Использование Grid технологии в системах мониторинга окружающей среды

  • Вид работы:
    Курсовая работа (т)
  • Предмет:
    Экология
  • Язык:
    Русский
    ,
    Формат файла:
    MS Word
    601,93 Кб
  • Опубликовано:
    2014-02-15
Вы можете узнать стоимость помощи в написании студенческой работы.
Помощь в написании работы, которую точно примут!

Использование Grid технологии в системах мониторинга окружающей среды

ВВЕДЕНИЕ

Термин "GRID" был предложен Яном Фостером (Ian Foster) и Карлом Кессельманом (Kаrl Kesselman), авторами первой книги об идее использования компьютерных сетей для решения задач, требующих особо больших вычислительных ресурсов.

Цель создания Grid - интеграция определенного множества пространственно распределенных ресурсов для того, чтобы обеспечить возможность выполнения широкого класса приложений на любой совокупности этих ресурсов, независимо от места их расположения.

Глобальные вычислительные сети Grid были предложены в качестве новой парадигмы для решения крупномасштабных вычислительных задач в науке, технике и бизнесе. Они дают возможность одновременного использования миллионов вычислительных ресурсов, принадлежащих различным организациям и расположенных в различных административных областях. Системы Grid объединяют разнородные вычислительные ресурсы (персональные компьютеры, рабочие станции, кластеры, суперкомпьютеры), используя разные стратегии доступа к ним, выполняя различные приложения (научные, инженерные и коммерческие), предъявляющие к системе различные требования. Ресурсы принадлежат различным организациям, имеющим свои правила управления ресурсами, их использования и определения их стоимости для различных пользователей в различное время. Доступность и загруженность ресурсов также может динамически изменяться во времени.

В окружении Grid владельцы и потребители ресурсов имеют различные цели, используют различные стратегии и экономические схемы регулирования спроса и предложения. Таким образом, актуальной проблемой является разработка систем управления ресурсами Grid, нацеленных на оптимизацию отношений между владельцами ресурсов и пользователями в соответствии с выбранными ими стратегиями. Многие системы управления ресурсами Grid (такие как Legion, Condor, AppLeS PST, NetSolve, PUNCH, XtremWeb и т.д.) используют простые схемы распределения, когда компонент, отвечающий за распределение, решает, какие задачи должны быть выполнены на каком ресурсе, используя функции стоимости, задаваемые системными параметрами. Целью таких систем распределения является увеличение пропускной способности системы, ее загруженности и уменьшения времени выполнения задач, а не увеличение рентабельности ресурсов и приложений. Они не рассматривают цену использования каждого ресурса, а это означает, что значимость выполнения всех приложений в любое время одинакова, что в реальности далеко не так - значимость должна возрастать с приближением срока выполнения прикладной задачи. Предложено использование экономического подхода к планированию и распределению ресурсов, когда решения о распределении ресурсов производятся динамически и зависят от текущих требований пользователей (такой подход реализован в системе GRACE). Это - рыночная модель распределения ресурсов, когда цена каждого ресурса определяется потребностями в нем пользователей и его доступностью. Таким образом, в системе Grid пользователь конкурирует с другими пользователями и владелец ресурса с другими владельцами ресурсов. Экономический подход позволяет успешно управлять децентрализованными и гетерогенными ресурсами так, как это происходит в реальной экономике. Экономические системы управления ресурсами Grid динамически определяют наилучшие ресурсы, учитывая их цену и производительность, и распределяют задачи на этих ресурсах так, чтобы удовлетворить потребности пользователей.

Цель дипломной работы проанализировать использование Grid технологии в системах мониторинга окружающей среды.

Задачи дипломной работы провести обзор публикаций по Grid технологиям и проанализировать систему мониторинга окружающей среды.

1. КОНЦЕПЦИЯ GRID

Концепция Grid породила новую модель организации различных форм обработки данных (компьютинга), предложив технологии удаленного доступа к ресурсам разных типов независимо от места их расположения в глобальной сетевой среде. Так, с помощью Grid появляется возможность выполнять программные коды на одном или сразу нескольких ”чужих” компьютерах, становятся повсеместно доступными хранилища данных со структурированной (базы данных) и неструктурированной (файлы) информацией, источники данных (датчики, инструменты наблюдения) и программно управляемые устройства.

В реализации Grid представляет собой инфраструктуру, которая состоит из находящихся в разных местах ресурсов, соединяющих их телекоммуникаций (сетевые ресурсы) и взаимосогласованного по всей инфраструктуре связующего (middleware) программного обеспечения, поддерживающего выполнение дистанционных операций, а также выполняющего функции контроля и управления операционной средой. Grid создается владельцами ресурсов, выделяющими их в общее пользование. Владельцы и потребители, действующие на основании определенных правил. предоставления/потребления ресурсов, образуют виртуальную организацию.является средой коллективного компьютинга, в которой каждый ресурс имеет владельца, а доступ к ресурсам открыт в разделяемом по времени и по пространству режиме множеству входящих в виртуальной организации пользователей. Виртуальная организация может образовываться динамически и иметь ограниченное время существования.

1.1 Ресурсы GRID

Инструментарий Globus Toolkit, начиная с версии GT2 стал фактическим стандартом для Grid, признанным как научным сообществом, так и ведущими компаниями компьютерной индустрии. Благодаря тому, что GT с самого начала имел и по-прежнему сохраняет статус открытого программного обеспечения, к настоящему времени накоплен значительный опыт его применения в крупных проектах. Используя инструментальные средства GT, разными коллективами были разработаны дополнительные службы: репликации файлов, авторизации, диспетчеризации заданий и др.

Стандарт OGSA (Open Grid Services Architecture - набор спецификаций и стандартов, позволяющих объединить преимущества метакомпьютинга и Web -служб) определяет службы как абстрактные объекты, но не содержит никаких предписаний о способе их реализации. В OGSA не затрагиваются вопросы программной модели служб и исполнительной среды их функционирования, что, конечно, имеет смысл, так как делает стандарт независимым от реализационной платформы. Например, в GT3, Grid-службы реализуются в компонентных средах - контейнерах, разработанных для Web-служб. Так, на платформе J2EE (Java 2 Enterprise Edition - набор спецификаций и соответствующей документации для языка Java, описывающей архитектуру серверной платформы для задач средних и крупных предприятий) применяются разные типы контейнеров: EJB (Enterprise JavaBeans - спецификация технологии написания и поддержки серверных компонентов), JSP (JavaServer Pages - технология, позволяющая веб-разработчикам легко создавать содержимое, которое имеет как статические, так и динамические компоненты), сервлеты и апплеты. Роль контейнеров - размещение служб, обеспечение жизненного цикла, поддержка безопасности.

Если этих функций контейнера достаточно для Web-служб, то для Grid- служб требуется большее - способ реализации этих служб должен обеспечивать виртуализацию ресурсов:

многопользовательское обслуживание, динамически адаптирующееся к меняющейся нагрузке путем порождения множества экземпляров служб;

автоматическое распределение ресурсов между экземплярами служб, выполняющих обработку потока запросов.

Этим требованиям отвечает среда исполнения Grid-служб, в которой имеется пул ресурсов с единым управлением, осуществляемым Менеджером ресурсов. Запрос, поступающий на интерфейс службы преобразуется в форму задания для Менеджера ресурсов и передается ему по его интерфейсам. Основные функции Менеджера ресурсов - выделение ресурсов под задания и поддержка их выполнения (рисунок 1).

Рисунок 1 - Виртуализация через Менеджер ресурсов

К сожалению, в современных исследованиях вопросам организации ресурсов и управления службами уделяется относительно мало внимания. Тем больший интерес вызывают программные продукты коммерческих компаний, занимающихся разработкой средств для поддержки внутренней информационной инфраструктуры предприятий, инфраструктуры, связывающей предприятия, и инфраструктуры провайдеров услуг. Если исследовательское направление сосредоточено, главным образом, на моделях и протоколах обеспечения интероперабельности пространственно распределенного программного обеспечения, то основные достижения коммерческих систем лежат как раз в сфере управления ресурсами.

Ведущие компании IBM, Sun, Hewlett-Packard, Avaki, Oracle и др. заинтересованы в развитии пространственно распределенного компьютинга и связывают перспективы с переходом на протоколы и архитектуру Grid. Общие положения способа построения Grid на базе локальных систем управления распределенными ресурсами выглядят следующим образом:

Модель служб OGSA рассматривается как будущий стандарт всей информационной индустрии, на основе которого будут строиться пространственно распределенные приложения. Через посредство служб приложения получают унифицированный дистанционный доступ к ресурсам виртуальной организации;

Связующее программное обеспечение Grid “склеивает”, то есть делает доступными потребителям, географически разнесенные, принадлежащие разным административным доменам ресурсные пулы;

Средства Grid для сбора и хранения информации снабжают виртуальную организацию метаданными о ресурсах, услугах и условиях их предоставления. OGSA специфицирует формат описаний и способ хранения метаданных в реестрах. На основе метаданных работают различные коммунальные службы Grid;

Защита в виртуальной организации базируется на стандарте инфраструктуры безопасности (PKI (Public Key Infrastructure - Инфраструктура Открытых Ключей)) Grid, основанном на сертификатах X.509. PKI поддерживает однократную регистрацию пользователей, которая действует повсеместно, на всех ресурсных пулах.

1.2 Способы организации ресурсов GRID

Существует два способа организации ресурсов Grid. Первый способ, соответствующий направлению GT, можно назвать двухуровневым (или горизонтально интегрированным). В этой форме Grid образуется из совокупности комплексных, то есть содержащих множество компьютеров, узлов. Ресурсы отдельного узла находятся в автономном административном домене, связаны локальной сетью и обычно управляются системой пакетной обработки, которая играет роль локального Менеджера ресурса. Узел включается в Grid через одну одну или несколько машин-шлюзов, на которые устанавливаются Grid- службы, и, таким образом ресурсы узла становятся доступны повсеместно. На такой способ организации ресурсов ориентирован GT, в котором поддержаны интерфейсы с системой пакетной обрабротки PBS, Condor, LSF, SGE и др. Виртуализация ресурсов происходит на уровне отдельных узлов Grid, а для обеспечения прозрачного доступа ко всем ресурсам виртуальной организации предполагается наличие службы глобальной виртуализации - брокера или диспетчера (рисунок 2). Описанный подход хорош для виртуальных организаций, которые опираются на развитую локальную инфраструктуру ресурсов. Однако, представляют интерес и ситуации, когда владельцы ресурсов не используют систему пакетных обработок, не могут позволить себе усложнять обслуживание имеющегося парка машин или создают Grid на короткое время для совместного выполнения конкретного проекта. В таких обстоятельствах более подходящим может быть второй способ организации Grid - одноуровневый (или с вертикальной интеграцией).

Рисунок 2 - Двухуровневый горизонтально интегрированный Grid

В одноуровневой архитектуре ресурсы - пространственно распределенные компьютеры - интегрируются через управляющий центр, который, с одной стороны, представляет собой точку доступа ко всем ресурсам, а, с другой стороны, выполняет функции Менеджера ресурсов, управляя ресурсами и виртуализируя их (рисунок 3).

Рисунок 3 - Одноуровневый вертикально интегрированный Grid

Одноуровневый подход был предложен в проектах SETI@home и Distributed.net, но использовался для решения достаточно специальной по сравнению с целями Grid задачи - организации счета отдельных приложений на глобально распределенных ресурсах. Дальнейшее развитие одноуровневого подхода, выразившееся в появлении средств запуска и управления заданиями в продуктах нескольких компаний: Entropia, DataSynapse, United Devices, Parabon Computing, показало возможность его применения в Grid, то есть в среде для выполнения множества разных приложений. Следует отметить, что до недавнего времени существовало препятствие для создания Grid с помощью коммерческих систем: поскольку все они опирались на частные протоколы дистанционного взаимодействия, область действия построенных на их базе инфраструктур была ограничена корпоративным уровнем. Но положение меняется - перечисленные выше компании в той или иной степени принимали участие в разработке протоколов для архитектуры OGSA и имеют конкретные планы перехода от частных решений к стандартам, утверждаемым Grid -сообществом.

Проводя далее сравнение двухуровневого и одноуровневого подхода мы исходим из того, что в перспективе они могут стать взаимодополняющими способами построения Grid, а некоторые технологии, разработанные под определенный контекст, представляют ценность и в более широком плане [1].

2. МОНИТОРИНГ ОКРУЖАЮЩЕЙ СРЕДЫ. ПОНЯТИЕ МОНИТОРИНГА

Термин «мониторинг» обозначает наблюдение, анализ и оценку состояния окружающей среды, её изменений под влиянием хозяйственной деятельности человека, а также прогнозирование этих изменений. Испытывая на себе результаты разрушающего действия воды, ветра, землетрясений, снежных лавин и т. п., человек издавна реализовал элементы мониторинга, накапливая опыт предсказания погоды и стихийных бедствий. Такого рода знания всегда были и сейчас остаются необходимыми для того, чтобы по возможности снизить ущерб, причиняемый человеческому обществу неблагоприятными природными явлениями и, что особенно важно, уменьшить риск человеческих потерь. Последствия большинства стихийных бедствий необходимо оценивать со всех сторон [4].

2.1 Подходы GRID технологии в системах мониторинга окружающей среды

Современный этап развития систем экологического мониторинга, прогнозирования чрезвычайных ситуаций и поддержки принятия соответствующих решений характеризуется глобализацией поставленных задач и активным использованием данных из разных источников, в первую очередь, спутниковых наблюдений. На решение таких задач не только в региональном, но и в глобальном масштабе, направлены международные многочисленные программы и инициативы, в том числе GEOSS, GMES и INSPIRE. Эти инициативы предполагают совместное использование продуктов и интеграцию региональных и национальных систем спутникового мониторинга. Детально рассматриваются проблемы, возникающие в процессе интеграции региональных или национальных систем, а также обсуждаются возможные пути их решения. Подавляющее большинство предлагаемых технологий реально апробировано в процессе создания международных систем спутникового мониторинга [2].

Возможны два подхода к интеграции систем мониторинга: на уровне обмена данными результатами их обработки либо на уровне совместного решения задач в рамках общей инфраструктуры.

Первый подход гораздо проще в реализации. Для его воплощения требуется лишь обеспечение стандартизованного обмена данными между приложениями, наличие общего каталога метаданных, а также общего программного и Web-интерфейса. Такой подход применяется для интеграции систем спутникового мониторинга Института космических исследований РАН-НКАР (ИКИ РАН-НКАР). Для обмена данными между системами используется протокол WMS (Web Map Service - протокол для выдачи географически привязанных изображений через Интернет), а для реализации интерфейса пользователя - шаблон на основе толстого клиента и программное обеспечение OpenLayers (библиотека, написанная на JavaScript, предназначенная для создания карт на основе программного интерфейса).

Второй способ интеграции систем более сложный. Он предполагает взаимодействие систем на уровне решения задач, то есть запуска приложений, использования отдельных моделей, совместного использования данных и вычислительных ресурсов. Помимо стандартизации обмена данными и наличия общего программного и пользовательского интерфейса в данном случае необходимо обеспечить единую политику безопасности, общую вычислительную инфраструктуру, согласованное планирование и запуск задач и мониторинг нагрузки. Такой подход возможен только на основе интеграции отдельных Grid-систем. Получаемую в результате инфраструктуру можно назвать Inter-Grid.

2.2 Задачи обеспечения взаимодействия Grid-систем и способы их решения

При разработке средств взаимодействия Grid-платформ можно выделить ряд задач, решение которых позволит реализовать большую часть функциональности Grid и использовать высокоуровневые сервисы на ее основе с учетом специфики задач спутникового мониторинга. К таким задачам относятся следующие:

обеспечение взаимодействия между системами безопасности разных Grid-платформ;

реализация надежной передачи файлов между Grid-платформами;

реализации высокоуровневого доступа к геопространственной информации.

запуск и мониторинг задач на ресурсах разных Grid-платформ;

Для отработки методов решения вышеупомянутых задач было выбрано две Grid-платформы: Globus Toolkit v4 и gLite v3, поскольку абсолютное большинство других платформ в той или иной степени совместимы с ними.

2.3 Предпосылки создания Inter-Grid системы

На данный момент в мире сложилась ситуация, когда разные космические агентства и организации, связанные с обработкой космических данных либо уже имеют собственные Grid-инфраструктуры (ESA, NASA, JAXA), либо находятся в процессе их создания (CNES, CNR, НАНУ и НКАУ). Активное развитие Grid-подхода в данной области обусловлено распределенностью космических данных. Кроме того, создание продуктов обработки космических данных разных уровней требует использования моделей, интеграции данных разной природы, и, как следствие, больших вычислительных мощностей, которые не всегда имеются в каждой отдельной организации. Создание интегрированной Grid-инфраструктуры поддерживается международными инициативами, в том числе GEOSS и GMES. В области наук о Земле Grid-технологии активно развиваются в рамках EGEE (например, проект DEGREE, #"702993.files/image004.gif">

Рисунок 4 - Доступ к геопространственным данным через сервис WSRF

Второй подход к организации доступа к высокоуровневым данным состоит в использовании контейнера OGSA-DAI (рисунок 5).

Рисунок 5 - Доступ к геопространственным данным через контейнер OGSA-DAI

При таком подходе большая часть проблем реализации решается автоматически, в том числе вопросы безопасности, надежность передачи данных между различными источниками. Инфра-структура является легко расширяемой и совместимой с другими системами обработки данных.

Однако обработка исключений и добавление новых функций требует гораздо большее серьезных усилий и навыков, чем при первом подходе. Кроме того, в этом случае требуется установка дополнительного программного обеспечения.

2.5 Пример интеграции систем мониторинга на уровне данных

Первый подход к интеграции систем спутникового мониторинга - на уровне обмена данными - апробирован при отработке взаимодействия между системами ИКИ РАН-НКАР и ИКИ РАН на примере задач сельскохозяйственного мониторинга. Российская система спутникового мониторинга на основе стандарта WMS предоставляет данные по индексу NDVI, пожарам и базовую картографию. В домене ИКИ РАН-НКАР развернуты два WMS-сервера, обеспечивающие продукты MODIS (точечные данные) и модельные данные по температуре земной поверхности, а также векторные данные наземных метеоизмерений. Интеграция данных реализована по шаблону толстого клиента на базе программного обеспечения OpenLayers с поддержкой технологии AJAX (Asynchronous Javascript and XML - асинхронный JavaScript и XML). Схема организации взаимодействия показана на рисунке 6.

Рисунок 6 - Схема интеграции систем мониторинга на уровне данных

Выбранная технология обладает следующими преимуществами: обеспечивается поддержка кэширования слоев и оптимизация загрузки изображений за счет разбиения всей отображаемой области на фрагменты. Это существенно ускоряет отображение результатов в интерфейсе пользователя. Дополнительным преимуществом такой технологии является отсутствие необходимости в серверной части, обеспечивающей интеграцию данных. Вся функциональность по извлечению данных из разных систем мониторинга и их отображению реализуется на стороне клиента. Пример интерфейса пользователя показан на рисунке. 7, где одновременно отображены данные обеих систем мониторинга: карта индексов NDVI из системы мониторинга ИКИ РАН и карта температуры земной поверхности с сервера ИКИ РАН-НКАР.

Рисунок 7 - Интерфейс пользователя на основе OpenLayers

Второй подход к интеграции систем мониторинга - на уровне выполнения задач - был использован для разработки сегмента Wide Area Grid (WAG) в рамках проекта, инициированного Французским космическим агентством CNES, а также проекта CAT-1. Целью этих проектов является создание Grid-системы, объединяющей ресурсы космических агентств и других организаций разных стран с целью решения задач GEOSS и GMES. В разработанном сегменте объединены ресурсы ИКИ РАН-НКАР, Remote Sensing Ground Station of CAS (China). Текущее состояние Inter-Grid системы, разрабатываемой в рамках проектов CAT-1 и WAG, представлено на рисунке 8. Все организации, представленные в данном сегменте, предоставляют свои вычислительные ресурсы для решения задач мониторинга окружающей среды в контексте GEOSS . На данный момент в Inter-Grid-системе выполняются следующие задачи: моделирование метеорологических параметров с помощью численной модели WRF; картографирование площадей затопленных территорий с помощью радиолокационных данных спутников ERS и ENVISAT.

Рисунок 8 - Текущая InterGrid инфраструктура, создаваемая в рамках проектов CAT-1 и WAG

Кроме вычислительных ресурсов, ИКИ РАН-НКАР и RSGS of CAS имеют возможность представлять в сегменте свои архивы данных, которые могут быть использованы для решения тематических задач [5].

3. ОХРАНА ТРУДА И ПРОМЫШЛЕННАЯ ЭКОЛОГИЯ

.1 Важность обеспечения охраны труда при работе на компьютере

Работа на персональном компьютере влияет на здоровье человека не самым лучшим образом. В настоящее время практически ни одно предприятия не обходиться без компьютера. Использование компьютерных технологий позволяет создавать базы данных, отчеты. Людям с ограниченными возможностями, инвалидам компьютер помогает получить образование, работать.

На многих крупных заводах всем производством управляют компьютерные программы.

Именно за компьютерными технологиями будущее. Исследования космоса и морских глубин все производится через компьютер.

Целью является узнать, какие негативные последствия оказывает компьютер, как с ними бороться и как сохранить свое здоровье.

3.1.1 Негативное влияние компьютера на организм человека

Компьютеры влияют на разные системы органов организма человека. Особенно опасно влияние электромагнитных излучений, ухудшение зрения, нарушение психики, особенно у подростков, заболевания мышц и суставов.

Основные вредные факторы, действующие на человека за компьютером:

сидячее положение в течение длительного времени;

воздействие электромагнитного излучения монитора;

утомление глаз, нагрузка на зрение;

перегрузка суставов кистей;

стресс при потере информации.

Шум

Тому, кто простоял хотя бы одну смену в среднестатистическом цеху, трудно объяснить, что шум компьютеров вреден. Действительно, не так уж они и шумят. Однако, утомление от такого шума - это легко наблюдаемый факт. Вопрос только в том, что больше влияет на утомляемость, конкретная модель вентилятора или, например, акустика комнаты. Даже сами представители "авторитетных" комиссий не смогут это точно определить. С другой стороны, степень износа вентилятора и количество смазки в нём значительно больше влияют на шум, чем изначальный выбор модели.

В свете появления систем водяного охлаждения и вентиляторов с уровнем шума менее 20 дб, стоит начать говорить не об уровне и характере шума, а о наличии его вообще.

Электромагнитное излучение

Слово "радиация" (radiation) в документации к ПК означает всего лишь "излучение". Такое же, как у Солнца.

Электромагнитное излучение увидеть невозможно, а представить не каждому под силу, и потому нормальный человек его почти не опасается. Одним из наиболее распространенных источников электромагнитного излучения является компьютер. Наибольшее излучение не со стороны монитора, а со стороны задней стенки.

Компьютер создает вокруг себя поле с широким частотным спектром, который представлен:

электростатическим полем;

переменным низкочастотным электрическим полем;

переменным низкочастотным магнитным полем.

Вредными факторами могут быть так же:

рентгеновское и ультрафиолетовое излучение электронно-лучевой трубки дисплея ПК;

электромагнитное излучение радиочастотного диапазона;

электромагнитный фон.

Электростатическое поле способствует тому, что частицы мельчайшей пыли оседают на руках лице и шее, вызывая аллергические реакции, сухость кожи и волос. В помещении, где работают компьютеры, должна быть хорошая система вентиляции. Минимальная площадь на один видеомонитор 9-10 м2 Компьютеры, помещенные в сильные электромагнитные поля, становятся неустойчивыми в работе, возникает эффект дрожания изображения на экране мониторов, существенно ухудшаются их эргономические характеристики. Специалисты советуют принять во внимание следующее:

. Помещение, где эксплуатируются компьютеры, должно быть удалено от посторонних источников электромагнитных излучений (электрощиты, трансформаторы, кабели электропитания с мощным электропотребителями, радиопередающие устройства и т.д.).

. Если на окнах помещения имеются металлические решетки, то они должны быть заземлены. Как показывает опыт, несоблюдения этого правила может привести к резкому локальному повышению уровня полей в какой либо точке помещения и сбоям в работе компьютера.

. Групповые рабочие места, желательно размещать на нижних этажах здания. Вследствие минимального значения сопротивления заземления именно на нижних этажах зданий существенно снижается общий электромагнитный фон на рабочих местах с компьютерной техникой.

Ухудшение зрения

Человеческое зрение абсолютно не адаптировано к компьютерному экрану, люди привыкли видеть цвета и предметы в отраженном свете, что выработалось в процессе эволюции. Экранное же изображение самосветящееся, имеет значительно меньший контраст, состоит из дискретных точек - пикселей. Утомление глаз вызывает мерцание экрана, блики, неоптимальное сочетание цветов в поле зрения.

Более 90% пользователей компьютеров жалуются на жжение или боли в области глаз, чувство песка под веками, затуманивание зрения и др. Комплекс этих и других характерных недомоганий с недавнего времени получил название «Компьютерный зрительный синдром». Влияние работы с монитором в значительной степени зависит от возраста пользователя, от состояния зрения, а также от интенсивности работы с дисплеем и организации рабочего места.

Мерцание изображения

Экран CRT-монитора мигает некоторое количество раз ежесекундно. Чем выше частота этих "миганий" - тем меньше нагрузка на глаза. Каждый раз, когда производителям мониторов удавалось немного увеличить частоту мерцания монитора, это преподносилось как революционный прорыв в борьбе за сохранность глаз.

grid окружающий среда мониторинг

3.1.2 Проблемы опорно-двигательного аппарата

Боли в пояснице и в основании шеи запросто могут привести к болезням вен и суставов конечностей. "Синдром программиста" (боли между лопатками) представляет опасность для сердца и лёгких. Он обычно сопровождается спазмом трапециевидных мышц, которые в попытках спасти позвоночник пережимают артерии, идущие к мозгу (помните давящие боли затылке). Чуть выше может защемиться нерв, идущий к лицу и среди прочего контролирующий глаза, именно так и появляется временное ухудшение зрения, которое не лечится очками, но проходит после работы с позвоночником на специальном тренажёре. Боли в середине спины, на стыке грудного и поясничного отделов, обещают пользователю гастрит, а то и язву желудка, но задолго до этого обеспечивают беспричинным "общим утомлением".

Самый же лучший и эффективный совет за здоровый позвоночник: раз в 40-45 минут сделайте перерыв. Встаньте, пройдитесь, подвигайтесь (как именно - вы почувствуете) потянитесь (наклоны особенно хороши). Помогает не до конца, но очень сильно.

3.1.3 Влияние компьютера на мышцы и суставы

Ухудшение зрения и умственное перенапряжение - это еще далеко не все осложнения, «даруемые» компьютером. Мало кто, проведя за клавиатурой энное количество часов, не испытывал боли в области шеи и позвоночника, онемение шеи, боли в плечах и пояснице, покалывания в ногах. Но бывают и более серьезные заболевания как остеохондроз или синдром запястного тоннеля.

Нельзя сказать, что синдром запястного канала (тоннеля) не проявлял себя раньше, но в последнее десятилетие, в основном в связи с распространением компьютерной техники. Поскольку канал узкий, в нем может произойти сдавливание всех находящихся образований. Больше всего страдает при этом серединный нерв, отчего появляются вначале онемение, чувство «ползанья мурашек», жжение, боли в первом, втором и половине третьего пальца. Боль может распространиться в предплечье, и даже плечо. Больно становиться сжимать пальцы, двигать кистью, даже опускать руки вниз. Человек становиться нетрудоспособным.

3.1.4 Нагрузка на нервную систему

Самым уязвимым местом пользователя ПК являются не глаза, как принято полагать, а нервы. Например, мерцание экрана, практически безвредное для глаз, сильно напрягает нервную систему. Шум вентиляторов медленно, но верно расшатывает нервы. Если к этому добавить вышеописанные проблемы с глазами и позвоночником, которые тоже нагружают нервную систему, то общая картина получится печальная.

Общее утомление нервной системы приводит к иллюзии физической усталости, снижению чувствительности органов чувств (не только зрения и слуха, но и всех остальных), нарушению координации движений и чувства равновесия, а также к нарушениям давления и спазмам сосудов. Последние два фактора сделали кофе одним из самых любимых напитков пользователя ПК, так как кофе, который и сам портит нервы, при этом ненадолго снимает внешние проявления. Головной мозг у пользователя ПК подвергаются такому жестокому разгону, какому не подвергался ни один процессор в мире.

3.1.5 Гигиенические требования к персональным электронно-вычислительным машинам и организации работы

В Санитарно-эпидемиологических правилах и нормативах СанПиН 2.2.2/2.4.1340-03 предъявляются требования для компьютеров:

2.1 ПЭВМ должны соответствовать требованиям настоящих санитарных правил и каждый их тип подлежит санитарно-эпидемиологической экспертизе с оценкой в испытательных лабораториях, аккредитованных в установленном порядке.

.2 Перечень продукции и контролируемых гигиенических параметров вредных и опасных факторов в приложении А (таблица 1).

.3 Допустимые уровни звукового давления и уровней звука, создаваемого ПЭВМ, не должны превышать значений, представленных в приложении А (таблица 2).

.4 Временные допустимые уровни электромагнитных полей (ЭМП), создаваемых ПЭВМ, не должны превышать значений, представленных в приложении А (таблица 3).

.5 Допустимые визуальные параметры устройств отображения информации представлены в приложении 1 (таблица 4).

.6 Концентрации вредных веществ, выделяемых ПЭВМ в воздух помещений, не должны превышать предельно допустимых концентраций (ПДК), установленных для атмосферного воздуха.

.7 Мощность экспозиционной дозы мягкого рентгеновского излучения в любой точке на расстоянии 0,05 м от экрана и корпуса ВДТ (на электроннолучевой трубке) при любых положениях регулировочных устройств не должна превышать 1 мкЗв/час (100 мкР/час).

.8 Конструкция ПЭВМ должна обеспечивать возможность поворота корпуса в горизонтальной и вертикальной плоскости с фиксацией в заданном положении для обеспечения фронтального наблюдения экрана ВДТ. Дизайн ПЭВМ должен предусматривать окраску корпуса в спокойные мягкие тона с диффузным рассеиванием света. Корпус ПЭВМ, клавиатура и другие блоки и устройства ПЭВМ должны иметь матовую поверхность с коэффициентом отражения 0,4 - 0,6 и не иметь блестящих деталей, способных создавать блики.

.9. Конструкция ВДТ должна предусматривать регулирование яркости и контрастности.

.10. Документация на проектирование, изготовление и эксплуатацию ПЭВМ не должна противоречить требованиям настоящих санитарных правил.

3.2 Утилизация компьютеров

Трудно представить сегодняшнюю жизнь без персонального компьютера (ПК), электроники, мобильного телефона. ПК всюду - дома, на работе, школе, ВУЗе, аптеке, банке, на вокзале, магазине, больнице и т.д.Информатизация общества в полном объеме. Базы данных, огромные потоки различной информации, Internet - привычные слова и понятия. Количество персональных компьютеров растет с каждым годом.

Согласно данным Программы ООН по защите окружающей среды (ЮНЕП), каждый год человечество выбрасывает на свалку до 50 миллионов тонн "электронного мусора", и этот показатель постоянно растет. Примерно четверть всех отходов -это электро- и электронные приборы и техника, рост этого показателя составляет 2,5 - 4% в год. При этом отмечается, что неправильная утилизация орг.техники приводит к высвобождению опасных химикатов и тяжелых металлов в окружающую среду.

Проблема переработки отходов может серьезно обостриться, когда, заметно сокращаются и сроки морального старения электронной аппаратуры: если в 1992 году компьютером пользовались в среднем четыре с половиной года, то сейчас компьютер морально устаревает уже за год-два года после приобретения.

В общей массе электрического мусора доля ИТ- и телеком - оборудования невелика - около 10-15%.

По оценкам Управления охраны окружающей среды США (EPA), 1% из 210 млн. тонн твердых отходов, собираемых ежегодно в стране, приходится на долю электронных изделий. Это - старые телевизоры, ПК, принтеры и другой устаревший высокотехнологичный скрап. Но рост объемов электронных отходов - лишь часть, и отнюдь не самая серьезная часть, проблемы. Все чаще экологи обращают внимание на наличие в отходах, пусть в незначительных количествах, токсичных веществ и загрязняющих окружающую среду тяжелых металлов (свинца, кадмия, сурьмы, бериллия, хрома, ртути). К токсичным материалам относятся тяжелые металлы - свинец (в ЭЛТ и паяных соединениях компонентов), кадмий (в батареях питания), сурьма (в средствах подавления пламени, герметиках и в припое стеклянных панелей ЭЛТ), бериллий (в соединителях сотовых телефонов и ПК ранних моделей), хром (в металлических покрытиях), ртуть (в малых количествах в индикаторных лампах плоских дисплеев).

В кинескопных мониторах содержится немало соединений свинца. Другая категория продукции, содержащая опасные элементы, - ноутбуки. В аккумуляторах и экранах устаревших моделей имеется определенное количество ртути, которая также очень опасна для организма и окружающей среды. То же самое относится и к батареям питания и аккумуляторам, содержащим такие металлы, как свинец, кадмий, цинк и никель.

В 2000 году из муниципальных отходов, содержащих свинец, около 30%, представляли собой отходы электронной продукции.

3.2.1 Опасные компоненты компьютера

На данной схеме показаны опасные компоненты персональных компьютеров.

Свинец в электронно-лучевой трубке и припое (в стеклоприпое, соединяющем плоскую часть с раструбом кинескопа, около 75% свинца, а в самом раструбе - около 25%); мышьяк в более старых версиях ЭЛТ, триоксид сурьмы как подавитель огня, подавители огня в пластиковых корпусах, кабелях и печатных платах, селен в печатных платах (схемы выпрямления), кадмий в печатных платах и полупроводниках, хром как компонент стали для предотвращения ржавления, кобальт как компонент с магнитными свойствами, ртуть в переключателях.

В среднестатистическом 17-дюймовом ЭЛТ-мониторе содержится 1-2 килограмма свинца, большая часть которого сосредоточена в трубке. Столько же, или ещё больше свинца можно обнаружить в сотне отслуживших своё материнских плат. Свинец при воздействии на организм человека поражает человеческие почки, кровь, центральную нервную систему и вызывает самые разнообразные врождённые уродства.

В той же сотне материнских плат может содержаться более порядка трёх килограмм так называемых хлорорганических ретардантов - бромированных огнезащитных составов (BFR), которые используются во многих других комплектующих, а также в кабелях, и в упаковке. Различные типы этих соединений по-разному действуют на организм человека, но все они могут вызывать гормональные нарушения и отрицательно влиять на работу мозга.

С некоторой натяжкой можно считать токсичными вещества, которые некоторое время выделяются из пластиковых деталей ПК. Тот самый характерный "запах нового компьютера". Практика показывает, что целый день, проведённый в душном помещении, заваленном новыми корпусами ПК, может оказать заметное отравляющее воздействие. Этот запах стоит учитывать как вредный, но важно помнить, что он исчезает за несколько дней, в крайнем случае, недель.

Хром, выступающий во многих случаях в качестве защиты от коррозии, способен вызывать целый спектр аллергических реакций и даже приводить к повреждению ДНК.

В самой разнообразной электронике применяется поливинилхлорид (ПВХ)- из него выпускают оплётки для кабелей и элементы корпусов. Между тем, ПВХ выделяет диоксины, которые являются сильными канцерогенами. В отличие от органических отходов, техногенный мусор невозможно утилизировать, используя природные процессы регенерации. Более того, учитывая присутствие во многих компонентах тяжелых металлов и ядовитых веществ, сжигать его подобно бытовым отходам тоже нельзя. Переработка устаревшей электроники требует значительных усилий и представляет собой немалую проблему. Игнорировать ее невозможно, потому что она несет серьезную угрозу для экологии.

3.2.2 Процесс переработки

В принципе, любой компьютер или телефон можно переработать и пустить во вторичное использование. При грамотной утилизации около 95% отходов техники способны вернуться к нам в том или ином виде, и примерно 5% отправляются на свалки или федеральные заводы по переработке твердых бытовых отходов. Соотношение ручного и автоматизированного труда на фабриках по переработке компьютерной техники зависит от ее типа. Для монитора это соотношение примерно 50 на 50 - разборка старых кинескопов является довольно трудоемким занятием. Для системных блоков и оргтехники доля автоматических операций выше. НР впервые предложила переработку отслужившей свой срок продукции еще в 1981 году. Сегодня НР обладает инфраструктурой по сбору и переработке использованных ПК и оргтехники в 50 странах мира. В год утилизации подвергается около 2,5 млн. единиц продукции. В одном только 2007 году НР переработал около 100 тыс. тонн списанного оборудования и расходных материалов, - почти в полтора раза больше, чем годом ранее.

Первый этап всегда производится вручную. Это - удаление всех опасных компонентов. В современных настольных ПК и принтерах таких компонентов практически нет. Но переработке подвергаются, как правило, компьютеры и техника, выпущенные в конце 90-х - самом начале 2000-х годов, когда плоских жидкокристаллических мониторов просто не существовало. А в кинескопных мониторах содержится немало соединений свинца. Другая категория продукции, содержащая опасные элементы, - ноутбуки. В аккумуляторах и экранах устаревших моделей имеется определенное количество ртути, которая также очень опасна для организма. Важно отметить, что в новых моделях ноутбуков от этих вредоносных компонентов избавились.

Затем удаляются все крупные пластиковые части. В большинстве случаев эта операция также осуществляется вручную. Пластик сортируется в зависимости от типа и измельчается для того, чтобы в дальнейшем его можно было использовать повторно. Оставшиеся после разборки части отправляют в большой измельчитель, и все дальнейшие операции автоматизированы. Во многом технологии переработки позаимствованы из горного дела - примерно таким же способом извлекают ценные металлы из породы.

Измельченные в гранулы остатки компьютеров подвергаются сортировке. Сначала с помощью магнитов извлекаются все железные части. Затем приступают к выделению цветных металлов, которых в ПК значительно больше. Алюминий добывают из лома посредством электролиза. В сухом остатке получается смесь пластика и меди. Медь выделяют способом флотации - гранулы помещают в специальную жидкость, пластик всплывает, а медь остается на дне. Сама эта жидкость не ядовита, однако, рабочие на заводе используют защиту органов дыхания - чтобы не вдыхать пыль.

В данный момент можно с уверенностью сказать о том, что закон о утилизации компьютеров необходим, так как в действительности мы не должны негативно влиять на окружающую нас среду. Но в нашей стране все гораздо проще, существует очень много компании, которые с удовольствием примут заказ на утилизацию старого оборудования, вам не придется длительное время проводить за документами, которые необходимы для утилизации, ваши компьютеры смогут забрать компании, занимающиеся утилизацией. Все что от вас потребуется - это правильно оформленное списание, помните, что списание компьютеров можно без особых сложностей осуществить при помощи специальных компаний, а так же составление всего одного документа на утилизацию оргтехники. Стоимость таких услуг не велика, и вы безусловно сможете позволить себе сделать окружающий мир чище.

4. ОРГАНИЗАЦИОННО-ЭКОНОМИЧЕСКАЯ ЧАСТЬ

Оценка социально-экономической эффективности затрат на охрану окружающей среды позволили определить пути совершенствования. Общая (абсолютная) экономическая эффективность средозащитных затрат определяется двумя вариантами:

) как отношение годового объема полного экономического эффекта П к сумме вызвавших этот эффект эксплуатационных расходов Р и капитальных вложений К, приведенных к одинаковой размерности:


) как отношение разности годового объема полного экономического эффекта П и эксплуатационных расходов на содержание и обслуживание средозащитных объектов Р к капитальным вложениям К:


Главной задачей при оценке эффективности средозащитных мероприятий является определение предотвращенного ущерба П.Формулы и укрупненные показатели для расчета эффекта в виде предотвращенного ущерба. Полный экономический эффект П может быть определен как произведение укрупненного показателя удельного эффекта (ущерба) на объем сбрасываемых в природные водоемы стоков, определяемый как разнила приведенных объемов сточных вод до и после осуществления средозащнтного мероприятия:


где kj, ко - концентрация отдельного загрязняющего вещества в сточных водах соответственно до и после проведения мероприятий (мг/л); Cj - ПДК данного загрязняющего вещества в воде водоема (мг/л); V - объем сточных вод (млн. м3/год).

Проведенные водоохранные мероприятия, и соответствующие им результаты экономической эффективности можно объединить в шесть групп (таблица 1).

Общая (абсолютная) экономическая эффективность всех П до защитных затрат, рассчитанная по формуле (1), менее 0,1. Получена для 11,76 % мероприятий. Это в основном станции нейтрализации сточных вод гальванического производства, где улавливается до семи наименований вредных веществ. Экономическая эффективность, определенная по формуле (2) отрицательная, т.е. предотвращенный ущерб меньше эксплуатационных расходов. Для мероприятий этой группы средние значения приведенных затрат и расхода сточных вод, измеряемого в млн. м3/год, примем за 100 %.

Экономическая эффективность 0,1 - 0,9 (по формуле (2)) получена для 35,29 % мероприятий, улавливающих вредные вещества различного наименования, на предприятиях различного профиля. Две трети этих мероприятий дают предотвращенный ущерб ниже эксплуатационных расходов. Среднее значение приведенных затрат - 271 %, расхода сточных вод -820,22%.

Экономическая эффективность 1 - 6 получена для 8,82 % мероприятий. На этих предприятиях сточные воды очищаются от взвешенных веществ и нефтепродуктов. Предотвращенный ущерб выше эксплуатационных расходов. Экономическая эффективность, определенная по формуле (2) составляет от 0,5 до 3. Среднее значение приведенных затрат составляет 386 %. расхода сточных вод - 11895,5 %.

Экономическая эффективность 10-40 получена для 20,59 % мероприятий, половина из которых осуществлена на шахтах. Предотвращенный ущерб выше эксплуатационных расходов. Экономическая эффективность, определенная по формуле (2), составляет от 2,11 до 16,51. Среднее значение приведенных затрат 192,40 %. расхода сточных вод 7717.41 %.

Экономическая эффективность 150-600 получена для 17,64 % мероприятий, осуществленных на шахтах и металлургических заводах. Предотвращенный ущерб во много раз превосходит эксплуатационные расходы. Экономическая эффективность, определенная по формуле (2) составляет от 42 до 1047. Среднее значение приведенных затрат -177,25 %. расхода сточных вод 1421,35 %.

Экономическая эффективность более 1500 получена для 5,88% водоохранных мероприятий по удалению золы и шлака. Экономическая эффективность, определенная по формуле (2) составляет 250. Среднее значение приведенных затрат -124,76 %, расхода сточных вод - 20 393,25 %.

Таблица 1 - Результаты расчетов эффективности водоохранных мероприятий

Группа мероприятий

Экономическая эффективность

Количество мероприятий, %

Приведенные затраты, %

Расход сточных вод %

I

Менее 0.1

11.76

100

100

II

0,1-0.9

35,29

271

820,22

III

1-6

8.82

386

11895.5

IV

10-70

20.59

192,4

7717,41

V

150-600

17,64

177.25

1421.35

VI

Более 1500

5.88

124.76

20393.25


В изучаемом регионе предотвращенный ущерб не имеет прямой зависимости от степени очистки сточных вод. В то же время предотвращенный ущерб прямо пропорционален расходу сточных вод и обратно пропорционален количеству наименований улавливаемых вредных веществ (таблица 2). В рассматриваемом примере предотвращенный ущерб в 50-90 000 раз выше, когда улавливается одно соединение, чем в том случае, когда улавливается до двух - семи соединений (сточные воды гальванического производства). Такая оценка не согласуется с санитарно - гигиеническое характеристикой этих сточных вод.

Таблица 2 - Технико-экономическая характеристика вооохранных мероприятий

Количество улавливаемых ингридиентов

Количество мероприятий, %

Расход сточных вод, %

Приведенные затраты, %

Предотвращенный ущерб, %

Экономическая эффективность по формуле (1)

1

41,18

343,39

15288281

250,0

2

20,59

49500,0

595,22

2324S437

301,0

3

11,76

7133,33

386,33

10883984

49,55

4

14,71

6166,66

271,5

6921875

0,41

5

8,82

3833,33

79,46

49593,36

0,11

6

2,94

100,0

100,0

100,0

0,002


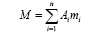
Анализ эффективности атмосфероохранных мероприятии выполнялся на вновь формирующемся территориально - производственном комплексе. Укрупненная оценка экономического ущерба рассчитывалась по формулам:вариант:


П вариант:


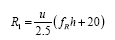
где У - оценка ущерба (руб/год) (I вариант - 9, П вариант-4); у - константа, переводящая балльную оценку ущерба в экономическую (денежную) (в этом случае для I варианта принята равной 0,25: для II - 2,0); S - показатель относительной опасности загрязнения атмосферы над различными территориями (I вариант - 1,5; II-0,3); di - безразмерная константа (I вариант - 1); Ri - коэффициент разбавления выбросов от данного источника (м/с):


где и - среднегодовое значение модуля скорости ветра (без учета направления) на уровне флюгера (м/с); fR - безразмерная константа, значение которой зависит от температуры отходящих газов; h - геометрическая высота устья над средним уровнем загрязняемой территории (м); 20(м)- поправка: М - приведенный годовой выброс загрязняющих веществ из данного источника (усл. т/год);

В таблице 3 приведены результаты расчета экономической эффективности атмосфере охранных мероприятий. По полученным данным можно сделать следующие выводы. Значения экономической эффективности, определенные по I и II вариантам, различаются на порядок. При этом предотвращенный ущерб, определенный по II варианту, ниже эксплуатационных расходов. Объяснением этому может служить то, что в настоящее время в отходящих газах улавливаются в основном твердые вещества. Опенка экономической эффективности (I вариант) превышает народнохозяйственный норматив эффективности (0,16) в 30-800 раз.

Таблица 3 - Экономическая эффективность атмосфероохранных мероприятий

Мероприятия

Капитальные вложения, %

Эксплуатационные расходы, %

Улавливание вредных веществ, %

Предотвращенный ущерб, %

Экономическая эффективность






Формула (1)

Формула (2)

Газопылеулавливание отходящих вредных веществ ГРЭС электрофильтрами типа УГЗ-4-26

100,0

100,0

Пыль (зола)-98,0

100,0 100,0

14,083 1,438

1,837 -0,396

Комплекс мероприятий по пылеулавливанию при взрывных и вскрышных работах, погрузке и вывозке на автотранспорте на угольном разрезе

26,38

5,48

Угольная пыль - 85,80 Оксид углерода - 74,9 Альдегиды - 74,82

53,98 7,70

19,588 0,29

4,861 -0,061

Комплекс Газопылеулавливающих установок при углеобогащении (циклоны-промыватели СИОТ, ЦВП)

0,20

0,235

Угольная п» ль - 99,27

28,24 38,78

114,885 14,109

Газопылеулавливающее оборудование (ФВК-90, циклоны с обратным конусом) на ремонтно-механическом заводе

0,03

0,27

Пыль - 98,00

0,35 0,01

4,718 0,0175

12,02 -3,02


где А- показатель относительной агрессивности примеси (усл. т/т); т,. - масса головного выброса примеси (т/год); д: - безразмерная константа, учитывающая характер рассеивания примеси в атмосфере (определяется в зависимости от скорости оседания частиц или степени очистки отходящих газов);

При нормировании ПДК вредных веществ в рабочей зоне (ПДКрз) используется система тестов в соответствии с концепцией «критериев вредности», которая, например, позволяет судить об изменениях конкретных показателей, выходящих за пределы физиологических (гомеостатических) норм. Учет критериев вредности при обосновании ПДКрз сближает эту процедуру с процедурой диагностики заболеваний в медицине. Сказанное свидетельствует о необоснованности усреднения двух ПДК и не позволяет считать показатель А, интегральной оценкой влияния на человека загрязненной окружающей среды с позиции критерия вредности. Были выполнены также расчеты эффективности водоохранных мероприятий по методике 4:


где У - экономическая оценка годового ущерба от годичного сброса загрязняющих примесей (руб. год); у - константа, переводящая балльную оценку ущерба в экономическую (денежную) для нашего примера принята равной 120 руб/усл. т; S - константа относительной опасности загрязнения водоема, для нашего примера 0,92; М - приведенная масса годового сброса (усл. т год) определяется по формуле:


где т, - масса годового сброса примеси (т/год): л, - показатель относительной агрессивности, усл. т/год.

Водоохранные мероприятия по степени экономической эффективности распределились следующим образом (общее количество мероприятий принято за 100 %) (таблица 4):

Таблица 4 - Водоохранные мероприятия по степени экономической эффективности

Экономическая эффективность

0,1

0,01

0,001

0,0001

0,00001

0,000001

Количество мероприятий. %

5,55

5,55

16,67

38,89

22,22

11,12


Результаты расчетов привели к следующим выводам: предотвращенный ущерб для 22,22 % водоохранных мероприятий исчисляется в тысячах рублей; для 38,89 % - в рублях и для 38,89 % - в копейках.

ЗАКЛЮЧЕНИЕ

Заданием на дипломный проект было изучить использование GRID технологии в системах мониторинга окружающей среды.

В ходе дипломного проекта был проведен обзор публикаций по Grid технологиям и проанализирована система мониторинга окружающей среды, рассмотрены вопросы интеграции систем спутникового мониторинга, выделены два возможных способа взаимодействия подобных систем: на уровне обмена данными и на уровне выполнения задач и проведена экономическая оценка эффективности системы мониторинга окружающей среды.

Более глубокую интеграцию систем обеспечивает их объединение на уровне выполнения задач, т.е. в рамках Inter-Grid инфраструктуры. Выделены основные проблемы, возникающие в процессе совместного использования Grid-систем на разных платформах, и проанализированы возможные пути их решения.

Практическое применение Grid технологий может быть широко использована во многих сферах деятельности человека, где необходимо провести сложные расчеты.

СПИСОК ИСПОЛЬЗУЕМЫХ ИСТОЧНИКОВ

1.       Высокопроизводительные вычисления на кластерах: Учебное пособие / Под ред. А.В. Старченко. - Томск: Изд-во Том. ун-та, 2008. - 198 с.

.        Куссуль Н.Н., Лупян Е.А., Шелестов А.Ю. и др. Grid технологии в системах мониторинга окружающей среды, ИКИ РАН.

.        Kopp P., Petiteville I., Shelestov A., Li G. Wide Area Grid (WAG) // Сборник тезисов конференции по космическим исследованиям. НЦУИКС. С. 209.

ПРИЛОЖЕНИЕ

Перечень продукции и контролируемые гигиенические параметры

Вид продукции

Код ОКП

Контролируемые гигиенические параметры

1

Машины вычислительные электронные цифровые, машины вычислительные электронные цифровые персональные (включая портативные ЭВМ)

40 1300, 40 1350, 40 1370

Уровни электромагнитных полей (ЭМП), акустического шума, концентрация вредных веществ в воздухе, визуальные показатели ВДТ, мягкое рентгеновское излучение*

2

Устройства периферийные: принтеры, сканеры, модемы, сетевые устройства, блоки бесперебойного питания

40 3000

Уровни ЭМП, акустического шума, концентрация вредных веществ в воздухе

3

Устройства отображения информации (видеодисплейные терминалы)

40 3200

Уровни ЭМП, визуальные показатели, концентрация вредных веществ в воздухе, мягкое рентгеновское излучение*

4

Автоматы игровые с использованием ПЭВМ

96 8575

Уровни ЭМП, акустического шума, концентрация вредных веществ в воздухе, визуальные показатели ВДТ, мягкое рентгеновское излучение*


Контроль мягкого рентгеновского излучения осуществляется только для видеодисплейных терминалов с использованием электронно-лучевых трубок.

Допустимые значения уровней звукового давления в октавных полосах частот и уровня звука, создаваемого ПЭВМ

Уровни звукового давления в октавных полосах со среднегеометрическими частотами

Уровни звука в дБА

31,5 Гц

63Гц

125 Гц

250 Гц

1000 Гц

2000 Гц

4000 Гц

8000 Гц


86 дБ

71 дБ

61 дБ

54 дБ

49 дБ

45 дБ

42 дБ

40 дБ

38 дБ

50


Измерение уровня звука и уровней звукового давления проводится на расстоянии 50 см от поверхности оборудования и на высоте расположения источника(ков) звука.

Временные допустимые уровни ЭМП, создаваемых ПЭВМ

Наименование параметров

ВДУ ЭМП

Напряженность электрического поля

в диапазоне частот 5 Гц - 2 кГц

25 В/м


в диапазоне частот 2 кГц - 400 кГц

2,5 В/м

Плотность магнитного потока

в диапазоне частот 5 Гц - 2 кГц

250 нТл


в диапазоне частот 2 кГц - 400 кГц

25нТл

Поверхностный электростатический потенциал экрана видеомонитора

500В


Допустимые визуальные параметры устройств отображения информации

Параметры

Допустимые значения

1

Яркость белого поля

Не менее 35 кд/кв.м

2

Неравномерность яркости рабочего поля

Не более ± 20%

3

Контрастность (для монохромного режима)

3:1

4

Временная нестабильность изображения (непреднамеренное изменение во времени яркости изображения экрана дисплея)

Не должна фиксироваться

5

Пространственная нестабильность изображения (непреднамеренное изменение положения фрагментов изображения экрана)

Не более 2*10L-4L, где L - расстояние наблюдения


Для дисплеев на ЭЛТ частота обновления изображения должна быть не менее 75 Гц при всех режимах разрешения экрана, гарантируемых нормативной документацией на конкретный тип дисплея и не менее 60 Гц для дисплеев на плоских дискретных экранах (жидкокристаллических, плазменных и т.п.).


Не нашли материал для своей работы?
Поможем написать уникальную работу
Без плагиата!
Без нейросетей!