|
Виды продукции
|
Объем производства, тыс.т.
|
Структура продукции, %
|
Изменения
|
Объем, зачтенный в выполнение плана по ассортименту, тыс.т.
|
|
план
|
факт
|
план
|
факт
|
Абсолютное, тыс.т
|
В структуре, %
|
Темп изменения,%
|
Доля в изменении итога, %
|
|
|
1
|
2
|
3
|
4
|
5
|
6
|
7
|
8
|
9
|
10
|
|
1.
|
406
|
405
|
67,22
|
63,48
|
-1
|
-3,74
|
-0,25
|
-2,94
|
405
|
|
2.
|
198
|
233
|
32,78
|
36,52
|
35
|
3,74
|
17,68
|
102,94
|
198
|
|
Итого:
|
604
|
638
|
100
|
100
|
34
|
0
|
5,63
|
100
|
603
|
Из таблицы 1. видно, что фактический выпуск продукции по предприятию
больше запланированного на 34 тыс.т. (с3г6).
В т.ч. по 1 виду продукции фактический выпуск продукции меньше
запланированного на 1 тыс.т. (с1г6), а по 2 виду продукции фактический выпуск
продукции больше запланированного на 35 тыс.т. (с2г6).
Изменение в структуре невелико 3,74% (г6). Доля первого вида продукции в
увеличении составила 2,94%(с1г9), а второго 102,94%(с2г9).
.2 Анализ
влияния факторов на выполнение плана по объему производства продукции
финансовый хозяйственный затраты управление
Основной задачей данного подраздела является факторный анализ выполнения
плана по объему производства продукции в натуральном выражении. Данный анализ
позволяет оценить влияние экстенсивных и интенсивных факторов на изменение
фактического объема продукции против планового уровня. Углубленно анализ
влияния экстенсивных факторов выполняется по всем составляющим баланса времени
работы оборудования:
=
=
=
, (1)
где
- календарный фонд времени работы оборудования;
-
продолжительность выходных и праздничных дней;
-
продолжительность ремонтов;
-
продолжительность текущих простоев;
-
режимный фонд времени работы оборудования;
-
номинальный фонд времени работы оборудования.
Находим
неизвестные показатели и результаты сводим в таблицу 2.
=
-
= 7900-7200=700 ч.
= 7700-
7350 = 350ч.
=
-
-
= 8760 - 700 - 7200 = 860 ч.
= 8760 -
350 - 7350 = 1060 ч.
=
-
-
-
= 8760 -
860 - 700 - 7200 = 0 ч.
= 8760
-1060 - 350 - 7350 =0 ч.
Общее
влияние интенсивных факторов разбивается на две составляющие:
, (2)
где
- отклонение объема продукции за счет изменения
производительности оборудования (общее влияние интенсивных факторов);
-
отклонение объема продукции за счет изменения соответственно интенсивности
процесса и ассортимента продукции.
, (3)
= (86,80-83,89)*7350=213,88 тыс.т.
, (4)
= (86,80-83,89)*7350=213,88 тыс.т.
, (5)
=(83,89-83,89)*7350=0 т.
где
- производительность оборудования в фактическую
единицу времени соответственно по плану, факту, плану, пересчитанному на
фактический ассортимент продукции.
*
, (6)
где
- средний коэффициент трудности по всему товарному
ассортименту соответственно по плану и факту. Определяется как средневзвешенная
величина.
=
(1,29*67,22+1,30*32,78)/100 = 1,29
=
(1,29*63,48+1,30*36,52)/100 = 1,29
=
604000/7200 = 83,89 т/час
=
638000/7350 = 86,80т/час
=
83,89*(1,29/1,29) = 83,89 т/час
Таблица 2. Обобщающая таблица влияния факторов на изменение объема
продукции
|
Факторы
|
Значение
|
Абсолютное отклонение
|
Влияние на изменение объема продукции
|
|
План
|
Факт
|
|
Размер влияния, тыс. т
|
Доля влияния, %
|
|
1
|
2
|
3
|
4
|
5
|
6
|
|
Экстенсивные факторы, час
|
|
|
|
4,2
|
0,16
|
|
Календарное время
|
8760
|
8760
|
0
|
0
|
0
|
|
Выходные и праздничные дни
|
|
|
0
|
0
|
0
|
|
Режимное время
|
8760
|
8760
|
0
|
0
|
0
|
|
Ремонты
|
860
|
1060
|
200
|
16,8
|
0,66
|
|
Номинальное время
|
7900
|
7700
|
-200
|
-16,8
|
-0,66
|
|
Текущие простои
|
700
|
350
|
-350
|
-29,4
|
-1,15
|
|
Фактическое время
|
7200
|
7350
|
150
|
12,6
|
0,49
|
|
Интенсивные факторы, т/час
|
|
|
|
21,39
|
0,84
|
|
Структура продукции
|
х
|
х
|
х
|
0
|
0
|
|
2.2 Интенсивность процесса
|
х
|
х
|
х
|
21,39
|
0,84
|
|
Итого производительность в единицу времени
|
0,084
|
0,087
|
0,003
|
22,05
|
0,86
|
|
Итого объем продукции, тыс.т
|
604
|
638
|
34
|
25,59
|
1
|
Изменение объема производства произошло за счет изменения интенсивных
факторов на 2205 тыс. т., из них за счет повышения интенсивности процесса
производства на 2139 тыс.т.
.3 Анализ
выполнения плана по объему реализации продукции
Основной задачей данного подраздела является оценка степени выполнения
плана по объему реализации продукции в стоимостном выражении.
Таблица 3
|
Виды продукции
|
Выручка от продаж, тыс. руб.
|
Структура продукции, %
|
Изменения
|
|
План
|
Факт
|
План
|
Факт
|
Абсолютн тыс. руб.
|
В струк-е, %
|
Темп изменения, %
|
Доля в измен-и итога, %
|
|
1
|
2
|
3
|
4
|
5
|
6
|
7
|
8
|
9
|
|
1.
|
2084217,24
|
2081371,95
|
65,68
|
68,48
|
-2845,29
|
2,8
|
-0,14
|
2,12
|
|
2.
|
1088924,76
|
957797,76
|
34,32
|
31,52
|
-131127
|
-2,8
|
-12,04
|
97,88
|
|
итого
|
3173142
|
3039169,71
|
100
|
100
|
-133972,29
|
0
|
-4,22
|
100
|
Анализ выполнения плана по объему реализации продукции
Из таблицы 3 видно, что фактически выручка от продаж по предприятию меньше
запланированной на 133972,29 тыс. руб. (с3г6).
В т.ч. по 1 и 2 виду продукции фактическая выручка от продаж меньше
запланированной на 2845,29 тыс. руб. (с1г6) и 131127
тыс. руб. (с2г6).
В структуре продукции по факту и по плану преобладает 1 вид
продукции, изменения в структуре составили 2,8% (г6). Темп изменения в итоге
составил -4,22% (с3г8).
.4 Анализ
влияния факторов на выполнение плана по объему реализации продукции
Основной задачей данного подраздела является факторный анализ выполнения
плана по объему реализации продукции в стоимостном выражении. Факторный анализ
по каждому виду продукции выполняется по двухфакторной мультипликативной
модели:
, (7)
где
- выручка от продаж i-ого вида
продукции;
- объем
продаж i-го вида продукции в натуральном выражении;
- цена
единицы i- ого вида продукции.

1в =
(405-406)*5133,54 = -5133,54 тыс.руб.

2в =
(233-198)*5499,62 = 192486,7 тыс.руб.

1ц =
405*(5139,19-5133,54) = 2288,25 тыс.руб.

2ц =
233*(4110,72-5499,62) = -323613,7 тыс.руб.
Таблица 4 Анализ влияния факторов первого уровня на изменение объема
реализации продукции
|
Вид продукции
|
Объем продаж, тыс. т
|
Цена, руб.
|
Выручка от продаж, тыс. руб.
|
Размер влияния на выручку, тыс. руб.
|
|
План
|
Факт
|
Абс. от-кл.
|
План
|
Факт
|
Абс. от-кл.
|
План
|
Факт
|
Абс. от-кл.
|
Объема продаж
|
Цены
|
|
1
|
2
|
3
|
4
|
5
|
6
|
7
|
8
|
9
|
10
|
11
|
12
|
|
1.
|
406
|
405
|
-1
|
5133,54
|
5139,19
|
5,65
|
2084217,24
|
2081371,95
|
-2845,29
|
-5133,54
|
2288,25
|
|
2.
|
198
|
233
|
35
|
5499,62
|
4110,72
|
-1388,9
|
1088924,76
|
957797,76
|
-131127
|
192486,7
|
-323613,7
|
|
Итог
|
604
|
638
|
34
|
5253,54
|
4763,59
|
-489,95
|
3173142
|
3039169,71
|
-133972,29
|
187353,16
|
-321325,45
|
Из таблицы 4. видно, что фактическая выручка от продаж по предприятию
меньше запланированной на 133972,29 тыс.руб.(3г10),
это произошло за счет снижения цены на 489,95 тыс. руб. (с3г7) и увеличения
объема продаж на 34 тыс. т.(с3г4).
Однако, на изменение выручки от продаж по всему товарному ассортименту
влияет не два фактора (объем продаж и цена), а три (объем продаж, цена и
структура продукции), что видно из следующей факторной модели смешанного типа.

(8)
где
- выручка от продаж по всему товарному ассортименту;
- объем
продаж всей продукции;
-
удельный вес i-ого вида продукции в ее общем объеме продаж (таблица
1). Изменения данного фактора характеризуют изменения в структуре продукции;
-
средняя цена 1 т продукции.
На
основании факторной модели (9) известными способами ДФА рассчитывается влияние
структуры продукции и собственно объема продаж:
∆
(9)

б , (10)
где
- изменение выручки от продаж всей продукции за счет
соответственно собственно объема продаж (без влияния изменений в структуре),
объема продаж (таблица 4), структуры продукции;
-объем
продаж всей продукции по факту;
б,
- соответственно средняя цена и цена единицы i-ого
вида продукции по плану;
-
изменение объема продаж всей продукции;

-
изменение удельного веса i-ого вида продукции;

стр -
изменение средней цены за счет структуры продукции.
638*13,687=
8732,58 тыс.руб.
187353,16-8732,58 =178620,58 тыс.руб.
Изменение средней цены по 1 виду продукции = (0,634-0,672)*5133,54=
-191,93 руб.
Изменение средней цены по 2 виду продукции =
(0,365-0,327)*5499,62= 205,626 руб.
Таблица 5.
Влияние изменения структуры продукции на среднюю цену
|
Виды продукции
|
Структура продукции, доли ед.
|
Цена 1 т по плану, руб.
|
Изменение средней цены, руб.
|
|
План
|
Факт
|
|
|
|
1
|
2
|
3
|
4
|
5
|
0,672
|
0,634
|
5133,54
|
-191,93
|
|
2.
|
0,327
|
0,365
|
5499,62
|
205,626
|
|
ИТОГО
|
1
|
1
|
5253,54
|
13,687
|
Из таблицы 5 видно, что средняя цена единицы продукции 1 изменилась на
-191,93 руб. (с1г5), а продукции 2 на 205,626 руб. (с2г5).
По исходным данным рассматриваемого условного предприятия допускается
производство продукции 2-ого сорта, что также влияет на изменение выручки.






(11)
где
- фактический объем продаж i-ого вида
продукции соответственно всего, 1 сорта, 2 сорта;
iб,
iбф - среднесортовая цена единицы i-ого
вида продукции соответственно по плану, плану, пересчитанному на фактическую
сортность;
-
плановая цена единицы i-ого вида продукции соответственно 1 и 2 сорта.
Среднесортовая
цена - это та цена, по которой выполнялся расчет и анализ выручки от продаж
(таблица Б1). Плановые цены 1 и 2 сорта определяются по формуле 13.
iб = 

, (12)
= 
, (13)

, (14)
где
- доля соответственно 1 и 2 сорта по i-му
виду продукции;
- скидка
с цены 1-ого сорта
=
5133,54/(1-0,2*0,0657) = 5201,15 руб.
4110,72/(1-0,2*0,0121)=4118,96
руб.
(1-0,2)*5201,15
= 4160,92 руб.
(1-0,2)*4118,96=3295,17
руб.
Цена ИТОГО по 1 сорту = (5201,15*67,22+4118,96*32,78)/100 = 4846,11руб.
Цена ИТОГО по 2 сорту = (4160,92*63,48+3295,17*36,52)/100 = 3844,75руб.
405*99,34/100=402,33
тыс.т.
233*99,28/100=231,32
тыс.т.
405*(100-99,34)/100=2,67
тыс.т.
233*(100-99,28)/100=1,68
тыс.т.
5201,15*402,33+4160,92*2,67-5133,54*405=
24604,64 тыс.руб.
4118,96*231,32+3295,17*1,68-5499,62*233=-323077,74
тыс.руб.
Таблица 6. Влияние изменения сортности на выручку от продаж
Из таблицы 6 видно, что общее изменение выручки за счет сортности
уменьшилось на 298473,1 тыс.руб.(с3г11), причем по первой продукции выручка
составила 24604,64 тыс. руб.(с1г11), а по второй уменьшилась на 323077,74 тыс.руб.(с2г11).
Таблица 7. Обобщающая таблица влияния факторов на изменение выручки от
продаж
|
Факторы
|
Размер влияния, тыс. руб.
|
Доля влияния, в %
|
|
1
|
2
|
3
|
|
Объем продаж
|
187353,16
|
-139,84
|
|
Собственно объем
|
178620,58
|
-133,33
|
|
Структура продукции
|
8732,58
|
-6,52
|
|
Цена
|
-321325,45
|
239,84
|
|
Собственно цена
|
-22852,35
|
17,06
|
|
Сортность
|
-298473,1
|
222,79
|
|
ИТОГО
|
-133972,29
|
200
|
По результатам таблицы 7 видно, что размер влияния факторов на изменение
выручки от продаж составило -133972,29 тыс.руб. (с7г2), это произошло за счет
увеличения объема продаж на 187353,16 тыс.руб.(с1г2) и снижения цены на
321325,45 тыс.руб.(с4г2). Влияние изменения сортности на изменение выручки от
продаж составило -298473,1 тыс.руб.(с6г2), что говорит от увеличении выхода
первого сорта по обоим видам продукции.
2. Анализ
социальных результатов
.1
Общая оценка трудовых показателей
Фонд заработной платы работающих рассчитывается умножением затрат на
заработную плату на 1 т продукции (зарплатоемкость) на соответствующий объем
всей продукции.
ФЗПрщп = 89,2*604 = 53876,8 тыс.руб.
ФЗПрщф = 90,5*638 = 57739 тыс.руб.
ФЗПрп = 53876,8*88,21/100 =47524,73 тыс.руб.
ФЗПрф = 57739*86,86/100 =50152,1 тыс.руб.
Зеп = ФЗПрщп/Вырп = 53876,8/604 = 89,2 руб./т.
Таблица 8.
Анализ основных трудовых показателей
|
Показатели
|
Значение
|
Изменения
|
|
План
|
Факт
|
Абсол-ое
|
Темп измен, %
|
|
1
|
2
|
3
|
4
|
5
|
|
1. Объем продукции, тыс.т
|
604
|
638
|
-34
|
5,63
|
|
тыс.руб.
|
3173142
|
3039169,71
|
-133972,29
|
-4,22
|
|
2. Фонд заработной платы, тыс.руб.:
|
|
|
|
|
|
- работающих
|
53876,8
|
57739
|
3862,2
|
7,17
|
|
- рабочих
|
47524,73
|
50152,1
|
2627,37
|
5,53
|
|
3. Численность работающих, чел
|
610
|
595
|
-15
|
-2,46
|
|
в том числе рабочих, чел
|
542
|
519
|
-23
|
-4,24
|
|
4. Доля рабочих в общей численности, %
|
88,85
|
87,23
|
-1,62
|
-1,82
|
|
5. Производительность труда одного работающего, т/чел
|
990,16
|
1072,23
|
82,07
|
8,29
|
|
тыс. руб/чел
|
5201,87
|
5107,85
|
-94,02
|
-1,81
|
|
6. Производительность труда одного рабочего, т/чел
|
1114,39
|
1229,28
|
114,89
|
10,31
|
|
тыс. руб/чел
|
5854,51
|
5888,82
|
1,31
|
0,02
|
|
7. Среднегодовая зарплата, тыс. руб: - работающего
|
88,32
|
97,04
|
8,72
|
9,87
|
|
- рабочего
|
87,68
|
96,63
|
8,95
|
10,21
|
|
8. Зарплатоемкость продукции, руб/т
|
89,2
|
90,5
|
1,3
|
1,46
|
|
руб/руб
|
0,017
|
0,018
|
0,001
|
5,88
|
По результатам аналитической таблица 8 можно сделать следующие выводы:
Ø объем продукции в натуральном выражении уменьшился на 34
тыс.тонн (с1г4), а в стоимостном выражении уменьшился на 133972,29 тыс.руб. (
с2г4);
Ø производительность труда одного работающего в натуральном
выражении увеличилась на 82,07 т./чел.(с9г4), а в стоимостном выражении
уменьшилась на 94,02 тыс. руб./чел. (с10г4);
Ø производительность труда одного рабочего в натуральном
выражении увеличилась на 114,89 т./чел. (с11г4) и в стоимостном выражении
увеличилась на 1,31 тыс.руб./чел. (с12г4);
Ø среднегодовая заработная плата работающего увеличилась на
8,72 тыс. руб.(с13г4), это произошло за счет увеличения фонда заработной платы
работающего на 3862,2 тыс.руб. (с4г4) и снижения
численности работающих на 15 чел. (с6г4);
Ø среднегодовая заработная
плата рабочего увеличилась на 8,95 тыс. руб. (с14г4) , за счет увеличения фонда
заработной платы рабочих на 2627,37 тыс.руб. (с5г4), а также за счет снижения
численности рабочих на 23 чел. (с7г4).
2.2 Анализ
обеспеченности рабочей силой
Основной задачей данного подраздела является оценка обеспеченности
предприятия трудовыми ресурсами по категориям и в целом по всем работающим.
Таблица 9. Анализ выполнения плана по численности персонала
|
Категории персонала
|
Численность, чел.
|
Структура персонала, %
|
Изменения
|
|
План
|
Факт
|
План
|
Факт
|
Абсолютное, чел,
|
В структуре, %
|
Темп изменения, %
|
Доля в изменении итога, %
|
|
1
|
2
|
3
|
4
|
5
|
6
|
7
|
8
|
9
|
|
1.Рабочие
|
542
|
519
|
88,85
|
87,23
|
-23
|
-1,62
|
-4,24
|
153,33
|
|
2.Руководители
|
18
|
22
|
2,95
|
3,68
|
4
|
0,73
|
22,22
|
-26,67
|
|
3.Специалисты
|
39
|
35
|
6,39
|
5,88
|
-4
|
-0,51
|
-10,26
|
26,67
|
|
4.Служащие
|
11
|
19
|
1,81
|
3,21
|
8
|
1,4
|
72,75
|
-53,33
|
|
ИТОГО
|
610
|
595
|
100
|
100
|
-15
|
0
|
-2,46
|
100
|
Из таблицы 9 видно, что общая численность работающих сократилась на 15
чел.(с5г6), из них количество рабочих сократилось на 23(с1г6) чел., количество
руководителей выросло на 4 чел.(с2г6), специалистов уменьшилось на 4 чел.(с3г6)
и количество служащих увеличилось на 8 чел.(с4г6).
В структуре персонала удельный вес рабочих в общей массе сократился на
1,62% (с1г7), руководителей увеличился на 0,73% (с2г7), специалистов сократился
на 0,51% (с3г7), служащих увеличился на 1,4% (с4г7).
2.3 Анализ
влияния факторов на выполнение плана по производительности труда
Задачей этого подраздела является анализ влияния факторов на изменение
производительности труда.
С учетом результатов факторного анализа, выполненного в подразделе 1.2, а
также используя способ долевого участия, ∆ ПрщР можно разбить на две
составляющие:
, (15)
Таблица
10. Обобщающая таблица
влияния факторов на изменение производительности труда одного работающего
|
Факторы
|
Значение
|
Абсолютное отклонение
|
Влияние на изменение производительности
|
|
План
|
Факт
|
|
Размер влияния, т/чел
|
Доля влияния, %
|
|
1
|
2
|
3
|
4
|
5
|
6
|
|
1. Фондовооруженность труда одного работающего,
тыс.руб/чел
|
1886,72
|
1963,03
|
76,31
|
40,34
|
57,38
|
|
2. Доля активной части основных фондов, доли единиц
|
0,49
|
0,52
|
0,03
|
63,53
|
90,37
|
|
3. Время работы на рубль стоимости активной части основных
фондов, час/тыс.руб
|
0,01286
|
0,01205
|
-0,00081
|
-69,36
|
-98,66
|
|
4. Производительность оборудования, т/час
|
83,89
|
86,80
|
2,91
|
35,79
|
50,91
|
|
4.1.Интенсивность процесса
|
х
|
х
|
х
|
35,79
|
50,91
|
|
4.2.Ассортимент продукции
|
х
|
х
|
х
|
0
|
0
|
|
ИТОГО производительность труда одного работающего, т/чел
|
997,37
|
1067,67
|
70,3
|
70,3
|
100
|
где
,
-
изменение производительности труда одного работающего за счет изменения
соответственно интенсивности производственного процесса и ассортимента
продукции.
=
= ((86,80-83,89)/(86,80-83,89))* 35,79= 35,79 т/чел.
=
= ((83,89-83,89)/(86,80-83,89)*35,79 = 0 т/чел.
Из
таблицы 10 видно, что увеличение производительности труда на 70,3 т/чел.(с7г5)
произошло за счет повышения интенсивности процесса на 35,79 т/чел. (с5г5) .
2.4
Анализ выполнения плана по фонду заработной платы
Анализ использования трудовых ресурсов и уровня производительности труда
необходимо рассматривать в тесной связи с оплатой труда. Основной задачей
данного подраздела является анализ выполнения плана по фонду заработной платы
по категориям и в целом по всем работающим.
Таблица 11. Анализ выполнения плана по фонду заработной платы
|
Категории персонала
|
Фонд заработной платы, тыс. руб.
|
Структура фонда, %
|
Изменения
|
|
План
|
Факт
|
План
|
Факт
|
Абсолютное, тыс. руб.
|
В структуре, %
|
Темп изменен, %
|
Доля в изменении итога, %
|
|
1
|
2
|
3
|
4
|
5
|
6
|
7
|
8
|
9
|
|
1.Рабочие
|
47524,73
|
50152,09
|
88,21
|
86,86
|
2627,36
|
-1,35
|
5,53
|
68,03
|
|
2.Руководители
|
1950,34
|
2338,43
|
3,62
|
4,05
|
388,09
|
0,43
|
19,89
|
10,05
|
|
3.Специалисты
|
3986,88
|
3949,35
|
7,40
|
6,84
|
-0,56
|
-0,94
|
-0,97
|
|
4.Служащие
|
414,85
|
1299,13
|
0,77
|
2,25
|
884,28
|
1,48
|
213,16
|
22,89
|
|
ИТОГО
|
53876,8
|
57739
|
100
|
100
|
3882,2
|
0
|
7,21
|
100
|
Из таблицы 11 видно, что общий фонд заработной платы увеличился на 3882,2
тыс.руб. (с5г6), в том числе увеличился ФЗП рабочих на 2627,36 тыс.руб. (с1г6),
увеличился ФЗП руководителей на 388,09 тыс.руб. (с2г6), сократился ФЗП
специалистов на 37,53 тыс.руб. (с3г6), увеличился ФЗП служащих на 884,28
тыс.руб. (с4г6).
Наибольшее значение доли в изменении итога имеет изменение ФЗП рабочих
(68,03%), наименьшее изменение - ФЗП специалистов (-0,97%).
2.5 Анализ
влияния факторов на выполнение плана по фонду заработной платы
Основной задачей данного подраздела является факторный анализ выполнения
плана по фонду заработной платы. Факторный анализ по каждой категории
работающих выполняется по двухфакторной мультипликативной модели:
, (16)
где
- фонд заработной платы i-ой категории
работающих;
-
численность работников i-ой категории работающих;
-
средняя заработная плата i-ой категории работающих.
ЗПсред.раб..п
= 47524730/542 = 87684 руб.
ЗПсред.раб..ф
=50152090/519 = 96632,16 руб.
ЗПсред.рук..п
=1950340/18= 108352,22 руб.
ЗПсред.рук..ф
= 12338430/22 = 106292,27 руб.
ЗПсред.спец.п
= 3986880/39 = 102227,69 руб.
ЗПсред.спец.ф
= 3949350/35 = 112838,57руб.
ЗПсред.служ.п
= 414850/11 = 37713,64 руб.
ЗПсред.служ.ф
= 1299130/19 = 384138,26 руб.
Рассчитаем
размер влияния на фонд заработной платы численности:
ФЗПр = ∆Чр*Зр = -23*87684 = -2016,73тыс.руб.
ФЗПрук. = ∆Чрук.*Зрук. = 4*108352,22 = 433,41 тыс.руб.
ФЗПспец. = ∆Чспец.*Зспец = -4*102227,69 = -408,91 тыс.руб.
ФЗПслуж. = ∆Чслуж.*Зслуж = 8*37713,64 = 301,71 тыс. руб.
Размер влияния на фонд заработной платы средней заработной платы:
ФЗПр = Чр*∆Зр =519*8948,16 = 4644,1 тыс.руб.
ФЗПрук. = Чрук.* ∆Зрук. = 22* (-2059,95) = -45,32 тыс.руб.
ФЗПспец. = Чспец.* ∆Зспец = 35*10610,88 = 371,38 тыс.руб.
ФЗПслуж. = Чслуж.* ∆Зслуж = 19*30661,62= 582,57 тыс.руб.
Результаты расчетов заносим в таблицу №12
Таблица 12. Анализ влияния факторов первого уровня на изменение фонда
заработной платы

Из таблицы 12 видно, что увеличение общего фонда заработной платы
работающих на 3862,2 тыс.руб.(с5г10) произошло за счет влияния сокращения
численности персонала на 15 человек (с5г4), которое составило -1690,52 тыс.руб.
(с5г11), и влияния изменения заработной платы в среднем каждого работающего на
5552,73 тыс.руб. (с5г12).
Однако на изменение фонда заработной платы влияют не два фактора
(численность и средняя зарплата), а три (численность, средняя зарплата и
структура персонала), что видно из следующей факторной модели смешанного типа.
(17)
где
- фонд зарплаты всех работающих;
-
численность работающих;
-
удельный вес i-ой категории работающих в общей численности персонала
(таблица 9). Изменения данного фактора характеризуют изменения в структуре
персонала;
-
средняя зарплата одного работающего.
На
основании факторной модели (22) известными способами ДФА рассчитывается влияние
изменения собственно численности и структуры работающих:

(18)
=
592*(-622,88) = - 368389,76 руб.
(19)
=
-1690,52- (-368389,76) = 366699,24 руб.
где
- изменение фонда заработной платы за счет
соответственно собственно численности работающих (без влияния изменений в
структуре), численности работающих (таблица 12), структуры персонала;
-
численность работающих по факту;
,
- соответственно средняя зарплата и средняя зарплата i-ой
категории работающих по плану;
-
изменение численности работающих;

-
изменение удельного веса i-ой категории персонала;
-
изменение средней зарплаты за счет структуры персонала.
Таблица 13. Влияние изменения структуры персонала на среднюю заработную
плату
Из таблицы 13 видно, что сокращение заработной платы на 622,88 руб.
(с5г5) произошло за счет изменения в структуре персонала, а именно увеличилась
средняя заработная плата руководителей на 790,97 руб. (с2г5) и служащих 527,99
руб. (г4г5); уменьшилась средняя заработная плата рабочих на 1420,48 руб.
(с1г5), специалистов на 521,36 руб. (с3г5).
Таблица 14. Обобщающая таблица влияния факторов на изменение фонда
заработной платы
|
Факторы
|
Размер влияния, тыс. руб.
|
Доля влияния, в %
|
|
1
|
2
|
3
|
|
1. Численность персонала
|
-1690,52
|
-43,77
|
|
1.1.Собственно численность
|
-1321,78
|
-34,22
|
|
1.2.Структура персонала
|
-368,74
|
-9,55
|
|
2. Средняя зарплата
|
5552,73
|
143,77
|
|
ИТОГО
|
3862,21
|
100
|
Как видно из таблицы 14 увеличение общего фонда заработной платы на
3862,21 тыс.руб.(с5г2) произошло за счет влияния изменения заработной платы в
среднем каждого работающего, которое составило 5552,73 тыс.руб.(с4г2) и влияния
сокращения численности персонала на 15 человек, которое составило -1690,52
тыс.руб.(с1г2) (причем размер влияния за счет собственно численности составил
-1321,78 тыс.руб.(с2г2), а размер влияния за счет изменения в структуре
персонала составил -368,74 тыс.руб.(с3г2)).
3.
Анализ затрат на производство продукции
.1 Анализ себестоимости отдельных видов продукции
Анализ себестоимости продукции имеет очень важное значение, так как от
уровня этого показателя зависят финансовые результаты деятельности, темпы
расширенного воспроизводства, финансовое состояние предприятия.
=((386,88*604)/(1,29*406+1,3*198))*1,29
=385,90 руб.
= 388,89
руб.
((390,89*638)/(1,29*405+1,3*233))*1,29
= 389,79 руб.
392,81
руб.
где
- расходы по переделу и общехозяйственные расходы
соответственно на единицу i-ого вида и в среднем на единицу продукции (таблица
А3);
-
коэффициент трудоемкости по i-му виду продукции.
Затраты на весь объем продукции (всего) в таблице 15 рассчитываются
умножением количества и суммы на единицу продукции по соответствующим статьям
затрат на плановый или фактический объем продукции.
Факторный анализ затрат по статьям «Задано» и «Отходы» выполняется по
модели:
(20)
где
- материальные затраты по статьям «Задано» и
«Отходы»;
-
удельный расход материалов на производство i-ого вида
продукции;
- цена
единицы материала при производстве i-ого вида продукции;
Изменение материальных затрат по статье «Задано»:
=
(1,04-1,058)*2963*406 = -21,65 млн.руб.
=
1,04*(3102-2963)*406 = 58,69 млн.руб.
=
1,04*3102*(405-406) = -3,23 млн.руб.
=
(1,048-1,059)*3027*198 = -6,59 млн.руб.
=
1,048*(3477-3027)*198 = 93,38 млн.руб.
=
1,048*3477*(233-198) = 127,54 млн.руб.
Изменение
материальных затрат по статье «Отходы»:
=
(0,04-0,058)*1184*406 = -8,65 млн.руб.
=
0,04*(1112-1184)*406 = -1,17 млн.руб.
=
0,04*1112*(405-406) = -0,044 млн.руб.
=
(0,048-0,059)*1095*198 = -2,38 млн.руб.
=
0,048*(1153-1095)*198 = 0,55 млн.руб.
=
0,048*1153*(233-198) = 1,94 млн.руб.
Факторный
анализ затрат по статье «Расходы по переделу и ОХР» выполняется по
мультипликативной двухфакторной модели:
=
(21)
=
(0,389-0,386)*406 = 1,22 млн.руб.
=
0,389*(405-406) = -0,39 млн.руб.
=
(0,393-0,389)*198 = 0,79 млн.руб.
=
0,393*(233-198) = 13,76 млн.руб.
Полученные результаты заносятся в таблицы 15 и 16.
Таблица 15.1 Анализ себестоимости первого вида продукции
Как видно из таблицы 15.1:
Ø Производственная себестоимость 1 вида продукции увеличилась
на 44,32 млн.руб.(5г12), за счет сокращения
объема производства на 3,58 млн.руб.(с5г13), уменьшения удельного расхода
материалов на 11,78 млн.руб. (с5г14) и увеличения цены на 59,86 млн.руб.
(с5г15);
Ø Материальные затраты по статье «Задано» увеличились на 34,13
млн.руб.(с1г12) за счет сокращения объема производства на 3,23 млн.руб.
(с1г13), уменьшения удельного расхода материалов на 21,65 млн.руб.(с1г14) и
увеличения цены на 58,69 млн.руб. (с1г15);
Ø Материальные затраты по статье «Отходы» сократились на 10,19
млн.руб. (с2г12) за счет сокращения объема производства на 0,044 млн.руб.
(с2г13), уменьшения удельного расхода материалов на 8,65 млн.руб. (с2г14) и
уменьшения цены на 1,77 млн.руб. (с2г15);
Ø Расходы по переделу и ОХР увеличились на 0,83 млн.руб.(с4г12)
за счет сокращения объема производства на 0,39 млн.руб.(с4г13) и увеличения
удельного расхода материалов на 1,22 млн.руб. (с4г14).
Таблица 15.2 Анализ себестоимости второго вида продукции
Как видно из таблицы 15.2:
Ø Производственная себестоимость 2 вида продукции увеличилась
на 228,87 млн.руб. (с5г12), за счет увеличения объема производства на 139,36
млн.руб. (с5г13) , уменьшения удельного расхода материалов на 3,42 млн.руб.
9с5г14) и увеличения цены на 92,83 млн.руб. (с5г15);
Ø Материальные затраты по статье «Задано» увеличились на 214,23
млн.руб.(с1г12) за счет увеличения объема производства на 127,54млн.руб.
(с1г13), уменьшения удельного расхода материалов на 6,59 млн.руб.(с1г14) и
увеличения цены на 93,38 млн.руб. (с1г15);
Ø Материальные затраты по статье «Отходы» увеличились на 0,1
млн.руб.(с2г12) за счет увеличения объема производства на 1,94 млн.руб. (с2г13),
уменьшения удельного расхода материалов на 2,38 млн.руб.(с2г14) и увеличения
цены на 0,55 млн.руб. (с2г15);
Ø Расходы по переделу и ОХР увеличились на 14,55 млн.руб.
(с4г12) за счет увеличения объема производства на 13,76 млн.руб. (с4г13) и
увеличения удельного расхода материалов на 0,79 млн.руб. (с4г14).
3.2 Анализ
себестоимости всей произведенной продукции
В данном подразделе выполняется анализ себестоимости всей произведенной
продукции.
На себестоимость всей продукции влияет не только изменение ее объема
производства, но и изменение ее ассортимента. Влияние данных факторов по
статьям «Задано» и «Отходы» очевидно из следующей модели:
(22)
где
- материальные затраты по всему товарному
ассортименту;
- объем
продаж всей продукции;
- удельный вес i-ого вида
продукции в ее общем объеме продаж (таблица 1). Изменения данного фактора
характеризуют изменения в структуре продукции;
-
средняя материалоемкость 1 т продукции.
=
(1272,40*63,48/100+848,82*36,52/100)/604 = 1,85 млн.руб./т.
=
(1306,53*63,48/100+848,82*36,52/100)/638 = 4,71 млн.руб./т.
=(1272,40*67,22/100+634,59*36,52/100)/604=1,8
млн.руб./т.
Изменение
материальных затрат по строке «Задано»:
=
2155,35-1906,99 = 248,36 тыс.руб.
=
(638-604)*0,6722*2,963*1,058 = 71,65 млн.руб.
=
638*(3,102-2,963)*0,6722*1,058 = 63,07 млн.руб.
=
638*3,102*(0,6348-0,6722)*1,058 = -78,31 млн.руб.
=
638*3,102-0,6348*(1,04-1,058) = -22,61 млн.руб.
=
(638-604)*0,3278*3,027*1,059 = 35,73 млн.руб.
=
638*(3,477-3,027)*0,3278*1,059 = 99,66 млн.руб.
= 638*3,477*(0,3652-0,3278)*1,059 =87,86 млн.руб.
= 638*3,477*0,3652*(1,048-1,059) = -8,91 млн.руб.
Изменение материальных затрат по строке «Отходы» считается аналогично.
На основании факторной модели известными способами ДФА рассчитывается
влияние структуры продукции и собственно объема продаж:
, (23)
(24)
где
- изменение затрат на производство всей продукции по
статьям «Задано» и «Отходы» за счет соответственно собственно объема продаж
(без влияния изменений в структуре), объема продаж (таблица 4), структуры
продукции;
-
средняя плановая материалоемкость в пересчете на фактическую структуру
продукции.
Значение
- результат суммирования аналогичных значений по
видам продукции.
Влияние
данных факторов по статье «Расходы по переделу и ОХР» очевидно из следующей
модели:
(25)
где
- расходы по переделу и ОХР по всему товарному
ассортименту;
На
основании факторной модели известными способами ДФА рассчитывается влияние
структуры продукции и собственно объема продаж:
, (26)
,(27)
где
- изменение затрат на производство всей продукции по
статье «Расходы по переделу и ОХР» за счет соответственно собственно объема
продаж (без влияния изменений в структуре), объема продаж, структуры продукции.
Значение
- результат суммирования аналогичных значений по
видам продукции.
Таблица 16. Анализ себестоимости всей продукции
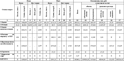
Из таблицы 16 видно, что увеличение производственной себестоимости всей
продукции на 242461,1 тыс.руб. (с8г12) произошло за
счет увеличения собственно объема на 109929,28 тыс.руб. (с8г13), изменения
ассортимента на 5159,66 тыс.руб. (с8г14), изменения удельного расхода
материалов (в том числе собственно удельного расхода на - 40844,34 тыс.руб.(
с8г15) и состава заданного на -112,103 тыс.руб. (с8г16)), изменения цены на
168216,45 тыс.руб. (с8г17), изменения расходов по переделу и ОХР на 14,813
тыс.руб. (с4г12).
Также на изменение производственной себестоимости повлияло
изменение сортности на -17,55 млн.руб.(с6г12) и корректив по УПР на -5,27
млн.руб.(с7г12).
Из таблицы 17 видно, что изменение расходов по переделу и ОХР на 1772,64
тыс.руб. (с24 г12) произошло за счет изменения собственно удельного расхода
материалов на 368,78 тыс.руб. (с24 г13), изменения состава заданного на 919,68
тыс.руб. (с24г14), изменения цены на 484,18 тыс.руб. (с24г15).
4.Анализ финансовых результатов
4.1 Анализ выполнения плана по показателям прибыли и рентабельности
продаж
Финансовые результаты деятельности предприятия характеризуются суммой
полученной прибыли и уровнем рентабельности.
Таблица 18. Анализ выполнения плана по прибыли
|
Показатели
|
Значения, тыс. руб.
|
Структура, в % к выручке
|
Изменения
|
|
План
|
Факт
|
План
|
Факт
|
Абсолютное, тыс. руб.
|
В структуре, %
|
Темп изменения, %
|
|
1
|
2
|
3
|
4
|
5
|
6
|
7
|
8
|
|
1.Выручка от продаж,
|
3173142
|
3039169,71
|
100
|
100
|
-133972
|
0
|
-4,22
|
|
в том числе: 1 вид
|
2084217,24
|
2081371,95
|
100
|
100
|
-2845,29
|
0
|
-0,14
|
|
2 вид
|
1088924,76
|
957797,76
|
100
|
100
|
-131127
|
0
|
-12,04
|
|
2. Себестоимость продукции,
|
2100452
|
2373423
|
66,19
|
78,09
|
272971
|
11,9
|
12,99
|
|
в том числе: 1 вид
|
1401512
|
1445850
|
67,24
|
69,47
|
44338
|
2,23
|
3,16
|
|
2 вид
|
698940
|
927573
|
64,19
|
96,84
|
228633
|
32,65
|
32,71
|
|
3.Валовая прибыль,
|
1072690
|
665746,71
|
33,81
|
21,91
|
-406940,3
|
-11,9
|
-37,93
|
|
в том числе: 1 вид
|
682702,24
|
635521,95
|
32,76
|
30,53
|
-47180,3
|
-2,23
|
-6,91
|
|
2 вид
|
389984,76
|
30224,76
|
35,81
|
3,16
|
-359760
|
-32,65
|
-92,25
|
|
4. Коммерческие расходы
|
69314,92
|
92563,49
|
2,18
|
3,04
|
23248,57
|
0,86
|
33,54
|
|
5. Прибыль от продаж
|
1003375,08
|
573183,22
|
31,62
|
18,86
|
-430191,86
|
-12,76
|
-42,87
|
Из таблицы 18 видно, что выручка от продаж сократилась на 133972 тыс.
руб.(с1г6), себестоимость продукции увеличилась на 272971тыс. руб. (с2г6),
валовая прибыль сократилась на 406940,3 тыс. руб.(с3г6), коммерческие расходы
увеличились на 23248,57 тыс. руб. (с4г6), прибыль от продаж сократилась на 430191,86
тыс.руб. (с5г6). Для определения причин, вызвавших изменение общей
рентабельности продаж (по валовой прибыли), целесообразно выполнить факторный
анализ данного показателя по следующей модели:
, (32)
где
- общая рентабельность продаж (по валовой прибыли);
-
индивидуальная рентабельность продаж i-ого вида продукции;
-
удельный вес i-ого вида продукции в выручке (таблица 3).
=
(0,6848-0,6568)*48,71+(0,3152-0,3432)*55,79 = - 0,2%
=
(0,6848*(-4,76))+(0,3152*(-52,53)) = -19,82%
Таблица 19. Анализ влияния факторов на изменение рентабельности продаж
Из таблицы 19 видно, что снижение рентабельности продаж по продукции в
целом на 20,02 % произошло из-за снижения рентабельности на 0,2% за счет
изменения в структуре продукции и уменьшения рентабельности на 19,82% за счет
изменения в индивидуальной рентабельности продаж.
4.2 Анализ
влияния факторов на выполнение плана по валовой прибыли
Основной задачей данного подраздела является факторный анализ выполнения
плана по валовой прибыли. Факторный анализ по каждому виду продукции
выполняется по трехфакторной мультипликативной модели:
(33)
где
- валовая прибыль по i-ому виду
продукции;
-
производственная себестоимость единицы i-ого вида
продукции.
=
(405-406)*(5133,54-3452) = -1681,54 тыс.руб.
=
405*(5139,19-3452)-405*(5133,54-3452) = 2288,25 тыс.руб.
=
405*(5139,19-3570)-405*(5139,19-3452) = -47790 тыс.руб.
=
(233-198)*(5499,62-3530) = 68936,7 тыс.руб.
=233*(4110,72-3530)-233*(5499,62-3530)
= -323613,7 тыс.руб.
=
233*(4110,72-3981)-233*(4110,72-3530) = -105083 тыс.руб.
По
всей продукции влияние указанных факторов определяется суммированием
результатов факторного анализа по видам продукции. По выполненным расчетам
составляется таблица 20.
Таблица 20. Анализ влияния факторов первого уровня на изменение валовой
прибыли
|
Виды прод
|
Валовая прибыль, тыс.руб.
|
Размер влияния на прибыль, тыс.руб.
|
|
План
|
Факт
|
Абс. отклонен
|
объема продаж
|
цены
|
себестоимости
|
|
1
|
2
|
3
|
4
|
5
|
6
|
7
|
|
1.
|
682702,24
|
635521,95
|
-47180,3
|
-1681,54
|
2288,25
|
-47790
|
|
2.
|
389984,76
|
30224,76
|
-359760
|
68936,7
|
-323613,7
|
-105083
|
|
ИТОГО
|
1077690
|
-406940,3
|
67255,16
|
-321325,45
|
-152873
|
Из таблицы 20 видно, что сокращение валовой прибыли в целом на 406940,3
тыс.руб.(с3г4) произошло из-за увеличения объема продаж на 67255,16 тыс.руб.
(с3г5), за счет сокращения цен на продукцию на 321325,45 тыс. руб. (с3г6), а
также уменьшения себестоимости на 152873 тыс. руб. (с3г7).
Таблица 21 Влияние изменения структуры продукции на среднюю удельную
прибыль
|
Виды продукции
|
Структура продукции, доли ед.
|
Удельная прибыль по плану, руб
|
Изменение удельной прибыли, руб
|
|
План
|
Факт
|
|
|
|
1
|
2
|
3
|
4
|
5
|
|
1.
|
0,6722
|
0,6348
|
1681,54
|
47,08
|
|
2.
|
0,3278
|
0,3652
|
1969,62
|
-55,15
|
|
ИТОГО
|
1
|
1
|
1776,54
|
-8,07
|
Таблица 22. Обобщающая таблица влияния факторов на изменение валовой
прибыли
|
Факторы
|
Размер влияния, тыс. руб.
|
Доля влияния, в %
|
|
1
|
2
|
3
|
|
1. Объем продаж
|
67255,16
|
-16
|
|
1.1. Собственно объем продаж
|
72403,82
|
-17
|
|
1.2. Структура реализованной продукции
|
-5148,66
|
0,01
|
|
2. Цена реализации
|
-321325,45
|
78
|
|
2.1. Собственно цена
|
-22852,35
|
5
|
|
2.2. Сортность продукции
|
-298473,1
|
73
|
|
3. Себестоимость реализованной продукции
|
-152873
|
37
|
|
3.1. Ресурсоемкость продукции
|
-29330,74
|
7
|
|
3.2. Цены на ресурсы
|
168428,82
|
-96
|
|
3.3. Сортность продукции
|
-17,55
|
0,004
|
|
3.4. Состав ресурсов
|
-291953,53
|
7
|
|
ИТОГО
|
-406943,29
|
100
|
Из таблицы 22 видно, что сокращение валовой прибыли на 406943,29 тыс.руб.
(с12г2) произошло из-за увеличения прибыли на 67255,16 тыс.руб. (с1г2) за счет
объема продаж (в том числе за счет собственно объема продаж на 72403,82
тыс.руб. ,за счет структуры реализованной продукции сократилось на 5148,66
тыс.руб.), сокращение прибыли на 321325,45 тыс.руб.(с4г2) за счет цены
реализации продукции ( в том числе за счет собственно цены на 22852,35 тыс.руб.
и за счет сортности продукции на 298473,1 тыс.руб.), а также из-за уменьшение
прибыли на 152873 тыс.руб.(с7г2) за счет себестоимости реализованной продукции.
5. Оценка
уровня управления
В данном разделе анализируется уровень и выполнение плана по ряду
показателей, позволяющих косвенно оценить уровень управления предприятием.
Таблица 23. Показатели уровня управления
|
Показатели
|
Значение
|
Абс. отклонение
|
Темп изменения, %
|
|
План
|
Факт
|
|
|
|
1
|
2
|
3
|
4
|
5
|
|
1. Численность административно-управленческого персонала,
чел, в том числе
|
107
|
108
|
1
|
0,93
|
|
- связанного с производственным процессом
|
57
|
57
|
0
|
0
|
|
- не связанного непосредственно с производственным
процессом
|
50
|
51
|
1
|
2
|
|
2. Доля работников центрального аппарата управления в общей
численности управленческого
|
46,73
|
47,22
|
0,49
|
1,05
|
|
персонала, % 3. Выручка от продаж на одного управленческого
работника, руб/чел
|
29655,53
|
2814,46
|
-1515,07
|
-5,11
|
|
4. Прибыль от продаж на одного управленческого работника,
руб/чел
|
9377,34
|
5307,25
|
-4070,09
|
-43,40
|
|
5. Управленческие расходы, тыс.руб.
|
56685,3
|
63324,98
|
6639,68
|
11,71
|
|
6. Доля управленческих расходов, % - в производственной
себестоимости
|
2,69
|
2,67
|
-0,02
|
-0,74
|
|
- в выручке
|
1,79
|
2,08
|
0,29
|
16,20
|
|
7. Управленческие расходы на одного управленческого
работника, руб/чел
|
529,77
|
586,34
|
56,57
|
10,68
|
Из таблицы 23 видно, что:
Ø Общая численность административно-управленческого персонала
увеличилась на 1 человека.
Ø Доля работников центрального управления в общей численности
управленческого персонала увеличилась на 0,49 %;
Ø Выручка от продаж на одного управленческого работника
сократилась на 1515,07 тыс.руб.;
Ø Прибыль от продаж на
одного управленческого работника сократилась на 4070,09 тыс.руб.;
Ø Управленческие расходы увеличились на 6639,68 тыс.руб. и
составили 63324,98 тыс.руб.;
Ø Доля управленческих расходов в производственной себестоимости
сократилась на 0,02 %, а в выручке увеличилась на 0,29 % и составила 2,67% и
2,08% соответственно;
Ø Управленческие расходы на одного управленческого работника
увеличились на 56,57 руб. и составили 586,34 руб.
Заключение
На основании проделанной курсовой работы и проанализировав
финансово-хозяйственную деятельность предприятия можно сделать следующие
выводы:
Ø предприятие характеризуется нормальным устойчивым финансовым
состоянием, которое гарантирует его платежеспособность, величина чистого
оборотного капитала является положительной, величина общих источников для
формирования запасов имеет положительное значение, единственное, что
собственные оборотные средства является отрицательными, устойчивость
финансового состояния подтверждает значение коэффициента финансовой
устойчивости (Кфу=1,5>0.8);
Ø фактический выпуск продукции по предприятию увеличился на 34
тыс.т.;
Ø фактическая выручка от продаж по предприятию сократилась на 133972,29 тыс.руб.;
Ø производительность труда одного работающего в натуральном
выражении увеличилась на 82,07 т./чел., а в стоимостном выражении уменьшилась
на 94,02 тыс. руб./чел. ;
Ø производительность труда одного рабочего в натуральном
выражении увеличилась на 114,89 т./чел. и в стоимостном выражении увеличилась
на 1,31 тыс.руб./чел.;
Ø среднегодовая заработная плата работающего увеличилась на
8,72 тыс. руб.,;
Ø среднегодовая заработная
плата рабочего увеличилась на 8,95 тыс. руб;
Ø общий фонд заработной платы увеличился на 3882,2 тыс.руб.
Ø увеличение производственной себестоимости всей продукции на 242461,1 тыс.руб. произошло за счет увеличения собственно
объема на 109929,28 тыс.руб., изменения ассортимента на 5159,66 тыс.руб. ,
изменения удельного расхода материалов (в том числе собственно удельного
расхода на - 40844,34 тыс.руб и состава заданного на -112,103 тыс.руб. ),
изменения цены на 168216,45 тыс.руб., изменения расходов по переделу и ОХР на
14,813 тыс.руб.;
Ø выручка от продаж сократилась на 133972 тыс. руб.,
себестоимость продукции увеличилась на 272971тыс. руб. , валовая прибыль
сократилась на 406940,3 тыс. руб., коммерческие расходы увеличились на 23248,57
тыс. руб. , прибыль от продаж сократилась на 430191,86 тыс.руб;
Ø продолжительность оборота запасов 44дней, продолжительность
оборота дебиторской и кредиторской задолженностей 22 и 39 дней.
Ø управленческие расходы на одного управленческого работника
увеличились на 56,57 руб. и составили 586,34 руб.
Список
литературы
1. Гражданский кодекс РФ. Ч. 1 и 2. - М.:ИНФРА-М,
1996.
2. Баканов М.Н., Шеремет А.Д. Теория экономического
анализа. - М.: Финансы и статистика, 1997. - 416 с.
. Ефимова О.В. Финансовый анализ. - М.: «Бухгалтерский
учет», 2002. - 320 с.
. Ковалев В.В. Финансовый анализ. - М.: Финансы и
статистика, 1997. - 512 с.
. Ковалев В.В., Волкова О.Н. Анализ хозяйственной
деятельности предприятия - М.: Проспект, 2000 - 424с.
. Любушин Н.П., Лещева В.Б., Дьякова В.Г. Анализ
финансово-экономической деятельности предприятия: Учебное пособие для вузов.
-М.: ЮНИТИ - ДАНА, 1999. - 471 с.
. Анализ и диагностика финансово-хозяйственной
деятельности предприятия: Методические указания к выполнению курсовой работы
для студентов специальности 060800. № 738
Приложения
Приложение
А
Исходные данные к курсовому проекту по АДФХД
(данные, общие для всех вариантов)
Таблица А1 - Калькуляции себестоимости 1 т первого вида продукции
|
Статьи затрат
|
План
|
Факт
|
|
Количество, т
|
Цена, руб.
|
Сумма, руб.
|
Количество, т
|
Цена, руб.
|
Сумма, руб.
|
|
1. Задано
|
1,058
|
2963
|
3134,85
|
1,040
|
3102
|
3226,08
|
|
2. Отходы
|
0,058
|
1184
|
68,67
|
0,040
|
1112
|
44,48
|
|
3. Задано за вычетом отходов
|
1,0
|
|
3066,18
|
1,0
|
|
3181,60
|
|
4. Расходы по переделу и ОХР
|
|
|
|
|
|
|
|
Производственная себестоимость
|
|
|
|
|
|
|
Таблица А2 - Калькуляции себестоимости 1 т второго вида продукции
|
Статьи затрат
|
План
|
Факт
|
|
Кол-во, т
|
Цена, руб.
|
Сумма, руб.
|
Кол-во, т
|
Цена, руб.
|
Сумма, руб.
|
|
1. Задано
|
1,059
|
3027
|
3205,59
|
1,048
|
3477
|
3643,89
|
|
2. Отходы
|
0,059
|
1095
|
64,60
|
0,048
|
1153
|
55,34
|
|
3. Задано за вычетом отходов
|
1,0
|
|
3140,99
|
1,0
|
|
3588,55
|
|
4. Расходы по переделу и ОХР
|
|
|
|
|
|
|
|
Производственная себестоимость
|
|
|
|
|
|
|
Таблица А3 - Расходы по переделу и общехозяйственные расходы (ОХР) на 1 т
продукции по предприятию
|
Статьи затрат
|
План
|
Факт
|
|
Количество
|
Цена, руб.
|
Сумма, руб.
|
Количество
|
Цена, руб.
|
Сумма, руб.
|
|
1. Топливо технологическое, м3
|
|
|
|
|
|
|
|
- ГСМ
|
0,31
|
20
|
6,23
|
0,38
|
22
|
8,36
|
|
- газ природный
|
2,2
|
0,434
|
0,95
|
2,7
|
0,393
|
1,06
|
|
ИТОГО в условном
|
16,09
|
|
7,18
|
16,48
|
|
9,42
|
|
2. Энергетические затраты
|
|
|
|
|
|
|
|
-электроэнергия, кВт-час
|
20,8
|
0,462
|
9,61
|
20,6
|
0,468
|
9,64
|
|
- пар, кал
|
4,5
|
0,079
|
0,35
|
4,2
|
0,082
|
0,34
|
|
- вода техническая, м3
|
1,3
|
0,313
|
0,41
|
1,1
|
0,315
|
0,35
|
|
- воздух сжатый, м3.
|
6,7
|
0,06
|
0,40
|
7,2
|
0,056
|
0,40
|
|
ИТОГО
|
|
|
10,77
|
|
|
10,73
|
|
3. Вспомогательные материалы
|
|
|
1,46
|
|
|
1,60
|
|
4.Фонд заработной платы
|
|
|
89,20
|
|
|
90,50
|
|
5. Отчисления на социальные нужды
|
|
|
33,45
|
|
|
33,94
|
|
6. Износ сменного оборудования
|
|
|
79,10
|
|
|
75,60
|
|
7. Содержание основных средств
|
|
|
17,70
|
|
|
18,90
|
|
8. Ремонтный фонд
|
|
|
38,60
|
|
|
34,90
|
|
9. Амортизация основных средств
|
|
|
5,60
|
|
|
6,20
|
|
10. Внутризаводское перемещение грузов
|
|
|
2,40
|
|
|
2,60
|
|
11. Прочие расходы
|
|
|
17,40
|
|
|
17,10
|
|
ИТОГО по переделу
|
|
|
302,86
|
|
|
301,49
|
|
12. ОХР
|
|
|
84,02
|
|
|
89,40
|
Таблица А4 - Дополнительные данные
|
Показатели
|
План
|
Факт
|
|
1. Среднегодовая первоначальная (восстановительная)
стоимость основных средств, тыс.руб.
|
1150900
|
1168000
|
|
2. Среднегодовая первоначальная (восстановительная)
стоимость активной части основных средств, тыс.руб.
|
560000
|
610000
|
|
3. Фонд времени работы оборудования, час: - календарный -
режимный - номинальный - фактический
|
8760 8760 7900 7200
|
8760 8760 7700 7350
|
|
4. Доля постоянных расходов в расходах по переделу и ОХР, %
|
40
|
40
|
|
5. Коммерческие расходы, в % к производственной
себестоимости
|
3,3
|
3,9
|
|
6. Скидка с себестоимости и цены первого сорта для второго,
%
|
20
|
20
|
50
|
51
|
Приложение
Б
Таблица Б1 - Данные по видам продукции
|
Вариант
|
Продукция
|
Коэфф. трудоемк.
|
Объем, тыс.т
|
Цена, руб.
|
Выход 1сорта, %
|
|
|
|
план
|
факт
|
план
|
факт
|
план
|
факт
|
|
29
|
1
|
1,29
|
406
|
405
|
5133,54
|
5139,19
|
93,43
|
99,34
|
|
2
|
1,30
|
198
|
233
|
5499,62
|
4110,72
|
98,79
|
99,28
|
Таблица Б2 - Данные по трудовым показателям
|
Вариант
|
Категории персонала
|
Численность, чел
|
Фонд зарплаты, % от общего фонда
|
|
|
|
|
|
|
план
|
факт
|
план
|
факт
|
|
|
|
|
|
|
|
29
|
1.Рабочие
|
542
|
519
|
88,21
|
86,86
|
|
2.Руководители
|
18
|
22
|
3,61
|
4,05
|
|
3.Специалисты
|
39
|
35
|
7,40
|
6,84
|
|
4.Служащие
|
11
|
19
|
0,77
|
2,25
|
Таблица Б3 - Актив уплотненного баланса, в тыс. руб.
|
Вариант
|
29
|
|
Показатели
|
Начало периода
|
Конец периода
|
|
1.Оборотные (текущие) активы
|
618574
|
538067
|
|
1.1.Денежные средства
|
31371
|
30171
|
|
1.2.Дебиторская задолженность
|
158786
|
130226
|
|
1.3.Запасы
|
326111
|
254787
|
|
1.4. Прочие оборотные активы
|
102305
|
122882
|
|
2.Внеоборотные (постоянные) активы
|
1060293
|
1059813
|
|
2.1.Основные средства
|
746125
|
718992
|
|
2.2.Прочие внеоборотные активы
|
314168
|
340821
|
|
БАЛАНС
|
1678867
|
1597880
|
Таблица Б4 - Пассив уплотненного баланса, в тыс. руб.
|
Вариант
|
28
|
|
Показатели
|
Начало периода
|
Конец периода
|
|
1.Заемный капитал
|
644398
|
448848
|
|
1.1.Краткосрочные (текущие) пассивы
|
474215
|
306671
|
|
-кредиторская задолженность
|
249918
|
203133
|
|
1.2.Долгосрочные обязательства
|
170183
|
142177
|
|
2.Собственный капитал
|
1078199
|
1233617
|
|
2.1.Уставный капитал
|
601497
|
703751
|
|
2.2.Фонды и резервы
|
476702
|
529865
|
|
БАЛАНС
|
1722597
|
1682465
|