Расчет валов редуктора
1. Выбор электродвигателя и кинематический расчет
Определяется общий КПД двигателя:
, (1), с. 5
где
h1 = 0,96 - коэффициент, учитывающий потери в
ременной передаче;
h2 = 0,99 - КПД, учитывающий потери подшипников
качения;
h3 =0,97 - КПД зубчатых колес,
h4 = 0,95 - коэффициент, учитывающий потери в цепной
передаче
Мощность на валу барабана:
, (1), с. 5
где Fд - окружная сила; Fд==11 кН;
Vд -
скорость двигателя; Vд=2 м/с;
Требуемая мощность электродвигателя:
Принимается электродвигатель с мощностью 30 кВт с синхронной
частотой вращения 1000 об/мин. Типоразмер 200L6. Процент скольжения - 2,1%.
Номинальная частота вращения электродвигателя:
Угловая скорость электродвигателя:
Угловая скорость барабана:
Частота вращения барабана:
Общее передаточное число привода:
Согласно рекомендациям (стр. 43, Шейнблит), 

.
Определяется передаточное число редуктора:
Принимается передаточное число редуктора:

(стр. 36, Чернилевский).
2. Расчет передач
Находится число циклов перемены напряжений для колеса (наработка
за весь срок службы):
Где 
- гловая скорость ведомого вала,

- время работы передачи,
Где 
- срок службы,

- продолжительность смены,

- одна смена,

- коэффициент сменного использования (70% времени используется на
работу, 30% - простои, ремонт).
Определяется число циклов перемены напряжений для шестерни:
Твердость шестерни - 63HRC,
Твердость колеса - 50 HRC (т.
3.3, Чернилевский).
Определяется число циклов перемены напряжений 
, соответствующее пределу выносливости:
Для длительно работающих передач:

, т.е. 
,
тогда коэффициент долговечности:

.

, т.е. 
,

.
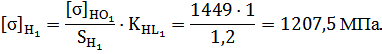
Допускаемое контактное напряжение 
, соответствующее числу циклов перемены напряжений 
:
для шестерни:
для колеса:
Определяется допускаемое контактное напряжение:
для шестерни:
для колеса:
Где 
- коэффициент безопасности (стр. 13, Чернилевский).
Среднее допускаемое напряжение для непрямых колес:
Определяется допускаемое напряжение изгиба, соответствующее числу
циклов напряжений:
для шестерни:

(таблица 8.9, Иванов).
Определяется допускаемое напряжение изгиба:
Где 
- коэффициент безопасности,

,

.
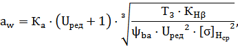
Определяется межосевое расстояние:
Где 
(таблица 3.1, Чернавский),

- для косозубых передач,

.
Межосевое расстояние 
принимается равным 160 мм (по ГОСТ 2185-66).
Определяется модуль зубьев:
Модуль принимается из стандартного ряда ГОСТ 9563-80:

.
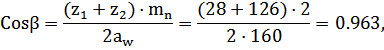
Принимается произвольно угол наклона зубьев β=10о. Определяется число зубьев шестерни и колеса:
Принимается 
, тогда
Уточняется значение угла наклона зубьев:
Тогда 
Основные размеры шестерни и колеса:
Диаметры делительные:
шестерни:
колеса:
Проверка:
Диаметры вершин зубьев:
шестерни:
колеса:
Диаметры впадин зубьев:
шестерни:
- колеса:
Ширина колеса: 
Ширина шестерни: 
. Принимается 
Определяется коэффициент шестерни по диаметру:
Окружная скорость колес и степень точности передачи:
При такой скорости для косозубых колес следует принять 8-ю степень
точности. (стр. 32, Чернавский).
Коэффициент нагрузки:
При 
, твердости НВ>350 и несимметричном расположении колес
относительно опор с учетом изгиба ведомого вала от натяжения цепной передачи 
(таблица 3.5, Чернавский).
По таблице 3.4 (Чернавский) при v=1.98 м/с и 8-ой степени точности 
По таблице 3.6 (Чернавский) для косозубых колес при v ≤ 5 м/с 
Таким образом,
Проверка контактных напряжений:
Силы, действующие в зацеплении:
окружная:
радиальная:
осевая:
Проверяются зубья на выносливость по напряжениям изгиба:
Здесь коэффициент нагрузки 
,
Где 
(таблица 3.7, Чернавский), 
(таблица 3.8, Чернавский).

- коэффициент, учитывающий форму зуба и зависящий от
эквивалентного числа зубьев 
:
- у колеса:
Тогда:

,

(стр. 42, Чернавский).
Определяется допускаемое напряжение:
По таблице 3.9 (Чернавский) для стали 12ХН3А, при термической
обработке - цементации, при твердости НВ>350 
950 МПа,

, 
(таблица 3.9, Чернавский), 
(для поковок и штамповок). Следовательно, 
.
Допускаемые напряжения:
на шестерни:
Находятся отношения 
:
для шестерни:
для колеса:
Дальнейший расчет следует вести для зубьев колеса, для которого
найденное отношение меньше.
Определяются коэффициенты 
и 
:
Где 
- коэффициент торцевого перекрытия,
n - степень точности, n=8.
Проверяется прочность зуба шестерни по формуле:
Условие прочности выполняется.
3. Предварительный расчет валов редуктора
Предварительный расчет проводится на кручение по пониженным
допускаемым напряжениям:
Ведущий вал:
Пониженное значение допускаемого напряжения для стали 12ХН3А
рассчитывается по формуле:
Где 
- среднее значение прочности стали 12ХН3А при цементации. (Глухих
В.Н., стр. 13).

.
Диаметр выходного конца:
Принимается 
где Т2=374,55·103Нмм
Принимается меньшее значение из стандартного ряда 
.
Диаметр вала под подшипниками dп1=50 мм.
Рисунок 2. Конструкция ведущего вала
Ведомый вал:
Учитывая влияние изгиба вала от натяжения цепи, принимается 
Диаметр выходного вала:
Принимается меньшее значение из стандартного ряда 
Диаметр вала под подшипниками dп2=80 мм, диаметр под колесом dк=85 мм.
Рисунок 3. Конструкция ведомого вала
4. Конструктивные размеры шестерни и колеса
Шестерня выполняется за одно целое с валом. Ее размеры определены
выше:

,

,

.
Колесо кованое:

,

,

.
Диаметр ступицы: 
.
Длина ступицы: 
.
Принимается 
Толщина обода колеса: 
) мм.
Принимается 
.
Толщина диска С=0,3·b2=0,3·64=19,2 мм.
5. Конструктивные размеры корпуса редуктора
Толщина стенок корпуса и крышки:
Принимается 
Принимается 
Толщина фланцев поясов и крышки:
верхнего пояса корпуса:
пояса крышки:
нижнего пояса корпуса:
Принимается 
Диаметр болтов:
фундаментных:
Принимаются болты с резьбой М20.
крепящих крышку к корпусу у подшипников:
Принимаются болты с резьбой М16.
соединяющих крышку с корпусом:
Принимаются болты с резьбой М12.
. Расчет клиноременной передачи
Мощность электродвигателя Р=25,6 кВт
Номинальная частота вращения электродвигателя: 
Вращающий момент на валу двигателя: Т1=249,7·103
Нмм.
Согласно номограмме рис. 7.3 (1), с. 134, выбирается для
клиноременного ремня сечение В.
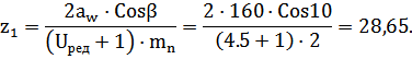
Диаметр меньшего шкива:
Согласно ГОСТ 1284.3-80 принимается 
(Анурьев, стр. 507, Том 2).
Диаметр большего шкива:
Согласно ГОСТ 1284.3 - 80 принимается 
=355 мм.
Уточняется передаточное отношение:
При этом угловая скорость вала II будет:
Процент ошибки:
Следовательно, принимаются окончательные значения диаметров
шкивов:

,

.
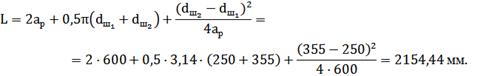
Межосевое расстояние aр принимается в интервале:
где 
- высота сечения ремня.
Принимается предварительно близкое значение aр=600 мм.
Расчетная длина ремня:
Уточненное значение межосевого расстояния aр с учетом
стандартной длины ремня:
где 
,

.
При монтаже передачи необходимо обеспечить возможность уменьшения
межосевого расстояния на 0,01L=0,01·2240=22,4
мм для облегчения надевания ремней на шкивы и возможность увеличения его на
0,025L=0,025·2240=56 мм для увеличения натяжения
ремней.
Угол обхвата меньшего шкива:
Коэффициент режима работы, учитывающий условия эксплуатации
передачи:
для привода к ленточному конвейеру при работе в 3 смены:
1,4.
Коэффициент, учитывающий влияние длины ремня:
для ремня сечения В при длине 2240 мм 
Коэффициент, учитывающий влияние угла обхвата:

Коэффициент, учитывающий число ремней в передаче: предполагая, что
число ремней в передаче будет от 4 до 6, коэффициент Cz=0,90.
Число ремней в передаче, необходимых для передачи заданной
мощности 25,6 кВт:
Где 
- мощность, передаваемая одним клиновым ремнем, кВт.
Для ремня сечения В при длине L=2240 мм, работе на шкиве 
и 
мощность 
8 кВт (ГОСТ 1284.3-96).
Число ремней: 
Натяжение ветви клинового ремня:
Где 
,

- коэффициент, учитывающий влияние центробежных сил. Для ремня
сечения В 
Давление на валы:
Ширина шкивов:
где 
(табл. 7.12, Чернавский).
7. Расчет параметров цепной передачи
Выбирается приводная роликовая однорядная цепь.
Вращающий момент на ведущей звездочке:
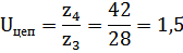
Передаточное число:
Число зубьев ведущей звездочки:
Число зубьев ведомой звездочки:
Тогда фактическое передаточное отношение:
Отклонение:
Расчетный коэффициент нагрузки:
Где 
- динамический коэффициент при спокойной нагрузке (передача к
ленточному конвейеру),

- учитывает влияние межосевого расстояния,

- учитывает влияние угла наклона линии центров,

- при периодическом регулировании натяжения цепи,

- при непрерывной смазке,

- учитывает продолжительность работы в сутки.
Так как ведущая звездочка имеет частоту вращения:
То среднее значение допускаемого давления при 
составит 
, где 
.
Коэффициент 
принимается в том случае, когда число зубьев ведущей звездочки
отлично от 17.
Тогда 
.
Шаг однорядной цепи (m=1 -
число рядов цепи):
Подбирается по таблице 7.15 (Чернавский) цепь ПР 44,45-172,4, по
ГОСТ 13568-75 имеющая шаг t=44,45 мм и
разрушающую нагрузку Q=172,4 кН,
массу q=7,5 кг/м, проекцию опорной поверхности
шарнира Аоп=473 мм2.
Скорость цепи:
Окружная сила:
Давление в шарнире:
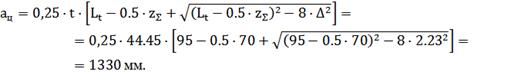
Определяется число звеньев цепи:
где 
,

,

.
Тогда:
Уточняется межосевое расстояние цепной передачи:
Для свободного провисания цепи предусматривается возможность
уменьшения межосевого расстояния на 0,4%, т.е. 1330·0,004=5,32 мм.
Определяются диаметры делительных окружностей звездочек:
Определяются диаметры наружных окружностей звездочек:

,
Где 
- диаметр ролика цепи.
Силы, действующие на цепь:
окружная:
от центробежных сил:
от провисания:

Расчетная нагрузка на валы:
Коэффициент запаса прочности цепи:
Это больше, чем нормативный коэффициент [s]
7,6, следовательно, условие s
[s] выполняется.
Размеры ведущей звездочки:
диаметр ступицы звездочки:
длина ступицы:
Принимается 
толщина диска звездочки:
где 
- расстояние между пластинками внутреннего звена.
Размеры ведомой звездочки:
Диаметр вала IV:
диаметр ступицы звездочки:
длина ступицы:
Принимается 
толщина диска звездочки:
8. Первый этап компоновки редуктора
Способ смазывания:
зацепление зубчатой пары - окунанием
зубчатого колеса в масло;
для подшипников - разбрызгивание
масла.
|
Обозначение
подшипника
|
d
|
D
|
T
|
В
|
с
|
C, кН
|
C0, кН
|
e
|
У
|
У0
|
|
7310
|
50
|
110
|
29,25
|
29
|
23
|
100
|
75
|
0.31
|
1,94
|
1,06
|
|
7216
|
80
|
140
|
28,5
|
26
|
22
|
112
|
95,2
|
0. 0,42
|
1,43
|
0,89
|
- Ведущий вал: