Метиленовый голубой

  • Вид работы:
    Курсовая работа (т)
  • Предмет:
    Химия
  • Язык:
    Русский
    ,
    Формат файла:
    MS Word
    194,72 Кб
  • Опубликовано:
    2014-03-04
Вы можете узнать стоимость помощи в написании студенческой работы.
Помощь в написании работы, которую точно примут!

Метиленовый голубой

федеральное Государственное автономное образовательное учреждение высшего профессионального образования

«БЕЛГОРОДСКИЙ ГОСУДАРСТВЕННЫЙ НАЦИОНАЛЬНЫЙ ИССЛЕДОВАТЕЛЬСКИЙ УНИВЕРСИТЕТ»

(НИУ «БелГУ»)

БИОЛОГО-ХИМИЧЕСКИЙ ФАКУЛЬТЕТ

КАФЕДРА ОБЩЕЙ ХИМИИ






МЕТИЛЕНОВЫЙ ГОЛУБОЙ

Курсовая работа

студентки дневного отделения 3 курса группы 041004

Ушаковой Натальи Сергеевны

Научный руководитель:

кандидат химических наук,

старший преподаватель Симаков С.В.






БЕЛГОРОД 2013

ОГЛАВЛЕНИЕ

Введение

.        Литературный обзор

.1       Химия метиленового голубого

.2       Получение метиленового голубого

.2.1    Синтез метиленового голубого по Каро

.2.2    Синтез метиленового голубого по Бернтсену

.2.3    Синтез метиленового голубого по Керману

.3       Применение метиленового голубого

.        Экспериментальная часть

.1       Выбор оптимальной длины волны

.2       Построение градуировочного графика

Заключение

Список литературы

Введение

Метиленовый синий - первый синтетический препарат, применённый в медицинской практике. Сей препарат применялся для лечения малярии в начале 20 века, но во время Тихоокеанских военных действий 1937-1945 гг был забракован войсками союзников: видите ли, писать синей струёй оказалось некомильфо. Сейчас в медицине <#"699619.files/image001.gif">

Метиленовый синий (лат. Methylenum coeruleum) (N,N,N`,N'-тетраметилтионина хлорид тригидрат, 3,7-бисдиметиламинофенотиоцианит хлорид, метиловая синь, метиленовый голубой). Представляют собой тёмно зеленые кристаллы с бронзовым блеском, растворяется в воде с окрашиванием раствора в темно-синий цвет.

Химическая формула - C16H18CIN3S или в виде кристаллогидрата C16H18CIN3S·H2O.

Молекулярная масса 319,86 г/моль. Растворимость: мало растворим в воде, этаноле, практически не растворим в диэтиловом эфире и хлороформе. Легко восстанавливается E0=+0.53 В. В водных растворах мономерная форма поглощает свет в λmax = 668 нм, димер - в λmax = 612 нм; константа димеризации Кдим = 5.00·103 (pH 4-5.5).[1]

1.2 Получение метиленового голубого

Метиленовый голубой - тетраметилзамещение тионина, занимает видное место среди красителей.

1.2.1  Синтез метиленового голубого по Каро

Синтез метиленового голубого был первые осуществлен Каро (1876 г.), строение его выяснено Беритсеном.

Первый синтез метиленового голубого был проведен по реакции Лаута и заключался в окислении несимм-димети-n-фенилендиамина и сероводорода хлорным железом. При этом в качестве промежуточного продукта образуется соль индамония (зеленый Бриндшедлера), которая затем, конденсируясь с сероводородом, превращается в тиазиновый краситель:


Так же как для красителей оксазинового ряда, для красителей типа метиленового голубого теперь считаются равноправными и орто-, и пара-хиноидная формулы.

.2.2    Синтез метиленового голубого по Бернтсену

Старый синтез метиленового голубого по Каро был впоследствии заменен синтезом по Бернтсену, исходя из 1 мол. диметил-n-фенилендиамина, 1 мол. диметианилина и тиосульфата натрия [2].

Исходным продуктом в синтезе метиленового голубого является нитрозодиметиланилин, который восстанавливают цинковой пылью в солянокислой среде в n-аминодиметиланилин (I). n-Аминодиметиланилин при действии тиосульфата в нейтральной среде в присутствии бихромата натрия и хлористого цинка превращается в диметил- n-фенилендиаминтиосульфокислоту (II).

 

Диметил- n- фенилендиаминтиосульфокислота взаимодействует с диметиланилином в присутствии бихромата натрия в кислой среде. При этом образуется труднорастворимая тетраметииндаминтиосульфокислота (III):


Тетраметииндаминтиосульфокислота при нагревании с хлористым цинком в присутствии соляной кислоты отщепляет сернистую кислоту, превращаясь в краситель М.Г


В производстве метиленового голубого краситель обычно выделяют в виде двойной соли с хлористым цинком, называемой метиленовый голубой Ц:


Цинк осаждают раствором соды, и краситель получают в виде хлорида [3].

1.2.3  Синтез по Керману

Наконец, следует упомянуть еще третий синтез метиленового голубого, предложенный Керманом. Этот синтез не иммет промышленного значения, но заслуживает внимания потому, что устанавливает простую генетическую связь между родоначальником соединений этого класса, тиодифениламином, и красителем. При действии избытка брома на тиодифениламин образуется пербромид феназтиония, который, соединяясь с диметиламином, превращается в метиленовый голубой. Этот процесс по-видимому, протекает в две стадии: сначала происходит присоединение амина к хиноидному кольцу, а затем внутримолекулярное окисление, причем роль окислителя играет группа Br3 [2].


1.3     Применение метиленового голубого

Метиленовый голубой применяется для изготовления чернил и карандашей и для окраски бумаги, может применяться в крашении хлопка по таниновой протраве, а также шелка. Ввиду непрочности образующихся окрасок применение его в технической промышленности ограниченно [3].

Метиленовый синий - первый синтетический препарат, применённый в медицинской практике. Сей препарат применялся для лечения малярии в начале 20 века, но во время Тихоокеанских военных действий 1937-1945 гг был забракован войсками союзников: видите ли, писать синей струёй оказалось некомильфо. Сейчас в медицине <#"699619.files/image010.jpg">

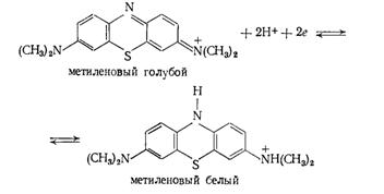
Реакция восстановления метиленового голубого:


При определении окислительно-восстановительных потенциалов метиленового голубого встретились трудности. Метиленовый голубой плохо поддавался очистке, при сушке выше 110оС разлагался. Анализ тщательно перекристаллизованных образцов показал в них высокое содержание и в связи с этим наличие электроактивных примесей. Для устранения этих помех приходилось доставать ряд торговых препаратов и сопоставлять все результаты, полученные для каждого из образцов. Установлено что, окислительно-восстановительный потенциал метиленового голубого при рН = 7 составляет + 0,011 В, а при рН = 0 + 0,53 В. Изменение его окраски происходит при изменении окислительно-восстановительного потенциала от + 0,54 до - 0,146 в. Главным преимуществом метиленового голубого является его интенсивная окраска (намного более яркая, чем, например, окраска индигосульфонатов ), и поэтому его можно использовать в разбавленных растворах. Кроме того, он находится в обычной области потенциалов, где выбор небогат [4].

б. Металлохромный индикатор <#"699619.files/image012.jpg">

В таблице приведен показатель титрования (рТ) - значение рН, при котором отчетливо заметно изменение окраски индикатора [6].

Для определения катионов ртути в виде полииодида метиленового голубого:

Для получения которого к раствору метиленового голубого прибавляют избыток раствора иода в иодистом калии. При стоянии на холоду выпадает нерастворимый в воде полииодид в виде осадка почти черного цвета. При добавлении к водной суспензии полииодида раствора соли двухвалентной ртути иод, связанный с красителем, перерходит в малодиссоциированную соль с ртутью. При этом освобождается краситель, сообщающий раствору синюю окраску. Реакция очень чувствительна.

В качестве чувствительного реактива на анион хлорной кислоты СlO4-, в присутствии которого образуется красно-фиолетовое окрашивание.

Из замещенных метиленового голубого интересно его нитропроизводное, получаемое путем нитрозирования красителя и последующего окисления нитрозогруппы разбавленной азотной кислотой. Этот краситель известен под названием метиленового зеленого Б


Совместное окисление диметил-n-фенилендиимин-тиосульфокислоты с метилэтиланилином приводит к образованию основного голубого (I).

Окраски с более красноватым оттенком, чем окраски, полеченные с метиленовым голубым, дает новометиленовый голубой (II), получаемый из аминоэтил-о-толуидина по той же схеме, как и метиленовый голубой

(I)


Несимметричный диметилтионин - азур I получается путем окисления метиленового голубого бихроматом, сопровождающегося частичным деметилированием. Азур I применяется в гистологии [3]:

метиленовый голубой индикатор керман

Метиленовый голубой как агент для определения удельной поверхности пористых материалов:

Метиленовый голубой применяется для определения адсорбционной способности активированных углей <#"699619.files/image018.gif">[C16H18ClN3S]H+ + Cl-

Рассмотрим механизм процесса адсорбции метиленового голубого на поверхности пористых материалов:

Механизм сорбции очень сложный вопрос и точно можно не можем сказать, однако из того, что известно из литературы можно говорить об ионообменном механизме сорбции[8]. Адсорбция красителя метиленового голубого на поверхности пористых материалов является ионообменной адсорбцией т.е происходит взаимный обмен ионами между раствором метиленового голубого и твердой поверхностью. При этом происходят адсорбция ионов из раствора метиленового голубого и десорбция ионов из твердой поверхности в раствор. Молекула МГ может обмениваться не на один ион кальция , а на два или несколько ионов.

Для количественного описания адсорбции применяют в основном две величины. Одна измеряется количеством или массой адсорбата, т.е числом молей или граммов, приходящимся на единицу площади поверхности или на единицу массы адсорбента (для твердого в порошкообразном состоянии); эту величину принято обозначать буквой А.

Другая характеристика величины адсорбции определяется избытком вещества в поверхностном слое определенной толщины по сравнению с его количеством в таком же объем фазы, также отнесенным к единице площади поверхности или единице массы адсорбента. Эту величину называют гиббсовской адсорбцией и обозначают буквой Г.

Если в раствор объемом V с первой начальной концентрацией С0 поместить адсорбент массой m, то часть вещества из раствора будет адсорбироваться на твердой поверхности. В результате концентрация вещества снизится с станет равной С. Снижение концентрации на величину С0 - С произошло в результате адсорбции вещества на поверхности адсорбента, величину избыточной адсорбции Г (ммоль/г) можно определить по формуле:

 (1)

где C0 - исходная концентрация адсорбата, моль/л;

С - равновесная концентрация адсорбата, моль/л;

V - объем раствора, мл;

m - масса сорбента, г. [8].

Определение удельной поверхности Sуд по методу БЭТ включает две стадии: оценку по изотерме адсорбции емкости монослоя Г и расчет по Гвеличины Sуд с использованием молекулярной площади w0. Площадь одного катиона метиленового голубого, согласно данным рентгено-структурного анализа, равна 95,6 Å2. Если предельно сорбированное количество метиленового голубого соответствует мономолекулярному слою красителя на поверхности сорбента, то величину удельной поверхности можно рассчитать по формуле (2):

уд = Г∞ * NA * w0 (2)

Где величину предельной сорбции Г∞ определили из графика по тангенсу угла наклона:

 (3)

NA - постоянная Авогадро, численно равна 6,06.1023 моль-1; w0 - площадь, занимаемая одним катионам метиленового голубого, м2 [9].

2.      
Экспериментальная часть

Материалы и оборудование: 0,001 М раствор метиленового голубого, мерные колбы на 25 мл, пипетки на 1мл, 5 мл, 10мл; стеклянные стаканы емкостью 150мл; кюветы толщиной 10 мм, спектрофотометр Specord 50.

Ход анализа:

2.1     Выбор оптимальной длины волны поглощения

Помещают раствор метиленового голубого (С=0,1 г/моль) в кювету толщиной 10 мм, измеряют оптическую плотность на спектрофотометре при различных длинах волн. В качестве раствора сравнения применяется дистиллированная вода. Результаты записывают в таблицу и строят зависимость оптической плотности данного раствора от различных значений длин волн.

Рис.1. Зависимость оптической плотности раствора метиленового голубого от различных значений длин волн.

В соответствии с полученными данными, оптимальная длина волны поглощения составляет 665 нм.

2.2     Построение градуировочного графика

В семь пронумерованных мерных колб на 50 мл помещают 1,2,4,5,7,10,50 мл стандартного раствора 1*10-3 М метиленового голубого и доводят до метки дистиллированной водой, измеряли оптическую плотность на спектрофотометре при 665 нм, используя кюветы 10 мм. В качестве раствора для сравнения применяли дистиллированную воду.

Рис. 2. Зависимость оптической плотности от концентрации раствора метиленового голубого.

Заключение

Метиленовый синий представляет собой тёмно зеленые кристаллы с бронзовым блеском, впервые был синтезирован Генрихом Каро <#"699619.files/image018.gif">[C16H18ClN3S]H+ + Cl-

Список литературы

1.       http://ru.wikipedia.org/wiki.

2.       Курс органической химии. Перевод с немецкого 13-го переработанного и дополненного издания. В. Э. Вассерберга, Э. М. Левиной и Л. Д. Родионовой. Под редакцией М. Н. Колосова. Л., -1960. - 1216 с.

.        И. М. Коган. Химия красителей. Издание третье. Под редакцией проф. А. И. Королева.М., 1956. -696 с.

.        Индикаторы: в 2-х т. том 2.Перевод с английского И. В. Матвеевой. Под редакцией доктора хим. наук И. Н. Марова. Издательство “Мир”, М., 1976. - 446 с.

.        Индикаторы: в 2-х т. том 1.Перевод с английского И. В. Матвеевой. Под редакцией доктора хим. наук И. Н. Марова. Издательство “Мир”, М., 1976. - 496 с.

.        Рабинович В. А., Хавин З. Я. Краткий химический справочник: Справ. Изд./ Под ред. А. А. Потехина и А. И. Ефимова. - 3-е изд., перераб. И дол. - Л.: Химия, 1991.- 432 с.

.        ГОСТ 4453 - 74. Уголь активный осветляющий древесный порошкообразный.

.        Воюцкий С.С. Курс коллоидной химии. - М.: Химия, 1975. - 512 с.

.        Грег С., Сингх К. Адсорбция, удельная поверхность, пористость. - М.: Мир, 1970. - 408 с.

Похожие работы на - Метиленовый голубой

 

Не нашли материал для своей работы?
Поможем написать уникальную работу
Без плагиата!
Без нейросетей!