|
Види конфліктних точок
|
Відхилення
|
Злиття
|
Перетинання
|
|
Коефіцієнт відносної аварійності
|
0,0001
|
0,000968
|
0,000048
|
Кількість зіткнень
транспортних засобів при підходів до стоп-лінії розраховується по формулі

(4.2)
де 
- сумарна інтенсивність
транспортних засобів, що проходять через перехрестя, авт./год
Кількість
дорожньо-транспортних пригод за рік 
, ДТП/рік розраховується
по формулі

, (4.3)

=0
На даному перехресті
за рік не відбулося ДТП.
Кількість
дорожньо-транспортних пригод на перехресті з пішоходами 
, ДТП/рік розраховується
по формулі

(4.4)
де 
- інтенсивність
транспортних засобів, що конфліктують з пішоходами, авт./год;

- інтенсивність
пішохідних потоків, що конфліктують з транспортними засобами, чол./год
Сумарна кількість
дорожньо-транспортних пригод за рік 
, ДТП/рік,
розраховується по формулі

(4.5)
Коефіцієнт
небезпеки по перехрестю 
розраховується по
формулі

,
Виходячи з умов
безпеки, якщо:

- перехрестя безпечне;
3 < 
< 8 - перехрестя
мало небезпечне
8 < 
< 12 - перехрестя
небезпечне

> 12 - перехрестя
дуже небезпечне
Виходячи з розрахунків
перехрестя безпечне.
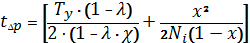
5. Розрахунок середнього
часу затримок одного автомобіля при проїзді перехрестя
Середньою
затримкою одного автомобіля 
, с/цикл, в розглянутому
напрямку розраховується по формулі Вебстера

(5.1)
де 
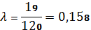
- відношення тривалості
дозволяю чого сигналу до часу циклу світлофорної сигналізації;
Відношення
тривалості дозволяю чого сигналу до часу циклу світлофорної сигналізації
розраховують по формулі

=
(5.2)
Ступінь насичення
напрямку рухом 
розраховують по формулі

, (5.3)
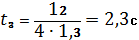
Розрахуємо
затримку одного автомобіля для кожної фази
І фаза
ІІ фаза
ІІІ фаза
Середню
затримку автомобіля на регульованому перехресті `tз, с, визначають як середньозважене значення затримок
усіх напрямків [4]
, (5.4)
де n -
кількість існуючих напрямків руху на перехресті.
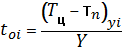
Витрати
транспортного часу за рік Тзрік, год, на регульованому
перехресті розраховується по формулі [4]
94129
Проаналізувавши
транспортну затримку ми виявили що затримка складає 94129 години за рік.
6. Охорона праці та
техніка безпеки при виконанні робіт пов’язаних з організацією дорожнього руху
6.1 Інструкція по
забезпеченню безпеки дорожнього руху в місцях проведення дорожніх робіт на
автомобільних дорогах
Загальні положення:
1. Інструкція
визначає порядок і засоби організації руху транспорту і пішоходів в місцях
проведення робіт в межах смуги відчуження автомобільних доріг загального
користування України.
2. Вимоги
інструкції обов’язкові до виконання організаціями, підприємствами та установами
незалежно від форм власності і громадян(надалі - виконавцями), які здійснюють
проектування, будівництво, реконструкцію, ремонт і утримання автомобільних і
штучних споруд, а також виконують будь - яку іншу роботу в межах смуги
відчуження доріг.
. При розробці
схеми організації дорожніх робіт в місці виконання робіт слід передбачити весь
комплекс заходів, пов’язаних із забезпеченням безпеки дорожнього руху, а також
обладнання цього місця відповідними технічними засобами організації дорожнього
руху з використанням приведених в даній інструкції типових схем. Схема
організації дорожніх робіт повинна бути узгоджена з Державтоінспекцією.
. При виконанні
робіт в смузі відчуження автомобільної дороги, якщо це загрожує безпечному чи
безперебійному руху транспорту та пішоходів, організація, що відповідає за
утримання автомобільної дороги може закрити чи обмежити рух на основі ордера,
який видається відповідним дорожнім органом за погодженням з
Державтоінспекцією. У ордері викладаються умови заборони або обмеження руху,
заходи по безпеці дорожнього руху та строки проведення робіт. Порушення цих
вимог веде до матеріальної відповідальності організацій, виконуючих роботи.
Обмеження чи заборона
руху без ордеру можливе лише в випадках, зв’язаних с стихійними лихами, а також
з необхідністю виконання аварійних робіт, про що сповіщається місцевим органам
державної виконавчої влади, органам місцевого самоуправління і державної
виконавчої влади, органам самоуправління і Державтоінспекції Міністерства
внутрішніх справ України.
5. При
обладнанні ділянки проведення робіт необхідно використовувати технічні засоби
організації дорожнього руху, які відповідають вимогам норм і стандартів.
6. До обладнання
місця проведених дорожніх робіт технічними засобами організації дорожнього руху
згідно з Державтоінспекцією схеми і вжиття всього комплексу заходів щодо
забезпечення безпеки дорожнього руху забороняється вести підготовчі роботи і
завозити матеріали, устаткування на місце проведення робіт.
. За невжиття
заходів щодо своєчасної заборони або обмеження руху чи позначення на дорогах
місць провадження робіт у відповідальності з вимогами діючих норм та
стандартів, що стосується забезпечення безпеки руху, інструкції або неприйняття
своєчасних заходів до відновлення безпечних умов для руху винні посадові особи
притягуються до відповідальності згідно діючого законодавства України.
Якщо порушення призвели
до ДТп або спричинили шкідливі наслідки, нещасні випадки з людьми, винні
посадові особи можуть бути притягнені до кримінальної відповідальності згідно з
діючим законодавством України.
6.2 Порядок організації
дорожнього руху в місцях проведення дорожніх робіт
1. На ділянках про
ведення робіт в першу чергу встановлюють тимчасові дорожні знаки найбільше
віддалені, потім в безпосередній близькості, обладнують обїзди і пішохідні
містки (при необхідності), а потім встановлюють поперечні і поздовжні
огородження, а при наявності об'їзду - відповідні технічні засоби організації
дорожнього руху
Перед ділянкою на період
виконання робіт допускається встановлювати транспаранти, які формують про місце
і характер робіт. Транспаранти слід розміщувати за межами узбіччя дороги разом
з першим тимчасовим дорожнім знаком «Дорожні роботи».
2. При виконанні
дорожніх робіт в темні години доби і при тумані інвентарні умови бар'єри, які
розміщуються поперечно, повинні бути обладнані двома ввімкненими ліхтарями червоного
кольору згідно РСТ УССР 1966-86 «Ограждения дорожные переносние» або
світлоповертаючими пристроями червоного і білого кольору. На поперечному
огородженні повинно бути не менш ніж два ліхтаря, а його стояки і поперечина
повинні мати світлоповертачи смуги шириною 10 і 20 см відповідно білого і
червоного кольору або бар'єрі повинні розміщуватись дорожні знаки 1.4.3 - 1.4.3
другого типорозміру.
Повздовж дороги
сигнальні ліхтарі та світлоповертачі елементи слід розміщувати на інвентарних
бар'єрах на відстані 15 м один від одного.
3. Постійні дорожні
знаки, дія яких розповсюджується на ділянку проведення робіт і суперечать
прийнятій схемі організації дорожнього руху, повинні бути за узгодженням з
Державтоінспекцією зняті або переставлені і встановлені тимчасові знаки.
4. По закінченні
всіх робіт на ділянці дороги необхідно привести її в стан, що забезпечує
безпеку руху, тобто: вивести всі механізми і обладнання, прибрати залишки
матеріалів і будівельне сміття, відновити покриття, спланувати узбіччя і схили
насипу чи виїмки, очистити покриття, спланувати узбіччя і схили насипу чи
виїмки, очистити покриття проїзної частини і тротуарів.
Після цього на ділянці
дороги відкривають звичайний рух, для чого спочатку встановлюють постійні
дорожні знаки у відповідності до проекту чи схеми організації дорожнього руху
при виконанні робіт.
В останню чергу
ліквідовують вїзд і виїзд з дороги на об’їзд знімають встановлені на ньому
тимчасові дорожні знаки.
. Завершена
реконструкцією чи ремонтом ділянка дороги підлягає невідкладній передачі
організації, що утримує дорогу, згідно установленому ордером порядку, про що
складається відповідний акт.
6.3 Технічні вимоги
об’їзду
1. Тимчасовий
об’їзд влаштовується з таким розрахунком, щоб в будь - яких погодно -
кліматичних умовах забезпечувався безпечний рух транспорту на весь період
виконання робіт на даній ділянці дороги. Вимоги до тимчасового об’їзду повинні
бути викладені в технічній документації, яка узгоджується з Державтоінспекцією.
2. В’їзд і виїзд з
дороги на об’їзд повинні бути розташовані не ближче 20 м від місця виконання
робіт. До місця виконання робіт виходить площа, обмежена зонами дій машин і
механізмів, розміщення обладнання і складування матеріалів.
. Ширина проїзної
частини об’їзду визначається технічною документацією, яка погоджується
Державтоінспекцією, але вона неповинна бути меншою: для односугового - 3,5 м і
двосмугового 6, 0 м при ширині узбіччя - 1.75 м.
. Допускається
організація двохстороннього руху по одно смуговому об’їзді з використанням
світлофорної сигналізації.
. На тимчасовому
об’їзді радіуси кривих в плані повинні визначатися в залежності від обмеження
швидкості руху транспорту. В місті з’їзду з дороги та виїзду з об’їзду на
дорогу радіус кривої в плані повинен бути не менше 30 м.
. Поздовжній ухил
на об’їзді встановлюється в залежності від обмеження швидкості транспорту, але не більше 100%, а на ділянці в’їзду і виїздить не більше 40%.
. У випадку
використовування для об’їзду мережі існуючих доріг загального користування, на
кожному перехресті цих доріг встановлюють тимчасові дорожні знаки «напрямок
об’їзду», а на головній дорозі - «Схема об’їзду». На знаках «Напрямок об’їзду»
замість слова «об’їзд» допускається зазначити назву ближнього або кінцевого
населеного пункту, рух до якого здійснювався раніше по закритій ділянці дороги.
6.4 Ремонт,
реконструкція і будівництво доріг і штучних споруд
1. При влаштуванні
тротуарів в межах земляного полотна, при будівництві смуг розгону і гальмування
або додаткових смуг, при виконанні робіт по укріпленню узбіччя організація руху
транспорту здійснюється по типовій схемі 6. Проведення зазначених робіт
одночасно з протилежних боків дороги не дозволяється.
Якщо обмеження
максимальної швидкості, що вводиться на даній ділянці дороги, більше ніж 20
км/год відрізняється на попередній ділянці, то слід застосовувати ступінчате
обмеження швидкості з кроком не більше 20 км/год шляхом послідовного
встановлення знаків «обмеження максимальної швидкості» встановлених один від
одного на відстані 100 до 150 м.
2. При виконанні
будь - яких дорожніх робітна одній смузі двосмугових доріг застосовують типові
схеми 7 - 10, три смугових - типові схеми 11 і 12 і чотири смугових - типові
схеми 13 і 14.
3. Якщо ремонт
дорожнього покриття виконується методом термопрофілювання чи терморегеренції в
схемах 7 - 14 необхідно добавити транспаранти « Обережно вогонь!», які
закріпляють на стоянках основних знаків « Дорожні роботи». Напис на
транспаранті виконується чоними літерами висотою 200 мм на жовтому фоні.
. При проведенні
робіт по всій ширині проїзної частини, дво або три смугових доріг і більше
рухом автотранспорту організовується по спеціально обладнаних об’їздах
застосовують типову схему 15 або 16.
. При
використанні в якості об’їзду мережі існуючих доріг організація руху транспорту
на прилежних до дільниці проведення робіт перехресть або примикань здійснюються
по схемі 17. Схему 17 застосовують також при капітальному ремонті мостів,
шляхопроводів та інших штучних споруд.
. При виконанні
робіт на половині проїзної частини багато смугових доріг з роздільною смугою
слід застосовувати типову схему 18, а типову схему 19 - для таких доріг без
розділювальної смуги.
7. При проведенні
робіт на лівоповоротному з’їзді транспортні розв’язки в різних рівнях
застосовують типову схему 20, а на правоповоротному з’їзді схему 21.
Перелік посилань
1. Кременец Ю.А. Техниеские средства организации дорожного
движения. - Москва: «Транспорт» 1990.
2. Фишельсон М.С. Транспортная планировка городов. - Москва
«Высшая школа» 1985.
3. Хомяк Я.В. Организация дорожного движения. - Киев: Высш. шк.,
1986.
4. Клинковштейн Г.И. Организация дорожного движения: Учебник
для автомобильно-дорожных вузов и факультетов. - 3-е изд., перераб. И доп. -
М.: Транспорт, 1992.
. Бабков В.Ф., Андреев О.В. Проектирование автомобильных
дорог. Часть 1: Учебник для вузов по специальносям «Автомобильные дороги» и
«Мосты и тоннели». - М.: Транспорт, 1979.
6. Коноплянко В.И. Организация и безопасность дорожного
движения. - Москва 1983.
7. Иносэ Х., Хамада Т. Управление дорожным движением / Под ред.
М.Я. Блинкина: Пер. с англ. - М.: Транспорт, 1983.
8. Лобанов Е.М. «Транспортне планування міст». Москва
(Транспорт) - 1980 р.
перехрестя рух
сигналізація дорожній