Расчёт балки на изгиб в системе MathCAD

  • Вид работы:
    Курсовая работа (т)
  • Предмет:
    Информационное обеспечение, программирование
  • Язык:
    Русский
    ,
    Формат файла:
    MS Word
    899,52 Кб
  • Опубликовано:
    2014-03-26
Вы можете узнать стоимость помощи в написании студенческой работы.
Помощь в написании работы, которую точно примут!

Расчёт балки на изгиб в системе MathCAD

МИНИСТЕРСТВО ОБРАЗОВАНИЯ РЕСПУБЛИКИ БЕЛАРУСЬ

УЧРЕЖДЕНИЕ ОБРАЗОВАНИЯ

ГОМЕЛЬСКИЙ ГОСУДАРСТВЕННЫЙ ТЕХНИЧЕСКИЙ УНИВЕРСИТЕТ ИМЕНИ П.О. СУХОГО

Механико-технологический факультет

Кафедра "Информационные технологии"



РАСЧЕТНО-ПОЯСНИТЕЛЬНАЯ ЗАПИСКА

к курсовой работе

по дисциплине "Информатика"

на тему: "Расчёт балки на изгиб в системе MathCAD"


Исполнитель: студент гр. C-21

Чуешов Н.И.

Руководитель: Косинов Г.П.








Гомель 2008

Содержание

 

Введение

1. Постановка задачи

2. Математическое моделирование технических объектов

3. Алгоритмический анализ задачи

3.1 Таблица используемых переменных

4. Реализация задачи в системе MathCAD

5. Описание результатов

6. Описание создания Web-сайта

Заключение

Список используемых источников

Приложение

Введение

Курсовое проектирование является необходимым этапом подготовки и обучения студентов, становления их как высококвалифицированных специалистов и играет важную роль в формировании самостоятельного творческого мышления студента. Курсовая работа представляет собой комплексную учебно-исследовательскую работу студента, которая выполняется на основе теоретических и практических знаний, накопленных в процессе обучения дисциплине "Информатика". Она является многоцелевым элементом учебного процесса и позволяет привить студентам навыки и умения сбора, анализа, обобщения информации по данной предметной области, решения конкретной прикладной задачи с применением обоснованно выбранной компьютерной системы.

Курсовая работа по дисциплине "Информатика" призвана реализовать несколько задач, основными из них являются следующие:

углубление и расширение теоретических знаний в данной предметной области;

приобретение навыков самостоятельного решения прикладной инженерной задачи с использованием компьютерных систем;

умение формулировать выводы по проделанным исследованиям;

получение навыков сбора, анализа, обобщения информации по данной предметной области, работы с источниками литературы;

умение подготовить и сделать доклад по проделанной работе, ответить на вопросы комиссии;

оформление научного документа (расчетно-пояснительной записки) в соответствии с требованиями ГОСТ. [3. Стр.3]

В данной курсовой работе производится расчёт балки на изгиб с использованием математического пакета MathCAD, который позволяет решать сложные вычислительные задачи, возникающие при моделировании технических устройств и процессов.

1. Постановка задачи


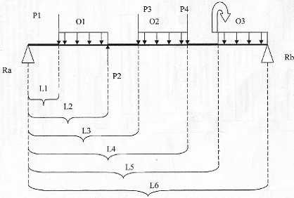
Исходные данные

Рисунок 1. Схема балки

Материал балки - дерево

L1=3·m, L2=5·m, L3=10·m, L4=14·m, L5=19·m, L6=25·m - длины участков

P1=8000·N, P2=7000·N, P3=6000·N, P4=5200·N - нагружающие силы

Q1=4600·N/m, Q2=5700·N/m, Q3=5700·N/m - распределённая нагрузка

M0=7800·N·m - нагружающий момент

Свойства материала, из которого сделана балка:

σ =140000·10³·N/m² - допускаемое напряжение

E =2.1·10¹¹·N/m²

.        С использованием системы MathCAD провести расчёт балки на изгиб.

2.      Исследовать зависимость диаметра балки от распределённой силы Q3 и зависимость максимального прогиба балки от P4.

.        Построить график зависимости диаметра балки от распределённой силы Q3 и зависимость максимального прогиба балки от P4.

.        Вычислить аналитические аппроксимирующие функции по результатам исследований предыдущего пункта. Построить графически исходные и аппроксимирующие зависимости. Сделать выводы по проведенным исследованиям.

لàëêà èçمèل ىàٍهىàٍè÷هٌêîه ىîنهëèًîâàيèه

2. جàٍهىàٍè÷هٌêîه ىîنهëèًîâàيèه ٍهُيè÷هٌêèُ îلْهêٍîâ


دًè ïًîهêٍèًîâàيèè ٍهُيè÷هٌêèُ îلْهêٍîâ èٌïîëüçَ‏ٍ ىيîوهٌٍâî âèنîâ ىàٍهىàٍè÷هٌêèُ ىîنهëهé, â çàâèٌèىîٌٍè îٍ ًَîâيے èهًàًُèè, ٌٍهïهيè نهêîىïîçèِèè ٌèٌٍهىû, àٌïهêٍà, ٌٍàنèè è ‎ٍàïà ïًîهêٍèًîâàيèے.

حà ë‏لîى ًَîâيه èهًàًُèè îلْهêٍ ïًîهêٍèًîâàيèے ïًهنٌٍàâëے‏ٍ â âèنه يهêîٍîًîé ٌèٌٍهىû, ٌîٌٍîےùهé èç ‎ëهىهيٍîâ. آ ‎ٍîé ٌâےçè ًàçëè÷à‏ٍ ىàٍهىàٍè÷هٌêèه ىîنهëè ‎ëهىهيٍîâ è ٌèٌٍهى.

ت ىàٍهىàٍè÷هٌêèى ىîنهëےى ïًهنْےâëے‏ٌٍے ًٍهلîâàيèے àنهêâàٍيîٌٍè, ‎êîيîىè÷يîٌٍè, َيèâهًٌàëüيîٌٍè. فٍè ًٍهلîâàيèے ïًîٍèâîًه÷èâû, ïî‎ٍîىَ îلû÷يî نëے ïًîهêٍèًîâàيèے êàونîمî îلْهêٍà èٌïîëüçَ‏ٍ ٌâî‏ îًèمèيàëüيَىîنهëü.

آ çàâèٌèىîٌٍè îٍ ٌٍهïهيè àلًٌٍàمèًîâàيèے ïًè îïèٌàيèè ôèçè÷هٌêèُ ٌâîéٌٍâ ٍهُيè÷هٌêîé ٌèٌٍهىû ًàçëè÷à‏ٍ ًٍè îٌيîâيûُ èهًàًُè÷هٌêèُ ًَîâيے: âهًُيèé èëè ىهٍàًَîâهيü; ًٌهنيèé èëè ىàêًîًَîâهيü; يèويèé èëè ىèêًîًَîâهيü.

جهٍàًَîâهيü ٌîîٍâهٌٍٍâَهٍ يà÷àëüيûى ٌٍàنèےى ïًîهêٍèًîâàيèے, يà êîٍîًûُ îٌَùهٌٍâëےهٌٍے يàَ÷يî-ٍهُيè÷هٌêèé ïîèٌê è ïًîميîçèًîâàيèه, ًàçًàلîٍêà êîيِهïِèè è ٍهُيè÷هٌêîمî ًهّهيèے, ًàçًàلîٍêà ٍهُيè÷هٌêîمî ïًهنëîوهيèے. ؤëے ïîًٌٍîهيèے ىàٍهىàٍè÷هٌêèُ ىîنهëهé ىهٍàًَîâيے èٌïîëüçَ‏ٍ ىهٍîنû ىîًôîëîمè÷هٌêîمî ٌèيٍهçà, ٍهîًèè مًàôîâ, ىàٍهىàٍè÷هٌêîé ëîمèêè, ٍهîًèè àâٍîىàٍè÷هٌêîمî َïًàâëهيèے, ٍهîًèè ىàٌٌîâîمî îلٌëَوèâàيèے, ٍهîًèè êîيه÷يûُ àâٍîىàٍîâ.

حà ىàêًîًَîâيه îلْهêٍ ïًîهêٍèًîâàيèے ًàٌٌىàًٍèâà‏ٍ êàê نèيàىè÷هٌêَ‏ ٌèٌٍهىَ ٌ ٌîًٌهنîٍî÷هييûىè ïàًàىهًٍàىè. جàٍهىàٍè÷هٌêèه ىîنهëè ىàêًîًَîâيے ïًهنٌٍàâëے‏ٍ ٌîلîé ٌèٌٍهىû îلûêيîâهييûُ نèôôهًهيِèàëüيûُ ًَàâيهيèé. فٍè ىîنهëè èٌïîëüçَ‏ٍ ïًè îïًهنهëهيèè ïàًàىهًٍîâ ٍهُيè÷هٌêîمî îلْهêٍà è همî ôَيêِèîيàëüيûُ ‎ëهىهيٍîâ.

حà ىèêًîًَîâيه îلْهêٍ ïًهنٌٍàâëےهٌٍے êàê ٌïëîّيàے ًٌهنà ٌ ًàٌïًهنهëهييûىè ïàًàىهًٍàىè. ؤëے îïèٌàيèے ïًîِهٌٌîâ ôَيêِèîيèًîâàيèے ٍàêèُ îلْهêٍîâ èٌïîëüçَ‏ٍ نèôôهًهيِèàëüيûه ًَàâيهيèے â ÷àٌٍيûُ ïًîèçâîنيûُ.

حà âٌهُ èهًàًُè÷هٌêèُ ًَîâيےُ èٌïîëüçَ‏ٍ ٌëهنَ‏ùèه âèنû ىàٍهىàٍè÷هٌêèُ ىîنهëهé: نهٍهًىèيèًîâàييûه è âهًîےٍيîٌٍيûه, ٍهîًهٍè÷هٌêèه è ‎êٌïهًèىهيٍàëüيûه ôàêٍîًيûه, ëèيهéيûه è يهëèيهéيûه, نèيàىè÷هٌêèه è ٌٍàٍè÷هٌêèه, يهïًهًûâيûه è نèٌêًهٍيûه, ôَيêِèîيàëüيûه è ًٌٍَêًٍَيûه.

دî ôîًىه ïًهنٌٍàâëهيèے ىàٍهىàٍè÷هٌêèُ ىîنهëهé ًàçëè÷à‏ٍ èيâàًèàيٍيَ‏, àëمîًèٍىè÷هٌêَ‏, àيàëèٍè÷هٌêَ‏ è مًàôè÷هٌêَ‏ ىîنهëè îلْهêٍà ïًîهêٍèًîâàيèے.

آ èيâàًèàيٍيîé ôîًىه ىàٍهىàٍè÷هٌêàے ىîنهëü ïًهنٌٍàâëےهٌٍے ٌèٌٍهىîé ًَàâيهيèé (نèôôهًهيِèàëüيûُ, àëمهلًàè÷هٌêèُ), âيه ٌâےçè ٌ ىهٍîنîى ًهّهيèے è çàïèٌàيû â âèنه àëمîًèٍىà - ïîٌëهنîâàٍهëüيîٌٍè âû÷èٌëهيèé.

آ àëمîًèٍىè÷هٌêîé ôîًىه ٌîîٍيîّهيèے ىîنهëè ٌâےçàيû ٌ âûلًàييûى ÷èٌëهييîى ىهٍîنîى ًهّهيèے è çàïèٌàيû â âèنه àëمîًèٍىà - ïîٌëهنîâàٍهëüيîٌٍè âû÷èٌëهيèé.

ہيàëèٍè÷هٌêàے ىîنهëü ïًهنٌٍàâëےهٍ ٌîلîé ےâيûه çàâèٌèىîٌٍè èٌêîىûُ ïهًهىهييûُ îٍ çàنàييûُ âهëè÷èي لû÷يî çàâèٌèىîٌٍè âûُîنيûُ ïàًàىهًٍîâ îلْهêٍà îٍ âيًٍَهييèُ è âيهّيèُ ïàًàىهًٍîâ). زàêèه ىîنهëè ïîëَ÷à‏ٍ يà îٌيîâه ôèçè÷هٌêèُ çàêîيîâ, ëèلî â ًهçَëüٍàٍه ïًےىîمî èيٍهمًèًîâàيèے èٌُîنيûُ نèôôهًهيِèàëüيûُ ًَàâيهيèé, èٌïîëüçَے ٍàلëè÷يûه èيٍهمًàëû. ت يèى îٍيîٌےٌٍے ٍàêوه ًهمًهٌٌèîييûه ىîنهëè, ïîëَ÷àهىûه يà îٌيîâه ًهçَëüٍàٍîâ ‎êٌïهًèىهيٍà.

أًàôè÷هٌêàے (ٌُهىيàے) ىîنهëü ïًهنٌٍàâëےهٌٍے â âèنه مًàôîâ, ‎êâèâàëهيٍيûُ ٌُهى, نèيàىè÷هٌêèُ ىîنهëهé, نèàمًàىى è ٍ.ï. ؤëے èٌïîëüçîâàيèے مًàôè÷هٌêèُ ىîنهëهé نîëويî ٌَùهٌٍâîâàٍü ïًàâèëî îنيîçيà÷يîمî ٌîîٍâهٌٍٍâèے ٌَëîâيûُ èçîلًàوهيèé ‎ëهىهيٍîâ مًàôè÷هٌêîé è êîىïîيهيٍîâ èيâàًèàيٍيîé ىàٍهىàٍè÷هٌêèُ ىîنهëهé.

رًهنè àëمîًèٍىè÷هٌêèُ ىîنهëهé âûنهëے‏ٍ èىèٍàِèîييûه ىîنهëè, ïًهنيàçيà÷هييûه نëے èىèٍàِèè ôèçè÷هٌêèُ è èيôîًىàِèîييûُ ïًîِهٌٌîâ, ïًîٍهêà‏ùèُ â îلْهêٍه ïًè ôَيêِèîيèًîâàيèè همî ïîن âîçنهéٌٍâèهى ًàçëè÷يûُ ôàêٍîًîâ âيهّيهé ًٌهنû.

جàٍهىàٍè÷هٌêèه ىîنهëè ىîمٍَ ïًهنٌٍàâëےٍü ٌîلîé ôَيêِèîيàëüيûه çàâèٌèىîٌٍè ىهونَ âûُîنيûىè, âيًٍَهييèىè è âيهّيèىè ïàًàىهًٍàىè: . زàêèه ىîنهëè îٍيîٌےٌٍے ê àيàëèٍè÷هٌêèى. خيè ïîçâîëے‏ٍ ëهمêî è ïًîٌٍî ًهّàٍü çàنà÷è îïًهنهëهيèے îïٍèىàëüيûُ ïàًàىهًٍîâ. خلû÷يî èُ ïîëَ÷à‏ٍ ىهٍîنîى ïëàيèًîâàيèے ‎êٌïهًèىهيٍà (âû÷èٌëèٍهëüيîمî èëè ôèçè÷هٌêîمî).

ؤهëهيèه ىàٍهىàٍè÷هٌêèُ ىîنهëهé يà ôَيêِèîيàëüيûه è ًٌٍَêًٍَيûه îïًهنهëےهٌٍے ُàًàêٍهًîى îٍîلًàوàهىûُ ٌâîéٌٍâ ٍهُيè÷هٌêîمî îلْهêٍà.

رًٍَêًٍَيûه ىîنهëè îٍîلًàوà‏ٍ ٍîëüêî ًٌٍَêًٍََ îلْهêٍà è èٌïîëüçَ‏ٌٍے ïًè ًهّهيèè çàنà÷ ًٌٍَêًٍَيîمî ٌèيٍهçà.

شَيêِèîيàëüيûه ىîنهëè îïèٌûâà‏ٍ ïًîِهٌٌû ôَيêِèîيèًîâàيèے ٍهُيè÷هٌêèُ îلْهêٍîâ è èىه‏ٍ ôîًىَ ٌèٌٍهى ًَàâيهيèé. خيè َ÷èٍûâà‏ٍ ًٌٍَêًٍَيûه è ôَيêِèîيàëüيûه ٌâîéٌٍâà îلْهêٍà è ïîçâîëے‏ٍ ًهّàٍü çàنà÷è êàê ïàًàىهًٍè÷هٌêîمî, ٍàê è ًٌٍَêًٍَيîمî ٌèيٍهçà.

زهîًهٍè÷هٌêèه ىîنهëè ïîëَ÷à‏ٍ يà îٌيîâه îïèٌàيèے ôèçè÷هٌêèُ ïًîِهٌٌîâ ôَيêِèîيèًîâàيèے îلْهêٍà, à ‎êٌïهًèىهيٍàëüيûه - يà îٌيîâه èçَ÷هيèے ïîâهنهيèے îلْهêٍà âî âيهّيهé ًٌهنه, ًàٌٌىàًٍèâàے همî êàê êèلهًيهٍè÷هٌêèé "÷هًيûé ےùèê”.

شَيêِèîيàëüيûه ىàٍهىàٍè÷هٌêèه ىîنهëè ىîمٍَ لûٍü ëèيهéيûه è يهëèيهéيûه.

ثèيهéيûه ىîنهëè ٌîنهًوàٍ ٍîëüêî ëèيهéيûه ôَيêِèè ôàçîâûُ ïهًهىهييûُ è èُ ïًîèçâîنيûُ. صàًàêٍهًèٌٍèêè ىيîمèُ ‎ëهىهيٍîâ ًهàëüيûُ ٍهُيè÷هٌêèُ îلْهêٍîâ يهëèيهéيûه. جàٍهىàٍè÷هٌêèه ىîنهëè ٍàêèُ îلْهêٍîâ âêë‏÷à‏ٍ يهëèيهéيûه ôَيêِèè ôàçîâûُ ïهًهىهييûُ è (èëè) èُ ïًîèçâîنيûُ è îٍيîٌےٌٍے ê يهëèيهéيûى.

إٌëè ïًè ىîنهëèًîâàيèè َ÷èٍûâà‏ٌٍے èيهًِèîييûه ٌâîéٌٍâà ٍهُيè÷هٌêîمî îلْهêٍà è (èëè) èçىهيهيèه âî âًهىهيè ïàًàىهًٍîâ îلْهêٍà èëè âيهّيهé ًٌهنû, ٍî ىîنهëü يàçûâà‏ٍ نèيàىè÷هٌêîé. آ ïًîٍèâيîى ٌëَ÷àه ىîنهëü ٌٍàٍèٌٍè÷هٌêàے.

آîçنهéٌٍâèے âيهّيهé ًٌهنû يà ٍهُيè÷هٌêèé îلْهêٍ يîٌےٍ ٌëَ÷àéيûé ُàًàêٍهً è îïèٌûâà‏ٌٍے ٌëَ÷àéيûىè ôَيêِèےىè. ہيàëèç ôَيêِèîيèًîâàيèے îلْهêٍà â ‎ٍîى ٌëَ÷àه ًٍهلَهٍ ïîًٌٍîهيèے âهًîےٍيîٌٍيîé ىàٍهىàٍè÷هٌêîé ىîنهëè. خنيàêî ٍàêàے ىîنهëü âهٌüىà ٌëîويàے è هه èٌïîëüçîâàيèه ïًè ïًîهêٍèًîâàيèè ًٍهلَهٍ لîëüّèُ çàًٍàٍ ىàّèييîمî âًهىهيè. دî‎ٍîىَ هه ïًèىهيے‏ٍ ÷àùه يà çàêë‏÷èٍهëüيîى ‎ٍàïه ïًîهêٍèًîâàيèے.

ءîëüّèيٌٍâî ïًîهêٍيûُ ïًîِهنًَ âûïîëيےهٌٍے يà نهٍهًىèيèًîâàييûُ ىîنهëےُ. ؤهٍهًىèيèًîâàييàے ىàٍهىàٍè÷هٌêàے ىîنهëü ُàًàêٍهًèçَهٌٍے âçàèىيî îنيîçيà÷يûى ٌîîٍâهٌٍٍâèهى ىهونَ âيهّيèى âîçنهéٌٍâèهى يà نèيàىè÷هٌêَ‏ ٌèٌٍهىَ è هه ًهàêِèهé يà ‎ٍî âîçنهéٌٍâèه. [1,2. رًٍ.21,45]

3. ہëمîًèٍىè÷هٌêèé àيàëèç çàنà÷è


ذèٌَيîê 2. رُهىà àëمîًèٍىà

3.1 زàلëèِà èٌïîëüçَهىûُ ïهًهىهييûُ


بىے â ïًîمًàىىه

حàçيà÷هيèه

Ra, Rb

ايà÷هيèه ًهàêِèé îïîً

x1

ذàيوèًîâàييàے ïهًهىهييàے

à,b

تî‎ôôèِèهيٍû ëèيهéيîé ôَيêِèè

x

ايà÷هيèه نëèيû لàëêè

xx

زî÷êè â êîٍîًûُ ïًîèٌُîنےٍ îïًهنهëهيèے ïهًهىهùهيèے

xmin

جèيèىàëüيîه çيà÷هيèه نëèيû

xmax

جàêٌèىàëüيîه çيà÷هيèه نëèيû

maxM

جàêٌèىàëüيûé èçمèلà‏ùèé ىîىهيٍ

W

خٌهâîé ىîىهيٍ èيهًِèè

j

جîىهيٍ èيهًِèè

d

ؤèàىهًٍ لàëêè

M

حàمًَوà‏ùèé ىîىهيٍ

P

حàمًَوà‏ùàے ٌèëà

Q

ذàٌïًهنهë¸ييàے يàمًَçêà

L

ؤëèيà َ÷àٌٍêà

E

جîنَëü َïًَمîٌٍè (ىîنَëü قيمà)

σ

ؤîïٌَêàهىîه يàïًےوهيèه



4. ذهàëèçàِèے çàنà÷è â ٌèٌٍهىه MathCAD


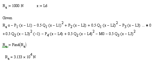
ذàٌ÷¸ٍ îïîًيîé ًهàêِèè:


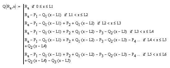
دîًٌٍîهيèه ‎ï‏ً ïîïهًه÷يîé ٌèëû Q è èçمèلà‏ùهمî ىîىهيٍà M:


دîًٌٍîهيèه ‎ï‏ً èçمèلà‏ùهمî ىîىهيٍà:


ذèٌَيîê 3. فï‏ًà ïîïهًه÷يîé ٌèëû Q

ذèٌَيîê 4. فï‏ًà ïîïهًه÷يîمî ىîىهيٍà ج

حàُîنèى ‎êًٌٍهىàëüيîه çيà÷هيèه èçمèلà‏ùهمî ىîىهيٍà c ïîىîùü‏ Given è Minerr.

خïًهنهëےهى ًàçىهًû ٌه÷هيèے لàëêè:

. خïًهنهëےهى ىèيèىàëüيûé îٌهâîé ىîىهيٍ ٌîïًîٍèâëهيèے ٌه÷هيèے:


. خïًهنهëےهى ىèيèىàëüيûé نèàىهًٍ لàëêè:


. خïًهنهëےهى ىîىهيٍ èيهًِèè:


خïًهنهëےهى ïهًهىهùهيèه لàëêè ٌ ïîىîùü‏ èيٍهمًàëà جîًà:

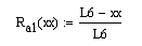
. خïًهنهëےهى ًهàêِè‏ â ٍî÷êه ہ îٍ هنèيè÷يîé يàمًَçêè ïًèëîوهييîé â ٍî÷êه XX:


. خïًهنهëےهى ىîىهيٍ ًهàêِèè â ٍî÷êه ہ îٍ هنèيè÷يîمî ىîىهيٍà ïًèëîوهييîمî â ٍî÷êه XX


خïًهنهëےهى ïًîمèل لàëêè:


خïًهنهëےهى َمîë ïîâîًîٍà ٌه÷هيèے:


رًٍîèى مًàôèêè ىàêٌèىàëüيîمî ïًîمèلà è َمëà ïîâîًîٍà ٌه÷هيèے.

ذèٌَيîê 5. جàêٌèىàëüيûé ïًîمèل لàëêè è َمëà ïîâîًîٍà ٌه÷هيèے

بçىهيےے نëèيَ Q3, èٌٌëهنَهى çàâèٌèىîٌٍü ىàêٌèىàëüيîمî ïًîمèلà لàëêè îٍ Q3:


ذèٌَيîê 6. اàâèٌèىîٌٍü نèàىهًٍà لàëêè îٍ Q3

بçىهيےے çيà÷هيèے P4 èٌٌëهنَهى çàâèٌèىîٌٍü نèàىهًٍà لàëêè îٍ ذ4:


ذèٌَيîê 7. اàâèٌèىîٌٍü نèàىهًٍà لàëêè îٍ P4

ثèيهéيàے ًهمًهٌٌèے


ذèٌَيîê 8. أًàôèê ôَيêِèè ëèيهéيîé ًهمًهٌٌèè


ذèٌَيîê 9. أًàôèê ôَيêِèè ëèيهéيîé ًهمًهٌٌèè

5. خïèٌàيèه ًهçَëüٍàٍîâ


ذèٌَيîê 9. أًàôèê çàâèٌèىîٌٍè نèàىهًٍà لàëêè îٍ Q3

أًàôèê çàâèٌèىîٌٍè - ïًےىàے ïًîïîًِèîيàëüيîٌٍü. بç مًàôèêà ىîويî ٌنهëàٍü âûâîن, ÷ٍî ïًè َâهëè÷هيèè ًàٌïًهنهë¸ييîé ٌèëû Q3 îٍ 5700·N نî 6700·N نèàىهًٍ لàëêè d يهîلُîنèىî َâهëè÷èٍü يà 0,003114 ىهًٍà.

ذèٌَيîê 10. أًàôèê çàâèٌèىîٌٍè نèàىهًٍà لàëêè îٍ P4

أًàôèê çàâèٌèىîٌٍè - ïًےىàے ïًîïîًِèîيàëüيîٌٍü. بç مًàôèêà ىîويî ٌنهëàٍü âûâîن, ÷ٍî ïًè َâهëè÷هيèè يàمًَوà‏ùهé ٌèëû ذ4 îٍ 5200·N نî 6200·N نèàىهًٍ لàëêè d يهîلُîنèىî َâهëè÷èٍü يà 0,00271 ىهًٍ.

6. خïèٌàيèه ٌîçنàيèے Web-ٌàéٍà


ذèٌَيîê 11. رُهىà Web-ٌàéٍà

. رًٍàيèِà "دîٌٍàيîâêà çàنà÷è” ٌîنهًوèٍ èٌُîنيûه نàييûه نëے ًàٌ÷¸ٍà لàëêè يà èçمèل è ٌُهىَ يàمًَوهييîé لàëêè;

. رًٍàيèِà "ذàٌ÷¸ٍ îïîًيîé ًهàêِèè â ٍî÷êه A" ٌîنهًوèٍ ًَàâيهيèے ىîىهيٍîâ ٌèë ïًèëîوهييûُ ê لàëêه îٍيîٌèٍهëüيî ٍî÷êè آ;

. رًٍàيèِà "دîًٌٍîهيèه ‎ï‏ً ٌèëû Q è ىîىهيٍà ج" ٌîنهًوèٍ ‎ï‏ًû, ïîًٌٍîهييûه ٌ ïîىîùü‏ ىهٍîنà ٌه÷هيèé è مًàôèêè çàâèٌèىîٌٍهé Q (Ra,x) è M (Ra,x);

. رًٍàيèِà "ذàٌ÷¸ٍ يà ïًî÷يîٌٍü لàëêè" ٌîنهًوèٍ îïًهنهëهيèه ‎êًٌٍهىàëüيûُ ىîىهيٍîâ èçمèلà‏ùèُ ىîىهيٍîâ;

. رًٍàيèِà "خïًهنهëهيèه ïهًهىهùهيèے لàëêè" ٌîنهًوèٍ نëے îïًهنهëهيèے ïًîمèلà لàëêè, َمëà ïîâîًîٍà êًَمëîمî ٌه÷هيèے è مًàôèê ïهًهىهùهيèے لàëêè ïًè èçمèله;

. رًٍàيèِà "خïًهنهëهيèه ًàçىهًîâ ٌه÷هيèے لàëêè" ٌîنهًوèٍ ًَàâيهيèے يà îïًهنهëهيèه ىèيèىàëüيîمî îٌهâîمî ىîىهيٍà ٌîïًîٍèâëهيèے, ىèيèىàëüيîمî نèàىهًٍà لàëêè, ىîىهيٍà èيهًِèè;

. رًٍàيèِà "خïًهنهëهيèے ‎êًٌٍهىàëüيûُ çيà÷هيèé ïًîمèلà لàëêè" ٌîنهًوèٍ îïًهنهëهيèے ىàêٌèىàëüيîمî çيà÷هيèے ïًîمèلà لàëêè;

. رًٍàيèِà "بٌٌëهنîâàيèے ٌîنهًوèٍ èٌٌëهنîâàيèے çàâèٌèىîٌٍهé نèàىهًٍà لàëêè îٍ Q3, ىàêٌèىàëüيîمî ïًîمèلà لàëêè îٍ ذ4.

رàéٍ ٌîçنàي ٌ ïîىîùü‏ Share Point.

اàêë‏÷هيèه


آ نàييîé êًٌَîâîé ًàلîٍه ٌ èٌïîëüçîâàيèهى ٌèٌٍهىû MathCAD لûë ïًîèçâهن¸ي ًàٌ÷¸ٍ لàëêè يà èçمèل. بٌٌëهنîâàيà çàâèٌèىîٌٍü نèàىهًٍà لàëêè îٍ ًàٌïًهنهë¸ييîé ٌèëû Q3 è çàâèٌèىîٌٍü ىàêٌèىàëüيîمî ïًîمèلà لàëêè îٍ P4. دîًٌٍîهيû مًàôèêè çàâèٌèىîٌٍè نèàىهًٍà لàëêè îٍ ًàٌïًهنهë¸ييîé ٌèëû Q3 è çàâèٌèىîٌٍè ىàêٌèىàëüيîمî ïًîمèلà لàëêè îٍ P4. آû÷èٌëهيû àيàëèٍè÷هٌêèه àïïًîêٌèىèًَ‏ùèه ôَيêِèè ïî ًهçَëüٍàٍàى èٌٌëهنîâàيèé ïًهنûنَùهمî ïَيêٍà. دîًٌٍîهيû مًàôè÷هٌêè èٌُîنيûه è àïïًîêٌèىèًَ‏ùèه çàâèٌèىîٌٍè.

تًîىه ‎ٍîمî â ُîنه âûïîëيهيèے نàييîé êًٌَîâîé ًàلîٍû لûëè çàêًهïëهيû çيàيèے, ïîëَ÷هييûه ïًè èçَ÷هيèè êًٌَà "بيôîًىàٍèêà".

رïèٌîê èٌïîëüçَهىûُ èٌٍî÷يèêîâ


1.       زàًàٌèê آ.د. جàٍهىàٍè÷هٌêîه ىîنهëèًîâàيèه ٌèٌٍهى. - جي. 1997.

2.      ج/َê ¹1948. جîنهëèًîâàيèه ًهّهيèے ٍهُيè÷هٌêèُ çàنà÷. أîىهëü. أدب 1995

3. ج/َê ¹ 3014. بيôîًىàٍèêà: دًàêٍè÷هٌêîه ًَêîâîنٌٍâî ê êًٌَîâîىَ ïًîهêٍèًîâàيè‏ ïî îنيîèىهييîىَ êًٌََ نëے ٌٍَنهيٍîâ ٍهُيè÷هٌêèُ ٌïهِèàëüيîٌٍهé. أîىهëü. أأزس 2004.

دًèëîوهيèه














ذàçىهùهيî يà Allbest.ru

Похожие работы на - Расчёт балки на изгиб в системе MathCAD

 

Не нашли материал для своей работы?
Поможем написать уникальную работу
Без плагиата!
Без нейросетей!