Економічне районування та територіальна організація господарства

  • Вид работы:
    Курсовая работа (т)
  • Предмет:
    География, экономическая география
  • Язык:
    Украинский
    ,
    Формат файла:
    MS Word
    54,66 Кб
  • Опубликовано:
    2013-10-06
Вы можете узнать стоимость помощи в написании студенческой работы.
Помощь в написании работы, которую точно примут!

Економічне районування та територіальна організація господарства

Курсова робота

Економічне районування та територіальна організація господарства

Зміст

Вступ

Розділ І. Теорії основи економічного районування

.1 Економічний район, його головні ознаки, районоутворюючі фактори

.2 Принципи економічного районування

.3 Форми територіальної організації продуктивних сил економічних районів

.4 Типи економічних районів

Розділ ІІ. Сучасне економічне районування України

.1 Особливості районування та сучасна мережа економічних районів

.2 Територіальна структура виробничо-територіального комплексу економічного району

Розділ ІІІ. Удосконалення територіальної організації і структури народного господарства

Висновок

Список літератури

Вступ

Актуальність теми «Економічне районування та територіальна організація господарства» полягає в тому, що розвиток галузей народного господарства, виробничих комплексів, соціально-виробничої інфраструктури, а також господарств економічних регіонів став однією з найважливіших економічних і екологічних проблем не тільки в Україні, але й в інших країнах світу.

Територіальна організація господарювання вимагає обґрунтування наукових засад розміщення виробництва і підприємств з урахуванням їх економічної доцільності і ефективності та можливої екологічної шкідливості.

Розділ І. Теорії основи економічного районування

.1 Економічний район, його головні ознаки, районоутворюючі фактори

Економічне районування - об'єктивна основа територіальної організації виробництва. Економічний район - це територіально цілісна частина народного господарства країни, яка характеризується такими ознаками:

Ø  спеціалізація як основна народногосподарська функція, тобто спеціалізація району на певних виробництвах і послугах, що відповідає його географічному розташуванню, природним, економічним і соціальним умовам та спирається на соціальний поділ праці з іншими районами;

Ø  комплексність - у широкому розумінні це як взаємопов'язаність найважливіших складників економічної й територіальної структур району;

Ø  керованість - наявність певних галузей і територіальних структур, які є матеріальною основою взаємопов'язаності складних частин, що дозволяє характеризувати район як цілісну систему та організаційний осередок територіального управління народним господарством.

У загальному розумінні економічний район визначається як поняття, яке широко використовується в різних галузях знань і означає територію, що вирізняється своїми специфічними особливостями: природними, історичними, соціально-економічними тощо. Таким чином можна стверджувати, що економічний район - це певна об'єктивна реальність. У реальній дійсності виникнення і розвиток економічних районів пов'язані зі способом виробництва, рівнем розвитку і особливостями розміщення продуктивних сил. Основою формування економічних районів є територіальний поділ праці, що зумовлює виробничу спеціалізацію окремих територій і розвиток міжнародної кооперації.

У розробленні проблеми економічного районування колишнього СРСР особлива увага приділялась визначенню сутності поняття економічного району. Серед низки визначень найбільш вдалим є трактування економічного району П. Алампієвим. За його визначенням, економічний район - це географічно цілісна територіальна частина народного господарства країни, яка має свою виробничу спеціалізацію, міцні внутрішні економічні зв'язки і нерозривно пов'язана з ним частинами суспільного територіального поділу праці. Є й інші визначення поняття економічного району, але спільними для них є такі ознаки: територіальна цілісність, спеціалізоване господарство, його комплексність, тісні внутрішньорайонні і міжрайонні економічні зв'язки, особливість економіко-географічного положення.

Узагальнюючи вище наведене, можна в цілому визначити, що економічний район - це форма територіальної організації народного господарства, що утворюється на основі суспільного територіального поділу праці, виникнення і формування районних територіальних виробничих комплексів. Виходячи з позиції діалектичного підходу до розвитку і розміщення продуктивних сил і об'єктивності процесів формування економічних районів, наукою визначені районоутворюючі фактори, принципи і критерії виділення економічних районів та їх основні типи.

.2 Принципи економічного районування

Об'єктивний характер формування економічного району полягає у тому, що він охоплює найголовніше в структурі територіально-господарських зв'язків країни і є головною ланкою територіального поділу праці в масштабі держави. Разом з тим він є важливим засобом територіальної організації виробництва і об'єктом народногосподарського планування.

У науковій літературі обґрунтовується і використовується ряд факторів і принципів економічного районування.

До основних принципів належать такі:

Ø  загальний (інтегральний, міжгалузевий) економічний район має бути великою економічно цілісною територією, на якій є значні природні ресурси, необхідні для визначення його господарської спеціалізації, забезпечення сучасного і перспективного розвитку;

Ø  розміри території великих економічних районів мають відповідати вимогам скорочення перевезення масових вантажів у межах району до економічно доцільних відстаней, наближатися до їх мономасштабності, а величини економічних потенціалів районів повинні бути близькими між собою. Отже, економічний потенціал району Може визначатися кількістю населення, розмірами валового внутрішнього продукту, валової продукції промисловості і сільського господарства, вартістю основних виробничих фондів, показниками виробництва продукції на душу населення, на 1000 осіб тощо;

Ø  економічний район повинен являти собою виробничо-економічну територіальну єдність, яка утворюється розвиненими внутрішніми виробничими зв'язками, і мати спеціалізацію господарства у масштабі країни;

Ø  на території інтегрального економічного району повинен бути сформований досить потужний господарський комплекс, основу якого становлять територіальний комплекс з такою галузевою структурою:

Ø  профілюючі галузі (галузі спеціалізації району в масштабах країни), які включають до складу галузей промисловості і сільського господарства;

■ галузі, які розвиваються як суміжні з галузями попередньої групи і забезпечують комбіновану переробку сировини, а також; галузі, що обслуговують потреби галузей спеціалізації економічного району (добування і забезпечення сировини, виробництво напівфабрикатів, обладнання, ремонт обладнання, виробництво будівельних матеріалів, тари тощо);

■ галузі, які забезпечують потреби населення промисловими і продовольчими товарами, необхідними матеріалами, інвентарем, особливо в сільській місцевості.

При виокремленні економічного району повинне враховуватися економіко-географічне положення території і його вплив на спеціалізацію та розширення продуктивних сил. Також потрібно дотримуватись принципу економічного тяжіння, тобто необхідності включення в його межі основної територіальної частини або/і всієї зони формуючого впливу його головного територіально-економічного центру. До адміністративного перерозподілу територій областей економічні райони, особливо великі, повинні формуватись без порушення сьогоднішніх їх територіальних меж.

1.3 Форми територіальної організації продуктивних сил економічних районів

Територіальна структура народногосподарського комплексу складається з багатьох елементів - певних форм територіального зосередження матеріального виробництва і невиробничої сфери, об'єднаних за ознакою галузей промисловості (промисловий комплекс, сільськогосподарський комплекс, комплекс обслуговування тощо).

Усі комплекси становлять територіальні частини народного господарства, що виступають як форми територіального зосередження продуктивних сил. Виробничо-територіальні утворення - це певні форми територіального зосередження виробництва з різним рівнем комплексності. У промисловості вони виступають у двох формах: як промислові групи і як промислові комплекси. Ці форми виробничо-територіальних утворень якісно різні. Відрізняються вони між собою в першу чергу інтенсивністю внутрішніх зв'язків, характер яких можна вважати свого роду критерієм для виявлення різних форм виробничо-територіальних комплексів і промислових груп. Для промислових характерні зв'язки на основі спільності транспортно-територіального положення і територіальної близькості використовуваної інфраструктури. Для виробничо-територіальних комплексів основними є зв'язки комбінування й кооперування виробництва. Вони показують ступінь взаємозумовленості підприємств, виступають важливо структурною ознакою будь-якого складного промислового утворення.

1.4 Типи економічних районів

Вивчення територіально-господарських відмінностей у межах країни зумовлює потребу систематизації різних економічних районів. Науково-обґрунтованим є об'єктивне існування двох типів економічних районів:

Ø  галузевих;

Ø  багатогалузевих (інтегральних).

Галузеве (спеціальне) економічне районування потрібне для вивчення особливостей розміщення і проблем розвитку окремих галузей виробництва. Цей тип економічних районів виникає під впливом Закономірності територіальної концентрації підприємств окремої галузі народного господарства і пов'язаних з ними обслуговуючих Виробництв. їх територіальна локалізація залежить, в основному, від наявності на певній території необхідних передумов (ґрунтово-кліматичних і сировинних ресурсів), великого споживача продукції, добре налагоджених транспортних зв'язків тощо.

Таке галузеве спрямування можна спостерігати у сільськогосподарському виробництві, зокрема виокремлюються райони виробництва технічних і зернових культур, виноградарства і садівництва, а в промисловості-райони паливно-енергетичного комплексу, металургійної, хімічної, легкої та інших галузей індустрії.

Галузеві типи економічних районів є складовою частиною загальних (інтегральних) економічних районів. Галузеве районування посилює наукову обґрунтованість визначення території багатогалузевих (загальних) економічних районів.

Загальне (інтегральне) багатогалузеве економічне районування базується на регіональних господарських комплексах, в основі яких є територіально-виробничі комплекси різного ступеня сформованості або їх складові частини. За цим районуванням вирізняються три підтипи інтегральних економічних районів: великі (макрорайони), середні (мезорайони) і малі (мікрорайони).

ü  Великі (інтегральні) економічні райони - це поділ території країни на найбільші територіальні частини, які об'єднують кілька адміністративних областей або адміністративні області з автономною республікою. Головною метою визначення цих районів є виявлення і розмежування великих існуючих чи тих, які ще тільки формуються, територіально-виробничих комплексів для визначення напрямів їх національного розвитку і більш ефективного використання їхнього ресурсного потенціалу. Економічні райони використовуються для довгострокового прогнозування розвитку і розміщення сил, формування загальнодержавних баз промислового чи сільськогосподарського виробництва, які не можуть бути сформовані в межах тільки однієї адміністративної області. У великих економічних районах, крім спеціалізованих галузей в масштабі держави, доцільно розвивати інші основні галузі виробництва з метою оптимального використання місцевих ресурсів і зменшення ввізної продукції з інших економічних районів.

Розвиток великих економічних районів може відбуватися в країнах з територією не менше 300 тис. км2. У країнах з меншою територією формуються тільки мезо- і мікрорайони. Це райони другого і третього порядку (підтипи міжгалузевих районів).

ü  Середні (інтегральні) економічні райони більшою мірою є підрайонами великих економічних районів. Це територія однієї невеликої країни чи адміністративної області, краю, автономної республіки, тобто це територіальні одиниці економічного районування. Об'єктивною основою цього районування є територіальний поділ праці як у масштабах країни, так і в межах великих багатогалузевих (інтегральних) економічних районів. На території цих районів знаходяться територіальні центри великорайонних територіальних виробничих комплексів або їх складові. У цьому підтипі економічних районів основну районоутворюючу роль відіграють великі багатофункціональні міста, які разом з тим є найбільшими промисловими і транспортними вузлами. Ці міста є тими ядрами районів, які пов'язують їх периферію в єдине ціле.

Середні економічні райони об'єднуються у великий економічний район за допомогою районоутворюючого впливу великих регіональних центрів з системою спеціалізації і кооперування їхніх підприємств.

З метою оптимального використання наявного ресурсного потенціалу спеціалізація виробництва в цих районах здійснюється не тільки в основних галузях, а й на виробництві другорядної продукції, потрібної для кожного великого економічного району. Ці райони використовуються як для прогнозування рівня розвитку виробництва, невиробничої сфери і розроблення програм галузевого розвитку, так і для управління господарською діяльністю.

ü  Малі райони (мікрорайони) - це найнижчий ступінь інтегральних економічних районів. Вони органічно пов'язані з базовим адміністративно-господарським районуванням. їх територія відповідає території внутрішньообласних адміністративних районів. Визначення меж цих районів залежить від об'єктивних і суб'єктивних факторів. Це пов'язане з тим, що сусідні райони такого підтипу часто бувають однорідними, особливо в спеціалізованих сільськогосподарських зонах, і тому їхні межі визначаються виробничими зв'язками підприємств місцевого значення з їхніми сировинними зонами, а також територіальною організацією і управлінням всього господарства, яке здійснюється районними центрами. У таких районах основними галузями виробництва є рослинництво, тваринництво і місцева промисловість, яка в основному переробляє сільськогосподарську сировину. Виробничі об'єднання тут складають локальні агропромислові комплекси (завод, переробний цех, сировинна зона). У межах цих районів можуть бути розташовані і підприємства міжрайонного значення, які впливають на формування обласних господарських комплексів і внутрішньообласних підрайонів.

Місцеві адміністративно-господарські райони в умовах планової системи розвитку господарства і навіть в умовах переходу до ринкової економіки використовуються для поточного планування і оперативного управління розвитком виробництва. Ця функція буде змінюватися в умовах поширення приватної власності на засоби виробництва.

Розділ ІІ. Сучасне економічне районування України

.1 Особливості районування та сучасна мережа економічних районів

економічний районування територіальний господарство

Особливості районування полягають у тому, що в нинішніх умовах господарювання змінюється структура виробничої діяльності і форми власності основних виробничих фондів, а звідси і всього економічного потенціалу.

При досліджені і науковому підході розробки моделі нового економічного районування необхідно враховувати наявні заміни, які відбулися за останні 15 років: проведення приватизації у всіх сферах соціально-економічного життя, спад виробництва в галузях народного господарства, інформаційні процеси, старіння основних виробничих фондів, зниження рівня життя населення, зниження виробництва сільськогосподарської продукції, відтік за межі держави висококваліфікованих спеціалістів та трудових ресурсів тощо.

В сучасному районуванні необхідно враховувати в комплексі соціальну сторону в розвитку економіки, забезпечення населення соціально-культурними об'єктами, його духовного розвитку, зміцнення могутності своєї держави і її захисту від непередбачуваних факторів. Необхідно також враховувати територіальні диспропорції в соціально-економічному розвитку регіонів країни.

У зв'язку з цим необхідний пошук шляхів мінімізації можливих негативних наслідків територіальних нерівномірностей розвитку при розробці схем економічного районування та при комплексному плануванні розвитку території. Зокрема, варто враховувати окремі особливості проблем в розвитку регіонів: депресивних старопромислових, малорозвинутих (аграрно-індустріальних з екстремальними природними умовами), за надмірною концентрацією населення і господарства в межах великих агломерацій. Ця особливість полягає ще й в тому, що ці територіальні проблеми самостійно не може вирішити той чи інший регіон, він потребує активної підтримки з боку держави.

Щодо особливостей районування з точки зору формування регіональної економічної політики головними проблемами регіонів є:

ü  слаборозвинуті (відсталі) регіони;

ü  депресивні регіони;

ü  прикордонні регіони (області).

Ø Слаборозвинуті регіони традиційно мають низький рівень життя порівняно з більшістю регіонів країни. Регіони цієї групи знаходяться в стані застою. Для них характерна слаборозвинуті галузева структура, науково-технічний потенціал, соціальна сфера, політичні, етнічні та екологічні проблеми. Виробництво ВВП на душу населення менше 50% від середнього по країні, такий самий і розмір грошових доходів. В основному такі регіони розміщені на периферії. В цьому випадку держава повинна надавати допомогу економічно відсталим регіонам у формі розвитку інфраструктури, стимулювання потоків інвестицій, надання відповідних податкових пільг, дотацій підприємства з метою забезпечення оптимальної зайнятості працездатного населення.

Ø  Депресивні регіони - це просторово локальні утворення, в яких через економічні, політичні, соціальні, екологічні та інші причини перестають діяти стимули саморозвитку. Тут немає підстав розраховувати на самостійний вихід із кризової ситуації. Депресивними треба вважати регіони, в межах яких темпи спаду виробництва, рівня життя, зростання негативних тенденцій у сфері зайнятості, демографії, соціальних послуг тощо вищі за макрорегіональні і загальнодержавні.

Особливістю депресивності аграрних територій є зменшення чисельності населення, яке нині практично відбувається у всіх поселеннях України.

Перспективи виходу регіонів із депресії залежать від зміни макроекономічної ситуації та соціально-економічної політики, яку держава впроваджує на національному і регіональному рівнях.

Більшість проблем має вирішуватися на рівні регіону, підприємства, організації шляхом диверсифікації, конверсії, модернізації, реструктуризації, стимулювання розвитку малого бізнесу, поліпшення місцевого самоврядування, пошуку нових ринків збуту на власну продукцію.

Ø Прикордонні регіони. Відіграють важливу роль у забезпеченні безпеки, міжнародного співробітництва та організації прикордонної торгівлі. Поняття «прикордонний регіон» означає, що територія, яка до нього належить, перебуває під впливом державного кордону.

Проблемність (перспективність) прикордонних регіонів визначається в основному особливістю і характером сусідства. Якщо немає можливостей для масштабного співробітництва, то ці райони стають периферійними і, відповідно, відстають від інших територій в економічному розвитку. Прикордонні райони мають специфічні особливості в інтеграційному процесі - бар'єрність та контактність, завдяки яким вони забезпечують їх взаємну адаптацію. Завдяки підвищенню ролі прикордонних регіонів збільшуються повноваження місцевих органів влади, розширюється їх компетенція у співробітництві з органами влади відповідних територій сусідніх країн. Прикордонне співробітництво дає змогу вирішувати конкретні економічні та соціальні питання безпосередньо для прикордонних областей, зокрема поступово долати нижчий рівень економічного розвитку цих периферійних територій.

Майбутнє прикордонних регіонів залежить від ефективності регіонального управління та впровадження нових форм прикордонного міжрегіонального співробітництва.

Сучасна мережа економічних регіонів в Україні залишилася після розпаду Радянського Союзу і проголошення незалежності України. Як уже було сказано раніше, сьогодні існують три економічні райони:

ü Донецько-Придніпровський, до якого входять Дніпропетровська, Донецька, Київська, Кіровоградська, Луганська, Полтавська, Сумська, Харківська, Чернігівська області (9 областей).

Ø Південно-Західний: Вінницька, Волинська, Житомирська, Закарпатська, Івано-Франківська, Львівська, Рівненська, Тернопільська, Хмельницька, Черкаська, Чернівецька області (11 областей).

Ø  Південний Автономна республіка Крим, Запорізька, Миколаївська, Одеська, Херсонська області.

Після проголошення Україною незалежності нові наукові підходи до економічного районування держави були запропоновані у працях українських вчених: М. Паламарчука, Ф. Заставного, В. Поповкіна, М. Пістуна, О. Шаблія та ін. У різних наукових і навчальних посібниках, що видані за останні роки, обґрунтовано декілька варіантів мережі економічних районів, однак єдиної думки немає і сьогодні.

У начальному посібнику «Соціально-економічна географія України» (2008р.) за редакцією О. Шаблія виділяють шість соціально-економічних макрорайонів України: Центральний, Західний, Північно-Східний, Східний, Центрально-Східний і Південний.

Академіки НАН України Долішній М. і Паламарчук М. підтримали поділ України на шість соціально-економічних макрорайонів з невеликими уточненнями їх внутрішнього складу. При опрацюванні схеми районування автори спираються на нерозривність економічних і соціальних процесів в різних районах. Саме тому була запропонована така схема соціально-економічного районування України, яка враховує визначальну роль великих промислових центрів (міст-мільйонерів), що повинні стати осередками Українського державотворення, регіональними національно-духовними центрами.

Соціально-економічні макрорегіони мають назви: Центральний, Донецький, Західний, Придніпровський, Причорноморський, Харківський. Організаційними центрами виділених районів виступають: Київ, Донецьк, Львів, Дніпропетровськ, Одеса, Харків - найбільші міста України. У них зосереджені наукові підрозділи Національної Академії Наук України з висококваліфікованими науковими кадрами, які можуть взяти участь у розробці і реалізації державних програм соціально-економічного розвитку макроекономічних регіонів.

2.2 Територіальна структура виробничо-територіального комплексу економічного району

При розробці науковцями мережі економічних районів було виявлено дві тенденції різновидних процесів та явищ:

♦ тенденція до членування виробництва, що проявлялась у поділі праці, спеціалізації і кооперації виробництва;

♦ тенденція до інтеграції початково порізнених частин, тобто необхідності посилення виробничих взаємозв'язків у процесі виготовлення продукції.

Таким чином, ускладнення територіальної структури народного господарства вимагало подальшого розвитку теорії економічного районування. М. Колосовський запровадив поняття територіально-виробничих комплексів (ТВК). Серед багатьох властивостей ТВК відзначилася впорядкованість внутрішньої структури, де на рівні підсистем утворювалися стабільні сукупності виробництв - енерговиробничі цикли. Нові територіально-виробничі системи (ТВК і ЕВЦ) успадкували різні властивості районних комбінувань: ТВК - здатність формувати економічний район, ЕВЦ - спосіб внутрішньої самоорганізації на основі комбінування.

Народногосподарський комплекс України має досить складну територіальну структуру. В її основі лежить процес формування суспільного поділу праці, зокрема його територіальної форми, що проявляється в «закріпленні» окремих галузей виробничої і невиробничої сфери за певним територіями. Це зумовлює спеціалізацію господарства країни та її економічних районів на виробництві різних видів продукції, а також розвиток важливих галузей невиробничої сфери.

Територіальна спеціалізація господарства регіонів формується залежно від природно-ресурсних умов (рельєфу, ґрунтів, клімату, сировинних ресурсів) та економічних факторів (трудових ресурсів, собівартості продукції, цінової політики, наявність споживачів). Складаються цілі системи поєднань галузей та їх груп, що утворюють територіальну структуру народного господарства.

Територіальна структура, в широкому розумінні, відбиває певну територіальну побудову народного господарства. Вона формується залежно від диференціації, від умов розвитку виробництва і споживання, що впливає на територіальне зосередження підприємств. На основі вивчення територіальної структури господарств можна скласти уявлення про розміщення територіальних сукупностей продуктивних сил: промисловості, сільського господарства, будівництва, сфери обслуговування тощо. Територіальна структура народного господарства України формується протягом тривалого часу, але найбільше вплинули на її формування об'єктивні процеси, що відбулися за післявоєнний період. Протягом цього часу відкрито нові родовища мінеральної сировини, у декілька разів зросло виробництво внутрішнього валового продукту (ВВП), зміцніли і посилились взаємозв'язки міжнародних інтеграційних процесів. Особливо важливе реформування територіальної структури виробничих територіальних комплексів в умовах переходу до ринкових умов господарювання.

Історичний вплив на формування територіальної структури виробництва України мають такі чинники, як мінерально-сировинні ресурси, специфіка їх залягання в різних регіонах країни, водні ресурси, особливості розселення населення, наявні промислова і соціальна інфраструктура, географічне розташування і природні умови регіонів та інші фактори. Під впливом різних факторів формується народногосподарський комплекс країни - сукупність усіх галузей матеріального виробництва і невиробничої сфери, розміщених на її території, взаємозв'язаних між собою у процесі виробничої діяльності людей.

Найважливішим фактором формування територіальної структури є рівень розвитку продуктивних сил, диференціація та інтеграція виробництва. Основна рушійна сила їх утворення - це процес усуспільнення матеріального виробництва, вищою формою якого виступають виробничо-територіальні системи.

Територіальна структура народного господарства України відбиває територіальні системи різних типів і масштабів на конкретній території, де вони формуються і функціонують внаслідок галузевого і територіального поділу праці, а також процесу комплексоутворення. Структура - це не лише набір елементів (певних форм територіальної організації виробництва), а й характер взаємодії їх на основі територіального поділу праці. Розкриття характеру взаємозв'язку і взаємодії всіх складових елементів територіальної структури в народногосподарському комплексі країни досягається за допомогою комплексності - основи функціонування економічних районів будь-якого таксономічного рангу.

Комплексність - це об'єктивна закономірність розвитку економічних районів країни. Планування їх розвитку на основі комплексного підходу є важливим принципом управління народним господарством країни, а також складання перспективних планів розвитку економічних районів.

Територіальна структура народногосподарського комплексу складається з багатьох елементів - певних форм територіального зосередження матеріального виробництва і невиробничої сфери, об'єднаних за ознакою галузі або за сукупністю всіх галузей (промислово-виробний комплекс, сільськогосподарський комплекс, транспортний Комплекс, будівельний комплекс, оздоровчий (курортний) комплекс, комплекс культурного обслуговування, туристичний тощо). Усі ці комплекси становлять територіальні частки народного господарства, що Виступають як форми територіального зосередження продуктивних сил. Це не просто виділені частки народного господарства країни, а лише ті, які належать до певної системи відносин і зв'язків, що утворюють територіальну сукупність продуктивних сил.

Ø  Виробничо-територіальні комплекси - це певні форми територіального зосередження виробництва з різним рівнем їх утворень. Характерними промисловими утвореннями в народногосподарському комплексі країни варто вважати галузеві промислові центри і кущі, спеціалізовані галузеві райони і зони, багатогалузеві промислові центри, промислові вузли, промислові агломерації і багатогалузеві промислові райони. Значного поширення набули сільськогосподарські райони і зони, а також приміські зони сільського господарства. Усі вони виступають складовими взаємопов'язаними частини територіальної структури виробництва народногосподарського комплексу країни.

Вивчення особливостей структури кожного промислового утворення, його кількісного, якісного складу дає можливість поділити їх на прості, складні галузеві та складні інтегральні. До простих елементів належать галузеві і багатогалузеві центри. Вони являють собою територіально неподільні форми зосередження підприємств.

Ø  Галузевий центр - це населений пункт, що може мати одне або декілька підприємств однієї галузі, інші ж виробництва тут не представлені окремими самостійними підприємствами.

Ø  Багатогалузевий центр - це населений пункт, у якому розміщено кілька підприємств різних галузей. Обидві форми територіального зосередження виробництва належать до промислових утворень. До складних галузевих елементів належать:

ü  галузевий спеціалізований промисловий кущ;

ü  галузевий спеціалізований район;

ü  галузева спеціалізована зона.

Характерною особливістю утворення таких форм територіального зосередження виробництва є те, що вони формуються переважно з підприємств однієї галузі і територіально поділяються на галузеві центри або елементарні комплекси.

Ø  Галузеві спеціалізовані промислові кущі можуть утворюватись на базі підприємств гірничої промисловості (видобування нерудних матеріалів, вугілля, нафти, газу), лісопереробних та інших підприємств, які розміщенні в різних населених пунктах, розташованих недалеко один від одного, і які спільно виробляють кінцевий продукт, використовуючи одне джерело сировини. Промислові кущі можуть бути також багатогалузевими.

Ø  Галузеві спеціалізовані райони - це форми територіального зосередження виробництва підприємств однієї великої галузі в промислових центрах і кущах, де переважають технологічно споріднені підприємства, що використовують одну й ту ж саму сировину і випускають однорідну кінцеву продукцію. Такі райони можуть бути промисловими і агропромисловими. Виділяють також сільськогосподарські райони як один із видів аграрно-територіальних комплексів. У народному господарстві країни чітко виділяють Донецький вугільнопромисловий район, Криворізький залізорудний, Прикарпатський лісопромисловий, Закарпатський, Кримський виноградарсько-виноробний, Подільський цукробуряковий, Поліський льонопромисловий, Полтавсько-Харківський нафтогазові райони та ін.

Ø  Галузеві спеціалізовані зони - це виробничо-територіальні утворення, що являють собою об'єднання групи галузевих районів, кущів і центрів на обширній території. В народному господарстві країни вони представлені як частини великих спеціалізованих зон наприклад, великі райони залягання і видобування вугілля, нафти, руд чорних і кольорових металів, цукробурякового виробництва, льонопромислового, виноградарського виробництва.

До складних інтегральних елементів територіальної структури народногосподарського комплексу належать територіальні системи Промислових вузлів, промислових агломерацій, багатогалузевих промислових і сільськогосподарських районів.

Найбільш поширеними одиницями територіальної структури є промислові вузли. Виділяють такі основні ознаки промислових вузлів:

Þ      концентрація промислових підприємств на єдиній території;

Þ      наявність тісних виробничих, економічних, транспортних, трудових зв'язків, систем обслуговування;

Þ      спільність використання природних, трудових ресурсів, місцевої матеріально-технічної бази, виробничої і спільної інфраструктури;

Þ      спільні умови розміщення і фактори перспективи їх розвитку.

ü  Промисловий вузол - це локальний промислово-територіальний комплекс, де при взаємній близькості підприємства об'єднані між собою тісними виробничими зв'язками, спільністю транспортно-територіального положення, спільними системами інфраструктури і поселень з метою найбільш ефективного використання природних, матеріальних і трудових ресурсів. Промисловий вузол може об'єднувати промислове виробництво в одному або кількох промислових центрах на віддалі, доступній для щоденних трудових поїздок населення. У вузлі також розвинуті зв'язки між установами і організаціями, що зайняті розробкою проектної документації для промислових підприємств. Найбільш важливим фактором формування промислових вузлів є економічний, демографічний і наявність інфраструктурних елементів. Найчастіше промисловий вузол складається з кількох промислових центрів, один з яких виступає його ядром, а інші - супутниками. Такі вузли формуються переважно у високоурбанізованих районах. Так, наприклад, ядрами Лисичансько-Рубіжанського промислового вузла виступають Лисичанськ, Рубіжне, Сєверодонецьк. Промислові вузли класифікують на найбільші, великі, середні, невеликі. Критерієм для належності до певного класу є показники вартості основних промислових фондів, вартості валової продукції, чисельності промислового персоналу тощо.

ü  Промислова агломерація - це один з найбільш складних інтегральних елементів територіальної структури. Вона являє собою поєднання підприємств різних галузей промисловості у вигляді промислових центрів і вузлів, компактно розміщених на порівняно невеликій території. До промислових агломерацій входять зазвичай один-два великі промислові центри (або вузли) та розміщені навколо них промислові пункти, що майже зливаються. Розрізняють моноядерні і поліядерні типи промислових агломерацій. Прикладом першого типу може бути Харківська агропромислова агломерація, ядром якої є Харків з його промисловими підприємствами, другого - Донецько-Макіївська, яка має два чітко виражені ядра - Донецьк і Макіївку. Вони настільки тісно взаємопов'язані між собою, що утворюють єдину виробничо-територіальну систему

ü  Багатогалузевий промисловий район являє собою концентрацію великої кількості промислових підприємств, промислових центрів і вузлів, промислових агломерацій, взаємопов'язаних між собою в процесі виробництва. Порівняно з промисловим вузлом і агломерацією багатогалузевий промисловий район є системою вищого порядку, це вже великі промислові райони, на базі яких формуються регіональні економічні райони, про що мова йшла в попередньому розділі. У межах України можна виділити такі багатогалузеві промислові райони: Донецький, Придніпровський, Харківський (Північно-Східний), Київський (Центрально-Український), Подільський, Волинський, Карпатський, Причорноморський, Кримський.

ü  Агропромисловий район - це система агропромислових підприємств, кущів і вузлів на порівняно однорідній за природними умовами та економічними факторами розвитку території, де сформувався відповідний сільськогосподарський район. Такий агропромисловий район як форма територіальної організації виробництва має досить складну структуру, але є стійким територіальним, організаційним і економічним поєднанням виробництва сільськогосподарської сировини, її промислової переробки, обслуговуючих і допоміжних виробництв. Цей район є територіальним агропромисловим комплексом, в якому подвійну роль відіграє сільське господарство, що виступає провинною ланкою комплексу.

У народному господарстві країни агропромислові райони сформувалися в адміністративних областях і групах областей, які мають Однорідні природні умови для розвитку сільського господарства, а також у великих економічних районах.

Провідна роль у формуванні територіальної структури виробництва економічних районів належить тим галузям, які беруть активну участь у територіальному поділі праці, локалізуються в окремих центрах або на значній території. З цією метою розроблено схему територіальної структури виробничо-територіального комплексу економічного району2. В її основу покладено систему взаємопов'язаних між собою промислового, агропромислового, агротериторіального і транспортного комплексів.

Детальне розчленування кожного комплексу дає змогу виділити територіальні елементи, що становлять єдине ціле (систему економічного району) і вступають у взаємозв'язки на основі розвитку економіко-територіального процесу

Розділ ІІІ. Удосконалення територіальної організації і структури народного господарства

Вдосконалення територіальної структури народногосподарського комплексу країни передбачає подальший розвиток внутрішньотериторіального економічного районування, яке зводиться до виділення районів і внутрішньорайонних територіальних виробничих комплексів, оскільки межі економічного району визначаються його об'єктивною основою - системою форм територіального зосередження виробництва і зв'язками між ними.

Однією з найбільш важливих проблем подальшого комплексного розвитку економічних районів і областей є зближення рівнів їх економічного розвитку в процесі поглиблення внутрішньотериторіального поділу праці, територіальної спеціалізації господарства. Рівень економічного розвитку району (області) відбиває реально досягнутий у ньому ступінь розвитку господарства, виробництва продукції на душу населення і, в цілому, добробуту населення.

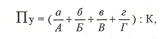
Конкретними показниками рівнів розвитку районів і областей України виступають: виробництво валової продукції промисловості, вартість основних промислово-виробничих фондів (у розрахунку на душу населення), енергоозброєність на одного працюючого, а також чисельність промислово-виробничого персоналу на 1000 чоловік населення. За цими показниками можна бачити рівень матеріального виробництва областей України. Проте абсолютна величина показника рівня економічного розвитку не дає повного уявлення про те, якого саме рівня досягнуто. Рівень розвитку можна визначити лише відносно, шляхом зіставлення показників усіх областей з показниками економічних районів і країни в цілому. Узагальнюючий показник рівня розвитку (Пу) матеріального виробництва обчислюють за формулою:


де а - валова промислова продукція регіону (області) в розрахунку на душу населення;

б - вартість основних промислово-виробничих фондів регіону (області) на душу населення;

в - чисельність промислово-виробничого потенціалу на 1000 чол. населення регіону (області);

г - валова продукція сільського господарства регіону (області) в середньому за останні п'ять років у розрахунку на душу населення; А, Б, В, Г-аналогічні показники по країні в цілому;

К - кількість показників.

Внаслідок соціально-економічних особливостей розвитку господарства, нерівномірного розміщення природно-ресурсного потенціалу та інших факторів в країні склались значні відмінності в рівнях економічного розвитку окремих областей України. За рівнем розвитку області України можна поділити на чотири основні групи:

ü  високого рівня економічного розвитку (узагальнюючий показник 1,17 і вище);

ü  середнього рівня економічного розвитку (узагальнюючий показник від 0,90 до 1,17);

ü  нижче середнього рівня економічного розвитку (узагальнюючий показник від 0,70 до 0,90);

ü  найменш економічно розвинуті області (узагальнюючий показник нижче 0,70).

Визначальним фактором вирівнювання рівня економічного розвитку областей повинне стати вдосконалення галузевої структури і територіальної спеціалізації промислового виробництва, в першу чергу пріоритетних галузей регіону та комплексного і ефективного використання наявних природно-сировинних ресурсів.

Другим важливим визначальним фактором поступального зближення рівнів соціально-економічного розвитку областей України має бути виважена політика регіонального розподілу капітальних вкладень. Сьогодні вони великою мірою концентруються у великих містах і промислових центрах, а доцільно було б перейти на систему розподілу капітальних вкладень у народне господарство з розрахунку на душу населення. Таким чином була б виявлена справедливість до всього населення України, що проживає в різнорозвинутих регіонах. Це стало б заохоченням слаборозвинутих регіонів до пошуків власних можливостей прискореного розвитку народного господарства.

Висновок

Отже, економічне районування є науковим методом територіальної організації народного господарства і, водночас, одним із засобів раціонального розміщення виробництва, вдосконалення його спеціалізації та піднесення соціально-економічного розвитку. Я думаю, що зближення рівнів соціально-економічного розвитку областей і регіонів України повинне здійснюватися на основі регіонального розміщення продуктивних сил, вдосконалення економічного районування і підвищення ефективності виробництва. Для цього потрібно передбачити прискорений розвиток тих галузей виробництва, для яких є достатній економіко-ресурсний потенціал, наявні трудові ресурси. Важливим фактором є організація використання в виробництві вторинних ресурсів і відходів виробництва, їх утилізація. Нині в усіх областях і регіонах України їх накопичилась величезна кількість. Ефективність їх використання не тільки здешевлюватиме продукцію, а й активно впливатиме на покращення екології навколишнього середовища. Сьогодні це важливо в тих областях і регіонах, де рівень гранично допустимих концентрацій значно вищий за встановлені нормативи.

Процес зближення рівнів соціального розвитку областей і регіонів має супроводжуватись відповідними змінами в структурі промислового і сільськогосподарського виробництва, що сприятиме подальшому вдосконаленню територіальних пропорцій, уточненню меж районів, підрайонів і мікрорайонів. Всі ці зміни мають ефективно впливати на зростання виробництва і піднесення добробуту населення, його духовного збагачення.

Список літератури

1. Долішній М.І. Регіональна політика на рубежі ХХ-ХХІ століття. Нові пріоритети - Київ: Наук, думка, 2009. - С. 22

2. Закономірності й фактори розвитку економічних районів України. - М.: Наука, 2008. -256с.

. Заставний Ф. Д. Географія України. - Львів: Світ, 2010. - С. 349-380.

. Колосовський Н. Н. Теорія економічного районування. - М.: Наука,2008.- 335с.

. Паламарчук М. М., Паламарчук О. М. Економічна і соціальна географія України з основами теорії: Посібник. - К.: Знання,2009. - С. 106-398.

. Регіони України: Пошук стратегії оптимального розвитку / Під ред. А. П. Роликова. - Харків: Харківський ун-т, 2010. - 304 с.

Похожие работы на - Економічне районування та територіальна організація господарства

 

Не нашли материал для своей работы?
Поможем написать уникальную работу
Без плагиата!
Без нейросетей!