Статистический анализ занятости населения Оренбургской области
Министерство образования и науки
Российской Федерации
Государственное образовательное
учреждение
высшего профессионального образования
Оренбургский Государственный
Университет
Финансово-экономический факультет
Кафедра статистики и эконометрики
Курсовая работа
по дисциплине: Социальная статистика
Статистический анализ занятости
населения Оренбургской области
Руководитель работы
Плеханова Т.И.
Исполнитель Студент гр.
Иванова Т.Н.
Оренбург 2010
Задание на курсовую работу
Статистический
анализ занятости населения Оренбургской области
Исходные
данные: Законодательные и нормативно-правовые акты РФ и Оренбургской области,
статистические данные Оренбургской области, данные сети Интернет, а также
публикации отечественных и зарубежных экономистов по исследуемой проблеме.
Перечень подлежащих разработке вопросов:
а) Раскрыть понятие и сущность занятости
б) Рассмотреть методы анализа занятости
в) Провести анализ динамики и структуры занятости Оренбургской области
г) Применить корреляционно-регрессионный и кластерный анализ
д) Построить прогноз
Перечень графического материала: Таблицы, графики, рисунки, схемы
Аннотация
В данной
курсовой работе рассматриваются теоретические и практические вопросы занятости
населения Оренбургской области.
Структура
курсовой работы выглядит следующим образом.
Первый раздел
отражает теоретические основы изучения занятости. Рассматривается сущность,
виды, формы занятости, источники информации и статистические показатели
занятости, а также методы анализа, используемые при рассмотрении данного
социально-экономического явления.
Во втором
разделе представлен экономико-статистический анализ занятости населения
Оренбургской области. Проведен анализ структуры и динамики занятости, применен
корреляционно-регрессионный и кластерный анализ к исследуемому явлению, а также
сделан прогноз уровня занятости на 3 года.
Содержание
Введение
I. Теоретические основы изучения занятости населения
1.1 Понятие, сущность, виды и формы занятости
.2 Источники информации и статистические показатели занятости
.3 Методы анализа занятости населения
II. Экономико-статистический анализ занятости населения
Оренбургской области
2.1 Анализ структуры и динамики занятости в Оренбургской
области
.2 Корреляционно-регрессионный анализ занятости населения
.3 Кластерный анализ занятости населения
.4 Прогнозирование занятости населения
Заключение
Список использованных источников
Приложения
Введение
Данная работа посвящена статистике занятости населения. Эта тема в
настоящее время важна и актуальна, так как статистика занятости является
важным инструментом при разработке экономической и социальной политики
государства.
Показатели уровня занятости являются важными макроэкономическими
показателями, характеризующими состояние и развитие экономики. Информация о
статистике занятости крайне необходима основным социальным партнерам рынка
труда - организациям предпринимателей и трудящихся. Она широко применяется при
анализе уровня жизни населения и конкурентоспособности отраслей экономики.
Классификация населения по статусу занятости и безработицы используется в
статистической практике, основывается на соответствующих международных
классификациях. Для сбора данных о занятости организованы регулярные выборочные
обследования, программы проведения которых направлялись на экспертизу в
международное бюро труда и другие международные организации и получили
положительный отзыв экспертов этих организаций.
Целью данной курсовой работы является анализ занятости населения Оренбургской
области. Для достижения поставленной цели были сформулированы следующие задачи
исследования:
1.Проанализировать структуру и динамику занятости населения
.Применить корреляционно-регрессионный анализ
.Провести классификацию муниципальных образований Оренбургской области по
исходным признакам
.Спрогнозировать занятость населения Оренбургской области
Объект исследования: города и районы Оренбургской области
Предмет исследования: показатели, характеризующие уровень занятости в
Оренбургской области (удельный вес населения в трудоспособном возрасте,
среднемесячная номинальная начисленная з/п работников, инвестиции в основной
капитал, численность ищущих работу граждан, не занятых трудовой деятельностью)
Источники данных - статистические сборники.
Работа имеет следующую структуру: введение, теоретическая и практическая
части, заключение.
В ходе выполнения работы использовались пакеты программ Statisca, Excel.
I.
Теоретические основы изучения занятости населения
.1 Понятие, сущность, виды и формы занятости
Проблема занятости населения является одной из важнейших социально-экономических
проблем. Занятость неразрывно связана как с людьми и их трудовой деятельностью,
так и с производством, распределением, присвоением и потреблением материальных
благ. В силу этого категория занятости представляет собой всеобщую экономическую
категорию, характерную для всех общественно-экономических формаций.
Характеристики занятости, использования трудового потенциала общества
представляют не только экономический интерес, они являются и основными
показателями, отражающими политику государства в сфере труда, отношение к
человеку и как к главной производительной силе общества, и как к личности.
Существуют теоретическая и практическая трактовки занятости. Теоретически
занятость - это общественно полезная деятельность граждан, связанная с удовлетворением
личных и общественных потребностей и приносящая, как правило, заработок или
трудовой доход. Практически занятость - это соотношение между числом
трудоспособного населения и числом занятых, характеризующее степень
использования трудовых ресурсов общества и ситуацию на рынке труда. Однако обе
трактовки не учитывают глубинные процессы, свойственные занятости. Занятость
имеет ярко выраженный социальный характер. Она отражает потребность людей не
только в доходах, но и в самовыражении посредством общественно полезной
деятельности, а также степень удовлетворения этой потребности при определенном
уровне социально-экономического развития общества.
Современная ситуация в сфере занятости неадекватна требованиям рыночной
экономики, следовательно, выход российской экономики из кризиса и дальнейший
прогресс общества возможны в том случае, если экономика сможет отражать
интересы человека в сфере труда.
В России 19 апреля 1991 г. был принят Закон «О занятости населения в
Российской Федерации» (с последующими дополнениями и изменениями), в котором
сформулированы основные принципы занятости, придающие отношениям занятости
рыночный характер:
• Первый принцип - обеспечение свободы в труде и занятости, запрещение
принудительного, обязательного труда. Человеку принадлежит приоритетное право
выбора: участвовать или не участвовать в общественном труде.
• Второй принцип - создание государством условий для обеспечения права на
труд, на защиту от безработицы, на помощь в трудоустройстве и материальной
поддержке при безработице в соответствии с Конституцией РФ[14].
Согласно законодательству сейчас к занятому населению наряду со всеми
работающими по найму, учащимися, военнослужащими отнесены также граждане,
самостоятельно обеспечивающие себя работой, и граждане, занимающиеся предпринимательской
деятельностью.
К незанятому населению относятся две группы граждан:
) добровольно незанятые граждане, живущие на средства одного из супругов,
родителей и др.;
) вынужденно не занятые граждане, которые, в свою очередь, подразделяются
на: а) ищущих работу самостоятельно; б) ищущих работу с помощью служб
занятости; в) безработных граждан, имеющих официальный статус и получающих
пособие по безработице. Важно определить статус занятости для экономически
активного населения, включая и безработных. Обычно различают пять статусов.
. Наемные работники - это лица, работающие по заключенному письменному
контракту (договору) либо по устному соглашению с руководством предприятия об
условиях трудовой деятельности, за которую они получают оговоренную при найме
оплату.
. Работающие на индивидуальной основе - лица, самостоятельно
осуществляющие деятельность приносящую им доход, не использующие либо
использующие наемных работников только на короткий срок.
. Работодатели - лица, управляющие собственным предприятием либо
уполномоченные управлять акционерным обществом, хозяйственным товариществом и
т.п. Работодатель может полностью или частично делегировать свои функции
наемному управляющему, оставляя за собой ответственность за благополучие
предприятия.
. Неоплачиваемые работники семейных предприятий - лица, работающие без
оплаты на семейном предприятии, владельцем которого является их родственник.
. Лица, не поддающиеся классификации по статусу занятости, - это
безработные, не занимавшиеся ранее трудовой деятельностью, приносившей им
доход. Сюда относятся и лица, которых затруднительно отнести к тому или иному
статусу занятости.
По степени количественного и качественного соответствия между
потребностью экономики в рабочей силе и потребностью населения в рабочих местах
выделяют занятость полную, продуктивную, свободно избранную, рациональную,
эффективную и оптимальную.
Полная занятость - это состояние, при котором обеспечены работой все
нуждающиеся в ней и желающие работать, что соответствует наличию
сбалансированности между спросом и предложением рабочей силы.
Продуктивная занятость - это занятость, которая отвечает интересам повышения
эффективности производства, внедрения достижений научно-технического прогресса,
роста производительности труда. По определению Международной организации труда
(МОТ), продуктивная занятость - это занятость тех, чей продукт труда
принимается и оплачивается обществом.
Свободно избранная занятость предполагает, что право распоряжаться
собственной способностью к труду (рабочей силой) принадлежит исключительно ее
владельцу, т.е. самому работнику. Этот принцип гарантирует право каждого
работника на выбор между занятостью и незанятостью, запрещая любое
административное привлечение к труду.
Рациональная занятость - это занятость, обоснованная с точки зрения процессов
формирования, распределения (перераспределения) и использования трудовых
ресурсов с учетом их половозрастной и образовательной структуры, режимов
воспроизводства трудоспособного населения и его размещения на территории
страны. Рациональную занятость характеризует доля продуктивно занятых в общей
численности экономически активного населения.
Рациональная занятость определяется по формуле:
где Зпр - продуктивная занятость;
Зп - полная занятость.
Эффективная занятость предполагает способность общественного управления
воспроизводить социально-экономические условия развития работников, диктуемые
критериями образа жизни на данном этапе развития общества. Эффективный характер
занятости предполагает занятие общественно-полезной деятельностью, которая
обеспечивает достойный доход, здоровье, возвышение личности, рост
образовательного и профессионального уровня для каждого члена общества на
основе роста общественной производительности труда, а также экономическую и
социальную целесообразность рабочих мест.
Социально полезная занятость определяется числом трудоспособных
людей, занятых как в общественном производстве, на военной службе, в органах
МВД, так и обучающихся очно, ведущих домашнее хозяйство (ухаживающих за детьми,
престарелыми, больными родственниками)[19].
Практическая потребность учета населения вызывает необходимость выделения
видов (структуры) занятости распределения активной части трудовых
ресурсов по сферам и отраслям экономики.
Выделяют также различные формы занятости - организационно-правовые
способы, условия трудоиспользования, группировка которых по отдельным признакам
представлена в приложении 1. Кратко охарактеризуем отдельные формы занятости.
По способу участия в общественном труде занятость населения можно
подразделить на занятость по найму и самостоятельную занятость.
Занятость по найму представляет собой отношения, возникающие между
собственниками средств производства и работниками, не имеющими средств
производства и продающими свою рабочую силу в обмен на определенную стоимость в
форме заработной платы. Самостоятельная занятость (self-employment) для России является относительно
новой формой занятости населения. Это отношения (экономические, правовые и
т.д.), в которые вступают люди по поводу участия в общественно-полезном труде и
которые основаны на личной инициативе, самостоятельности и ответственности,
направлены, как правило, на получение трудового дохода и обусловливают
самореализацию и самоутверждение личности.
По режиму рабочего времени принято выделять занятость с режимом полного рабочего
времени и неполную (частичную) занятость. Занятость с режимом полного
рабочего времени основывается на регламентированной продолжительности
полного рабочего дня, которая в настоящее время составляет 40 часов в неделю.
По регулярности трудовой деятельности занятость подразделяется на
постоянную, временную, сезонную и случайную. Постоянная (регулярная)
занятость предполагает, что работник должен работать определенное число
часов каждую неделю, реже - каждый месяц; временная занятость имеет две
разновидности: занятость на определенный срок (фиксированный срок трудового
договора) и командировочная занятость (через посредничество определенных фирм);
сезонная занятость предполагает работу в течение определенного сезона,
и, наконец, случайная занятость означает выполнение различных по
характеру непродолжительных работ с целью получения материального
вознаграждения без заключения трудового договора.
По легитимности трудоустройства занятость подразделяется на формальную
и неформальную. Формальная занятость - это занятость, зарегистрированная
в официальной экономике. Неформальная занятость - занятость, не
зарегистрированная в официальной экономике, имеющая источником рабочих мест
неформальный сектор экономики и отдельные его виды.
По условиям организации трудовых процессов занятость
подразделяется на стандартную и нестандартную. В основе такого деления лежит
специфика организации трудового процесса, которая принимает различные формы. Стандартная
(типичная) занятость - это занятость, предполагающая постоянную работу
наемного работника у одного работодателя в его производственном
помещении при стандартной нагрузке в течение дня, недели, года. Нестандартная
(гибкая) занятость выходит за эти рамки и включает следующие формы:
занятость, связанная с нестандартными режимами рабочего времени, такими,
как гибкий рабочий год, сжатая рабочая неделя, гибкие графики рабочего времени
и др.;
занятость, связанная с социальным статусом работников: самостоятельные
работники, помогающие им члены семьи;
занятость на работах с нестандартными рабочими местами и организацией
труда: надомный труд, «работники по вызовам», вахтово-экспедиционная занятость;
занятость по нестандартным организационным формам: временные работники,
совместительство[13].
.2 Источники информации и статистические показатели занятости
В нашей стране для расчета общей по регионам численности занятых в
течение года служат данные текущей отчетности по труду: форма №1-Т «Отчет по
труду» (месячная, квартальная, годовая). По этой форме отчитываются не все
предприятия. Для малых предприятий численность занятых может быть получена из
единовременного отчета: №1-МП «Об основных показателях деятельности малого
предприятия» за год. Изучение состава занятых по отраслям народного хозяйства,
секторам экономики производится по балансам трудовых ресурсов, составляемым на
середину (1 июля), конец (начало - 1 января) года и в среднем за год. В них
обобщается не только информация предприятий, получаемая в порядке текущей
отчетности по труду, но и данные налоговой инспекции о численности занятых
индивидуальным трудом, работающих по найму у отдельных граждан, а также
численность работников, учитываемая в централизованном порядке.
Для количественной характеристики занятости населения статистикой
разработаны специальные показатели. Они подразделяются на две группы:
абсолютные и относительные.
Абсолютные показатели отражают экономический потенциал, возможности развития
страны, потому что занятое население составляет основной элемент процесса
производства. Без работников средства и предметы труда мертвы, так как их
соединение становится невозможным. К абсолютным показателям занятости населения
относятся: численность занятых в экономике; распределение занятых по отраслям
экономики, полу, возрасту, уровню образования и т. д.; численность лиц
трудоспособного возраста, занятых в экономике и др.
Относительные показатели занятости характеризуют степень вовлечения в
экономику населения и его отдельных групп. Они охватывают такие показатели, как
коэффициент занятости населения, коэффициент занятости трудовых ресурсов,
коэффициент занятости населения трудоспособного возраста, коэффициент занятости
трудоспособных в трудоспособном возрасте и др.
Коэффициент занятости населения широко применяется в сравнительном анализе
и показывает удельный вес занятых в общей численности жителей, проживающих на
определенной территории:
где
- коэффициент занятости населения;З - численность
населения, занятого в экономике;- общая численность населения.
Коэффициент занятости населения не учитывает того обстоятельства, что не
все население может принимать участие в общественном производстве, например
дети и старики. В этом заключается его недостаток.
Коэффициент занятости населения сильно зависит от возрастно-половой
структуры. Например, изменение численности населения в дорабочем и послерабочем
возрастах может привести к снижению коэффициента занятости при постоянной
численности занятых в народном хозяйстве.
В этой связи для более углубленного анализа применяют коэффициент
занятости трудовых ресурсов, который исчисляется по отношению к населению,
потенциально способному принимать участие в общественном производстве:
где
- коэффициент занятости трудовых ресурсов;
Т
- численность трудовых ресурсов.
Коэффициент
занятости трудовых ресурсов позволяет получить более реальную картину о
фактическом уровне занятости в стране, области или регионе. Он отражает
удельный вес трудовых ресурсов, занятых в экономике.
Коэффициент
занятости трудовых ресурсов по своей величине всегда больше коэффициента
занятости населения, потому что при одинаковом числителе знаменатель первого
показателя меньше. Коэффициент занятости трудовых ресурсов может быть
рассмотрен более узко, т. е. по отношению к населению трудоспособного возраста.
Такой подход вызван тем, что население трудоспособного возраста составляет ядро
трудовых ресурсов. Коэффициент занятости населения трудоспособного возраста
показывает долю женщин от 16 до 55 лет и мужчин от 16 до 60 лет, занятых в
экономике:
где
- коэффициент занятости населения трудоспособного
возраста;НТВ - численность населения трудоспособного возраста.
Особенность
коэффициента занятости лиц трудоспособного возраста заключается в том, что он
завышает фактический уровень вовлечения населения в общественное производство,
так как в числителе показателя учитываются занятые в экономике подростки и
пенсионеры, а в знаменателе эти категории работников отсутствуют. Однако этот
факт нисколько не снижает практической и познавательной ценности коэффициента,
который наряду с уже рассмотренными показателями применяется в комплексном
анализе занятости населения. Правда, при анализе занятости населения требуется
учитывать, что установленный законом период трудоспособности у мужчин на пять
лет больше, чем у женщин, а это вызывает необходимость дифференцированного
подхода к исследованию динамики степени вовлечения в экономику мужского и
женского населения трудоспособного возраста. Важно не забывать и то
обстоятельство, что не все люди трудоспособного возраста способны к труду.
Среди них имеются отдельные категории населения, которые в силу самых различных
причин не могут быть привлечены к трудовой деятельности, например инвалиды по
рождению, лица, получившие травмы на производстве и полностью утратившие
трудоспособность, лица, страдающие серьезными заболеваниями нервной системы, и др.
Все эти категории людей объединяет то, что, находясь в границах трудоспособного
возраста, они фактически являются нетрудоспособными.
В
этой связи коэффициент занятости может быть также определен по отношению к
трудоспособным лицам трудоспособного возраста, который находится как разность
численности населения трудоспособного возраста и численности, нетрудоспособных
в трудоспособном возрасте:
где
- коэффициент занятости трудоспособного населения
трудоспособного возраста;
-
численность трудоспособного населения трудоспособного возраста.
Рассмотренные
коэффициент занятости населения и коэффициенты составляющих его категорий
взаимосвязаны следующими соотношениями:
где
- доля трудоспособных лиц трудоспособного возраста в
общей численности населения трудоспособного возраста;
где
- доля населения трудоспособного возраста в общей
численности трудовых ресурсов;
где
- доля трудовых ресурсов в общей численности
населения.
На
основе приведенных соотношений можно записать всю цепочку взаимосвязи
коэффициента занятости населения и коэффициента занятости трудоспособных лиц
трудоспособного возраста:
По
аналогичной схеме могут быть построены взаимосвязи коэффициента занятости
трудоспособного населения трудоспособного возраста и коэффициента занятости
трудовых ресурсов, коэффициента занятости населения трудоспособного возраста и
коэффициента занятости всего населения. В зависимости от цели исследования
общая цепочка взаимосвязи показателей может быть сокращена до трех или двух
сомножителей, например:
где
- доля трудоспособных лиц трудоспособного возраста в общей численности трудовых
ресурсов;
ТР
где
- доля трудоспособных лиц трудоспособного возраста в общей численности
населения.
Кроме
количества сомножителей, включенных во взаимосвязь, сами сомножители также
могут быть вычленены по усмотрению исследователя, например:
Практическое
значение взаимосвязей коэффициентов занятости заключается в возможности
определять неизвестный показатель на основе нескольких известных.
Все
рассмотренные взаимосвязи применяются при построении индексных моделей влияния
отдельных факторов на уровень занятости населения, трудовых ресурсов и т. д[4].
1.3 Методы анализа занятости населения
Для анализа занятости населения Оренбургской области были применены
следующие методы: анализ структуры и динамики, корреляционно-регрессионный
анализ, кластерный анализ и прогнозирование.
Процесс развития, движения социально-экономических явлений во времени в
статистике принято называть динамикой. Для отображения динамики строят
ряды динамики (хронологические ряды, временные ряды), которые
представляют собой ряды изменяющихся во времени значений статистического
показателя, расположенных в хронологическом порядке.
Составными элементами ряда динамики являются показатели уровней ряда
(уровни ряда) и периоды времени (годы, кварталы, месяцы, сутки) или
моменты (даты) времени.
При изучении явления во времени перед исследователем встает проблема
количественного описания изменений, происходящим с уровнями в динамическом
ряду. Для этого рассчитываются специальные показатели анализа динамики.
Рассматривают цепные и базисные показатели. Их отличие в том, какой уровень
ряда берется за базу для сравнения с текущим уровнем при расчете показателя.
Когда сравнение проводится с начальным (базисным) периодом или моментом времени
в ряду динамики, то показатель называется базисным. Если же сравнение
производится с предыдущим периодом или моментом времени, то соответствующий
показатель является цепным. Любой уровень в ряде динамики может
быть охарактеризован как при помощи цепного, так и при помощи базисного
показателя. Но если значения цепного показателя рассчитываются однозначно, то
значения базисного зависят от выбранных единиц измерения. Фактически и цепные,
и базисные показатели описывают одни и те же единицы совокупности, и каждому
базисному показателю можно однозначно поставить в соответствие цепной
показатель. К показателям динамики относятся: абсолютный прирост, темп роста,
темп прироста, коэффициент роста, значение 1% прироста, средние показатели
динамики[2].
Структура - это совокупность устойчивых связей и отношений объекта, обеспечивающих
его целостность и тождественность самому себе, т.е. сохранение основных свойств
при различных внешних и внутренних изменениях. Структурным показателем является
показатель, состоящий из суммы элементов и выраженный в относительных величинах
(обычно в процентах). Наглядное представление структуры совокупности или
изображения состава целого, разделенного на части, достигается при помощи
структурных диаграмм. Изобразительными средствами для этого могут служить
диаграммы: столбиковые, полосовые (или ленточные), секторные, круговые или
полукруговые. Анализ структуры изучаемого явления необходим для представления
объективной, качественной, наиболее полной информации адекватно отражающей
анализируемые направления.[21]
Корреляционная связь (от англ. corelation - соответствие) является частным случаем статистической связи, при
которой изменение среднего значения результативного признака обусловлено
изменением значений факторного признака (парная корреляция) или множества
факторных признаков (множественная корреляция). Для оценки тесноты связи (связь
отсутствует, слабая, умеренная, сильная), определения ее направленности (связь
прямая или обратная), а также формы (связь линейная, параболическая,
гиперболическая, степенная и т.д.) используется корреляционно-регрессионный
метод.
Корреляционно-регрессионный анализ позволяет количественно измерить
тесноту, направление связи (корреляционный анализ), а также установить
аналитическое выражение зависимости результата от конкретных факторов при
постоянстве остальных действующих на результативный признак факторных признаков
(регрессионный анализ).
Основные условия применения корреляционно-регрессионного метода:
. Наличие достаточно большой по объему выборочной совокупности.
Считается, что число наблюдений должно превышать более чем в 10 раз число
факторов, влияющих на результат.
. Наличие качественно однородной исследуемой совокупности.
. Подчинение распределения совокупности по результативному и факторным
признакам нормальному закону или близость к нему. Выполнение этого условия
обусловлено использованием метода наименьших квадратов (МНК) при расчете
параметров корреляции и некоторых др.
Основные задачи корреляционно-регрессионного анализа:
. Измерение тесноты связи между результативным и факторным признаком
(признаками). В зависимости от количества влияющих на результат факторов задача
решается путем вычисления корреляционного отношения, коэффициентов парной,
частной, множественной корреляции или детерминации.
. Оценка параметров уравнения регрессии, выражающего зависимость средних
значений результативного признака от значений факторного признака (признаков).
Задача решается путем вычисления коэффициентов регрессии.
. Определение важнейших факторов, влияющих на результативный признак.
Задача решается путем оценки тесноты связи факторов с результатом.
. Прогнозирование возможных значений результативного признака при
задаваемых значениях факторных признаков. Задача решается путем подстановки
ожидаемых значений факторов в регрессионное уравнение и вычисления
прогнозируемых значений результата.
Кластерный анализ - это совокупность методов, позволяющих классифицировать
многомерные наблюдения, каждое из которых описывается набором исходных
переменных. В отличие от комбинационных группировок кластерный анализ приводит
к разбиению на группы с учетом всех группировочных признаков одновременно.
В методах классификации, основанных на кластерном анализе, используется
принцип образования групп, так называемый политетический подход. Все
группировочные признаки одновременно участвуют в группировке, т. е. они
учитываются все сразу при отнесении наблюдения в ту или иную группу. При этом,
как правило, не указаны четкие границы каждой группы, а также неизвестно
заранее, сколько же групп необходимо выделить в исследуемой совокупности.
Кластерные методы классификации важное место занимают в тех отраслях
науки, которые связаны с изучением массовых явлений и процессов. Широко
используются они и в социальной статистике. Поэтому целесообразно было
применить данный метод и для анализа занятости населения Оренбургской области.
Методы кластерного анализа позволяют решать следующие задачи:
проведение классификации объектов с учетом признаков, отражающих
сущность, природу объектов. Решение такой задачи, как правило, приводит к
углублению знаний о совокупности классифицируемых объектов;
проверка выдвигаемых предположений о наличии некоторой структуры в
изучаемой совокупности объектов, т.е. поиск существующей структуры;
построение новых классификаций для слабоизученных явлений, когда
необходимо установить наличие связей внутри совокупности и попытаться привнести
в нее структуру;
сжатие данных - если исходная выборка избыточно большая, то можно
сократить её, оставив по одному наиболее типичному представителю от каждого
кластера[5].
Прогнозирование - это метод, в котором используются как накопленный в
прошлом опыт, так и текущие допущения насчет будущего с целью его определения.
Можно сказать, что прогноз - это догадка, подкрепленная знанием. Поскольку
прогностические оценки по сути своей являются приближенными, может возникнуть
сомнение относительно его целесообразности вообще. Поэтому основное требование,
предъявляемое к любому прогнозу, заключается в том, чтобы в пределах возможного
минимизировать погрешности в соответствующих оценках. По сравнению со
случайными и интуитивными прогнозами, научно обоснованные и планомерно разрабатываемые
прогнозы без сомнения являются более точными и эффективными. Как раз такими
являются прогнозы, основанные на использовании методов статистического анализа.
Можно утверждать, что из всех способов прогнозирования именно они внушают
наибольшее доверие, во-первых, потому что статистические данные служат надежной
основой для принятия решений относительно будущего, во-вторых, такие прогнозы
вырабатываются и подвергаются тщательной проверке с помощью фундаментальных
методов математической статистики. К статистическим методам прогнозирования
относятся: метод скользящих средних, метод экспоненциального сглаживания,
модели авторегрессии, модель Бокса-Дженкинса, методы Хольта и Брауна,
регрессионные методы прогнозирования, прогнозирование с помощью тренда, прогнозирование
на основе систем рядов динамики[23].
II.
Экономико-статистический анализ занятости населения Оренбургской области
.1 Анализ структуры и динамики занятости в Оренбургской
области
Исследуем структуру занятости населения по уровню образования в
Оренбургской области.
Рисунок 1 - Структура занятости населения по уровню образования в
Оренбургской области
На представленных диаграммах прослеживаются структурные изменения в
составе занятого населения по уровню образования. В 2008 г. лидирует категория
лиц, имеющих начальное профессиональное образование. Численность занятых этой
категории, по сравнению с базовым периодом, возросла в 2,7 раза. На начало
анализируемого периода самая многочисленная категория занятых - это население,
имеющее среднее профессиональное образование. В 2008 г. наблюдается наименьшая
доля лиц, имеющих начальное общее образование. По сравнению с базовым периодом
она снизилась в 5,4 раза.
Проанализируем динамику структурных изменений за весь период.
Рисунок 2 - Динамика структуры занятого населения по уровню образования в
Оренбургской области.
На представленном графике визуально прослеживаются изменения структуры
занятого населения Оренбургской области по уровню образования за весь исследуемый
период. Плавное и устойчивое снижение показателей наблюдается в категориях
занятых, имеющих неполное высшее, начальное общее и не имеющих начального
общего образования, а также среди занятых, имеющих основное общее образование.
Скачкообразные изменения происходили в категориях занятых, имеющих начальное
профессиональное и среднее полное (общее) образование. На протяжении последних
нескольких лет стабильно лидирует группа занятых, имеющих начальное
профессиональное образование. Доля лиц этой категории занятых составляет 1/3
часть от всего занятого населения области.
Для анализа динамики уровня занятости возьмем временной промежуток с
1992г. по 2008г. Рассчитаем показатели, характеризующие развитие явления во
времени, а именно абсолютный прирост, коэффициент роста, темп роста, темп
прироста, абсолютное значение 1% прироста.
Рисунок 3 - Расчет показателей динамики
Из расчетов абсолютного прироста (цепного) видно, что с 1993 по 1995 года
по сравнению с предыдущими периодами прослеживается убыль уровня занятости.
Убыль уровня занятости также наблюдается в 1997,1998,2007,2008гг.
Соответственно увеличение уровня занятости происходило в 1996г., с 1999 по
2001, 2003, 2004, 2006гг., а в 2005году по сравнению с 2004 годом уровень
занятости не изменился. Абсолютный прирост (базисный) показывает, что на
протяжении всего периода по сравнению с 1992 годом наблюдается убыль уровня
занятости. Из расчетов темпа роста (цепного) видно, что уровень занятости
изменялся (варьировал) в течение всего периода.
2.2 Корреляционно-регрессионный анализ занятости населения
Проведем корреляционно-регрессионный анализ. Для начала построим
корреляционную матрицу. Расчеты будем осуществлять в MS Excel и ППП Statistica.

Рисунок 4 - Матрица парных коэффициентов корреляции
Рисунок 5 - Детализированная матрица парных коэффициентов корреляции
Проверка значимости парного коэффициента корреляции.
Выдвигаем
гипотезы:
Для
проверки значимости парного коэффициента корреляции используется статистика:
, которая имеет закон распределения Стьюдента с ν=n-2
Коэффициенты
корреляции между всеми парами признаков составляют матрицу парных коэффициентов
корреляции. В результате полученной матицы мы можем сказать, что между
случайными величинами xi xj существует линейная
функциональная связь, то есть по значению одной случайной величины xi
можно точно восстановить значение другой случайной величины xj.
Если
pxi xj >0 связь
прямая, то есть с увеличением одного признака будет увеличиваться другой
признак. Если pxixJ <0
связь обратная, то есть с увеличением одного признака будет уменьшаться другой
признак.
На
основе матрицы можно сделать вывод о том, что:
Связь
между уровнем занятости и среднемесячной номинальной начисленной з/п прямая,
умеренная, значимая (r12=0,54).
Связь
между уровнем занятости и удельным весом населения в трудоспособном возрасте
прямая, умеренная, значимая (r14=0,46).
Связь
между уровнем занятости и численностью ищущих работу граждан, не занятых
трудовой деятельностью прямая, умеренная, значимая (r15=0,78).
Связь
между среднемесячной номинальной начисленной з/п и инвестициями в основной
капитал на душу населения прямая, умеренная, значимая (r23=0,4).
Связь
между среднемесячной номинальной начисленной з/п и удельным весом населения в
трудоспособном возрасте прямая, существенная, значимая (r24=0,65).
Связь
между среднемесячной номинальной начисленной з/п и численностью ищущих работу
граждан, не занятых трудовой деятельностью прямая, умеренная, значимая (r25=0,31).
Связь
между удельным весом населения в трудоспособном возрасте и численностью ищущих
работу граждан, не занятых трудовой деятельностью прямая, умеренная, значимая (r45=0,29).
Проведем регрессионный анализ
Рисунок 6 - Результаты множественной регрессии
Оценка множественного коэффициента корреляции между
случайной величиной У и четырьмя остальными составила 0,93. Вероятность
принятия гипотезы Но о не значимости множественного коэффициента составила
р=0,00000, следовательно, гипотеза Но отвергается и множественный коэффициент
корреляции значим. Коэффициент детерминации составил 0,874. Также значимыми
оказались коэффициенты уравнения регрессии Х1, Х2,Х4, а Х3 - не значим.
Рисунок 7 - Итоги регрессии
Составим уравнение регрессии:
Проверим
на адекватность:
модель
неадекватна
модель
адекватна
,
где
,
следовательно
отвергается, модель адекватна
Проверим
на значимость коэффициенты уравнения регрессии. Сравним Р-Значения с уровнем
значимости 0,05. Из рисунка 7 видно, что коэффициент Х3 не значим, т.к. 0,33
> 0,05. Следовательно, фактор Х3 - удельный вес населения в трудоспособном
возрасте исключим из рассмотрения. Построим уравнение, включая только значимые
факторы.
Оценка множественного коэффициента корреляции между
случайной величиной У и тремя остальными составила 0,93. Вероятность принятия
гипотезы Но о не значимости множественного коэффициента составила р=0,00000,
следовательно, гипотеза Но отвергается и множественный коэффициент корреляции
значим. Коэффициент детерминации составил 0,871. Также значимыми оказались
коэффициенты уравнения регрессии Х1, Х2,Х4.
Рисунок 8 - Результаты множественной регрессии
Рисунок 9 - Итоги регрессии
Составим уравнение регрессии:
Оценим
статистическую значимость коэффициентов регрессии с помощью t-критерия и
нулевую гипотезу о значимости уравнения с помощью F-критерия.
Технология
оценки статистической значимости коэффициентов регрессии также основывается на
проверке нулевой гипотезы о незначимости коэффициентов регрессии. При этом
проверяется выполнение условия: если tнабл > tкрит, то
нулевая гипотеза отвергается и коэффициент регрессии принимается значимым. Из
рисунка 9 видно, что tнабл для первого коэффициента регрессии равен
5,7, для второго - 2,4, для четвертого - 13,9. Критическое значение tкрит
при уровне значимости α
= 0,05 определим с использованием
статистической функции СТЬЮДРАСПОБР. tкрит = 2,012
Поскольку
tнабл >tкрит для всех коэффициентов регрессии, то
нулевая гипотеза отвергается и объясняющие переменные x1, х2, х4 являются
статистически значимыми.
Проверка
значимости уравнения множественной регрессии в целом с использованием
F-критерия аналогична проверке уравнения парной регрессии.
Из
рисунка 8 следует, что Fнабл = 97. Fкрит = 2,82.
Следовательно, Fнабл > Fкрит (97 > 2,82) и
уравнение регрессии в целом является значимым.
Вывод: При увеличении среднемесячной номинальной
начисленной заработной платы работников на 1000 рублей, уровень занятости
увеличится в среднем на 3,1%, при увеличении инвестиций в основной капитал на
душу населения на 1000 рублей, уровень занятости увеличится в среднем на 0,5%,
при увеличении численности ищущих работу граждан, не занятых трудовой
деятельностью на 1 человека, уровень занятости снизится в среднем на 0,9%.
Определим
степень связи объясняющих переменных x1,x2,х4 с зависимой переменной y,
используя коэффициенты эластичности. Коэффициент эластичности для модели
множественной линейной регрессии определяется в виде:
Тогда
Следовательно,
при изменении среднемесячной номинальной начисленной з/п на 1% уровень
занятости изменится на 2,7%.
Следовательно,
при изменении инвестиций в основной капитал на душу населения на 1% уровень
занятости изменится на 0,21%.
Следовательно,
при изменении численности ищущих работу граждан, не занятых трудовой
деятельностью на 1% уровень занятости изменится на -1,3%.
Проведем
описательную статистику результативного признака и значимых факторных
признаков.
Рисунок 10 - Описательная статистика
На основании полученных результатов можно заключить, что средней уровень
занятости по Оренбургской области составляет 11,125%. Значение медианы говорит
нам о том, что в 50% городов и районов уровень занятости превышает 4,7%, а в
50% городов и районов ниже 4,7%. Коэффициент асимметрии (5,3) > 0,
следовательно, имеем правостороннюю асимметрию. Ex (30,6) также > 0, что говорит нам об островершинном
распределении.
Коэффициент вариации всех признаков превышает 33%, что говорит о
неоднородности анализируемых совокупностей, следовательно, мы можем перейти к
проведению кластерного анализа.
2.3 Кластерный анализ занятости населения
На основе исходных данных представленных в Приложении 2 необходимо
провести многомерную классификацию с помощью иерархических кластер-процедур и с
помощью метода k-средних.
Поскольку исходные признаки имеют разные единицы измерения, то перейдем к
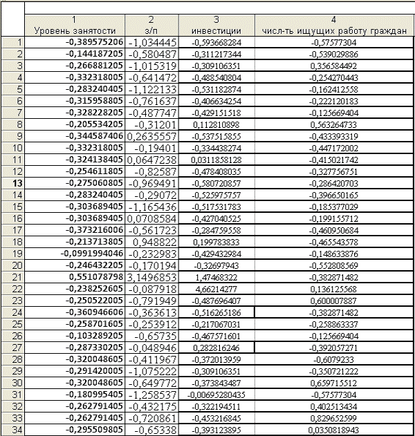
центрировано-нормированным признакам, представленным в Приложении 3
Оренбург является административным центром Оренбургской области, поэтому
значения всех показателей характеризующих занятость населения завышены, и мы не
можем дать точной, экономически правильной оценки. Поэтому г. Оренбург исключен
из рассмотрения.
Классификация муниципальных образований иерархическими
агломеративными методами кластерного анализа
Объединение кластеров методом «полных связей»
Методом
«полных связей» при пороговом значении расстояния
все муниципальные образования разбиваются на три
класса
. К первому классу относится 7 муниципальное
образование, ко второму - 2, к третьему - 37.
Рисунок 11 - Дендрограмма объединения классов методом «полных связей»
Таблица 1 - Объединение классов методом полной связи
|
Номер класса
|
К-во объектов в классе
|
Состав классов
|
|
С11
|
7
|
г.Ясный, г.Орск, г.Новотроицк, г.Гай, г.Бугуруслан, г.Бузулук, Оренбургский
|
|
С12
|
2
|
г.Соль-Илецк, Первомайский
|
|
С13
|
37
|
Гайский, г.Абдулино,
г.Сорочинск, Новоорский, Светлинский, г.Кувандык, Курманаевский, г.Медногорск,
Ясненский, Домбаровский, Тюльганский, Александровский, Сакмарский,
Новосергиевский, Тоцкий, Северный, Понаморевский, Красногвардейский,
Октябрьский, Грачевский, Сорочинский, Шарлыкский, Матвеевский, Саракташский,
Переволоцкий, Илекский, Беляевский, Адамовский, Ташлинский, Кувандыкский,
Асекеевский, Соль-Илецкий, Кваркенский, Абдулинский, Бузулукский,
Бугурусланский, Акбулакский
|
Таблица 2 - Средние значения признаков в классах
|
Номер кластера
|
Среднее значение уровня
занятости населения
|
Среднее значение среднемесячной
номинальной начисленной з/п работников
|
Среднее значение инвестиций
в основной капитал на душу населения
|
Среднее значение
численности ищущих работу граждан, не занятых трудовой деятельностью (на 1000
чел.)
|
|
С11
|
26,6
|
14330,1
|
7917,3
|
163
|
|
С12
|
4,65
|
8090
|
20129
|
138
|
|
С13
|
4,55
|
8755,4
|
3035,3
|
126
|
Рисунок 12 - График средних значений признаков в каждом кластере
Первый класс с точки зрения рынка труда является наиболее стабильным,
экономически активным и производящим. В этот класс вошли следующие города и
районы Оренбургской области: г.Ясный, г.Орск, г.Новотроицк, г.Гай,
г.Бугуруслан, г.Бузулук, Оренбургский район.
В данном классе наблюдаются наибольшие значения среди всех остальных
классов таких показателей как «Уровень занятости населения», «Среднемесячная
номинальной начисленной з/п работников», «Удельный вес населения в
трудоспособном возрасте», «Численность ищущих работу граждан, не занятых
трудовой деятельностью». Это объясняется тем, что в этот класс вошли в основном
города наиболее крупные и развитые после Оренбурга и только один район. Данные
города характеризуются достаточно развитой текстильной (г. Бугуруслан, г.
Орск), пищевой (г. Орск, г. Новотроицк, г. Бузулук), химической (г. Орск),
легкой (г. Орск, г. Гай, г. Ясный) промышленностью. Также развита цветная и
черная металлургия, машиностроение.
Второй класс с точки зрения рынка труда является более менее стабильным.
В состав данного класса вошли г. Соль-Илецк и Первомайский район. Отличительной
особенностью этого класса является наибольшее значение среди всех классов
показателя «Инвестиции в основной капитал на душу населения». Это связано с
тем, что инвестировать этот город и район достаточно выгодно. В Соль-Илецке
промышленность представлена в нескольких отраслях: добыча полезных ископаемых -
ОАО «Илецксоль»; обрабатывающие производства - ФБУ ИК-6, ООО «Соль-Илецкий
машиностроительный завод», ГУП Оренбургской области «Редакция газеты «Илецкая
Защита»; производство и распределение тепло- и электроэнергии, газа и воды -
Соль-Илецкое ММПП ЖКХ, ФГУП «Степной». Также значительное место в экономике
занимает сельское хозяйство, а именно бахчеводство. Наряду с этими фактами
г.Соль-Илецк является городом-курортом, т.е. ведущее место отводится туризму.
Надо отметить, что в последние годы внимание к теме развития туризма в
Соль-Илецке проявляется уже и на областном уровне. Город включен в проект
стратегии по развитию туризма в Оренбургской области в период до 2015 года. Что
касается Первомайского района, то можно сказать, что основной отраслью
экономики района является производство сельскохозяйственной продукции.
Специализация района - зерновая и мясомолочная. Производством
сельскохозяйственной продукции занимаются 18 крупных и средних
сельскохозяйственных предприятий (СПК «Авангард», СПК «Никольское», СПК
«Мирошкин», СПК «им. Фурманова» и др.), 95 крестьянско-фермерских хозяйств и
личные подсобные хозяйства. Промышленность района представлена топливной
промышленностью (отрасль нефтедобывающая).
Третий класс характеризует рынок труда в Оренбургской области как
наименее развитым, поскольку в городах и районах вошедших в данный класс
(Гайский, г.Абдулино, г.Сорочинск, Новоорский, Светлинский, г.Кувандык,
Курманаевский, г.Медногорск, Ясненский, Домбаровский, Тюльганский,
Александровский, Сакмарский, Новосергиевский, Тоцкий, Северный, Понаморевский,
Красногвардейский, Октябрьский, Грачевский, Сорочинский, Шарлыкский,
Матвеевский, Саракташский, Переволоцкий, Илекский, Беляевский, Адамовский,
Ташлинский, Кувандыкский, Асекеевский, Соль-Илецкий, Кваркенский, Абдулинский,
Бузулукский, Бугурусланский, Акбулакский) наблюдаются наименьшие значения всех
показателей, характеризующих рынок труда, а именно занятость населения.
С помощью метода «полных связей» получено неравномерное распределение
объектов по классам, так как во второй класс вошли только два объекта. Данный
недостаток можно устранить методом Уорда.
Объединение кластеров методом Уорда
Рисунок 13 - Дендрограмма объединения классов методом Уорда
Методом
Уорда при пороговом значении расстояния
все
муниципальные образования разбиваются на три класса
. К первому классу относится 9 муниципальных
образований, ко второму - 16, к третьему - 21.
Таблица
3 - Объединение классов методом Уорда
|
Номер класса
|
К-во объектов в классе
|
Состав классов
|
|
С11
|
9
|
г.Соль-Илецк, Гай,
Первомайский, Ясный, Орск, Новотроицк, Бузулук, Бугуруслан, Оренбургский
|
|
С12
|
16
|
г.Сорочинск, г.Кувандык,
Новоорский, Тоцкий, г.Абдулино, г.Медногорск, Ясненский, Домбаровский,
Светлинский, Сакмарский, Грачевский, Курманаевский, Гайский, Октябрьский,
Красногвардейский, Адамовский
|
|
С13
|
21
|
Ташлинский, Соль-Илецкий,
Кувандыкский, Кваркенский, Асекеевский, Переволоцкий, Илекский, Беляевский,
Александровский, Акбулакский, Бузулукский, Сорочинский, Новосергиевский,
Саракташский, Шарлыкский, Тюльганский, Матвеевский, Пономаревский, Северный,
Бугурусланский, Абдулинский
|
Таблица 4 - Средние значения признаков в классах
|
Номер кластера
|
Среднее значение уровня
занятости населения
|
Среднее значение
среднемесячной номинальной начисл. з/п работн.
|
Среднее значение инвестиций
в основной капитал на душу населения
|
Среднее значение
численности ищущих работу граждан, не занятых трудовой деятельностью (на 1000
чел.)
|
|
22,0213448,7813650,2182
|
|
|
|
|
|
4,639940,062893,2590
|
|
|
|
|
|
4,3672901765,5137
|
|
|
|
|
Первый класс с точки зрения рынка труда является наиболее стабильным и
экономически активным. Данный класс характеризуется наибольшими значениями всех
показателей среди рассматриваемых классов. Это связано с составом класса, т.к.
в него вошли в основном крупные города (г.Соль-Илецк, г. Гай, г.Ясный, г.Орск,
г.Новотроицк, г.Бузулук, г.Бугуруслан) и наиболее экономически развитые районы
(Первомайский, Оренбургский).
Рисунок 14 - График средних значений признаков в каждом кластере
В состав второго класса вошли 4 города и 12 районов. Этот класс с точки
зрения рынка труда менее развит, чем первый, однако такое положение является
вполне приемлемым. Это подтверждают средние значения показателей,
характеризующий данный класс. Наименьшее значение среди всех классов
принадлежит показателю «Численности ищущих работу граждан, не занятых трудовой
деятельностью». Это является положительной характеристикой данного класса.
Третий класс характеризует рынок труда в Оренбургской области как
наименее развитым, поскольку в состав данного класса вошли только районы
(Ташлинский, Соль-Илецкий, Кувандыкский, Кваркенский, Асекеевский,
Переволоцкий, Илекский, Беляевский, Александровский, Акбулакский, Бузулукский,
Сорочинский, Новосергиевский, Саракташский, Шарлыкский, Тюльганский,
Матвеевский, Пономаревский, Северный, Бугурусланский, Абдулинский) и в данном
классе наблюдаются наименьшие значения всех показателей, характеризующих рынок
труда, а именно занятость населения.
Классификация муниципальных образований методом К-средних
Метод К-средних позволяет получить более устойчивое разбиение, но требует
задания некоторых начальных условий
Рисунок 15 - Состав кластера 1
Рисунок 16 - Состав кластера 2
Рисунок 17 - Состав кластера 3
Классификация
муниципальных образований на три класса методом К-средних
имеет вид:
Таблица
5 - Объединение классов методом k-средних
|
Номер класса
|
К-во объектов в классе
|
Состав классов
|
|
С11
|
9
|
г.Соль-Илецк, г.Гай,
Первомайский, г.Ясный, г.Орск, г.Новотроицк, г.Бузулук, г.Бугуруслан,
Оренбургский
|
|
С12
|
15
|
г.Сорочинск, г.Кувандык,
Новоорский, Тоцкий, г.Абдулино, г.Медногорск, Ясненский, Домбаровский,
Светлинский, Сакмарский, Грачевский, Курманаевский, Гайский, Октябрьский,
Красногвардейский
|
|
С13
|
22
|
Ташлинский, Соль-Илецкий,
Кувандыкский, Кваркенский, Асекеевский, Переволоцкий, Илекский, Беляевский,
Александровский, Акбулакский, Бузулукский, Сорочинский, Новосергиевский,
Саракташский, Шарлыкский, Тюльганский, Матвеевский, Пономаревский, Северный,
Бугурусланский, Абдулинский, Адамовский
|
Рисунок 18 - Средние значения признаков в классах
Рисунок 19 -
Анализ дисперсий
Таблица 6 - Значения межгрупповых и внутригрупповых дисперсий
|
Признаки
|
Межгрупповая дисперсия
|
Внутригрупповая дисперсия
|
|
Уровень занятости
|
11,02292
|
0,533818
|
9,85085
|
0,588333
|
|
Инвестиций в основной
капитал на душу населения
|
11,70913
|
0,501901
|
|
Числ. ищущих работу
граждан, не занятых труд. деятельностью
|
16,25809
|
0,290315
|
На уровне значимости
= 0,05 по всем признакам нулевая гипотеза о
равенстве межгрупповой и внутригрупповой дисперсий отвергается. Это означает,
что каждый из признаков вносит существенный вклад в разделение объектов на
классы.
Сравнение
классификаций
С
помощью метода «полных связей», метода Уорда и метода К-средних были получены
классификации С1,С2,С3 соответственно. Для выбора лучшей классификации можно
воспользоваться функционалами качества.
Рассчитаем
функционал качества классификации, полученной методом Уорда
Рисунок
20 - График средних значений признаков в каждом кластере
Аналогичным
образом рассчитаем значение функционала качества для классификации, полученной
методом «полных связей»
Значение
функционала качества
для классификации, полученной методом К-средних
По
выбранному функционалу качества наилучшей является классификация
, полученная методом К-средних.
Экономическая
интерпретация
Для
того, чтобы дать экономическую интерпретацию классификации, обратимся к рисунку
10. Анализируя первый класс можно сделать следующие выводы: данный класс
характеризуется достаточно высокими значениями всех показателей. В состав этого
класса вошли 7 городов (г.Соль-Илецк, г.Гай, г.Ясный, г.Орск, г.Новотроицк, г.Бузулук,
г.Бугуруслан,) и 2 района (Первомайский, Оренбургский). В данном классе
наблюдаются наибольшие значения среди всех остальных классов таких показателей
как «Уровень занятости населения», «Среднемесячная номинальной начисленной з/п
работников», «Удельный вес населения в трудоспособном возрасте», «Численность
ищущих работу граждан, не занятых трудовой деятельностью». Это объясняется тем,
что в этот класс вошли в основном города и районы наиболее крупные и развитые.
Данные города и районы характеризуются достаточно развитой текстильной
(г.Бугуруслан, г.Орск), пищевой (г.Орск, г.Новотроицк, г. Бузулук), химической
(г. Орск), легкой (г. Орск, г.Гай, г. Ясный), топливной (Первомайский,
Оренбургский) промышленностью. Также развита цветная и черная металлургия,
машиностроение. Развивается бахчеводство и туризм в г.Соль-Илецк. Наряду с
этим, значение показателя «Численность ищущих работу граждан, не занятых
трудовой деятельностью» также является наибольшим среди данных трех классов.
Возможно, это связано с нестабильной экономической ситуацией в стране, а также
с избирательностью людей, которые живя в крупных городах и являясь коренными
жителями, не соглашаются на любую работу, а ищут более выгодный вариант. Чтобы,
снизить значение показателя «Численность ищущих работу граждан, не занятых
трудовой деятельностью» правительство Оренбургской области должно проводить
меры направленные на стабилизацию ситуации на рынке труда, снижение безработицы
и увеличение занятости в данных городах и районах. К таким мерам целесообразно
отнести: привлечение внутренних и иностранных инвестиций, обеспечение условий
для материальной заинтересованности работников, развития их потребностей,
расширения инфраструктуры для их удовлетворения, а также соответствия
профессионального уровня трудящихся уровню материально-технической базы.
В
состав второго класса вошли 4 города (г.Сорочинск, г.Кувандык,, г.Абдулино,
г.Медногорск) и 11(Новоорский, Тоцкий, Ясненский, Домбаровский, Светлинский,
Сакмарский, Грачевский, Курманаевский, Гайский, Октябрьский, Красногвардейский)
районов. Этот класс с точки зрения рынка труда менее развит, чем первый, однако
такое положение является вполне приемлемым. Это подтверждают средние значения
показателей, характеризующий данный класс. Средние значения показателя «Среднемесячная
номинальной начисленной з/п работников» является наибольшим в данном классе.
Наименьшее значение среди всех классов принадлежит показателю «Численности
ищущих работу граждан, не занятых трудовой деятельностью». Это является
положительной характеристикой данного класса.
Третий
класс характеризует рынок труда в Оренбургской области как наименее развитым,
поскольку в состав данного класса вошли только районы (Ташлинский,
Соль-Илецкий, Кувандыкский, Кваркенский, Асекеевский, Переволоцкий, Илекский,
Беляевский, Александровский, Акбулакский, Бузулукский, Сорочинский,
Новосергиевский, Саракташский, Шарлыкский, Тюльганский, Матвеевский,
Пономаревский, Северный, Бугурусланский, Абдулинский, Адамовский), а также в
данном классе наблюдаются наименьшие значения всех показателей, характеризующих
рынок труда, а именно занятость населения. Чтобы улучшить ситуацию, сложившуюся
на рынке труда в данных районах Оренбургской области необходимо, прежде всего,
финансировать эти районы, развивать производство и переработку с/х продукции,
развивать пищевую промышленность, специализироваться на добыче и переработки
какого-либо сырья (если таковое имеется). Необходимо увеличивать количество
рабочих мест и обеспечивать трудоустройство молодежи.
2.4 Прогнозирование занятости населения
занятость статистический регрессионный кластерный
Прежде чем перейти к определению тенденции и выделению тренда нужно
выяснить, существует ли вообще тенденция в исследуемом процессе. Для этой цели
разработано множество критериев: критерий серий, метод проверки разностей
средних уровней, метод Фостера-Стюарта. В данном случае воспользуемся критерием
серий основанным на медианной выборке.
)
Из исходного временного ряда уровней занятости Оренбургской области (
), образуем ранжированный ряд (
) (таблица 7).
Таблица 7 - Формирование серий
2) Определяем медиану (Ме) ранжированного временного ряда. Ме=57.7
3) Образуем
последовательность
из плюсов и минусов по правилу:
Если
значение уровня исходного ряда yt равно медиане, то это значение пропускается
) Подсчитываем
- число серий в совокупности
, где под серией понимается последовательность подряд
идущих плюсов и минусов. Определяем
-
протяженность самой длиной серии.
Получаем:
=3,
=7
5) Чтобы не была отвергнута гипотеза о случайности исходного ряда,
должны выполняться следующие неравенства:
,
где
- длина временного ряда.
Рассчитаем
правые части неравенств. Получим:
>
5, 7 < 4
Оба
неравенства нарушаются, следовательно, гипотеза отвергается с вероятностью
ошибки
, заключенной между 0,05 и 0,0975 (следовательно,
подтверждается наличие зависящей от времени неслучайной составляющей).
Определив
наличие тенденции в исследуемом процессе перейдем к построению тренда.
Наилучший тренд выберем по наибольшему коэффициент детерминации
и наименьшей ошибке аппроксимации. Расчет ошибки
аппроксимации произведем в MS Excel (Приложение 4).
По
полученным результатам можно сказать, что наилучшим трендом является
полиномиальный (
=0,724; А= 2,7). Его и возьмем для построения
прогноза.
Рисунок
21 - Полиномиальный тренд
Построим
прогноз на 2009, 2010, 2011 года.
Рисунок
22 - Расчет прогнозных значений
Т.о.
из рисунка видно, что в 2009 году уровень занятости будет составлять 64,5%, в
2010 году 66,9%, а в 2011 году 69,6%.
Интервальный прогноз при среднем квадратическом отклонении 4,32 и
статистике Стьюдента на 5% уровне значимости для 20 степеней свободы
составившей 2,09 для 2009 года уровень занятости будет находится в границах от
55,5% до 73,5%, для 2010 года от 57,9% до 75,9% и для 2011 года от 60,6% до
78,6% году.
По данным сайта gks.ru уровень занятости в Оренбургской области
за 2009 год составляет 60,5%. Полученное прогнозное значение равное 64,5% не
значительно отличается от фактического.
Заключение
В ходе проделанной работы был произведен анализ занятости населения
Оренбургской области. Были освещены сущность, виды, формы занятости, источники
информации и статистические показатели занятости, а также методы анализа.
Произведен экономико-статистический анализ занятости населения Оренбургской
области. Рассмотрена структура занятости населения по уровню образования. Для
анализа были взяты 2000 и 2008год. В итоге были прослежены структурные
изменения в составе занятого населения по уровню образования. Далее был
произведен анализ динамики уровня занятости. Были рассчитаны основные
показатели: абсолютный прирост, темп роста, темп прироста, коэффициент роста,
абсолютное значение 1% прироста.
В практической части использовался также корреляционно-регрессионный
анализ. В качестве результативного признака был взят уровень занятости
населения Оренбургской области, в качестве факторов использовались «Уровень
занятости населения», «Среднемесячная номинальной начисленной з/п работников»,
«Удельный вес населения в трудоспособном возрасте», «Численность ищущих работу
граждан, не занятых трудовой деятельностью». Для выявления связи между
признаками была построена матрица парных коэффициентов корреляции. После,
коэффициенты были проверены на значимость. Далее провели регрессионный анализ.
Уравнение регрессии показало, что при увеличении среднемесячной
номинальной начисленной заработной платы работников на 1000 рублей, уровень
занятости увеличится в среднем на 3,1%, при увеличении инвестиций в основной
капитал на душу населения на 1000 рублей, уровень занятости увеличится в
среднем на 0,5%, при увеличении численности ищущих работу граждан, не занятых
трудовой деятельностью на 1 человека, уровень занятости снизился в среднем на
0,9%.
Следующим этапом анализа было проведение кластерного анализа. Кластерный
анализ проводился тремя методами: методом полных связей, методом Уорда и
методом k-средних. В результате была выбрана
наилучшая классификация полученная методом k-средних. На основе данной классификации вся совокупность
разбивается на три класса: первый(г.Соль-Илецк, г.Гай, г.Ясный, г.Орск,
г.Новотроицк, г.Бузулук, г.Бугуруслан, Первомайский, Оренбургский) наиболее
активный и развитый с точки зрения рынка труда, второй(г.Сорочинск,
г.Кувандык,, г.Абдулино, г.Медногорск, Новоорский, Тоцкий, Ясненский,
Домбаровский, Светлинский, Сакмарский, Грачевский, Курманаевский, Гайский,
Октябрьский, Красногвардейский) менее развит и третий(Ташлинский, Соль-Илецкий,
Кувандыкский, Кваркенский, Асекеевский, Переволоцкий, Илекский, Беляевский,
Александровский, Акбулакский, Бузулукский, Сорочинский, Новосергиевский,
Саракташский, Шарлыкский, Тюльганский, Матвеевский, Пономаревский, Северный,
Бугурусланский, Абдулинский, Адамовский) отсталый в своем развитии.
На последнем этапе анализа провели прогнозирование уровня занятости
Оренбургской области. Перед тем как построить тренд осуществили проверку на
наличие тенденции. По полученным результатам в исследуемой совокупности имеется
тенденция, следовательно, возможно построение тренда. По наибольшему
коэффициенту детерминации и наименьшей ошибке аппроксимации наилучшим оказался
полиномиальный тренд. По нему и строился прогноз. В итоге получили, что в 2009
году уровень занятости будет составлять 64,5%, в 2010 году 66,9%, а в 2011 году
69,6%. Т.е. наблюдается рост уровня занятости.
В целом по работе можно сказать, что несмотря на ряд существующих проблем, рынок труда Оренбургской
области остается относительно стабильным. Уровень официально регистрируемой
безработицы на 01.01.2008 составляет 0,8 процента экономически активного
населения при среднем по России 2,1 процента, Приволжскому федеральному округу
- 1,3 процента. Правительство Оренбургской области проводит различные меры,
направленные на поддержание и улучшение сложившейся ситуации на рынке труда.
К ряду таких мер относится: обеспечение устойчивого функционирования
рынка труда, рациональной и эффективной занятости населения; развитие трудовых
ресурсов, повышение их мобильности; обеспечение защиты населения от
безработицы; содействие гражданам в поиске подходящей работы, а работодателям -
в подборе необходимых кадров; предоставление гражданам комплекса информационных,
консультационных и образовательных услуг с целью трудоустройства в соответствии
с требованиями административных регламентов; оказание социальной поддержки
безработным гражданам; повышение конкурентоспособности молодежи, в том числе
женщин, имеющих малолетних детей; сокращение периода безработицы среди молодежи
путем усиления адресности оказываемых услуг; создание условий для обеспечения
оптимального уровня безработицы; совершенствование организационных форм
содействия занятости населения с учетом специфических потребностей отдельных
социально-демографических групп населения; совершенствование системы
социального партнерства в сфере содействия занятости населения.
Список использованных источников
1) Афанасьев
В.Н. Анализ временных рядов и прогнозирование: учеб. пособие/ В.Н. Афанасьев,
М.М. Юзбашев. - М.: Финансы и статистика, 2001. - 228с.: ил. - ISBN 5-279-02419-8.
2) Бархатов
В.И. Статистика: учебно-методический комплекс/под ред. Бархатова В.И. Плетнева
Д.А. - Челябинск, 2005.
) Башкатов
Б.И. Социально-экономическая статистика: Учебник для вузов/ Под ред. проф. Б.И.
Башкатова. - М.: ЮНИТИ-ДАНА, 2002. - 703 с.
) Боровик
В.С., Ермакова Е.E., Похвощев В.А. Занятость населения: Учебное пособие -
Ростов-на-Дону: «Феникс», 2001. - 320 c.
) Бравичева
О.С., Бантикова О.И., Фот Н.П. Методы кластерного анализа. Классификация без
обучения (непараметрический случай): методические указания к лабораторному
практикуму и самостоятельной работе студентов/ Оренбург: ГОУ ОГУ, 2005. - 26 с.
) Буланов
В.С., Волгин Н.А. Рынок труда: учебник/под ред. В.С. Буланова. - М.: Экзамен,
2003. - 448 с.
) Бюджетное
финансирование политики занятости: выравнивание возможностей регионов// Вопросы
статистики. - 2001. - №12 - с.15-18
) Города
и районы Оренбургской области: Стат.сб./Территориальный орган Федеральной
службы государственной статистики по Оренбургской области. - Оренбург, 2009. -
285 с.
) Государственная
политика в сфере занятости/ О. Собченко// Человек и труд. - 2006. - №6. - с.
45-47.
) Громыко
Г.Л. Теория статистики: учебник / под ред. Г. Л. Громыко. - М.: Инфра-М, 2000.
- 414 с. - (Высшее образование). - ISBN 5-16-00177-8.
) Елисеева
И.И., Юзбашев М.М. Общая теория статистики: Учебник / под ред. И.И. Елисеевой.
- М.: Финансы и статистика, 1998.
) Елисеева
И.И. Социальная статистика: Учебник/ Под ред. И.И. Елисеевой. - М.: Финансы и
статистика, 2002. - 480 с.
) Ефимова
М.Р. Социальная статистика: Учеб. пособие/ под ред. М.Р. Ефимовой. - М.:
Финансы и статистика, 2003. - 560 с.
) Закон «О
занятости населения в Российской Федерации» (с последующими дополнениями и
изменениями) от 11.04.1996., ст.3.
) Коровкин
А.Г. Динамика занятости и рынка труда. Вопросы макроэкономического анализа и
прогнозирования/А.Г. Коровкин.- М.: МАКС Пресс, 2001.
) Кулагина
Г.Д. Макроэкономическая статистика: учеб.-практ. пособ. / Г.Д.Кулагина. -
М:.МЭСИ,1998. - 212 с. - (Московский государственный университет экономики,
статистики и информатики). - ISBN
5-7764-0077-5.
) Курышева
С.В.Статистическое изучение занятости и безработицы: учеб. пособие/ С.В.
Курышева, О.Н. Кашина. - СПб: изд-во СПб ГУЭФ,1997. - 85с.
) Назарова
М.Г. Курс социально-экономической статистики. учеб. для вузов/ под ред. проф.
М.Г. Назарова. - М.: Финстатиформ, ЮНИТИ-ДАНА, 2001.
) Павленков
В.А. Рынок труда. Занятость. Безработица: учебник / Под ред. В.А. Павленкова -
Издательство МГУ, 2004 г. - 368 с.
) Проблемы
занятости сельского населения // Вопросы статистики. - 2006. - №3.
) Салин В.Н
Социально-экономическая статистика: Учебник/В.Н.Салин Е.П. Шпаковская Е.П. -
М.: Юристъ, 2003г. - 461 с.
) Сивелькин
В.А., Кузнецова В.Е. Статистический анализ структуры социально-экономических
явлений и процессов: учебное пособие. - Оренбург: ГОУ ВПО ОГУ, 2002. - 99 с.
) Четыркин
E.М. Статистические методы прогнозирования: учебник/под ред. Е.М. Четыркина - Изд.
2-е, перераб. и доп. - М. «Статистика». 1977. - 200 с.
) Шмойлова
Р.А. Теория статистики: учебник для вузов / под ред. Р.А. Шмойловой. - 2-е
изд., доп. и перераб. - М.: Финансы и статистика, 1998. - 576 с. : ил.
) Закон
Оренбургской области об областной целевой программе содействия занятости
населения Оренбургской области на 2009-2011 годы от 21 октября 2008 г. №2558.
26)
#"699545.files/image090.gif">
Приложение 2
Исходные данные
|
|
Уровень занятости
|
Среднемесячная номинальная
начисленная з/п работников, руб.
|
Инвестиции в основной
капитал на душу населения (рублей)
|
Удельный вес населения в
трудоспособном возрасте (%)
|
Численность ищущих работу
граждан, не занятых трудовой деятельностью (на 1000 человек)
|
|
Абдулинский
|
1,6
|
6844
|
445
|
51,4
|
36
|
|
Адамовский
|
7,6
|
8102
|
2452
|
55,9
|
44
|
|
Акбулакский
|
4,6
|
6897
|
2467
|
57,5
|
239
|
|
Александровский
|
3
|
7933
|
1192
|
57,1
|
106
|
|
Асекеевский
|
4,2
|
6601
|
889
|
54,2
|
126
|
|
Беляевский
|
3,4
|
7600
|
1774
|
56,8
|
113
|
|
Бугурусланский
|
3,1
|
8359
|
1614
|
53,9
|
134
|
|
Бузулукский
|
6,1
|
8846
|
5465
|
54,4
|
284
|
|
Гайский
|
2,7
|
10441
|
844
|
56,1
|
67
|
|
Грачевский
|
3
|
9173
|
2287
|
57,4
|
64
|
|
Домбаровский
|
3,2
|
9890
|
4885
|
58,3
|
71
|
|
Илекский
|
4,9
|
7422
|
1264
|
56,5
|
90
|
|
Кваркенский
|
4,4
|
7024
|
537
|
56
|
99
|
|
Красногвардейский
|
4,2
|
8905
|
926
|
56,7
|
75
|
|
Кувандыкский
|
3,7
|
6481
|
986
|
55,9
|
121
|
|
Курманаевский
|
3,7
|
9907
|
1629
|
55,7
|
118
|
|
Матвеевский
|
2
|
8154
|
2640
|
54,1
|
61
|
|
Новоорский
|
5,9
|
12340
|
6083
|
57,1
|
60
|
|
Новосергиевский
|
8,7
|
9065
|
1612
|
53,5
|
129
|
|
Октябрьский
|
5,1
|
9239
|
2340
|
56,1
|
41
|
|
Оренбургский
|
24,6
|
18439
|
15142
|
59,6
|
78
|
|
Первомайский
|
5,3
|
9467
|
37791
|
57
|
191
|
|
Переволоцкий
|
5
|
7516
|
1198
|
56,5
|
292
|
|
Пономаревский
|
2,3
|
8703
|
995
|
54,2
|
78
|
|
Сакмарский
|
4,8
|
9007
|
3121
|
58
|
105
|
|
Саракташский
|
8,6
|
7889
|
1341
|
54,1
|
134
|
|
Светлинский
|
4,1
|
9575
|
6673
|
57
|
76
|
|
Северный
|
3,3
|
8569
|
2020
|
54,3
|
29
|
|
Соль-Илецкий
|
4
|
6731
|
2467
|
56,4
|
85
|
|
Сорочинский
|
3,3
|
7910
|
2007
|
53
|
305
|
|
Ташлинский
|
6,7
|
6223
|
4614
|
56,3
|
36
|
|
Тоцкий
|
4,7
|
8513
|
2374
|
59,4
|
249
|
|
Тюльганский
|
4,7
|
7713
|
1443
|
54
|
342
|
|
Шарлыкский
|
3,9
|
7900
|
1870
|
54,6
|
169
|
|
Ясненский
|
2
|
10116
|
2080
|
57,9
|
61
|
|
г.Абдулино
|
4,7
|
11221
|
1488
|
58,8
|
36
|
|
г.Бугуруслан
|
13
|
12772
|
13777
|
60,9
|
284
|
|
г.Бузулук
|
26,4
|
16348
|
12391
|
60,3
|
134
|
|
г.Гай
|
13,3
|
14791
|
5501
|
62
|
67
|
|
г.Кувандык
|
5,3
|
9829
|
1476
|
60
|
121
|
|
г.Медногорск
|
7,3
|
10516
|
2828
|
58,2
|
169
|
|
г.Новотроицк
|
39
|
14167
|
3345
|
61,6
|
218
|
|
г.Оренбург
|
159,2
|
15940
|
63,3
|
1498
|
|
г.Орск
|
61,8
|
12428
|
3456
|
62,9
|
298
|
|
г.Соль-Илецк
|
7
|
11261
|
29640
|
60,6
|
305
|
|
г.Сорочинск
|
5,7
|
12267
|
4806
|
57,1
|
85
|
|
г.Ясный
|
7,8
|
11366
|
1809
|
68,6
|
61
|
Приложение 3
Центрировано-нормированные данные
Приложение 4
Расчет
ошибки аппроксимации. Рассчитаем
:
Рассчитаем ошибку аппроксимации: