Динамика двигателя внутреннего сгорания

  • Вид работы:
    Курсовая работа (т)
  • Предмет:
    Транспорт, грузоперевозки
  • Язык:
    Русский
    ,
    Формат файла:
    MS Word
    872,59 Кб
  • Опубликовано:
    2014-04-01
Вы можете узнать стоимость помощи в написании студенческой работы.
Помощь в написании работы, которую точно примут!

Динамика двигателя внутреннего сгорания

ЗАДАНИЕ

. Двигатель-прототип - ГАЗ-24;

. Номинальная эффективная мощность двигателя прототипа , кВт - 70-80;

. Номинальная частота вращения вала двигателя , об/мин - 5000;

. Числа цилиндров, z - 4P;

. Диаметр цилиндра D, м - 0,092;

. Ход поршня S, м - 0,092;

. Отношение радиуса кривошипа к длине шатуна, 𝜆кр - 0,260;

. Степень сжатия  - 7,3 ;

. Коэффициент избытка воздуха  - 0,86;

. Степень предварительного расширения  - 1,08;

. Коэффициент эффективного использования теплоты при сгорании  - 0,91;

. Масса поршня , кг - 0,62;

. Масса шатуна , кг - 1,02;

. Отношение массы шатуна приведенного к поршню, к массе шатуна  - 0,278;

. Масса кривошипа , кг - 3,90.

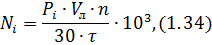
1. ТЕПЛОВОЙ РАСЧЁТ ДВИГАТЕЛЯ

Рис. 1.1 - Схема кривошипно-шатунных механизмов (рядного)

1.1 Характерные объёмы цилиндров

Рабочий объём цилиндра


где D - диаметр цилиндра;- ход поршня.

  (по заданию).


Объём камеры сжатия


где  - степень сжатия.

 (по заданию).


Полный объём цилиндра


Текущий объём


где  - угол поворота кривошипа;

 - отношение радиуса кривошипа к длине шатуна.

;  (по заданию).


Результаты расчётов выполненные от 0 до  сводят в таблицу 1. 1 и строя график зависимости изменения объёма цилиндра от угла поворота кривошипа.

Табл. 1.1 - Зависимость объёма цилиндра от угла поворота кривошипа

Параметры

Угол поворота кривошипа


0 360

10 370

20 380

30 390

40 400

50 410

60 420

70 430

80 440

90 450

Объём цилиндра V, дм3

0,097

0,103

0,12

0,148

0,185

0,23

0,28

0,333

0,388

0,443

Параметры

Угол поворота кривошипа


100 460

110 470

120 480

130 490

140 500

150 510

160 520

170 530

180 540

190 550

Объём цилиндра V, дм3

0,494

0,542

585

0,623

0,653

0,678

0,695

0,705

0,709

0,705

Параметры

Угол поворота кривошипа


200 560

210 570

220 580

230 590

240 600

250 610

260 620

270 630

280 640

290 650

Объём цилиндра V, дм3

0,695

0,678

0,654

0,623

0,586

0,543

0,495

0,443

0,388

0,333

Параметры

Угол поворота кривошипа


300 660

310 670

320 680

330 690

340 700

350 710

360 720

Объём цилиндра V, дм3

0,28

0,23

0,185

0,148

0,12

0,103

0,097


Литраж двигателя


где  - число цилиндров;  (по заданию).


1.2 Характеристика горючей смеси и продуктов сгорания

Теоретически необходимое количество воздуха для сгорания 1 кг топлива:


где С - массовая доля в топливе углерода;

Н - массовая доля в топливе водорода;

О - массовая доля в топливе кислорода;

 - объёмная доля кислорода в воздухе.

;  [2];


Количество горючей смеси на 1 кг топлива для карбюраторного двигателя


где  - коэффициент избытка воздуха;

 - молекулярная масса топлива.

 (по заданию); [2]. Принимаю .


Количество продуктов сгорания на 1 кг топлива


Химический коэффициент молекулярного изменения горячей смеси при сгорании


1.3 Параметры состояния газа перед впускными и за выпускными клапанами

Давление свежего заряда перед впускными клапанами для двигателей без наддува


где  - давление окружающей среды;

 - потеря давления в впускном трубопроводе.

; . Принимаем .


Температура свежего заряда перед впускными клапанами для двигателей без наддува


где  - температура окружающей среды;

 - температура подогрева свежего заряда.

 .. Принимаем .


Давление газа за выпускными клапанами двигателя без наддува


где  - перепад давления в выпускном трубопровода;

. Принимаем .


1.4 Показатели процесса наполнения

Количество остаточных газов


где  - универсальная газовая постоянная;

 - температура остаточных газов в начале процесса впуска.

; . Принимаем .

Давление остаточных газов


где  - коэффициент, учитывающий перепад давления остаточных газов в цилиндре по отношению к давлению за выпускными клапанами в конце процесса выпуска.

. .


Давление в конце процесса наполнения


где  - коэффициент, учитывающий перепад давления рабочей смеси перед впускными клапанами по отношению к давлению в цилиндре в конце процесса наполнения.

. .

Коэффициент наполнения


где  - повышение температуры свежего заряда от стенок цилиндра.

. Принимаем .


Коэффициент остаточных газов


Температура в конце процесса наполнения


Количество свежей смеси, заполнившей цилиндр


Количество рабочей смеси


1.5 Показатели процессов сжатия и сгорания

Изменение давления в цилиндре в процессе сжатия


где  - показатель политропы сжатия.

.


Давление в конце процесса сжатия


Температура в конце процесса сжатия


Коэффициент молекулярного изменения при сгорании рабочей смеси


Температуру в условном конце сгорания , по методу расчёта, изложенному в работе. Определяют решая уравнения


Для карбюраторного двигателя входящие в уравнение зависимости определяют по формулам


где ;

 - степень предварительного расширения.

 (по заданию).

 

где ; ;

 - низшая теплотворная способность топлива;

 - коэффициент эффективности использования теплоты при сгорании.

;  (по заданию).

 

 

 

Для карбюраторного двигателя степень повышения давления определяется по заданной степени предварительного расширения


Давление в конце сгорания


Объём цилиндра в конце сгорания


1.6 Показатели процесса расширения

Давление в цилиндре на участке предварительного расширения принимают величиной постоянной равной .

Степень последующего расширения


При последующем расширении давление в цилиндре уменьшается в результате увеличения объёма и рассчитывается по формуле


где  - показатель политропы расширения.

Принимаем .

Давление в конце процесса расширения


Температура в конце процесса расширения


Давления и температуры в цилиндре двигателя в процессах сжатия, сгорания и расширения вносятся в таблицу. По результатом расчёта рабочего процесса двигателя строятся индикаторные диаграммы, представляющие собой зависимости изменения давления газов в цилиндре от его объёма и угла поворота кривошипа. В процессе наполнения давления принимают величиной постоянной, равной , а давление в процессе выпуска равным .

Табл. 1.2 - Индикаторная диаграмма

Линия сжатия

Линия расширения

, град

V, дм3

Р, МПа

, град

V, дм3

Р, МПа

1

2

3

4

5

6

180

0,709

0,083

360

0,097

4,325

190

0,705

0,083

370

0,103

4,325

200

0,695

0,085

380

0,12

3,662

210

0,678

0,088

390

0,148

2,841

220

0,654

0,092

400

0,185

2,163

230

0,623

0,098

410

0,23

1,662

240

0,586

0,107

420

0,28

1,306

250

0,543

0,118

430

0,333

1,055

260

0,495

0,134

440

0,388

0,876

270

0,443

0,155

450

0,443

0,746

280

0,388

0,185

460

0,494

0,652

290

0,333

0,227

470

0,542

0,582

0,28

0,287

480

0,585

0,53

310

0,23

0,374

490

0,623

0,492

320

0,185

0,499

500

0,653

0,464

330

0,148

0,674

510

0,678

0,444

340

0,12

0,89

520

0,695

0,43

350

0,103

1,096

530

0,705

0,423

360

0,097

1,186

540

0,709

0,42


1.7 Индикаторные и эффективные показатели двигателя

Среднее индикаторное давление


где  - коэффициент полноты индикаторной диаграммы.

 [2].

 

 

Индикаторная мощность двигателя


где  - тактность двигателя.


Средний индикаторный момент


Экономичность рабочего цикла двигателя внутреннего сгорания характеризуется индикаторным КПД, который представляет собой отношение тепла преобразованного в индикаторную работу цикла  к теплу, затраченного за цикл топлива .


Удельный индикаторный расход топлива


Среднее давление механических потерь


где  - средняя скорость поршня.


 и  - эмпирические коэффициенты.

 [6];  [6].


Механический КПД двигателя


Среднее эффективное давление


Эффективный КПД двигателя


Эффективная мощность двигателя


Эффективный момент


Удельный эффективный расход топлива


Часовой расход топлива


2. ДИНАМИКА ДВИГАТЕЛЯ ВНУТРЕННЕГО СГОРАНИЯ

К выполнению данного этапа проекта приступают после определения показателей рабочего процесса. Расчёты проводят в следующей последовательности:

. Определение движущих масс кривошипно-шатунного механизма.

. Определение сил, действующих в кривошипно-шатунном механизме и крутящего момента.

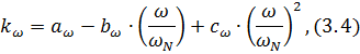
Для проведения расчётов необходимо составить схему сил действующих в кривошипно-шатунном механизме.

Силы, действующие на кривошипно-шатунный механизм

Рис. 2.1

2.1 Определение масс движущихся частей кривошипно-шатунного механизма

Масса возвратно-поступательно движущихся частей


где  - масса поршня;

 - масса шатуна, приведенная к поршню.

;  (по заданию).


Масса вращающихся частей


где  - масса кривошипа;  - масса шатуна, приведенная к кривошипу.

;  (по заданию).

2.2 Определение сил, действующих в кривошипно-шатунном механизме и крутящего момента

Сила от давления газов на поршень


где  - давление газов в цилиндре. Сила инерции возвратно-поступательных масс


Суммарная сила действующая на поршень


Нормальная сила, действующая перпендикулярно оси цилиндра


где  - угол отклонения шарнира от оси цилиндра. Сила, действующая на кривошип


Центробежная сила, действующая на кривошип


Полная радиальная сила на кривошипе


Тангенциальная сила на одном кривошипе


Крутящий момент от одного цилиндра,


По данным результатом строим диаграммы от угла поворота кривошипа от 0 до 720 действующая на поршень и кривошип. Определить суммарный индикаторный момент


Среднее величина индикаторного момента многоцилиндрового двигателя определяется индикаторной работой периода, отнесенной к углу поворота


Эффективный момент двигателя


Эффективная мощность


где  - угловая скорость вала двигателя, рад/сек.

Табл. 2.1 - Такт впуска. Силы, действующие на поршень

0

0,083

-121,9

-14361

-14483

0

-14483

20

0,083

-121,9

-12980

-13102

-1169

-13102

40

0,083

-121,9

-9244

-9366

-1587

-9366

60

0,083

-121,9

-4215

-4337

-1002

-4337

80

0,083

-121,9

685

685

181

685

100

0,083

-121,9

4644

4644

1230

4644

120

0,083

-121,9

7059

7059

1631

7059

140

0,083

-121,9

8095

8095

1371

8095

160

0,083

-121,9

8318

8318

741

8318

180

0,083

-121,9

8312

8312

-0,88

8312

двигатель цилиндр объём клапан

Табл. 2.2 - Такт впуска. Силы, действующие на кривошип

0

0,083

-121,9

-14483

-72969

0

0

20

0,083

-121,9

-11911

-70397

-5581

-256

40

0,083

-121,9

-6153

-64640

-7237

-332

60

0,083

-121,9

-1299

-59785

-4257

-195

80

0,083

-121,9

-59

-58546

707

32

100

0,083

-121,9

-2018

-60504

4359

200

120

0,083

-121,9

-4944

-63430

5297

243

140

0,083

-121,9

-7084

-65570

4150

190

160

0,083

-121,9

-8071

-66557

2144

98

180

0,083

-121,9

-8312

-66798

-2,5

-0,115


Табл. 2.3 - Такт сжатия. Силы, действующие на поршень

180

0,083

-121,9

8434

8312

-0,88

8312

200

0,085

-107,3

8440

8333

-744

8366

220

0,092

-58,9

8215

8157

-1383

8273

240

0,107

38,2

7178

7216

-1668

7406

260

0,134

218

4758

4977

-1318

5149

280

0,185

559

797

1356

-359

1403

300

0,287

1239

-4227

-2988

690

-3066

320

0,5

2654

-6600

1117

-6694

340

0,892

5259

-12986

-7727

688

-7757

360

1,186

7213

-14361

-7147

-1,514

-7147


Табл. 2.4 - Такт сжатия. Силы, действующие на кривошип

180

0,083

-121,9

-8312

-66798

-2,5

-0,115

200

0,085

-107,3

-8084

-66570

-2153

-99

220

0,092

-58,9

-7135

-65621

-4186

-192

240

0,107

38,2

-5049

-63536

-5418

-249

260

0,134

218

-2160

-60646

-4674

-215

280

0,185

559

-117

-58603

-139

-64

300

0,287

1239

-898

-59384

2932

134

320

0,5

2654

-4341

-62827

5096

234

340

0,892

5259

-7028

-65514

3284

151

360

1,186

7213

-7147

-65633

-7

-0,337


Табл. 2.5 - Такт расширения. Силы, действующие на поршень

360

4,325

28084

-14361

13722

2,906

13722

380

3,657

23643

-12974

10669

954

10712

400

2,159

13643

-9233

4450

755

4514

420

1,304

7999

-4202

3796

877

3896

440

0,874

5142

818

5961

1579

6166

460

0,651

3658

4773

8432

2233

9722

480

0,53

2853

7185

10038

2318

10302

500

0,464

2411

8218

10629

1799

10780

520

0,43

2189

8440

10630

945

10672

540

0,42

2122

8434

10556

-3

10556


Табл. 2.6 - Такт расширения. Силы, действующие на кривошип

360

4,325

28084

13722

-44763

14,085

0,648

380

3,657

23643

9695

-48790

4554,788

209

400

2,159

13643

2920

-55565

3441

158

420

1,304

7999

1134

-57351

3727

171

440

0,874

5142

-526

-59012

6144

282

460

0,651

3658

-3671

-62157

7912

363

480

0,53

2853

-7035

-65521

7526

346

500

0,464

2411

-9305

-67791

5443

250

520

0,43

2189

-10315

-68801

2734

125

540

0,42

2122

-10556

-69047

-9,544

-0,439


Табл. 2.7 - Такт выпуска. Силы, действующие на поршень

540

0,420

2122

8434

10556

-3,353

10556

560

0,117

103

8440

8543

-765

8578

580

0,117

103

8264

8318

-1412

8437

600

0,117

103

7174

7277

-1683

7470

620

0,117

103

4751

4854

-1286

5022

640

0,117

103

786

890

-235

920

660

0,117

103

-4239

-4133

954

-4244

680

0,117

103

-9266

-9162

1550

-9292

700

0,117

103

-12992

-12889

1145

-12939

720

0,117

103

-14361

-14257

-6,039

-14257


Табл. 2.8 - Такт выпуска. Силы, действующие на кривошип

540

0,420

2122

-10556

-69042

-9,544

0,439

560

0,117

103

-8287

-66773

-2213

580

0,117

103

-7274

-65760

-4274

-196

600

0,117

103

-5089

-63575

-5468

-251

620

0,117

103

-2103

-60589

-4510

-209

640

0,117

103

-76

-58562

-917

-42

660

0,117

103

-1247

-59733

4057

186

680

0,117

103

-6033

-64519

7067

325

700

0,117

103

-11728

-70214

5466

251

720

0,117

103

-14253

-72743

-29,268

-1,346


3. ХАРАКТЕРИСТИКА ДВИГАТЕЛЯ

.1 Внешняя скоростная характеристика двигателя

Внешняя скоростная характеристика представляет собой зависимость эффективного крутящего момента , эффективной мощности , удельного расхода топлива  и часового расхода топлива  при полном открытии дроссельной заслонки в карбюраторном двигателе или при положении органа управления подачей топлива в низу, обеспечивающей получений номинальной мощности, в зависимости от скорости вращения вала двигателя .

Для расчета зависимости эффективной мощности  от скорости вращения вала двигателя  используют эмпирическое уравнение


где  - эмпирические коэффициенты.

 - эффективная мощность двигателя на номинальном режиме, получаем при выполнении расчёта рабочего процесса двигателя.

Построение внешней скоростной характеристике необходимо производить в диапазоне от  до . Если на авто установлен карбюраторный двигатель без ограничения скорости вращения вала, то принять . В случае применению карбюраторного двигателя с ограниченной скорости вращения то .

Эффективный момент двигателя определяют по формуле


Удельный эффективный расход топлива рассчитывают по формуле


где  - удельный эффективный расход топлива при максимальной мощности;

 - коэффициент учитывающий изменение удельного расхода топлива при изменении угловой скорости вращения вала.

. Принимаем .

Коэффициент  приближено можно определить по эмпиричному выражению:


где  - коэффициенты зависящие от типа и конструкции двигателя. При проведении расчётов можно принимать ; ; . Часовой расход топлива


Результаты заносим в таблицу 3. 1

Табл. 3.1 - Внешняя скоростная характеристика двигателя

156,99

24,54

156,3

377,82

9,27

209,32

34,23

163,55

362,25

12,4

261,65

43,77

167,3

350,93

15,36

313,98

52,61

167,56

343,85

18,09

366,31

60,19

164,31

341,02

20,53

418,64

65,96

157,77

342,43

22,59

470,97

69,38

147,32

348,09

24,15

523,3

69,9

133,58

358

25,02

575,65

66,96

116,33

372,15

24,92


3.2 Нагрузочная характеристика

Нагрузочную характеристику необходимо построить для 6-8 значений скорости вращения вала двигателя начиная от минимальной до максимальной включая номинальный режим.

При определении удельного расхода топлива пользуется зависимостью


где  - коэффициент учитывающий степень использования мощности двигателя.

Коэффициент определяется по формуле


где  - степень использования мощности двигателя.

Степень использования мощности двигателя представляет собой отношения используемой эффективной мощности двигателя  к  по внешней скорости характеристике при соответствующей скорости вращения вала двигателя


Коэффициенты ; ; .

Для постоянной скорости вращения вала двигателя коэффициент проявляется величиной постоянной.

3.3 Многопараметровая характеристика

Многопараметровую характеристику строят в координатах: эффективный момент - угловая скорость вращение вала двигателя, но которую наносят кривые равных удельных расходов и кривые равных эффективных мощностей.

Для построения многопараметровой характеристики используются результаты внешней скорости характеристики.

Для построения многопараметровой характеристике результаты расчётов различных угловых скоростей вращения вала двигателя в пределах от 60 …80 рад/сек до . Минимальное значение эффективного момента принимают 0,2…0,3 от максимального момента по внешней скорости характеристике. Внешняя скорость характеристика ограничивает поля многопараметровой характеристик сверху.

Табл. 3.2 - Нагрузочные и многопараметровые характеристики

Ме/

94,2

125,6

157

188,4

219,8

251,2

282,6

314

345

481

388

342

319

309

311

326

363

443

622

441

344

312

295

288

287

296

321

376

566

401

317

296

285

278

277

286

294

328

416

361

306

294

287

282

278

278

282

99

352

321

311

306

302

297

293

288

286

290

314

280

334

332

329

325

319

313

305

299

301

240

372

373

370

365

359

351

346

327

314

200

427

427

423

418

411

402

391

375

303

160

499

496

490

482

475

467

457

442

418

126

507

578

569

559

552

543

538

528

509

80

691

675

660

649

641

673

635

633

625


СПИСОК ИСПОЛЬЗОВАННЫХ ИСТОЧНИКОВ

1. Болотин Г.М., Токаренко В.М. Оформление материалов самостоятельной работы. - К: Вища школа, 1984. - 72 с.

. Разлейцев Н.Ф. и др. Типовая программа, методические указания и контрольные задания по курсу «Основы теории и расчёта автомобильных и тракторных двигателей». - Харьков.: ХПИ, 1988. - 60 с.

. Богданов С.Н., Буренков М.М., Иванов И.Е. Автомобильные двигателя. М.: Машиностроения, 1987. - 368 с.

. Артамонов М.Д., Морин М.М. Основы теории и конструирования автотракторных двигателей. - М.: Высшая школа, 1973. - 205 с.

. Двигатели внутреннего сгорания. Теория поршневых и комбинированных двигателей. (Под ред. А.С. Ормена и М.Г. Круглова) - М.: Машиностроения, 1983. - 372 с.

. Железко Б.Е. и др. Расчет и конструирование автомобильных и тракторных двигателей. - Минск. Вышэйшая школа, 1987. - 247 с.

. Автомобильные и тракторные двигатели. Часть 1. Теория двигателей и системы их топливоподачи. (Под ред. И.М. Ленина). - М.: Машиностроения, 1976. -368 с.

. Автомобильные и тракторные двигатели. Часть 2. Конструкция и расчёт двигателей. (Под ред. И.М. Ленина). - М.: Машиностроения, 1976. -280 с.

. Двигатели внутреннего сгорания. (Пол ред. В.Н. Луканина). - М.: Высшая школа, 1985.

. Колчин А.И., Демидов В.П. Расчет автомобильных и тракторных двигателей. - М.: Высшая школа, 1980.

. Шапко В.Ф., Нарбут Т.А. К вопросу о расчёте топливной экономичности автомобиля. - М.: Известия высших учебных заведений, №5, 1977.

Похожие работы на - Динамика двигателя внутреннего сгорания

 

Не нашли материал для своей работы?
Поможем написать уникальную работу
Без плагиата!
Без нейросетей!