Понятие корреляционной зависимости
1. Понятие корреляционной зависимости
Среди статистически взаимосвязанных признаков одни могут
рассматриваться как определенные факторы, влияющие на изменение других, а
вторые - как следствие, или результат изменения первых. Соответственно, первые
- это факторные признаки, а вторые - результативные. Связь между двумя
переменными «x»
и «y» является
функциональной, если определенному значению переменной «x» соответствует строго
определенное значение «y». Это жестко детерминированная связь. Но существует и другая
взаимосвязь, при которой взаимно действуют многие факторы, неравномерно
влияющие на изменение результативного признака. Такие связи являются
стохастическими (вероятностными).
Корреляционная связь является частным случаем стохастической
связи. Это соотношение, соответствие между средним значением результативного
признака и признаками-факторами. При этом, если рассматривается связь средней
величины результативного показателя «y» c одним признаком-фактором «x», корреляционная связь называется «парной», а если факторных
признаков два и более
множественной. По характеру изменений «y», «х» в парной корреляции различают прямую и обратную
взаимосвязи. При прямой - с увеличением «x» возрастает и «y», при обратной
- уменьшается.
Изучение корреляционных связей сводится к решению следующих задач:
) выявление наличия или отсутствия корреляционной связи между
изучаемыми признаками, где эта задача может быть решена на основе параллельного
сопоставления (сравнения) значений «x» и «y» y «n» единиц совокупности, а также с помощью группировок и
путем построения и анализа специальных корреляционных таблиц;
) измерение тесноты связи между двумя и более признаками с помощью
специальных коэффициентов (коэффициентов корреляции), и эта часть исследований
называется «корреляционным анализом»;
) определение уравнения регрессии - математической модели, в
которой среднее значение результативного признака «y» рассматривается как функция одной или нескольких переменных -
факторных признаков, - и эта часть исследования носит название «регрессионный
анализ». Общий термин «корреляционно-регрессионный анализ» подразумевает
всестороннее исследование корреляционных связей, в том числе и определение
уравнений регрессии, измерение тесноты связей, а также определение возможных
ошибок, как параметров уравнений регрессии, так и показателей тесноты связей.
Связь между двумя стохастическими величинами «y» и «x» в простейшем
ненормированном виде оценивается ковариационной связью или просто
«ковариацией», которая определяется по соотношению:
а в нормированном виде - линейным
коэффициентом корреляции. Как и коэффициент Фехнера, линейный коэффициент
корреляции определяется на основе отклонений индивидуальных значений «x» и «y» от соответствующей
средней величины, представляет собой среднюю величину из произведений
нормированных отклонений для «x» и для «y»:
.
Соотношение
представляет собой среднее произведение отклонений значений
признаков от их средних, называемое «ковариацией», таким образом,
Иногда линейный коэффициент корреляции удобно рассчитывать по
итоговым значениям (суммам) исходных переменных:
.
Линейный коэффициент корреляции также можно определить по
следующей формуле:
, где
коэффициент регрессии в уравнении связи на основе линейной модели
уравнения регрессии вида
соответственно, среднеквадратические
отклонения в ряду «x» и в ряду «y». Линейный коэффициент корреляции может принимать значения от -1
до +1, причем знак определяется в ходе решения. Если
В первом случае связь прямая, во втором -
обратная. При
что означает отсутствие линейной
зависимости между «x» и «y», но не означает, что отсутствует вообще между ними какая-то
стохастическая связь. В этом случае необходимо произвести расчет «индекса
корреляции», как и при расчете после расчета по определению какого-то вида
зависимости нелинейной функциональной аппроксимации в виде уравнения регрессии,
например,
тогда:
Коэффициент эластичности показывает, на сколько процентов
изменится величина результативной переменной у, если величина факторной
переменной изменится на 1%.
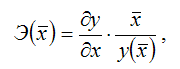
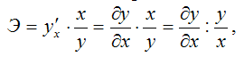
В общем случае коэффициент эластичности рассчитывается по формуле:
где y'(x) - первая производная результативной переменной у по
факторной переменной x.
Коэффициенты эластичности могут быть рассчитаны как средние и
точечные коэффициенты.
Средний коэффициент эластичности характеризует, на сколько
процентов изменится результативная переменная у относительно своего среднего
уровня y если факторная переменная х изменится на 1% относительного своего
среднего уровня x Общая формула для расчёта коэффициента эластичности для
среднего значения x факторной переменной х:

где y(x) - значение функции у при среднем значении факторной
переменной х.
Для каждой из разновидностей нелинейных функций средние
коэффициенты эластичности рассчитываются по индивидуальным формулам.
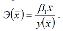
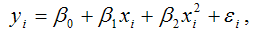
Для линейной функции вида:
=β0+β1xi,
средний коэффициент эластичности определяется по формуле:
Для полиномиальной функции второго порядка (параболической
функции) вида:
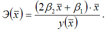
средний коэффициент эластичности определяется по формуле:
Для показательной функции вида:
средний коэффициент эластичности определяется по формуле:
Для степенной функции вида:
средний коэффициент эластичности определяется по формуле:
Это единственная нелинейная функция, для которой средний
коэффициент эластичности
равен коэффициенту регрессии β1.
Точечные коэффициенты эластичности характеризуются тем, что
эластичность функции зависит от заданного значения факторной переменной х1.
Точечный коэффициент эластичности характеризует, на сколько
процентов изменится результативная переменная у относительно своего значения в
точке х1, если факторная переменная изменится на 1% относительно
заданного уровня х1.
Общая формула для расчёта коэффициента эластичности для
заданного значения х1 факторной переменной х:
Для каждой из разновидностей нелинейных функций средние
коэффициенты эластичности рассчитываются по индивидуальным формулам.
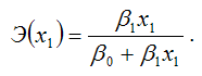
Для линейной функции вида:
yi=β0+β1xi,
точечный коэффициент эластичности определяется по формуле:
В знаменателе данного показателя стоит значение линейной
функции в точке х1.
Для полиномиальной функции второго порядка (параболической
функции) вида:
точечный коэффициент эластичности определяется по формуле:
В знаменателе данного показателя стоит значение
параболической функции в точке х1.
Для показательной функции вида:
точечный коэффициент эластичности определяется по формуле:
Для степенной функции вида:
точечный коэффициент эластичности определяется по формуле:
В общем случае коэффициент регрессии k показывает, как в
среднем изменится результативный признак (у), если факторный признак (х)
увеличится на единицу.
Свойства коэффициента регрессии
· Коэффициент регрессии не симметричен, т.е.
изменяется, если х и у поменять местами.
· Единицей измерения коэффициента регрессии
является отношение единицы измерения у к единице измерения х
([у] / [х]).
· Коэффициент регрессии изменяется при
изменении единиц измерения х и у.
.
Практическое задание
Имеются следующие данные по городу: Среднегодовая численность
населения (тыс. чел.) составила в 2006 г. - 68,2; 2007 г. - 67,9; 2008 г. -
67,6; 2009 - 67,2; 2010 г. - 66,8. Число зарегистрированных преступлений на
1000 человек населения составило в эти же годы соответственно: 111, 121, 105,
107, 125.
Рассчитайте абсолютное число зарегистрированных преступлений
за каждый год, оформите исходные и вычисленные данные в виде таблицы,
рассчитайте цепные абсолютные приросты и темпы роста абсолютного числа
зарегистрированных преступлений, определите среднее значение абсолютного
прироста и темпа роста. Сделайте выводы.
регрессия эластичность корреляционный зависимость
Решение
Абсолютное число преступление за каждый год рассчитаем так:
Среднегодовая численность населения* Число зарегистрированных преступлений
,2*111=7570,2
,9*121=8215,9
,6*105=7098 и.т.д.
Цепной абсолютный прирост - в 2007 году 8215,9-7570,2=645,7,
в 2008 году 7098-8215,9=-1117,9 и т.д.
Темп роста базисный: в 2007 году 8215,9:7570,2*100%=109%, в
2008 году 7098:8215,9*100%=94% и т.д.
Темп роста цепной: в 2007 году 8215,9:7570,2*100%=109%, в
2008 году 7098: 8215,9*100%=86% и т.д.
Среднее значение абсолютного прироста вычисляем, как сумму
всех показателей абсолютного прироста и делим на количество лет,
получаем 155, 96
Среднее значение темпа роста вычисляем, как произведение всех
значений цепного темпа роста и извлекаем корень 5-ой степени
получаем: 102%
|
Показатели
|
2006 г.
|
2007 г.
|
2008 г.
|
2009 г.
|
2010 г.
|
|
Среднегодовая
численность населения (тыс. чел.) Число зарегистрированных преступлений
Абсолютное число преступлений Абсолютный прирост цепной Темп роста, %
базисный цепной
|
68,2 111
7570,2 - - -
|
67,9 121
8215,9 645,7 109 109
|
67,6 105 7098
-1117,9 94 86
|
67,2 107
7190,4 92,4 95 101
|
66,8 125 8350
1159,6 110 116
|
Вывод: темпы роста показывают, что в 2007 году количество
преступлений увеличилось на 9% - 109%-100% =9%, в 2008 году уменьшилось на 6% -
100-94%=6%, в 2009 году уменьшилось на 5% - 100-%-95%=5% и в 2010 году
увеличилось на 10% - 110%-100%=10%.
Список
литературы
1. Гинзбург
А.И. Статистика: учеб. пособие / А.И. Гинзбург. - Ростов н/Д.: Феникс, 2011. -
128 с.
2. Криминология:
учеб. пособие / Под ред. Н.Ф. Кузнецовой. - М.: Проспект, 2010. - 496 с.
. Курганов
С.И. Криминология: учеб. пособие / С.И. Курганов. - М.: Юнити-Дана, 2010. - 184
с.
. Марлухина
Е.О. Криминология: учебник / Е.О. Марлухина. - М.: Дашков и Ко, 2009. - 372 с.
. Петрова
С.С. Криминология: учеб. пособие / С.С. Петрова. - М.: РИОР, 2009. - 196 с.
. Правовая
статистика / Под ред. В. Лялина, А. Симоненко. - М.: Юнити-Дана, 2011. - 256 с.
. Правовая
статистика / Под ред. С. Казанцева, С. Лебедева, С. Иншакова. - М.: Юнити-Дана,
2012. - 272 с.
. Правовая
статистика. Электронный учебник / Под ред.: С.Я. Казанцева, С.Я. Лебедева. -
М.: Юнити-Дана, 2010. - 256 Мб.
. Савюк
Л.К. Правовая статистика /Л.К. Савюк. - М.: Юристъ, 2011. - 640 с.
. Статистика:
учебник / Под ред. Л.И. Ниворожкиной. - М.: Дашков и Ко, 2010. - 416 с.
. Фирсова
А.В. Правовая статистика: учеб. пособие / А.В. Фирсова. - Ростов н/Д.: Март,
2010. - 128 с.