Характеристические функции и их свойства

  • Вид работы:
    Курсовая работа (т)
  • Предмет:
    Математика
  • Язык:
    Русский
    ,
    Формат файла:
    MS Word
    596,16 Кб
  • Опубликовано:
    2013-12-01
Вы можете узнать стоимость помощи в написании студенческой работы.
Помощь в написании работы, которую точно примут!

Характеристические функции и их свойства

Введение

В теории вероятности широко используются методы и аналитический аппарат различных отделов математического анализа. Просто решение многих задач теории вероятностей, особенно тех из них, которые связаны с суммированием независимых случайных величин, удается получить с помощью характеристических функций, теория которых развита в анализе и известна под названием преобразований Фурье. Курсовая посвящена изложению основных свойств характеристических функций.

1. Определение и свойства

математический хелли производная функция

Характеристической функцией случайной величины  называется математическое ожидание случайной величины . Если  есть функция распределения величины , то характеристическая функция равна:

 (1)

Из того что , при всех вещественных , следует существование интеграла (1) для всех функций распределения; следовательно, характеристическая функция может быть определена для каждой случайной величины.

Свойства:

Теорема1: Характеристическая функция равномерно непрерывна на всей прямой и удовлетворяет следующим условиям:

. (2)

Доказательство. Соотношения (2) немедленно вытекает из определения характеристической функции. Действительно, по(1)


Нам остается доказать равномерную непрерывность функции . С этой целью рассмотрим разность



И оценим ее по модулю. Имеем:

.

Пусть  произвольно выберем столь большое A, чтобы

,

И подберем столь малое h,чтобы для  

.

Тогда


Это неравенство доказывает теорему.

Теорема 2. Если , где a и b - постоянные, то


где  и  означает характеристические функции величины

и .

Доказательство. Действительно,

.

Теорема 3. Характеристическая функция суммы двух независимых случайных величин равна произведению их характеристических функций.

Доказательство. Пусть  и  -независимые случайные величины и .

Тогда очевидно, что вместе с  и  независимы так же случайные величины  и . Отсюда вытекает, что

.

Это доказывает теорему.

Следствие. Если


Причем каждое слагаемое независимо от суммы предыдущих, то характеристическая функция величины  равна произведению характеристических функций слагаемых.

Отметим, что характеристические функции удовлетворяют равенству


Действительно,


Применение характеристических функций в значительной степени опирается на свойство, сформулированное в теореме 3. Сложение независимых случайных величин, приводит к весьма сложной операции - композиции функций распределения слагаемых. Для характеристических функций эта сложная операция заменяется весьма простой - простым умножением характеристических функций.

Теорема 4. Если случайная величина  имеет абсолютный момент n-го порядка, то характеристическая функция величины  дифференцируема n раз и при

 (3)

Доказательство. Действительно k- кратное  формальное дифференцирование характеристической функции приводит к равенству

 (4)

Но


и, следовательно, в силу предположения теоремы ограничен. Отсюда следует существование интеграла (4) и законность дифференцирования. Положив в (4) t=0, находим что


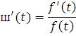
Математическое ожидание и дисперсия весьма просто выражаются при помощи производных от логарифма характеристической функции. В самом деле, положим


(легко понять, что  существует в некоторой окрестности нуля). Тогда


Приняв во внимание, что  и равенство (3), находим, что


Отсюда

 (5)

Производная k-го порядка логарифма характеристической функции в точке 0, умноженная на , называется семиинвариантом k-го порядка случайной величины.

Как это непосредственно следует из теоремы 3, при сложении независимых случайных величин их семиинварианты складываются.

Мы только что видели,что первыми двумя семиинвариантами являются математическое ожидание и дисперсия, т.е. момент первого порядка и некоторая рациональная функция моментов первого и второго порядков. Путем вычислений легко убедиться, что семиинвариант любого порядка k есть (целая) рациональная функция k моментов. Для примера приведем явные выражения семиинвариантов третьего и четвертого порядков:


Рассмотрим несколько примеров характеристических функций.

Пример 1.Случайная величина  распределена по нормальному закону с математическим ожиданием a и дисперсией . Характеристическая функция величины  равна


Подстановкой


 приводится к виду


Известно, что при любом вещественном a


следовательно,

Пример 2. Найти характеристическую функцию случайной величины , распределенной по закону Пуассона.

Согласно предположению величина  принимает только положительные значения, причем


где - постоянная.

Характеристическая функция  равна


Согласно 5 отсюда находим, что

 

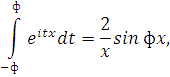
Пример 3. Случайная величина  равномерно распределена в интервале

(-a,a). Характеристическая функция равна

 

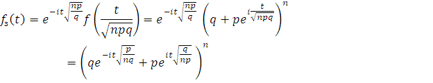
Пример 4. Найти характеристическую функцию величины , равной числу появления события A в n независимых испытаниях, в каждом из которых вероятность появления события A равна p.

Величина  может быть представлена как сумма


n независимых величин, каждая из которых принимает лишь два значения 0 и 1, соответственно с вероятностями  и p. Величина  принимает значение 1, если событие A происходит в k-м испытании, и значение 0, если событие A в k-м испытании не происходит.

Характеристическая функция  равна


Найдем еще характеристическую функцию величины


По теореме 2 она равна

2.Теоремы Хелли

В дальнейшем нам потребуются две теоремы чисто аналитического характера - первая и вторая теоремы Хелли. Условимся говорить, что последовательность неубывающих функций


сходится в основном к неубывающей функции F(x), если при  она сходится к этой последней в каждой ее точке непрерывности.

Впоследствии мы всегда будем считать, что функции  удовлетворяют добавочному условию

,

И не станем далее этого оговаривать.

Отметим сразу же, что для сходимости в основном достаточно, чтобы последовательность функций сходилась к функции  на каком-нибудь всюду плотном множестве D. Действительно, пусть x - любая точка и  и  - какие-нибудь две точки множества D, такие, что . При этом так же


Следовательно,


А так как по предположению

 и ,



Но средние члены в этих неравенствах не зависят от и , поэтому


Если функция  в точке x непрерывна, то


Следовательно, в точках непрерывности функции

Первая теорема Хелли. Всякая последовательность ограниченных в совокупности неубывающих функций

 (1)

содержит по крайней мере одну последовательность


Сходящуюся в основном к некоторой неубывающей функции F(x).

Доказательство. Пусть D - какое - нибудь счетное всюду плотное множество точек .Возьмем значения функций последовательности (1) в точке

.

Так как множество этих значений, по предположению, ограничено, то оно содержит по меньшей мере одну последовательность

 (2)

cходящуюся к некоторому предельному значению, которое мы обозначим через  Рассмотрим теперь множество чисел


Так как и это множество ограничено, то существует в нем подпоследовательность, сходящихся к некоторому предельному значению  Таким образом, из последовательности (2) мы можем выделить подпоследовательность

 (3)

для которой одновременно  и

.

Продолжим такое выделение подпоследовательностей

 (4)

для которых одновременно имели бы место равенства



при всех  Составим теперь диагональную последовательность

. (5)

Теперь ясно, что функцию , определенную на множестве D, можно продолжить так, что она будет определена на всей прямой , оставаясь неубывающей и ограниченной.

Последовательность (5) сходится к этой функции на всюду плотном множестве D; следовательно, она сходится к ней в основном, что и требовалось доказать. Заметим, что функция, полученная продолжением функции G, может оказаться не непрерывной слева. Но мы можем изменить ее значения в точках разрыва так, чтобы восстановить это свойство. Подпоследовательность будет сходиться и к таким образом «поправленной» функции.

Вторая теорема Хелли. Пусть - непрерывная функция и пусть последовательность неубывающих, ограниченных в совокупности функций


сходится в основном к функции  на некотором конечном интервале  где a и b- точки непрерывности функции ; тогда

Доказательство. Из непрерывности функции  вытекает, что как бы мало ни было положительное постоянное , найдется подразделение интервала  точками  на частичные интервалы такое, что в каждом интервале  будет выполняться неравенство. Пользуясь этим обстоятельством, мы можем ввести вспомогательную функцию , принимающую только конечное число значений, определив ее посредством равенств

 при

Очевидно, что для всех x в интервале  выполняется неравенство

.

При этом мы можем заранее выбрать точки деления  так,чтобы они были точками непрерывности функции F(x). В силу сходимости функций

к функции F(x), при достаточно больших n во всех точках деления будут выполняться неравенства

 (6)

где M- максимум модуля  в интервале .

Без объяснений ясно, что


Нетрудно подсчитать, что первое слагаемое правой части не превосходит  а третье не превосходит . Что касается второго слагаемого, то оно равно


и, следовательно, при достаточно больших n не превосходит , как это вытекает из равенства (6). В силу ограниченности функций  в совокупности, сумма




может быть сделана сколь угодно малой вместе с .

Обобщенная вторая теорема Хелли. Если функция  непрерывна и ограничена на всей прямой , последовательность ограниченных в совокупности неубывающих функций


Сходится в основном к функции  и

Доказательство. Пусть  и ; положим


Очевидно, что



Величины  и  можно сделать сколь угодно малыми, если выбрать A и B достаточно большими по абсолютной величине и потом такими, чтобы точки A и B были точками непрерывности функции , а n выбрать достаточно большим. В самом деле, пусть M - верхняя грань  при ; тогда


Но


А так как, по определению,


то наше утверждение об  и  доказано. Величина  при достаточно большом n может быть сколь угодно малой в силу теоремы Хелли для конечного интервала.

Теорема доказана.

. Предельные теоремы для характеристических функций

Важнейшими с точки зрения приложений характеристических функций к выводу асимптотических формул теории вероятностей являются две предельные теоремы - прямая и обратная. Эти теоремы устанавливают, что соответствие, существующее между функциями распределения и характеристическими функциями, не только взаимно однозначно, но и непрерывно.

Прямая предельная теорема. Если последовательность функций распределения


сходится в основном к функции распределения , то последовательность характеристических функций


сходится к характеристической функции f(t). Эта сходимость равномерна на каждом конечном интервале t.

Доказательство. Так как


и функция  непрерывна и ограничена на всей прямой , то согласно обобщенной второй теореме Хелли для любого t при

.

Утверждение, что эта сходимость равномерна на каждом конечном интервале t,проверяется буквально теми же рассуждениями, какие мы провели в доказательстве второй теоремы Хелли.

Обратная предельная теорема. Если последовательность характеристических функций

 (1)

Сходится к непрерывной функции ,то последовательность функций распределения

 (2)

Сходится в основном к некоторой функции распределения  (в силу прямой предельной теоремы) ).

Доказательство. На основании первой теоремы Хелли заключаем, что последовательность (2) непременно содержит подпоследовательность

 (3)

Сходящуюся в основном к некоторой неубывающей функции . При этом понятно, что функцию  мы можем считать непрерывной слева

.

Вообще говоря, функция  может и не быть функцией распределения, так как для этого должны удовлетворяться еще условия  и . Действительно, для последовательности функций




Предельная функция  и, следовательно,  и  так же равны . однако в условиях нашей теоремы, обязательно будет  и .

В самом деле, если бы это было не так, то приняв во внимание, что для предельной функции F(x) должно быть  и , мы имели бы:


Возьмем теперь какое - нибудь положительное число , меньше . Так как по условию теоремы последовательность характеристических функций (1) сходится к функции , то . А так как, сверх того, функция , непрерывна, то можно выбрать достаточно малое положительное число  такое, что будет иметь место равенство


Но в то же время можно выбрать  и настолько большое K, чтобы при k>K было


Так как  есть характеристическая функция, то



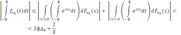
Интеграл, стоящий в правой части этого равенства, можно оценить следующим способом. С одной стороны, так как , то


С другой стороны,


и так как , то при


Отсюда применив первую оценку при  и вторую при  получаем:




и, следовательно,


Это неравенство сохраняется и в пределе


Что очевидно противоречит неравенству (4).

Таким образом, функция , к которой сходится в основном последовательность , есть функция распределения; согласно прямой предельной теореме ее характеристическая функция равна .

Чтобы закончить доказательство теоремы, нам остается доказать, что и вся последовательность (2) сходится в основном к функции F(x). Предположим, что это не так. Тогда найдется подпоследовательность функций

 (5)

сходящаяся в основном к некоторой функции , отличной от  по крайней мере в одной из точек непрерывности. По уже доказанному  должна быть функцией распределения с характеристической функцией f(t). По теореме единственности должно быть

.

Это противоречит сделанному предположению.

Заметим, что условия теоремы выполнены в каждом из двух следующих случаев:

) последовательность характеристических функций сходится к некоторой функции f(t) равномерно на каждом конечном интервале t;

) последовательность характеристических функций  сходится к характеристической функции f(t).

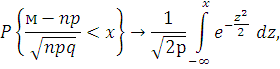
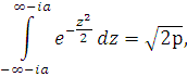
Пример. В качестве примера использования предельных теорем рассмотрим доказательство интегральной теоремы Муавра - Лапласа.

В примере 4 свойств характеристических функций, мы нашли характеристическую функцию случайной величины


Воспользовавшись разложением в ряд Маклорена, находим, что


Так как при

,

то

.

В силу обратной предельной теоремы отсюда вытекает, что при любом x


когда

Из непрерывности предельной функции легко вывести,что эта сходимость будет равномерна по x.

Литература

1. Гнеденко Б.В. "Курс теории вероятностей", Москва, "Наука"1988.

. Вентцель Е.С. "Теория вероятностей", Москва, "Высшая школа"1998.

. Гмурман Е.В. "Теория вероятностей и математическая статистика", Москва, "Высшая школа"2003.

. Фирсов А.Н. "Теория вероятностей. Часть I", Санкт-Петербург, 2005.

. Кибзун. "Теория вероятностей и математическая статистика".

Похожие работы на - Характеристические функции и их свойства

 

Не нашли материал для своей работы?
Поможем написать уникальную работу
Без плагиата!
Без нейросетей!