Разработка оптимального технологического процесса изготовления детали
Содержание
Введение
1. Анализ конструкции и размерный анализ детали
2. Обоснование типа производства
3. Анализ технологичности конструкции детали
4. Выбор исходной заготовки
Введение
Эффективность производства, его технический
прогресс, качество выпускаемой продукции во многом зависят от развития
производства нового оборудования, машин, станков и аппаратов. Ведущее место в
дальнейшем росте экономики страны принадлежит отраслям машиностроения, которые
обеспечивают материальную основу технического прогресса всех отраслей народного
хозяйства. В настоящее время в связи с развитием электроники создается и широко
вводится в промышленность автоматическое оборудование с системой числового
программного управления. Создаются новые высокопроизводительные и высокоточные
машины, основанные на достижениях науки. Это оборудование позволяет производить
продукцию высокого качества при ее низкой себестоимости. Разработка новых
синтетических сверхтвердых инструментальных материалов позволило расширить не
только диапазон режимов резания, но и спектр обрабатываемых материалов.
В настоящее время в машиностроении на первое
место стали выходить такие понятия, как производительность и себестоимость. На
решение этих главных задач направленно применение прогрессивных высокопроизводительных
методов обработки, обеспечивающих высокую точность и качество поверхности
деталей машин, повышение полноты использования минерального сырья и увеличение
извлечения из него полезных составляющих, сокращение отходов и потерь
металлоконструкций за счёт замены технологических процессов, основанных на
резании металла на экономичные методы формообразования.
На сегодняшний день перед
технологами-машиностроителями стоят задачи дальнейшего повышения качества
машин, снижение трудоемкости, себестоимости и материалоемкости их изготовления,
механизация и автоматизация производства, а также сокращение сроков подготовки
производства новых объектов. Технический процесс в машиностроении
характеризуется не только улучшением конструкций машин, но и непрерывным совершенствовании
технологии их сборки. Важно качественно, дешево и в заданные сроки с
минимальными затратами живого и овеществленного труда изготовить машину,
применив высокопроизводительное оборудование, технологическую оснастку,
средства механизации и автоматизации производства. От принятой технологии
производства во многом зависит надежность работы выпускаемых машин, а также
экономика их эксплуатации. Совершенствование технологии машиностроения
определяется потребностями производства необходимых обществу машин.
Целью данной контрольной работы является
разработка оптимального технологического процесса изготовления детали.
1. Анализ конструкции и размерный
анализ детали
Деталь типа шатун является звеном
шатунно-кривошипного механизма. Это подвижная деталь механизма, соединяющая
поступательно перемещающуюся деталь с вращающимся валом и служащая для
преобразования прямолинейного возвратно-поступательного движения во
вращательное и наоборот.
Для определения назначений данной детали
проанализируем все поверхности детали и их назначение (рис.1.1).
Рис. 1.1 - Конструкция детали шатун
Данная деталь сделана из материала Сталь 45.
Химический состав Стали 45 приведен в таблице 1.1.
Таблица 1.1
|
Углерод
(С)
|
Кремний
(Si)
|
Марганец
(Mn)
|
Хром
(Cr)
|
|
0,43-0,48
|
0,17-0,37
|
0,5-0,8
|
0,7-1
|
Механические свойства приведены в таблице 1.2.
Таблица 1.2
|
Твердость
по Бринеллю (НВ)
|
Предел
текучести, Временное
сопротивление, Относит.
удлинение, Относит. сужение,
Ударная
вязкость,
|
|
|
|
|
|
179
|
635
|
780
|
11
|
40
|
59
|
2. Обоснование типа производства
Исходные данные:
Годовая производственная программа с учетом
запасных частей= 8000 шт.
Количество деталей на изделие m = 2 шт.
Запасные части b = 5%
Режим работы предприятия 2 смены в сутки.
Годовая программа
.
Действительный годовой фонд времени работы
оборудованияД = 4029 ч.
Тип производства по ГОСТ 3.1108-74
характеризуется коэффициентом закрепления операции КЗО, который показывает
отношение всех различных технологических операций, выполняемых или подлежащих
выполнению в течении месяца, к числу рабочих мест. Т.к. КЗО отражает
периодичность обслуживания рабочего всей необходимой информацией, а также
снабжение рабочего места всеми необходимыми вещественными элементами
производства, то КЗО оценивается применительно к явочному числу рабочих из
расчета на одну смену:
где О - количество всех различных операций;-
число рабочих мест.
Для определения КЗО необходимо установить
соотношение между трудоемкостью выполнения операций и производительностью
рабочих мест, предназначенных для проведения данного технологического процесса
при условии загрузки этого оборудования в соответствии с нормативными
коэффициентами.
Порядок расчета коэффициента закрепления
операций следующий. Зная программу выпуска (годовую) и штучно-калькуляционное
время, затраченное на каждую операцию, определяем количество станков:
где N - годовая программа выпуска, шт., (16800)ШК
- штучное или штучно-калькуляционное время, мин.,Д = 4029 - действительный
годовой фонд времени, при 2-ух сменной работе, ч.,
ΗЗН = 0,8 -
нормативный коэффициент загрузки.
Данные об обработке каждой поверхности детали
сведем в таблицу 2.1.
Таблица 2.1
|
№
пов-ти
|
Квалитет
|
Ra,мм
|
Способ
обработки
|
|
1,2
|
7
|
6,3
2,0 1,6
|
резка
фрезерование шлифование
|
|
3,4
|
7
|
5,0
0,63 2,0
|
сверление
развертка зенкерование
|
Для определения основного технологического
времени при обработке каждой поверхности воспользуемся методиками, изложенными
в [3] с 19:
Поверхность 1.
Резка:
Фрезерование:
Шлифование:
Поверхность 2.
Резка:
Фрезерование:
Шлифование:
Поверхность 3.
Сверление:

Зенкерование:
Развёртка:
Поверхность 4
Сверление:
Зенкерование:
Развёртка:
Результат расчета для каждой схемы выпуска
сведём в таблицу 2.2.
. N=16800шт.
Таблица 2.2
|
Операция
|
ТШТ
|
mР
|
Р
|
nЗФ
|
O
|
|
05
резка
|
0,23
|
0,02
|
1
|
0,02
|
40
|
|
010
фрезерование
|
1,104
|
0,096
|
1
|
0,096
|
8,3
|
|
015шлифование
|
0,788
|
0,068
|
1
|
0,068
|
11,8
|
|
020
сверление
|
0,032
|
0,003
|
1
|
0,003
|
266,7
|
|
025
зенкерование
|
0,026
|
0,002
|
1
|
0,002
|
400
|
|
030
развёртка
|
0,088
|
0,008
|
1
|
0,008
|
100
Вывод: производство единичное.
3. Анализ технологичности
конструкции детали
На основании изучения условий работы шатуна, а
также его конструкции не целесообразно применять сварную или армированную
заготовку. Назначение детали не позволяет упростить деталь, заменить материал
на более дешевый или легкообрабатываемый.
Конструкция шатуна позволяет применить
высокопроизводительные методы обработки, в частности применение станков с ЧПУ.
Шатун имеет труднодоступное для обработки отверстие, т.е. необходимо
дополнительное приспособление для обработки. При обработке большинства размеров
возможно совмещение конструкторской и измерительной базы. Все размеры на
чертеже допускают измерение специальным и универсальным измерительным
инструментом.
В качестве баз используется поверхность
отверстия повышенной точности в шатуне, введение искусственных баз
необязательно.
Обработку необходимо производить на оборудовании
повышенной точности, т. к. наличие высоких требований к отдельным поверхностям.
Заготовка: вырубка.
В качестве количественных показателей
технологичности рассмотрим коэффициент точности обработки и коэффициент
шероховатости поверхностей.
Таблица 3.1
|
Ti
|
ni
|
Ti
ni
|
|
14
|
4
|
56
|
|
7
|
8
|
56
|
∑ni = 12 ∑Tini = 112 мин
средняя трудоемкость операции:
коэффициент точности обработки:
шатун
шероховатость сталь фрезерование
Таблица 3.2
|
Rai
|
ni
|
Rai
ni
|
|
0,63
|
2
|
1,26
|
|
6,3
|
6
|
37,8
|
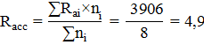
∑ni = 8 ∑Raini = 39,06 мкм
коэффициент шероховатости:

4. Выбор исходной заготовки
При выборе заготовки предпочтение следует
отдавать той заготовке, которая обеспечивает меньшую технологическую
себестоимость детали. Если же сопоставимые варианты по технологической
себестоимости равноценны, то предпочтительным следует считать вариант заготовки
с более высоким КИМ.
Общие исходные данные.
Материал детали - Сталь 45
Годовая программа - 16800 шт.
Масса детали q = 0,04 (кг)
Производство - единичное.
При разработке технологического процесса важным
шагом является выбор заготовки. Для рационального выбора заготовки необходимо
провести расчеты себестоимости получения заготовки, себестоимости ее
механической обработки.
В качестве вариантов рассмотрим резку из полосы
и прокат.
Определим себестоимость обработки детали из
холоднокатного проката:
- себестоимость
заготовки
где M - затраты на материал заготовки;
СОЗ - технологическая себестоимость операций
правки, калибрование прутков, резки их на штучные заготовки:
Где СПЗ - приведенные затраты на рабочем месте,
у.е./ч.;ШК - штучно-калькуляционное или штучное время выполнения
заготовительной операции.
Определим TШК:
где 𝜑К
- коэффициент, 𝜑К = 1,84.
ТО - общее время, мин.
СПЗ = 121 у.е./ч.
Затраты на материал определяются по массе
проката, необходимого для изготовления детали, и массе сдаваемой стружки. При
этом необходимо учитывать стандартную длину прутков и отходы в результате
некратности длины заготовок к этой стандартной длине:
где Q - масса заготовки, кг;- цена1 кг.
материала заготовки, у.е.;- масса готовой детали, кг.;ОТХ - цена отходов 1 кг
(стружки), у.е.
где ρ - плотность
материала;з - объем заготовки.
Коэффициент использования материала:
Стоимость материала:
= 175 у.е./т.
Стоимость отходов:
= 27 у.е./т.

Стоимость резки из листа стали определяем по
формуле:
Сi = 450у.е - базовая стоимость 1 т. заготовок;=
0,041 кг - масса заготовки;Т = 1,05- коэффициент точности;= 1,15- коэффициент
сложности;В = 2- коэффициент веса;М = 1- коэффициент марки материала;П = 0,8-
коэффициент объема производства;-масса детали, q = 0,04 кгОТХ = 27у.е - цена 1т
отходов.
В результате расчета получаем стоимость
заготовки (SЗАГ):
Сравнивая два варианта по себестоимости
заготовки выгоднее и целесообразнее использовать вырезку из листа стали С45.
Похожие работы на - Разработка оптимального технологического процесса изготовления детали
|