Характеристика предприятия ООО 'РН - Информ'

  • Вид работы:
    Отчет по практике
  • Предмет:
    Информатика, ВТ, телекоммуникации
  • Язык:
    Русский
    ,
    Формат файла:
    MS Word
    173,94 Кб
  • Опубликовано:
    2013-11-01
Вы можете узнать стоимость помощи в написании студенческой работы.
Помощь в написании работы, которую точно примут!

Характеристика предприятия ООО 'РН - Информ'

ФЕДЕРАЛЬНОЕ АГЕНСТВО ПО ОБРАЗОВАНИЮ

ГОСУДАРСТВЕННОЕ ОБРАЗОВАТЕЛЬНОЕ УЧРЕЖДЕНИЕ

ВЫСШЕГО ПРОФЕССИОНАЛЬНОГО ОБРАЗОВАНИЯ

«САМАРСКИЙ ГОСУДАРСТВЕННЫЙ ТЕХНИЧЕСКИЙ УНИВЕРСИТЕТ»

Филиал в г. Сызрани







ОТЧЁТ

об учебной практике

на предприятии: ООО «РН - Информ» г .Сызрань

Выполнил: студент группы ЭАБЗ 301

Симонов Андрей Александрович






Сызрань, 2013г.

Содержание

Введение

.Описание предприятия

. Система управления охраной труда (СУОТ)  7

.Обязанности руководителей и специалистов в системе управления охраной труда

. Разработка системы автоматического управления атмосферного блока ЭЛОУ-АВТ6

.1 Описание атмосферного блока К - 2  

.2 Выбор контролируемых, сигнализируемых и регулируемых величин

.3 Выбор средств автоматизации

.4 Описание схемы автоматизации

.5. Описание схемы сигнализации и блокировки печи

.6. Описание схемы управления электрическим двигателем насоса

.7 Описание

. ТЕХНИКА БЕЗОПАСНОСТИ

. Оценка экономической эффективности от внедрения средств автоматизации атмосферного блока ЭЛОУ - АВТ6

. Практический раздел

.1 Определение общей суммы дополнительных капиталовложений

.2 Расчет удельных капитальных вложений

.3 Определение роста производительности труда в результате внедрения средств автоматизации

.4 Сравнительный анализ цеховой себестоимости единицы продукции

.4.1 Определение стоимости сырья и материалов     47

.4.2 Определение стоимости энергоресурсов на единицу продукции

.4.3 Расчет зарплаты основных рабочих на единицу продукции

.4.4 Расчет амортизационных отчислений на единицу продукции

.4.5 Расчет общепроизводственных расходов на единицу продукции

.4.6 Определение величины себестоимости единицы продукции до и после автоматизации

.4.7 Анализ себестоимости единицы продукции

.5 Расчет показателей экономической эффективности внедрения автоматизации

Введение


В настоящее время возрастает роль автоматизации технологических процессов как средство контроля и стабилизации технологических параметров, а так же обеспечение безопасной работы технологического оборудования.

Увеличение мощности технологических установок привело к количественному росту систем автоматизации. Интенсификация технологических режимов предъявляет более жёсткие требования к системам стабилизации параметров, что способствовало появлению систем с переменными динамическими характеристиками. Количественный рост систем автоматизации, повышения требований к ним обусловили качественный переход - появление автоматизированных систем управления технологическими процессами в различных отраслях промышленности.

Системы автоматизации технологических процессов являются важнейшим средством повышения производительности труда, улучшения качества продукции, сокращения расхода материалов и энергии, сокращение количества обслуживающего персонала, улучшения организации производства и внедрение прогрессивных методов управления производством.

Эти средства снижают аварийность на производстве, увеличивают безопасность работы установок, помогают предотвращать попадание вредных отходов технологических процессов в окружающую среду, повышает коэффициент полезного действия и других технологических показателей производства. Наибольший эффект даёт применение современных систем автоматизации, относящихся к классу автоматизированных систем управления технологическими процессами.

Системы автоматизации технологических процессов позволяют выполнять следующие функции:

1.   Контроль параметров технологического процесса. Как непосредственно у аппаратов и агрегатов (местный контроль) так и со щитов операторов и диспетчеров (дистанционный контроль). Контроль выполняется как показывающими, так и регулирующими приборами и может быть непрерывным или периодическим (контроль по вызову).

2.       Автоматическое регулирование параметров (стабилизация, программное регулирование, каскадное или взаимосвязанное регулирование).

.        Дистанционное и автоматическое управление (в том числе программное управление машинами и агрегатами, и сигнализация их состояния).

.        Обеспечение безопасной эксплуатации технологического оборудования. Оно осуществляется применением защитных устройств и защитных блокировок.

.        Оптимизация технологических процессов.

При автоматизации одной области промышленности возникает потребность в перестройке технологии, аппаратуры и организации в смежной области. Автоматизация приносит наибольший эффект в тех случаях, когда технологи, конструкторы, специалисты по организации и планированию работают в тесном контакте со специалистами по автоматизации.

Автоматизация рабочего оборудования включает:

-     дистанционное управление;

-       автоматизацию непрерывно протекающих процессов при нормальной работе оборудования;

-       автоматическое управление по заданной программе.

Реализация комплексной автоматизации привела к необходимости создания высокоэффективных систем управления на основе средств вычислительной техники для всего производственного процесса.

Распределенная система управления, обладающая развитым программным, информационным и техническим обеспечением, способна осуществить как необходимый уровень автоматизации всех этапов производственного процесса, так и его эффективную перестройку (гибкость) за счет предварительного программирования необходимых или желаемых структур.

Технологические процессы, как правило, оснащаются системами автоматизации при строительстве новых или реконструкции действующих промышленных предприятий, как в целом, так и по отдельным зданиям, сооружениям, производствам, цехам, участкам.

Нефть и получаемые в результате её переработки нефтепродукты служат жидким важнейшим топливом, ценнейшим химическим сырьём современной промышленности.

На комплексной переработке нефти базируется бурно развивающаяся промышленность нефтехимического синтеза, поставляющая различные виды топлива, разнообразные смазочные масла, сырьё для получения синтетических полимерных материалов (пластических масс, волокон, каучуков, лаков), моющих средств и других ценных продуктов.

Процессы очистки нефтепродуктов основаны на освобождении их от нежелательных компонентов с целью получения товаров нефтепродуктов высокого качества. К нежелательным компонентам относятся, например, при производстве реактивных и дизельных топлив используют сернистые соединения, ароматические углеводороды и высокозастывающие парафины, а при получении смазочных масел - смолистые вещества и сернистые соединения. Типовая аппаратура современных нефтеперерабатывающих заводов обеспечивает проведение всего комплекса операций конкретных технологических процессов для получения определенной номенклатуры товарной продукции. Она обеспечивает обезвоживание и обессоливание нефти (электродегидраторы), её подогрев или охлаждение (теплообменное и холодильное оборудование), высокотемпературный нагрев (термические печи), разделение смеси паров на фракции (ректификационные и вакуумные колонны), перекачку сырья и продуктов (насосно-компресорное оборудование).

В последние годы наблюдается тенденция к строительству крупных нефтеперерабатывающих комбинатов с весьма широким применением процессов нефтехимии. Нефтехимический вариант переработки нефти представляет собой сложное сочетание предприятий, на которых помимо выработки высококачественных моторных топлив и масел не только проводится подготовка сырья (олефинов, ароматических, нормальных и изопарафиновых углеродов) для тяжелого органического синтеза, но и осуществляются сложнейшие физико-химические процессы, связанные с многотонажным производством азотных удобрений, синтетического каучука, пластических масс, синтетических волокон, моющих веществ, жирных кислот, фенола, тона, спиртов, эфиров.

Системный подход при проектировании АСУТП является новой характерной чертой автоматизации производства на современном этапе.

Разработчик системы получает дополнительную степень свободы в модификации самого процесса в период подготовки его к управлению с помощью АСУТП. При этом разработка управляемого технологического процесса может быть тем, эффективнее, чем опасная система, его отдельной элементарной технологической операции для комплекта технологических процессов. Каждый этап автоматизации отдаляет человека от физического труда. Труд человека приобретает новый смысл, при этом ограниченные возможности человеческого организма не препятствуют росту производительности труда. Каждый этап автоматизации характеризует определенный уровень развития технологии и связанных с ней параметров эффективности производства. Сегодня автоматизация процессов производства лежит в основе развития всех отраслей промышленности нашей страны. С каждым годом автоматизация охватывает все новые звенья производственного процесса, и становиться комплексной, вызывая кардинальное изменение в технологии и организации производства.

 


1. Описание предприятия


Сызранский филиал ООО «РН-Информ» является основным системным интегратором и предоставляет широкий спектр сервисных услуг в области автоматизации, информационных технологий и связи для ОАО «СНПЗ».

В настоящее время Сызранский филиал ООО «РН-Информ» предлагает своим клиентам сотрудничество в рамках реализации и технического сопровождения решений по следующим направлениям:

.        Разработка проектно-сметной документации, внешний аудит и супервайзинг;

.        Строительно-монтажные и пусконаладочные работы;

.        Сопровождение автоматизированных систем управления технологическими процессами;

.        Метрологическое обеспечение производства;

.        Обслуживание комплексных системы безопасности и защиты от пожаров;

.        Оказание услуг в области информационных технологий, аналитика, разработка и сопровождение;

.        Техническое обслуживание средств связи и телекоммуникационного оборудования.

2. Система управления охраной труда (СУОТ)


Система управления охраной труда в ООО «РН - Информ» является основной частью управления производством и определяет единый порядок подготовки, принятия и реализации решений по осуществлению организационных, технических и санитарно-профилактических мероприятий направленных на обеспечение здоровых и безопасных условий труда рабочих и ИТР. Основные направления политики руководства ООО «РН - Информ» в области охраны труда является:

- установление единых требований по охране труда для структурных подразделений филиала независимо от характера и вида их производственной деятельности;

решение задач по охране труда путём реализации мероприятий направленных на улучшение условий и охраны труда, контроль, защиту и снижение воздействия на работающих опасных и вредных производственных факторов;

информирование работников о состоянии условий и охраны труда на их рабочем месте, опасных и вредных производственных факторах, встречающихся в процессе работы, о выдаваемых средствах защиты, компенсациях и льготах по условиям труда;

принятие необходимых мер по обеспечению сохранения жизни и здоровья работников при возникновении и ликвидации аварийных ситуаций, также по оказанию первой помощи пострадавшим;

обязательное страхование работников от временной нетрудоспособности вследствие заболевания, а также от несчастных случаев на производстве и профессиональных заболеваний.

Режима трудового дня - рабочий день составляет 8 часов. Рабочий приходит на работу каждый день в 8:00 и заканчивает в 17:00.

Перерыв на обед начинается 12:00 до 13:00. В среднем месяц составляет 160 часов.

3. Обязанности руководителей и специалистов в системе управления охраной труда


Для работы в качестве дублёра были предоставлены следующие рабочие места: начальник цеха, начальник участка, мастер участка.

Начальник цеха:

обеспечивает безопасные условия труда персонала в цехе, исправное состояние оборудования, инструментов, приборов, зданий и сооружений;

ежедневно знакомится с журналами проверки состояния охраны труда, сменными журналами, находит недостатки и обеспечивает их устранение.

разрабатывает и в установленном порядке представляет на утверждение годовой план и инструкции по охране труда, осуществляет их своевременную корректировку и замену;

следит за соблюдением трудовой и производственной дисциплины; безусловным выполнением инструкций и правил по охране труда, пожарной и газовой безопасности. Немедленно пресекает все случаи нарушения дисциплины, правил и инструкций;

организует оснащение участков и рабочих мест первичными средствами пожаротушения, поддержание в постоянном работоспособном состоянии устройств извещения, сигнализации;

принимает меры по исключении запылённости, загазованности, обеспечению нормальной работы вентиляции, отопления и требуемой освещённости в помещениях и рабочих местах;

приостанавливает работу агрегатов отдельного оборудования, если создаётся угроза жизни и здоровью работающих;

обеспечивает своевременное и качественное проведение всех видов обучения и инструктажа рабочих, а также проверку знаний или правил и инструкций по охране труда, пожарной и газовой безопасности, производственной санитарии. Возглавляет комиссию по проверке знаний рабочих, проводит первичный инструктаж вновь принятым и переведённым работникам. Издаёт распоряжение об их обучении и допуске к самостоятельной работе;

налагает в пределах предоставленных прав взыскания или предоставляет ходатайства руководству филиала для принятия мер к нарушителям инструкций и правил безопасности.

Начальник участка:

организует выполнение работы персоналом с соблюдением установленных норм, правил и последовательности, гарантирующих безопасность труда работников;

обеспечивает рабочие места необходимой технической документацией и инструкциями, позволяющими безопасно вести технологические операции, следит за своевременным их пересмотром, внесением в них в установленном порядке дополнений и изменений;

осуществляет контроль над правильной подготовкой оборудования к ремонтам и госповеркам;

контролирует и обеспечивает проведение обучения и инструктажа безопасным приемам труда персонала участка.

Мастер участка:

обеспечивает соблюдение рабочими требований техники безопасности и применение безопасных приемов работы, выполнение правил эксплуатации оборудования;

ежедневно, по приходу на работу, проверяет состояние охраны труда и противопожарный режим на рабочих местах, исправность оборудования, средств защиты, блокировки и сигнализации, систем и средств для извещения и тушения пожаров, спецодежды, инструмента и приспособлений. Принимает меры по устранению выявленных недостатков;

в процессе работы постоянно контролирует состояние рабочих мест, соблюдение рабочими инструкций по охране труда, правил внутреннего распорядка, противопожарного режима, правильной эксплуатации оборудования, применение средств защиты и санитарных правил;

следит за работой вентсистем, отсосов от станков, состоянием воздушной среды, принимает немедленные меры по исключению запылённости и загазованности;

немедленно пресекает нарушения рабочими правил безопасности и производственной дисциплины. Делает в необходимых случаях представления о наложении взысканий на нарушителей;

не допускает выполнение ремонтных, огневых и гаоопасных работ без предварительного оформления письменных разрешений, если они на эти работы предусмотрены;

проводит инструктажи с подчинёнными ему рабочими по безопасным методам и приёмам труда с практическим показом правильных действий на рабочем месте. Оформляет проведение инструктажей в личных карточках, нарядах, допусках.

4. Разработка системы автоматического управления атмосферного блока ЭЛОУ-АВТ6

 

.1 Описание атмосферного блока К - 2


Атмосферный блок предназначен для разделения обессоленной нефти путем ректификации на сухой газ, головную фракцию, и фракции НК- 140 0С, 140 - 180 0С, 180 - 240 0С, 240 - 290 0С, 290 - 360 0С, мазут (остаток атмосферной перегонки) - фракция > 3600 С.

Снизу колонны К-1 отбензиненная нефть забирается насосами Н-3/1,2, и 4-мя параллельными потоками прокачивается через печи П 1/2, где нагревается до температуры 360 °С и подастся в колонну К-2 на 46 тарелку.

Внизу К-2 через клапан «НЗ» регулятора расхода позиции 956 подается перегретый водяной пар.

С верха колонны К-2 газ, пары бензина и вода поступают через воздушные конденсаторы Т 17/ 1-4, где охлаждаются до температуры 33-400С и затем в емкость Е-3. Газ с верха емкости Е-3 сбрасывается на факел.

Бензин из емкости Е-3 поступает на прием насоса Н-4/1,2 и затем двумя потоками поступает на верх К-2 в виде острого орошения и второй поток - балансовый избыток бензина откачивается через холодильник Т-15а в Е-6.

Избыточное тепло колонны К-2 снимается тремя циркуляционными орошениями: I-е циркуляционное орошение с пятнадцатой тарелки К-2 поступает на прием насоса Н 1,2, прокачивается через воздушные холодильники Т-30 и возвращается на 14-ю тарелку К-2; 2-ое орошение с двадцать пятой тарелки К-2 забирается насосом Н-23/1,2, воздушный холодильник Т-32 и возвращается на двадцать четвертую тарелку колонны К-2; III-е циркуляционное орошение забирается с тридцать пятой тарелки К-2 насосом Н-15/1,2, прокачивается через теплообменники Т-5/1,2, Т-31,Т-46 и возвращается на тридцать четвертую тарелку К-2.

Из колонны К-2 выводят 4 боковых насоса - фракция 120 - 180 °С выводятся в одиннадцатой и тринадцатой тарелок на верхнюю тарелку К-6. Вниз К-6 подается перегретый водяной пар. Отпаренные фракции возвращаются на одиннадцатую тарелку К-2, - фракция 180 - 240 °С выводятся с двадцать первой и двадцать третьей тарелок на верхнюю тарелку К-7. Вниз колонны К-7 подается перегретый водяной пар. Отпаренные фракции возвращаются ни двадцатую тарелку К-2, - фракция 240 -290 0С выводятся с тридцать первой и тридцать второй тарелок К-2 на верхнюю тарелку колонны К-9. Вниз колонны К-9 подается перегретый водяной пар. Отпаренные легкие фракции возвращаются на тридцать первую тарелку К-2, - фракция 290 - 350 0С с тридцать девятой тарелки К-2 поступает на прием насосов Н-20, Н-15/2 и прокачивается через рибойлер Т-20, теплообменники Т-6 и Т-12, воздушный холодильник Т-46 и выводятся с установки.

4.2 Выбор контролируемых, сигнализируемых и регулируемых величин


Выбор контролируемых величин

Выбор контролируемых величин производился, руководствуясь тем, что при минимальном их числе обеспечивалось наиболее полное представление о процессе. В проекте контролируются те параметры, знание текущих значений которых, облегчает пуск и наладку, и ведение технологического процесса. К таким параметрам относятся вес регулируемые величины и нерегулируемые внутренние параметры, входные и выходные параметры, при изменении которых в объект могут поступать возмущающие воздействия.

Для осуществления оперативного управления контролируются наиболее важные выходные параметры процесса, например: количество полученного конечного продукта, его температура и состав.

Для получения данных необходимых для хозрасчетных операций и подсчета технико-экономических показателей контролируется количество потребляемой электроэнергии и тепло.

Выбор регулируемых величин

Выбор регулируемых величин производится путем анализа поступления в объект возмущающих воздействий и возможности устранения их до поступления. Особое внимание было обращено на стабилизацию входных параметров, так как с их применением в объект поступают наиболее сильные возмущения.

Выбор сигнализируемых величин

Выбор параметров сигнализации производился после анализа объекта с учетом его взрыва и пожароопасности, а также токсичности и агрессивности перерабатываемых веществ.

Сигнализируются все параметры, изменения которых могут привести к аварии несчастным случаям или к серьезному нарушению технологического режима.

Сигнализируются главные параметры в многоконтурных системах, предельные значения параметров которые контролируются с целью проведения оперативного управления.

Сигнализируются отклонения, колебания ответственных внутренних параметров и показателей эффективности, а также о прекращении подачи продуктов и так далее.

Таблица 1.1 Давление

Место отбора

Величина кгс/см2

Примечание

На линии подачи газа с верха Е3 на факел

8,03

Контроль, регулирование

Верх К-2

1,5

Контроль

На линии от насосов Н-15/1,2к теплообменникам Т-5/1,2 К-2

3,5

Контроль

Перед теплообменником Т-20

1,8

Контроль



Таблица 1.2 Расход

Место отбора

Величина кгс/ см2

Примечание

Циркуляционное орошение на 24-ю тарелку К-2

10,6

Контроль, регулирование

Циркуляционное орошение на 14-ю тарелку К- 2

3,93

Контроль, регулирование

На линии подачи перегретого пара в К-6

1,6

Контроль, регулирование

На линии подачи перегретого пара в К-7

1,7

Контроль, регулирование

На линии подачи перегретого водяного пара в К-9

1,78

Контроль, регулирование

На линии подачи избытка бензина к теплообменнику 15а

1,93

Контроль, регулирование

На линии подачи бензина на верх К-2, от Е-3

1,03

Контроль, регулирование


Таблица 1.3 Уровень

Место отбора

Примечание

Е-3

Контроль, регулирование

К-7

Контроль, регулирование

К-9

Контроль, регулирование

Низ К-2

Контроль, регулирование


Таблица 1.4 Качество

Место отбора

Примечание

На линии подачи фракции с 11 по 13-той тарелки в К-6

Контроль, регулирование

На линии подачи фракции с 21 и 23-ей тарелок на верхнюю тарелку К-7

Контроль, регулирование


Таблица 1.5 Температура

Место отбора

Величина

Примечание

Циркуляционное орошение на 24-ю тарелку К-2 перед холодильником

900С

Контроль

Циркуляционное орошение на 24-ю тарелку в К-2 после холодильника

800С

Контроль

Циркуляционное орошение на 14-ю тарелку перед холодильниками Т-30/1,2 в К-2

4520С

Контроль, сигнализация

Циркуляционное орошение на 14-ю тарелку после холодильников Т-30/1,2 в К-2

700С

Контроль

Циркуляционное орошение на 34-ю тарелку в К-2

900С

Контроль

Перед холодильниками Т-17/1

1030С

Контроль

Перед входом в емкость Е-3

540С

Контроль

Перед входом вверх К-2 от емкости Е-3

540С

Контроль

На перетоке из К-2 в К-6

120-180 0С

Контроль

На переходе из К-2 в К-7

180-2400С

Контроль

На перетоке из К-2 в К-9

240-2900С

Контроль

На перетоке из 39-ой тарелки в К-2 к насосам Н-15/1,2; Н-20

290-3500С

Контроль

 

.3 Выбор средств автоматизации


Средства автоматизации выбраны технически грамотно и экономически обосновано. Конкретные типы автоматических устройств выбраны с учетом особенностей объекта управления и принятой системы управления. В связи с тем, что атмосферный блок К-2 относится к числу пожаро - и взрывоопасных, автоматизация осуществляется на основе использования пневматических средств, так как применение пневматических приборов обходится на 30% дешевле электрических, но с увеличением длины пневматических трасс возрастает запаздывание, что приводит к ухудшению качества управления. Поэтому в проекте применяются пневматические средства автоматизации, когда расстояния между приборами сравнительно не велики (не более 300 м).

Выбор конкретных типов автоматических устройств, производился исходя из следующего:

для контроля и регулирования одинаковых параметров технологического процесса следует применять одинаковые автоматические устройства, что облегчает их приобретение, настройку, ремонт и эксплуатацию;

следует отдавать предпочтение автоматическим устройствам серийного производства;

при большом количестве одинаковых параметров контроля применять многоточечные приборы;

при автоматизации сложных технологических процессов используются вычислительные и управляющие машины;

- класс точности приборов должен соответствовать технологическим требованиям;

для местного контроля рекомендуется применять простые и надежные приборы.

Таблица 1.6 Датчики температуры

Место установки

Величина

Тип

Примечание

Циркуляционное орошение на 24-ю тарелку перед холодильником

900С

ТХК

Контроль

После холодильника

800С

ТХК

Контроль

Циркуляционное орошение на 14-ю тарелку перед холодильниками Т-30/1,2 в К-2

4520С

ТХК

Контроль, сигнализация

Циркуляционное орошение на 14-ю тарелку после холодильников Т-30/1,2 в К-2

700С

ТХК

Контроль

Циркуляционное орошение на 34-ю тарелку в К-2

900С

ТХК

Контроль

Перед холодильниками Т-17/1,2,3,4

1030С

ТХК

Контроль

Перед входом в емкость Е-3

540С

ТХК

Контроль

Перед входом вверх К-2 от емкости Е-3

540С

ТХК

Контроль

На перетоке из К-2

120 - 1800С

ТХК

Контроль

На переходе из К-2 в К-7

180 - 2400С

ТХК

Контроль

На перетоке из К-2 в К-9

240 - 3900С

ТХК

Контроль


Таблица 1.7 Датчики уровня

Место установки

Тип

Примечание

Е3

Сапфир ДУ Ех

Контролирование

К6

Сапфир ДУ Ех

Контролирование

К7

Сапфир ДУ Ех

Контролирование

К9

Сапфир ДУ Ех

Контролирование

Низ К2

Сапфир ДУ Ех

Контролирование


Таблица 1.8 Датчики расхода

Место установки

Тип

Диапазон кгс/см

Примечание

Циркуляционное орошение на 24-ю тарелку К-2

Сапфир 22 ДД Ех 2434 0,2-0,5

0-12

Контролирование

Циркуляционное орошение на 14-ю тарелку К-2

Сапфир 22 ДД Ех 2434 0,2-0,5

0-6

Контролирование

На перетоке из 39-ой тарелки К-2 к насосам Н-15/2, н-20

Сапфир 22 ДД Ех 2434 0,2-0,5

0-12

Контролирование


Таблица 1.9 Датчики давления

Место установки

Тип

Диапазон кгс/В.см

Примечание

На линии с верха колонны К-2 к емкости Е-3

Сапфир 22 ДИ Ех 2160 0,25-0,5

0-10

Контроль, регулирование

На верху К-2

Сапфир 22 ДИ Ех 2120 0,25-0,5

0-4

Контроль

На линии от насосов Н-15/1,2 к теплообменникам Т-5/1,2

Сапфир 22 ДИ Ех 2120 0,25-0,5

0-4

Контроль

Перед теплообменниками Т-20

Сапфир 22 ДИ Ех 2120 0,25-0,5

0-4

Контроль

На линии подачи переменного пара в К-6

Сапфир 22 ДД Ех 2430 0,2-0,5

0-6

Контроль, регулирование

На линии подачи пара в К-7

Сапфир 22 ДД Ех 2430 0,2-0,5

0-6

Контроль, регулирование

На линии подачи перегретого водяного пара в К-9

Сапфир 22 ДД Ех 2430 0,2-0,5

0-6

Контроль, регулирование

На линии подачи избытка бензина к теплообменнику 15А

Сапфир 22 ДД Ех 2420 0,2-0,5

0-2,5

На линии подачи вверх К-2 бензина Е-3

Сапфир 22 ДД Ех 2420 0,2-0,5

0-2,5

Контроль, регулирование


Таблица 1.10 Датчики качества

Место установки

Тип

Примечание

На линии подачи фракции с 11-ой и 13-ой тарелок в К-6

Хроматограф «Нефтехим - СКЭП»

Контроль Регулирование

На линии подачи фракции с 21-ой и 23-ей тарелок на верхнюю тарелку К-7

Хроматограф «Нефтехим - СКЭП»

Контроль Регулирование


В качестве преобразующего регистрирующего устройства используется ремиконт. В качестве регулирующих клапанов используются мембранно-пневматические клапана.

«НЗ»

Место установки: Низ Е-3 На линии подачи избытка бензина через холодильник Т-15А на линии подачи перегретого пара вниз К-6 На линии подачи перегретого пара вниз К-7 На линии подачи перегретого пара вниз К-9

«НО»

На линии подачи острого орошения в К-2 На линии подачи циркуляционного орошения на 11-ю тарелку в К-2 На линии подачи циркуляционного орошения на 24-ю тарелку в К-2 На линии подачи циркуляционного орошения на 34-ю тарелку в К-2 На линии с К-2 на верх К-6 На линии с К-2 на верх К-7 На линии с К-2 на верх К-9


4.4 Описание схемы автоматизации


С верха колонны К-2 газ, пары бензина и вода поступают через воздушные конденсаторы Т-17/1,4 в емкость Е-3.

Уровень отстоявшейся воды низа Е-3 регулируется буйковым уровнемером позиции 1012а, сигнал с чувствительного элемента поступает в ремиконт позиции 10126, где сигнал обрабатывается и идет на электропневмопреобразователь позиции 1012в, где преобразуется в пневматический сигнал и поступает на клапан. Отстоявшаяся вода сбрасывается в емкость Е-20.

Бензин из емкости Е-3 поступает на прием насоса Н-4 и затем поступает: - наверх К-2 в виде острого орошения. Расход потока регулируется регулятором расхода типа сапфир позиции 0953, откуда сигнал идет в ремиконт позиции 0953б для выработки и выдачи абоненту, где обрабатывается и идет на электропневмопреобразователь позиции 0953в, где преобразуется в пневматический сигнал и идет на клапан;

Избыточное тепло колонны К-2 снимается циркуляционными орошениями. Расход первого циркуляционного орошения регулируется регулятором расхода типа сапфир позиции 956, откуда сигнал идет в ремиконт позиции 956б для выработки и выдачи абоненту, где обрабатывается и идет на электропневмопреобразователь позиции 956в, где преобразуется в пневматический сигнал и идет на клапан.

Расход второго циркуляционного орошения регулируется регулятором расхода типа сапфир позиции 957, откуда сигнал идет в ремиконт позиции 957б для выработки и выдачи абоненту, где обрабатывается и идет на электропнев -мопреобразователь позиции 957в, где преобразуется в пневматический сигнал, поступающий на клапан.

Расход третьего циркуляционного орошения регулируется регулятором расхода типа сапфир позиции 989, откуда сигнал идет в ремиконт позиции 989б для выработки и выдачи абоненту, где обрабатывается и идет на электропневмопреобразователь позиции 989в, где преобразуется в пневматический сигнал, поступающий на клапан.

Температура на входе циркуляционных орошений в колонну К-2 регистрируется приборами, позициями 376, 373, 680. Температура измеряется термопарой, и электродвижущая сила термопары передается на ремиконт. Из колонны К-2 выводятся четыре боковых погона:

фракция на верхнюю тарелку К-6 через клапан регулируется буйковым уровнемером позиции 1015, сигнал с чувствительного элемента идет в сапфир, где обрабатывается и затем поступает на электропневмопреобразователь позиции 1015б, где преобразуется в пневматический сигнал, который поступает на клапан. Температура на перетоке из К-2 в К-6 регистрируется прибором позиции 1За. Температура измеряется термопарой, и электродвижущая сила термопары передается на ремиконт. Вниз К-6 подается перегретый водяной пар. Расход пара регулируется регулятором расхода типа сапфир позиции 959, откуда сигнал идет на ремиконт позиции 9596 для выработки и выдачи абоненту, где обрабатывается и идет на электропневмопреобразователь позиции 959в, где преобразуется в пневматический сигнал и поступает на клапан.

- фракция на верхнюю тарелку К-7 через клапан регулируется буйковым уровнемером позиции 1016, сигнал с чувствительного элемента идет в сапфир, где обрабатывается и затем поступает на электропневмопреобразователь позиции 1016б, где преобразуется в пневматический сигнал, который поступает на клапан. Температура на перетоке из К-2 в К-7 регистрируется прибором позиции 136. Температура измеряется термопарой, и электродвижущая сила термопары передается на ремиконт. Вниз К-7 поступает перегретый водяной пар. Расход водяного пара регистрируется регулятором расхода типа сапфир позиции 960, откуда сигнал идет в ремиконт, где обрабатывается и поступает на электропневмопреобразователь позиции 960в, где преобразуется в пневматический сигнал, который поступает на клапан

фракция на верхнюю тарелку К-9 через клапан регулируется буйковым уровнемером позиции 1017, сигнал с чувствительного элемента идет в сапфир, где обрабатывается и затем поступает на электропневмопреобразователь позиции 1017б, где преобразуется в пневматический сигнал, который поступает на клапан. Температура на перетоке из К-2 в К-9 регулируется прибором позиции 13в. Температура измеряется термопарой, и электродвижущая сила термопары передается на ремиконт. Вниз К-9 подается перегретый водяной пар, который регулируется регулятором расхода типа сапфир позиции 961, откуда сигнал идет в ремиконт позиции 961 б, где обрабатывается, затем поступает на электропневмопреобразователь позиции 961 в, где преобразуется в пневматический сигнал и после поступает на клапан.

 

.5. Описание схемы сигнализации и блокировки печи


Блок печей предназначен для обеспечения необходимого теплового режима колонн блоков: атмосферного, вакуумного и вторичной перегонки.

Безаварийная работа

HP контакты первичных датчиков разомкнуты, на вход контроллера подается непрерывный сигнал (логическая 1);

НЗ контакты первичных датчиков замкнуты, на входе контроллера сигнал отсутствует (логический 0, подлежащий дальнейшей инверсии);

кнопка "квитирование и опробование ламп" не нажата, сигнал на входе контроллера отсутствует (логический 0),

кнопки деблокировок не включены, подается постоянный сигнал на вход контроллера (логическая 1),

управляющий сигнал на аварийную блокировочную и предупредительную сигнализацию (световую и звуковую) отсутствует (логический 0 на Выходе контроллера),

управляющий сигнал на отсечной клапан отсутствует (логический 0 на Выходе контроллера).

Срабатывание предупреждающей сигнализации

При обнаружении первичными датчиками снижения указанных регламентом сигнализационных параметров в технологических процессах, их HР контакты замыкаются (логический 0 на Входе контроллера), при превышении сигнализационных параметров, их НЗ контакты размыкаются (логическая 1, подлежащая дальнейшей инверсии, на Входе контроллера),

управляющий сигнал на соответствующие световые индикаторы предупреждающей сигнализации и прерывающий низкочастотный сигнал, формируемый внутренним модулем контроллера приводят к миганию световой индикации;

управляющий сигнал на звуковой сигнализатор и прерывающий низкочастотный сигнал, формируемый внутренним модулем контроллера приводят к появлению прерывистого звукового сигнала сирены;

управляющий сигнал на отсечной клапан отсутствует (логический 0 на выходе контроллера).

Срабатывание блокировок

При обнаружении первичными датчиками снижения величины одного или нескольких указанных в регламенте параметров до блокировочного уровня, их HP контакты замыкаются и исчезает сигнал на входе контроллера (логический 0);

управляющий сигнал на соответствующие световые индикаторы аварийной блокировочной сигнализации и прерывающий высокочастотный сигнал, формируемый внутренним модулем контроллера приводят к миганию световой индикации с частотой, в несколько раз превышающей частоту мигания предупреждающей сигнализации,

управляющий сигнал на звуковой сигнализатор и прерывающий высокочастотный сигнал, формируемый внутренним модулем контроллера приводят к появлению прерывистого звукового сигнала сирены с высокой частотой прерываний,

управляющий сигнал на отсечной клапан (логическая 1 на выходе контроллера), клапан закрывается,-

при устранении причины, вызвавшей блокировку и срабатывание сигнализации, логические параметры контроллера возвращаются в первоначальное значение.

Деблокировка

Нажатие кнопки с фиксацией "Деблокировка" на ЩСУ приводит к исчезновению сигнала на входе контроллера (логический 0);

управляющий сигнал на отсечной клапан линии топливного газа соответствующего котла исчезает (логический 0 на выходе контроллера), клапан открывается;

управляющий сигнал на световой индикатор Деблокировки (логический сигнал 1 на выходе контроллера), световой индикатор горит постоянно,-

контроллером ведется учет состояний кнопки Деблокировки.

Квитирование

При нажатии кнопки с самовозвратом "Квитирование и опробование ламп", ее НЗ контакт размыкается (логическая 1 на входе контроллера),

управляющий сигнал на звуковой сигнализатор исчезает (логический 0 на выходе контроллера);

при повторном нажатии кнопки "Квитирование и опробование ламп" управляющий сигнал на внутренний модуль контроллера приводит к снятию прерывающего сигнала, постоянный сигнал на световую индикацию (логическая 1 на выходе контроллера);

логическое значение на отсечном клапане не меняется.

Опробование ламп

Удерживание кнопки "Квитирование и опробование ламп" в течении 5 и более секунд подает непрерывный сигнал (логическая 1) на вход контроллера,

управляющий сигнал (минуя фомирователь импульсов внутреннего модуля контроллера) на всю световую индикацию ЩСУ и сирену (логическая 1 на выходе контроллера).

при нажатии кнопки с самовозвратом «квитировании и опробование ламп» управляющий сигнал на внутренний модуль контроллера приводит к снятию прерывающего сигнала, постоянный сигнал на световую индикацию (логическая 1 на выходе контроллера);

логическое значение на отсечном клапане не меняется.

 

.6. Описание схемы управления электрическим двигателем насоса


Для пуска двигателя включают рубильник Р, чтобы подать напряжение на главную и вспомогательную цепи. Затем нажатием кнопки «Пуск» замыкают цепь питания катушки магнитного пускателя МП, в результате чего его контакты замыкаются, присоединяя двигатель к сети. Одновременно замыкается блок-контакт МП, который шунтирует кнопку «Пуск», чем исключает необходимость держать ее нажатой.

Предохранитель ПР защищает двигатель от коротких замыканий. Тепловое реле 1РТ и 2РТ своими контактами защищают двигатель от самопуска после отключения в результате снижения или исчезновения напряжения. В этом случае уменьшается электромагнитное усилие втягивающей катушки, в результате чего отпадает якорь контактора и отключается двигатель. Повторно его включить его можно только после нажатия кнопки «Пуск».

Управление насосами производится в двух режимах дистанционном и ручным - с возможностью их переключения как с автоматизированного рабочего места оператора так и с местного пульта.

 

.7 Описание


Срабатывание предупреждающей сигнализации и блокировки

при обнаружении первичными датчиками снижения указанных регламентом сигнализационных параметров в технологических процессах, их НР контакты замыкаются (логический 0 на входе контроллера), при превышении сигнализационных параметров, их НЗ контакты размыкаются (логическая 1, подлежащая дальнейшей инверсии. На входе контроллера);

управляющий сигнал на соответствующие световые индикаторы предупреждающей сигнализации и прерывающий низкочастотный сигнал, формируемый внутренним модулем контроллера приводят к миганию световой индикации;

управляющий сигнал на звуковой сигнализатор и превышающий низкочастотный сигнал, формируемый внутренним модулем контроллера приводят к появлению прерывистого звукового сигнала сирены;

управляющий сигнал на отсечной клапан отсутствует (логический 0 на выходе контроллера).

Срабатывание блокировок

при обнаружении первичными датчиками снижения величины одного или нескольких указанных в регламенте параметров до блокировочного уровня, их НР контакты замыкаются и исчезаетсигнал на входе контроллера (логический 0);

управляющий сигнал на соответствующие световые индикаторы аварийной блокировочной сигнализации и прерывающий высокочастотный сигнал , формируемый внутренним модулем контроллера приводят к миганию световой индикации с частотой, в несколько раз превышающей частоту мигания предупреждающей сигнализации;

управляющий сигнал на звуковой сигнализатор и прерывающий высокочастотный сигнал, формируемый внутренним модулем контроллера

приводят к появлению прерывистого звукового сигнала сирены с частотой прерываний;

управляющий сигнал на отсечной клапан (логическая 1 на выходе контроллера), клапан закрывается; -при устранении причины, вызвавшей блокировку и срабатывание сигнализации, логические параметры контроллера возвращаются в первоначальное значение.

Деблокировка.

нажатие кнопки с фиксацией «Деблокировка» на ЩСУ приводит к исчезновению сигнала на входе контроллера (логический 0;

управляющий сигнал на отсечной клапан линии топливного газа соответствующего котла исчезает (логический 0 на выходе контроллера), клапан открывается;

управляющий сигнал на световой индикатор горит постоянно;

Контроллером ведется учет состояний кнопки деблокировки.

Опробование ламп.

удерживание кнопки «квитирование и опробование ламп» в течении 5 и более секунд подает непрерывный сигнал (логическая 1) на вход контроллера;

управляющий сигнал (минуя формирователь импульсов внутреннего модуля контроллера) на всю световую индикацию ЩСУ и сирену (логическая 1 на выходе контроллера).

атмосферный блок система автоматический


5. Техника безопасности


Возможные неполадки и аварийные ситуации, способы предупреждения и устранения

Установка ЭЛОУ-АВТ-6 относится к категории пожаро- взрывоопасных в виду наличия в процессе пожароопасных и взрывоопасных продуктов: углеводородного газа, бензина, керосиновой и дизельной фракции, мазута и других нефтепродуктов. В процессе работы установки образуются вредные вещества: сероводород, углеводороды способные при выделении через неплотные соединения создать опасные для здоровья концентрации. Наличие высоких t0 нефтепродуктов на выходе из печей, высоких давлений и температур в аппаратах повышает опасность самовоспламенения или взрыва при утечке газов и жидких продуктов.

Для исключения аварийных ситуаций во время работы установки обслуживающий персонал обязан:

не допускать отклонений в ведении технологического процесса от норм, установленных технологическим регламентом установки;

не производить резких изменений температуры и давления в аппаратах и трубопроводах во избежание возможных деформации;

следить за уровнем жидкости в аппаратах;

следить за бесперебойной работой вентиляционных систем;

следить за выполнением графика анализа качества сточных вод, промканализации, за загазованностью в помещениях и наружной установки;

не допускать пуск в работу аппаратов с неисправными приборами КиА предохранительными клапанами;

производить регулярный осмотр и своевременных ремонт оборудования, запорной арматуры, приборов КиА и целью оперативного выявления дефектов и их устранения.

Особенности пуска, остановки и эксплуатации установки в зимнее время:

перед пуском установки все трубопроводы и аппаратура должны быть проверены, отогреты и находиться в полной исправности;

включение в работу аппаратов и трубопроводов с замерзшими дренажными вентилями не разрешается;

КИП с коммуникациями, трубопроводы, чугунные задвижки на трубопроводах, арматура, расположенная в лотках, аварийные линии должны обогреваться;

воздух, подаваемый на приборы КИП и А должен быть осушен;

обогрев замерзших трубопроводов можно производить только паром и горячей водой, при этом согреваемый участок должен быть отключен от работающей системы. При отогревании дренажи и вентили - должны быть закрыты;

запрещено пользоваться ломами или трубами для открытия замерзших задвижек, вентилей и других запорных приспособлений;

необходимо периодически проверять работу пароспутников во избежание застывания продукта в трубопроводах, проверять на проходимость пробоотборные устройства, линии водяной системы, паровые стояки. Дренажи на паровых стояках должны быть приоткрыты;

задвижки в колодцах на пожарной воде на лафетные стволы и кольца орошения должны быть закрыты, а дренажные вентиля открыты;

во избежание замерзания трубопроводов перекачку вязких жидкостей следует вести непрерывно. По окончании перекачки трубопроводы должны быть промыты путем прокачки маловязким не застывающим нефтепродуктом;

усилить контроль за тупиковыми участками (дренажи в заглублении емкости и другие);

держать на протоке резервные насосы от работающих;

наладить расходы (проток) через байпасы регулирующих клапанов;

площадки перед установкой, дороги, лестницы, площадки для обслуживания оборудования и переходы должны быть очищены от снега, льда и посыпаны песком. Наличие сосулек на лестницах, площадках и переходах не допускается. Сосульки и корки льда, образующихся на аппаратуре, оборудовании и крышах зданий должны удаляться;

усилить контроль за циркуляцией воды на резервных насосах;

периодически проверять обогрев шкафов КИП, факельной линии.

Требования к щитам, пультам, щитовым помещениям

Предусмотрено:

1)    Вынесение за пределы взрывоопасных зон электрических аппаратов, приборов и других средств автоматизации с условиями эксплуатации;

2)      Взрывозащищенное электрооборудование, используемое в химических средах, защищены от воздействий агрессивных сред, сырости, пыли. Так же установка приборов и аппаратов во взрывоопасных зонах только с соблюдением требований приведенных в 7,3 ПУЭ. Установление вне взрывоопасных зон коммуникационной и защищенной аппаратуры, схем электрического питания систем автоматизации (выключатель, предохранитель и т.д.).

Требования к щитам и пультам

Оперативные и неоперативные системы автоматизации во взрывоопасных установках установлены в щитовых помещениях с нормальными условиями окружающей среды.

На щитах не установлены розетки для питания электрифицированного инструмента и переносного освещения, так как это не рекомендуется техникой безопасности.

Для использования электропереносного освещения и электрифицированного работой инструмента предусмотрено применение рассредоточенной электросети автоматизированного объекта.

Для электропроводок щитов установленных во взрывоопасных зонах или в специальных щитовых помещениях взрывоопасных установок, предусмотрено применение медных проводов сечением не менее 1 мм с поливинилхлоридной изоляцией.

В проекте отсутствует совместная прокладка в одном коробе электропроводов и пластмассовых труб на щитах (пультах), установленных во взрывоопасных установках.

Требования к щитовым установкам

При устройстве и выборе места расположения щитовых помещений, систем автоматизации во взрывоопасном производстве, учтены: щитовые помещения с электронной аппаратурой общего назначения. Щитовые помещения размещены в соответствии с принятыми в различных взрывоопасных производствах, нормами строительного проектирования и принципами компоновки технологического оборудования.

Выбор проводов и кабелей для проводки

Наименьшее допустимое сечение электропроводов и кабелей электропроводок систем автоматизации во взрывоопасных зонах составляет 1 мм2 для медных и 2,5 мм2 для алюминиевых проводников.

По рекомендации заводов-изготовителей аппаратов, приборов в проекте предусмотрено применение медных проводов и кабелей меньших сечений (но не ниже максимально допустимых сечений, если вводные устройства и контактные защиты аппаратов рассчитаны на присоединение проводников меньше 1 мм2 и это одобрено государственной организацией).

Предусмотрено производить соединения и ответвления проводов и кабелей систем автоматизации во взрывоопасных зонах в коробах с наборами, зажимами в которых эти коробки устанавливаются.

Во взрывоопасных помещениях применены провода с поливинилохлоридной резиновой изоляцией или свинцовой оболочкой.

Используемые во взрывоопасных зонах провода и кабеля, соответствуют условиям окружающей среды и принятому способу прокладки.

Нулевые, рабочие и защитные проводки имеют изоляцию фазных проводников.

Кабели, прокладываемые во взрывоопасных зонах открыто, не имеют наружных проводов и покрытий из сгораемых материалов.

Элементы электроустановок, подлежащие занулению или заземлению

Предусмотрено заземление металлических частей электроустановки, нормально не находящихся под напряжением, но на которых может появиться опасное для жизни напряжение при повреждении электрической изоляции токоведущих частей (проводов, обмоток и так далее).

К элементам заземления относятся:

металлические корпуса контрольно измерительных приборов, регулирующих устройств, аппаратов управления, защиты, сигнализации оповещения, корпуса электродвигателей использованных механизмов и электропроводов, задвижек;

металлические щиты и пульты всех назначений, на которых устанавливаются приборы и другие средства автоматизации;

съемные или открывающиеся части приборов и пультов, если на них установлена аппаратура напряжением выше 42В переменного тока или 1 10В постоянного тока;

вспомогательные металлические конструкции для установки электроприемников и аппаратов управления.

Элементы, подлежащие занулению, имеют надежную металлическую связь с глухо заземляющей магистралью сети.

Не заземлены:

отдельные проводники приборов, аппаратов, установленных на заземленных щитах, пультах, вспомогательных конструкциях;

открывающиеся и съемные части заземленных металлических щитов, ограждений, на которых установлено оборудование с напряжением не превышающее 42В переменного или 110В постоянного тока;

отдельно стоящие пульты и щиты, предназначенные для установки не электроприборов и средств автоматизации;

электропроводка стандартного освещения таких щитов.

Особенности выполнения заземления электропроводок и электрооборудования

Во взрывоопасных зонах предусмотрено в качестве зануляюших проводников использовать только проводники, специально предназначенные для этой цели.

При заземлении взрывозащищенного электрооборудования предусмотрено выполнение путем присоединения специальной защитной жилы кабеля или провода к заземляющему контакту электрооборудования. Использование в качестве нулевых защитных проводников металлических конструкций зданий и тому подобное. Предусмотрено как дополнительная мера.

В проекте проходы специально проложенных нулевых защитных проводников предусмотрено проводить в обрезках труб.

Выбор средств измерений и автоматизации для пожарных зон

Предусмотрено вынесение электроаппаратуры, приборов и других средств автоматизации за пределы пожарных зон.

Проектом предусмотрена установка приборов, аппаратов и средств автоматизации в пожароопасных зонах только при выполнении требований. (глава 7.4. ПУЭ)

В пожароопасных зонах предусмотрено применение приборов и аппаратов, имеющих степень защиты по ГОСТ 14.254-80.

В проекте выбор аппаратов и приборов для пожароопасных зон выполнен с учетом условий окружающей среды (химическая активность, атмосферные осадки и тому подобное).

Система электропитания в пожароопасных зонах

При выполнении систем электропитания в пожароопасных зонах проектом предусмотрены все рассматриваемые требования, при этом учтено, что в пожароопасных зонах всех классов питающая и распределительная сети систем электропитания относятся к сетям защищаемых от перегрузки. Номинальные токи аппаратов защиты и сечения проводов этих сетей выбраны в соответствии с требованием, изложенным в настоящем параграфе для взрывоопасных зон.

Требования к щитам, пультам и щитовым помещениям в пожарных зонах

Предусмотрено установление оперативных и неоперативных щитов систем автоматизации в щитовых помещениях с нормальными условиями окружающей среды.

Все приборы, установленные непосредственно в пожарных зонах, имеют исполнение, отвечающее данному классу пожароопасной установки.

Щиты в пожароопасных зонах и специальных щитовых помещениях, а также приборы на щитах установлены с учетом следующих требований:

Отсутствие сборок зажимов, также предусмотрено присоединение внешних электрических проводок к аппаратуре и приборам, установленных на этих щитах, путем непосредственного ввода проводов и кабелей в корпуса приборов в соответствии с указанием изготовителей.

Предусмотрено применение электрофицированного инструмента и переносных светильников для производства ремонта только в соответствии с действующей в различных пожароопасных производствах инструкций по эксплуатации и техники безопасности.

Электрические проводки установленные в пожароопасных зонах или

спец.щитовых помещениях с учетом всех требований при этом учтено, что на указанных щитах не допускается совместная прокладка в одном коробе электрических проводов и пластмассовых труб.

Важную роль в обеспечении пожарной безопасности обслуживающего такие процессы персонала играют технические средства пожарной безопасности, работа которых основана на принципе автоматического контроля состояний, предшествующих аварии, аварийной сигнализации и ликвидации опасных последствий.

Приборы автоматического контроля следят за работой машин и аппаратов, регистрируют параметры технологического процесса (показывают, записывают, сигнализируют) и дают возможность обслуживающему персоналу своевременно принять необходимые меры, исключающие возможность возникновения пожаров и взрывов.

Контрольная сигнализация автоматически извещает о работе и остановке отдельных механизмов и машин, о положении запорных органов на коммуникациях.

Предупредительная сигнализация автоматически извещает обслуживающий персонал о возникновении опасных изменений технологического режима, т. е. о достижении предельных значений технологических параметров, дальнейшее отклонение которых может привести к аварии, пожарам и взрывам, К этому виду сигнализации относится и предупредительная сигнализация о появлении в атмосфере производственных помещении взрывоопасных и токсичных паров и газов.

Технологическая сигнализация позволяет получить сигнал «максимум» и включить устройство защиты, предупреждающее перегрев отдельных аппаратов (сушильных установок, трансформаторов, подшипников машин); переполнение аппаратов, резервуаров, емкостей и мерников или снижающее концентрацию горючих паров и газов в воздухе производственных помещений.

Аварийная сигнализация извещает обслуживающий персонал об аварийном отключении оборудования, она обычно непосредственно связана с системой защиты и блокировки.

Автоматическая система защиты от аварийных состояний сигнализирует об опасностях, вызванных отклонением от нормального хода рабочего процесса, и при предельных значениях тех или иных его параметров частично или полностью останавливает процесс, прекращает подачу сырья или теплоносителя, стравливает избыток паров и газов в атмосферу или обеспечивает другие меры ликвидации опасности возникновения пожара, взрыва и аварии.

Автоматическая блокировка предупреждает возможность неправильных или несвоевременных включений и отключений машин или аппаратов, которые могли бы привести к авариям, пожарам и взрывам. Системы автоматического блокирования исключают образование взрывоопасных концентраций п технологических установках (производство ацетилена, водяного и коксового газа; при сушке изделий от растворителей), в помещениях, в которых размещены производства ядовитых и взрывоопасных веществ (блокировка газоанализаторов с вентиляционными установками); о топочных устройствах при применении газообразного и жидкого топлива и т. н.

Автоматические системы управления включают и выключают аппараты или агрегаты и строгой последовательности операций по заранее заданным условиям. Роль человека при этом заключается только в посылке начального (пускового) импульса. Автоматическое управление обеспечивает согласованную и надежную работу оборудования, обеспечивает безопасные условия труда, а также исключает пожарную опасность.

В нефтеперерабатывающей и химической промышленности автоматические системы управления широко применяют с целью исключения аварий при быстром и одновременном включении и выключении нескольких запорных устройств, расположенных в разных местах.

Системы автоматического регулирования поддерживаются без участия человека заданные параметры технологических процессов, не допускают отклонения их заранее установленных безопасных значений и тем самым исключают возможность возникновения пожароопасной обстановки.

Для успешной эвакуации людей из горящих зданий создают пути эвакуации и эвакуационные выходы, этой целью в зданиях устраивают такое число лестничных клеток и наружных пожарных лестниц с легко открывающимися запорами на дверях и воротах, которое необходимо для своевременной и безопасной эвакуации обслуживающего персонала из наиболее удаленных рабочих мест.

Предельные расстояния до эвакуационного выхода считаются по линии свободных проходов от дверей помещения или от наиболее удаленных рабочих площадок до ближайшего эвакуационного выхода. Безопасная эвакуация людей обеспечивается также правильной организацией их движения от места нахождения в помещении до выхода наружу или в лестничную клетку. Потоки людей во всех случаях намечают заранее по направлениям, исключающим возможность их пересечения или встречного движения людей. Пути эвакуации и выходы устраивают так, чтобы они обеспечивали безопасную и организованную эвакуацию людей.

В открытых производственных установках, размещенных на собственных фундаментах или на так называемых этажерках, эвакуационные пути выводят за пределы установки или в смежное не пожароопасное помещение, имеющее выход наружу.

В зданиях повышенной этажности применяют незадымляемые лестницы, вход в которые возможен через так называемую воздушную зону. В качестве воздушной зоны используют балконы, галереи.

В случае задымления помещений дым проникает в воздушную зону а рассеивается, не попадая в лестничную клетку. К не задымляемым относят также холодные лестницы. Это по существу наружные лестницы, удобные для движении, но имеющие решетчатое ограждение. В данном случае сама лестница представляет собой как бы воздушную зону.

Для удаления дыма и снижения температуры в помещениях в случае пожара в кровле здания предусматривают вытяжные шахты (дымовые люки). Дымовые люки могут открываться как вручную, так и автоматически.

Кроме специальных клапанов, для дымоудаления используют оконные проемы и фонари, которые в этом случае оборудуют устройствами для открывания.

Возможность образования взрывоопасных концентраций газо- или паровоздушных смесей опасна для обслуживающего персонала. Для исключения вероятности возникновения аварийных ситуаций, которые могут закончиться взрывом и смертельными, исходами для обслуживающего персонала, предусматривают ряд мероприятий. Для оповещения обслуживающего персонала о предстоящей аварии используют аварийную сигнализацию.

Для автоматической сигнализации и защиты от образования взрывоопасных концентраций в производственных помещениях применяют стационарные газоанализаторы горючих газов и газоанализаторы взрывоопасных концентраций СВК, сигнальные устройства которых блокируют с магнитными пускателями двигателей аварийной вентиляции. Как только содержание горючего газа в воздухе достигает 20% от нижнего предела взрываемости, срабатывает аварийное сигнальное устройство прибора. При меньшем содержании газа прибор работает как индикатор наличия газа (показывающий прибор).

 


6. Оценка экономической эффективности от внедрения средств автоматизации атмосферного блока ЭЛОУ - АВТ6


Экономическое обоснование проектов автоматизации - выводы об экономической эффективности внедрения вновь спроектированной автоматизации, сделанные на основе расчёта денежных показателей эффективности, а так же технико-экономических показателей и факторов, которые не нашли выражения в денежных показателях и имеют важное самостоятельное значение.

Экономическое обоснование проекта автоматизации производится в следующей последовательности:

) выбора объектов для сравнения и оценка прогрессивности технических параметров;

) расчет годовой производительности спроектированной машины, прибора или аппарата;

) расчёт и сопоставление капитальных вложений по сравниваемым вариантам;

) Расчет и сопоставление эксплуатационных расходов;

) Расчет денежных количественных критериев эффективности внедрения спроектированной автоматики;

) Итоговая оценка экономичности с учётом качественных характеристик эффективности.

Объекты для сравнения служат для определения сравнительной экономической эффективности внедряемой автоматики перед другими возможными вариантами и для расчёта величины экономического эффекта годового получаемо от его внедрения.

Для определения эффективности внедрения вновь спроектированной продукции, она должна сравниваться с лучшей из аналогичных конструкций, используемых на отечественных и зарубежных предприятиях, а так же с лучшей из уже разработанных в проектах конструкций. Для расчёта годового экономического эффекта вновь спроектированная установка сравнивается с той, которую уже заменили.

Исходя из сказанного, при автоматизации котельной объектом для сравнения является вариант без применения средств автоматизации. При этом мощность и объём производительности продукции не изменяется.

Для определения экономической эффективности вначале определяется вложений, приходящиеся на единицу продукции, по обоим вариантам.

Удельные капитальные вложения определяется по формуле:

                                                                                        (1.1)

где К - абсолютная величина капиталовложений,

О - годовой выпуск продукции.

После автоматизации абсолютные капитальные вложения:

                                                                         (1.2)

где ∆К - дополнительные капитальные вложения,

К1 - абсолютные капиталовложения, по базовому варианту.

Аналогично определяется и удельные показатели эксплуатационных расходов по сравниваемым вариантам:

      (1.3)

где С - абсолютная величина эксплуатационных расходов.

Эксплуатационные расходы по сравниваемым вариантам техники представляют собой себестоимость всей изготовляемой с её помощью за а определённый период продукции. Для определения экономической эффективности сопоставляемых вариантов новой техники не всегда требуется исчисление полных абсолютных значений эксплуатационных расходов С1 и С2 на изготовление продукции, производимой с помощью машин сравниваемых конструкций, а затем определить разность этих затрат

                                                                              (1.4)

Для целей расчётов экономической эффективности можно прямо найти величину ∆С не вычисляемых полных величин С1 и С2. Для этого вначале устанавливаются какие из элементов затрат на изготовление продукции разнятся в сравниваемых вариантах техники.

После этого производят расчёт экономии или перерасхода ∆С по каждому из всех элементов затрат.

При сопоставлении эксплуатационных расходов нельзя учитывать только получаемую от внедрения новой техники экономию на одних статьях затрат и не учитывать возможные дополнительные расходы по другим статьям затрат.

Экономический эффект годовой, получаемый в результате внедрения новой техники. Он выражается в экономии затрат приведённых годовых.

Экономический годовой эффект вычисляется по формуле:

                                        (1.5)

где ∆С - годовой экономический эффект или годовая экономия на приведённых затратах;

С1 и С2 - удельные эксплуатационные расходы, то есть себестоимость единицы продукции изготовляемой с помощью новой техники С1 и с помощью прежней С2;

К1 и К2 - удельные капитальные вложения связанные с новой техникой К1 и с прежней К2;

Ен - норма эффективности дополнительных капитальных вложений.

Срок окупаемости показывает количество лет, в течении которых дополнительный чистый доход, получаемый от внедрения новой техники достигнет суммы, равной произведённых дополнительных капиталовложений. Он рассчитывается по формуле:

                                                                               (1.6)

где К1 и К2 - капитальные вложения по сравниваемым вариантам (К2 > К1);

С1 и С2 - эксплуатационные расходы по сравниваемым вариантам (С1 > С2)

Т - срок окупаемости дополнительных капитальных вложений по второму варианту в сравнении с первым.

Срок окупаемости является обещающим количественным критерием экономической эффективности технических решений в тех случаях когда в варианте, обеспечивающие меньшие эксплуатационные расходы, требуются дополнительные капитальные вложения.

7. Практический раздел

 

.1 Определение общей суммы дополнительных капиталовложений


Расчет выполняем в таблице 2.1. Перечень приборов использованных для автоматизации установки приведен в графе 2. Нумерация приборов изменяется от 1 до i.

В графе 3 указано количество приборов Sί, в графе 4 - стоимость приобретения каждого прибора (). Стоимость монтажа (), графу 5 принимаем в размере 8% от стоимости приобретения прибора:

                                                                                     (2.1)

Полная стоимость прибора (; графа 6) представляет собой сумму стоимостей приобретения и монтажа приборов:

                                                                              (2.2)

Общую величину капитальных затрат по каждому типу приборов (; графа 7) находим по формуле:

                                                                             (2.3)

Общая сумма дополнительных капитальных вложений на автоматизацию установки () определяется по формуле

                                                                        (2.4)

Таблица 2.1 - Расчет дополнительных капитальных вложений на автоматизацию атмосферного блока ЭЛОУ - АВТ6.

№п/п

Тип прибора

Кол-во [Sί], шт

Стоимость, руб.

Капитальные затраты [], руб




Приобретение прибора [], руб

Монтажа [], руб

Полная [], руб


1

2

3

4

5

6

7

1.

Камерная диафрагма ДКН - 100

18

1070

86

1156

20808

2.

Термопара ТХК

18

1380

110

1490

26820

3.

Сапфир 22ДД

18

16060

1285

17345

312210

4.

ЭПП

18

4340

347

4687

84366

5.

Сапфир 22 ДИ

4

15820

1266

17086

68344

6.

Сапфир 22 ДУ

5

14630

1170

15800

79000

7.

Уровнемер УБП

5

1690

135

1825

9125

8.

Клапан пневматический

29

3390

271

3661

106169

9.

Хромотограф

2

318100

25448

343548

687096

10.

Контроллер ТRЕ15В00

3

95400

7632

103032

309096

Дополнительные капитальные вложения [ ], руб

1703034


7.2 Расчет удельных капитальных вложений


Находим удельные капитальные затраты:

До автоматизации (К1):

                                                                                         (2.5)

где К - стоимость основных фондов установки до автоматизации;

О1 - мощность установки до автоматизации.

После автоматизации (К2):

                                                                               (2.6)

где О2 - мощность установки после автоматизации

 

.3 Определение роста производительности труда в результате внедрения средств автоматизации


Находим списочную численность основных рабочих (Чсп):

                                                                     (2.7)

где Чяв - явочная численность в одной смене;

ЧБР - количество бригад;

Кзам - коэффициент замещения временно отсутствующих рабочих.

До автоматизации:

После автоматизации:

Производительность труда равна:

До автоматизации

                                                                                    (2.8)

После автоматизации:

                                                                                      (2.9)

где О - мощность установки.

Рост производительности труда () в результате внедрения автоматизации определяем по формуле:

                                                                 (2.10)

Прирост производительности труда составит: .

7.4 Сравнительный анализ цеховой себестоимости единицы продукции

 

.4.1 Определение стоимости сырья и материалов

Стоимость сырья и материалов в расчете на единицу продукции (М) находим по формуле

                                                  (2.11)

где - виды сырья и материалов;

- стоимость единицы -го вида сырья;

- норма расхода -го вида сырья и материалов;

- стоимость -го вида сырья и материалов.

Стоимость сырья и материалов в расчет на единицу продукции составит:

До автоматизации:

Нефть обессоленная:

Газовый конденсат:

Суммарная стоимость сырья:

После автоматизации:

Нефть обессоленная:

Газовый конденсат:

Суммарная стоимость сырья:

7.4.2 Определение стоимости энергоресурсов на единицу продукции

Стоимость энергоресурсов, затрачиваемых на единицу продукции (ЭР) определяем по формуле:

                                                      (2.12)

где Эpi - стоимость i-вида энергоресурсов в расчете на единицу продукции;

i - виды энергоресурсов ()

Рi - стоимость единицы i-вида энергоресурсов.

Ni - норма расхода i-вида энергоресурсов.

До автоматизации:

Электроэнергия:

Пар:

Сжатый воздух:

Суммарная стоимость энергоресурсов:

После автоматизации:

Электроэнергия:

Пар:

Сжатый воздух:

Суммарная стоимость энергоресурсов:

 

.4.3 Расчет зарплаты основных рабочих на единицу продукции

1. Определяем тарифную часть заработка:

                                                      (2.13)

где Ткаленд - число дней в году (365 дней);

Тсм - продолжительность смены (12 часов);

С - количество смен в сутки (2);

Но - норма численности, человек;

Тст - часовая тарифная ставка (руб).

До автоматизации:

 

После автоматизации:

 

. Находим сумму доплат за работу в ночное время:

                                                (2.14)

где Тноч - количество ночных часов в сутки (8 часов);

Пдн - процент доплат за работу ночью (40%).

До автоматизации

 

После автоматизации:

 

3. Находим сумму доплат за работу в выходные и праздничные дни (ДпВ):

                                            (2.15)

где Тпв - количество праздников и выходных дней в году (116);

100% - процент доплат за работу в выходные и праздничные дни.

До автоматизации:

 

После автоматизации:

 

. Определяем сумму премий:

                                                        (2.16)

где Ппр - процент премиальных выплат (30%).

До автоматизации:

 

После автоматизации:

 

6.  Находим общий фонд заработной платы

                                                               (2.17)

До автоматизации:

 

После автоматизации:

 

6. Определяем сумму социального налога. Ставка социального налога 26 % от ФОТ:

                                                                      (2.18)

До автоматизации:

 

После автоматизации:

 

. Находим сумму ФОТ и социального налога

                                                                 (2.19)

До автоматизации:

ФСН1 = 3538131 + 919914,1= 4458045,1 (руб)

После автоматизации:

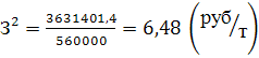
ФСН2 = 2882064,6 + 749336,8 = 3631401,4 (руб)

. Рассчитываем сумму фонда оплаты труда и социального налога на единицу продукции:

                                                                                    (2.20)

До автоматизации:

 

После автоматизации:

 

 

.4.4 Расчет амортизационных отчислений на единицу продукции

1. Определяем сумму амортизационных отчислений на единицу продукции:

До автоматизации:

                                                                               (2.21)

где АМО1 - сумма амортизационных отчислений до внедрения автоматизации.

 

. Найдем величину амортизационных отчислений со средств автоматизации (ΔАМО):

                                                                 (2.22)

где НАМО - норма амортизационных отчислений со средств автоматизации (20%).

ΔАМО = 0,2 * 1703034 = 340606,8 (руб)

. Найдем величину амортизационных отчислений после автоматизации:

                                                             (2.23)

АМО2 = 7950000 + 340606,8 = 8290606,8 (руб)

. Найдем величину амортизационных отчислений на единицу продукции после автоматизации:

                                                                            (2.24)

 

 

.4.5 Расчет общепроизводственных расходов на единицу продукции

Общая сумма общепроизводственных расходов за минусом амортизационных отчислений не изменяется после внедрения автоматизации. В расчете на единицу продукции общепроизводственные расходы (Пр) составляют до и после автоматизации:

                                                                             (2.25)

До автоматизации:

После автоматизации:

7.4.6 Определение величины себестоимости единицы продукции до и после автоматизации

Себестоимость единицы продукции определяется по формуле:

                                                 (2.26)

Таким образом, себестоимость единицы продукции составит:

До автоматизации:

С1 = 7,96+4860,1+680,01+14,2+0,104 = 5562,37 (руб)

После автоматизации:

С2 = 6,48+4856,2+678,77+14,8+0,104 = 5556,35 (руб)

7.4.7 Анализ себестоимости единицы продукции


Таблица 2.2 Сравнительный анализ себестоимости продукции до и после автоматизации:

№ п/п

Статьи затрат

С1

С2

С2 - С1



До

После

Экономия [-] Перерасход [+]

1.

Сырье и материалы

4860,1

4856,2

- 3,9

2.

Энергия

680

678

- 2

3.

Зарплата с соц. налогом

7,96

6,48

- 1,48

4.

Амортизационные отчисления

14,2

14,8

+ 0,6

5.

Общепроизводственные расходы

0,104

0,104

-

6.

Итого себестоимости единицы продукции

5562,37

5556,35

-6,02


Из таблицы 2.2 видно, что снижение затрат в расчете на единицу продукции наблюдается по всем статьям, за исключением общепроизводственных расходов, которые остались прежними, и амортизационных отчислений, которые увеличились на 0,6.

Несмотря на это, сумма экономии затрат составила на каждой единице продукции -6,02 или в процентах: 0,108 %.

                                                                              (2.27)

 

7.5 Расчет показателей экономической эффективности внедрения автоматизации


Годовой экономический эффект от внедрения автоматизации определяется по формуле:

                       (2.28)

где Ен - нормативный коэффициент экономической эффективности (0,2).

 

Находим прирост прибыли от внедрения автоматизации:

                                                                 (2.29)

Определяем срок окупаемости

                                                                  (2.28)

Представим результаты расчетов в виде таблицы 2.3

Таблица 2.3 Результаты расчётов экономической эффективности от внедрения автоматизации атмосферного блока ЭЛОУ-АВТ-6


Результат

1. Годовой экономический эффект 2. Прирост прибыли 3. Срок окупаемости 4. Снижение себестоимости единицы продукции. 5. Прирост производительности труда 6. Уменьшение численности

3024000 р. 3371200 р. 6,1 мес. 6,02 или 0,108% 21% 1 чел.


Внедрения автоматизации атмосферного блока ЭЛОУ-АВТ6 даёт годовой экономический эффект в размере 3024000 рублей. Введенные меры позволяют получить прирост прибыли в размере 3371200 рублей и окупить дополнительные капиталовложения 1703034 рублей за 6 месяцев. Кроме того сокращение численности рабочих за счет автоматизации даёт прирост производительности труда на 21%.

Похожие работы на - Характеристика предприятия ООО 'РН - Информ'

 

Не нашли материал для своей работы?
Поможем написать уникальную работу
Без плагиата!
Без нейросетей!