Исчисление функции одного переменного
РОССИЙСКАЯ
ФЕДЕРАЦИЯ
МИНИСТЕРСТВО
ОБРАЗОВАНИЯ И НАУКИ
ФГБОУ ВПО
«ТЮМЕНСКИЙ ГОСУДАРСТВЕННЫЙ УНИВЕРСИТЕТ»
ИНСТИТУТ
ДИСТАНЦИОННОГО ОБРАЗОВАНИЯ
СПЕЦИАЛЬНОСТЬ
«Экономика»
Контрольная
работа
По
дисциплине: Математический анализ
Введение в анализ и дифференциальное
исчисление функции одного переменного
Задание 1.
Вычислить предел
Решение.
Выносим константу за скобки:
Предел константы является постоянным, предел
суммы равен сумме пределов:
Предел x, при x стремящимся к 0, равен 0.
Предел cos x, при x стремящимся к 0, равен 1.
Ответ: 0.
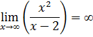
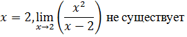
Задание 2.
Найти асимптоты функции
По определению асимптоты:
Находим коэффициент k:
,
Находим коэффициент b:
,
Получаем уравнение горизонтальной асимптоты:
Рис. 1
Ответ: y=6; x=0.
Задание 3.
Определить глобальные экстремумы:
Решение.
Находим первую производную функции:
или
Приравниваем ее к нулю:
,
Вычисляем значения функции на концах отрезка:
Ответ:
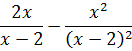
Задание 4.
Исследовать на монотонность, найти локальные
экстремумы и построить эскиз графика функции
Решение.
Рис. 2
Рис. 3
Задание 5.
Найти промежутки выпуклости и точки перегиба
функции
Решение.

т.к. на
на
выпуклость
вверх,
т.к. на
Дифференциальное исчисление функций
и его приложение
Задание 1.
Провести полное исследование свойств и построить
эскиз графика функции
Решение.
Область определения функции:
Пересечение с осью абсцисс
:
Пересечение с осью ординат
Поведение функции в граничных точках области
определения:
Поведение функции на бесконечности:
Наклонная асимптота функции:
Исследование функции на четность/нечетность:
Функция является ни четной, ни нечетной.
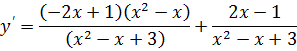
Производная функции равна:
Нули производной:
,
Функция возрастает на:
Функция убывает на:
Минимальное значение функции:
Максимальное значение функции:
Построение графика функции:
Рис. 4
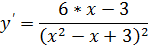
Задание 2.
Найти локальные экстремумы функции
Решение.
В точке
Найдем частные производные:
Решим систему уравнений:
Получим:
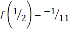
а) Из первого уравнения выражаем
и
подставляем во второе уравнение:
Откуда
Данные значения подставляем в выражение для
.
Получаем:
б) Из первого уравнения выражаем
и
подставляем во второе уравнение:
Откуда
Данные значения
подставляем
в выражение для
. Получаем:

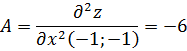
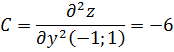
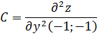
Найдем частные производные второго порядка.
,
,
Вычислим значения этих частных производных
второго порядка в критических точках
Вычислим
значение для точки
Вычисляем значения для точки
Вычисляем значения для точки
.
Вычисляем значения для точки
:
В точке
имеется
максимум
Задание 3.
Определить экстремумы функции
, если
Решение.
Задача сводится к нахождению прямоугольника,
имеющего наибольший/наименьший полупериметр при заданной площади. Известно, что
среди прямоугольников с заданным периметром наибольшей площадью обладает
квадрат. Поэтому наименьшим полупериметром среди прямоугольников, имеющих
,
обладает квадрат, для которого
. Прямоугольника с
наибольшим полупериметром не существует. Следовательно, функция
при
условии
имеет
минимум, если
, причем
.
Условного максимума функция не имеет.
Интегральное исчисление функции
одного переменного
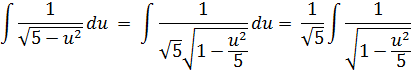
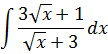
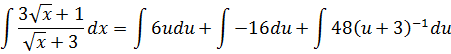
Задание 1. Найти неопределенный интеграл
Решение.
Для подынтегральной функции
полный
квадрат равен:
Для подынтегральной функции
произведем
замену
и
Для подынтегральной функции
произведем
замену
и
Интегралом
является
Произведем обратную замену для
Произведем обратную замену для
Ответ:
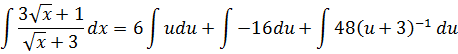
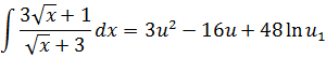
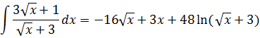
Задание 2.
Найти неопределенный интеграл
Решение.
Делаем замену переменных:
,
Интеграл суммы есть сумма интегралов:
Вынесли константу из-под знака интеграла:
Проинтегрировали степенную функцию:
Проинтегрировали константу:
Вынесли константу из-под знака интеграла:
Делаем замену переменных:
,
Проинтегрировали степенную функцию:
Сделали обратную замену:
Сделали обратную замену:
Ответ:
Задание 3.
Найти неопределенный интеграл:
Решение.
Интегрируем подынтегральную функцию по частям:
В подынтегральной функции
производим
замену
и
Интегралом
является
Произведем обратную замену для
:
Ответ:
.
Задание 4.
Вычислить:
Решение.
Подставляем пределы интегрирования:
функция переменная интегрирование
Ответ:
Задание 5.
Определить площадь плоской фигуры, ограниченной
кривыми
Решение.
Рис. 5
Список литературы
1.
А.П. Девятков, А.А. Макаров, Е.Г. Пыткеев, А.Г. Хохлов. Математика:
Математический анализ и линейная алгебра., М., 2011.