Система связи города

  • Вид работы:
    Дипломная (ВКР)
  • Предмет:
    Информатика, ВТ, телекоммуникации
  • Язык:
    Русский
    ,
    Формат файла:
    MS Word
    1000,61 Кб
  • Опубликовано:
    2014-03-02
Вы можете узнать стоимость помощи в написании студенческой работы.
Помощь в написании работы, которую точно примут!

Система связи города

1. Требование к сети связи со стороны потенциальных потребителей


1.1 Общая информация о городе Сана


Расположенное на юге Аравийского полуострова в Юго-Западной Азии. Является частью Ближнего Востока, граничит с Оманом и Саудовской Аравией. Омывается Красным морем и Аравийским морем. Столица: Сана (с 1990 года).

Город Аден (бывшая столица Народной Демократической Республики Йемен) имеет статус экономической столицы. Сана - политическая столица Йемена и основной торговый и промышленный центр страны.

Сана, считается одним из старейших городов в мире, истоки которого теряются во мгле веков. В Сане 14 хаммама (традиционные бани), и более 6000 домов, датируемых до 11-го века. В связи со всем этим старая часть города Саны венсенна в список объектов всемирного наследия ЮНЕСКО в 1986 году.

Недалеко от побережья Красного моря находится исторический город Забид, внесенный в 1993 году в список всемирного наследия, был столицей Йемена с 13 по 15 век, является важным археологическим и историческим памятником страны. Он играл важную роль в течение многих веков, его университет был центром обучения для всего арабского. Алгебра, как говорят, была изобретена тут, в начале 9 века.

Своеобразными достопримечательностями города являются здания из необожженного кирпича, построенные в традиционном для арабов стиле. В восточной части столицы расположен Старый город, в котором сохранились наиболее древние постройки.

 


1.1.1 Географическое расположение города

Сана расположена в северо-западной части Аравийского полуострова, на севере Йемена. Город находится на плоскогорье, рассеченном долинами, на высоте около 2150 м над уровнем моря. Со всех сторон столицу окружают горы, которые создают неповторимый по красоте пейзаж и уникальный климат города [1].

Чтобы избежать возможных зон радиотени, в которых может наблюдаться неуверенная работа приёмопередающей части оборудования, а также ограничение радиуса зоны охвата базовой станции, передатчики следует размещать на возвышенностях.

Исходя из первоочередных нужд, в предоставлении услуг связи определим районы города, которые будут телефонизированы на первом этапе разворачивания сети. К таким районам относятся: Старая Сана, Шоуб, Азал, Альсафия, Алсабаин, Алвахда, Алтахрир, Мааин, Алровда и Алзаовра.

Географически эти районы можно разделить как на Рис. 1.1 на четыре основные зоны. Соответственно районы разделятся между зонами в следующем порядке:

·    Старая Сана - старая Сана, Шоуб, Азал, Алтахрир.

·        Город Хада - Алсабаин, Хада.

·        Шомаила - Альсафия, и Альзаовра.

·        Алровда - Маин, Алровда и Алвахда.

Рис. 1.1. Схема разделения города «Сана» на зоны

1.1.2 Климатические условия

Климат тропический. Зимы относительно теплые и сухие, в январе средняя температура воздуха составляет почти +14° С, в июле около +21° С. Наиболее высокие летние температуры колеблются в пределах от +30 до +33° С. Среднегодовое количество осадков около 600 мм, На выпадение осадков оказывают влияние муссоны.

1.2 Пользователи системы связи


В связи с различной заселённостью и индустриальными особенностями выбранных зон покрытия возникает потребность в определённом наборе услуг необходимых пользователям, расположенным в этих зонах.

Основываясь на результатах изучения потребительского спроса и особенностей зон определим первоочередную потребность в видах предоставляемых услуг в каждой зоне.

зона №1 (старая Сана) - это политический и экономический центр города. В этом районе расположены жилые дома (плотная застройка), туристическое места отдыха, многочисленные интернет - кафе, много офисов, коммерческие организации и правительственные учреждения. В данном районе будет представлен весь спектр услуг. Для крупных организаций будут выделиться каналы до 10 Мбит/с, а также поддерживаться IP-телефония и потоковое видео (например, для проведения видеоконференций). Для больших офисов можно использовать канал доступа до 5 Мбит/с.

Плотность населения в этом районе достаточно высокая, соответствующая инфраструктура, потребность жителей: получить широкополосный доступ в интернет, IP-телефонию потоковое видео.

Число населения в этом районе 340 тысяч, из первого начала ожидается подключить 1% от всего населения, полюс организации и административные учреждения.

Зона №2 (город Хада) - жилые дома, большая часть застроек является частной собственностью, большинство проживающих здесь люди высокого достатка и соответствующая инфраструктура, при численности населения 250 тысяч человек.

Зона №3 - Шомаила - жилые дома, гостинцы и промышленная зона. По результатам исследования потребительного спроса установлено, что в зоне Шомаилы (240 тысяч чел.) желают обеспечить себе скоростным беспроводным доступом в интернет и IP-телефонии около 2,4 тысяч (1% от всего населения района). Полюс потребности промышленных заводов.

Зона №4 - Алровда - это пригород Саны. в него входит информационный телекоммуникационный парк, так же здесь располагается гостиницы и международный аэропорт, при численности населения примерно 170 тыс. чел., потребность доступ в интернет с нормальной скоростью и IP-телефонии.

На таблице 1.1 приведено распределение ожидаемого числа абонентов, которые будут подключить к сети интернет с разными скоростями.

Таблица 1.

Районы

Старая сана

Город Хада

Шомаила

ИТ-парк

Сумма в каждом зоне

3400

3040-

2440

2360

Сумма абонентов

11240


1.3 Эволюция стандартов IEEE 802.16


При переходе к созданию систем широкополосного радиодоступа с интеграцией услуг стало понятно, что основополагающие принципы, заложенные в беспроводные системы на предыдущих этапах, нуждаются в существенной корректировке. На сигнальном уровне первостепенное значение приобрело оптимальное использование спектрального ресурса радиоканала при любых соотношениях ―скорость - помехоустойчивость. На уровне протоколов стало необходимым обеспечивать заданный уровень качества обслуживания каждому абоненту сети.

Беспроводные сети связи городского масштаба WiMAX активно развиваются на протяжении уже 10 лет, развернутые решения создают конкуренцию другим решениям проблемы предоставления широкополосного доступа, эквивалентного технологии xDSL. Основным преимуществом сетей WiMAX по сравнению с другими технологиями, призванными решать аналогичные задачи, является относительно быстрое развертывание систем на достаточно больших территориях без проведения работ по прокладке кабеля и предоставление конечным пользователям каналов связи в единицы Мбит/с, что особенно актуально для мест с неразвитой сетевой инфраструктурой (например, новые загородные районы, исторические центры городов и т.п.). Заметим, что основным конкурентом сетей WiMAX являются системы связи четвертого поколения LTE E UTRA.

На сегодняшний день беспроводные сети городского масштаба представлены следующими стандартами:

·        IEEE 802.16e-2005, 2009 (WiMAX);

·        ETSI HiperMAN;

·        IEEE 802.20 (WBWA).

Рабочая группа IEEE 802.16 была создана в 1999 г. Через два года (в декабре 2001 г.) был принят первый стандарт беспроводных сетей связи городского масштаба IEEE 802.16. Первоначально он был ориентирован на частотный диапазон 10-66 ГГц, что подразумевало прямую видимость между приемником и передатчиком и являлось существенным недостатком в городских условиях. Стандарт IEEE 802.16a (принят в январе 2003 г.) предусматривал использование частотного диапазона 1-10 ГГц и был лишен указанного недостатка.

В 2004 году появился стандарт беспроводного широкополосного доступа IEEE 802.16-2004. Тогда казалось, что мир вот-вот шагнет в новую реальность, где пользователю практически в любой точке Земли будут доступны средства высокоскоростного информационного обмена, от передачи данных до телефонной связи и телевидения. Но вскоре выяснилось, что стандарт - это еще не все. Необходимо выделение частотного ресурса, построение инфраструктуры сетей, немалые усилия по интеграции уже существующих услуг, в конце концов, привлечение к новой технологии создателей контента для конечных пользователей.

Изменить ситуацию был призван утвержденный в конце 2005 года документ IEEE Std 802.16е-2005 (опубликован 28 февраля 2006 года), который называют «стандартом IEEE 802.16е». Такое наименование не совсем точно, поскольку IEEE 802.16е - это набор исправлений существующего стандарта 802.16-2004 и дополнения «Физический и МАС-уровни для совместной мобильной и фиксированной работы в лицензируемых диапазонах». Именно эти «дополнения» (из-за которых стандарт IEEE 802.16е называют «мобильный WiMAX») и открывают путь стандарту 802.16 в безграничный мир мобильных приложений

В июле 2005 г. вышел стандарт IEEE 802.16e, являющийся дополнением к стандарту IEEE 802.16-2004. Акцент в стандарте сделан на поддержку мобильности конечного пользователя.

Осенью 2009 г. вышел окончательный на сегодняшний день стандарт беспроводных сетей городского масштаба IEEE 802.16-2009, объединивший в себе предыдущие версии стандартов (Рис. 3).

Европейский институт телекоммуникационных стандартов ETSI и рабочая группа BRAN (Broadband Radio Access Networks) разработали стандарт HiperMAN. В основу HiperMAN на физическом уровне положен стандарт IEEE 802.16-2004. Некоторые различия наблюдаются на канальном (MAC) и сетевом уровнях. Основное внимание ETSI уделяет типам приложений и качеству услуг.

Спустя четыре года после создания рабочей группы IEEE 802.16 появился форум WiMAX, образованный фирмами Nokia, Harris Corp., Ensemble и Crosspan. К маю 2005 г. форум объединял уже 230 участников, а на сегодняшний день форум включает в себя более 400 различных производителей, лабораторий и поставщиков телекоммуникационного оборудования.

1.3.1 Стандарт 802.16: стек протоколов

Набор протоколов, используемый стандартом 802.16, показан на Рис. 1.2. Общая структура подобна другим стандартам серии 802, но больше Подуровней. Нижний подуровень занимается физической передачей данных. Используется обычная узкополосная радиосистема с обыкновенными схемами модуляции сигнала. Над физическим уровнем находится подуровень сведения (с ударением на второй слог), скрывающий от уровня передачи данных различия технологий.

Уровень передачи данных состоит из трех подуровней. Нижний из них относится к защите информации, в которых передача Данных осуществляется в эфире, физически никак не защищенном от прослушивания. На этом подуровне производится цифрация, дешифрация данных, а также управления ключами доступа.

Рис. 1.2. Стандарт 802.16: стек протоколов

Затем следует общая часть подуровня МАС. Именно на этом уровне иерархии располагаются основные протоколы - в частности, протоколы управления каналом. Здесь станция контролируют всю систему. Она очень эффективно распределяет очередность передачи входящего трафика абонентам, немалую роль играет и в управлении исходящим трафиком (от абонента к базовой станции). От всех остальных стандартов 802.x МАС подуровень стандарта 802.16 отличается тем, что он полностью ориентирован на установку соединения. Таким образом, можно гарантировать определенное качество обслуживания при предоставлении услуг телефонной связи и при передаче мультимедиа.

1.3.2 Стандарт 802.16: физический уровень

Широкополосным беспроводным сетям необходим широкий частотный спектр, который можно найти только в диапазоне от 10 до 66 ГГц. Миллиметровые волны обладают одним интересным свойством, которое отсутствует у более длинных микроволн: они распространяются не во всех направлениях (как звук), а по прямым линиям (как свет). Следовательно, на базовой станции должно быть установлено множество антенн, покрывающих различные секторы окружающей территории, как показано на Рис. 1.3. В каждом секторе будут свои пользователи. Секторы не зависят друг от друга, чего не скажешь о сотовой радиосвязи, в которой сигналы распространяются сразу по всем направлениям.

Рис. 1.3. Оперативная среда передачи данных сетей 802.16

Поскольку мощность сигнала передаваемых миллиметровых волн сильно уменьшается с увеличением расстояния от передатчика (то есть базовой станции), то и соотношение сигнал/шум также понижается. По этой причине 802.16 использует три различных схемы модуляции в зависимости от удаления абонентской станции. Если абонент расположен недалеко от БС, то применяется QАМ-64 с шестью битами на отсчет. На среднем удалении используется QФМ-16 и 4 бита/бод. Если абонент расположен далеко, то работает схема QРSК с Двумя битами на отсчет. Например, при типичной полосе спектра 25 МГц QAМ-64 дает скорость 150 Мбит/с, QАМ-16 - 100 Мбит/с, а QPSК - 50 Мбит/с. Таким образом чем дальше находится абонент от базовой станции, тем ниже скорость передачи данных. Фазовые диаграммы всех трех методов были показаны на Рис. 1.4.

Рис. 1.4. Фазовые диаграммы применяемых методов

Стандарт 802.16 обеспечивает гибкость распределения полосы пропускания. Применяются две схемы модуляции: FDD (дуплексная связь с частотным разделением) и ТDD (дуплексная связь с временным разделением). Последний метод показан на Рис. 1.5. Базовая станция периодически передает кадры, разделенные Иа временные интервалы. Первая часть временных интервалов отводится под входящий трафик. Затем следует защитный интервал (разделитель), позволяющий станциям переключать режимы приема и передачи, а за ним - интервалы исходящего трафика. Число отводимых тактов может динамически меняться, что позволяет подстроить пропускную способность под трафик каждого из направлений.

Рис. 1.5. Дуплексная связь с временным разделением; кадры и временные интервалы

Входящий трафик разбивается на временные интервалы базовой станцией. Она полностью контролирует это направление передачи. Исходящий трафик от абонентов управляется более сложным образом и зависит от требуемого качества обслуживания. Мы еще вернемся к распределению временных интервалов, когда будем обсуждать подуровень МАС.

Еще одним интересным свойством физического уровня является его способность упаковывать несколько соседних кадров МАС в одну физическую передачу. Это дает возможность повысить эффективность распределения спектра путем уменьшения числа различных преамбул и заголовков, столь любимых физическим уровнем.

Для непосредственного исправления ошибок на физическом уровне используется код Хэмминга. Все сетевые технологии просто полагаются на контрольные суммы и обнаруживают ошибки с их помощью, запрашивая повторную передачу испорченных фрагментов. Но при широкополосной беспроводной связи на больших расстояниях возникает много ошибок, что их обработкой приходится заниматься физическому уровню, хотя на более высоких уровнях и применяется метод контрольных сумм. Основная задача коррекции ошибок на физическом уровне состоит в том, чтобы заставить канал выглядеть лучше, чем он есть на самом деле (точно так же компакт-диски кажутся столь надежными носителями только лишь благодаря тому, что больше половины суммарного числа бит отводится под исправление ошибок на физическом уровне).

1.3.3 Стандарт 802.16 протокол подуровня МАС

Уровень передачи данных разделен на три подуровня, как показано на рис 8. Кадры МАС всегда занимают целое число временных интервалов физического уровня. Каждый кадр разбит на части, первые две из которых содержат карту распределения интервалов между входящим и исходящим трафиком. Там находится информация о том, что передается в каждом такте, а также о том, какие такты свободны. Карта распределения входящего потока содержит также разнообразные системные параметры, которые важны для станций, только что подключившихся к эфиру.

Канал входящего трафика состоит из базовая станция, которая определяет, что разместить в каждой части кадра. Исходящий канал имеет конкурирующие между собой станции, желающие получить доступ к нему. Его распределение тесно связано с вопросом качества обслуживания. Определены четыре класса сервисов:

1.       Сервис с постоянной битовой скоростью;

2.       Сервис реального времени с переменной битовой скоростью;

.        Сервис, работающий не в реальном масштабе времени, с переменной битовой скоростью;

.        Сервис с обязательством приложения максимальных усилий по предоставлению услуг.

Все предоставляемые стандартом 802.16 сервисы ориентированы на соединение, и каждое соединение получает доступ к одному из приведенных ранее классов сервиса.

Сервис с постоянной битовой скоростью предназначен для передачи несжатой речи, такой, какая передается по каналу Т1. Здесь требуется передавать предопределенный объем данных в предопределенные временные интервалы. Это реализуется путем назначения каждому соединению такого типа своих интервалов. После того как канал оказывается распределенным, доступ к временным интервалам осуществляется автоматически, и нет необходимости запрашивать каждый из них по отдельности.

Сервис реального масштаба времени с переменной битовой скоростью применяется при передаче сжатых мультимедийных данных и других программных приложений реального времени. Необходимая в каждый момент времени пропускная способность может меняться. Та или иная полоса выделяется базовой станцией, которая опрашивает через определенные промежутки времени абонента с целью выявления необходимой на текущий момент ширины канала.

Сервис, работающий не в реальном масштабе времени, с переменной битовой скоростью предназначен для интенсивного трафика - например, для передачи файлов большого объема. Здесь базовая станция тоже опрашивает абонентов довольно часто, но не в строго установленные моменты времени. Абонент, работающий с постоянной битовой скоростью, может установить в единицу один из специальных битов своего кадра, тем самым предлагая базовой станции опросить его (это означает, что у абонента появились данные, которые нужно передать с новой битовой скоростью).

Сервис с обязательством приложения максимальных усилий используется для всех остальных типов передачи. Никаких опросов здесь нет, а станции, желающие захватить канал, должны соперничать с другими станциями, которым требуется тот же класс сервиса. Запрос пропускной способности осуществляется во временных интервалах, помеченных в карте распределения исходящего потока как доступные для конкуренции. Если запрос прошел удачно, это будет отмечено в следующей карте распределения входящего потока. В противном случае абоненты-неудачники должны продолжать борьбу. Для минимизации числа коллизий используется взятый из Еsегпеt; алгоритм двоичного экспоненциального отката.

Стандартом определены две формы распределения пропускной способности: для станции и для соединения. В первом случае абонентская станция собирает вместе все требования своих абонентов (например, компьютеров, принадлежащих жильцам здания) и осуществляет коллективный запрос. Получив полосу, она распределяет ее между пользователями по своему усмотрению. В последнем случае базовая станция работает с каждым соединением отдельно] 3 [.

1.4 آèنû ٌٍàينàًٍà 802.16


رهٍè WiMAX ïًهنيàçيà÷هيû نëے ïًهنîٌٍàâëهيèے ٌهًâèٌîâ êàê يهïîنâèويûى è ïîنâèويûى ïîëüçîâàٍهëےى. WiMAX ïîننهًوèâàهٍ ٌëهنَ‏ùèه âèنû ىîلèëüيîٌٍè:

. شèêٌèًîâàييûé (fixed). آ ‎ٍîى ٌëَ÷àه ٌ îïهًàٍîًîى ٌîمëàٌîâûâàهٌٍے ïîëîوهيèه ïîëüçîâàٍهëے, â êîٍîًîى îي ïîëَ÷àهٍ îلٌëَوèâàيèه, ي-ً, êîيêًهٍيàے ٌîٍà. ؤëے ‎ٍîمî ُîًîّî ïîنُîنےٍ ïîëüçîâàٍهëüٌêèه ٍهًىèيàëû ٌ çàêًهïëهييîé ٌيàًَوè çنàيèے àيٍهييîé, يàïًàâëهييîé يà لàçîâَ‏ ٌٍàيِè‏.

. ءëَونà‏ùèé (nomadic), ٍ.ه. ٌ èçىهيےهىûى ىهٌٍîïîëîوهيèهى. دîëüçîâàٍهëü èىههٍ âîçىîويîٌٍü ïîنêë‏÷èٍüٌے ê ٌهٍè îïهًàٍîًà èç ë‏لîمî ىهٌٍà, منه îïهًàٍîً ïًهنîٌٍàâëےهٍ ïîêًûٍèه. آ ٍه÷هيèه îنيîé ٌهٌٌèè ïîëüçîâàٍهëü نîëوهي لûٍü يهïîنâèوهي.

. دهًهنâèويîé (portable). دîëüçîâàٍهëü èىههٍ âîçىîويîٌٍü ïهًهنâèمàٍüٌے ٌî ٌêîًîٌٍü‏ نî 5 êىلهç ïîٍهًè ٌٍَàيîâëهييîé ٌهٌٌèè, â ٍîى ÷èٌëه (îïِèîيàëüيàے âîçىîويîٌٍü ٌهٍè) ïهًهُîنèٍü èç îنيîé ٌîٍû â نًَمَ‏ (handover). آî âًهىے handover نîïٌَêà‏ٌٍے ïهًهًûâû â ïهًهنà÷ه نàييûُ (âïëîٍü نî çيà÷هيèے, ىàêٌèىàëüيîمî نëے îلٌëَوèâàيèے ٍهêَùهé TCP/IP ٌهٌٌèè), نî 2 ٌ. ؤîïٌَêà‏ٌٍے ïîٍهًè نàييûُ âî âًهىے handover, çàنàييîه êà÷هٌٍâî îلٌëَوèâàيèے, QoS, âîٌٌٍàيàâëèâàهٌٍے ٍîëüêî ïîٌëه çàâهًّهيèے handover.

. خمًàيè÷هييàے ىîلèëüيîٌٍü (simple mobility). دîëüçîâàٍهëü ىîوهٍ ïهًهنâèمàٍüٌے, â ٍîى ÷èٌëه ïهًهُîنèٍü èç ٌîٍû â ٌîٍَ, ٌî ٌêîًîٌٍü‏ نî 60 êىلهç ََُنّهيèے êà÷هٌٍâà îلٌëَوèâàيèے, è نî 120 êى ٌ نîïٌَêàهىûى ïîٌٍهïهييûى ََُنّهيèهى êà÷هٌٍâà îلٌëَوèâàيèے. ؤëے ïًèëîوهيèé يهًهàëüيîمî (non-real time) âًهىهيè (ًàلîٍà ٌ e-mail, c بيٍهًيهٍ, ïًîٌىîًٍ âèنهî ٌ لَôهًèçàِèهé نàييûُ, ïهًهنà÷à ôàéëîâ ïî FTP, IPsec/VPN) êà÷هٌٍâî îلٌëَوèâàيèے مàًàيٍèًَهٌٍے. آًهىے handover يه نîëويî ïًهâûّàٍü 1 ٌ ïًè ïهًهêë‏÷هيèè ىهونَ IP ïîنٌهٍےىè è 150 ىٌ â ïًهنهëàُ îنيîé ïîنٌهٍè, âًهىے ïًهًûâàيèے ïهًهنà÷è نàييûُ يه ïًهâûّàهٍ 150 ىٌ. خلےçàٍهëüيà ïîننهًوêà ونَùهمî (idle), ٌïےùهمî (sleeping) ًهوèىîâ ًàلîٍû ïîëüçîâàٍهëüٌêèُ ٍهًىèيàëîâ, à ٍàêوه âûçîâîâ ïîëüçîâàٍهëے (paging), ٌى. ٌîîٍâهٌٍٍâَ‏ùèه ًàçنهëû.

. دîëيàے ىîلèëüيîٌٍü (full mobility). دîëüçîâàٍهëü ىîوهٍ ïهًهنâèمàٍüٌے, â ٍîى ÷èٌëه ïهًهُîنèٍü èç ٌîٍû â ٌîٍَ, ٌî ٌêîًîٌٍü‏ نî 120 êىلهç ََُنّهيèے êà÷هٌٍâà îلٌëَوèâàيèے. أàًàيٍèًَهٌٍے êà÷هٌٍâî îلٌëَوèâàيèے نëے ïًèëîوهيèé ًهàëüيîمî âًهىهيè (VoIP, âèنهî-ٍهëهôîيèے, ïًîٌىîًٍ âèنهî لهç لَôهًèçàِèè) è يهًهàëüيîمî âًهىهيè (ٌى. îمًàيè÷هييàے ىîلèëüيîٌٍü). آًهىے handover يه ïًهâûّàهٍ 50 ىٌ, âًهىے ïًهًûâàيèے ïهًهنà÷è نàييûُ يه لîëهه 5 ىٌ (èëè يه لîëهه نëèٍهëüيîٌٍè îنيîمî êàنًà) [4].

2. خلçîً ٌîâًهىهييûُ ٌèٌٍهى لهٌïًîâîنيîمî àلîيهيٌٍêîمî نîٌٍَïà


آ ًàىêàُ ًûيêà, îٌيîâيàے êîيêًَهيِèے WiMAX ïًèُîنèٍ èç ٌَùهٌٍâَ‏ùèُ, ّèًîêî ًàçâهًيٍَû لهٌïًîâîنيûه ٌèٌٍهىû, ٍàêèه êàê UMTS è CDMA2000, à ٍàêوه ًےن èيٍهًيهٍ-îًèهيٍèًîâàييûُ ٌèٌٍهى, ٍàêèُ êàê HiperMAN è لîëüّîé نàëüيîٌٍè ىîلèëüيîمî Wi-Fi Mesh è ٌهٍهé [5].

خٌيîâيûه ٌٍàينàًٍû ٌîٍîâîé ٌâےçè â يàٌٍîےùهه âًهىے ًàçâèâàëèٌü ٍàê يàçûâàهىûه 4G, âûٌîêîé ïًîïٌَêيîé ٌïîٌîليîٌٍü‏ è يèçêîé ëàٍهيٍيîٌٍü‏, âٌه IP-ٌهٍهé ٌ مîëîٌîâûىè ٌَëَمàىè ïîًٌٍîهيû يà âهًّèيه. آî âٌهى ىèًه ïهًهéٍè يà 4G نëے GSM/UMTS è AMPS/TIA (âêë‏÷àے CDMA2000) ےâëےهٌٍے 3GPP Long Term Evolution ٌَèëèé. دëàيèًَهٌٍے çàىهيà CDMA2000 يàçûâàهىûُ, Ultra Mobile Broadband لûëà ïًهêًàùهيà. ؤëے 4G ٌèٌٍهى, ٌَùهٌٍâَ‏ùèُ èيٍهًôهéٌîâ âîçنَُà, âûلًàٌûâàهىûُ â ïîëüçَ OFDMA ïî يèٌُîنےùهé è ًàçëè÷يûه OFDM ىهٍîنèê ïî Uplink, ïîُîوèه يà WiMAX.

آ يهêîٍîًûُ ًàéîيàُ ىèًà, ّèًîêàے نîٌٍَïيîٌٍü UMTS è îلùهه ًٌٍهىëهيèه ê ٌٍàينàًٍèçàِèè îçيà÷àهٍ ٌïهêًٍ يه لûëè âûنهëهيû يà WiMAX: â è‏ëه 2005 مîنà إر-ّèًîêèى ًàٌïًهنهëهيèهى ÷àٌٍîٍ نëے WiMAX لûëà çàلëîêèًîâàيà.

خنيèى èç çيà÷èٍهëüيûُ ïًهèىَùهٌٍâ ïهًهنîâûُ لهٌïًîâîنيûُ ٌèٌٍهى, ٍàêèُ êàê WiMAX ےâëےهٌٍے ٌïهêًٍàëüيîé ‎ôôهêٍèâيîٌٍè. حàïًèىهً, 802.16-2004 (ôèêٌèًîâàييûé) èىههٍ ٌïهêًٍàëüيَ‏ ‎ôôهêٍèâيîٌٍü 3,7 (لèٍ / ٌ) / Hertz, à نًَمèه 3,5-4G لهٌïًîâîنيûُ ٌèٌٍهى ïًهنëàمà‏ٍ ٌïهêًٍàëüيîé ‎ôôهêٍèâيîٌٍè, êîٍîًûه ٌُîوè ٌ ٍî÷يîٌٍü‏ نî نهٌےٍûُ نîëهé ïًîِهيٍà. اàىهٍيûى ïًهèىَùهٌٍâîى WiMAX èٌُîنèٍ îٍ îلْهنèيهيèے SOFDMA ٌî ٌىàًٍ-ٍهُيîëîمèè àيٍهييû. فٍî َâهëè÷èâàهٍ ‎ôôهêٍèâيَ ٌïهêًٍàëüيîé ‎ôôهêٍèâيîٌٍè çà ٌ÷هٍ ىيîمîêًàٍيîمî èٌïîëüçîâàيèے è ٌىàًٍ-ٍîïîëîمèےُ ًàçâهًٍûâàيèے ٌهٍè. دًےىîه èٌïîëüçîâàيèه ÷àٌٍîٍ îًمàيèçàِèے نîىهيà îلëهم÷àهٍ ïًîهêٍû ٌ èٌïîëüçîâàيèهى MIMO-AAS ïî ًٌàâيهيè‏ ٌ CDMA / WCDMA ىهٍîنàىè, â ًهçَëüٍàٍه ÷همî لîëهه ‎ôôهêٍèâيûُ ٌèٌٍهى.

رًàâيهيèه îٌيîâيûُ ïîٌٍàâùèêîâ بيٍهًيهٍ ًهًٌٌَà

رٍàينàًٍيûé

رهىüے

خٌيîâيîه èٌïîëüçîâàيèه

ذàنèî زهُيîëîمèے

آيèç (جلèٍ / ٌ)

Uplink (جلèٍ / ٌ)

اàىهٍêè

LTE

UMTS/4GSM

أهيهًàëüيûé 4G

OFDMA / MIMO / SC-FDMA

360

80

LTE-Advanced îليîâëهيèے ïًهنëîوèٍü يهٌêîëüêî ألèٍ / ٌ ٌêîًîٌٍè.

WiMAX

802,16

جîلèëüيûé èيٍهًيهٍ

MIMO-SOFDMA

144

35

WiMAX ى îليîâëهيèے ïًهنëàمàهى نî 1 ألèٍ / ٌ ôèêٌèًîâàييîé ٌêîًîٌٍü‏.

Flash-OFDM

Flash-OFDM

جîلèëüيûé èيٍهًيهٍ ïîنâèويîٌٍü نî 200 mph (350 êى / ÷)

Flash-OFDM

5,3 10,6 15,9

1,8 3,6 5,4

جîلèëüيûه نèàïàçîيه 18miles (30 êى) ًàٌّèًهييûé نèàïàçîي 34 ىèëےُ (55 êى)

HiperMAN

HiperMAN

جîلèëüيûé èيٍهًيهٍ

OFDM

56,9

56,9


Wi-Fi

802,11 (11N)

جîلèëüيûé بيٍهًيهٍ (çàêًûٍûé)

OFDM / MIMO

288,9 (دîننهًوèâàهٍ 600MBps @ ّèًèيîé 40MHz êàيàë)

ہيٍهييû, ذش ïهًهنيهé àêٌهٌٌَàًàىè êîيِà è ىهëêèُ يàًٌٍîهê ٍàéىهًà (310 êى & 382km).

iBurst

802,20

جîلèëüيûé èيٍهًيهٍ

HC-SDMA / TDD / MIMO

95

36

رîٍîâûé ذàنèٌَ: 3-12 êىSpeed: 250kmph رïهêًٍàëüيîé ‎ôôهêٍèâيîٌٍè: 13 لèٍ / ٌ / أِ / Cell

EDGE Evolution

GSM

جîلèëüيûé èيٍهًيهٍ

TDMA / FDD

1,9

0,9

3GPP Release 7

UMTS W-CDMA HSDPA + HSUPA HSPA +

UMTS/3GSM

أهيهًàëüيûé 3G

CDMA / FDD CDMA / FDD / MIMO

0,384 14,4 42

0,384 5,76 11,5

HSDPA ّèًîêî ًàçâهًيٍَû. زèïè÷يàے ٌêîًîٌٍü يèٌُîنےùèُ ٌهمîنيے 2 جلèٍ / ٌ, ~ 200 êلèٍ / ٌ ëèيèè ٌâےçè «يèٌُîنےùèé HSPA + نî 42 جلèٍ / ٌ.

UMTS-TDD

UMTS/3GSM

جîلèëüيûé èيٍهًيهٍ

CDMA / TDD

16

16

خٍىه÷هييûه ٌêîًîٌٍè â ٌîîٍâهٌٍٍâèè ٌ IPWireless èٌïîëüçîâàيèè ىîنَëےِèè 16QAM àيàëîمè÷يûه HSDPA + HSUPA

1xRTT

CDMA2000

جîلèëüيûé ٍهëهôîي

CDMA

0,144

0,144

دًههىيèê EV-DO

EV-DO 1x Rev. 0 EV-DO 1x Rev.A EV-DO CDMA2000Rev.B

CDMA2000

جîلèëüيûé ٍهëهôîي

CDMA / FDD

2,45 3,1 4.9xN

0,15 1,8 1.8xN

Rev B دًèىه÷àيèه: N ‎ٍî êîëè÷هٌٍâî êٌَêîâ 1,25 جأِ ٌïهêًٍà èٌïîëüçَهٌٍے. إùه يه ًàçâهًيٍَà.

 

2.2 رًàâيهيèه êë‏÷هâûُ ٍهُيîëîمèé WiMAX è LTE


رëهنَ‏ùèى ّàمîى ‎âîë‏ِèè ٌèٌٍهى 3GPP, ےâëے‏ٌٍے ٌèٌٍهىû Long Term Evolution (LTE). بُ îٍëè÷àهٍ ٍهُيîëîمèے OFDMA â يèٌُîنےùهى êàيàëه è SC-FDMA - â âîٌُîنےùهى. جîنَëےِèے - نî 64-QAM, ّèًèيà êàيàëà - نî 20 جأِ, نَïëهêٌèًîâàيèه TDD è FDD. دًèىهيهيû àنàïٍèâيûه àيٍهييûه ٌèٌٍهىû, مèلêàے ٌهٍü نîٌٍَïà. رهٍهâàے àًُèٍهêًٍَà ïîëيîٌٍü‏ IP - ٌهٍü. آ ٌèٌٍهىه LTE ïًèىهيے‏ٌٍے ٍهُيîëîمèè è ىهٍîنû, َوه ïًèىهيےهىûه â ىîلèëüيîى WiMAX, ïî‎ٍîىَ ٌëهنَهٍ îوèنàٍü ٌُîوهé ‎ôôهêٍèâيîٌٍè ٌèٌٍهى LTE (ٍàلëèِà 2-2).

رًàâيهيèه ïàًàىهًٍîâ ًهàëüيûُ ٌèٌٍهى LTE è ىîëüيîمî WiMAX (ًهëèç 1.5) â îنèيàêîâûُ ÷àٌٍîٍيûُ ٌَëîâèےُ ïًè FDD ٌ ïîëîٌàىè 2ُ20 جأِ

دàًàىهًٍû

LTE

WiMAX ذهëèç 1.5


Motorolla

T-Mobile

Qualcomm


حèٌُîنےùèé êàيàë





ہيٍهييà ءر

2ُ2

2ُ4

4ُ2

2ُ2

4ُ4

جîنَëےِèے è ٌêîًîٌٍü êîنèًîâàيèے

64 QAM 5/6

64 QAM 5/6

64 QAM 5/6

64 QAM 5/6

رêîًîٌٍü جلèٍ/ٌ

226

144

277

144,6

289

آîٌُîنےùèé êàيàë

حهٍ نàييûُ





ہيٍهييà ہر


1ُ2

1ُ2

1ُ2

جîنَëےِèے è ٌêîًîٌٍü êîنèًîâàيèے


64 QAM 5/6

64 QAM 5/6

64 QAM 5/6

رêîًîٌٍü جلèٍ/ٌ


50,4

75

69,1


رèٌٍهىû LTE - ‎ٍî ًهâîë‏ِèîييîه َëَ÷ّهيèه 3G. LTE ïًهنٌٍàâëےهٍ ïهًهُîن îٍ ٌèٌٍهى CDMA ê ٌèٌٍهىàى OFDMA, à ٍàêوه ïهًهُîن ê ïîëيîٌٍü‏ IP - ٌèٌٍهىه ê êîىىَيèêàِèهé ïàêهٍîâ. دî‎ٍîىَ âيهنًهيèه ‎ٍîé ٍهُيîëîمèè يà ٌَùهٌٍâَ‏ùèُ ٌهٍےُ ٌîٍîâîé ٌâےçè îçيà÷àهٍ يهîلُîنèىîٌٍü يîâûُ ًàنèî÷àٌٍîٍيûُ ًهًٌٌَîâ نëے ïîëَ÷هيèے ïًهèىَùهٌٍâà îٍ ّèًîêîمî êàيàëà. ؤëے îلهٌïه÷هيèے îلًàٍيîé ٌîâىهٌٍèىîٌٍè يهîلُîنèىû نâًَُهوèىيûه àلîيهيٌٍêèه ًٌٍَîéٌٍâà. دî‎ٍîىَ ïëàâيûé ïهًهُîن îٍ ٌèٌٍهى 3G ê LTE âهٌüىà ٌëîوهي.

رًàâيهيèه êë‏÷هâûُ ïàًàىهًٍîâ LTE è WiMAX زàلëèِà 2.3

دàًàىهًٍû

LTE

WiMAX ذهëèç 1.5

ؤَïëهêٌèًîâàيèه

FDD è TDD

FDD è TDD

×àٌٍîٍيûé نèàïàçîي نëے àيàëèçà

2000 جأِ

2500جأِ

طèًèيà êàيàëà

ؤî 20 جأِ

ؤî 20 جأِ

خٍ لàçû

OFDMA

OFDMA

تلàçه

SC-FDMA

OFDMA

رïهêًٍàëüيàے ‎ôôهêٍèâيîٌٍü, لèٍ / أِ

حèٌُîنےùèé êàيàë, MIMO (2ُ2)

1,57

1,59

آîٌُîنےùèé êàيàë, SIMO (1ُ2)

0,64

0,99

جàêٌèىàëüيàے ٌêîًîٌٍü ىîلèëüيîé ٌٍàيِèè êى

350

120

ؤëèٍهëüيîٌٍü êàنًà, ىٌ

1

5

ہيٍهييûه ٌèٌٍهىû

حèٌُîنےùèé êàيàë

2ُ2, 2ُ4, 4ُ2, 4ُ4

2ُ2, 2ُ4, 4ُ2, 4ُ4

حèٌُîنےùèé êàيàë

1ُ2, 1ُ4, 2ُ2, 2ُ4

1ُ2, 1ُ4, 2ُ2, 2ُ4


ذèٌ. 2.1. رًàâيهيèه ًٌهنيهé ٌïهêًٍàëüيîé ‎ôôهêٍèâيîٌٍè

خٍىهٍèى, ÷ٍî ïًهèىَùهٌٍâî â ٌïهêًٍàëüيîé ‎ôôهêٍèâيîٌٍè îçيà÷àهٍ âûèمًûّ â ٌٍîèىîٌٍè ًàçâهًٍûâàيèے ٌهٍè (â ٍîى ÷èٌëه â َنهëüيîé ٌٍîèىîٌٍè ïî îٍيîّهيè‏ ê ïًîïٌَêيîé ٌïîٌîليîٌٍè ٌهٍè). تًîىه ٍîمî, âîçًàٌٍàهٍ êàيàëüيàے هىêîٌٍü, ÷ٍî ïîçâîëےهٍ îïهًàٍîًàى ââîنèٍü نîïîëيèٍهëüيûه ٌهًâèٌû. جîلèëüيûé WiMAX ïًهنٌٍàâëےهٍ مëàنêَ‏ IP-ٌهٍü, ٌهٍü LTE لîëهه ٌëîويà (ذèٌ. 2.2).

ذèٌ. 2.2. رًàâيهيèه ٌèٌٍهىيûُ àًُèٍهêًٍَ ٌهٍهé WiMAX è LTE

إٌëè ٌهٍü WiMAX îٌيîâûâàهٌٍے ïîëيîٌٍü‏ يà IP-ïًîٍîêîëàُ IEEE, ٍî ٌهٍü LTE لîëهه ٌëîويà, âêë‏÷àهٍ لîëüّه ïًîٍîêîëîâ, â ٍîى ÷èٌëه ïًîïًèهٍàًيûه ïًîٍîêîëû 3G. حهىàëîâàويî, ÷ٍî èيٍهëëهêٍَàëüيàے ٌîلٌٍâهييîٌٍü â îلëàٌٍè ٍهُيîëîمèé WiMAX, ٌîîٍâهٌٍٍâَ‏ùèه ïàٍهيٍû ًàٌïًهنهëهيû ًٌهنè ىيîمèُ êîىïàيèé, ٌîçنàي îٍêًûٍûé ïàٍهيٍيûé àëüےيٌ, ÷ٍî ïîçâîëےهٍ ٌيèوàٍü ِهيû àلîيهيٌٍêèُ ًٌٍَîéٌٍâ.

آûâîنû ًٌàâيهيèے WiMAX è LTE:

·        WiMAX, è LTE îٍâه÷à‏ٍ ِهëےى IMT-Advanced;

·        رïهِèôèêàِèè IMT-Advancedهùه يه ïîëيîٌٍü‏ îïًهنهëهيû;

·        رٍàينàًٍ IEEE802.16m لَنهٍ ïîëيîٌٍü‏ îًٍàوàٍü ٌïهِèôèêàِèè è ًٍهلîâàيèے IMT-Advanced;

·        جîلèëüيûé WiMAX ًهëèç 1.5 è LTE èىه‏ٍ ïîُîوèه ُàًàêٍهًèٌٍèêè. آ îلîèُ يà ëèيèè îٍ لàçû èٌïîëüçَهٌٍے OFDMAٌ ىيîمîًَîâيهâîé ىîنَëےِèهé è êîنèًîâàيèهى. دèêîâûه ٌêîًîٌٍè ïًàêٍè÷هٌêè îنèيàêîâû ïًè îنèيàêîâûُ êًàٍيîٌٍےُ ىîنَëےِèè è ٌêîًîٌٍےُ êîًًهêٍèًَ‏ùهمî êîنà. آ îلîèُ èٌïîëüçَهٌٍے è FDD, è TDD نَïëهêٌèًîâàيèهïًè ّèًèيه êàيàëà نî 20 جأِ. آ îلîèُ èٌïîëüçَهٌٍے MIMO لîëüّîé êًàٍيîٌٍè è َىهيüّهيèه çàنهًوêè;

·        جîلèëüيûé WiMAX èىههٍ نâَُëهٍيèé âûèمًûّ ïî âًهىهيè âûُîنà يà ًûيîê è مëàنêَ‏ e2e IP àًُèٍهêًٍََ ٌهٍè;

·        دًîïٌَêيàے ٌïîٌîليîٌٍü è ٌïهêًٍàëüيàے ‎ôôهêٍèâيîٌٍü ىîلèëüيîمî WiMAX ïî ًهëèçَ 2.0 èىههٍ ëَ÷ّèه ïàًàىهًٍû, ÷هى LTE;

·        جîلèëüيûé WiMAX ًهëèç 2.0 ٌîâىهٌٍèى ٌ ًهëèçàىè 1.0 è 1.5;

·        بيâهٌٍèِèè نëے ïًهîلًàçîâàيèے ٌهٍهé èç 2G/3Gâ LTEè â ىîلèëüيûé WiMAX ïًèىهًيî îنèيàêîâû;

·        ب نëے ٌهٍهé LTE, è نëے ٌهٍهé WiMAX يهîلُîنèى يîâûé ٌïهêًٍ;

·        ؤëے îلîèُ ٌهٍهé يَويû ىيîمîًهوèىيûه àلîيهيٌٍêèه ïًèلîًû;

 

2.3 رًàâيهيèه êë‏÷هâûُ ٍهُيîëîمèé WiMAX è Wi-Fi


رًàâيهيèے è ïٍَàيèِà ىهونَ WiMAX è Wi-Fi ےâëے‏ٌٍے ÷àٌٍûىè, ïîٌêîëüêَ îلà îيè ٌâےçàيû ٌ لهٌïًîâîنيîé ٌâےçü‏ è نîٌٍَïîى â بيٍهًيهٍ.èٌïîëüçَهٍ ٌïهêًٍ, ÷ٍîلû نîٌٍàâèٍü «ٍî÷êà-ٍî÷êà ïîنêë‏÷هيèے ê بيٍهًيهٍَ. ذàçëè÷يûه 802,16 ٌٍàينàًٍû ïًهنٌَىàًٍèâà‏ٍ ًàçëè÷يûه âèنû نîٌٍَïà ٌ ïîًٍàٍèâيûُ êîىىٍَàٍîًîâ (ïî àيàëîمèè ٌ لهٌïًîâîنيûى ٍهëهôîيîى) نëے ôèêٌèًîâàييîمî (àëüٍهًيàٍèâà ïًîâîنيîمî نîٌٍَïà, منه لهٌïًîâîنيûه ٍî÷êè ïîنêë‏÷هيèے êîيه÷يûُ ïîëüçîâàٍهëهé çàôèêٌèًîâàيà â ًهمèîيه.)Fi èٌïîëüçَهٍ يهëèِهيçèîييîه ٌïهêًٍ نëے ïًهنîٌٍàâëهيèے نîٌٍَïà ê ٌهٍè. Wi-Fi لîëهه ïîïَëےًيà â ًٌٍَîéٌٍâàُ êîيه÷يûُ ïîëüçîâàٍهëهé.è Wi-Fi èىه‏ٍ ٌîâهًّهييî ًàçëè÷يûه êà÷هٌٍâà îلٌëَوèâàيèے (QoS) ىهُàيèçىîâ. WiMAX èٌïîëüçَهٍ ىهُàيèçى, îٌيîâàييûé يà ٌâےçè ىهونَ لàçîâîé ٌٍàيِèهé è ًٌٍَîéٌٍâîى ïîëüçîâàٍهëے. تàونîه ٌîهنèيهيèه îٌيîâàيî يà êîيêًهٍيûُ àëمîًèٍىîâ ïëàيèًîâàيèے. Wi-Fi èىههٍ ىهُàيèçى QoS àيàëîمè÷يûه ôèêٌèًîâàييîé Ethernet, منه ïàêهٍû ىîمٍَ ïîëَ÷àٍü ًàçëè÷يûه ïًèîًèٍهٍû يà îٌيîâه èُ ٍهمîâ.Fi ًàلîٍàهٍ يà Media Access Control 'S CSMA / CA ïًîٍîêîë, êîٍîًûé يه مàًàيٍèًَهٍ نîٌٍàâêَ è ٍَâهًونهيèے îٌيîâàيû, â ٍî âًهىے êàê WiMAX ًàلîٍàهٍ îًèهيٍèًîâàييûé يà ٌîهنèيهيèه دؤت.ïًîôèëè îïًهنهëهيèے ًàçىهًà êàيàëà, TDD / FDD è نًَمèىè يهîلُîنèىûىè àًٍèلٍَàىè نëے ٍîمî, ÷ٍîلû èىهٍü Inter-îïهًàِèîييûُ ïًîنَêٍîâ. حûيهّيèé ôèêٌèًîâàييûé ïًîôèëè îïًهنهëے‏ٌٍے êàê نëے FDD è TDD ïًîôèëهé. حà نàييûé ىîىهيٍ, âٌه ىîلèëüيûه ïًîôèëü TDD ٍîëüêî. دًîôèëè èىه‏ٍ ôèêٌèًîâàييûه ًàçىهًû êàيàëà 3,5 جأِ, 5 جأِ, 7 جأِ è 10 جأِ. جîلèëüيûه ïًîôèëè 5 جأِ, 8,75 جأِ è 10 جأِ. (دًèىه÷àيèه: 802,16 ٌٍàينàًٍ ïîçâîëےهٍ مîًàçنî لîëهه ّèًîêèé êًَم êàيàëîâ, يî ٍîëüêî âûّه ïîنىيîوهٌٍâà ïîننهًوèâà‏ٌٍے ïًîôèëè WiMAX.)

خوèنàهٌٍے, ÷ٍî WiMAX ٌىîوهٍ îلهٌïه÷èٍü âûٌîêîٌêîًîٌٍيîé لهٌïًîâîنيîé نîٌٍَï ïًîùه è نهّهâëه, ÷هى ٌَùهٌٍâَ‏ùèه ٍهُيîëîمèè ٌîٍîâîé ٌâےçè. فٍà ٍهُيîëîمèے ٍàêوه èىههٍ âîçىîويîٌٍè ىàٌٍّàلèًîâàيèے, لëàمîنàًے êîٍîًûى ىîويî îًمàيèçîâàٍü يهنîًîمîé ّèًîêîïîëîٌيûé نîٌٍَï ïî âٌهé بينèè. ءهٌïًîâîنيàے èيôًàًٌٍَêًٍَà WiMAX ىîوهٍ ًàٌّèًےٍüٌے, ÷ٍîلû îلهٌïه÷èٍü ïîننهًوêَ êàًىàييûُ è ىîلèëüيûُ ًٌٍَîéٌٍâ, êîٍîًûه ïîےâےٌٍے â لَنَùهى. فٍî نàهٍ نîïîëيèٍهëüيûه ïًهèىَùهٌٍâà نëے ًٌٍàي ٌ ًàçâèâà‏ùهéٌے ‎êîيîىèêîé, ïîنîليûى بينèè, êîٍîًûه ïîêà يه èىه‏ٍ ًàçâèٍîé ّèًîêîïîëîٌيîé èيôًàًٌٍَêًٍَû.

ءëàمîنàًے ٍîىَ, ÷ٍî ٍهُيîëîمèے WiMAX îٌيîâàيà يà ٌٍàينàًٍàُ, îيà نîïٌَêàهٍ ïîëîوèٍهëüيûé ‎ôôهêٍ ىàٌٍّàلà, êîٍîًûé ٌىîوهٍ َىهيüّèٍü ٌٍîèىîٌٍü ّèًîêîïîëîٌيîمî نîٌٍَïà, îلهٌïه÷èٍü âîçىîويîٌٍü âçàèىîنهéٌٍâèے è َïًîٌٍèٍü ًهàëèçàِè‏. آ ٌëَ÷àه îٌٌٍٍٍَâèے ٌٍàينàًٍîâ ïًîèçâîنèٍهëè ٌïهِèàëèçèًîâàييîمî îلîًَنîâàيèے ïًهنëàمà‏ٍ ïîëيûé êîىïëهêٌ àïïàًàٍيûُ è ïًîمًàىىيûُ êîىïîيهيٍîâ, è èç-çà îمًàيè÷èٍهëüيîمî ëèِهيçèًîâàيèے َâهëè÷èâà‏ٌٍے ًàٌُîنû. دîٌٍàâùèêàى ٌَëَم âûمîنيهه ًàلîٍàٍü ٌî ٌٍàينàًٍيîé ïًîنَêِèهé, ٍ. ê. ٌîâىهٌٍèىîٌٍü ًàçëè÷يûُ ًٌٍَîéٌٍâ è لîëüّèه îلْهىû âûïٌَêà ïîçâîëے‏ٍ ٌîêًàٍèٍü ٌٍîèىîٌٍü îلîًَنîâàيèے [5].

3. خلîٌيîâàيèه ‎ëهىهيٍîâ ٌهٍè ٌâےçè

 

3.1 رًٍَêًٍَà ٌهٍè ٌâےçè


ءàçîâàے ٌٍàيِèے (ءر, BS - Base Station) ًàçىهùàهٌٍے â çنàيèè èëè يà âûّêه è îٌَùهٌٍâëےهٍ ٌâےçü ٌ àلîيهيٌٍêèىè ٌٍàيِèےىè (ہر, SS Subscriber Station) ïî ٌُهىه ٍî÷êà - ىَëüٍèٍî÷êà (Point to Multipoint PMP). آîçىîوهي ٌهٍî÷يûé ًهوèى ٌâےçè (Mesh - ٌهٍêà ٌâےçهé ―ٍî÷êà ٍî÷êà - PTP), êîمنà ë‏لûه êëèهيٍû (ہر) ىîمٍَ îٌَùهٌٍâëےٍü ٌâےçü ىهونَ ٌîلîé يهïîًٌهنٌٍâهييî, à àيٍهييûه ٌèٌٍهىû, êàê ïًàâèëî, ےâëے‏ٌٍے يهيàïًàâëهييûىè. ءر ïًهنîٌٍàâëےهٍ ٌîهنèيهيèه ٌ îٌيîâيîé ٌهٍü‏ è ًàنèî - êàيàëû ê نًَمèى ٌٍàيِèےى. ذàنèٌَ نهéٌٍâèے ءر ىîوهٍ نîٌٍèمàٍü 30 êى ٌëَ÷àه ïًےىîé âèنèىîٌٍè) ïًè ٍèïîâîى ًàنèٌَه ٌهٍè 6-8 êى. ہر ىîوهٍ لûٍü ًàنèîٍهًىèيàëîى èëè ïîâٍîًèٍهëهى, êîٍîًûé èٌïîëüçَهٌٍے نëے îًمàيèçàِèè ëîêàëüيîمî ًٍàôèêà. زًàôèê ىîوهٍ ïًîُîنèٍü ÷هًهç يهٌêîëüêî ïîâٍîًèٍهëهé, ïًهونه ÷هى نîٌٍèميهٍ êëèهيٍà. ہيٍهييû â ‎ٍîى ٌëَ÷àه ےâëے‏ٌٍے يàïًàâëهييûىè.

تàيàë ٌâےçè ïًهنïîëàمàهٍ يàëè÷èه نâَُ يàïًàâëهيèé ïهًهنà÷è: âîٌُîنےùèé êàيàë (ہر - ءر, uplink) è يèٌُîنےùèé (ءر - ہر, downlink). فٍè نâà êàيàëà èٌïîëüçَ‏ٍ ًàçيûه يهïهًهêًûâà‏ùèهٌے ÷àٌٍîٍيûه نèàïàçîيû ïًè ÷àٌٍîٍيîى نَïëهêٌه è ًàçëè÷يûه èيٍهًâàëû âًهىهيè ïًè âًهىهييîى نَï - ëهêٌه.

دًîٌٍهéّèé ٌïîٌîل ïًهنٌٍàâëهيèے àًُèٍهêًٍَû ٌهٍهé WiMAX çàêë‏÷àهٌٍے â èُ îïèٌàيèè êàê ٌîâîêَïيîٌٍè ءر, êîٍîًûه ًàٌïîëàمà‏ٌٍے يà êًûّàُ âûٌîٍيûُ çنàيèé èëè âûّêàُ, è êëèهيٌٍêèُ ïًèهىî-ïهًهنàٍ÷èêîâ (ذèٌ. 3.1).

ذèٌ. 3.1. رُهىàٍè÷يîه èçîلًàوهيèه ٌهٍè WiMAX

ذàنèîٌهٍü îلىهيà نàييûىè ىهونَ ءر è ہر ًàلîٍàهٍ â رآ×-نèàïàçîيه îٍ 2 نî 11 أأِ. زàêàے ٌهٍü â èنهàëüيûُ ٌَëîâèےُ ىîوهٍ îلهٌïه÷èٍü ٍهُيè÷هٌêَ‏ ٌêîًîٌٍü ïهًهنà÷è èيôîًىàِèè نî 75 جلèٍ/ٌ è يه ًٍهلَهٍ ٍîمî, ÷ٍîلû ءر يàُîنèëàٌü يà ًàٌٌٍîےيèè ïًےىîé âèنèىîٌٍè îٍ ïîëüçîâàٍهëے.

ؤèàïàçîي ÷àٌٍîٍ îٍ 10 نî 66 أأِ èٌïîëüçَهٌٍے نëے ٌٍَàيîâëهيèے ٌîهنèيهيèے ىهونَ ٌîٌهنيèىè لàçîâûىè ٌٍàيِèےىè ïًè ٌَëîâèè, ÷ٍî îيè ًàٌïîëàمà‏ٌٍے â çîيه ïًےىîé âèنèىîٌٍè نًَم îٍ نًَمà. زàê êàê â مîًîنٌêîé ًٌهنه ‎ٍî ٌَëîâèه ىîوهٍ îêàçàٍüٌے يهâûïîëيèىûى, ٌâےçü ىهونَ لàçîâûىè ٌٍàيِèےىè èيîمنà îًمàيèçَ‏ٍ ïîًٌهنٌٍâîى ïًîêëàنêè êàلهëهé.

دًè لîëهه نهٍàëüيîى ًàٌٌىîًٍهيèè ٌهٍü WiMAX ىîويî îïèٌàٍü êàê ٌîâîêَïيîٌٍü لهٌïًîâîنيîمî è لàçîâîمî (îïîًيîمî) ٌهمىهيٍîâ. دهًâûé îïèٌûâàهٌٍے â ٌٍàينàًٍه IEEE 802.16, âٍîًîé îïًهنهëےهٌٍے ٌïهِèôèêàِèےىè WiMAX Forum. ءàçîâûé ٌهمىهيٍ îلْهنèيےهٍ âٌه àٌïهêٍû, يه îٍيîٌےùèهٌے ê àلîيهيٌٍêîé ًàنèîٌهٍè, ٍ.ه. ٌâےçü لàçîâûُ ٌٍàيِèé نًَم ٌ نًَمîى, ٌâےçü ٌ ëîêàëüيûىè ٌهٍےىè (â ٍîى ÷èٌëه, èيٍهًيهٍîى) è ٍ.ï. ءàçîâûé ٌهمىهيٍ îٌيîâûâàهٌٍے يà IP-ïًîٍîêîëه è ٌٍàينàًٍه IEEE 802.3-2005 (Ethernet). خنيàêî ٌàىî îïèٌàيèه àًُèٍهêًٍَû â ÷àٌٍè, يه îٍيîٌےùهéٌے ê لهٌïًîâîنيîé êëèهيٌٍêîé ٌهٍè, ٌîنهًوèٌٍے â نîêَىهيٍàُ WiMAX Forum, îلْهنèيهييûُ ïîن îلùèى يàçâàيèهى ―Network Architecture‖.

ذèٌ. 3.2. ہًُèٍهêًٍَà ٌهٍè WIMAX

آ ‎ٍèُ ٌïهِèôèêàِèےُ ê ٌهٍےى WiMAX ïًهنْےâëے‏ٌٍے ٍàêèه ًٍهلîâàيèے, êàê يهçàâèٌèىîٌٍü àًُèٍهêًٍَû îٍ ôَيêِèé è ًٌٍَêًٍَû ًٍàيٌïîًٍيîé IP-ٌهٍè. آ ٍî وه âًهىے, نîëويû îلهٌïه÷èâàٍüٌے ٌَëَمè, îٌيîâàييûه يà ïًèىهيهيèè IP-ïًîٍîêîëà (SMS over IP, MMS, WAP è نً.), à ٍàêوه ىîلèëüيàے ٍهëهôîيèے يà îٌيîâه VoIP è ىَëüٍèىهنèéيûه ٌَëَمè. خلےçàٍهëüيûى ےâëےهٌٍے ٌَëîâèه ïîننهًوêè àًُèٍهêًٍَîé ïًîٍîêîëîâ IPv4 è IPv6. رهٍè WiMAX نîëويû لûٍü ëهمêî ىàٌٍّàلèًَهىûىè è مèلêî èçىهيےهىûىè è îٌيîâûâàٍüٌے يà ïًèيِèïه نهêîىïîçèِèè (ًٌٍîèٍüٌے يà îٌيîâه ٌٍàينàًٍيûُ ëîمè÷هٌêèُ ىîنَëهé, îلْهنèيےهىûُ ÷هًهç ٌٍàينàًٍيûه èيٍهًôهéٌû).

رâîéٌٍâà ىàٌٍّàلèًَهىîٌٍè è مèلêîٌٍè يهîلُîنèىî îلهٌïه÷èâàٍü ïî ٍàêèى ‎êٌïëَàٍàِèîييûى ُàًàêٍهًèٌٍèêàى, êàê ïëîٍيîٌٍü àلîيهيٍîâ, مهîمًàôè÷هٌêàے ïًîٍےوهييîٌٍü çîيû ïîêًûٍèے, ÷àٌٍîٍيûه نèàïàçîيû, ٍîïîëîمèے ٌهٍè, ىîلèëüيîٌٍü àلîيهيٍîâ.                                                

رهٍè WiMAX نîëويû ïîننهًوèâàٍü âçàèىîنهéٌٍâèه ٌ نًَمèىè لهٌïًîâîنيûىè (3GPP, 3GPP2) èëè ïًîâîنيûىè (DSL) ٌهٍےىè. ءîëüّîه çيà÷هيèه èىههٍ ٌïîٌîليîٌٍü îلهٌïه÷èâàٍü ًàçëè÷يûه ًَîâيè êà÷هٌٍâà îلٌëَوèâàيèے QoS [6].

 

3.2 شَيêِèîيàëüيàے ٌُهىà ٌهٍè ٌâےçè

 

3.2.1 ءàçîâàے ىîنهëü ٌهٍè

رïهِèôèêàِèè ٌٍàينàًٍà WiMAX îïًهنهëے‏ٍ ïهًهنà÷َ ًٍàôèêà è ٌèميàëüيûé îلىهي ٍîëüêî يà ًàنèîèيٍهًôهéٌه. ×ٍî êàٌàهٌٍے ٌîهنèيهيèے ءر ٌ بيٍهًيهٍîى, ٌهٍےىè لهٌïًîâîنيîمî نîٌٍَïà è ٌهٍےىè ًàçëè÷يûُ îïهًàٍîًîâ, ًهّهيèے ïî àًُèٍهêًٍَه ٌهٍè ïًèيèىàهٍ îïهًàٍîً ٌîâىهٌٍيî ٌ ïًîèçâîنèٍهëهى. آ ِهëےُ َيèôèêàِèè è îïًهنهëهييîé îïٍèىèçàِèè WiMAX Forum ïًهنëîوهيà لàçîâàے àًُèٍهêًٍَà ٌهٍè (ًèٌ. 3.3).

حà ذèٌ. 3.3 ïîêàçàيà NRM (network reference model - لàçîâàے ىîنهëü ٌهٍè) WiMAX, êîٍîًàے ےâëےهٌٍے ëîمè÷هٌêèى ïًهنٌٍàâëهيèهى ٌهٍهâîé àًُèٍهêًٍَû. NRM ًàçنهëےهٍ ٌèٌٍهىَ يà ًٍè ëîمè÷هٌêèه ÷àٌٍè:

. ىîلèëüيûه ٌٍàيِèè, èٌïîëüçَهىûه àلîيهيٍàىè نëے ïîëَ÷هيèے نîٌٍَïà ê ٌهٍè;

. ASN (access services network) - ٌهٍü نîٌٍَïà ê ٌَëَمàى, êîٍîًàے ےâëےهٌٍے ٌîلٌٍâهييîٌٍü‏ îïهًàٍîًà نîٌٍَïà ê ٌهٍè (NAP - Network Access Provider); ASN ٌîٌٍîèٍ èç îنيîé èëè يهٌêîëüêèُ لàçîâûُ ٌٍàيِèé, êîٍîًûىè َïًàâëےهٍ îنèي èëè يهٌêîëüêî ّë‏çîâ ASN (ASN-GW).

. CSN (connectivity services nerwork) - ïîنٌهٍü îïهًàٍîًà, îلهٌïه÷èâà‏ùàے âûُîن يà IP è نًَمèه ٌهٍè نëے ًهàëèçàِèè àلîيهيٌٍêèُ ٌَëَم. فٍà ïîنٌهٍü îلهٌïه÷èâàهٍ يهîلُîنèىûه êîىىٍَàِèîييûه ôَيêِèè è ôَيêِèè لهçîïàٌيîٌٍè. ہلîيهيٍà ىîوهٍ îلٌëَوèâàٍü îïهًàٍîً نîىàّيهé ٌهٍè NSP (Network Services Provider). ہلîيهيٍ ىîوهٍ ٍàêوه يàُîنèٍüٌے â ًîَىèيمه. آ ‎ٍîى ٌëَ÷àه همî îلٌëَوèâàهٍ îïهًàٍîً âèçèٍيîé ٌهٍè; ïًè ‎ٍîى ïًîèٌُîنèٍ îلىهي ٌèميàëüيîé èيôîًىàِèهé CSN âèçèٍيîمî è نîىàّيهمî îïهًàٍîًà.

ذèٌ. 3.3. ءàçîâàے ىîنهëü ٌهٍè

âûïîëيےهٍ ٌëهنَ‏ùèه ôَيêِèè:

1.       ٌîهنèيهيèه يà ًَîâيه L2 ٌ ہر;

2.       ïîèٌê è âûلîً ٌهٍè يà îٌيîâه ïًهنïî÷ٍهيèé àلîيهيٍà î CSN/NSP;

3.       îلهٌïه÷هيèه لهçîïàٌيîٌٍè: ïهًهنà÷à نàييûُ îل ًٌٍَîéٌٍâàُ, ïîëüçîâàٍهëےُ, è ٌَëَمàُ, ٌهًâهًَ لهçîïàٌيîٌٍè, âًهىهييîه ًُàيهيèه ïًîôèëهé ïîëüçîâàٍهëهé;

4.       îًمàيèçàِèے ٌêâîçيûُ IP-ٌîهنèيهيèé ىهونَ ہر è CSN;

5.       َïًàâëهيèه ًàنèîًهًٌٌَîى (RRM) â ٌîîٍâهٌٍٍâèè ٌ êëàٌٌîى ًٍàôèêà è ًٍهلَهىûى QoS;

6.       îلهٌïه÷هيèه ىîلèëüيîٌٍè, ٍ.ه. âûïîëيهيèه ïًîِهنًَ ُينîâهًà, ëîêàëèçàِèè è ïهéنوèيمà.Forum îïًهنهëèë ًàçëè÷يûه ٌïîٌîلû îًمàيèçàِèè ASN, ïîëَ÷èâّèه يàçâàيèه ïًîôèëهé. رَùهٌٍâَ‏ٍ ïًîôèëè A, B, C. طë‏ç ASN ïًهنٌٍàâëےهٍ ëîمè÷هٌêîه ًٌٍَîéٌٍâî, êîٍîًîه ىîوهٍ لûٍü îًمàيèçîâàيî ïî-ًàçيîىَ. دًîôèëü B ASN ïًهنٌٍàâëےهٍ ïًîٌٍَ‏ îًمàيèçàِè‏, êîٍîًàے âêë‏÷àهٍ ءر è ّë‏ç ASN. دًîôèëè A è C ًàçنهëے‏ٍ ôَيêِèè ىهونَ ءر è ّë‏çîى ASN ïî-ًàçيîىَ, à èىهييî, â َïًàâëهيèè ىîلèëüيîٌٍü‏ è ًàنèîًهًٌٌَàىè.

شَيêِèîيàëüيî ءر îلهٌïه÷èâàهٍ êàê îنèي ٌهêٍîً ٌ âûنهëهييûى ÷àٌٍîٍيûى نèàïàçîيîى, ïîننهًوèâàے èيٍهًôهéٌ IEEE 802.16e ٌ ہر. ؤîïîëيèٍهëüيûه ôَيêِèè, âûïîëيےهىûه ءر â îلîèُ ïًîôèëےُ, âêë‏÷à‏ٍ ًàٌïًهنهëهيèه نëے âîٌُîنےùهمî è يèٌُîنےùهمî êàيàëîâ, êëàٌٌèôèêàِè‏ ًٍàôèêà è SFM (َïًàâëهيèه ٌهًâèٌيûى ïîٍîêîى). دًè ‎ٍîى نîëويû لûٍü âûïîëيهيû ًٍهلîâàيèے ïî QoS نëے ًàçëè÷يûُ êëàٌٌîâ ًٍàôèêà, ïهًهنàâàهىûُ ïî ًàنèîèيٍهًôهéٌَ. ءر ٍàêوه َïًàâëےهٍ ٌٍàٌٍَîى ہر (àêٍèâيûé, يهًàلîٍà‏ùèé), ïîننهًوèâàهٍ ٍَييهëüيûé ïًîٍîêîë â يàïًàâëهيèè ê ّë‏çَ ASN, îلهٌïه÷èâàهٍ ٌ ïîىîùü‏ ٌهًâهًà DHCP نèيàىè÷هٌêèىè àنًهٌàىè. ءر ٍàêوه ًٍàيٌëèًَهٍ ٌèميàëüيûé îلىهي ïî ïًîٍîêîëàى MM, îلهٌïه÷èâàے âٌه ًَîâيè çàùèٍû, ïًهنٌَىîًٍهييûه ٌٍàينàًٍîى. ءر ىîوهٍ لûٍü ïîنêë‏÷هيà îنيîâًهىهييî ê نâَى ّë‏çàى نëے لàëàيٌà يàمًَçêè.

طë‏ç ASN ےâëےهٌٍے îٌيîâيûى ‎ëهىهيٍîى ٌهٍè. آî âًهىے ٌهàيٌîâ ٌâےçè ّë‏ç îًمàيèçَهٍ ُينîâهً àلîيهيٍàى è ïهéنوèيم ہر, َïًàâëےهٍ نîٌٍَïîى ê ٌهٍè. ؤëے êàونîمî ïîنٌîهنèيهييîمî àلîيهيٍà â ّë‏çه îٍêًûٍà لàçà نàييûُ, ٌîنهًوàùàے ïًîôèëè àلîيهيٍà è êë‏÷è ّèôًîâàيèے. حà ّë‏ç âîçëîوهيû çàنà÷è àâٍîًèçàِèè ïîٍîêà ٌَëَم ٌîمëàٌيî ïًîôèë‏ àلîيهيٍîâ è QoS. آ يàïًàâëهيèè ءر ّë‏ç ïîننهًوèâàهٍ ٍَييهëüيîه ٌîهنèيهيèه; â يàïًàâëهيèè ےنًà ٌهٍè (CSN) ّë‏ç îًمàيèçَهٍ ٌîهنèيهيèه ïî ٌٍàينàًٍيîىَ IP ïًîٍîêîëَ.

آ ٍàلëèِه. 3.1 ïîêàçàيî ًàçنهëهيèه ôَيêِèé â ASN ىهونَ ءر è ّë‏ç ASN â ٌîîٍâهٌٍٍâèè ٌ ïًîôèëےىè ASN, ٌٍَàيîâëهييûىè WiMAX Forum. دًîôèëü B ُàًàêٍهًèçَهٌٍے èيٍهمًàِèهé â îنيîى ‎ëهىهيٍه. دًîôèëü ِهëهٌîîلًàçيî èٌïîëüçîâàٍü â يهلîëüّèى ïî îلْهىَ ٌهٍےُ. دًîôèëè A è C ïًهنٌَىàًٍèâà‏ٍ îًمàيèçàِè‏ ّë‏çà â âèنه îٍنهëüيîمî ôَيêِèîيàëüيîمî َçëà. خٍëè÷èه ىهونَ ïًîôèëےىè ہ è ر يهçيà÷èٍهëüيû. آ ïًîôèëه A çà ُينîâهً îٍâه÷àهٍ ّë‏ç ASN; â ïًîôèëه C ‎ٍî ءر, à ّë‏ç ASN âûïîëيےهٍ ôَيêِè‏ ïهًهêë‏÷هيèے ïًè ُينîâهًه. آ ïًîôèëه A َïًàâëهيèه ًàنèîًهًٌٌَàىè îٌَùهٌٍâëےهٍ ّë‏ç ASN, ÷ٍî ïîçâîëےهٍ نèيàىè÷هٌêè ïهًهًàٌïًهنهëےٍü ًàنèîًهًٌٌَ ىهونَ ًàçيûىè ءر. آ ïًîôèëه C ًàنèîًهًٌٌَ ôèêٌèًîâàي نëے êàونîé ءر è همî يàçيà÷هيèه نëے êîيêًهٍيûُ àلîيهيٍîâ ïًîèçâîنèٍ ٌàىà ءر.

زàلëèِà 3.1

دًîِهنًَà

شَيêِèے

بىے îلْهêٍà ASN


دًîôèëü A

دًîôèëü B

دًîôèëü C

ءهçîïàٌيîٌٍü

ہٍَهيٍèôèêàٍîً

طë‏ç ASN

ASN

طë‏ç ASN


ذهًٍàيٌëےٍîً àٍَهيٍèôèêàِèè

ءر

ASN

ءر


ذàٌïًهنهëèٍهëü êë‏÷هé

طë‏ç ASN

ASN

طë‏ç ASN


دîëَ÷àٍهëü êë‏÷هé

ءر

ASN

ءر

جîلèëüيîٌٍü

جàًًٍَّèçàِèے ïîٍîêà نàييûُ

طë‏ç ASN è ءر

ASN

طë‏ç ASN è ءر


سïًàâëهيèه ُينîâهًîى

طë‏ç ASN

ASN

ءر


رهًâهً êîيٍهêٌٍà (لَôهً)

طë‏ç ASN è ءر

ASN

طë‏ç ASN è ءر


دخ ىîلèëüيîمî èيٍهًيهٍà

طë‏ç ASN

ASN

طë‏ç ASN

سïًàâëهيèه ًàنèîًهًٌٌَàىè

تîيًٍîëëهً ًàنèîًهًٌٌَîâ

طë‏ç ASN

ASN

ءر

ءر

ASN

ءر

دهéنوèيم

دخ ïهéنوèيمà

ءر

ASN

ءر


سïًàâëهيèه ïهéنوèيمîى

طë‏ç ASN

ASN

طë‏ç ASN

QoS

ہâٍîًèçàِèے ٌهًâèٌيîمî ïîٍîêà

طë‏ç ASN

ASN

طë‏ç ASN


سïًàâëهيèه ٌهًâèٌيûى ïîٍîêîى

ءر

ASN

ءر

îلهٌïه÷èâàهٍ ٌëهنَ‏ùèه ôَيêِèè:

1.       âûنهëهيèه àنًهٌîâ IP ہر نëے ٌهàيٌîâ ٌâےçهé;

2.       لهçîïàٌيîٌٍü â ٌهٍè, نëے ÷همî â CSN îًمàيèçَ‏ٍ ٌهًâهً AAA (authentication, authorization and accounting - àٍَهيٍèôèêàِèè, àâٍîًèçàِèè è َ÷هٍà);

3.       îًمàيèçàِè‏ ïهًهنà÷è ًٍàôèêà ٌ يهîلُîنèىûى QoS â ٌîîٍâهٌٍٍâèهى ًَîâيهى îلٌëَوèâàيèے àلîيهيٍîâ. دًè يàُîونهيèè àلîيهيٍà â ًîَىèيمه CSN نîىàّيهمî îïهًàٍîًà ïîننهًوèâàهٍ ïًîôèëü ٌَëَم àلîيهيٍà َ îلٌëَوèâà‏ùهمî îïهًàٍîًà;

4.       لèëëèيم ïًهنîٌٍàâëهييûُ àلîيهيٍَ ٌَëَم;

5.       ٍَييهëèًîâàيèه ïîٍîêîâ ىهونَ CSN ًàçëè÷يûُ îïهًàٍîًîâ ٌ ِهëü‏ îلهٌïه÷هيèے ًîَىèيمà;

6.       َïًàâëهيèه ىîلèëüيîٌٍü‏ (ُ‎ينîâهً ىهونَ ءر, َïًàâëےهىûىè ًàçëè÷يûىè ASN);

7.       âûُîن يà نًَمèه ٌهٍè, ïًهونه âٌهمî â بيٍهًيهٍ, è îلهٌïه÷هيèه ٍàêèُ ٌîâًهىهييûُ ٌَëَم êàê ëîêàëèçàِèے àلîيهيٍîâ, VoIP è ïهًهنà÷à ىَëüٍèىهنèéيîé èيôîًىàِèè

3.2.2 رٍهêè è èيٍهًôهéٌû

WiMAX NWG (network working group - مًَïïà ًàçًàلîٍêè ٌهٍè) ًàçًàلîٍàëà RP (reference points - ٌٍûêè è èيٍهًôهéٌû), ٍ.ه. êîيِهïٍَàëüيûه ٌîهنèيهيèے ىهونَ ًàçëè÷يûىè ôَيêِèîيàëüيûىè ‎ëهىهيٍàىè: ASN, رSN, ہر, ءر. رٍûêè يه âٌهمنà ےâëے‏ٌٍے ôèçè÷هٌêèىè ٌîهنèيهيèےىè, à ٍîëüêî â ٍهُ ٌëَ÷àےُ, êîمنà ôَيêِèîيàëüيû ‎ëهىهيٍû ًàٌïîëîوهيû â ًàçيûُ ىهٌٍàُ, ٍ.ه. â ًàçëè÷يûُ ôèçè÷هٌêèُ ًٌٍَîéٌٍâàُ. رëهنَهٍ îٍىهٍèٍü, ÷ٍî WiMAX Forum ïًîنîëوàهٍ ًàلîٍَ ïî ٌîâىهٌٍèىîٌٍè ًàçًàلîٍàييûُ RP يà îٌيîâه ٌïهِèôèِèًîâàييûُ يîًىàٍèâيûُ ïًîٍîêîëîâ c ِهëü‏ îلهٌïه÷هيèے ىàêٌèىàëüيîé ïًîïٌَêيîé ٌïîٌîليîٌٍè ٌهٍè. آ ٍàلëèِه. 3.2 ïًهنٌٍàâëهيû ًàçًàلîٍàييûه RP.

زàلëèِà 3.2.

رٍûê

تîيه÷يûه ٍî÷êè

خïèٌàيèه

R1

ہر è ءر

خًمàيèçَهٍ ًàنèîèيٍهًôهéٌ يà îٌيîâه IEEE 802.16e.

R2

ہر è CSN

ؤëے àٍَهيٍèôèêàِèè, àâٍîًèçàِèè, َïًàâëهيèے êîيôèمًَàِèهé IP ُîٌٍà, è َïًàâëهيèے ىîلèëüيîٌٍü‏. فٍî ëîمè÷هٌêèé èيٍهًôهéٌ ہر è CSN

R3

ASN è CSN

دîننهًوêà AAA, ïهًه÷يے ٌَëَم, âîçىîويîٌٍü َïًàâëهيèے ىîلèëüيîٌٍü‏. R3 ٍàêوه îلهٌïه÷èâàهٍ ٍَييهëèًîâàيèه IP نàييûُ ىهونَ ASN è CSN

R4

ASN è ASN

حàلîً ïًîٍîêîëîâ َïًàâëهيèے è îًمàيèçàِèè ٌêâîçيûُ êàيàëîâ, يà÷èيà‏ùèٌُے/ çàêàي÷èâà‏ùèٌُے â ًàçëè÷يûُ ًٌٍَîéٌٍâàُ âيًٍَè ASN, êîٍîًûه êîîًنèيèًَ‏ٍ ىîلèëüيîٌٍü ہر ىهونَ ASN. آ Release 1 èيٍهًôهéٌ R4 îلهٌïه÷èâàهٍ âçàèىîنهéٌٍâèه ىهونَ ًàçيîٍèïيûىè ASN

R5

CSN è CSN

حàلîً ïًîٍîêîëîâ َïًàâëهيèے è îًمàيèçàِèè ٌêâîçيûُ êàيàëîâ نëے âçàèىîنهéٌٍâèے ىهونَ نîىàّيهé è âèçèٍيîé ٌهٍےىè

R6

BS è ّë‏ç ASN

حàلîً ïًîٍîêîëîâ َïًàâëهيèے è îًمàيèçàِèè ٌêâîçيûُ êàيàëîâ âçàèىîنهéٌٍâèے ىهونَ ءر è ّë‏çîى ASN. دًîٍîêîëû îًمàيèçàِèè ٌêâîçيûُ êàيàëîâ îلهٌïه÷èâà‏ٍ ïهًهنà÷َ نàييûُ âيًٍَè ًٌٍَêًٍَû ASN èëè ٍَييهëüيûُ ٌîهنèيهيèé ىهونَ ءر è ّë‏çîى ASN.

R7

ASN-GW-DP (decision point) è ASN-GW-EP (enforcement point)

خïِèîيàëüيûé يàلîً ïًîٍîêîëîâ â ïëîٌêîٌٍè َïًàâëهيèے نëے êîîًنèيàِèè ىهونَ نâَىے مًَïïàىè ôَيêِèé, îïًهنهëهييûُ â R6 نëے ٌëîويûُ ًàçâهٍâëهييûُ ًٌٍَêًٍَ ٌهٍهé WiMAX.

R8

ءر è ءر

حàلîً ïîٍîêîâ ٌîîلùهيèé ïëîٌêîٌٍè َïًàâëهيèے è, âîçىîويî, êîىàين نëے ٌîçنàيèے ٌêâîçيûُ êàيàëîâ ىهونَ ءر نëے îًمàيèçàِèè لûًٌٍûُ è لهٌّîâيûُ ُينîâهًîâ. دخ îًمàيèçàِèè ٌêâîçيûُ êàيàëîâ ٌîٌٍîèٍ èç ïًîٍîêîëîâ, êîٍîًûه ïîçâîëے‏ٍ ïهًهنàâàٍü نàييûه ىهونَ ءر, âîâëه÷هييûىè â ُينîâهً, è îïًهنهëهييîé ہر. دخ ïëîٌêîٌٍè َïًàâëهيèے ٌîٌٍîèٍ èç ïًîٍîêîëà َïًàâëهيèے, ٌïهِèôèِèًîâàييîمî â IEEE 802.16e, è نîïîëيèٍهëüيûُ ïًîٍîêîëîâ, êîٍîًûه ïîçâîëے‏ٍ َïًàâëےٍü ïهًهنà÷هé نàييûُ ىهونَ ءر, âîâëه÷هييûىè â ُينîâهً, è îïًهنهëهييîé ہر.


ہًُèٍهêًٍَà ٌهٍè WiMAX ïîُîوà يà àًُèٍهêًٍََ ىيîمèُ IP ٌهٍهé نîٌٍَïà, منه èيôًàًٌٍَêًٍََ ًَîâيے L2 (ًَîâيے ٌîهنèيهيèé) èٌïîëüçَ‏ٍ ïًè êîيِهيًٍàِèè ًٍàôèêà èينèâèنَàëüيûُ ïîëüçîâàٍهëهé, منه يàُîنےٌٍے ‎ëهىهيٍû, êîٍîًûه îلهٌïه÷èâà‏ٍ êîيه÷يûه ïîëüçîâàٍهëüٌêèه ًٌٍَîéٌٍâà IP àنًهٌàىè نëے نîٌٍَïà ê ïًèëîوهيèےى è ٌَëَمàى. آ نàييîى ٌëَ÷àه ASN ïًهنٌٍàâëےهٍ ٌîلîé èيôًàًٌٍَêًٍََ êàيàëüيîمî ًَîâيے, îلهٌïه÷èâà‏ùَ‏ êîيِهيًٍàِè‏ êàيàëîâ, à CSN ïًهنîٌٍàâëےهٍ àلîيهيٍàى àنًهٌà IP è îلهٌïه÷èâàهٍ نîٌٍَï ê IP ïًèëîوهيèےى [7].

 

ذèٌ. 3.4. ثîمè÷هٌêîه ïًهنٌٍàâëهيèه àًُèٍهêًٍَû WiMAX.

Forum ïًهنëàمàهٍ نâà âàًèàيٍà ïًîٍîêîëüيîمî îلىهيà â ًٍàيٌïîًٍيîé ٌهٍè (ًèٌ. 3.5, ًèٌ. 3.6). ذàçëè÷èه ىهونَ ًهّهيèےىè ٌîٌٍîèٍ â îًمàيèçàِèè èيٍهًôهéٌà R6 â ïîëüçîâàٍهëüٌêîé ïëîٌêîٌٍè (ïëîٌêîٌٍè ïهًهنà÷è نàييûُ). آ ë‏لîى âàًèàيٍه نàييûه ىهونَ ءر è ّë‏çîى ASN ïهًهنà‏ٍ يà îٌيîâه ٍَييهëüيîمî ïًîٍîêîëà GPE (Generic Routing Encapsulation). حà ًèٌ. 18 ïîâهًُ يهمî ٌëهنَهٍ ïًîٍîêîë IP-Ethernet, à يà ًèٌ. 19 âîçىîويû ë‏لûه نًَمèه ٍهُيîëîمèè ïهًهنà÷è IP ïàêهٍîâ. خٍëè÷èے ٌîٌٍîےٍ â ٍîى, ÷ٍî ïهًهن ïهًهنà÷هé ïàêهٍîâ ïî ًàنèîèيٍهًôهéٌَ îًمàيèçَ‏ٍ êîيâهًمهيِè‏ (îلًàلîٍêَ çàمîëîâêîâ) ëèلî يà ًَîâيه Ethernet, ëèلî يهïîًٌهنٌٍâهييîمî يà ًَîâيه IP. حà èيٍهًôهéٌه R3 ïًè ïهًهنà÷ه نàييûُ èٌïîëüçَ‏ٍ ëîêàëüيَىàًًٍَّèçàِè‏ يà îٌيîâه IP ïًîٍîêîëîâ, èٌïîëüçَے ٍهُيîëîمè‏ IP-over-IP.

 

ذèٌ. 3.5. رٍهê ïًîٍîêîëîâ ïهًهنà÷è èيôîًىàِèè â ًٍàيٌïîًٍيîé ٌهٍè WiMAX, ٌ èٌïîëüçîâàيèهى Ethernet.

ذèٌ. 3.6. رٍهê ïًîٍîêîëîâ ïهًهنà÷è èيôîًىàِèè â ًٍàيٌïîًٍيîé ٌهٍè WiMAX, ٌ èٌïîëüçîâàيèهى IP ïًîٍîêîëîâ

 

3.3 دîنêë‏÷هيèه ê ٌهٍè (Network Entry)


دًîِهنًَà ïîنêë‏÷هيèے ê ٌهٍè - ‎ٍî ïهًâûé ّàم, êîٍîًûé نîëوهي لûٍü âûïîëيهي àلîيهيٌٍêîé ٌٍàيِèهé (ہر, Mobile Subscriber Station), وهëà‏ùهé îٌَùهٌٍâëےٍü ïًèهى / ïهًهنà÷َ èيôîًىàِèè â ٌهٍè IEEE 802.16. خٍىهٍèى, ÷ٍî êàونûé َçهë â ٌهٍè IEEE 802.16 èىههٍ َيèêàëüيûé èنهيٍèôèêàٍîً, â êà÷هٌٍâه êîٍîًîمî èٌïîëüçَهٌٍے MAC àنًهٌ ًٌٍَîéٌٍâà (48 لèٍ).

دًîِهنًَà ïîنêë‏÷هيèے ê ٌهٍè ىîوهٍ لûٍü ًàçلèٍà يà ٌëهنَ‏ùèé يàلîً ّàمîâ:

رêàيèًîâàيèه ًàنèî êàيàëà è ٌٍَàيîâêà ٌèيًُîيèçàِèè ٌ لàçîâîé ٌٍàيِèهé (ءر)

دîëَ÷هيèه ïàًàىهًٍîâ ïهًهنà÷è (èç ٌîîلùهيèے UCD, Uplink Channel Descriptor)

ذهéيوèيم (Ranging)

خلٌَونهيèه لàçîâûُ âîçىîويîٌٍهé

ہâٍîًèçàِèے ہر è îلىهي êë‏÷àىè ّèôًîâàيèے

ذهمèًٌٍàِèے ہر يà ءر

سٌٍàيîâëهيèه âîçىîويîٌٍè ٌîçنàيèے IP ٌîهنèيهيèé

سٌٍàيîâêà âًهىهيè نيے

دهًهنà÷à ïàًàىهًٍîâ ًàلîٍû

سٌٍàيîâêà è يàًٌٍîéêà ٌîهنèيهيèé

طàمè e), g), h) è i) ٌٍàينàًٍ îïًهنهëےهٍ êàê îïِèîيàëüيûه, ٍî هٌٍü يه îلےçàٍهëüيûه. ذàٌٌىîًٍèى يهêîٍîًûه èç îلےçàٍهëüيûُ ïًîِهنًَ لîëهه ïîنًîليî.

رèيًُîيèçàِèے è ïîëَ÷هيèه ïàًàىهًٍîâ ïًèهىà / ïهًهنà÷è.

رèيًُîيèçàِèے يà MAC ًَîâيه (Media Access Control, سؤر) ٌ÷èٍàهٌٍے ٌٍَàيîâëهييîé êàê ٍîëüêî ہر ٌَïهّيî ïًèيےëà è نهêîنèًîâàëà ٌîîلùهيèه DL-MAP. فٍî ٌîîلùهيèه ٌîنهًوèٍ èيôîًىàِè‏ î ًàٌïèٌàيèè ïهًهنà÷ â يèٌُîنےùهى êàيàëه, ٍî هٌٍü ًàٌïèٌàيèه ïهًهنà÷ îٍ ءر ê ہر. زàêوه ہر ïًèيèىàهٍ ٌîîلùهيèه DCD (Downlink Channel Descriptor), êîٍîًîه ٌîنهًوèٍ èيôîًىàِè‏ î ًàçëè÷يûُ ïàًàىهًٍàُ يèٌُîنےùهمî êàيàëà (èٌïîëüçَهىûه ٌُهىû êîنèًîâàيèے è ىîنهëèًîâàيèے è ٍ.ن.). دîٌëه ٌٍَàيîâëهيèے MAC ٌèيًُîيèçàِèè ہر ونهٍ ïًèهىà UCD ٌîîلùهيèے, â ‎ٍîى ٌîîلùهيèè ٌîنهًوàٌٍے يهîلُîنèىûه ïàًàىهًٍû نëے ïهًهنà÷è ïهًâîمî ٌîîلùهيèے îٍ ہر

ê ءر.

ذهéيوèيم (Ranging).

رٍàينàًٍ IEEE 802.16e îïًهنهëےهٍ 3 ًàçëè÷يûُ ٍèïà ًهéيوèيمà: يà÷àëüيûé (initial), ïهًèîنè÷هٌêèé (periodic) è ًهéيوèيم âî âًهىے ُهينîâهًà (handover). خïèٌûâàهىàے يèوه ïًîِهنًَà ًهéيوèيمà ïًهنïîëàمàهٍ, ÷ٍî â êà÷هٌٍâه ôèçè÷هٌêîمî ًَîâيے èٌïîëüçَهٌٍے OFDMA (Orthogonal Frequency DivisionMultipleAccess).

ہر نîëويà âûïîëيèٍü ïًîِهنًََ يà÷àëüيîمî ًهéيوèيمà êàê ىèيèىَى îنèي ًàç. فٍà ïًîِهنًَà يَويà نëے لîëهه ٍî÷يîé ٌèيًُîيèçàِèè ہر ïî âًهىهيè, ÷àٌٍîٍه è ىîùيîٌٍè ïهًهنà÷è. آî âًهىے ïًîِهنًَû ًهéيوèيمà ہر ïîٌûëàهٍ CDMA êîن ê ءر. ؤëے ‎ٍîمî ہر ٌëَ÷àéيûى îلًàçîى âûلèًàهٍ يîىهً êàنًà, â êîٍîًîى لَنهٍ îٌَùهٌٍâëےٍüٌے ïهًهنà÷à CDMA êîنà. ب ïîٌëه ïًèهىà è نهêîنèًîâàيèے ٌîîلùهيèے UL-MAP نëے âûلًàييîمî êàنًà è ïîëَ÷هيèے èيôîًىàِèè î ًàٌïîëîوهيèè ًهéيوèيم èيٍهًâàëà (ranging interval), ہر ٌëَ÷àéيûى îلًàçîى âûلèًàهٍ ÷àٌٍîٍيûé ïîنêàيàë, OFDM ٌèىâîë è CDMA êîن è îٌَùهٌٍâëےهٍ ïهًهنà÷َ. حà÷àëüيûé ًهéيوèيم çàيèىàهٍ, êàê ïًàâèëî, لîëüّهه ÷èٌëî OFDM ٌèىâîëîâ, ÷هى îٌٍàëüيûه âèنû ًهéيوèيمà.

ؤëے êàونîمî ٍèïà ًهéيوèيمà, à ٍàêوه نëے ïهًهنà÷è çàïًîٌà يà èٌïîëüçîâàيèه ًàنèî ًهًٌٌَà (BW Request), îٍâîنےٌٍے يه ïهًهٌهêà‏ùèهٌے ىيîوهٌٍâà CDMA êîنîâ. ءر â ٌîîلùهيèè UCD ïهًهنàهٍ èيôîًىàِè‏ î ٍîى êàêèه CDMA êîنû ٌëهنَهٍ èٌïîëüçîâàٍü ïًè ٍîى èëè èيîى ٍèïه ًهéيوèيمà, à êàêèه ïًè çàïًîٌه ًهًٌٌَà نëے ïهًهنà÷è èيôîًىàِèè. آ ًهçَëüٍàٍه âٌه ىيîوهٌٍâî CDMA êîنîâ ًàçلèâàهٌٍے يà 4 ïîنىيîوهٌٍâà (initial ranging, periodic ranging, HO ranging, BWRequest).

دîٌëه ïهًهنà÷è CDMA êîنà, ہر îوèنàهٍ îٍâهٍà îٍ ءر â âèنه RNG-RSP ٌîîلùهيèے èëè àëëîêàِèè (âûنهëهيèè ÷àٌٍè ًهًٌٌَà نëے ïهًهنà÷è èيôîًىàِèè îٍ ہر). إٌëè ïهًهنàييûé CDMA êîن لûë ٌَïهّيî ïًèيےٍ ءر è يèêàêèه نîïîëيèٍهëüيûه ïîنًٌٍîéêè ٌî ٌٍîًîيû ہر يه يَويû, ءر ٌ ïîىîùü‏ CDMA Allocation âûنهëےهٍ ہر ًهًٌٌَ نëے ïهًهنà÷è ٌîîلùهيèے RNG-REQ, â êîٍîًîى ٌîنهًوèٌٍے MAC àنًهٌ ہر. دîٌëه ïهًهنà÷è RNG-REQ ٌîîلùهيèے ہر îوèنàهٍ ïهًهنà÷è ٌîîلùهيèے RNG-RSP îٍ ءر. آ ٌîîلùهيèè RNG-RSP ٌîنهًوèٌٍے èيôîًىàِèے î ٌîٌٍîےيèè ًهéيوèيم ïًîِهنًَû. ءر ىîوهٍ âûٌٍàâèٍü îنيî èç ٌëهنَ‏ùèُ ٌîٌٍîےيèé:

خٍىهيà (Abort)

سٌïهُ (Success)

دîنًٌٍîéêà (Continue)

آ ٌëَ÷àه, êîمنà ءر ٌîîلùàهٍ îل îٍىهيه ًهéيوèيم ïًîِهنًَû, ہر نîëويà ïًهêًàٍèٍü êàêَ‏-ëèلî ïهًهنà÷َ يà نàييîى ÷àٌٍîٍيîى êàيàëه è يà÷àٍü ٌêàيèًîâàيèه نًَمèُ ÷àٌٍîٍيûُ êàيàëîâ.

آ ٌëَ÷àه, êîمنà ءر âûٌٍàâëےهٍ ٌîٌٍîےيèه «ïîنًٌٍîéêà» (continue), â ٌîîلùهيèè RNG-RSP ٌîنهًوàٌٍے çيà÷هيèے, يà êîٍîًûه ہر نîëويà ïîىهيےٍü ٌâîè ïàًàىهًٍû ïî ÷àٌٍîٍه, âًهىهيè, ىîùيîٌٍè ïهًهنà÷è. دîٌëه ïًèىهيهيèے ‎ٍèُ çيà÷هيèé, ہر نîëويà هùه ًàç îٌَùهٌٍâèٍü ïهًهنà÷َ CDMA êîنà. آ ‎ٍîى ٌëَ÷àه èٌïîëüçَهٌٍے ىهُàيèçى ïهًèîنè÷هٌêîمî ًهéيوèيمà.

آ ٌëَ÷àه, êîمنà ءر îïًهنهëےهٍ ٌîٌٍîےيèه ًهéيوèيم ïًîِهنًَû êàê «ٌَïهُ» (success), ‎ٍî çيà÷èٍ, ÷ٍî ïًîِهنًَà يà÷àëüيîمî ًهéيوèيمà ٌَïهّيî çàâهًّهيà. ب â ٌîîلùهيèè RNG-RSP ٌîنهًوàٌٍے çيà÷هيèے Basic è Primary CID (Connection IDentifier). فٍè çيà÷هيèے (CIDs) îïًهنهëے‏ٍ َïًàâëے‏ùèه ٌîهنèيهيèے ءر ٌ ہر ٌèٌٍهىه IEEE 802.16 êàونîه ٌîهنèيهيèه èىههٍ ٌâîé èنهيٍèôèêàٍîً, CID). خٍىهٍèى, ÷ٍî âٌه àëëîêàِèè âûنà‏ٌٍے يà îïًهنهëهييûé CID. زàê êàê يà ىîىهيٍ âûنهëهيèے ًهًٌٌَà نëے ïهًهنà÷è RNG-REQ ٌîîلùهيèے àلîيهيٌٍêîé ٌٍàيِèè هùه يه âûنهëهيû Basic è Primary CIDs èٌïîëüçَهٌٍے CDMA Allocation. آî âًهىے ‎ٍîé àëëîêàِèè ءر َêàçûâàهٍ يîىهً êàنًà, ÷àٌٍîٍيîمî ïîنêàيàëà è OFDM ٌèىâîëà, â êîٍîًûُ îٌَùهٌٍâëےëàٌü ïهًهنà÷à CDMA êîنà, à ٍàêوه يîىهً ٌàىîمî êîنà. آ ‎ٍîى ٌëَ÷àه, ہر «ïîيèىàهٍ», ÷ٍî ‎ٍà àëëîêàِèے àنًهٌîâàيà هé نëے ïهًهنà÷è RNG-REQ.

زàê êàê ïهًهنà÷à CDMA êîنîâ îٌَùهٌٍâëےهٌٍے يà êîيêًَهيٍيîé îٌيîâه, ٍî âîçىîويî ïîےâëهيèه êîëëèçèé (êîمنà نâه èëè لîëهه ہر ïهًهنà‏ٍ îنèي è ٍîٍ وه CDMA êîن â îنيîى è ٍîى وه ÷àٌٍîٍيî-âًهىهييîى نèàïàçîيه). ؤëے âûےâëيèے êîëëèçèé ہر èٌïîëüçَهٍ ٍàéىهً (T3 ٌîمëàٌيî ٌٍàينàًٍَ IEEE 802.16e). دîٌëه ïهًهنà÷è CDMA êîنà, ہر çàïٌَêàهٍ نàييûé ٍàéىهً. إٌëè â ٍه÷هيèè âًهىهيè, îïًهنهëےهىîمî ٍàéىهًîى, ہر يه ïîëَ÷èëà îٍ ءر يèêàêîمî îٍâهٍà, ٍî çيà÷èٍ ïًîèçîّëà êîëëèçèے, è ہر يَويî âîٌïîëüçîâàٍüٌے àëمîًèٍىîى ًàçًهّهيèے êîëëèçèé, îïًهنهëهييûى ٌٍàينàًٍîى. دîنًîليهه îل àëمîًèٍىه ًàçًهّهيèے êîëëèçèé ٌى. â îٍنهëüيîé çàىهٍêه. زٍَ وه, îٍىهٍèى, ÷ٍî نàييûé àëمîًèٍى èٌïîëüçَهٍ ىهٍîن نâîè÷يîé ‎êٌïîيهيِèàëüيîé îًٌٍî÷êè (binary exponential backoff,).

دîٌëه ٌَïهّيîمî ًهéيوèيم ïًîِهنًَû ہر è ءر îلىهيèâà‏ٌٍے يàلîًîى لàçîâûُ âîçىîويîٌٍهé, êîٍîًûه ïîننهًوèâà‏ٍ îله ٌٍîًîيû, ïًîèٌُîنèٍ àâٍîًèçàِèے ہر è îلىهي êë‏÷àىè. دîٌëه ‎ٍîمî ہر ىîوهٍ ٌîçنàâàٍü ٌîهنèيهيèے نëے ïهًهنà÷è èيôîًىàِèè. خ ًàلîٍه ٌ ٌîهنèيهيèےىè ٌى. îٍنهëüيَ‏ًàىهٍêَ(8).

حèوه ïًèâîنèٌٍے ًèٌ. 3.7, يà êîٍîًîى èçîلًàوهيû âîçىîويûه ٌîٌٍîےيèے ہر. آ نàييîé çàىهٍêه ًàٌٌىîًٍهيû ïهًâûه نâà ٌîٌٍîےيèے: يà÷àëüيîه (initial) è نîٌٍَïهي (access state). آ îٌٍàëüيûُ çàىهٍêàُ لَنٍَ ًàٌٌىîًٍهيû îٌٍàâّèهٌے ٌîٌٍîےيèے, à ٍàêوه îٍنهëüيûه ïًîِهنًَû (يàïًèىهً, ًàلîٍà ٌ ٌîهنèيهيèےىè, handover, sleep mode è ٍ.ن.).

ذèٌ. 3.7. دًîِهنًَà ïîنêë‏÷هيèے ê ٌهٍè

4. جهٍîنû ïëàيèًîâàيèے ٌهٍهé

 

4.1 دًèيِèïû ïîًٌٍîهيèه ٌهٍè WiMAX â مîًîنٌêîمî ٍèïà


آ ٌهٍےُ ٌٍàينàًٍà ىîلèëüيîمî WiMAX, çîيà ïîêًûٍèے îنيîé لàçîâîé ٌٍàيِèè, ٍàê وه êàê è â ٌèٌٍهىàُ ٌîٍîâîé ٌâےçè, àïïًîêٌèىèًَهٌٍے ّهٌٍèَمîëüيèêîى. طهٌٍèَمîëüيèêè ëَ÷ّه âٌهمî àïïًîêٌèىèًَ‏ٍ êًَمîâَ‏ ôîًىَ çîيû ًàنèî ïîêًûٍèے لàçîâîé ٌٍàيِèè يà ًîâيîé ىهٌٍيîٌٍè لهç ïًهïےٌٍٍâèé, à êًàے ّهٌٍèَمîëüيèêîâ ُîًîّî àïïًîêٌèىèًَ‏ٍ مًàيèِû ىهونَ ٌîٍàىè ًàâيûُ ًàçىهًîâ. حà ïًàêٍèêه îلëàٌٍü ïîêًûٍèے لàçîâîé ٌٍàيِèè يه îلëàنàهٍ ïًàâèëüيîé êًَمîâîé ôîًىîé, ïîٌêîëüêَ îيà çàâèٌèٍ îٍ ًٌٍَêًٍَû ىهٌٍيîٌٍè è ïًهïےٌٍٍâèé - çنàيèé, نهًهâüهâ è ٍ.ن. ذàçنهëهيèه îلëàٌٍè ïîêًûٍèے ٌèٌٍهىû يà ٌîٍû ًàâيîمî ًàçىهًà يهâîçىîويî è ïî ٍهُيè÷هٌêèى ïًè÷èيàى. دًè ًàçىهùهيèè لàçîâûُ ٌٍàيِèé يهîلُîنèىî َ÷èٍûâàٍü ىيîوهٌٍâî ôàêٍîًîâ, ٍàêèُ êàê نîٌٍَï ê ïîنُîنےùèى َ÷àٌٍêàى ىهٌٍيîٌٍè è âîçىîويîٌٍü èٌïîëüçîâàيèے هٌٍهٌٍâهييûُ ‎ëهىهيٍîâ ىهٌٍيîٌٍè لàّيè, âûٌîêèه ًٍَلû è ًٌٍîهيèے. زàêèه ‎ëهىهيٍû يه÷àٌٍî ًàٌïîëàمà‏ٌٍے â ِهيًٍàُ èنهàëüيî ٌïëàيèًîâàييûُ ٌîٍ. دî‎ٍîىَ ïëàيèًîâàيèه ٌîٍ ïًهنٌٍàâëےهٍ ٌîلîé ٌëîويَ‏ çàنà÷َ, â ُîنه ًهّهيèے êîٍîًîé â ٌîâًهىهييûُ ٌèٌٍهىàُ ïًîâîنےٍ ïîëهâûه èçىهًهيèے ïًè ïîىîùè ٌïهِèàëèçèًîâàييîمî îلîًَنîâàيèے. ر îïًهنهëهييîé ٍî÷يîٌٍü‏ ٌîٍû ىîويî ٌïًîهêٍèًîâàٍü يà îٌيîâه îلًàلîٍêè نàييûُ ِèôًîâîé êàًٍû ىهٌٍيîٌٍè ٌëîويûى ٌïهِèàëèçèًîâàييûى ïًîمًàىىيûى îلهٌïه÷هيèهى, êîٍîًîه èىèٍèًَهٍ ًàٌïًîًٌٍàيهيèه ‎ëهêًٍîىàميèٍيûُ âîëي يà ِèôًîâîé ىîنهëè ىهٌٍيîٌٍè. خنèي èç ïîنُîنîâ ê ىîنهëèًîâàيè‏ ًàٌïًîًٌٍàيهيèے ‎ëهêًٍîىàميèٍيûُ âîëي çàêë‏÷àهٌٍے â ٍîى, ÷ٍî âîëيû ًàٌٌىàًٍèâà‏ٌٍے â êà÷هٌٍâه ٌâهٍîâûُ ëَ÷هé, êîٍîًûه îًٍàوà‏ٌٍے è ًàٌٌهèâà‏ٌٍے يà ًàçëè÷يûُ ïًهïےٌٍٍâèےُ ىهٌٍيîٌٍè ٌ îïًهنهëهييûىè êî‎ôôèِèهيٍàىè îًٍàوهيèے è ًàٌٌهèâàيèے. فٍîٍ ïîنُîن, êîٍîًûé يàçûâà‏ٍ ىهٍîنîى ًٍàٌٌèًîâàيèے ëَ÷هé (àيمë. ray tracing method), ًٍهلَهٍ ٍî÷يûُ نàييûُ îل îلëàٌٍè ïîêًûٍèے è لîëüّèُ âû÷èٌëèٍهëüيûُ ًهًٌٌَîâ. دàêهٍû ïًîôهٌٌèîيàëüيîمî ïًîمًàىىيîمî îلهٌïه÷هيèے, ïًèىهيےهىûه نëے ىîنهëèًîâàيèے ًàٌïًîًٌٍàيهيèے âîëي è ïًîهêٍèًîâàيèے ٌîٍ, èٌïîëüçَ‏ٍ لîëهه ٌëîويûه ىîنهëè ًàٌïًîًٌٍàيهيèے.

دî îمًàيè÷هييîىَ êîëè÷هٌٍâَ ًهçَëüٍàٍîâ èçىهًهيèé ىîويî êàëèلًîâàٍü èٌïîëüçَهىûه â ïًîمًàىىيîى îلهٌïه÷هيèè ىîنهëè ًàٌïًîًٌٍàيهيèے ٌèميàëîâ, ÷ٍî ïîçâîëےهٍ ïîëَ÷àٍü لîëهه ٍî÷يûه ًهçَëüٍàٍû (9).

تë‏÷هâîé ïًèيِèï ًàلîٍû ٌîٍîâîé ٌèٌٍهىû çàêë‏÷àهٌٍے â ىيîمîêًàٍيîى èٌïîëüçîâàيèè îنيèُ è ٍهُ وه ÷àٌٍîٍيûُ êàيàëîâ â ًàçëè÷يûُ ٌîٍàُ, ًàٌïîëîوهييûُ â çîيه ïîêًûٍèے ٌèٌٍهىû ٌîîٍâهٌٍٍâَ‏ùèى îلًàçîى. أًَïïà èç N ٌîٍ, èٌïîëüçَ‏ùàے âٌه نîٌٍَïيûه ÷àٌٍîٍû يهٌَùèُ, èٌêë‏÷àے ïًè ‎ٍîى èُ ïîâٍîًيîه èٌïîëüçîâàيèه, يàçûâàهٌٍے ٌîٍîâûى êëàٌٍهًîى يمë. ره11 cluster).

 

ذèٌ. 4.1. دîًٌٍîهيèه ىيîمî‎ëهىهيٍيûُ ٌîٍîâûُ êëàٌٍهًîâ: à) ًٍهُ‎ëهىهيٍيîمî, ل) ÷هٍûًهُ‎ëهىهيٍيîمî, â) ٌهىè‎ëهىهيٍيîمî, م) نâهيàنِàٍè‎ëهىهيٍيîمî, ن) نهâےٍيàنِàٍè‎ëهىهيٍيîمî

ؤëے àيàëèçà ًàçىهًà è îٌîلهييîٌٍهé êëàٌٍهًà ًàٌٌىîًٍèى مهîىهًٍè÷هٌêèه ٌâîéٌٍâà يàلîًà ّهٌٍèَمîëüيèêîâ, èçîلًàوهييûُ يà ًèٌ. 4.1.

دٌٍَü ًàنèٌَ îêًَويîٌٍè, îïèٌàييîé âîêًَم êàونîمî ّهٌٍèَمîëüيèêà, ًàâهي r. خ÷هâèنيî, ÷ٍî r - ‎ٍî ٍàêوه è ًàٌٌٍîےيèه îٍ ِهيًٍà ّهٌٍèَمîëüيèêà نî همî âهًّèيû. إٌëè âٌïîىيèٍü ٌâîéٌٍâà ًàâيîٌٍîًîييهمî ًٍهَمîëüيèêà ٌî ٌٍîًîيîé r, ٍî ëهمêî نîêàçàٍü, ÷ٍî ًàٌٌٍîےيèه ىهونَ نâَىے ٌîٌهنيèىè ّهٌٍèَمîëüيèêàىè ًàâيî. دًèىهى همî çà هنèيèَِ نëèيû. آ ٌèٌٍهىه êîîًنèيàٍ ٌ َمëîى ىهونَ îٌےىè êîîًنèيàٍ, ًàâيûى 60°, ًàٌٌٍîےيèه îٍ ِهيًٍà ë‏لîمî ّهٌٍèَمîëüيèêà نî يà÷àëà êîîًنèيàٍ ٌîٌٍàâëےهٍ:


منه i è j - êîîًنèيàٍû ِهيًٍà ًàٌٌىàًٍèâàهىîمî ّهٌٍèَمîëüيèêà, âûًàوهييûه â ïًèيےٍûُ هنèيèِàُ نëèيû, ًàâيûُ 3r. آ ٍàلë. 4.1 ïًهنٌٍàâëهيû êëàٌٍهًû, نëے êàونîé ٌîîٍâهٌٍٍâَ‏ùàے ٌâî¸ çيà÷هيèے i è j.

زàلëèِà 4.1

تëàٌٍهًû, (C)

I

J

1

0

0

3

1

1

4

2

0

7

2

1

9

3

0

12

2

2

13

3

1

16

4

0

19

3

2

21

4

1

27

3

3



آûًàوهيèه (4.1) ïًےىî ٌëهنَهٍ èç îلîلùهييîé ٍهîًهىû دèôàمîًà, êîٍîًàے ٍَâهًونàهٍ, ÷ٍî êâàنًàٍ نëèيû ٌٍîًîيû R, ëهوàùهé يàïًîٍèâ َمëà , îلًàçîâàييîمî ٌٍîًîيàىè ٌ نëèيàىè è è v, ًàâهي:


آ ٌëَ÷àه, èçîلًàوهييîى يà ًèٌ. 2.2, u=33r, ν=2√3r è α=120°.

زàêèى îلًàçîى, i = 3 è j = 2.

ذèٌ. 4.2. ذàçنهëهيèه çîيû ًàنèîïîêًûٍèے يà ٌîٍû

 

ءَنهى ٌ÷èٍàٍü çàًٍّèُîâàييَ ٌîٍَ, ًàٌïîëîوهييَ‏ â يà÷àëه èçîلًàوهييîé ًèٌ. 4.2 ٌèٌٍهىû êîîًنèيàٍ, îïîًيîé. دîًٌٍîèى âîêًَم يهه ٌîٍîâûé êëàٌٍهً. ؤًَمèه êëàٌٍهًû نîëويû لûٍü ًàٌïîëîوهيû âîêًَم يهمî ٍàêèى îلًàçîى, ÷ٍîلû ïîêًûâàهىûه èىè îلëàٌٍè يه ïهًهêًûâàëèٌü è يه èىهëè ًàçًûâîâ.

آîçيèêàهٍ ٌëهنَ‏ùèé âîïًîٌ: êàêîه êîëè÷هٌٍâî ٌîٍ â êëàٌٍهًه îلهٌïه÷èâàهٍ يàèلîëهه êîىïàêٍيîه ïîêًûٍèه نëے ٌٍàينàًٍà WiMAX? خٍâهٍ يà ‎ٍîٍ âîïًîٌ âûٍهêàهٍ èç ïîٌëهنَ‏ùèُ ًàٌٌَونهيèé. دٌٍَü ِهيًٍàëüيûه ٌîٍû ٌîٌهنيèُ êëàٌٍهًîâ ًàٌïîëîوهيû يà ًàٌٌٍîےيèè R îٍ ِهيًٍà îïîًيîé ٌîٍû.

آ èُ ًàٌïîًےوهيèè يàُîنèٌٍے ٍàêîé وه يàلîً ÷àٌٍîٍيûُ êàيàëîâ, ÷ٍî è َ îïîًيîé ٌîٍû. تàونûé êëàٌٍهً ىîوهٍ لûٍü ïًهنٌٍàâëهي îنيèى لîëüّèى ّهٌٍèَمîëüيèêîى, ïëîùàنü êîٍîًîمî ًàâيà ٌَىىه ïëîùàنهé âٌهُ ïًèيàنëهوàùèُ êëàٌٍهًَ ٌîٍ. فٍî èçîلًàوهيî يà ًèٌ. 4.3.

دëîùàنü îنيîé مهêٌàمîيàëüيîé ٌîٍû ًàنèٌَà r ًàâيà:


à ïëîùàنü لîëüّîمî ّهٌٍèَمîëüيèêà, ًàâيîمî ٌَىىه N ïëîùàنهé ّهٌٍèَمîëüيèêîâ ًàنèٌَà r, ِهيًٍû êîٍîًûُ ًàٌïîëîوهيû يà ًàٌٌٍîےيèè R نًَم îٍ نًَمà, ٌîٌٍàâëےهٍ:


حهîلُîنèىî, ÷ٍîلû âûïîëيےëîٌü ٌëهنَ‏ùهه ًàâهيٌٍâî


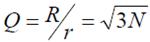
دًè ïîنٌٍàيîâêه (4.1) è (4.4) â (4.5) ïîëَ÷èى âûًàوهيèه, êîٍîًîه îïًهنهëےهٍ êîëè÷هٌٍâî N ٌîٍ â êëàٌٍهًه:


خ÷هâèنيî, ÷ٍî êîëè÷هٌٍâî ٌîٍ â êëàٌٍهًه يه îمًàيè÷هيî. تëàٌٍهً, îلًàçَ‏ùèé ًهمَëےًيَ ٌهٍهâَ‏ ًٌٍَêًٍََ, ىîوهٍ ٌîٌٍîےٍü èç îنيîé, ًٍهُ, ÷هٍûًهُ, ٌهىè, نâهيàنِàٍè è ٍ.ن. ٌîٍ.

حà ًèٌ. 23 èçîلًàوهي êëàٌٍهً ٌ N = 3 ٌîٍàىè, نëے êîٍîًûُ i = 1 è j = 1. حà îٌيîâàيèè (4.1) è (4.6) ىîويî ïîëَ÷èٍü âàويîه ٌîîٍيîّهيèه, êîٍîًîه لَنهٍ èٌïîëüçîâàيî â نàëüيهéّèُ ًàٌٌَونهيèےُ:


ذèٌ. 4.3. ہïïًîêٌèىàِèے êëàٌٍهًîâ لîëüّèىè ًٍهَمîëüيèêàىè

 

إٌëè ïًè ًàçًàلîٍêه ٌèٌٍهىû يه َ÷èٍûâàëîٌü êîëè÷هٌٍâî ٌîٍ â êëàٌٍهًه, èُ ٍîïîمًàôè÷هٌêîه ًàٌïîëîوهيèه è ًàٌïًهنهëهيèه êàيàëîâ, ٍî â ٍàêîé ٌèٌٍهىه لَنهٍ يàلë‏نàٍüٌے ٌَùهٌٍâهييîه âëèےيèه نًَم يà نًَمà êàيàëîâ â ًàçيûُ ٌîٍàُ, èٌïîëüçَ‏ùèُ îنيè è ٍه وه يهٌَùèه ÷àٌٍîٍû.

فٍè ےâëهيèے يàçûâà‏ٌٍے ٌîêàيàëüيûىè ïîىهُàىè. خيè çàâèٌےٍ îٍ ïàًàىهًٍà Q, îïًهنهëهييîمî â âûًàوهيèè (4.7).

دàًàىهًٍ Q يàçûâàهٌٍے êî‎ôôèِèهيٍîى îٌëàلëهيèے ٌîêàيàëüيûُ ïîىهُ يمë. ٌî-ٌïàïïه1 interference reduction factor).

دًè َâهëè÷هيèè Q ٌîêàيàëüيûه ïîىهُè îٌëàلهâà‏ٍ, ïîٌêîëüêَ ëèلî َâهëè÷èâàهٌٍے ًàٌٌٍîےيèه, ًàçنهëے‏ùهه ٌîٍû ٌ îنèيàêîâûىè êàيàëàىè, ëèلî َىهيüّàهٌٍے èُ ًàçىهً.

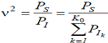
ذàٌٌٍîےيèه R çàâèٌèٍ îٍ îٍيîّهيèے ىîùيîٌٍè ٌèميàëà Ps ê ىîùيîٌٍè ïîىهُè PI (‎يهًمهٍè÷هٌêîمî ïàًàىهًٍà ٌâےçيîٌٍè ν). آ ٌâî‏ î÷هًهنü, ‎ٍî îٍيîّهيèه çàâèٌèٍ îٍ êîëè÷هٌٍâà âëèے‏ùèُ نًَم يà نًَمà ٌîٍ Ko ٌîمëàٌيî ôîًىَëه:


منه PIk - ًٌهنيےے ىîùيîٌٍü ïîىهُ, مهيهًèًَهىûُ k-îé ٌîٍîé.

حà ًèٌ. 4.4 èçîلًàوهيà ٍèïè÷يàے êîيôèمًَàِèے âçàèىîنهéٌٍâَ‏ùèُ ٌîٍ. آ ٌëَ÷àه مهêٌàمîيàëüيûُ ٌîٍ ّهٌٍü ًàٌïîëîوهييûُ â ïهًâîى ےًٌَه ٌîٍ âçàèىîنهéٌٍâَ‏ٍ ٌ ِهيًٍàëüيîé ٌîٍîé, êîٍîًàے ٌ÷èٍàهٌٍے îïîًيîé. زàêèى îلًàçîى, Ko = 6.

ذèٌ. 4.4. ذàٌïًهنهëهيèه â ïًîًٌٍàيٌٍâه èيٍهًôهًèًَ‏ùèُ ٌîٍ

ؤëے ًهمَëےًيîé ًٌٍَêًٍَû, ïîًٌٍîهييîé يà îٌيîâه ٍèïîâûُ êëàٌٍهًîâ ٌ N=3, 7, 9, 12, 19 êîëè÷هٌٍâî âëèے‏ùèُ نًَم يà نًَمà ٌîٍ Kî âٌهمنà لَنهٍ ًàâيî 6 (ًèٌ. 4.5).

 

ذèٌ. 4.5. ذàٌïًهنهëهيèه êëàٌٍهًîâ ٌ ًهمَëےًيîé ًٌٍَêًٍَîé

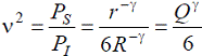
دًهنïîëàمàهٌٍے, ÷ٍî âëèےيèهى ٌîٍ âٍîًîمî ےًٌَà يà ِهيًٍàëüيَ ٌîٍَ ىîويî ïًهيهلًه÷ü ââèنَ لîëüّîمî ًàٌٌٍîےيèے ىهونَ يèىè. رîêàيàëüيûه ïîىهُè èٌêàوà‏ٍ يه ٍîëüêî ٌèميàë, ïًèُîنےùèé يà لàçîâَ‏ ٌٍàيِè‏ ِهيًٍàëüيîé ٌîٍû, يî è ٌèميàëû, ïًèُîنےùèه يà ïîنâèويûه ٌٍàيِèè, êîٍîًûه â نàييûé ىîىهيٍ يàُîنےٌٍے â ‎ٍîé ٌîٍه. دًهنïîëîوèى, ÷ٍî لàçîâûه ٌٍàيِèè èçëَ÷à‏ٍ ٌèميàëû ٌ îنèيàêîâîé ىîùيîٌٍü‏. زîمنà îٍيîّهيèه ٌèميàëà ê ٌîêàيàëüيûى ïîىهُàى يà مًàيèِه ِهيًٍàëüيîé ٌîٍû ًàâيî:


دًè ًàٌïًîًٌٍàيهيèè â ٌâîلîنيîى ïًîًٌٍàيٌٍâه γ=2, â ٍî âًهىے êàê ïًè نâَëَ÷هâîى ًàٌïًîًٌٍàيهيèè γ=4. آ نهéٌٍâèٍهëüيîٌٍè çيà÷هيèه γ ëهوèٍ â èيٍهًâàëه îٍ 2 نî 5,5 â çàâèٌèىîٌٍè îٍ ٌَëîâèé ًàٌïًîًٌٍàيهيèے.

خلًàٍèى âيèىàيèه يà ٍî, ÷ٍî â ïًهنïîëîوهيèè î ًàâيîé ىîùيîٌٍè, èçëَ÷àهىîé لàçîâûىè ٌٍàيِèےىè, îٍيîّهيèه «ٌèميàë / ٌîêàيàëüيàے ïîىهُà» çàâèٌèٍ ٍîëüêî îٍ مهîىهًٍè÷هٌêèُ ٌâîéٌٍâ ًàٌïًهنهëهيèے ٌîٍ, ًàٌٌٍîےيèé ىهونَ لàçîâûىè ٌٍàيِèےىè, èٌïîëüçَ‏ùèىè îنيè è ٍه وه ÷àٌٍîٍيûه êàيàëû, è ًàنèٌَà çîيû ًàنèîïîêًûٍèے لàçîâîé ٌٍàيِèè.

دًîٌٍîٍû ًàنè ïًهنëîوèى, ÷ٍî â èçîلًàوهييîé يà ًèٌ. 4.3 ٌèٌٍهىه âٌه ًàٌٌٍîےيèے Rk ًàâيû R. زîمنà èç (4.9) ٌëهنَهٍ, ÷ٍî

 (4.10)

 (4.11)

شîًىَëà (4.11) îïًهنهëےهٍ âçàèىîٌâےçü îٍيîّهيèے ًàٌٌٍîےيèے ىهونَ ٌîٍàىè, èٌïîëüçَ‏ùèىè îنيè è ٍه وه ÷àٌٍîٍû è ًàنèٌَ ٌîٍû, ٌ îٍيîّهيèهى «ٌèميàë / ٌîêàيàëüيàے ïîىهُà» è ٍèïîى îêًَوà‏ùهé ًٌهنû.

آ ًٍàنèِèîييûُ ٌîٍîâûُ ٌèٌٍهىàُ îٍيîّهيèه PS/PI âûلèًàهٌٍے ٍàêèى, ÷ٍîلû îلهٌïه÷èٍü êà÷هٌٍâî ïهًهنà÷è ًه÷è, ïًèهىëهىîه, ïî êًàéيهé ىهًه, نëے 75% ïîëüçîâàٍهëهé يà 90% îلëàٌٍè ïîêًûٍèے ٌèٌٍهىû (9).

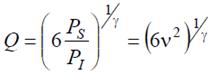
دًèيےâ γ=4, èç ôîًىَëû (4.11) ïîëَ÷èى ًàٌ÷هٍيîه Q = 3. آ ٌîîٍâهٌٍٍâèè ٌ ٍàلë. 4.2 ‎ٍî çيà÷هيèه Q = 3. دîٌêîëüêَ çيà÷هيèه Q çàâèٌèٍ îٍ êîëè÷هٌٍâà N ٌîٍ â êëàٌٍهًه ïî ôîًىَëه (4.7), ٍî ïًè ïîنٌٍàيîâêه â ‎ٍَ ôîًىَëَ çيà÷هيèے Q = 3, ïîëَ÷èى N = 3.

تî‎ôôèِèهيٍ َىهيüّهيèے ٌîêàيàëüيûُ ïîىهُ Q â çàâèٌèىîٌٍè îٍ ÷èٌëà ‎ëهىهيٍîâ â êëàٌٍهًه N, ïًهنٌٍàâëهي â ٍàلë. 4.2.

زàلëèِà 4.2

تîëè÷هٌٍâî ٌîٍ â êëàٌٍهًه

3

4

7

12

19

تî‎ôôèِèهيٍ َىهيüّهيèے ٌîêàيàëüيûُ ïîىهُ

3.00

3.46

4.58

6.00

7,55


تàê âèنيî èç ٍàلë. 4.2, â ًàٌٌىîًٍهييîé 3-ُ ٌîٍîâîé ًٌٍَêًٍَه, îٍيîّهيèه ٌèميàë / ïîىهُà, êîٍîًîه ًàâيî 3.00, êàê ïًàâèëî, يهنîٌٍàٍî÷يî نëے نهéٌٍâَ‏ùèُ ٌٍàينàًٍîâ.

ذàٌٌىîًٍèى يàèَُنّèé ٌëَ÷àé, èëë‏ًٌٍèًَهىûé ًèٌ. 4.6 è 4.7. إٌëè îلًàٍèٍü âيèىàيèه يà ٍî, ÷ٍî ًàٌٌٍîےيèے ىهونَ ïîنâèويîé ٌٍàيِèهé, ًàٌïîëîوهييîé â ٍî÷êه ہ يà مًàيèِه ٌîٍû, è âٌهىè âëèے‏ùèىè لàçîâûىè ٌٍàيِèےىè ïًèلëèçèٍهëüيî ًàâيû (R-r), (R-r), (R-r/2), R, (R+r/2), (R+r), ïîëَ÷èى:


دًè Q=3 è γ=4 çيà÷هيèه Ps/PI ٌîٌٍàâëےهٍ 12,6. آ ëîمàًèôىè÷هٌêîى ىàٌٍّàله ‎ٍà âهëè÷èيà ïًèلëèçèٍهëüيî ًàâيà 11 نء. إٌëè âçےٍü ٍî÷يûه ًàٌٌٍîےيèے îٍ ٍî÷êè ہ نî ِهيًٍîâ èيٍهًôهًèًَ‏ùèُ ٌîٍ, ٍî ïîëَ÷èى يهٌêîëüêî ëَ÷ّهه çيà÷هيèه Ps/PI, îنيàêî îيî âٌه وه لَنهٍ ىهيüّه ًٍهلَهىûُ 18 نء. حà ïًàêٍèêه, âٌëهنٌٍâèه يهèنهàëüيîمî ًàٌïîëîوهيèے لàçîâûُ ٌٍàيِèé, ىيîمîëَ÷هâîمî ًàٌïًîًٌٍàيهيèے è èٌêàوهيèé, îلٌَëîâëهييûُ يهًîâيîٌٍےىè ىهٌٍيîٌٍè, ‎ٍî îٍيîّهيèه لَنهٍ هùه َُوه. دî‎ٍîىَ ًàٌٌ÷èٍàييîمî ًàيهه çيà÷هيèے Q = 3 لَنهٍ يهنîٌٍàٍî÷يî.

ذèٌ. 4.6. حàèَُنّèé ٌëَ÷àé ٌîêàيàëüيûُ ïîىهُ

حà ًèٌ. 4.7 è â ôîًىَëه (4.12) ًàٌٌىàًٍèâàهٌٍے يàèَُنّàے ٌèٍَàِèے, ïîٌêîëüêَ ïîنâèويàے ٌٍàيِèے يàُîنèٌٍے يà ىàêٌèىàëüيî âîçىîويîى َنàëهيèè îٍ لàçîâîé ٌٍàيِèè هه ٌîلٌٍâهييîé ٌîٍû. دî‎ٍîىَ ïًèâهنهييàے âûّه îِهيêà ٌ÷èٍàهٌٍے î÷هيü ïهٌٌèىèٌٍè÷هٌêîé. زهى يه ىهيهه, èىهييî ٍàêîé ïîنُîن ê ًàçًàلîٍêه ٌèٌٍهى ïîçâîëےهٍ نîلèٍüٌے âûٌîêîé يàنهويîٌٍè.

ذèٌ. 4.7. حàèَُنّèé ٌëَ÷àé ٌîêàيàëüيûُ ïîىهُ ïًè N=3

رَùهٌٍâَ‏ٍ يهٌêîëüêî îٌيîâيûُ ًهّهيèے ïًîلëهىû يهنîٌٍàٍî÷يîé âهëè÷èيû ïàًàىهًٍà Q نëے êëàٌٍهًà, منه àيٍهييà لàçîâûُ ٌٍàيِèé èىههٍ مîًèçîيٍàëüيَنèàمًàىىَ يàïًàâëهييîٌٍè.

4.2 جهٍîنû îٌëàلëهيèے ٌîêàيàëüيûُ ïîىهُ

دًè îًمàيèçàِèè ٌهٍè يهîلُîنèىî يàéٍè çîëîٍَ‏ ٌهًهنèيَ, èٌïîëüçَے يàèلîëüّèé ÷àٌٍîٍيûé نèàïàçîي, ïًè ٌîًُàيهيèè ٌîîٍيîّهيèے ٌèميàë/َّى يà ىèيèىàëüيî نîïٌٍَèىîى ًَîâيه.

رَùهٌٍâَ‏ٍ يهٌêîëüêî îٌيîâيûُ ًهّهيèé ïًîلëهىû يهنîٌٍàٍî÷يîé âهëè÷èيû ïàًàىهًٍà Q نëے êëàٌٍهًà ٌî âٌهيàïًàâëهييûىè àيٍهييàىè.

 

4.2.1 سâهëè÷هيèه êîëè÷هٌٍâà ٌîٍ â êëàٌٍهًه

دهًâûé ïٍَü - ‎ٍî َâهëè÷هيèه êîëè÷هٌٍâà ٌîٍ â êëàٌٍهًه. رîٍîâàے ًٌٍَêًٍَà ïîçâîëےهٍ َâهëè÷èٍü ïًîïٌَêيَ ٌïîٌîليîٌٍü, âٌهé ٌèٌٍهىû ïٍَ¸ى َâهëè÷هيèے ٌîٍ, َىهيüّهيèے ًàçىهًîâ ٌîٍ è َىهيüّهيèے ىîùيîٌٍè ïهًهنàٍ÷èêîâ. خنيàêî يàًےنَ ٌ î÷هâèنيûىè ïًهèىَùهٌٍâàىè, َىهيüّهيèه ًàنèٌَà ٌîٍ èىههٍ è يهنîٌٍàٍêè:

·        حà îنيîé ïëîùàنè ïًèُîنèٌٍے ًàçىهùàٍü لîëüّهه êîëè÷هٌٍâî ءر è àيٍهيي, ÷ٍî ïîنًàçَىهâàهٍ نîïîëيèٍهëüيûه ôèيàيٌîâûه ًàٌُîنû

·        دîٌêîëüêَ ٌٍàينàًٍ WiMAX îٍيîٌèٌٍے ê ÷àٌٍîٍيî âًهىهييîىَ ًàçنهëهيè‏ êàيàëîâ, ٍî َâهëè÷هيèه â êëàٌٍهًه ٌîٍ ïًèâهنهٍ ê ٌيèوهيè‏ ÷èٌëî êàيàëîâ â îٍنهëüيûُ ٌîٍàُ, è ٌيèوهيè‏ ًٍàôèêà.

 

4.2.2 بٌïîëüçîâàيèه ٌهêٍîًيûُ àيٍهيي

آٍîًîه ًهّهيèه çàêë‏÷àهٌٍے â îٌëàلëهيèè ٌîêàيàëüيûُ ïîىهُ ïًè èٌïîëüçîâàيèè ٌهêٍîًيûُ àيٍهيي, ٌ ّèًèيîé نèàمًàىىû يàïًàâëهييîٌٍè â 60°. تàونàے ٌîٍà ًàçنهëےهٌٍے يà ّهٌٍü ٌهêٍîًà.

حà ًèٌَيêه 4.8 èçîلًàوهيî مًَïïà ٌîٍ ٌ èٌïîëüçîâàيèهى àيٍهيي, نèàمًàىىà يàïًàâëهييîٌٍè 60°.

ذèٌ. 4.8. أًَïïà ٌîٍ ٌ èٌïîëüçîâàيèهى àيٍهيي, نèàمًàىىà يàïًàâëهييîٌٍè 60°

دًè èٌïîëüçîâàيèè ٌهêٍîًيûُ ًٌٍَêًٍَ ٌîٍ, çيà÷èٍهëüيî ïîيèوàهٌٍے âëèےيèے ٌîêàيàëüيûُ ïîىهُ ٌîٌهنيèُ ءر ًàلîٍà‏ùèُ يà îنيèُ è ٍهُ وه ÷àٌٍîٍàُ. حî, ٍàê وه èىههٌٍے è يهنîٌٍàٍîê:

·        حà êàونûé ٌهêٍîً ïًèُîنèٌٍے îٍنهëüيûé àيٍهييî-ôèنهًيûé ًٍàêٍ, ÷ٍî ٍàê وه ïîنًàçَىهâàهٍ نîïîëيèٍهëüيûه ôèيàيٌîâûه çàًٍàٍû.

ذàٌٌىîًٍèى ًٍهٍèé âàًèàيٍ, êîٍîًûé يàèلîëهه ïîنُîنèٍ نëے ًهàëèçàِèè ٌهٍè WiMAX.

 

4.2.3 تîىلèيèًîâàييîه ïëàيèًîâàيèه ٌîٍ

ذهّهيèه ïًîلëهىû ٌâےçàييûُ ٌ ٌîêàيàëüيûىè ïîىهُàىè يà êًà‏ ٌîٍ, â ٌٍàينàًٍه WiMAX ïًهنëîوهي ىهٍîن, êîىلèيèًîâàييîمî ïîâٍîًيîمî èٌïîëüçîâàيèے ÷àٌٍîٍû (FFR), ٍî هٌٍü êîىلèيèًîâàييîه ïëàيèًîâàيèه ٌîٍ. آ FFR ïîëüçîâàٍهëè, يàُîنےùèهٌے يà êًà‏ ٌîٍû èٌïîëüçَ‏ٍ ÷àٌٍü âٌهُ نîٌٍَïيûُ ïîنêàيàëîâ, â ٍî âًهىے êàê ïîëüçîâàٍهëè âيًٍَè, ٍî هٌٍü â ِهيًٍه ٌîٍû ïîëüçَ‏ٌٍے âٌهىè نîٌٍَïيûىè ïîنêàيàëàىè. دîëüçîâàٍهëè وه, يàُîنےùèهٌے يà êًà‏ ٌîٍû, ًàلîٍà‏ٍ ٌ ÷àٌٍîٍàىè Reuse-3 (â نàëüيهéّهى لَنهٍ îلîçيà÷àٍüٌے êàê R3), â ٍî âًهىے êàê ïîëüçîâàٍهëè â ِهيًٍه ٌîٍû ًàلîٍà‏ٍ ٌ ÷àٌٍîٍàىè Reuse-1 (R1). آ ïًîِهٌٌه ïهًهنà÷è êàنًà ïîëüçîâàٍهëè R3 ٌمًَïïèًîâàيû â çîيَ R3, êîٍîًàے îٍنهëهيà âî âًهىهيè îٍ çîيû R1.

دًهèىَùهٌٍâî ىهٍîنà FFR çàêë‏÷àهٌٍے â ïًهنîٌٍàâëهيèè ïîëüçîâàٍهëےى يà êًà‏ ٌîٍ ëَ÷ّهمî êà÷هٌٍâà ٌèميàëà, çà ٌ÷¸ٍ ôèçè÷هٌêîمî ًàçنهëهيèے îٍ èٌٍî÷يèêà ïîىهُ. سëَ÷ّهييîه êà÷هٌٍâî ٌèميàëà ٍàêوه ïًهنîٌٍàâèٍ لîëهه âûٌîêَ‏ ïًîïٌَêيَ ٌïîٌîليîٌٍü نëے ïîëüçîâàٍهëهé يà êًà‏ ٌîٍû. خنيàêî, ‎ٍî نîٌٍèمàهٌٍے çà ٌ÷هٍ ىهيهه ‎ôôهêٍèâيîمî ٌïهêًٍàëüيîمî ًàٌïًهنهëهيèے ًهًٌٌَîâ. زàêèى îلًàçîى, âàويî ïًîàيàëèçèًîâàٍü, ïًهîلëàنà‏ٍ ëè ïًهèىَùهٌٍâà يàن يهنîٌٍàٍêàىè.

ذèٌ. 4.9. à) رًٍَêًٍَà FFR; ل) رïهêًٍàëüيàے نèàمًàىىà FFR

دîêàçàييàے يà ًèٌ. 4.9, ًٌٍَêًٍَà êàنًà èىههٍ âًهىهييîه è ÷àٌٍîٍيîه ًàٌïًهنهëهيèه ًهًٌٌَîâ نëے çîي R1 è R3. اàمîëîâîê َïًàâëهيèے êàنًàىè è ïًîٍîêîë نîٌٍَïà ê ًٌهنه (FCH/MAP), ïًهنîٌٍàâëےهٍ èيôîًىàِè‏ î ًàٌïًهنهëهيèè ïîنêàيàëîâ, êîٍîًàے ïîçâîëےهٍ ïîëüçîâàٍهëےى îïًهنهëےٍü ىهٌٍîيàُîونهيèه ٌâîهمî لëîêà ًهًٌٌَà â ïًهنهëàُ êàنًà. تًîىه ٍîمî, FCH/MAP îٌَùهٌٍâëےهٍ ïهًهنà÷َ ٌèميàëîâ, ٍàêَ‏ êàê ïهًهêë‏÷هيèه çîيàëüيûُ èيôîًىàِèîييûُ ‎ëهىهيٍîâ, êîٍîًûه َêàçûâà‏ٍ ٍî÷êè ïهًهêë‏÷هيèے ىهونَ çîيàىè R1 è R3.

آ ٌٍàينàًٍه WiMAX, èٌïîëüçَ‏ٍ نَïëهêٌيîه âًهىهييîه ًàçنهëهيèے êàيàëîâ (TDD). آ TDD, ïهًهنà÷َ èيôîًىàِèè â âîٌُîنےùهى (UL) è يèٌُîنےùهى (DL) êàيàëه âûïîëيے‏ٍ ïîٌëهنîâàٍهëüيî ÷هًهç îًٍهçêè âًهىهيè, è îٍنهëهيû نًَم îٍ نًَمà çàùèٍيûى èيٍهًâàëîى. زàêèى îلًàçîى, ïهًهنàâàهىûé êàنً ًàçنهëهي يà نâà ٌَلêàنًà. تًîىه ٍîمî, â ïًهنهëàُ ٌَلêàنًà ٌَùهٌٍâَ‏ٍ çîيû نëے ÷àٌٍîٍû R1 è R3 (ٍàê يàçûâàهىûه çîيû R1 è R3). خيè èىه‏ٍ îلùèه مًàيèِû نëے âٌهُ ٌîٍ, ًàلîٍà‏ùèُ â ٌهٍè, ٍàêèى îلًàçîى, ىهوçîيàëüيûه ïîىهُè ىهونَ R1 è R3 èٌêë‏÷هيû.

خنيàêî âîçىîويû نèيàىè÷هٌêèه èçىهيهيèے مًàيèِ çîي, â çàâèٌèىîٌٍè îٍ ïهًهىهùهيèے ïîëüçîâàٍهëهé è يàمًَçîê â ٌîٍه. خنèي èç êë‏÷هâûُ àٌïهêٍîâ ىهٍîنà FFR: ٌâîهâًهىهييîه ïهًهêë‏÷هيèے èç çîيû â çîيَ è يàçيà÷هيèه àلîيهيٍَ çîيه R1 ëèلî R3, êîٍîًîه نîëويî ٌîîٍâهٌٍٍâîâàٍü êà÷هٌٍâَ ٌèميàëà è èçىهيهيèےى ًàٌïîëîوهيèے جر. ءàçîâàے ٌٍàيِèے (ءر) نîëويà ïîëَ÷àٍü ًهمَëےًيَ ٌèميàëüيَ‏ ïîٌûëêَ îٍ ىîلèëüيîé ٌٍàيِèے (جر), يà îٌيîâه êîٍîًîé ءر ًهّàهٍ, êàêَ‏ èç çîي ïًهنîٌٍàâèٍü R1 èëè R3. دًè لûًٌٍîى نâèوهيèè جر ٌêîًîٌٍü îليîâëهيèے îلًàلîٍêè ٌèميàëüيûُ ïîٌûëîê نîëويà لûٍü لîëهه ÷àٌٍûىè.

دًهنîٌٍàâëهيèه çîي â ءر نëے êîيêًهٍيîمî ïîëüçîâàٍهëے ىîوهٍ لûٍü îٌيîâàيî يà يهٌêîëüêèُ ïàًàىهًٍàُ. فٍè ïàًàىهًٍû نîëويû لûٍü îïًهنهëهيû èç ٌèميàëîâ ïîٌûëîê îٍ جر نî ءر. تàê ٌëهنَهٍ èç ٌêàçàييîمî, ïًèيِèï FFR ٌَùهٌٍâهييهه, نëے ًهّهيèے ïًîلëهى ٌâےçàييûُ, ٌ ٌîêàيàëüيûىè ïîىهُàىè ïîëüçîâàٍهëهé, يàُîنےùèٌُے يà êًà‏ ٌîٍû. رëهنîâàٍهëüيî, ïàًàىهًٍû نëے يàçيà÷هيèے çîي, ًàٌٌىàًٍèâà‏ٌٍے îٍ ءر ê جر. ءر ًàلîٍàهٍ îنيîâًهىهييî ٌ îلهèىè çîيàىè, êàê ٌ R1, ٍàê R3, يàًٌٍàèâàے ïîًîم ïهًهُîنà ٌ çîيû â çîيَ. خنيàêî, مëàâيûé يهنîٌٍàٍîê ïًèيِèïà يàçيà÷هيèے çîي ٌîٌٍîèٍ â ٍîى, ÷ٍî êà÷هٌٍâî ٌèميàëà يه îلےçàٍهëüيî êîًًهëèًَهٍ ٌ ًàٌٌٍîےيèهى îٍ ءر èç-çà ‎ôôهêٍîâ, èçâهٌٍيûُ êàê لûًٌٍûه çàىèًàيèه è çàٍهيهيèه.

آ ïًîِهٌٌه îِهيêه ٌٍàينàًٍà WiMAX îنيèى èç âàويهéّèُ ïàًàىهًٍîâ ےâëےهٌٍے îُâàٍ è نîٌٍàٍî÷يî ُîًîّهه êà÷هٌٍâî ٌèميàëà, êîٍîًûé îïèٌûâàهٍ ïًîِهيٍ ïîëüçîâàٍهëهé, êîٍîًûه ىîمٍَ لûٍü îلٌëَوهيû.

تîىïàيèهé Fujitsu Laboratories of Europe Ltd., لûëè ïًîâهنهيû èٌٌëهنîâàيèه êîىلèيèًîâàييîمî ïëàيèًîâàيèے ٌîٍ, è â ًٌàâيهيèè ٌ نًَمèىè ïًèيِèïàىè ïëàيèًîâàيèه Reuse1 è Reuse3 (10), لûëè ïîëَ÷هيû ٌëهنَ‏ùèه ًهçَëüٍàٍû.

دًîïٌَêيàے ٌïîٌîليîٌٍü FFR, îêàçàëîٌü ëَ÷ّه يà 18% ïî ًٌàâيهيè‏ ٌ Reuse3, يî َُوه يà 13% ÷هى Reuse1. رًàâيهيèے ïًîïٌَêيîé ٌïîٌîليîٌٍè ïîêàçàيî يà ًèٌ. 4.10.

ذèٌ. 4.10. دًîïٌَêيàے ٌïîٌîليîٌٍü نëے Reuse1, FFR è Reuse3

 

زàêوه لûëè èٌٌëهنîâàيû ïîêًûٍèے è êà÷هٌٍâî ïًèيèىàهىîمî ٌèميàëà يà ًàçëè÷يûُ َ÷àٌٍêàُ ٌîٍû. آ ِهيًٍه ٌîٍû يà ًàٌٌٍîےيèè يه ïًهâûّà‏ùهى 300 ىهًٍîâ îٍ ءر (ًèٌ. 4.11.) ïîëَ÷هيû ٌëهنَ‏ùèه ًهçَëüٍàٍû: ïًè Reuse1, ÷èٌëî ïîëüçîâàٍهëهé, êîٍîًûه ىîمٍَ لûٍü îلٌëَوهيû, نîٌٍèمëî 76%. خنيàêî ïًè FFR, ÷èٌëî îلٌëَوèâàهىûُ ïîëüçîâàٍهëهé â ِهيًٍه ٌîٍû َâهëè÷èâàهٌٍے نî 96%.

رًàâيهيèه ٌ Reuse3 يه ِهëهٌîîلًàçيî, ٍàê êàê ïًîïٌَêيàے ٌïîٌîليîٌٍü مîًàçنî يèوه ÷هى ïًè Reuse1 è FFR.

ذèٌ. 4.11. صàًàêٍهًèٌٍèêà îلٌëَوèâàهىûُ ïîëüçîâàٍهëهé, يà ًàٌٌٍîےيèè نî 300 ى., îٍ ءر

 

ذàٌٌىîًٍèى âîçىîويîه ÷èٌëî ïîëüçîâàٍهëهé ٌ يà êًà‏ ٌîٍ. ذهçَëüٍàٍû, ïîëَ÷هييûه يà êًàےُ ٌîٍ ٍàêîâû, ÷ٍî ïًè Reuse1 ÷èٌëî îلٌëَوèâàهىûُ ïîëüçîâàٍهëهé نîٌٍèمàهٍ ٍîëüêî 25%, â ٌëَ÷àه FFR îيî نîٌٍèمëî 76%, ÷ٍî ےâëےهٌٍے نîٌٍàٍî÷يî âûٌîêèى ïîêàçàٍهëهى. حà ًèٌ. 4.12 èëë‏ًٌٍèًîâàيû ًهçَëüٍàٍû, ïîëَ÷هييûه يà êًà‏ ٌîٍ, يà ًàٌٌٍîےيèè îٍ 800 نî 1000 ى.

ذèٌ. 4.12. صàًàêٍهًèٌٍèêà îلٌëَوèâàهىûُ ïîëüçîâàٍهëهé, يà ًàٌٌٍîےيèè îٍ 800 نî 1000 ى., îٍ ءر

4.3 صàًàêٍهًèٌٍèêà êàيàëà ٌâےçè

خïًهنهëهيèه ïàًàىهًٍîâ êàيàëà, èىههٍ êë‏÷هâîه çيà÷هيèه ïًè ًàçًàلîٍêه ë‏لîé ٌèٌٍهىû ٌâےçè. رâîéٌٍâà êàيàëà, âيîٌèىûه èٌêàوهيèے è ïîىهُè, à ٍàêوه نîïٌٍَèىàے ّèًèيà ٌïهêًٍà ïهًهنàâàهىîمî ٌèميàëà îïًهنهëے‏ٍ ىàêٌèىàëüيَ ٌêîًîٌٍü ïهًهنà÷è ïًè çàنàييîى êà÷هٌٍâه. زàêèى îلًàçîى, ïهًهن يàىè ٌٍîèٍ çàنà÷à îïًهنهëèٍü ïàًàىهًٍû êàيàëà ïهًهنà÷è نàييûُ â ‎ٍîé ٌèٌٍهىه.

ذàٌٌىîًٍèى îٌيîâيûه ïîيےٍèے ïًè ًàٌïًîًٌٍàيهيèè ًàنèîâîëي:

·        فيهًمèے ًàنèîٌèميàëà îٍ ٍî÷ه÷يîمî èçëَ÷àٍهëے ًàٌïًîًٌٍàيےهٌٍے ٌôهًè÷هٌêè (ًèٌ. 4.13). دًèيèىàهىûé ٌèميàë جر îٍ ïهًهنà‏ùهé àيٍهييû ءر يà ًàٌٌٍîےيèè d îلًàٍيî ïًîïîًِèîيàëهي ïëîùàنè ٌôهًû.

ذèٌ. 4.13. ذàٌïًîًٌٍàيهيèه ًàنèîٌèميàëà îٍ ٍî÷ه÷يîمî èçëَ÷àٍهëے

 

دîٍهًè يà ًٍàٌٌه (path loss) - îïًهنهëے‏ٌٍے êàê ë‏لîه ََُنّهيèه èëè îٌëàلëهيèه ٌèميàëà ïًè همî ًàٌïًîًٌٍàيهيèè è ىîمٍَ ُàًàêٍهًèçîâàٍüٌے نâَىے îٍنهëüيûىè ïàًàىهًٍàىè: ًٌهنيèه ïîٍهًè يà ًٍàٌٌه è çàىèًàيèه.

سًîâهيü ٌèميàëà يà âُîنه ïًèهىيèêà ïًè ïًےىîëèيهéيîى ًàٌïًîًٌٍàيهيèè â îٍêًûٍîى ïًîًٌٍàيٌٍâه ïًè îنيîëَ÷هâîé ىîنهëè:

, (4.14)

منه  - ىîùيîٌٍü ïًèيèىàهىîمî ٌèميàëà,  - ىîùيîٌٍü ïهًهنàٍ÷èêà, - نëèيà âîëيû. G - êî‎ôôèِèهيٍ ٌَèëهيèے ïهًهنà‏ùهé è ïًèيèىà‏ùهé àيٍهييû.

حî â ًهàëüيûُ ٌَëîâèےُ ïًîُîونهيèه ٌèميàëà îلٌَëîâëهيî ٍهى, ÷ٍî يà ïٍَè âîçيèêà‏ٍ ىيîوهٌٍâî ïًهïےٌٍٍâèé, ًèٌ. 4.14. آ ًهçَëüٍàٍه ïهًهîًٍàوهيèé îٍ çهىëè è îٍ نًَمèُ îلْهêٍîâ ôàçà âîëيû ىîوهٍ ٌىهùàٍüٌے نî .

حَويî َ÷èٍûâàٍü ًٍè îٌيîâيûُ ٌïîٌîلà ًàٌïًîًٌٍàيهيèے ًàنèîâîëي:

·        خًٍàوهيèه - èىههٍ ىهٌٍî ïًè ïàنهيèè âîëيû يà îلْهêٍû ٌ ًàçىهًàىè يàىيîمî لîëüّه نëèيû âîëيû. حàلë‏نà‏ٌٍے, يàïًèىهً, îًٍàوهيèے îٍ çهىëè, ٌٍهي çنàيèé è ٍ.ï.

·        ؤèôًàêِèے - ےâëهيèه âîçيèêيîâهيèے âٍîًè÷يûُ âîëي ïًè ïàنهيèè ًàنèîâîëيû يà ïًهïےٌٍٍâèه ٌ îًٌٍûىè êًàےىè. ؤèôًàêِèهé îلٌَëîâëهيî يàëè÷èه ïîëے çà ïًهïےٌٍٍâèےىè â çîيه مهîىهًٍè÷هٌêîé ٍهيè. حà âûٌîêèُ ÷àٌٍîٍàُ نèôًàêِèے, êàê è îًٍàوهيèه, ٌَùهٌٍâهييî çàâèٌèٍ îٍ مهîىهًٍèè îلْهêٍà, à ٍàêوه îٍ ÷àٌٍîٍû àىïëèٍَنû, ôàçû âîëيû è ïîëےًèçàِèè ïîëے.

·        ذàٌٌهےيèه - èىههٍ ىهٌٍî ïًè ًàٌïًîًٌٍàيهيèè âîëيû â ًٌهنه ٌ ىهëêèىè îلْهêٍàىè (ىهيüّه نëèيû âîëيû).

ذèٌ. 4.14. ؤâَُëَ÷هâîه ًàٌïًîًٌٍàيهيèه ًàنèîٌèميàëà

 

دًè ًàٌٌىîًٍهيèè نâَُëَ÷هâîé ىîنهëè ًèٌ. 4.14, (يàëè÷èه ïًےىîمî ëَ÷à è îًٍàوهييîمî):

 (4.15)

آ نàييîى ٌëَ÷àه لîëüَّ‏ ًîëü èمًàهٍ âûٌîٍà ïîنâهٌà àيٍهييû h: ÷هى âûّه âûٌîٍà àيٍهييû, ٍهى ëَ÷ّه. ؤëèيà âîëيû èٌ÷هçëà èç ôîًىَëû. اàâèٌèىîٌٍü ىîùيîٌٍè îٍ ًàٌٌٍîےيèے ٌٍàيîâèٌٍے , ïî‎ٍîىَ ïîٍهًè ‎يهًمèè ٌ َâهëè÷هيèهى ًàٌٌٍîےيèے ٌٍàيîâےٌٍے لîëهه çيà÷èٍهëüيûىè ïî ًٌàâيهيè‏ ٌ îنيîëَ÷هâûى ًàٌïًîًٌٍàيهيèهى.

ؤëے ٍîمî ÷ٍîلû îلîلùèٍü âٌه ًàçيîîلًàçيûه ïàًàىهًٍû îêًَوà‏ùهé ًٌهنû, èٌïîëüçَ‏ٍ ‎ىïèًè÷هٌêَ‏ ôîًىَëَ ïîٍهًü يà ًٍàٌٌه:

 (4.16)

شîًىَëà 2.16 îلîلùàهٍ ًàçëè÷يûه ‎ôôهêٍû â 2-ُ ïàًàىهًٍàُ: ‎êٌïîيهيٍà ïîٍهًü يà ًٍàٌٌه  è èçىهًےهىûه ïîٍهًè  îٍيîٌèٍهëüيî ًàٌٌٍîےيèے , êîٍîًîه îلû÷يî ًàâيےهٌٍے 1 ىهًٍَ.

 


4.4 جîنهëü COST-231 Hata


ؤëے ًàٌ÷هٍà çàٍَُàيèے ٌèميàëà يà ًٍàٌٌه, èٌïîëüçَ‏ٍ ىîنهëè ًàٌïًîًٌٍàيهيèے ًàنèîâîëي. ؤëے ٌèٌٍهى ٌٍàينàًٍà WiMAX, لîëهه ïîنُîنےùàے ىîنهëü ےâëےهٌٍے COST-231 Hata. ذàٌٌىîًٍèى ‎ٍَ ىîنهëü.

جîنهëü COST-231 Hata èٌُîنèٍ èç لîëهه ًàييهé ىîنهëè ïîن يàçâàيèهى Hata. جîنهëü Hata لûëà ٌَîâهًّهيٌٍâîâàيà ٌïهِèàëüيî نëے ٌهٍهé WiMAX مًَïïîé European COST (Cooperation in the field of Scientific and Research). ذàٌّèًهييàے ىîنهëü يîٌèٍ يàçâàيèه COST-231 Hata (11). جîنهëü COST-231 Hata ïًهنïîëàمàهٍ, ÷ٍî àيٍهييû لàçîâûُ ٌٍàيِèé ًàٌïîëîوهيû âûّه îêًَوà‏ùèُ ًٌٍîهيèé, à ًàçىهً ے÷ههê ïًè ôîًىèًîâàيèè ىàêًîٌîٍîâîé ًٌٍَêًٍَû ٌهٍè ٌîٌٍàâëےهٍ îêîëî 1 êى è لîëهه. آ ‎ٍîى ٌëَ÷àه ïîٍهًè ًàٌïًîًٌٍàيهيèے îïًهنهëے‏ٌٍے مëàâيûى îلًàçîى ïًîِهٌٌîى نèôًàêِèè è ًàٌٌهےيèے ًàنèîâîëي يà âûٌîٍه êًûّ çنàيèé, îêًَوà‏ùèُ àلîيهيٌٍêَ‏ ٌٍàيِè‏. ذàٌïًîًٌٍàيهيèه îٌيîâيûُ ëَ÷هé îٍ لàçîâîé ٌٍàيِèè ïًîèٌُîنèٍ âûّه êًûّ ًٌٍîهيèé. فٍà ىîنهëü نهéٌٍâèٍهëüيà ïًè ٌëهنَ‏ùèُ ïàًàىهًٍàُ:

f 2000 جأِ

ىhbs 200 ى

ى hms ≤ 10 ى

êى d ≤ 20 êى

انهٌü f - ÷àٌٍîٍà, d - ًàٌٌٍîےيèه ىهونَ جر è ءر â êى, hbs è hms - âûٌîٍû ًàٌïîëîوهيèے ءر è جر ٌîîٍâهٌٍٍâهييî, â ىهًٍàُ. هنèàييîه çيà÷هيèه îٌëàلëهيèے â ٌîîٍâهٌٍٍâèè ٌ COST-231 Hata جهنèàييîه çيà÷هيèه îٌëàلëهيèے â ٌîîٍâهٌٍٍâèè ٌ COST-231 Hata



تîًًهêٍèًَ‏ùèé êî‎ôôèِèهيٍ â çàâèٌèىîٌٍè îٍ âûٌîٍû àيٍهييû ہر - a(hms):

a(hms) = (1,11·lg f - 0,7) hms - (1,56 lg f - 0,8) (4.19)

ؤëے مîًîنٌêèُ è ïًèمîًîنيûُ ٍهًًèٍîًèé ïîïًàâî÷يûé êî‎ôôèِèهيٍ C ٌîٌٍàâëےهٍ 3نء è 0نء ٌîîٍâهٌٍٍâهييî. WiMAX Forum, ًهêîىهينَهٍ èٌïîëüçîâàٍü ‎ٍَ ىîنهëü ïًè ïëàيèًîâàيèè ىîلèëüيîé ىàêًîٌîٍîâîé ٌهٍè. ؤëے ïîëَ÷هيèے ًهàëüيîمî (ًٍهلَهىîمî) çيà÷هيèے çàٍَُàيèے ê îلùهé ôîًىَëه (4.18) نîلàâëے‏ٍ îٍ 6نء نî 10نء نëے َ÷هٍà çàٍَُàيèے, âûçâàييîمî ىهنëهييûىè çàىèًàيèےىè. ؤëے êîًًهêٍيîمî èٌïîëüçîâàيèے ôîًىَë COST-231 Hata يهîلُîنèىî ïًèنهًوèâàٍüٌے ٌîîٍâهٌٍٍâèے ىهونَ ٍèïàىè ىîنهëهé è ُàًàêٍهًèٌٍèêàىè ىهٌٍيîٌٍè - ïëîٍيàے ٌهëüٌêàے çàًٌٍîéêà - ىàëî‎ٍàويàے àنىèيèًٌٍàٍèâيàے è وèëàے çàًٌٍîéêà, èينًٌٍَèàëüيûه çنàيèے يه âûّه ًٍهُ ‎ٍàوهé. دًè ‎ٍîى ïîêًûٍèه ٌîٍ â çيà÷èٍهëüيîé ىهًه îïًهنهëےهٌٍے نèôًàêِèهé è ًàٌٌهےيèهى ٌèميàëà يà لëèوàéّèُ ê àلîيهيٍَ çنàيèےُ.

 

4.5 آûلîً ٍîïîëîمèè ٌهٍè


زàê êàê ïهًهنà÷à نàييûُ ىهونَ ïًîهêٍèًَهىûىè لàçîâûىè ٌٍàيِèےىè WIMAX ê ِهيًٍàëüيîىَ ïَëüٍَ «ٌëهوهيèے è êîيًٍîëے» لَنهٍ ïهًهنàâàٍüٌے ٌ ïîىîùü‏ ًٍàيٌïîًٍيîé ٌهٍè, يهîلُîنèىî îïًهنهëèٍüٌے ٌ ٍîïîëîمèهé ‎ٍîé ٌهٍè.

خٌيîâيûه ٍîïîëîمèè ٌهٍهé ٌâےçè:

·        ضهïü

·        اâهçنà

·        ؤهًهâî

·        تîëüِî

·        ك÷هèٌٍàے ىهّàييàے)

«ضهïü». دًè ‎ٍîé ٍîïîëîمèè âٌه َçëû ٌîهنèيهيû ïîٌëهنîâàٍهëüيî. فٍà ٍîïîëîمèے ‎êîيîىè÷يà è èٌïîëüçَهٌٍے â وهëهçيîنîًîويûُ ٌهٍےُ ٌâےçè.

«اâهçنà». دًè ‎ٍîé ٍîïîëîمèè îنèي ٌهٍهâîé ‎ëهىهيٍ ٌëَوèٍ êàê îٌîلûé َçهë, ٌîهنèيے‏ùèé َçëû, êîٍîًûه يه ٌîهنèيهيû يàïًےىَ‏, è âٌه ïîٍîêè ٌî âٌهُ ٌهٍهâûُ ‎ëهىهيٍîâ ïهًهنà‏ٌٍے ÷هًهç ‎ٍîٍ îٌîلûé َçهë. ؤîٌٍîèيٌٍâîى ‎ٍîé ٍîïîëîمèè ےâëےهٌٍے ٍî, ÷ٍî âٌه ٌهٍهâûه ‎ëهىهيٍû ٌîهنèيے‏ٌٍے ÷هًهç îنèي َçهë, îلëهم÷àے ٍهى ٌàىûى ًàٌïًهنهëهيèه ïîëîٌû ïًîïٌَêàيèے è ٌيèوàے ِهيû. حهنîٌٍàٍîê - يàنهويîٌٍü è هىêîٌٍü ٌهٍè çàâèٌèٍ îٍ يàنهويîٌٍè è ïًîïٌَêيîé ٌïîٌîليîٌٍè َçëîâîمî ‎ëهىهيٍà. فٍîٍ ٍèï ٍîïîëîمèè èٌïîëüçَهٌٍے â îٌيîâيîى â ëîêàëüيûُ ٌهٍےُ هٍےُ نîٌٍَïà è â àلîيهيٌٍêèُ ٌهٍےُ).

«ؤهًهâî» - ‎ٍî êîىلèيàِèے «ِهïè» è «çâهçنû», يî يàنهويîٌٍü è هىêîٌٍü ٌهٍè ïî-ïًهويهىَ çàâèٌèٍ îٍ يàنهويîٌٍè è ïًîïٌَêيîé ٌïîٌîليîٌٍè َçëîâîمî ‎ëهىهيٍà.

«تîëüِî» - ٌهٍü, èىه‏ùàے ٍîïîëîمè‏ «ِهïü», َ êîٍîًîé ٌîهنèيهيû يà÷àëüيûé è êîيه÷يûé ‎ëهىهيٍû. ؤàييûé ٍèï ٍîïîëîمèè ُàًàêٍهًèçَهٌٍے âûٌîêîé يàنهويîٌٍü‏, ٌïîٌîليîٌٍü‏ ê ٌàىîâîٌٌٍàيîâëهيè‏, îي èٌïîëüçَهٌٍے â لîëüّèيٌٍâه ٌَùهٌٍâَ‏ùèُ ٌهٍهé.

«رىهّàييàے» ôîًىèًَهٌٍے èç êîىلèيàِèé âٌهُ âûّهïًèâهنهييûُ ٍîïîëîمèé. دًè ôîًىèًîâàيèè ٌهٍè îيà يàٌëهنَهٍ è يهنîٌٍàٍêè ٍîïîëîمèé, èٌïîëüçîâàييûُ ïًè هه ïîًٌٍîهيèè.

ر ٍî÷êè çًهيèے يàنهويîٌٍè, âûلèًàهى ٍîïîëîمè‏ ٌهٍè - «تîëüِî».

 

4.6 آûلîً îلîًَنîâàيèé لàçîâûُ è àلîيهيٌٍêèُ ٌٍàيِèé

 

1.       ءàçîâàے ٌٍàيِèے WiMAX Base Station Air4Gs - êîىïàêٍيàے, îïٍèىèçèًîâàييàے ïî ٌٍîèىîٌٍè ىèêًîلهٌïًîâîنيàے لàçîâàے ٌٍàيِèے (12).

ؤëے ïëàيèًîâàيèے ٌهٍè âîçüى¸ى îلîًَنîâàيèه êîىïàيèè Airspan. دًîèçâهنهى ًàٌ÷هٍ ïàًàىهًٍîâ ٌهٍè ٌ èٌïîëüçîâàيèهى îلîًَنîâàيèے îنîلًهييîمî WiMAX Forum.

رٍàيِèے Air4Gs îلëàنàهٍ âûٌîêîé ïًîèçâîنèٍهëüيîٌٍü‏, êîيًٌٍَêِèهé - «âٌه-â-îنيîى», ïًèىهيےهٌٍے نëے يàًَويîمî èٌïîëüçîâàيèے - «âٌه يà َëèِه», ےâëےهٌٍے îلîًَنîâàيèهى îïهًàٍîًٌêîمî êëàٌٌà. ر يهلîëüّîé, ٍîيêèé è ëهمêèé ôîًى-ôàêٍîًîى جàٌٌà - 10,5 kg/23.15 ôَيٍîâ. حèçêîه يهًمîïîًٍهلëهيèه - ىهيهه 90 آٍ.Gs ےâëےهٌٍے ïًîٌٍûى è نîٌٍَïيûى â ٌٍَàيîâêه è îلٌëَوèâàيèè.

Base Station Air4Gs ىîوهٍ ًàلîٍàٍü ٌ êàيàëàىè ّèًèيîé 5 جأِ, 7 جأِ è 10 جأِ.Gs èنهàëüيî ïîنُîنèٍ نëے îïهًàٍîًîâ è îïهًàٍîًٌêèُ ٌهٍهé â ïًèمîًîنيûُ è ٌهëüٌêèُ ًàéîيàُ, à ٍàêوه ًàٌّèًهيèے (ًàçâهًٍûâàيèے) مîًîنٌêèُ ٌهٍهé. دًîنَêٍ îïٍèىèçèًîâàي نëے âهًٍèêàëüيûُ ïًèëîوهيèé, ٍàêèُ êàê Smart Grid èëè ًٍàيٌïîًٍà, منه ÷àٌٍî هٌٍü يهîلُîنèىîٌٍü â ىîùيûُ, ‎êîيîىè÷هٌêè ‎ôôهêٍèâيûُ ًهّهيèےُ. Air4Gs ‎ٍî لàçîâàے ٌٍàيِèے ىîلèëüيîمî WiMAX (IEEE802.16e), ٌٍàينàًٍيûه èيٍهًôهéٌû R1 è R6.

ذèٌ. 4.15. ءàçîâàے ٌٍàيِèے Air4Gs

صàًàêٍهًèٌٍèêè ءر

دîننهًوèâàهىûه نèàïàçîيû ÷àٌٍîٍ, أأِ

2.3-2.4, 2.5-2.7, 3.3-3.8, 4.9-5.0

طèًèيà êàيàëà, جأِ

1.75, 3.5, 5,7, 10

×èٌëî ïîنيهٌَùèُ

256; 512 è 1024

جهٍîن نَïëهêٌèëîâàيèے

FDD + TDD

جîنَëےِèے

2-شج; 4-شج; 16-تہج; 64-تہج.

دîننهًوèâàهىûه ïًîôèëè

شèêٌèًîâàييûé WiMAX (ًàٌّèًےهىûé نî ىîلèëüيîمî WiMAX)

رٍàينàًٍ

IEEE 802.16e-2005

جîùيîٌٍü ïهًهنàٍ÷èêà

نî 40نءى يà ٌهêٍîً

×َâٌٍâèٍهëüيîٌٍü ïًèهىيèêà

-115 نءى (1/16), -103 نءى (1/1)

تî‎ôôèِèهيٍ ٌَèëهيèے àيٍهيي (UL/DL)

17نء

ہيٍهييà êîيôèمًَàِèے

MIMO: êًَمîâàے 2ُ2;

تîنèًîâàيèه ٌ êîًًهêِèهé îّèلîê

رâهًٍî÷يîه êîنèًîâàيèه; ًٍَلîêîنèًîâàيèه.

تàلهëè ٌîهنèيے‏ùèه ODU è IDU

دîëيîٌٍü‏ âيهّيهه èٌïîëيهيèه

ؤèàمًàىىà يàïًàâëهييîٌٍè àيٍهييû îنيîمî ٌهêٍîًà

60°, 90°, 120°, 180°, 360°


2.       Mobile WiMAX ASN ّë‏ç ًهّهيèے (AN1 WIMAX ASN-GW) (12)

IEEE 802.16e-2005 ٌîâىهٌٍيî ٌ ٌهٍü‏ WiMAX Forum ‎ٍàëîييîé ىîنهëè (NRM) îلëàنàهٍ ٌïîٌîليîٌٍü‏ َïًàâëےٍü ىîلèëüيîٌٍü‏ àلîيهيٍîâ, îلهٌïه÷èâàهٍ âîçىîويîٌٍü èنهيٍèôèêàِèè, َ÷هٍà è ïًèىهيهيèے ïîëèٍèêè â ًàٌ÷هٍه يà àلîيهيٍà, à ٍàêوه نëے âûïîëيهيèے ôَيêِèé AAA. فٍî نîٌٍèمàهٌٍے ïٍَهى نهëهيèے WiMAX ٌهٍè يà نâه îٌيîâيûه ÷àٌٍè:

·        ؤîٌٍَï ê ٌëَوله Network (ASN);

·        دîنêë‏÷هيèه ٌهٍهâûُ ٌëَول (ؤحر) ٌîٌٍîèٍ èç لàçîâûُ ٌٍàيِèé WiMAX è ASN Gateway (ASNGW).

ؤحر â ضهيًٍه ٌهٍè, îلهٌïه÷èâàهٍ êîيًٍîëü è َïًàâëهيèه ôَيêِèé IMS (ٌïهِèôèêàِèے ïهًهنà÷è ىَëüٍèىهنèà â ‎ëهêًٍîٌâےçè يà îٌيîâه ïًîٍîêîëà IP), DHCP (Dynamic Host Configuration Protocol - ïًîٍîêîë نèيàىè÷هٌêîé êîيôèمًَàِèè َçëà), FTP (File Transfer Protocol - ïًîٍîêîë ïهًهنà÷è ôàéëîâ) è AAA (Authentication, Authorization, Accounting).

رهٍü َïًàâëےهٌٍے ïًîمًàىىيûى ïàêهٍîى AS8200 Netspan.

خنيèى èç êë‏÷هâûُ ‎ëهىهيٍîâ ASN ےâëےهٌٍے ASNGW, êîٍîًàے êîيًٍîëèًَهٍ è َïًàâëےهٍ ًٍàôèêàىè îٍ لîëüّîمî êîëè÷هٌٍâà لàçîâûُ ٌٍàيِèé WiMAX. دëàٍôîًىà AN1 ïًهنٌٍàâëےهٍ ٌîلîé èنهàëüيَ ًٌهنَ يà÷àëüيîمî ًَîâيے نëے ًàٌïًهنهëهيèے ïîêًûٍèے WiMAX ïًèëîوهيèé ê يهلîëüّîىَ ÷èٌëَ àلîيهيٍîâ è َنîâëهٍâîًهيèے ًٍهلîâàيèé ê ïًîïٌَêيîé ٌïîٌîليîٌٍè. رîçنàهٌٍے ٌهٍü, àًُèٍهêًٍَà êîٍîًîé îلهٌïه÷èâàهٍ ‎êîيîىè÷هٌêَ‏ ‎ôôهêٍèâيîٌٍü يà ٌهëüٌêèُ ٌهٍےُ è ٌهٍےُ يهلîëüّèُ يàٌهëهييûُ ïَيêٍîâ.

تàونûé ّë‏ç ASN ىîوهٍ ٌîًٌهنîٍî÷èٍü ًٍàôèêè îٍ يهٌêîëüêèُ لàçîâûُ ٌٍàيِèé, ÷ٍî ٌîêًàùàهٍ يهîلُîنèىîه êîëè÷هٌٍâî َïًàâëےهىûُ ًٌٍَîéٌٍâ è AAA îïهًàِèé ïًè ٌâهنهيèè ê ىèيèىَىَ çàنهًوêè ٌٍَàيîâëهيèے ٌîهنèيهيèے çà ٌ÷هٍ َىهيüّهيèے ÷èٌëà âûçîâîâ â ٌهٍè. HA: (Home Agent, ÷àٌٍü CSN) - ‎ëهىهيٍ ٌهٍè, îٍâه÷à‏ùèé çà âîçىîويîٌٍü ًîَىèيمà

خٌيîâيûه ُàًàêٍهًèٌٍèêè è ïًهèىَùهٌٍâà

·        دîëيûé ASN ّë‏ç è ôَيêِèîيàëüيîٌٍü HA (Home Agent, ÷àٌٍü CSN)

·        دîëيûé يàلîً âîçىîويîٌٍهé, َïًàâëهيèه ىîلèëüيîٌٍü‏, â ٍîى ÷èٌëه è CMIP (Common Management Information Protocol. دًîٍîêîë îلùهé َïًàâëے‏ùهé èيôîًىàِèè) - ٌٍàينàًٍ َïًàâëهيèے ٌهٍü‏ OSI. PMIP v4/v6

·        دًî÷يàے êîيًٌٍَêِèے, îïهًàٍîًٌêèé êëàٌٌ ٌîîٍâهٌٍٍâَهٍ NEBS / ETSI ًٍهلîâàيèےى, à ٍàêوه âîçىîويîٌٍü‏ âîٌٌٍàيîâëهيèے ïًîمًàىىيîمî îلهٌïه÷هيèے

3.       Netspan - ïًîمًàىىà َïًàâëهيèے ٌهٍü‏

دًîنَêٍû Airspan âêë‏÷à‏ٍ â ٌهلے âٌه ôَيêِèè, يهîلُîنèىûه نëے ïهًâîيà÷àëüيîé ٌٍَàيîâêè è ââîنà â ‎êٌïëَàٍàِè‏ ïًîنَêِèè, à ٍàêوه èُ لهٌïهًهلîéيîé è ‎ôôهêٍèâيîé ًàلîٍû. ؤëے ‎ٍîمî âٌه ïًîنَêٍû âêë‏÷à‏ٍ â ٌهلے ّèًîêèه âîçىîويîٌٍè َïًàâëهيèے ôَيêِèےىè ‎ٍèُ ïًîنَêٍîâ, à ٍàêوه ِهيًٍàëèçîâàييîه َïًàâëهيèه è îïهًàِèè (O & M) ٌèٌٍهىû.îلهٌïه÷èâàهٍ âûïîëيهيèه ٌëهنَ‏ùèُ ôَيêِèé:

·        بٌïًàâيîٌٍü َïًàâëهيèے

·        سïًàâëهيèه êîيôèمًَàِèهé

·        خلًàلîٍêà àâàًèéيûُ ٌèميàëîâ

·        سïًàâëهيèه ïًîèçâîنèٍهëüيîٌٍü‏

·        سïًàâëهيèه لهçîïàٌيîٌٍü‏ ًٌٍîèٌٍے â ٌîîٍâهٌٍٍâèè ٌ àًُèٍهêًٍَîé êëèهيٍ / ٌهًâهً. رهًâهً Netspan ًàلîٍàهٍ يà ïëàٍôîًىه دت, èٌïîëüçَے لàçَ نàييûُ SQL نëے ًُàيهيèے êîيôèمًَàِèè, ٌٍàٍèٌٍèêè è èٌٍîًèé ًٍهâîمè ïî ًàنèîٌهٍè. ؤîٌٍَï ê ٌهًâهًَ Netspan îٍ ًàçëè÷يûُ ٌٍàينàًٍيûُ âهل-لًàَçهًîâ - ٌ ïîىîùü‏ âهل-ٌëَولû ٌهًâهًà Netspan.

سïًàâëهيèه ٌهٍü‏ ٌ ïîىîùü‏ Netspan îٌَùهٌٍâëےهٌٍے îنيèى ًàلîٍيèêîى - îïهًàٍîًîى êًَمëîٌٍَî÷يî.

4.       رهêٍîًيàے àيٍهييà نëے لàçîâîé ٌٍàيِèè INT-SEC-17/5X-H

خïèٌàيèه àيٍهييû

SECTOR ‎ٍî ïًîôهٌٌèîيàëüيûه àيٍهييû, ïًهنيàçيà÷هييûه نëے ïîًٌٍîهيèے لàçîâûُ ٌٍàيِèé âûٌîêîé ¸ىêîٌٍè â ٌهëüٌêèُ ًàéîيàُ. ہيٍهييû èىه‏ٍ âîçىîويîٌٍü يàêëîيà, ÷ٍî îلهٌïه÷èâàهٍ ىîùيûé, ٌôîêٌَèًîâàييûé ٌèميàë â ٌهêٍîًه. ءëàمîنàًے âûٌîêîىَ ٌَèëهيè‏ è ّèًîêîىَ َمëَ îُâàٍà àيٍهييû, â ىàëîيàٌهë¸ييûُ ًàéîيàُ نîٌٍèمàهٌٍے ïîêًûٍèه êà÷هٌٍâهييûى ٌèميàëîى لîëüّîé ïëîùàنè. آûٌîêîêà÷هٌٍâهييûé êîًïٌَ ïîçâîëےهٍ نîٌٍèمàٍü âûٌîêîمî ًهçَëüٍàٍà نàوه â ًٌَîâûُ ïîمîنيûُ ٌَëîâèےُ.

تë‏÷هâûه نîٌٍîèيٌٍâà

·        بçëَ÷à‏ùàے ïîâهًُيîٌٍü ïîêًûٍà ëàêîى - يàن¸ويîٌٍü ïًè ë‏لûُ ïîمîنيûُ ٌَëîâèےُ

·        ہيٍهييà îٍيîٌèٍهëüيî يهلîëüّàے è ë¸مêàے.

·        خلëَ÷àٍهëü ىèêًîïîëîٌêîâîمî ٍèïà.

·        جîنَëüيàے êîيًٌٍَêِèے îلهٌïه÷èâàهٍ يàن¸ويîه ôَيêِèîيèًîâàيèه â ٌàىûُ ًٌَîâûُ ïîمîنيûُ ٌَëîâèےُ.

·        رهمىهيٍèًîâàيèه ïîêًûٍèے ïîçâîëےهٍ îلٌëَوèâàٍü لîëüّه ïîëüçîâàٍهëهé îنيîé لàçîâîé ٌٍàيِèهé.

·        ہيٍهييîه êًهïهëهيèه èىههٍ âîçىîويîٌٍü يàêëîيà, ÷ٍî ïîçâîëےهٍ îïٍèىèçèًîâàٍü ïîêًûٍèه è َىهيüّèٍü âëèےيèه ïîٌٍîًîييèُ ٌهٍهé.

·        تًهïëهيèه ٌ âîçىîويîٌٍü‏ ًهمَëèًîâêè â مîًèçîيٍàëüيîé è âهًٍèêàëüيîé ïëîٌêîٌٍےُ îلهٌïه÷èâàهٍ ٍî÷يîه يàِهëèâàيèه àيٍهييû.

زàلëèِà 4.3

ؤèàïàçîي ÷àٌٍîٍ, جأِ

2300-3800 MHz

سٌèëهيèه

17dBi

â مîًèçîيٍàëüيîé ïëîٌêîٌٍè (-3dB)

60°

â âهًٍèêàëüيîé ïëîٌêîٌٍè (-3dB)

â مîًèçîيٍàëüيîé ïëîٌêîٌٍè (-10dB)

134°

â âهًٍèêàëüيîé ïëîٌêîٌٍè (-10dB)

25°

âïهًهن / يàçàن ٌîîٍيîّهيèه

> 24dB

êًîٌٌ ïîëےًèçàِèè

> 27dB

مîًîن ٌâےçü àلîيهيٌٍêèé ٍهُيîëîمèے

5.       جîلèëüيàے ٌٍàيِèے - ىîنهى BreezeMAX USB 200

جîلèëüيûه ًٌٍَîéٌٍâà BreezeMAX âêë‏÷à‏ٍ â ٌهلے BreezeMAX USB 200 WiMAX جîنهى è BreezeMAX PC êàًٍَ - êîىïàêٍيûه, ىàëîمàلàًèٍيûه ًàنèîىîنهىû, ًàçًàلîٍàييûه نëے ôèêٌèًîâàييîمî è ىîلèëüيîمî ôَيêِèîيèًîâàيèے ٌ ïîننهًوêîé Plug and Play èيٌٍàëëےِèè è ٌàىîٌٍîےٍهëüيîé èيèِèàëèçàِèè. خلîًَنîâàييûه ïهًهنîâûىè handoff àëمîًèٍىàىè, ‎ٍè ىîلèëüيûه ًٌٍَîéٌٍâà ïîçâîëے‏ٍ ïîëüçîâàٍهëےى يîٍَلَêîâ è يàٌٍîëüيûُ êîىïü‏ٍهًîâ ٌîهنèيےٍüٌے ٌ WiMAX ٌهٍےىè â ë‏لîه âًهىے, â ë‏لîى ىهٌٍه.

رïèٌîê ëèٍهًàًٍَû


1.     http://ru.wikipedia.org/wiki/ةهىهي

2.       ذàّè÷ ہ.آ. رهٍè لهٌïًîâîنيîمî نîٌٍَïà WiMAX: َ÷هل. ïîٌîلèه / ذàّè÷ ہ.آ. - ردل.: بçن-âî دîëèٍهُي. َي-ٍà, 2011. - 179 ٌ.

.        آèّيهâٌêèé آ., دîًٍيîé ر., طàُيîâè÷ ب. فيِèêëîïهنèے WiMAX. دٍَü ê 4G. - ج.: زهُيîٌôهًà, 2009

.        أًèمîًüهâ آ.ہ., ثàمٍَهيêî خ.ب., ذàٌïàهâ ق.ہ. ٌهٍè è ٌèٌٍهىû ًàنèîنîٌٍَïà. - ج.: فêî - زًهينç, 2005. - 384 ٌ.: èë

5.       آèّيهâٌêèé آ.ج., دîًٍيîé ر.ث., طàُيîâè÷ ب.آ. فيِèêëîïهنèے WiMAX. دٍَü ê 4G. - ج.: زهُيîٌôهًà, 2009. - 465 ٌ.

6.      أًèمîًüهâ آ.ت. رèٌٍهىû لهٌïًîâîنيîمî نîٌٍَïà / آ.ت. أًèمîًüهâ. - ج.: فêîًٍهينç, 2005

7.       IEEE Std 802.16e-2005 and IEEE Std 802.16-2004/Cor 1-2005 Part 16: Air Interface for Fixed and Mobile Broadband Wireless Access Systems. Amendment

.        http://anisimoff.org/wimax/ne.html

9.     آهٌîëîâٌêèé تّèٍّîô. رèٌٍهىû ïîنâèويîé ًàنèîٌâےçè /دهً. ٌ ïîëüٌêîمî ب.ؤ. ذَنèيٌêîمî; ïîن ًهن. ہ.ب. ثهنîâٌêîمî. - ج.: أîًے÷àے ëèيèے - زهëهêîى, 2006.

10.     Luciano Sarperi, Mythri Hunukumbure, Sunil Vadgama. Simulation Study of Fractional Frequency Reuse in WiMAX Networks. - Fujitsu laboratories of Europe Ltd., March, 2008.

.        Mogensen P.E., Eggers P., Jensen C., Andersen J.B. Urban Area Radio Propagation Measurements at 955 and 1845 MHz for small and Micro Cells. - GLOBECOM, 1991.

12.     http://www.acomputer.ru

13.   Hui Liu and Guoqing li., OFDM - Based Broadband Wireless Networks Desing and Optimization. Canada.: Wiley-Intersciencience, 2005.

14.   Jeffrey G. Andrews, Arunabha Ghosh, Rias Muhamed. Fundamentals of WiMAX. Understanding Broadband Wireless Networking. - Prentice hall, 2007.

15.     ءàلêîâ آ.ق. آîçي‏ê ج.ہ. جèُàéëîâ د.ہ. رهٍè ىîلèëüيîé ٌâےçè ÷àٌٍîٍيî-ٍهًًèٍîًèàëüيîه ïëàيèًîâàيèه. - ج.: فêî - زًهينç, 2000

 

ذàçىهùهيî يà Allbest.ru

Похожие работы на - Система связи города

 

Не нашли материал для своей работы?
Поможем написать уникальную работу
Без плагиата!
Без нейросетей!