Построение графических примитивов
Оглавление
Введение
1. Растровая и векторная графики
1.1 Растровая графика
1.2 Векторная графика
2. Построение треугольника и гиперболы по алгоритму Бразенхема
2.1 Построение треугольника в MathCAD
2.2 Построение гиперболы в MathCAD
3. Математические модели поверхностей и объектов
3.1 Тела Платона
3.2 Построение додекаэдра в MathCAD
Заключение
Используемая литература
Введение
Целью данной курсовой работы являются закрепление, углубление
и расширение теоретических знаний в области методов моделирования поверхностей
и объектов, развитие практических умений и навыков программной реализации этих
методов.
Компьютерная графика - это область информатики, занимающаяся
проблемами получения различных изображений (рисунков, чертежей, мультипликации)
на компьютере. Работа с компьютерной графикой - одно из самых популярных
направлений использования персонального компьютера, причем занимаются этой
работой не только профессиональные художники и дизайнеры. На любом предприятии
время от времени возникает необходимость в подаче рекламных объявлений в газеты
и журналы, в выпуске рекламной листовки или буклета. Иногда предприятия
заказывают такую работу специальным дизайнерским бюро или рекламным агентствам,
но часто обходятся собственными силами и доступными программными средствами.
Без компьютерной графики не обходится ни одна современная программа. Работа над
графикой занимает до 90% рабочего времени программистских коллективов,
выпускающих программы массового применения. Основные трудозатраты в работе
редакций и издательств тоже составляют художественные и оформительские работы с
графическими программами. Необходимость широкого использования графических
программных средств стала особенно ощутимой в связи с развитием Интернета и, в
первую очередь, благодаря службе World Wide Web, связавшей в единую
"паутину" миллионы "домашних страниц". У страницы,
оформленной без компьютерной графики мало шансов привлечь к себе массовое
внимание. Область применения компьютерной графики не ограничивается одними
художественными эффектами. Во всех отраслях науки, техники, медицины, в
коммерческой и управленческой деятельности используются построенные с помощью
компьютера схемы, графики, диаграммы, предназначенные для наглядного
отображения разнообразной информации. Конструкторы, разрабатывая новые модели
автомобилей и самолетов, используют трехмерные графические объекты, чтобы
представить окончательный вид изделия. Архитекторы создают на экране монитора
объемное изображение здания, и это позволяет им увидеть, как оно впишется в
ландшафт.
Таким образом компьютерная графика является одной из самых
развиваемых и необходимых наук в современном мире. Если заглянуть немного
глубже в компьютерную графику, то необходимо разделить её на 2 категории:
векторную графику и растровую.
1. Растровая
и векторная графики
Графические редакторы также можно разделить на две категории:
растровые и векторные.
Растровые графические редакторы являются наилучшим средством
обработки фотографий и рисунков, поскольку растровые изображения обеспечивают
высокую точность передачи градаций цветов и полутонов. Среди растровых
графических редакторов есть простые, например стандартное приложение Paint,
и мощные профессиональные графические системы, например Adobe Photoshop.
К векторным графическим редакторам относятся графический редактор,
встроенный в текстовый редактор Word. Среди профессиональных векторных
графических систем наиболее распространена CorelDRAW. Сюда также можно
добавить Macromedia Flash MX.
1.1 Растровая
графика
Растровые изображения формируются в процессе сканирования
многоцветных иллюстраций и фотографий, а также при использовании цифровых фото
- и видео - камер. Также можно создать растровое изображение непосредственно на
компьютере с помощью растрового графического редактора.
Растровое изображение создается с использованием точек
различного цвета (пикселей), которые образуют строки и столбцы. Каждый пиксель
может принимать любой цвет из палитры, содержащий десятки тысяч или даже
десятки миллионов цветов, поэтому растровые изображения обеспечивают высокую
точность передачи цветов и полутонов. Качество растрового изображения
возрастает с увеличением пространственного разрешения (количества пикселей в
изображении по горизонтали и вертикали) и количества цветов в палитре.
Недостатком растровых изображений является их большой
информационный объем, так как необходимо хранить код цвета каждого пикселя.
Растровые изображения очень чувствительны к уменьшению и
увеличению. При уменьшении растрового изображения несколько соседних точек
преобразуются в одну, и поэтому теряется четкость мелких деталей изображения.
При увеличении растрового изображения точки добавляются, в результате
нескольким соседним точкам назначается одинаковый цвет, и появляется
ступенчатый эффект.
Растровые графические редакторы являются наилучшим средством
обработки цифровых фотографий и отсканированных изображений, поскольку
позволяют повышать их качество путем изменения цветовой палитры изображения и
даже цвета каждого отдельного пикселя. Можно повысить яркость и контрастность
старых или некачественных фотографий, удалить мелкие дефекты изображения
(например, царапины), преобразовать черно - белое изображение в цветное и т.д.
Кроме того, растровые графические редакторы можно
использовать для художественного творчества путем использования различных
эффектов преобразования изображения. Обычную фотографию можно превратить в
мозаичное панно, рисунок карандашом или углем либо рельефное изображение.
Форматы растровых графических файлов. Графические редакторы
позволяют открывать, обрабатывать и сохранять изображения и рисунки в различных
графических форматах. Форматы графических файлов определяют способ хранения
информации в файле (растровый или векторный), а также форму хранения информации
(используемый метод сжатия). Универсальным форматом растровых графических файлов,
т.е. форматом, который "понимают" все растровые графические
редакторы, является формат BMP. Растровые графические файлы в этом
формате имеют большой информационный объем, так как в них хранятся коды цветов
всех точек изображения.
Для размещения изображений на WEB - страницах в Интернете
используются форматы растровых графических файлов, в которых используется
сжатие. В растровом графическом формате GIF используется метод сжатия,
который позволяет неплохо сжимать файлы, в которых много одноцветных областей
изображения (логотипы, надписи, схемы). Файлы в формате GIF могут содержать не
одну, а несколько растровых картинок, которые показываются одна за другой с
указанной в файле частотой, чем достигается иллюзия движения (GIF-анимация).
Недостатком формата GIF является ограниченная палитра, в которой не может
быть больше 256 цветов.
Растровый графический формат PNG использует метод
сжатия без потери данных и является усовершенствованным вариантом формата GIF,
так как позволяет использовать в PNG-палитре до 16 миллионов цветов. При
сохранении файлов в этом формате можно указать требуемую степень сжатия на
шкале "высокая степень сжатия и плохое качество изображения - низкая
степень сжатия и высокое качество изображения".
Для сжатия цифровых и отсканированных фотографий используется
формат JPEG. Компьютер обеспечивает воспроизведение более 16 млн.
различных цветов, тогда как человек вряд ли способен различить более сотни
цветов и оттенков. В формате JPEG отбрасывается "избыточное" для
человеческого восприятия разнообразие цветов соседних пикселей. Применение
этого формата позволяет сжимать файлы в десятки раз, однако приводит к
необратимой потере информации (файлы не могут быть восстановлены в
первоначальном виде).
векторная растровая графика примитив
1.2 Векторная
графика
Для векторной графики характерно разбиение изображения
на ряд графических примитивов - точки, прямые, ломаные, дуги, полигоны. Таким
образом, появляется возможность хранить не все точки изображения, а координаты
узлов примитивов и их свойства (цвет, связь с другими узлами и т.д.).
Взглянем на изображениe рис. 1.
Рис. 1 Исходное изображение
На изображении легко можно выделить множество простых
объектов - отрезки прямых, ломанные, эллипс, замкнутые кривые. Представим себе,
что пространство рисунка существует в некоторой координатной системе. Тогда
можно описать это изображение, как совокупность простых объектов,
вышеперечисленных типов, координаты узлов которых заданы вектором относительно
точки начала координат (рис. 2).
Рис. 2 Векторное изображение и узлы его примитивов
Проще говоря, чтобы компьютер нарисовал прямую, нужны
координаты двух точек, которые связываются по кратчайшей прямой. Для дуги
задается радиус и т.д. Таким образом, векторная иллюстрация - это набор
геометрических примитивов. Важной деталью является то, что объекты задаются
независимо друг от друга и, следовательно, могут перекрываться между собой.
При использовании векторного представления изображение
хранится в памяти как база данных описаний примитивов. Основные графические
примитивы, используемые в векторных графических редакторах: точка, прямая,
кривая Безье, эллипс (окружность), полигон (прямоугольник). Примитив строится
вокруг его узлов (nodes). Координаты узлов задаются относительно координатной
системы макета. А изображение будет представлять из себя массив описаний
например:
- отрезок (20, 20-100,80);
- окружность (50,40-30);
- кривая Безье (20, 20-50,30-100,50);
- и так далее.
Каждому узлу приписывается группа параметров, в зависимости
от типа примитива, которые задают его геометрию относительно узла. Например,
окружность задается одним узлом и одним параметром - радиусом. Такой набор
параметров, которые играют роль коэффициентов и других величин в уравнениях и аналитических
соотношениях объекта данного типа, называют аналитической моделью примитива.
Отрисовать примитив - значит построить его геометрическую форму по его
параметрам согласно его аналитической модели.
Векторное изображение может быть легко масштабировано без
потери деталей, так как это требует пересчета сравнительно небольшого числа
координат узлов. Другой термин - "object-oriented graphics".
Самой простой аналогией векторного изображения может служить
аппликация. Все изображение состоит из отдельных кусочков различной формы и
цвета (даже части растра), "склеенных" между собой. Понятно, что
таким образом трудно получить фотореалистичное изображение, так как на нем
сложно выделить конечное число примитивов,
Существенными достоинствами векторного способа представления
изображения, по сравнению с растровым, являются:
- векторное изображение может быть легко
масштабировано без потери качества, так как это требует пересчета сравнительно
небольшого числа координат узлов;
- графические файлы, в которых хранятся
векторные изображения, имеют существенно меньший, по сравнению с растровыми,
объем (порядка нескольких килобайт).
Сферы применения векторной графики очень широки. В
полиграфике - от создания красочных иллюстраций до работы со шрифтами. Все, что
мы называем машинной графикой, 3D-графикой, графическими средствами
компьютерного моделирования и САПР - все это сферы приоритета векторной
графики, ибо эти ветви дерева компьютерных наук рассматривают изображение
исключительно с позиции его математического представления.
Как видно, векторным можно назвать только способ описания
изображения, а само изображение для нашего глаза всегда растровое. Таким
образом, задачами векторного графического редактора являются растровая
прорисовка графических примитивов и предоставление пользователю сервиса по
изменению параметров этих примитивов. Все изображение представляет собой базу
данных примитивов и параметров макета (размеры холста, единицы измерения и
т.д.). Отрисовать изображение - значит выполнить последовательно процедуры
прорисовки всех его деталей.
Для получения качественного цветного изображения надо не
менее 256 оттенков для каждого базового цвета. В модели RGB соответственно их
3: красный, зеленый и синий. Получаем общее количество байт - 3 на каждый
пиксел. Программы векторной графики хранят информацию об объектах, составляющих
изображение в виде графических примитивов: прямых линий, дуг окружностей,
прямоугольников, закрасок и т.д.
Достоинства векторной графики:
- Преобразования без искажений.
- Векторные рисунки могут быть увеличены или
уменьшены без потери качества. это возможно так как изменение размера рисунка
производится с помощью простого умножения координат точек графических объектов
на коэффициент масштабирования.
- Маленький графический файл. Небольшой информационный
объем файлов по сравнению с объемом файлов, содержащих растровые изображения.
- Независимое редактирование частей рисунка.
- Высокая точность прорисовки (до 1 000 000
точек на дюйм).
- Редактор быстро выполняет операции.
Недостатки векторной графики:
- Векторные изображения выглядят
искусственно.
- Ограниченность в живописных средствах.
Для обработки изображений на компьютере используются
специальные программы - графические редакторы.
2. Построение
треугольника и гиперболы по алгоритму Бразенхема
Алгоритм Брезенхе́ма - это алгоритм, определяющий, какие точки двумерного растра
нужно закрасить, чтобы получить близкое приближение прямой линии между двумя
заданными точками. Алгоритм широко используется, в частности, для рисования
линий на экране компьютера. Существует обобщение алгоритма Брезенхэма для
построения кривых 2-го порядка.
Отрезок проводится между двумя точками - 
и 
, где в этих парах указаны колонка и строка, соответственно,
номера которых растут вправо и вниз. Сначала мы будем предполагать, что наша
линия идёт вниз и вправо, причём горизонтальное расстояние 
превосходит вертикальное 

, т.е. наклон линии от горизонтали - менее 45°. Наша цель состоит
в том, чтобы для каждой колонки x между 
и 
, определить, какая строка y ближе всего к линии, и нарисовать
точку (
,
).
Общая формула линии между двумя точками:

.
Поскольку мы знаем колонку 
, то строка y получается округлением к целому следующего значения:
Однако, вычислять точное значение этого выражения нет
необходимости. Достаточно заметить, что y растёт от 
и за каждый шаг мы добавляем к x единицу и добавляем к y
значение наклона 
, которое можно вычислить заранее. Более того, на каждом шаге мы
делаем одно из двух: либо сохраняем тот же y, либо увеличиваем его на 1.
Что из этих двух выбрать - можно решить, отслеживая значение
ошибки, которое означает - вертикальное расстояние между текущим значением y и
точным значением y для текущего x. Всякий раз, когда мы увеличиваем x,
мы увеличиваем значение ошибки на величину наклона s, приведённую выше.
Если ошибка превысила 0.5, линия стала ближе к следующему y, поэтому мы
увеличиваем y на единицу, одновременно уменьшая значение ошибки на 1.
Алгоритм изображения окружности несколько сложнее, чем построение
отрезка. Мы рассмотрим его для случая окружности радиуса r с центром в
начале координат. Перенесение его на случай произвольного центра не составляет
труда. При построении растровой развертки окружности можно воспользоваться ее
симметрией относительно координатных осей и прямых 
. Необходимо сгенерировать лишь одну восьмую часть окружности, а
остальные ее части можно получить путем отображений симметрии. За основу можно
взять часть окружности от 0 до 45° в направлении по часовой стрелке с исходной
точкой построения 
. В этом случае координата окружности 
является монотонно убывающей функцией координаты 
.
2.1
Построение треугольника в MathCAD
Функция Line аппроксимирует отрезок с начальными координатами
X1, Y1 и конечными координатами X2, Y2 по общему алгоритму Брезенхема. рис.6
Рис. 6 Построение линий в MathCAD для треугольника по
алгоритму Бразенхема
Функция Triang объединяет три матрицы с координатами точек
каждой стороны треугольника.
Далее выводим средствами Mathcad результат работы функции
Triang для заданных координат вершин треугольника рис.7:
Рис. 7 Треугольник построенный по алгоритму Бразенхема в
MathCAD
2.2
Построение гиперболы в MathCAD
Пусть на плоскости заданы две точки F1 и F2
(|F1F2|=c) и дано число a (0 < a < c).
Гипербола - множество точек M плоскости, для каждой из которых модуль
разности расстояний от точек F1 и F2 равен 2a.
Согласно этим выражениям на рис.8 мы видим построение
гиперболы по данному алгоритму
Точки F1 и F2 называются
фокусами гиперболы; |A1A2|=2a - действительная
ось; |B1B2|=2b - мнимая ось; O - центр; F1
(-c,0), F2 (c,0) - левый и правый фокусы; A1, A2
- вершины; r1=|F1M|, r2=|F2M|
- фокальные радиусы:
Рис.8 Схематичное построение гиперболы по алгоритму
Бразенхема
Каноническое уравнение:
Эксцентриситет:
Фокальный параметр:
Уравнения директрис: x=-a/e, x=a/e
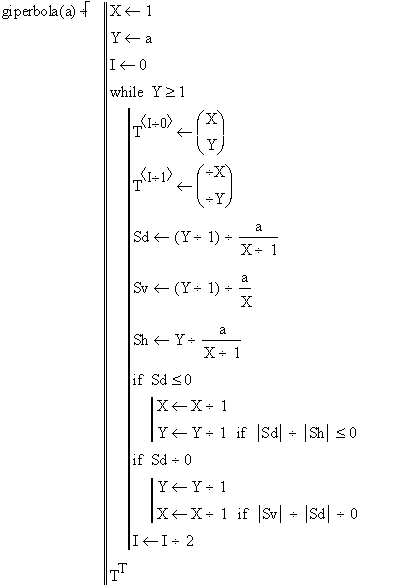
Реализуем данный алгоритм по средствам MathCAD согласно рис.
9
Рис.9 Построение линии геперболы в MathCAD
Входным параметром функции построения гиперболы является
размер полуоси гиперболы a (по оси ОХ). Сначала присваиваем значения
переменным: X=1, Y=a - координаты точки начала построения гиперболы; I=0
- обнуление счетчика. Затем организуем цикл с предусловием while с условием,
пока значение Y будет больше или равно 1. Для того, чтобы гипербола строилась
симметрично, создаем 2 матрицы T и в процессе выполнения цикла заполняем их
соответствующими значениями. Потом пишем канонические уравнения гиперболы для
каждого из возможных направлений перемещения (вправо и вниз по диагонали, вниз,
вправо) и присваиваем их значения переменным Sd, Sv и Sh соответственно. Затем
следуют два условия, касающиеся значения канонического уравнения для
направления "по диагонали", на основании которых осуществляется выбор
направления построения точки эллипса.
Последний этап - транспонирование матрицы T и вывод графика
на экран рис.10.
Рис. 10 Вывод гиперболы на экран
3.
Математические модели поверхностей и объектов
3.1 Тела
Платона
Тела Платона - это выпуклые многогранники, все грани которых
правильные многоугольники. Все многогранные углы правильного многогранника
конгруэнтны. Как это следует уже из подсчета суммы плоских углов при вершине,
выпуклых правильных многогранников не больше пяти. Указанным ниже путем можно
доказать, что существует именно пять правильных многогранников (это доказал
Евклид). Они - правильный тетраэдр, гексаэдр (куб), октаэдр, додекаэдр и
икосаэдр. Названия этих правильных многогранников пришли из Греции. В дословном
переводе с греческого "тетраэдр", "октаэдр",
"гексаэдр", "додекаэдр", "икосаэдр" означают:
"четырехгранник", "восьмигранник", "шестигранник".
"двенадцатигранник", "двадцатигранник".
Таблица №1
|
Название:
|
Число ребер при
вершине
|
Число сторон
грани
|
Число граней
|
Число ребер
|
Число вершин
|
|
Тетраэдр
|
3
|
3
|
4
|
6
|
4
|
|
Гексаэдр
|
3
|
4
|
6
|
12
|
8
|
|
Октаэдр
|
4
|
3
|
8
|
12
|
6
|
|
Додекаэдр
|
3
|
5
|
12
|
30
|
20
|
|
Икосаэдр
|
5
|
3
|
20
|
30
|
12
|
Таблица №2
|
Название:
|
Радиус
описанной сферы
|
Объем
|
|
Тетраэдр
|
|
|
|
|
Гексаэдр
|
|
|
|
|
Октаэдр
|
|
|
|
|
Додекаэдр
|
|
|
|
|
Икосаэдр
|
|
|
|
Тетраэдр - четырехгранник, все грани которого треугольники,
т.е. треугольная пирамида; правильный тетраэдр ограничен четырьмя
равносторонними треугольниками рис.11 (первый с лева)
Куб или правильный гексаэдр - правильная четырехугольная
призма с равными ребрами, ограниченная шестью квадратами рис.11 (второй с лева)
Октаэдр - восьмигранник; тело, ограниченное восемью
треугольниками; правильный октаэдр ограничен восемью равносторонними треугольниками;
один из пяти правильных многогранников. рис.11 (третий с лева)
Додекаэдр - двенадцатигранник, тело, ограниченное двенадцатью
многоугольниками; правильный пятиугольник. рис.11 (четвертый с лева)
Икосаэдр - двадцатигранник, тело, ограниченное двадцатью
многоугольниками; правильный икосаэдр ограничен двадцатью равносторонними
треугольниками. рис.11 (пятый с лева)
Рис. 11 Тела Платона
Куб и октаэдр дуальны, т.е. получаются друг из друга, если центры
тяжести граней одного принять за вершины другого и обратно. Аналогично дуальны
додекаэдр и икосаэдр. Тетраэдр дуален сам себе. Правильный додекаэдр получается
из куба построением "крыш” на его гранях (способ Евклида), вершинами тетраэдра
являются любые четыре вершины куба, попарно не смежные по ребру. Так получаются
из куба все остальные правильные многогранники. Сам факт существования всего
пяти действительно правильных многогранников удивителен - ведь правильных
многоугольников на плоскости бесконечно много!
Все правильные многогранники были известны еще в Древней Греции, и
им посвящена 13-я книга "Начал" Евклида. Их еще называют телами
Платона, т.к. они занимали важное место в философской концепции Платона об
устройстве мироздания. Четыре многогранника олицетворяли в ней четыре сущности
или "стихии". Тетраэдр символизировал огонь, т.к. его вершина
устремлена вверх; икосаэдр − воду, т.к. он самый "обтекаемый";
куб - землю, как самый "устойчивый"; октаэдр − воздух, как
самый "воздушный". Пятый многогранник, додекаэдр, воплощал в себе
"все сущее", символизировал все мироздание, считался главным.
Гармоничные отношения древние греки считали основой мироздания,
поэтому четыре стихии у них были связаны такой пропорцией: земля/вода =
воздух/огонь.
В связи с этими телами уместно будет сказать, что первая система
элементов, включавшая четыре элемента − землю, воду, воздух и огонь, -
была канонизирована Аристотелем. Эти элементы оставались четырьмя краеугольными
камнями мироздания в течение многих веков. Вполне возможно отождествить их с
известными нам четырьмя состояниями вещества - твердым, жидким, газообразным и
плазменным.
Важное место занимали правильные многогранники в системе
гармоничного устройства мира И. Кеплера. Все та же вера в гармонию, красоту и
математически закономерное устройство мироздания привела И. Кеплера к мысли о
том, что поскольку существует пять правильных многогранников, то им
соответствуют только шесть планет. По его мнению, сферы планет связаны между
собой вписанными в них платоновыми телами. Поскольку для каждого правильного
многогранника центры вписанной и описанной сфер совпадают, то вся модель будет
иметь единый центр, в котором будет находиться Солнце.
Проделав огромную вычислительную работу, в 1596 г.И. Кеплер в
книге "Тайна мироздания" опубликовал результаты своего открытия. В
сферу орбиты Сатурна он вписывает куб, в куб − сферу Юпитера, в сферу
Юпитера - тетраэдр, и так далее последовательно вписываются друг в друга сфера
Марса − додекаэдр, сфера Земли − икосаэдр, сфера Венеры −
октаэдр, сфера Меркурия. Тайна мироздания кажется открытой.
Сегодня можно с уверенностью сказать, что расстояния между
планетами не связаны ни с какими многогранниками. Впрочем, возможно, что без
"Тайны мироздания", "Гармонии мира" И. Кеплера, правильных
многогранников не было бы трех знаменитых законов И. Кеплера, которые играют
важную роль в описании движения планет.
Где еще можно увидеть эти удивительные тела? В книге немецкого
биолога начала прошлого века Э. Геккеля "Красота форм в природе"
можно прочитать такие строки: "Природа вскармливает на своем лоне
неисчерпаемое количество удивительных созданий, которые по красоте и
разнообразию далеко превосходят все созданные искусством человека формы".
Создания природы, приведенные в этой книге, красивы и симметричны. Это
неотделимое свойство природной гармонии. Но здесь видно и одноклеточные
организмы − феодарии, форма которых точно передает икосаэдр. Чем же
вызвана такая природная геометризация? Может быть, тем, что из всех
многогранников с таким же количеством граней именно икосаэдр имеет наибольший
объем и наименьшую площадь поверхности. Это геометрическое свойство помогает
морскому микроорганизму преодолевать давление водной толщи.
Интересно и то, что именно икосаэдр оказался в центре внимания биологов
в их спорах относительно формы вирусов. Вирус не может быть совершенно круглым,
как считалось ранее. Чтобы установить его форму, брали различные многогранники,
направляли на них свет под теми же углами, что и поток атомов на вирус.
Оказалось, что только один многогранник дает точно такую же тень −
икосаэдр. Его геометрические свойства, о которых говорилось выше, позволяют
экономить генетическую информацию. Правильные многогранники − самые
выгодные фигуры. И природа этим широко пользуется. Кристаллы некоторых знакомых
нам веществ имеют форму правильных многогранников. Так, куб передает форму
кристаллов поваренной соли NaCl, монокристалл алюминиево-калиевых квасцов
(KAlSO4) 2 12Н2О имеет форму октаэдра, кристалл сернистого колчедана FeS имеет
форму додекаэдра, сурьмянистый сернокислый натрий - тетраэдра, бор - икосаэдра.
Правильные многогранники определяют форму кристаллических решеток некоторых
химических веществ.
Итак, правильные многогранники открыли нам попытки ученых
приблизиться к тайне мировой гармонии и показали неотразимую привлекательность
и красоту этих геометрических фигур.
3.2
Построение додекаэдра в MathCAD
Додекаэдр - наиболее сложное тело Платона. Оптимальный метод
его построения заключается в предварительном создании икосаэдра и соединении
центров его смежных граней ребрами.
Икосаэдр конструируется по следующему алгоритму.
Рис. 12 Схема построения икосаэдра
В окружностях сечений
цилиндра единичного радиуса
строятся правильные пятиугольники 1-3-5-7-9-1 и 2-4-6-8-10-2 с
координатами вершин xi=cos (36°i), zi=sin (36°i), yi=
(-1) i+1h при i=1.10. Соединяя вершины 1-2-3-4-5-6-7-8-9-10-1,
получим десять средних треугольных граней икосаэдра с длиной горизонтальных
ребер
Так как у нас нет смещения по х и по у то 
и 
, а 
поэтому получим 
,
Из условия получения равносторонних треугольников.
Найдем высоту h, для этого распишем длину ребер d через
координаты 1 и 10 вершины.
Так как 
то получим 
Вычислим радиус описанной сферы:
,
Функция K формирует матрицу координат вершин икосаэдра.
- матрица координат вершин икосаэдра.
- матрица номеров вершин образующих одну грань икосаэдра.
Функция VV формирует матрицу координат вершин додекаэдра. Для
этого из матрицы Q берем координатные столбцы вершин, образующих одну грань,
усредняем их и получаем соответствующий координатный столбец матрицы Q12.-
матрица координат вершин додекаэдра.
В матрицы G12 задаем обход додекаэдра (рис.13) для
прорисовки.
Рис. 13 Обход граней додэкаэдра
Результатом работы функции V (Q, G) является блочная матрица,
элементы которой содержат соответственно только координаты X, Y и Z начальных и
конечных вершин всех ребер, входящих в матрицу G12.
Далее средствами Mathcad по результатам работы функции V
(Q12,G12) строим график поверхности додекаэдра (рис. 14):
Рис. 14 Построенный график поверхности додэкаэдра
Заключение
При выполнении мной данной курсовой работы я научился
обрабатывать и анализировать изображения, построенные с использованием процедур
и функций встроенного языка системы MathCAD. Были изучены построения графических
примитивов, таких как треугольник и гипербола по алгоритму Бразенхема, а так же
была рассмотрена и проанализирована каркасная модель Платонова тела -
додэкаэдр, которая в свою очередь является трёхмерным объектом.
Знания полученные в ходе выполнения данной работы могут
пригодится в любой сфере деятельности относящейся как к IT-индустрии так и
промышленной. Кроме того проектирование данных алгоритмов способствуют моему
саморазвитию в области не только проектирования, но и программирования.
Используемая
литература
1. Роджерс
А, Адамс Дж: "Матем. основы машинной графики" - пер с англ. - М: Мир,
2001-604 ил.
2. Порев
В.Н. - "Компьютерная графика" - СПБ: БХВ - Питербург, 2005 - 576 с.,
ил.
. Никулин
Е.А. - "Компьютерная геометрия и алгоритмы машинной графики" - СПБ:
БХР - Питербург, 2005 - 576 с., ил
. Пастнов
К.М. - "Компьютерная графика" - М: МГСУ, 2009 - 249 с., ил
. Сергеев
Александр Петрович, Кущенко Сергей Владимирович Основы компьютерной графики.
AdobePhotoshop и CorelDRAW - два в одном. Самоучитель - М.:
"Диалектика", 2006. - С.544. - ISBN 5-8459-1094-3
6. Иванов В.П., Батраков А.С. Трехмерная компьютерная
графика /Под ред.Г.М. Полищука. - М.: Радио и связь, 1995. - 224 с
7. Дональд Херн, М. Паулин Бейкер Компьютерная графика
и стандарт OpenGL = Computer Graphics with OpenGL - 3-е изд. - М.:
"Вильямс", 2005. - С.1168. - ISBN 5-8459-0772-1.
. Эдвард Энджел Интерактивная компьютерная графика.
Вводный курс на базе OpenGL = Interactive Computer Graphics. A Top-Down
Approach with Open GL - 2-е изд. - М.: "Вильямс", 2001. - С.592. -
ISBN 5-8459-0209-6.
. Сергеев Александр Петрович, Кущенко Сергей
Владимирович Основы компьютерной графики. Adobe Photoshop и CorelDRAW - два в
одном. Самоучитель - М.: "Диалектика", 2006. - С.544. - ISBN
5-8459-1094-3.
. Кнабе Г.А. Энциклопедия дизайнера печатной
продукции. Профессиональная работа. - К.: "Диалектика", 2005. -
С.736. - 3000 экз. - ISBN 5-8459-0906-6.