. альбедо за рік складає 25%.

Освітленість земної поверхні як екологічний фактор має концентровану форму впливу на живі організми. Освітленість земної поверхні виражена у тих системах, де ярусність рослинного покриву, а також топографія земної поверхні зумовлює адаптацію живих організмів. Яскравим прикладом пристосування до різних параметрів освітленості є ярусність, коли залежно від кількості сонячного випромінювання організми закономірно займають певний ярус в системі.

Для освітленості як фактору поширюється як на сушу, так і на водні екосистеми (колір, редукція органів зору тощо). У цьому випадку слід враховувати, що водне середовище значно відрізняється від повітряного насамперед за своїми фізичними властивостями. Світло набагато важче проникає через товщу води, чим зумовлене зосередження живих організмів переважно у верхніх шарах води.

Температура як екологічний фактор. Якщо живий організм у змозі адаптуватись до дефіциту освітленості і у нього виникають певні пристосування, то до температури живі організми більш вибагливі. Кожен окремий організм пристосований до конкретних температурних умов і може існувати в певних межах, до яких пристосовані його метаболізм та структура. Пониження температури нижче точки замерзання в клітині веде до фізичного розладу самої структури клітини і її загибелі. У цьому випадку працюють насамперед фізичні параметри води. При зниженні температури вода збільшується в об’ємі тим самим призводить до руйнування клітини. Більше обмеженого максимуму, температура веде до денатурації основних білкових компонентів, а отже, до смерті. Живий організм здатний регулювати температуру в певних межах, але різкі перепади температурного режиму можуть призвести до розладу функціонування організму, а інколи навіть до загибелі. Наведене свідчить, що живий організм може існувати тільки в певних температурних межах. У живих організмів є цілий ряд пристосувань, які дають їм змогу втримувати температуру в певних межах. Слід відзначити, що коливання температури водного середовища проходить менш помітно, оскільки водне середовище має більш високу теплоємність. На температурний режим системи значною мірою може впливати і рослинний покрив і в такому випадку біотичний компонент є важливим фактором утворення мікроклімату. Цей факт здавна був помічений людиною і активно використовується в лісовому господарстві.

Від температури навколишнього середовища залежить температура організмів і швидкість усіх хімічних речовин. Тому межі існування життя - це температури, за яких можлива нормальна будова і функціонування білків - в середньому від 00 до 500 С.

Хід температури впливає на процес нагромадження органічної речовини. Багато в чому він подібний до процесу фотосинтезу, але на нього впливає інтенсивність процесу дихання, яка при підвищенні температури швидко зростає, а при зниженні - падає. Вивчаючи взаємозв’язки між організмами та температурою оточуючого середовища, усі організми поділяють на теплокровні та холоднокровні. [4]

Клімат басейну річки помірно-континентальний. Зима м'яка з середньою температурою січня -5°С, літо тепле з середньою температурою липня + 18° С. У Карпатах </wiki/%25D0%259A%25D0%25B0%25D1%2580%25D0%25BF%25D0%25B0%25D1%2582%25D0%25B8> клімат більш суворий і змінюється з наростанням висоти. Середні температури тут на 3-5°С нижчі ніж у передгірській зоні. Такі кліматичні умови сприяють організації цілорічного відпочинку і лікування. На схилах Карпат </wiki/%25D0%259A%25D0%25B0%25D1%2580%25D0%25BF%25D0%25B0%25D1%2582%25D0%25B8> сніг лежить до п'яти місяців, а це, в свою чергу сприяє розвиткові гірськолижного спорту. Річки в значній частині мають гірський характер, утворюють каскади й водоспади, надаються для водного туризму. Період з температурою понад +100 становить 155-170 днів. Без морозний період 150-155 днів, сума активних температур 2500-26000. У горах клімат значно суворіший, спостерігається зниження температури з висотою. Зміна температури на 100 м висоти у середньому становить 0,50. Пересічна температура - 60, липня +160. Без морозний період скорочується до 110-130 днів, сума активних температур 16000 і менше.

Таблиця 2.1. Середня місячна, мінімальна і максимальна температури

0С

І

ІІ

ІІІ

IV

V

VI

VII

VIII

IX

X

XI

XII

Рік

tсер

-6,2

-5,2

-0,5

8,1

14,9

18,5

20,4

19,5

14,4

7,8

2,0

-3

7,6

tмак

-3,3

-1,9

3,2

13,5

20,9

24,5

26,3

25,5

20,4

12,4

5,0

-0,4

12,2

tмін

-9,0

-7,9

-3,6

3,6

9,3

12,9

14,9

14,0

9,2

3,8

-0,5

-5,5

3,4


Рис.2.1.Циклограма середньомісячних температур

Повітря як екологічний фактор. Повітря як екологічний фактор має для рослин особливе значення, оскільки є не лише середовищем, у якому відбуваються життєві процеси, але і одним із джерел споживання. Повітря майже ніколи не буває сухим, в ньому завжди присутня водяна пар, частка якої в повітрі сягає 4%А деколи - лише 0,01% загального об’єму. Крім того в ньому завжди присутні фізичні домішки природного і антропогенного походження: пилок і спори рослин, пил сажа тощо. У перезволоженому повітрі «народжуються» кислі дощі.

Важливу роль у житті рослин відіграє вітер. Вітер - це перемішення мас повітря вздовж поверхні Землі, під час якого вирівнюється концентрація окремих його частин, посилюється газообмін в атмосфері і грунті. Вітер посилює випаровування і вологість. Водночас вітер відіграє значну роль у фізіологічній діяльності організмів.

На території басейну переважає північно-західний вітер, в загальному він складає 32%. Найменше на даній території спостерігаються південні і північно-східні вітри. Також значною інтенсивністю характеризуються західні та південно-східні вітри.

Таблиця 2.2. Середня багаторічна повторюваність напрямку вітру

Метеостанція

Назва румбів


Пн.

Пн.С.

С.

Пд.С.

Пд.

Пд.З.

З.

Пн.З.

Штиль

Чернівці

17

15

9

11

11

12

11

14

8

 

Рис.2.2.Роза вітрів

Повітря як екологічний фактор. Повітря як екологічний фактор має для рослин особливе значення, оскільки є не лише середовищем, у якому відбуваються життєві процеси, але і одним із джерел споживання. Повітря майже ніколи не буває сухим, в ньому завжди присутня водяна пара, частка якої в повітрі сягає 4%,а деколи - лише 0,01% загального об’єму. Крім того в ньому завжди присутні фізичні домішки природного і антропогенного походження: пилок і спори рослин, пил, сажа тощо. У перезволоженому повітрі «народжуються» кислі дощі.

Важливу роль у житті рослин відіграє вітер. Вітер - це переміщення мас повітря вздовж поверхні Землі, під час якого вирівнюється концентрація окремих його частин, посилюється газообмін в атмосфері і грунті. Вітер посилює випаровування і вологість. Водночас вітер відіграє значну роль у фізіологічній діяльності організмів.

На території басейну переважає північно-західний вітер, в загальному він складає 32%. Найменше на даній території спостерігаються південні і північно-східні вітри. Також значною інтенсивністю характеризуються західні та південно-східні вітри.

Вода як екологічний фактор. Вода, в якій розпочалося життя на Землі, це важливий екологічний фактор, що визначається її фізичними властивостями. Тіло живих організмів, рослин і тварин містить багато води.

Втрата тілом тварин і рослин вологи призводить до падіння життєдіяльності, а згодом - і до загибелі. Рослини і тварини повинні підтримувати баланс між споживанням води організмом і випаровуванням, з одного боку і, наявністю вологи в оточуючому середовищі і її фактичним надходженням до організму - з іншого.

Рослини одержують основну масу води з грунту. Водний дефіцит, який настає під час посухи, порушує всі біохімічні і фізіологічні процеси у рослин. Під час ґрунтової посухи у ґрунті різко зменшується вміст води, доступної для рослини, яка може настати або внаслідок сильної атмосферної засухи, або ж через тривалу відсутність дощу. Річні суми опадів коливаються від 600-800 мм у Передкарпатті до 1400 мм у горах. Основна їх кількість припадає на теплий період року. Найбільш дощові літні місяці, коли дощі випадають у вигляді злив, які іноді випадають у вигляді злив, які іноді призводять до катастрофічних паводків.

.2 Гідрологічні фактори

Для екологічної системи особливо важливою є кількість опадів. Вона визначає навіть тип екосистеми. При опадах менше ніж 250 мм на рік (у жаркому кліматі) розвиваються пустельні екосистеми, при опадах 25-750 мм - формуються сухі субтропічні ліси та при опадах більш ніж 1250 мм на рік - вологі тропічні ліси.

В залежності від виду атмосферних опадів, рік прийнято ділити на два періоди: холодний і теплий. Холодний період - це коли разом з твердими опадами випадають рідкі, теплий - коли випадають переважно рідкі опади.

Водний режим екосистем визначається не тільки кількістю опадів як таких, але й співвідношенням його до режиму випаровування води. Одночасно цей параметр, треба врахувати температуру, оскільки вона в першу чергу впливає на інтенсивність випаровування. Сумарним показником режиму в зволоженості в екосистемі може бути гідрометричний індекс:

= P*T/(tл - tc).

= 534*7,6/(26,3-(-0,5))=346,2

де: Р - кількість опадів на рік;

Т - середньорічна температура; л - середня температура найтеплішого місяця; c - середня температура найхолоднішого місяця.

Опади на території басейну розприділяються нерівномірно. У північно-західній частині випадає 600-640 мм, у південно-східній -500-530 мм на рік. Близько 79% їх припадає на теплий період року. Висота снігового покриву 4-17 см. Кількість днів, коли земля вкрита снігом, збільшується з півдня на північ від 75 до 95. З несприятливих кліматичних явищ на території басейну спостерігаються хуртовини (10-15 днів), ожеледь (7-17 днів), тумани в холодний період року (23-34 днів), грози (11-20), град, суховії, трапляються ранні осінні та пізні весняні заморозки.

Вологість як екологічний фактор. Вода необхідна для життя і нерідко виступає лімітуючим фактором в наземних екосистемах. Слід відмітити, що вода є єдиним розчинником на нашій планеті, завдяки воді відбувається транспорт речовин із навколишньої, неживої природи до живих організмів. На планеті Земля вода одночасно перебуває в трьох агрегатних станах - твердому, рідкому і газоподібному.

Волога настільки важлива, що в типових екосистемах України влітку після кожного дощу вся природа „оживає”. Дощ є механізмом, що забезпечує початок весняного проростання насіння ряду рослин. Таке насіння вміщує інгібітори, що гальмують їхнє проростання в несприятливий час. Весняні дощі вимивають ці інгібітори з насіння і воно починає проростати.

Повітря має сильну висушу вальну дію, тому у рослин та тварин спостерігається велика кількість цікавих пристосувань щодо зниження випаровування. Одночасно живим організмам доводиться підтримувати певний оптимальний режим втрати пароподібної вологи, оскільки випаровування - це найефективніший спосіб само охолодження організму в умовах високої температури повітря.

Джерелами поступлення води на поверхню суші є - дощ, сніг, град, роса, що в сукупності формують поверхневі води. Значний відсоток „ґрунтової води”, за винятком людини, недоступний живим організмам. Отже, для живих організмів залишається в розпорядженні тільки незначний відсоток води.

Залежно від здатності утримувати вологу або витримувати без води, рослини поділяють на:

·   ксерофіти - які здатні довший час витримувати без води;

·        мезофіти - із середньою витривалістю;

·        гідрофіти - які не можуть витримувати без води без води і вода для них є основним лімітуючим фактором.

Вологість середовища є фактором, який лімітує чисельність та поширення організмів на земній кулі. Рослини басейну, степові та лісові, потребують підвищеного вмісту водяної пари в повітрі і навпаки, тому найменші її значення спостерігаються влітку (72%), а найбіліші взимку (88%). Річний хід вологості повітря обернений до річного ходу температури повітря, тобто максимум відносної вологості відповідає майже мінімуму температури повітря і навпаки.

Таблиця 2.3. Вологість повітря


І

ІІ

ІІІ

IV

V

VI

VII

VIII

IX

X

XI

XII

Рік

f

87

85

82

68

61

63

65

65

68

78

87

88

75


Рис.2.3.Циклограма середньомісячної відносної вологості.

Живлення річок басейну Інгул змішане з переважанням дощового і снігового. Живлення підземними водами становить до 28-36 %.

Таблиця 2.3. Місячна і річна кількість опадів (мм) з поправками на змочування

Метеостанція

І

ІІ

ІІІ

IV

V

VI

VII

VIII

IX

X

XI

XII

Рік

Знам’янка

32

33

30

37

51

67

73

51

38

41

40

41

534


Рис.2.4. Циклограма місячних опадів.

Рис.2.5.Діаграма розподілу опадів на території екосистеми басейну річки Земної.

2.3 Едафічні фактори

Едафічні фактори - це грунтові умови, що впливають на життя і поширення живих організмів. Як відомо, живі організми існують не лище в грунті, а й у місцях, де його ще немає: скелі, дюни, терикони, кар’єри. Тому під едафічним фактором уявляються значно ширше коло умов, ніж грунт. Едафічний фактор, на відміну від інших, має своєрідний характер. Він не лише впливає на організм, але одночасно служить середовищем існування для багатьох видів мікроб, рослин і тварин, тобто належить до факторів, які формують середовище. Едафічні фактори мінливі у просторі.

Грунт як субстрат існування рослин і об’єкт землеробства цікавив ще античних дослідників. Грунт - органо-мінеральний продукт багаторічної спільної діяльності живих організмів, води, повітря, сонячного тепла й світла. Це природні утворення, які характеризуються родючістю - здатністю забезпечувати рослини речовинами, необхідними для їхньої життєдіяльності.

Структура і текстура грунту, не применшуючи значення фізико-механічного факторів, є наслідком діяльності живих організмів, тобто біологічного фактора.

Грунт має трифазну структуру, оскільки складається із твердих частинок, води і повітря. В ґрунті розрізняють мінеральну і органічну частини, водний розчин, ґрунтове повітря і ґрунтовий світ мікробів, рослин і тварин. Органічна частина грунту формується за рахунок продуктів гуміфікації і неповного розкладу тваринних і рослинних решток. Структура грунту досить складна. Але в більшості типів виділяється невелике число основних горизонтів:

·   А - гумусний горизонт, в якому зосереджена основна маса органічної речовини грунту. У його межах часто виділяють підстилку та власне перегнійне горизонти;

·        В - горизонт, який утримує в основному вже мінералізовані речовини, що перемішані з перетвореною гірською породою;

·        С - слабо змінена підстилаючи гірська порода.

Дуже важливим компонентом грунту є гумус (перегній) - органічна речовина, що утворилася з решток відмерлих рослин під впливом діяльності мікроорганізмів, які переробляють їх, розкладають, збагачують вуглекислим газом, водою, сполуками азоту та іншими речовинами. Грунт забезпечує рослини калієм і вуглецем, азотом і фосфором тощо. Родючість грунту залежить від кількості цих речовин у гумусі, гумусу в грунті й товщини шару грунту. Найкращі чорноземи містять до 9 % гумусу.


На життя і поширення організмів, в першу чергу рослин, істотно впливають грунтові умови, а також рельєф місцевості. Від гідротермічного режиму грунтів, їх аерації, механічного і хімічного складу залежать тип кореневої системи, спосіб життя ґрунтової фауни. Залежно від едафічних чинників можна виділити декілька екологічних груп рослин. За реакцією на кислотність розрізняють: ацидофільні види - ростуть при рН нижче 6,5 (рослини торфових боліт, хвощ); непрофільні віддають перевагу грунту з нейтрально. реакцією (більшість культурних рослин); базифільні - найкраще ростуть на субстраті, який має лужну реакцію (рослини крейдяних відкладень); індиферентні - можуть зростати на грунтах з різними значеннями рН. Стосовного хімічного складу грунту рослини поділяються на олігатрофні, що маловимогливі до кількості поживних речовин; мезотроні, які вимагають помірної кількості мінеральних речовин в грунті та Евтрофні, які потребують великої кількості доступних зольних елементів (дуб).

Стосовно потреби в окремих елементах живлення існує класифікація рослин. так, види, які особливо вимогливі до високого вмісту азоту в грунті, називаються нітрофілами (кропива, рослини дворів з худобою), ті що вимагають багато кальцію - кальцефілами (дуб, модрина), рослини засолених грунтів - галофітами (солянка, сарсазан) та ін. своєрідність механічного складу і зумовлені ним екологічні особливості ґрунтового середовища впливають на біологічні властивості псамофітів - рослин сипучих пісків (акація піщана), літофітів (петрофітів) - рослин камянистих осипів, тріщин і заглибен скель та інших подібних місць існування (ялівець, дуб скельний). Рельєф місцевості і характер грунту істотно впливають також на специфіку пересування тварин, на розподіл тих видів, життєдіяльності яких тимчасово чи постійно пов’язана з грунтом.

Серед зональних типів грунтів басейну річки Інгул переважають опідзолені чорноземи (15 % площі), сіро-лісові грунти (18 %) і типові малогумусні чорноземи (3 %), дерново-підзолисті, гірські лучно буроземні грунти, лучно болотні та болотні грунти. Еродованість грунтів 10-40 %.


Висновки: Абіотичні фактори визначають можливість існування всіх груп організмів. Вони впливають на розвиток, життєві процеси, умови існування, поширення рослин.

Розділ 3.Характеристика біотичної складової екосистеми.

Біоценоз - це сукупність тварин, рослин і мікроорганізмів які заселяють дану ділянку суші або водойми і характеризуються певними стосунками між собою і пристосованість до певного середовища.

Під біоценозом розуміють стійку систему сумісно існуючої біоти: автотрофів, гетеротрофів.

Просторова неоднорідність біоценозів

Усі біоценози суші і вод характеризуються нерівномірністю просторового розміщення. Виняток становлять штучні, або культурні, біоценози, зокрема, поля, плантації, лісові культури, сади, лісосмуги, газони тощо.

Просторова неоднорідність біоценозів зумовлена неоднорідністю чи мозаїчністю місцезростань, які колонізували організми. Просторову структуру біоценозу можна розглядати в декількох різних аспектах: поверховість, чи ярусність, біоценозів; розмежування біоценозів, що має два типи структури (перша є характерною для водних екосистем з їх шарами більшої і меншої освітлюваності водної товщі; друга більше відповідає біоценозам суші, між якими утворюється перехідна зона, названа екотоном).

Неоднорідність середовища і біоценозів, яка трапляється у вигляді окремих біоценотичних зон, розглядається вченими як явище мозаїчності і становить предмет окремих досліджень структури.

Видове різноманіття

Вивчення біоценозу розпочинають з видового складу даного угруповання. Визначення видового складу - це надзвичайно складна і клопітка робота, яка вимагає спеціальних знань і великих трудових затрат. Складність її полягає в тому, що угруповання значно різняться між собою видовим різноманіттям, яке є одним з основних показників структури біоценозу.

З одного боку, охарактеризувати видовий склад угруповання нескладно: перелічити види, які в ньому виявлені, скласти їх список і, нарешті, дати оцінку видового багатства. З іншого боку, трудність полягає в тому, що не всі ділянки обстежуваного нами угруповання мають однакові кількісні показники видового складу. Кількість встановлених видів буде залежати від кількості пробних площ і їх розмірів. Чим більше буде пробних площ, тим більше таксонів буде виявлено.

Р. Уіттекер (1980) розглядає декілька індексів видового різноманіття. Зупинимося на деяких з них, передусім з'ясувавши, що це за показник, для чого він використовується. Лісівники, яким часто доводиться таксувати ліс (при відводі для рубок догляду чи головного користування), досить просто, зайшовши, наприклад, у свіжу бучину, відразу називають склад порід цього насадження: 60% бука, 20% граба, 10% берези і 10% клена гостролистого (6Бк2Г1Б1Кл/г). Це робиться окомірно, але для розрахунку лісосіки треба точно встановити склад і кількість екземплярів дерев, оскільки з цим пов'язаний розрахунок витрат на рубку і вивозку та вартість заготовлюваної деревини.

Однак у згаданій бучині ростуть не лише дерева, але й кущі і кущики, трави, її заселяють співочі птахи та білки (а вони нас можуть цікавити з точки зору рекреаційного використання лісу). Як мовою математики показати це співвідношення, що має не лише теоретичне, а й суто прикладне значення (частка присутності рослин-медоносів чи рослин і тварин, які занесені до Червоної книги)?

Найпростішим для визначення є індекс різноманітності (Уіттекер. 1980), де головним виміром є кількість видів Ś, описаних на площі стандартних розмірів;Ś - це ще одиниця виміру видового багатства, на відміну від щільності популяції.

Трофічна структура біоценозів

Будь-яке угруповання можна представити у вигляді кормової мережі, яка являє собою схему всіх трофічних зв'язків між видами, що входять до складу цього угруповання. Кормова мережа звичайно складається із декількох ланцюгів живлення, кожний з яких є окремим її каналом

Завдяки кормовим взаємостосункам у біоценозах здійснюється трансформація біогенних речовин, акумуляція енергії і розподіл її між видами (популяціями). Чим багатший видовий склад біоценозу, тим різноманітніші напрями і швидкість потоку речовин і енергії. Ланцюги живлення, або канали живлення, якими постійно перебігає енергія, прямо чи опосередковано об'єднують всі організми в єдиний комплекс.

Перший трофічний рівень представлений первинними продуцентами, або автотрофами. До них належать зелені рослини, які здатні використовувати сонячне проміння для утворення хімічних сполук, багатих на енергію. Первинні продуценти - це найважливіша частина біоценозу, тому що практично решта організмів, що входять до його складу, прямо чи опосередковано залежать від постачання енергією, якою запаслися рослини.

Крім первинних продуцентів до складу біоценозу входять гетеротрофи - організми, які використовують для споживання (корму) готові органічні речовини, представлені консументами і деструкторами. Перша група утворює ланцюги поїдання, а друга - ланцюги розкладу.

Другий трофічний рівень утворюють травоїдні тварини, яких називають первинними консументами. М'ясоїдних, які живляться травоїдними, називають вторинними консументами, або первинними хижаками; вони перебувають на третьому трофічному рівні.

Хижаки, які живляться первинними хижаками, в свою чергу, становлять четвертий трофічний рівень і називаються третинними консументами. Тварин, що споживають вторинних хижаків, називають третинними хижаками, або ж четвертинними консументами, і т.д.

Оскільки чимало тварин всеїдні (живляться як рослинами, так і тваринами), тобто одночасно одержують енергію з декількох різних трофічних рівнів, їх неможливо віднести до відповідного рівня. Звичайно вважають, що такі організми входять відразу до декількох трофічних рівнів, а їхня участь в кожному рівні пропорційна складу вживаної ними їжі.

Трофічну структуру можна зобразити графічно у вигляді екологічних пірамід, основою яких служить перший рівень продуцентів, а наступні рівні утворюють сходинки і вершину піраміди. Екологічні піраміди відносять до трьох типів:

1)      піраміди чисельності;

2)      піраміди біомаси;

)        піраміди енергії.

.1Характеристика рослинного світу басейну річки Тартак.

Рослинний світ басейну річки Тартак досить різноманітний. Флора території басейну річки налічує біля 600 видів рослин, в тому числі - 20 видів, що занесено до Червоної книги України, чотири - в Європейський червоний список, п’ять - у Світовий червоний список, один - до списку Бернської конвенції про охорону дикої флори і фауни та природних середовищ існування в Європі, 12 видів - до Регіонального списку охорони Кіровоградської області.

Крім характерних для нашої зони степових, лучно-степових, лучних, лiсових i наскельних видiв тут трапляється багато прибузьких i причорноморських ендеміків, таких як карагана скіфська (Caragana scythica), дрік скіфський (Genista scythica), астрагал одеський (Astragalus odessana), а також релiктових, рiдкiсних i зникаючих видiв, що являють унiкальний фiтогенофонд. Наприклад, - реліктовий вид, гімносперміум одеський (Gymnospermium odessanum), якого тут за останні два роки виявлено кілька куртин.

Дивовижним чином навесні прикрашають різноманітні ландшафтні утворення лапчатка піщана, аурінія скельна, декілька видів фіалок, ряст ущільнений, проліска дволиста, тюльпан бузький, півники низькі, а влітку - райдужна мозаїка степового різнотрав'я. Восени схили червоніють від плодів глоду, шипшини, від листя бруслини європейської, барбариса звичайного, рябіють від абрикосової та ясеневої кольорової гами. Приваблюють і безліч лікарських рослин. Величні розсипи каменів з ранньої весни до пізньої осені розквітчують мохи та лишайники.

Карагана скіфська (Caragana scythica)

scythica (Kom.) Pojark. (C. grandiflora (Bieb.) DC. subsp. scythica Kom.) Судинні рослини Ряд Покритонасінні - Magnoliophyta (angiosperma) Родина Бобові - Fabaceae (Leguminosae)

Статус. II категорія.

Поширення. Пд. i ПД.-СХ. райони Степу, передгiр`я Кримських гiр (околицi с. Самохвалова Бахчисарайського р-ну). Вид поширений на пiвднi Сх. Європи.

Місця зростання. Еродованi схили та вiдслонення кам`янистих порiд, на чорноземах i каштанових грунтах.

Чисельність. Загальна кількість рослин дуже незначна, скорочується. Локальні популяції налічують сотні особин.

Причини зміни чисельності. Розорювання земель, надмірне випасання худоби, низька конкурентна здатність виду.

Загальна характеристика. Кущ заввишки 15-35 см, дуже розгалужений, густооблиснений, довгокореневищний. Листочки дрібні, видовженооберненояйцевидні. Біб лінійний, коричневий, голий. Цвіте у квітні - травні. Плодоносить у червні - серпні. Розмножується насінням та кореневищними пагонами. Евксерофіт.

Заходи охорони. Занесено до Європейського Червоного списку (1991). Охороняється у біосферному заповіднику Асканія-Нова, Українському степовому природному заповіднику (відділи Хомутівський Степ та Кам`яні Могили), Бердянському та Великоанадольському заказниках загальнодержавного значення, на тер. пам`ятки природи загальнодержавного значення Балка Гірка (всі три - Донецька обл.). Вирощують у Донецькому ботанічному саду НАН України. Необхідно виявити природні місця зростання виду та взяти їх під охорону.

Дрік скіфський (Genista scythica)

scythica Pacz. Судинні рослини Ряд Покритонасінні - Magnoliophyta (angiosperma) Родина Бобові - Fabaceae (Leguminosae)

Наукове значення. Ендемічний вид.

Статус. III категорія.

Поширення. Степова зона: басейни Кальмiусу, Кальчику, Грузького Яланчику, пониззя Днiпра, Iнгулу та Пд. Бугу, Крим (околицi м. Феодосiї; мис Казантiп на Керченському п-вi). Вид поширений у Причорномор`ї, на Пн. Кавказi.

Місця зростання. Вапняковi вiдслонення, осипища та слабороз-виненi щебенистi грунти на вапняках. Трапляється у петрофiтно-степових, переважно агломера-тивних, зрiдка чагарниково-степових угрупованнях.

Чисельність. Локальні популяції численні. Загальна кількість рослин скорочується.

Причини зміни чисельності. Надмірні пасовищні навантаження та руйнування екотопів внаслідок добування вапняків.

Загальна характеристика. Дрібний розгалужений кущик заввишки 7-25 см. Коренева система стрижнева. Гілки лежачі. Листки зверху голі, знизу притис-нутоопупіені. Квітки блідо-жовті, зібрані у верхівкові грона. Цвіте у травні - червні. Плодоносить у липні - серпні. Розмножується насінням. Мезоксерофіт.

Заходи охорони. Охороняється у Хомугівському Степу - відділі Українського степового природного заповідника та заказнику місц. значення Пристанському (Амвросіївський р-н Донецької обл.). Необхідно контролювати стан популяцій, виявляти місцезнаходження та брати їх під охорону.

Астрагал одеський (Astragalus odessana)


Наукове значення. Ендемічний поліморфний вид на зх. межі ареалу.

Статус. I категорія.

Поширення. Лiвобережжя Сiверського Дiнця (Луганська обл.). Вид поширений також у Росiї (Ростовська обл.).

Місця зростання. Пiски.

Чисельність. Популяція нечисленна, ареал виду скорочується.

Причини зміни чисельності. Низька конкурентна здатність виду, розорювання степів.

Загальна характеристика. Багаторічна трав`яниста безстеблова білоопушена рослина заввишки 15-27 см. Листки прикореневі, з 12-18 парами яйцевиднодов-гастих листочків. Квітконоси (разом із суцвіттям) завдовжки 3- 12 см. Квітки в нещільних китицях, по 9-20 у суцвітті. Віночок завдовжки 25-27 см, жовтий. Біб (завдовжки 10-14 см) довгастояйцевидний або довгасто-овальний, волохатий. Цвіте у травні - червні. Плодоносить у червні - липні. Розмножується насінням.

Заходи охорони. Занесено до Європейського Червоного списку (1991). Необхідно постійно контролювати стан популяцій, створити заказники в місцезнаходженнях виду.

Гімносперміум одеський (Gymnospermium odessanum)

Судинні рослини Ряд Покритонасінні - Magnoliophyta (angiosperma) Родина Барбарисові - Berberidaceae Наукове значення. Реліктовий ендемічний західнопричорноморський вид з диз`юнктивним ареалом.

Статус. II категорія.

Поширення. На Пд. Правобережного Причорномор`я - спорадично. Вид поширений також у Молдовi та Румунiї.

Місця зростання. Вапняковi, лесово-вапняковi й гранiтнi схили, яри та балки (у трав`янистому ярусi деревно-чагарникових угруповань i байрачних лiсiв), фiтоценози чагарничкових степiв, вiдкритi дiлянки степових схилiв (сумiжнi з чагарниковими заростями), лiсовi галявини.

Чисельність. Відомо майже 20 місць зростання. Трапляються популяції з обмеженою кількістю рослин (здебільшого кілька десятків на 1 м2). Популяції життєздатні, проте їхня чисельність зменшується. Причини зміни чисельності. Обмеженість ареалу, ізольованість популяцій, руйнування екотопів виду.

Загальна характеристика. Багаторічна трав`яниста рослина заввишки 5-20 см, з майже кулястою бульбою (діаметр від 10 до 30 мм). Стебло просте, прямостояче. Прикореневий листок одиничний. Стебловий листок короткочерешковий, пальчасторозсічений на цілокраї довгасті частки. Квітки світло-жовті, зібрані у верхівкову китицю. Цвіте у березні - квітні. Плодоносить у квітні. Розмножується насінням.

Заходи охорони. Занесено до Червоної книги Української РСР (1980). Охороняється у Староманзирському заказнику загальнодержавного значення (Тарутинський р-н Одеської обл) та Яковлівському заказнику місцевого значення (Березнегуватський р-н Миколаївської обл.). Вирощують у ботанічних садах: Центральному НАН України (Київ) та Одеського університету. Доцільно виявити всі існуючі популяції, встановити контроль за їхнім станом і розширити мережу природоохоронних територій. Рекомендується вирощувати вид як декоративну рослину.


.2 Характеристика тваринного світу басейну річки

Інтенсивна господарська діяльність вплинула і на тваринний світ басейну річки: випас худоби, рекреаційні навантаження, аматорське рибальство, браконьєрство в акваторії Софіівського водосховища, степові й лісові пожежі - усе це збіднює фауну, проте вона у басейні збереглася набагато краще, ніж у прилеглих агроландшафтах.

Тут зустрічаються рідкісні та зникаючі види тварин, що перебувають під охороною держави. Це поліксена (Zerinthia polyxena), махаон (Papilio machaon), сколія-гігант (Scolia maculata), ксилокопа звичайна (Xylocopa valga), подалірій (Iphiclides podalirius), жовтобрюх (Coluber jugularis), канюк степовий (Buteo rufinus), тхір степовий (Mustela eversmannii), горностай (Mustela erminea), видра річкова (Lutra lutra) та ін.

Канюк степовий. Buteo rufinus (Cretzschmar, 1827)

Птахи

Ряд Соколоподібні - Falconiformes

Родина Яструбові - Accipitridae

Таксономічна характеристика. Один з 24 видів роду; один з З видів роду у фауні України.

Статус. IV категорія.

Поширення. Гнiздиться у Київськiй, Черкаськiй, Кiровоградськiй, Херсонськiй областях та у Криму. Ареал охоплює Пд.-Сх. Європу, Малу, Середню та Пд. Азiю, Закавказзя, Пн. та Пд.-Сх. Африку.

Місця перебування. Старі острівні та байрачні ліси, розташовані серед відкритих (часто погорбованих) степових місцевостей.

Чисельність. Дуже низька. У районі урочища Редьчине (Олександрійський р-н Кіровоградської обл.) у 1980-81 рр. гніздилась одна пара, 1982 р.- дві. До 20 ст. був звичайним на гніздуванні у степовій зоні.

Причини зміни чисельності. Розорювання цілинних земель, вирубування лісів, винищення птахів людиною, скорочення кормової бази, посилення фактора непокоєння.

Особливості біології. Перелітний птах. Моногам. Гніздиться на землі, скелях, урвищах, деревах, у чагарнику (в Україні гнізда знаходили лише на деревах - на висоті 9 - 20 м). Одне й те саме гніздо використовує протягом кількох років. У кладці (кін. березня - поч. квітня) 2 - 5 (звичайно 4) яєць. Пташенята вилуплюються в перших числах травня, залишають гніздо на поч. липня. Живиться переважно дрібними ссавцями (гол. чин. гризунами), рідше - птахами, плазунами та земноводними.

Розмноження у неволі. Даних немає. Заходи охорони. Охороняється в орнітологічному заказнику загальнодержавного значення редьчине. Слід взяти під охорону ін. місця гніздування, зберігати старі острівні та байрачні ліси. Доцільно створити в Черкаському р-ні Черкаської обл. національний природний парк Черкаський Бір.

Полоз лісовий, ескулапова змія

longissima (Laurenti, 1768)

Плазуни

Ряд Лускаті - Squamata

Родина Вужеві - Colubridae

Таксономічна характеристика. Один з 50 видів роду; один з 4 видів роду у фауні України.

Статус. III категорія.

Поширення. Закарпатська, Тернопiльська i Миколаївська областi. Ранiше спостерiгався в Чернiвецькiй, Вiнницькiй, Одеськiй та Кiровоградськiй областях. Ареал охоплює також Пд. i Центр. Європу, Малу Азiю, Пн. Iран i Зх. Закавказзя.

Місця перебування. Кам`янисті схили з розрідженим листяним лісом у передгір`ях, порослі чагарником виходи скельних порід у річкових долинах, іноді руїни старих будівель.

Чисельність. Зустрічаються поодинокі особини. Найбільша чисельність (2-3 змії на 1 км) спостерігалася на Закарпатті під час маршрутних досліджень.

Причини зміни чисельності. Порушення ландшафту під впливом господарської діяльності, безпосереднє знищення виду людиною.

Заходи охорони. Занесено до Червоної книги Української РСР (1980) та Червоної книги МСОП. Слід надати охоронний статус ділянці скелястого каньйону Пд. Бугу біля с. Мигії Миколаївської обл. та виходам скель уздовж каналу Ужгород - Невицьке (можливо, на правах філіалу Карпатського біосферного заповідника).


Вівсянка чорноголова. Emberiza melanocephala Scopoli, 1769

Таксономічна належність

Клас - Птахи (Aves), ряд - Горобцеподібні (Passeriformes), родина - Вівсяникові

(Emberizidae). Один з 37-ми видів роду; один з 16-ти видів роду у фауні України.

Природоохоронний статус виду

Рідкісний.

Ареал виду та його поширення в Україні

Від пд. частини Європи до зх. узбережжя Каспію.

До 1950 рр. обл. гніздування в Україні простягалася вузькою смугою від пд.-сх. кордонів Луганської та Донецької обл. вздовж Пн. Приазов ’я на зх. до «Асканії-Нова». Спорадично гніздився на пд. сх. Керченського п-ову. Сучасний ареал в Криму охоплює весь Керченський п-в. Спостерігається подальша тенденція просування виду в передгір’я Криму. Окремі пари та територіальні самці відмічені на узбережжі Молочного лиману, на пн. Арабатської стрілки, в ок. м. Таврійська (Херсонська обл.) та в Степовому Криму.


.3 Екологічна структура популяцій

Екологічна структура популяцій - це її ста на даний момент (кількість та густота особин, її розміщення на території і в просторі), співвідношення груп за статтю і віком, морфологічними особливостями. Структура популяції являє собою форми адаптації до умов її існування, є своєрідним віддзеркаленням природних сил, які на неї впливають. Нинішня структура тієї чи іншої популяції відбиває водночас як минуле, так і потенційне майбутнє угруповання.

Враховуючи надзвичайно складний характер структури популяцій, виділяють два підходи до її вивчення - описовий, або морфофізілогічний, і функціональний. Перший полягає у визначенні і порівнянні між собою різних локальних популяцій, а також у виділенні особин за статтю, віком та морфо фізіологічними ознаками. Другий підхід охоплює ті елементи функціональної структури, які відіграють визначальну роль у перебігу популяційних процесів, зокрема, таких, як зміна чисельності особин або ж статей. Він спирається на ті пов'язані між собою елементи популяції, які разом з оточуючим середовищем творять механізми регуляції чисельності, прискорюючи або сповільнюючи її. Перший і другий підходи тісно переплетені.

Кожна популяції займає простір, який забезпечує засобами існування лише певну кількість особин. При цьому повнота використання наявних ресурсів залежить як від загальної чисельності популяції, так і від просторового розміщення особин.

За Швердтфегером (1968), розподіл особин у популяції може бути таким:

) випадковим - трапляється дуже рідко при однорідному середовищі, коли організми не намагаються об'єднатись у групи;

) рівномірним - поширений в умовах сильної конкуренції, сприяє рівномірному розмноженню в просторі;

) нерівномірним - організми намагаються створити групи (пари у тварин, клони у рослин), розміщення яких може бути близьким до випадкового.

При аналізі просторової структури розглядають певну окрему територію суші або акваторії, Кожна популяція займає певну території суші або акваторії, розміри якої залежать від багатьох чинників:

1) наявності умов існування виду;

2) маси особин;

3) кількості особин в популяції.

Розподіл у популяції може бути випадковим (трапляється дуже рідко при однорідному середовищі, коли організми не намагаються об'єднатись в групи), рівномірним (досить поширено, особливо в умовах сильної конкуренції), груповий (організми намагаються створити групи розмішуння яких може бути близьким до випадкового).

Дисперсність (розсіювання) особин можна знайти за формулою:

2- розсіювання особин;- кількість особин в кожній вибірці;- кількість вибірок;

Хсер - середня кількість особин на даній ділянці.


Де ∑m - загальна сума особин у всіх вибірках.

На описуваному басейні наявно 11 популяцій.

Результати обробки спостережень розміщення особин

Табл. 3.3.1

№ Вибірки

Кількість особин m у популяції

1

49

2

52

3

47

4

48

5

49

6

44

7

43

8

34

9

41

10

40

11

45

Сума N=11

Сума = 492

 

Отже, показник дисперсії для кожної з вибірок:

При плямистому розміщенні S2 вище середнього, отже розміщення плямисте.

1.       Визначення щільності популяції.

Щільності популяції - середня кількість особин на одиницю площі чи об'єму.

Середня щільність - це кількість особин (або біомаса) на одиницю всього простору.


Щільність популяції, рівна Хсер, тобто 6 особин на одиниці площі (см2).

2.       Визначення чисельності популяції.

Чисельність популяції - загальна кількість особин на даній території або в даному об'ємі, які належать до однієї популяції. Розрізняють періодичні і непереодичні коливання чисельності популяцій.

Загальна ж чисельність популяцій в лісі визначаємо за формулою

= Хсер * Sлісу,

Де N - загальна чисельність популяцій, особин;

Хсер - щільність, особин / км2;лісу - площа лісу, км2

Отже, загальна чисельність популяцій рівна:= 44 *57 = 2508 (особин)

Щоб визначити віковий розподіл популяцій і графічно її зобразити у вигляді піраміди, скористаємося вихідними даними, що наведені у таблиці 3.3.2

Показник

Значення

Відсоток особин перед продуктивного віку

59

Відсоток особин продуктивного віку

30

Відсоток особин пост продуктивного віку

11

N1 - щільність популяцій через 1 годину

25

N0 - початкова щільність популяції

5

К - максимальна кількість особин в популяції

250


. Визначення кількості особин в популяції перепродуктивного, продуктивного та постпродуктивного віку за формулами:

Загальну чисельність, отриману в попередніх обрахунках, приймаємо за 100%, тоді:перед продуктивний =(2508 особин * 59%) / 100% = 1480 особинпродуктивний = (2508особин * 30%) / 100% =753 особинипост продуктивний = (2508 особин * 11%) / 100% = 276особин

Рис.3.3.1 Віковий розподіл особин популяції(вікова піраміда)

З піраміди видно, що особини перед продуктивного віку переважають. Пояснити це можна тим, що відбувається збільшення кількості народжень, зменшення смертності серед продуктивного віку.

Вікова структура популяції характеризує її здатність до розмноження. В даній популяції присутні всі вікові групи, які забезпечують відносно стабільний рівень її чисельності. Це свідчить про сприятливі умови популяції. Найбільше особин перед продуктивного віку, кількість особин продуктивного віку дещо менша, і пост продуктивного віку зовсім мала - це пояснює високу смертність в продуктивному віці. Дана піраміда характеризує популяцію з помірною кількістю особин.

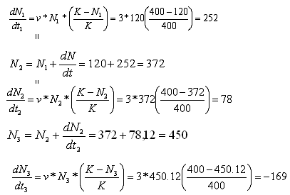
Встановимо динаміку зміни чисельності особин, коли відома величина швидкості росту популяції і максимальна кількість особин, яка здатна жити в даному середовищі за формулою:


Де  - коефіцієнт росту популяції

N - чисельність популяції;

К - mах кількість популяцій яка здатна жити в даному середовищі;


 - швидкість росту популяцій;0 - початкова кількість (особин) популяцій; 1 - кількість популяцій через одиницю часу.

Швидкість росту популяції в даному біоценозі дорівнює трьом.

Розраховуємо динаміку змін чисельності особин в популяції на найблищі роки.

Розраховуємо кількість популяцій після першого року. N = N1, N, = 120


Табл. 3.3.3

Роки

1

2

3

 4

Приріст

252

 78

-169


Чисельність

120

372

450

281


Рис. 3.3.3.Динаміка зміни чисельності особин в популяції.

3.4 Дослідження вертикальної структури біоценозу

Для дослідження вертикальної структури біоценозу басейну річки Тартак, найкраще обрати (ярусну) структуру лугу, оскільки тут ярусність простежується найбільш чітко.

Слід зазначити, що ярусну структуру біоценозу формують різні умови освітлення, які одночасно зумовлюють і ефективність утворення певної продукції біоценозу.

Загалом, ярусність - це розчленування фітоценозів на структурні або функціональні горизонти, які ще називають шарами або ярусами. Вони мають різний ступінь зімкнення і відіграють неоднакову роль в асиміляції і акумуляції речовин і енергії, в безпосередньому і опосередкованому впливі на життєдіяльність організмів угруповань.

Отже, у вертикальній структурі лісового біоценозу виділяють такі основні яруси:

1. Трав'янистий ярус, включає однорічні і багаторічні трави, а також невеликі чагарники;

. Приземний ярус складається з мохів і лишайників;

У трав'янистих лучних фітоценозах виділяють 2-3 іноді 4 яруси. Вони виражені менш чітко ніж у лісових і складаються з:

. Утворюють високі багаторічні трави;

. Низькорослі трави, в основному представники бобових злакових;

. Низові злаки.

Можуть бути підземні яруси, що розростаються за глибиною всмоктуючи частин коріння.

Коріння багатьох трав, що зростають на території басейну проникає в глибину 100м. Це стосується підземної ярусності.

Ярусність дає змогу значно зменшити конкуренцію між рослинами в фітоценозі і розселитися їм на одній території у великій кількості.

Поряд з ярусністю фітоценозу існує ярусність тваринного світу, згідно якої є два яруси життя:

1. зооедафон (види які живуть у грунті);

2. наземні тварини.

У лісовому біоценозі, структуру якого ми досліджуємо, поряд з видами, ввесь життєвий цикл яких приурочений лише до одного середовища -підземного (дощові черв'яки, кроти) чи наземного (птахи) - є багато таких, що мешкають в обох його частинах (лисиця руда) або ж проводять різні стадії розвитку почергово, то в одному то в іншому.

Відомі добові, сезонні, вікові міграції з одного мікробіоцинозу в інший. Наприклад, лісові або польові миші значну частину дня проводять у своїх підземних норах. Підземні нори ящірок і багатьох змій. Для кожного біоценозу його вертикальна структура не є чимось сталим, а яруси заповнені рослинами, тваринами можуть змінюватись.

.5 Характеристика біоценотичних зв'язків

Угрупування організмів, що входять до складу біоценозу складаються з трьох груп компонентів: утворювачів органічної речовини - консументів; руйнівників органічних решток - переважно мікроорганізмів, які розщеплюють органічні речовини до простіших мінеральних сполук, -редуцентів. Всі вони пов'язані ланцюгами живлення.

Ланцюги живлення - це послідовність особин одного виду їхніх решток або продуктів життєдіяльності, які є об'єктами живлення організмів ін. виду, тобто ряд видів організмів, пов'язаних між собою трофічним зв'язком, що складають певну послідовність у передаванні речовин і енергії.

Розрізняють два типи ланцюгів живлення. Перший ланцюг - живлення розпочинається з рослин. Джерело енергії, за рахунок якої існують усі організми, - Сонце. В процесі фотосинтезу світлова енергія перетворюється ними на хімічну з утворенням органічних сполук. При цьому лише 1% світлової енергії, що потрапляє на рослину, переходить у потенціальну енергію у вигляді теплоти та відбивається. Коли тварини поїдають рослину, то інша частина енергії, що міститься в нормах, витрачається на різні процеси життєдіяльності. У середньому в різних ланцюгах живлення лише 10% енергії нормів проходить у новозбудовану речовину тіла тварин. Травоїдних тварин поїдають хижаки, на цьому і завершується ланцюг видання. Прикладом такого типу ланцюга живлення, що характерний біоценозу річки Інгул, може бути трофічний ланцюг, що складається з чотирьох ланок: земні рослини - рослиноїдні комахи - комахоїдні птахи-хижі птахи.

Другий етап ланцюгів живлення розпочинається від рослинних і тваринних решток, екскрементів тварин і йде до дрібних тварин та мікроорганізмів, які ними живляться. В результаті діяльності мікроорганізмів утворюється напіврозщеплена маса - детрит. Такий ланцюг живлення називається ланцюгом розщеплення.

Рис.3.5.1 Приклад трофічних ланцюгів, що притаманний досліджуваній території.

Кожний ланцюг має розгалуження й ускладнюється наявністю в природі паразитів і напівпараритів. Наприклад, ховрах живиться рослинами, на ньому паразитують блохи, в птахах в яких є бактерії, в бактеріях - віруси.

В угрупованні організмів (біоценозі) зазвичай буває низка паралельних ланцюгів живлення, між ними можуть існувати зв'язки, оскільки майже завжди різні компоненти живляться різними об'єктами і самі є поживою для різних членів екосистеми. Складна структура ланцюгів живлення забезпечує цілісність і динамічність біоценозу.

Кожний ланцюг живлення вимагає, як правило, не більше 4-5 ланок, оскільки внаслідок втрати енергії загальна маса кожної наступної ланки приблизно в 10 разів менша від попередньої. Цю закономірність називають правилом екологічної піраміди. Розрізняють кілька категорій «екологічних пірамід». Піраміда чисел відображає число особин у кожному рівні ланцюга живлення, піраміда біомаси - кількість органічної речовини, піраміда енергії- кількість енергії в їжі у кожному рівні ланцюга живлення. Усі види хоч і відрізняються за абсолютним значенням, мають однакову спрямованість, що відображає чисельність окремих організмів в угрупованнях, і разом з нею виявляють характерні особливості біоценозів.

Піраміди чисел або маси можуть бути оберненими, тобто основа може бути меншою, ніж один чи кілька верхніх рівнів. Так буває, якщо середня маса продуцентів менша від маси консументів або якщо швидкість метаболізму продуцентів більша, ніж консументів.

Розділ 4. Оцінка стану поверхні водозбору і оптимізація її структурно - функціональної організації

Оптимізація структурно - функціональної організації водозбору являється важливим елементом управління якісного кількісного річного стану. Вона вимагає:

визначення лімітуючи факторі антропогенного впливу на водне середовище;

визначення оптимальних умов і формування поверхневого стану на порушених територіях;

Визначення шляхів оздоровлення річкових басейнів.

Стійкість поверхні водозбору можна визначити за формулою, як відношення суми антропогенних факторів та факторів управління, тобто


А - антропогенно порушені території;

П - природні території;

Упр. - фактори управління.

Від кількості величини Ке буде залежати стан поверхні водозбору річки як наслідок якість води в ній.

Отже, стан поверхні водозбору річки Тартак - добрий.

Ідея охорони природи була висловлена вперше Ж.Ж. Руссо, але загальне визначення вона отримала після першого міжнародного з'їзду з охорони природи, який відбувся в 1913 році у Швейцарії. У 1980 році була проголошена всесвітня стратегія охорони природи та природних ресурсів. У 1982 році на пленарному засіданні ООН прийнята світова хартія охорони природи розуміють систему знань та практичних заходів до раціонального вираження природних ресурсів, захисту природного середовища від антропогенної деградації та збереження видів флори та фауни від знищення.

Щодо басейну річки то стратегія його охорони вимагає в себе збереження біологічного різноманіття біоценозів.

На сьогодні найбільш придатним варіантом подальшого розвитку людської цивілізації вважається поступова зміна технопромного шляху розвитку суспільства на шлях екологічний, адже антропогенний вилив на території досить відчутний і на території басейну набагато перевищують оптимальні значення.

Отже, потрібно проводити природоохоронні засоби оптимізації структурно-функціональної організації поверхні водозбору. Наприклад:

Збільшити площі заповідників;

дотримуватися режиму використання заповідних територій;

проводити природо охоронні заходи;

проводити еколонізацію населення, щоб люди розуміли, що природа -це «наш дім» і ставитись до неї потрібно з повагою;

покращити фактори управління

вводити в шкільних закладах такий предмет, як «Екологія» та навчати дітей з розумінням ставитись до навколишнього середовища;

збільшити площу лісових лісосмуг поруч об'єктів, які завдають найбільшого оптимального навантаження, на природні комплекси.

З метою охорони від забруднення потрібно пришвидшити введення нового порядку лімітування слідів, плани за сліди забруднених речовин.

Таблиця 4.1. Оптимальні і дійсні значення факторних характеристик водозбору річки Тартак.

Факторні характеристики Кі

Оптимальні %

Реальні

1

Залуженість К1



2

Лісистість К2



3

Заболоченість К3



4

Розораність К4



5

Урбанізація К5



6

Ефект, очищ. стіч. вод К6



7

Вплив індустріал. К7



8

Заповідні території К8




Розділ 5. Оцінка впливу стаціонарних джерел забруднення на атмосферне повітря басейну річки

Під забрудненням атмосфери розуміють таку зміну стану атмосфери, яка повністю або частково є результатом життєдіяльності людини, протягом чи опосередковано знімає розприділення прихідної енергії, рівні радіації, фізико - хімічні властивості довкілля та умови існування живих організмів.

Серед загальної маси забруднюючих речовин, що надходятьв атмосферу, гази складають 90%, тверді частки - 10%. Рідкі забруднювачі зустрічаються дуже рідко.

Всі джерела забруднення атмосфери поділяються на:

природні;

штучні (антропогенні).

Домішки природного походження надгодять в атмосферу в результаті вулканічної діяльності (попіл, пил, вуглеводні тощо), вивітрювання грунтів та гірських порід, лісових та степових пожеж, розкладу рослин, згоряння метеоритів. Багато шкідливих речовин утворюється в результаті вторинних природних процесів. Так, соснові дерева виділяють ефірні масла, які окислюючись, утворюють нові хімічні елементи. В лісах утворюється близько 1000 млн. т. реакційно здатних вуглеводнів: етилен, ізопропен, а також ненасичені вуглеводні, альдегіди, кислі та лужні речовини,

Антропогенні джерела забруднення в свою чергу поділяють на:

стаціонарні (енергетичні установки, що спалюють викопне паливо, промислові та комунально побутові підприємства);

пересувні (всі види транспорту).

Промислові джерела забруднення атмосферного повітря поділяється на джерела виділення та джерела викидів. До перших відносять технологічні пристрої, в процесі експлуатації яких виділяються домішки. До других -труби, вентиляційні шахти, аераційні ліхтарі, за допомогою яких домішки надходять в атмосферу.

Промислові викиди поділяються на: організовані та неорганізовані.

Організовані промислові викиди надходять в атмосферу через спеціально споруджені газовідводи та труби, що дозволяє застосовувати для очистки від забруднюючих речовин відповідні установки. Неорганізований промисловий викид надходить в атмосферу у вигляді не спрямованих потоків в результаті порушень герметичності обладнання. Неорганізовані викиди характерні для очисних споруд, золовідвалів, ділянок вантажно-розвантажувальних робіт та інших об'єктів.

До основних джерел промислового забруднення атмосферного повітря відносяться підприємства енергетики, металургії, будматеріалів, хімічної та нафтопереробної промисловості, виробництва добрив.

Рівень забрудненості повітря залежить не лише від обсягу викидів промислових підприємств і автотранспорту, а й від мете реологічних умов. Жаркі безвітряні літні дні або безвітряна погода восени та взимку, коли майже немає циркуляції повітря, сприяє утворенню застійних явищ біля поверхні землі й різкому зростанню концентрацій шкідливих домішок, утворенню смогу в зонах транспортних розв'язок і на вулицях з напруженим автомобільним рухом. Наведемо характеристику забруднюючих речовин і механізм їх дії на організм людини та навколишнє середовище.

Сірчаний газ - SO2(IV). Це безбарвний важкий газ, з різким запахом, що викликає кашель. Негорючий. Дуже легко розчиняється у воді. Поряд з “фізичним” розчиненням одночасно відбувається хімічна взаємодія - приєднання молекул води до молекул оксиду сульфуру (IV) SO2, внаслідок чого утворюється сульфітна кислота. Сірчаний газ реагує без зміни ступеня окиснення з водою, основними оксидами.

Оксид вуглецю(IV), або вуглекислий газ, СО2 - безбарвний газ, без запаху, важчий за повітря в 1,5 раза, доволі добре розчиняється у воді, утворюється в результаті неповного згоряння кам'яного вугілля, природного газу, деревини, нафти, бензину особливо під тиском, легко перетворюється на рідину навіть за кімнатної температури і невеликого тиску. Зріджений СО2 зберігають у стальних балонах. Якщо його швидко вилити з балона, вуглекислий газ перетворюється на снігоподібну масу. Твердий вуглекислий газ називається сухим льодом. Вуглекислий газ у великих кількостях шкідливий для людини і тварин, спричиняє запаморочення, може викликати ядуху, тому приміщення, де перебувають люди, треба часто провітрювати. Якщо в повітрі міститься 1 % СО, то це вже негативно впливає на біоту, а 4 % для багатьох видів є летальною дозою. Один автомобіль викидає в повітря близько 3,65 кг СО за добу; щільність потоків автомобілів на основних магістралях Києва сягає 50-100 тис. машин за добу, щогодинний викид у повітря СО становить 1800-2000 кг.

Сажа - особливо впливає людині на легені. Утворюється в результаті згоряння різного роду палива.

В основу нормування покладено визначення гранично-допустимих концентрацій (ГДК). У відповідності з ГОСТ 17.2.1.04-77, ГДК - це максимальна концентрація домішок в атмосфері, віднесена до певного відрізку часу, яка при періодичному впливі або на протязі всього життя людини не впливає негативно як на людину, так і на довкілля.

Для кожної забруднюючої речовини встановлюють два нормативи: Максимально разова та середньодобова ГДК.

Максимально разова ГДК - це основна характеристика небезпечності шкідливої речовини. Вона встановлена для попередження рефлекторних реакцій у людини при короткочасному впливові атмосферних домішок. Середньодобова ГДК - встановлюється для попередження загально токсичного, мутагенного, канцерогенного та іншого впливу4 речовини на організм людини.

Відповідно клас шкідливості речовин: сірчаний газ - 2, оксид вуглецю - 4, сажа - 3, Манган - 2, Ванадій п’ятиокисний - 1.


Манган парамагнітний <mhtml:file://H:\Курсова\Матеряли\Манган%20%20Вікіпедія.mht!/wiki/%D0%9F%D0%B0%D1%80%D0%B0%D0%BC%D0%B0%D0%B3%D0%BD%D0%B5%D1%82%D0%B8%D0%BA> при низьких температурах. Це поширений елемент, його кларк <mhtml:file://H:\Курсова\Матеряли\Манган%20%20Вікіпедія.mht!/wiki/%D0%9A%D0%BB%D0%B0%D1%80%D0%BA> в земній корі <mhtml:file://H:\Курсова\Матеряли\Манган%20%20Вікіпедія.mht!/wiki/%D0%97%D0%B5%D0%BC%D0%BD%D0%B0_%D0%BA%D0%BE%D1%80%D0%B0> 0,1% (за масою), в ультраосновних породах <mhtml:file://H:\Курсова\Матеряли\Манган%20%20Вікіпедія.mht!/w/index.php?title=%D0%A3%D0%BB%D1%8C%D1%82%D1%80%D0%B0%D0%BE%D1%81%D0%BD%D0%BE%D0%B2%D0%BD%D1%96_%D0%B3%D1%96%D1%80%D1%81%D1%8C%D0%BA%D1%96_%D0%BF%D0%BE%D1%80%D0%BE%D0%B4%D0%B8&action=edit&redlink=1> - 0,15%, основних <mhtml:file://H:\Курсова\Матеряли\Манган%20%20Вікіпедія.mht!/wiki/%D0%9E%D1%81%D0%BD%D0%BE%D0%B2%D0%BD%D1%96_%D0%B3%D1%96%D1%80%D1%81%D1%8C%D0%BA%D1%96_%D0%BF%D0%BE%D1%80%D0%BE%D0%B4%D0%B8> - 0,2%, середніх - 0,12%, кислих <mhtml:file://H:\Курсова\Матеряли\Манган%20%20Вікіпедія.mht!/wiki/%D0%9A%D0%B8%D1%81%D0%BB%D1%96_%D0%B3%D1%96%D1%80%D1%81%D1%8C%D0%BA%D1%96_%D0%BF%D0%BE%D1%80%D0%BE%D0%B4%D0%B8> - 0,06%, осадових <mhtml:file://H:\Курсова\Матеряли\Манган%20%20Вікіпедія.mht!/wiki/%D0%9E%D1%81%D0%B0%D0%B4%D0%BE%D0%B2%D1%96_%D0%B3%D1%96%D1%80%D1%81%D1%8C%D0%BA%D1%96_%D0%BF%D0%BE%D1%80%D0%BE%D0%B4%D0%B8> - 0,07%, кам. метеоритах <mhtml:file://H:\Курсова\Матеряли\Манган%20%20Вікіпедія.mht!/wiki/%D0%9C%D0%B5%D1%82%D0%B5%D0%BE%D1%80%D0%B8%D1%82> - 0,2%. Вміст мангану в океанічній воді 2·10-7 %, в живій речовині Землі 1·10-3%, у ґрунті 8,5·10-2%.

Манган повільно реагує з водою, розчиняється в кислотах, реагує з усіма неметалами (при нагріванні), крім водню. Представлений в основному оксидами, карбонатами і в меншій мірі - силікатами мангану. Основні мінерали мангану: піролюзит <mhtml:file://H:\Курсова\Матеряли\Манган%20%20Вікіпедія.mht!/wiki/%D0%9F%D1%96%D1%80%D0%BE%D0%BB%D1%8E%D0%B7%D0%B8%D1%82>, гаусманіт <mhtml:file://H:\Курсова\Матеряли\Манган%20%20Вікіпедія.mht!/wiki/%D0%93%D0%B0%D1%83%D1%81%D0%BC%D0%B0%D0%BD%D1%96%D1%82>, псиломелан <mhtml:file://H:\Курсова\Матеряли\Манган%20%20Вікіпедія.mht!/wiki/%D0%9F%D1%81%D0%B8%D0%BB%D0%BE%D0%BC%D0%B5%D0%BB%D0%B0%D0%BD>, манганіт <mhtml:file://H:\Курсова\Матеряли\Манган%20%20Вікіпедія.mht!/wiki/%D0%9C%D0%B0%D0%BD%D0%B3%D0%B0%D0%BD%D1%96%D1%82>, брауніт <mhtml:file://H:\Курсова\Матеряли\Манган%20%20Вікіпедія.mht!/wiki/%D0%91%D1%80%D0%B0%D1%83%D0%BD%D1%96%D1%82>, родохрозит <mhtml:file://H:\Курсова\Матеряли\Манган%20%20Вікіпедія.mht!/wiki/%D0%A0%D0%BE%D0%B4%D0%BE%D1%85%D1%80%D0%BE%D0%B7%D0%B8%D1%82>, родоніт <mhtml:file://H:\Курсова\Матеряли\Манган%20%20Вікіпедія.mht!/wiki/%D0%A0%D0%BE%D0%B4%D0%BE%D0%BD%D1%96%D1%82>. Крім того, марганець містять мінерали: велініт <mhtml:file://H:\Курсова\Матеряли\Манган%20%20Вікіпедія.mht!/wiki/%D0%92%D0%B5%D0%BB%D1%96%D0%BD%D1%96%D1%82>. Внаслідок кристалохімічної близькості мангану до трьох найважливіших петрогенних елементів <mhtml:file://H:\Курсова\Матеряли\Манган%20%20Вікіпедія.mht!/w/index.php?title=%D0%9F%D0%B5%D1%82%D1%80%D0%BE%D0%B3%D0%B5%D0%BD%D0%BD%D0%B8%D0%B9_%D0%B5%D0%BB%D0%B5%D0%BC%D0%B5%D0%BD%D1%82&action=edit&redlink=1> - Fe <mhtml:file://H:\Курсова\Матеряли\Манган%20%20Вікіпедія.mht!/wiki/Fe>, Mg <mhtml:file://H:\Курсова\Матеряли\Манган%20%20Вікіпедія.mht!/wiki/Mg>, Ca <mhtml:file://H:\Курсова\Матеряли\Манган%20%20Вікіпедія.mht!/wiki/Ca> - широко представлений як ізоморфна домішка в породотвірних мінералах <mhtml:file://H:\Курсова\Матеряли\Манган%20%20Вікіпедія.mht!/wiki/%D0%9C%D1%96%D0%BD%D0%B5%D1%80%D0%B0%D0%BB> (олівінах <mhtml:file://H:\Курсова\Матеряли\Манган%20%20Вікіпедія.mht!/wiki/%D0%9E%D0%BB%D1%96%D0%B2%D1%96%D0%BD>, ґранатах <mhtml:file://H:\Курсова\Матеряли\Манган%20%20Вікіпедія.mht!/wiki/%D2%90%D1%80%D0%B0%D0%BD%D0%B0%D1%82>, слюді <mhtml:file://H:\Курсова\Матеряли\Манган%20%20Вікіпедія.mht!/wiki/%D0%A1%D0%BB%D1%8E%D0%B4%D0%B0>, карбонатах <mhtml:file://H:\Курсова\Матеряли\Манган%20%20Вікіпедія.mht!/wiki/%D0%9A%D0%B0%D1%80%D0%B1%D0%BE%D0%BD%D0%B0%D1%82%D0%B8>). Значну кількість мангану містять залізо-марганцеві конкреції <mhtml:file://H:\Курсова\Матеряли\Манган%20%20Вікіпедія.mht!/wiki/%D0%97%D0%B0%D0%BB%D1%96%D0%B7%D0%BE-%D0%BC%D0%B0%D1%80%D0%B3%D0%B0%D0%BD%D1%86%D0%B5%D0%B2%D1%96_%D0%BA%D0%BE%D0%BD%D0%BA%D1%80%D0%B5%D1%86%D1%96%D1%97>.

Вана́дій

Вана́дій ((лат.)Vanadium) - хімічний елемент, в періодичній таблиці має код V і атомний номер 23. Рідкісний, м'який і ковкий метал, ванадій міститься в деяких мінералах і використовується в основному для виробництва певних сплавів. Це один з 26 елементів, який загалом знаходиться в довкіллі.

Рідкісний. Сер. вміст у земній корі - 0,02мас.%. Відомо біля 80 мінералів - ванадатів природних, більшість з них - екзогенного походження. Основні мінерали: ванадиніт, карнотит, деклуазит.

Відповідно клас шкідливості речовин: сірчаний газ - 2, оксид вуглецю - 4, сажа - 3, Манган - 2, Ванадій п’ятиокисний - 1, сірковуглець - 2.

Клас шкідливості підприємства та розміри санітарно-захисних зон

Промислові підприємства

Клас шкідливості підприємства

Розміри СЗЗ

Целюлозно-паперові, хімічні та металургійні комбінати, мідеплавильні заводи, підприємства по виробництву портландцементу.

І

1000

Виробництво гіпсу, азбесту, азбесту, асфальтобетону, ДСП

ІІ

500

Виробництво керамзиту, скловати, бетонних та залізобетонних виробів, виробництво цементу, асфальтобетонні заводи.

ІІІ

300

Виробництво штучного каменю, бетонних виробів, полімерних будматеріалів, фаянсових та фарфорових виробів, цегли, лаверні цехи, автомобільні заводи

ІV

100

Підприємства по видобуванню каміння глиняних виробів, столярні цехи, виробництво паркету

V

50


Визначаємо фактичну масу річного викиду і-тої домішки забруднюючої речовини в атмосферу за формулою:

mфакт= , т/рік

де : Сфакт.- - фактична концентрація забруднюючих речовин, мг/м3;

Н - висота труби, м;

В1 - об’єм викиду, м3; 1 - температура викиду, 0 С; 2 - температура атмосферного повітря для найтеплішого місяця року в даній місцевості;

А - коефіцієнт, що враховує частоту температурних інверсій даної місцевості(для умов України А=160);

Ф - коефіцієнт швидкості осідання часток в атмосфері (для газів - Ф=1,0; для парів - Ф=2,0; для пилу - Ф=3,0);

Т - число секунд у році (Т=31,56*106).ф(сірчаний газ)=  =29,51 т/рік;ф(окис вуглецю)=  т/рік;ф(сажа)= т/рік;ф(манган)=  т/рік;ф(ванадій п’ятиокисний)=  т/рік;ф(сірковуглець)=  т/рік.

. Визначаэмо масу максимально допустимого викиду за формулою:

гдк= , т/рік

mгдк(сірчаний газ)= =0,07гдк(окис вуглецю)= гдк(сажа)= гдк(манган)= гдк(ванадій п’ятиокисний)= гдк(сірковуглець)=

Сгдк - максимальна разова ГДК забруднюючої речовини. Якщо значення Сгдк відсутнє, то підставляємо середньодобову ГДК.

. Знаходимо масу надлімітних викидів забруднюючих речовин в атмосфері за формулою:

н.л= mфакт-mгдк, т/рік.

н.л(сірчаний газ)= 29,51-0,07=29,44, т/рік.н.л(окис вуглецю)=59,02-29,51=29,51, т/рік

mн.л(сажа)=2,13-0,49=1,64, т/рік

mн.л(манган)=0,19-0,05=0,14, т/рік

mн.л(ванадій п’ятиокисний)=0,05-0,01=0,04, т/рік

mн.л(сірковуглець)=2,3-0,29=2,01, т/рік

Визначаємо ефективність очистки необхідної для збереження санітарних норм за формулою:

Е= %.

Е(сірчаний газ)=

Е(окис вуглецю)=

Е(сажа)=

Е(манган)=

Е(ванадій п’ятиокисний)=

Е(сірковуглець)=

Результати розрахунків зводимо в таблицю.

Таблиця 8. Визначення необхідного ступеня очистки.

Назва Підприємства

Сфакт мг/м3

Сгдк Мг/м3

mфакт. т/рік

mгдк, т/рік

mнл т/рік

Необхідний ступінь очистки,%

Металургійний комбінат

Сірчаний газ

3,0

0,008

29,51

0,07

29,44

99,76


Окис вуглецю

6,0

3,0

59,02

29,5

29,5

50


Сажа

0,65

0,15

2,13

0,49

1,64

77


Манган

0,04

0,01

0,19

0,05

0,14

73,68


Ванадій (V)

0,01

0,002

2,3

0,01

0,04

99,5


Сірковуглець

0,07

0,03

0,68

0,29

2,01

57,3


. Дослідивши дане підприємство, проаналізували вплив на басейн річки різних забруднюючих речовин, визначивши необхідний ступінь очистки для даної речовини встановили, що майже всі речовини потребують високого ступеня очистки. Для цього необхідно посилити будівництво очисних споруд, санітарно-захисних зон, щоб звести до мінімуму вплив забруднюючих речовин на оточуюче середовище і також на р. Інгул. Найбільшої очистки потребують сірчаний газ (99,76%), ванадій п’ятиокисний (99,5%), сажа (77 %), а найменшої окис вуглецю (50 %).

Висновок

У даній курсовій роботі ми оцінили стан екологічної системи басейну річки Тартак Дослідили абіотичне середовище та біотичну складову екосистеми.

Отже, басейн річки Тартак розташований у Кіровоградській області, яка має вигідне географічне положення, сприятливі кліматичні умови, також має родючі грунти. Поверхня області хвиляста рівнинна. Клімат області помірно континентальний. Область розташовано у лісостеповій та степовій зонах. Абіотичні фактори впливають на всю екосистему річки Тартак. Ці фактори протягом тривалого часу стабільно діють у даній екосистемі.

У третьому розділі ми проводимо характеристику біотичної складової екосистеми. Кіровоградська область лежить у межах Центрально-лісостепової агроґрунтової провінції, та Дністровсько-Дніпровської північно-степової агроґрунтової провінції. Рослинність області досить різноманітна. Фауна області представлена лісостеповими і степовими тваринами, багато з них занесено до Червоної книги України.

Дослідивши екологічну структуру популяції можна зробити висновок, що на даній території спостерігається рівномірний розподіл особин. Приріст популяції змінюється щороку, а здатність популяції до розмноження зростає з віком особин. При визначенні оцінки стану поверхні водозбору виявили, що стан басейну можна охарактеризувати як задовільний. Найгірший стан мають території, які зазнають антропогенного забруднення. Також ми проаналізували оцінку впливу стаціонарного джерела забруднення на атмосферне повітря, на даній території, цим джерелом виступа металургійний комбінат, який розташований на басейні річки Тартак. Розрахувавши масу викидів, які спричиняє завод, виявили, що найбільшої очистки повітря потребує від таких речовин як сірчаний газ.

Використана література

1. Географічна енциклопедія України. Кучерявий В. Р. «Основи екології». Львів: 2001.

. И.Е. Бачинський «Климат України».

. Г.О. Білявський, Р.С. Фурдуй, І.Ю. Костіков «Основи екологічних знань»,Київ: 2000.

. Сорокін «Довідкові дані по клімату України», Рівне: 1999.

. Коротун І.М., Коротун Л.К., Коротун С.І. «Природні умови і ресурси України», Рівне:2006.

. Н.Ф. Яришева «Основи природознавства». Методичні вказівки 065-72.

. Н.М. Бачинський, Л.П. Величко «Хімія», Київ: 2005.

. Географічний атлас України, Київ: 2000.

. Климат Украины./ Ред. Бучинский И.В./.- Л., 1960.

. Клименко М.О., Трушева С.С., Гроховська Ю.Р. Відновна гідро екологія порушених річкових та озерних систем (гідрохімія, гідробіологія, управління. Рівне: 2004. - Т.3..

. Геоботанічне районування Української РСР.-К.:Наук. думка, 1977.

. Генсірук С.А., Бондар В.С. Лісові ресурси України, їх охорона і використання. - К.:думка,1973

. Злобін Ю.А., Кочубей Н.В.. Загальна екологія: Навчальний посібник - Суми: ВТД «Університетська книга», 2003

. Методичні вказівки 065-72, 065-30.

Похожие работы на - Оцінка стану екологічної системи басейну річки Інгул

 

Не нашли материал для своей работы?
Поможем написать уникальную работу
Без плагиата!
Без нейросетей!