Расчет рекуперативного кожухотрубного вертикального теплообменного аппарата с U–образными трубами
1. Задание
Произвести конструкторский расчет
рекуперативного кожухотрубного вертикального теплообменного аппарата с
U-образными трубами. По окончанию расчета выполнить сборочный чертеж на
чертежном листе формата А1 и составить спецификацию.
.1 Исходные данные
Рисунок 1.1 - Схематичное
изображение теплообменника
Расход греющей среды 
, давление греющей среды

, энтальпия пара 
, температура пара
, энтальпия конденсата
греющей среды на выходе из зоны СП 
, температура дренажа на
выходе из зоны СП 
, энтальпия дренажа на
выходе из зоны ОД 
, температура дренажа на
выходе из зоны ОД 
.
Расход нагреваемой среды

давление нагреваемой
среды 
, энтальпия на входе в
теплообменник 
, температура
нагреваемой среды на входе в теплообменник 
, энтальпия воды на
выходе из зоны ОД 
, температура воды на
выходе 
, энтальпия воды на
выходе из зоны СП 
, температура воды на
выходе из зоны СП 
2.
Конструкторский расчет теплообменника
.1 Определение эскизной площади
поверхности теплообмена
Эскизная площадь
поверхности теплового обмена - 
определяется для каждой
зоны из уравнения теплопередачи.
где i - ОП, СП, ОД; 
- тепловая нагрузка i-й
зоны, Вт, определяется из уравнения теплового баланса соответствующей зоны; 
- средне
логарифмический температурный напор i-й зоны, 
; 
- коэффициент
теплопередачи для i-й зоны, 
.
Средний температурный
напор, 
, для каждой выделенной
i-й зоны подогревателя с учетом смешанной (многократно перекрестного тока)
схемы движения теплоносителей может быть найден по уравнению,
где 
- коэффициент,
учитывающий эффективность нагрева. Безразмерные величины A, P и R определяются
по уравнениям
где индексом 1 обозначает
температура греющего теплоносителя, 2 - нагреваемого. Штрих характеризует вход,
два штриха - выход теплоносителя.
Рисунок 2.1 - График температурного
напора при противоточной схеме движения теплоносителей
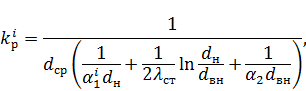
Коэффициент
теплопередачи 
в каждой условной зоне
рекуперативного теплообменника, в свою очередь, зависит от коэффициентов
теплоотдачи от греющего теплоносителя к стенке 
и от стенки к
нагреваемому теплоносителю 
, которые в свою очередь
зависят от скоростей теплоносителей, конструктивных характеристик, площади
поверхности и условий теплообмена. В связи с этим на первом итеративном шаге
конструкторского расчета значение коэффициента теплоотдачи для каждой зоны
теплообмена рекомендуется принимать ориентировочно из следующего диапазона:
для зоны охлаждения пара
(ОП) - 
;
для зоны собственного
подогревателя (СП) - 
;
для зоны охлаждения
конденсата пара (ОД) - 
.
После определения
площади поверхности в каждой зоне, определяют суммарный эскиз поверхности - 
.
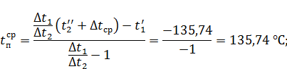
.1.1 Расчет зоны СП




т.к. один из
коэффициентов равен нулю, то средний температурный напор для конкретной зоны
теплообмена в зависимости от схемы тока движения теплоносителей (прямоток или
противоток), при условии 
можно оценить по
формуле:
а при 
средний температурный
напор можно рассчитывать по формуле
где 
- соответственно
большая и меньшая разность температур теплоносителей, определяемая для
противоточной схемы тока следующим образом:
индекс «б» ставиться у того
температурного напора, который больший из двух, «м» - у которого температурный
напор меньше.
Коэффициент
теплопередачи для зоны СП выбираем равным
.
.1.2 Расчет зоны ОД




Коэффициент
теплопередачи для зоны ОД выбираем равным 
.
Найдем общую эскизную площадь
поверхности теплообмена:
2.2 Определение основных
конструктивных размеров теплообменника
Определение основных конструктивных
размеров теплообменника начинают с оценки объемных секундных расходов по
каждому из теплоносителей.
Объемный секундный
расход греющей среды (пара), 
Объемный секундный
расход нагреваемой среды (воды), 
Здесь 
- плотность
соответственно греющей и нагреваемой сред, 
; 
- удельные объемы
соответственно греющей и нагреваемой сред, 
.
где 
- средние температуры
соответственно греющей и нагреваемой сред, 
.
Среднюю температуру пара
и воды при противотоке можно определить по формулам:
где 
; 
; 
- средне
логарифмический напор для зоны СП.
Рассчитаем среднюю
температуру пара и воды.
Найдем удельные объемы для пара и
воды.
Определим объемные секундные
расходы.
Скорость теплоносителей, м/с,
лимитируется оптимальным гидравлическим сопротивлением аппарата, а также
эрозией материала труб в результате воздействия потока. Предварительное,
ориентировочное значение скорости может быть найдено по формулам
для греющей среды (пара)
для нагреваемой среды (воды)
Выбираем из
рекомендованного ряда наружный диаметр 
, равным 
. Внутренний диаметр
находится по формуле:
После чего, при
найденной скорости движения воды 
, 
, и известных параметрах
ее в подогревателе, определяют число труб в его одном ходе:
Общая длина труб теплообменного
аппарата, м, определяется по следующему выражению:
т.к. общая длина труб
больше, чем 9 м, то принимаем решение, о выполнении теплообменника,
многоходовым, причем число ходов принимается из стандартного четного ряда 2, 4,
6, 8, 10, 12 так, чтобы общая длина одного хода подогревателя 
из соображений
компактности и технологичности находилась в пределах от 2 до 9 м.
Рассчитаем длину одного
хода подогревателя.
С учетом предварительно выбранного
числа ходов общее количество труб в теплообменнике определяется как:
.3 Компоновка трубного пучка
Выбор способа
расположения труб на трубной доске определяется исходя из следующих
соображений, предварительно задаются величиной шага 
.
Затем определяем количество
концентрических окружностей и 6-ти угольников - m.
Далее определяем
количество труб, которое можно расположить на 
- окружностях или 6-ти
угольниках.
т.к. 
, то выбираем схему
расположения по концентрическим окружностям (рисунок 2.2).
Рисунок 2.2 - Схема разбивки трубной
решетки по концентрическим окружностям
После выбора схемы
расположения труб на трубной доске находят внутренний диаметр корпуса
теплообменника - 
, м.
где 
- диаметр наружной
концентрической окружности; 
- кольцевой зазор между
крайними трубами и корпусом, принимается в расчетах 6-10 мм.
Найденное значение
внутреннего диаметра корпуса 
принимается равным
значению ближайшего диаметра (в большую сторону) из стандартного сортамента
(ряда) труб (по ГОСТ 9617-79 /1, с. 26/). 
После чего выполняется
проверка правильности выбора числа ходов 
теплообменника. За
окончательное значение числа ходов принимается значение, при котором
одновременно следующие два условия:
т.к. оба условия
выполняются, принимаем число ходов, 
, за окончательное
(рисунок 2.3).
Рисунок 2.3 - Схема установки
перегородок в крышке восьмиходового теплообменника
После определения принципа
организации движения воды по ходам необходимо выбрать тип крышки водяной
камеры. Выбираем эллиптический тип крышки водяной камеры (рисунок 2.4) и способ
закрепления труб в трубной доске с помощью автоматической сварки конической раззенковкой
(рисунок 2.5).
Рисунок 2.4 - Эллиптическая крышка
водяной камены
Рисунок 2.5 - Способ закрепления
труб в трубной тоске
Заканчивается компоновка трубного
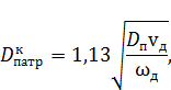
пучка определением размеров патрубков теплообменника.
где 
- удельный объем
дренажа на выходе из зоны ОД; 
- скорость дренажа; 
- температура дренажа
на выходе из теплообменника.
Рассчитаем диаметр
патрубка.
.4 Компоновка межтрубного
пространства
Задачей компоновки
является оптимизация скорости греющей среды в межтрубном пространстве
теплообменника за счет установки в нем поперечных перегородок. Необходимость
установки поперечных перегородок определяется следующим образом. Первоначально
определяем площадь межтрубного пространства без учета перегородок, 
.
За тем определяем
фактическую скорость пара в межтрубном пространстве, 
.
т.к. фактическая скорость пара
меньше рекомендуемой, то необходимо увеличить ее путем установки межтрубных
перегородок.
Выбираем кольцевые межтрубные
перегородки (рисунок 2.6).

Задачей расчета является
определение основных размеров. Перед началом определения размеров перегородок
находят уточненную площадь межтрубного пространства с учетом установленных
перегородок, 
.
Более того уточненная площадь
межтрубного пространства должна быть одинаковой в любом сечение межтрубного
пространства. В частности внутри кольца между площадью, диском они равны
площади горизонтального цилиндра.
Диаметр кольца
поперечной перегородки 
, определяется через
площадь проходного сечения внутри кольца, 
:
где 
- коэффициент
заполнения решетки трубами: для одноходового пучка - 0,8-1; для двухходового
пучка - 0,7-0,85; для четырехходового пучка и более - 0,6-0,8. Примем 
, т.к. 
.
Диаметр диска 
, определяется через
площадь кольцевого зазора между корпусом и диском, 
:
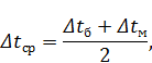
Расстояние между
поперечными перегородками кольцевого типа 
, определяется через
проходное сечение в вертикальном цилиндре среднего диаметра 
, при степени заполнения
его окружности трубами 
:
.5 Определение значений
коэффициентов теплопередачи
Значение коэффициента
теплопередачи от стенки труб к нагреваемому теплоносителю 
, для всех зон
теплообмена (ОП, СП, ОД) определяется через критерий Нуссельта:
где 
- внутренний диаметр
труб, м; 
- коэффициент
теплопроводности нагреваемой среды (воды), 
, принимается по
давлению 
и средней температуре 
, 
; 
- критерий Нуссельта.
При теплообмене с однофазной средой и турбулентном режиме течения 
критерий Нуссельта
определяется по формуле:
где 
- число Рейнольдса,
определяется режим движения теплоносителя; 
- коэффициент
кинематической вязкости, 
; 
- число Прандтля.
Найдем все необходимые
теплофизические характеристики нагреваемой среды по средней температуре воды 
, а также коэффициент
теплопередачи.
Определение значения
коэффициента теплоотдачи от греющей среды к стенки труб 
, в условной зоне
охлаждения дренажа (ОД) осуществляется через критерий Нуссельта:
где 
- наружный диаметр
труб, м; 
- коэффициент
теплопроводности греющей среды (пара), 
, принимается по
давлению 
и средней температуре 
, 
; 
- критерий Нуссельта. В
охладителях пара и дренажа при внешнем поперечном омывании прямых или спиральных
труб, при турбулентном течении 
коэффициент теплоотдачи
определяется по формуле:
где 
- число Рейнольдса,
определяется режим движения теплоносителя; 
- коэффициент
кинематической вязкости, 
; 
- число Прандтля; 
- длина труб одного
хода теплообменника, м; 
- наружный диаметр
теплообменника, м.
Найдем все необходимые
теплофизические характеристики греющей среды по средней температуре пара 
, а также коэффициент
теплопередачи.
В зоне собственного
подогрева (СП) при пленочной конденсации насыщенного пара и ламинарном течении
пленки конденсата на вертикальных трубах и стенках без учета влияния скорости
пара на теплообмен коэффициент теплоотдачи 
определяется по
выражению:
где 
- эмпирический
коэффициент теплообмена, где 
- температура насыщения
пара, 
; 
- температурный напор в
зоне собственного подогревателя, 
.
Полученные значения
коэффициентов теплоотдачи 
, для каждой условной
зоны коэффициент теплопередачи 
по формуле:
где 
- средний диаметр труб,
из которых изготовлена теплообменная поверхность; 
- коэффициент
теплопроводности материала изготовления труб (для стали 
).
Рассчитаем коэффициенты
теплопередачи для условных зон СП и ОД.
По найденному значению коэффициента
теплопередачи выполняется уточнение значения площади поверхности теплообмена
проектируемого подогревателя с учетом его тепловой нагрузки и показателей
эффективности теплообмена.
где 
- тепловая нагрузка i-й
зоны теплообменника, Вт, определяется из уравнения теплового баланса
соответствующей зоны; 
- расчетный коэффициент
теплопередачи для i-й зоны теплообменника 
; 
- средний температурный
напор для i-й зоны теплообменника, 
.
По величине расчетной площади
поверхности теплообмена выполняется определение расчетной погрешности для
каждой учитываемой зоны теплообмена.
Если численное значение
расчетной погрешности в каждой из выделенных условных зон теплообмена будет
составлять величину менее чем 0,5 %, то конструкторский расчет считается
законченным. Если хотя бы в одной из выделенных зон 
, то необходимо заново
выполнить конструкторский расчет теплообменного аппарата, начиная с момента
определения общей длины труб подогревателя при условии, что 
.

Так как 
, то расчет повторяется
с уточнением площади теплообменного аппарата.
Найдем общую расчетную
площадь поверхности теплообмена:
Повторный расчет произведем на ЭВМ в
связи с его трудоемкостью. Текст программы для расчета на ЭВМ представлен в п.
2.6, результаты вычислении в п. 2.7.
.6 Текст программы для расчета на
ЭВМ
#include<stdio.h>
#include<conio.h>
#include<eheat.h>
#include<math.h>main(void)
{();Dp=4.534, Pp=3.2, h_p=2670.3, T_d=570.9, T_d_1=325.5,
t_p=135.74, t_d=135.74, t_d_1=77.7, Gok=39.912, Pok=14, T_ok=292.8, T_od=320.1,
T_sp=553.8, t_ok=69.7, t_od=76.2, t_sp=131.6, kpdt=0.98, k_sp=2700, k_od=800,
d_n=0.025, s_st=0.002, d_vn, d_sr,=0.008, z=8, w_rek=25, E=0.5,_sp_1_1,
t_sp_1_11, t_sp_2_1, t_sp_2_11, t_od_1_1, t_od_1_11, t_od_2_1, t_od_2_11,
Q_sp1, Q_sp2, Q_sp, Q_od1, Q_od2, Q_od, dt1, dt2, dtb, dtm, dt3, dt_sp, F_sp,
P_od, A_od, R_od, Zt_od, dt_od, F_od, dt_1, dt_2, t_sr_p, t_sr_v, v_p, V_p,
v_v, V_v, w_p, w_v, n, l, F_esk, l1, N, t, N1, m, D1,
D_vn,_gost[22]={0.4,0.5,0.6,0.7,0.8,0.9,1.0,1.2,1.4,1.6,1.8,2.0,2.2,2.4,2.8,3.0,3.2,3.4,3.6,3.8,4.0},_3,
dt_4, t_sr_d, v_d, w_d, D_patr_v, D_patr_p, D_patr_d, w_fakt, S_mtr, y,
S_mtr_1, S1, S2, S3, D_1, D_2, D0, h;lambda_v, kun_v, Pr_v, lambda_d, kun_d,
Pr_d, lambda_st=50, Po_v, Re_v, Nu_v, alfa_2, B1, alfa_1_sp, Po_d, Re_d, Nu_d,
alfa_1_od, k_sp_P, k_od_P, F_od_P, F_sp_P, dF1, dF2, F_P, dF;i=0, zx=0,
ii=1;_vn=d_n-2*s_st;_sr=(d_n+d_vn)/2;("\nd_vn=%.3f\td_sr=%.3f",d_vn,d_sr);_sp_1_1=t_p;
t_sp_1_11=t_d; t_sp_2_1=t_od; t_sp_2_11=t_sp;_od_1_1=t_d; t_od_1_11=t_d_1;
t_od_2_1=t_ok; t_od_2_11=t_od;_sp1=Dp*(h_p-T_d)*kpdt; Q_sp2=Gok*(T_sp-T_od);
Q_sp=(Q_sp1+Q_sp2)/2;_od1=Dp*(T_d-T_d_1)*kpdt; Q_od2=Gok*(T_od-T_ok);
Q_od=(Q_od1+Q_od2)/2;
//zona SP=t_sp_1_1-t_sp_2_11; dt2=t_sp_1_11-t_sp_2_1;(dt1>dt2)
{ dtb=dt1; dtm=dt2; } { dtb=dt2; dtm=dt1; }=dtb/dtm;(dt3>1.7)
{ dt_sp=(dtb-dtm)/(2.3*log10(dtb/dtm)); } { dt_sp=(dtb+dtm)/2; }_sp=Q_sp*1000/k_sp/dt_sp;
//zona
OD_od=(t_od_1_1-t_od_1_11)/(t_od_1_1-t_od_2_1);_od=(t_od_2_11-t_od_2_1)/(t_od_1_1-t_od_1_11);_od=(t_od_1_1-t_od_1_11)/(t_od_2_11-t_od_2_1);_od=sqrt(pow((A_od+1),2)-4*A_od);_od=(Zt_od*(t_od_1_1-t_od_2_1)*P_od*R_od)/log((2-P_od*R_od*(A_od+1-Zt_od))/(2-P_od*R_od*(A_od+1+Zt_od)));_od=Q_od*1000/k_od/dt_od;_esk=F_sp+F_od;
{ //osnovnie razmeri_1=t_sp_1_1-t_sp_1_11; dt_2=t_sp_2_11-t_sp_2_1;_sr_p=(dt_1/dt_2*(t_sp_2_11+dt_sp)-t_sp_1_1)/(dt_1/dt_2-1);_sr_v=(dt_1/dt_2*t_sp_2_11+dt_sp-t_sp_1_1)/(dt_1/dt_2-1);_p=v(Pp,h11(ts(Pp)));
v_v=v(Pok,hpt(Pok,t_sr_v));_p=Dp*v_p; V_v=Gok*v_v;_p=80*sqrt(v_p);
w_v=30*sqrt(v_v);=ceil(4*Gok*v_v/3.14/pow(d_vn,2)/w_v);=F_esk/3.14/d_vn/n;
{=l/z; N=n*z;
{ if(l1>9) { printf("\nyvelichit
z"); z=z+2; l1=l/z; N=n*z;("\tz=%f",z); }(l1<2) { printf("\nymenshiti
z"); z=z-2; l1=l/z; N=n*z;("\tz=%f",z); } } while(l1>9||l1<2);
//komponovka trybnogo
pychka=1.3*d_n;=ceil((sqrt(12*N-3)-3)/6);=1+3*m+3*pow(m,2);=2*m*t; D_vn=D1+d_n+2*x;
{ if(D_gost[i]>D_vn) { D_vn=D_gost[i]; zx=1; }i++;
} while(zx==0); zx=0; i=0;(l1/D_vn>4) { printf("\nyvelichit z");
z=z+2; printf("\tz=%f",z); }(l1/D_vn<2) { printf("\nymenshiti
z"); z=z-2; printf("\tz=%f",z); }
} while(l1/D_vn>4||l1/D_vn<2);_patr_p=1.13*sqrt(Dp*v_p/w_p);_patr_v=1.13*sqrt(Gok*v_v/w_v);_d=v(Pp,hpt(Pp,t_od_1_11)); w_d=30*sqrt(v_d);_patr_d=1.13*sqrt(Dp*v_d/w_d);
//komponovka mejtrybnigi
prostranstva_mtr=3.14/4*(pow(D_vn,2)-N*pow(d_n,2));_fakt=V_p/S_mtr;(w_fakt<w_rek) { w_fakt=w_rek; }(w_fakt>w_rek) { printf("\nyvelichit
t"); }_mtr_1=V_p/w_fakt;=S_mtr_1; S2=S_mtr_1; S3=S_mtr_1;(z==1) {y=0.9;}(z==2) {y=0.8;}(z>=4) {y=0.7;}_1=sqrt(4*S1/3.14/(1-0.91*y*pow(d_n/t,2)));_2=sqrt(pow(D_vn,2)-4*S2/3.14);=(D_1+D_2)/2;=S3/(3.14*(1-d_n/t)*D0);(h<0.08) { h=0.08; printf("\n
ymenshit w_pek"); }
//opredelenie koef. teplootdachi
//alfa_2_v=Lambda_wd(Pok,t_sr_v);_v=Nju_wd(Pok,t_sr_v);_v=Pr_wd(Pok,t_sr_v);_v=1/v_v;
//printf("\n%f\n",Pr_v);_v=w_v*d_vn/kun_v;_v=0.021*pow(Re_v,0.8)*pow(Pr_v,0.43);_2=Nu_v*lambda_v/d_vn;
//alfa_1
SP=5700+56*ts(Pp)-0.09*pow(ts(Pp),2);_1_sp=1.34*B1/pow(dt_sp*l1,0.25);
//alfa_1 OD_3=t_od_1_1-t_od_1_11; dt_4=t_od_2_11-t_od_2_1;_sr_d=(dt_3/dt_4*(t_od_2_11+dt_od)-t_od_1_1)/(dt_3/dt_4-1);_d=Lambda_wd(Pp,t_sr_d);_d=Nju_wd(Pp,t_sr_d);_d=Pr_wd(Pp,t_sr_d);_d=1/v_d;
//printf("\n\n%f\n",Pr_d);_d=w_d*d_n/kun_d;_d=0.305*pow(Re_d,0.35)*pow(Pr_d,0.6)*pow(l1/d_n,0.038);_1_od=Nu_d*lambda_d/d_n;_sp_P=1/(d_sr*(1/(alfa_1_sp*d_n)+1/(2*lambda_st)*log(d_n/d_vn)+1/(alfa_2*d_vn)));_od_P=1/(d_sr*(1/(alfa_1_od*d_n)+1/(2*lambda_st)*log(d_n/d_vn)+1/(alfa_2*d_vn)));_sp_P=Q_sp*1000/k_sp_P/dt_sp;_od_P=Q_od*1000/k_od_P/dt_od;=fabs(F_sp_P-F_sp)*100/F_sp_P; dF2=fabs(F_od_P-F_od)*100/F_od_P;_P=F_sp_P+F_od_P;
dF=fabs(F_P-F_esk);(ii==1||dF<E)
{("\nQ_sp=%f\tQ_od=%f",Q_sp,Q_od);("\ndt_sr=%f\t\tF_sp=%f",dt_sp,F_sp);("\ndt_od=%f\t\tF_od=%f",dt_od,F_od);("\nt_sr_p=%f\tt_sr_v=%f",t_sr_p,t_sr_v);("\nF_esk=%f\t",F_esk);("l1=%f",l1);("\nD_vn=%f\t\tl1/D_vn=%f",D_vn,l1/D_vn);("\nn=%f\t\tl=%f\t\nN=%f\t\tz_okon=%f",n,l,N,z);("\nt=%f\t\tm=%f\t\tN1=%f",t,m,N1);(N<N1)
{ printf("\nkonchentrich okr."); } { printf("\nrombich.
sxema"); }("\nD_patr_p=%f\tD_patr_v=%f\tD_patr_d=%f",D_patr_p,D_patr_v,D_patr_d);("\nS_mrt_1=%f\tD_1=%f\t\tD_2=%f\nD0=%f\t\th=%f",S_mtr_1,D_1,D_2,D0,h);("\nk_sp_P=%f\tk_od_P=%f",k_sp_P,k_od_P);("\nF_sp_P=%f\tF_od_P=%f",F_sp_P,F_od_P);("\ndF1=%f\t\tdF2=%f",dF1,dF2);("\nF_p=%.2f\t\tdF=%f",F_P,dF);("\nii=%d\n",ii);
}_sp=F_sp_P; F_od=F_od_P;_esk=F_P;
ii++;
} while(dF>E);();
}
.7 Результаты расчета на ЭВМ
Тепловая нагрузка зоны СП Q_sp =9327.87
Тепловая нагрузка зоны ОД Q_od =1089.99
Температурный напор в зоне СП dt_sr =20.8
Эскизная площадь теплообмена зоны СП F_sp =160.576
Температурный напор в зоне ОД dt_od =25.68
Эскизная площадь теплообмена зоны ОД F_od =63.952
Средняя температура пара зоны СП t_sr_p =135.74
Средняя температура воды t_sr_v =114.94
Эскизная общая площадь теплообмена F_esk =219.125015
Длина одного хода труб l1=3.323097
Внутренний диаметр теплообменника D_vn=1.4 l1/D_vn=2.37
Количество труб в одном ходе n=125
Общая длина труб теплообменника l=26.58
Общее количество труб в теплообменнике N=1000
Окончательное количество ходов z_okon=8
Шаг труб t=0.0325 Количество окружностей m=18
Возможное количество труб N1=1027 Выбираем концентрические
окружности
Диаметр патрубка подвода пара D_patr_p=0.234
Диаметр патрубка подвода воды D_patr_v=0.235
Диаметр патрубка отвода конденсата пара D_patr_d=0.079
Площадь межтрубного пространства с учетом перегородок
S_mrt_1=0.1035
Диаметр кольца поперечной перегородки D_1=0.46
Диаметр диска поперечной перегородки D_2=1.352
Расстояние между поперечными перегородками h=0.158
Коэффициент теплопередачи зоны СП k_sp_P=2792.27
Коэффициент теплопередачи зоны ОД k_od_P=663.77
Расчетная площадь теплообмена зоны СП F_sp_P=160.575
Расчетная площадь теплообмена зоны ОД F_od_P=63.952
Погрешность для зоны СП dF1=3.42 Погрешность для
зоны ОД dF2=17.03
Расчетная общая площадь теплообмена F_p=224.53
Общая погрешность dF=5.4
Число итерации ii=1
Эскизная общая площадь теплообмена F_esk=224.528
Длина одного хода труб l1=3.405
Внутренний диаметр теплообменника D_vn=1.4 l1/D_vn=2.432
Количество труб в одном ходе n=125
Общая длина труб теплообменника l=27.24
Общее количество труб в теплообменнике N=1000
Окончательное количество ходов z_okon=8
Шаг труб t=0.0325 Количество окружностей m=18
Коэффициент теплопередачи зоны СП k_sp_P=2784.19
Коэффициент теплопередачи зоны ОД k_od_P=664.3
Расчетная площадь теплообмена зоны СП F_sp_P=161.042
Расчетная площадь теплообмена зоны ОД F_od_P=63.901
Погрешность для зоны СП dF1=0.29 Погрешность для
зоны ОД dF2=0.08
Расчетная общая площадь теплообмена F_p=224.943
Общая погрешность dF=0.41
Число итерации ii=2
.
Гидравлический расчет теплообменного аппарата
.1 Расчет гидравлического сопротивления трубного пучка
Задачей расчета является
определение гидравлического сопротивления трубного пучка и межтрубного
пространства, а также величины потери мощности на привод насоса. Общее
сопротивление трубного пучка складывается из потерь давления на трение, 
, и потери давления на
преодоление местных сопротивлений, 
.
Гидравлические потери,
возникающие при движении нагреваемого теплоносителя за счет трения о стенки
труб, 
, определяется по
формуле:
где 
- коэффициент
сопротивления трения; 
- скоростной,
динамический напор, Па; 
- скорость нагреваемого
теплоносителя, м/с; 
- плотность
нагреваемого теплоносителя, 
, определяемая по
средней температуре воды 
.
Значение коэффициента
сопротивления трения 
зависит от
шероховатости стенок труб 
и от режима движения
теплоносителя, определяемого числом 
. С достаточной степенью
точности значение 
можно определить по
формуле:
где 
- для стальных труб
равна 0,2 мм.
Потеря давления на
преодоление местных сопротивлений 
, которые встречаются по
пути движения потока воды в аппарате связаны с ударами, расширениями и
сужениями потока при входе и выходе его в водяных камерах, а также при повороте
потока вгибах трубок, коленах паропроводов или через перегородки.
где 
- сумма коэффициентов
местных сопротивлений, зависящая исключительно от конструкции подогревателя и
его элементов.
где 
- сопротивление входа и
выхода в крышку водяной камеры, 
; 
- поворот на 90о в
крышке теплообменника, 
; 
- сопротивление входа и
выхода в трубный пучок, 
; 
- сопротивление
поворота в U-образном колене, 
; 
- сопротивление
поворота на 180о в крышке водяной камеры, 
.
Найденное значение сопротивления
позволяет оценить величину потери мощности на транспорт нагреваемой среды вдоль
теплообменной поверхности.
где 
- расход нагреваемой
среды, кг/с; 
- гидравлическое
сопротивление трубного пучка, Па; 
- плотность
теплоносителя, кг/м3; 
- КПД насоса, 
.
.2 Расчет гидравлического
сопротивления межтрубного пространства
рекуперативный кожухотрубный
вертикальный теплообменник
Гидравлическое
сопротивление межтрубного пространства, 
(паровое
сопротивление), т.е. разность давлений пара при входе в теплообменный аппарат и
в конце траектории его движения, зависит от конструкции аппарата, компоновки
трубного пучка, а также параметров и режима работы аппарата.
где 
- число секций,
последовательно омываемых паром, образованных поперечными перегородками
устанавливаемыми в межтрубном пространстве; 
- длина одного хода, м;

- расстояние между
поперечными перегородками, м; 
- плотность насыщенного
пара, 
.
.
Расчет на прочность элементов теплообменника
.1 Расчет на прочность корпуса
аппарата
Задачей расчета является
определение минимальной толщины стенки корпуса, 
, по условию прочности.
где 
- номинальное
допускаемое напряжение, принимается по таблице 6.1 /1, с.52/ в зависимости от
материала изготовления и средней температуры пара 
; 
- коэффициент прочности,
учитывающий наличие в корпусе сварных швов и отверстий, 
; 
- поправка, которая
находится, как 
где 
- поправка на
коррозионное уплотнение; 
- поправка на утонение
металлического листа при штамповке; 
- поправка на изменение
толщины стенки корпуса при гибе; 
.
.2 Расчет на прочность крышки
водяной камеры
Задачей расчета является определение
минимальной толщины крышки водяной камеры и основных геометрических размеров
(рисунок 4.1).
Рисунок 4.1 - Крышка водяной камеры
Толщина стенки крышки
водяной камеры, 
определяется по формуле
где 
- радиус кривизны в
вершине крышки, м, где 
высота эллиптической
части крышки, м; 
- номинальное
допускаемое напряжение, МПа, принимается по таблице 6.1 /1, с.52/, материал
изготовления крышки водяной камеры, определяется в зависимости от марки стали и
средней температуры воды 
.
Высота цилиндрической
части, 
, крышки водяной камеры
может быть рассчитано по соотношению
.3 Расчет на прочность трубных досок
Задачей расчета является
определение необходимой толщины труб доски по условию прочности,
.
где 
- номинальное
допускаемое напряжение, МПа, материал изготовления трубной доски, определяется
в зависимости от марки стали и средней температуры пара
; 
, коэффициент прочности;

- расчетный диаметр
трубной доски, соответствующий внутреннему диаметру корпуса теплообменника; 
- коэффициент,
учитывающий способ закрепления трубной доски. Выбираем трубную доску, зажатую
между фланцами без сквозных отверстий (рисунок 4.2), 
.
Рисунок 4.2 - Трубная доска, зажатая
между фланцами без сквозных отверстий

.4 Расчет укрепленных отверстий
Для восстановления прочности стенки,
ослабленной отверстием, производят укрепление отверстий с помощью накладок
(упрочняющих колец), а также наплавкой металла.
Укреплению подлежат
отверстия, диаметр которых превышает либо 0,2 м, либо величину 
.
Расчет упрочнительных
колец производится по принципу компенсации изъятого отверстием металла. Суть
расчета сводится к определению толщины 
и диаметра 
упрочнительного кольца
(рисунок 4.3).
Рисунок 4.3 - Расчетных
характеристики упрочнительных колец
Толщина упрочнительного кольца
определяется по следующему выражению, м:
где 
- толщина стенки
элемента (корпуса или крышки) в котором выполнено отверстие, м.
Диаметр упрочнительного
кольца, м, определяется по формуле:
где 
- размер укрепляемого
отверстия (размер патрубка), м.
Рассчитаем толщину 
и диаметр 
упрочнительного кольца
для патрубка подвода греющей среды.
Рассчитаем толщину 
и диаметр 
упрочнительного кольца
для патрубка подвода и отвода нагреваемой среды.
.5 Расчет болтов и шпилек на
прочность
Задачей расчета болтовых и шпилечных
соединений является определение диаметра, шага и числа болтов или шпилек.
Рабочую температура
болта или шпильки принимают равной температуре рабочей среды (средняя
температура нагреваемого теплоносителя 
).
Номинальный диаметр
болта или шпильки, м, вычисляется по выражению:
где 
- усилие от затяжки на
один болт, МПа, рассчитывается в зависимости от давления нагреваемой среды (
, МПа) и внутреннего
диаметра корпуса (
, м) по формуле 
; 
- коэффициент запаса
прочности, принимается равным, 
; 
- допускаемое
напряжение материала изготовленные болта, МПа, принимается по табл. 6.2 /1, с.
60/ в зависимости от марки стали и средней температуре нагреваемой среды 
.
Рекомендуемое значение
диаметра болтов и шпилек в зависимости от давления нагреваемой среды 
и диаметра корпуса
аппарата 
приводится в табл. 6.3
/1, с. 60/. Выбираем по 
и 
рекомендуемый диаметр
болта или шпильки М27.
Значение шага
расположения между болтами или шпильками на фланце 
выбирается, исходя из
опыта эксплуатации и с учетом диаметра отверстия под болт или шпильку 
, и должно находится в
следующих пределах:
при величине расчетного
давления 
при величине расчетного
давления 
Так как расчетное
давление 
, то 
Расчетное количество
болтов или шпилек определяется соотношением
где 
- диаметр условной
окружности расположения болтов или шпилек на фланце, м; 
- наружный диаметр
прокладки, м.
Принимается значение
числа болтов или шпилек, округленное в большую сторону, причем желательно,
чтобы полученное значение было кратным четырем.
Нагрузка на болты или
шпильки в рабочих условиях должна компенсировать внутреннее давление и
создавать удельное давление на прокладку, обеспечивающее герметичность
фланцевого разъема в рабочих условиях. В составе фланцевых соединений
теплообменных аппаратов применяются мягкие прокладки (из фторопласта, резины
или паротита) и металлические (из алюминия, меди или стали).
Ширина прокладки 
при величине
внутреннего диаметра корпуса аппарата 
не должна быть меньше
0,01-0,02 м. Наружный диаметр прокладки определяется по формуле
где 
- расстояние от
внутренней кромки прокладки, принимается равным для паронитовых прокладок 
, где 
- толщина прокладки,
принимается равной 
4.6 Расчет фланцев
Расчет фланцевого соединения
включает в себя расчет номинальной толщины фланца. Следует отметить, что болты
во фланцевых соединениях используются реже, чем шпильки, так как при затяжке
болта в стержне возникает большое скручивающее напряжение со стороны головки.
Конструкция фланцевых разъемов
представлена на рисунке 4.4.
Рисунок 4.4 - Фланцевый разъем
При расчете плоских
приварных фланцев толщина тарелки, 
, определяется по
соотношению
где 
- давление нагреваемой
среды, МПа; 
- внутренний диаметр
корпуса теплообменного аппарата, м; 
, - толщина стенки
элемента аппарата на который устанавливается фланец, м.
Рассчитаем фланец крышки
водяной камеры.
Рассчитаем фланец корпуса
теплообменника.
.7 Расчет термических напряжений
Сила воздействия между корпусом и
трубами за счет температурных расширений определяется по формуле

где 
- внутренний диаметр
корпуса теплообменника, м; 
- толщина стенки корпуса,
м; 
- общее число труб в
аппарате; 
- наружный и внутренний
диметры трубок, м; 
- коэффициент линейного
расширения корпуса и трубок аппарата соответственно, 
, для стали 
; 
- разность между
рабочей температурой корпуса и температурой окружающей среды, 
; 
- разность между
рабочей температурой трубок и температурой окружающей среды, 
.
Напряжения, возникающие от
совместного действия давления сред и разности температур, определяется по
формулам
для корпуса
для трубок
где 
- осевая сила, МН,
растягивающая корпус и трубки, возникающая под действием давления среды,
вычисляется по формуле
т.к. 
и 
, поэтому установка
компенсирующих устройств не требуется.
5.
Конструктивный расчет тепловой изоляции
Выбираем теплоизоляционный материал
из табл.7.1 /1, с. 66/. Выпишем основные свойства теплоизоляционного материала:
Стекловата с набивкой,
объемная масса 130-170 
, температура применения
450 
, коэффициент
теплопроводности 
.
Толщина изоляционного
слоя 
, определяется по
формуле
где 
- температура стенки
корпуса теплообменника, 
, принимается равной
средней температуре пара 
; 
- температура наружной
поверхности слоя изоляции, принимается равной 45 
; 
- удельные тепловые
потери с 1 
изоляционного слоя, 
где 
- коэффициент
теплоотдачи от наружной стенки изоляции в окружающую среду, 
; 
- температура
окружающей среды, принимается равной 20 
.
Для изоляции,
расположенной на открытом воздухе, коэффициент теплоотдачи 
, определяется по
формуле
Заключение
В результате конструкторского
расчета теплообменного аппарата получили, внутренний диаметр теплообменника 1.4
м, общая площадь теплообмена 225 м2, общая длина труб теплообменника
27.24 м, величина одного хода труб 3.405 м, количество ходов 8, общее
количество труб 1000 шт. Произвели компоновку трубного пучка, выбрав стальные
трубы диаметром 25х2мм, схему расположения труб на трубной доске по
концентрическим окружностям, а также приняли способ закрепления концов труб с
помощью автоматической сварки с конической раззенковкой в трубной решетке с
наружной стороны, установили эллиптический тип крышки водяной камеры. После
компоновки трубного пучка произвели компоновку межтрубного пространства, по
результатам которого установили, что необходимо установить поперечные
перегородки для повышения скорости движения греющей среды в межтрубном
пространстве.
По окончанию конструкторского
расчета выполнили гидравлический расчет теплообменника, который позволил
оценить общее сопротивление трубного пучка 31224 Па и сопротивление межтрубного
пространства 2205 Па, а также нашли необходимую мощность для перемещения
нагреваемого теплоносителя 1878.5 Вт.
Далее выполнили расчет элементов
теплообменника на прочность в результате, которого нашли: номинальную толщину
стенки корпуса теплообменного аппарата, 6 мм, толщину стенки крышки водяной
камеры, 14 мм, толщину трубной доски подогревателя, 80 мм. Также из расчета на
прочность получили номинальный диаметр болта, 27 мм, общее количество болтов,
44 шт., толщину фланца крышки водяной камеры, 40 мм и толщину фланца корпуса
теплообменника 26 мм. В рамках расчета на прочность выполнили расчет
термических напряжений, оценив напряжения, возникающие от совместного действия
давлений сред и разности температур, выяснили, что установка линзовых
компенсаторов не требуется.
После завершения расчета на
прочность выполнили конструктивный расчет тепловой изоляции. В качестве
теплоизоляционного материала выбрали стекловату с набивкой, толщина
изоляционного материала составляет, 20 мм.
Список используемых источников
1. Бойко, Е.А. Тепловые электрические станции. Расчет и
проектирование рекуперативных теплообменных аппаратов ТЭС: учебное пособие /
Е.А. Бойко. - Красноярск: ИПЦ КГТУ, 2006. - 92с.
. Ривкин, С.Л. Теплофизические свойства воды и водяного
пара / С.Л. Ривкин, А.А. Александров. - М.: Энергия, 1980. - 424с.