Разработка системы управления запасами
«Нижегородский
Государственный Педагогический Университет имени Козьмы Минина»
Автомобильный
факультет
Кафедра:
Автомобильный транспорт
Курсовая
работа по дисциплине «Основы логистики»
Тема:
«Разработка системы управления запасами»
Выполнил: студент
гр ОП-10-1
Поляков М.О.
Проверил:
ст.преподаватель
Ольхов С.В.
г.
Нижний Новгород
Содержание
.
Введение
.
Аналитическая часть
.
Проектная часть
.
Заключение
.
Список литературы
Приложение
(CD-ROM с расчетами в MS Excel
. Введение
Курсовая работа охватывает все этапы разработки
логистической системы, включая основные расчеты по построению систем управления
запасами на складах организации, разработку на основе полученных результатов
оригинальной логистической системы управления запасами, ориентированной на
особенности работы данной организации и графическое моделирование ее
функционирования в условиях разнообразных сбоев в поставках и потреблении.
Цель курсовой работы: разработать систему
управления запасами для деталей «коленчатый вал», «термостат», «шланг
тормозной» в соответствии с характером потребления и условиями поставки.
Задачи курсовой работы:
Классифицировать позиции номенклатуры на группы
А,В и С по объемам реализации за год;
Классифицировать позиции номенклатуры на группы
X,Y и Z по степени равномерности спроса и точности прогнозирования;
Совместить результаты АВС и XYZ анализов,
выделить 9 групп запасов;
Рассчитать прогноз спроса для данных деталей на
1 квартал следующего года;
Выбрать оптимальные модели управления запасами для
данных деталей в соответствии с группами к которым они относится, рассчитать
параметры их работы;
Провести моделирование функционирования
разработанных систем для разных вариантов работы.
Логистическая система управления запасами
проектируется с целью непрерывного обеспечения потребителя каким-либо видом
материального ресурса. Реализация этой цели достигается решением следующих
задач:
учет текущего уровня запаса на складах различных
уровней;
определение размера гарантийного (страхового)
запаса;
расчет размера заказа; управление запас поставка заказ
определение интервала времени между заказами.
Для ситуации, когда отсутствуют отклонения от
запланированных показателей и запасы потребляются равномерно, в теории
управления запасами разработаны две основные системы управления, которые решают
поставленные задачи, соответствуя цели непрерывного обеспечения потребителя
материальными ресурсами. Такими системами являются:
. Система управления запасами с фиксированным
размером заказа;
. Система управления запасами с фиксированным
интервалом времени между заказами.
Управление закупками является важной
составляющей логистического менеджмента, позволяющей предприятию получить
дополнительные конкурентные преимущества за счет эффективного использования
оборотных средств.
Приведем классический перечень задач, решаемых
при управлении закупками:
Мониторинг товарных остатков на складах
компании. Для производственных компаний определенные запасы сырья,
полуфабрикатов, материалов являются гарантией обеспечения непрерывности производства.
Для компаний, занимающихся дистрибьюторской деятельностью, обязательно наличие
пользующегося спросом товара.
Определение потребности в закупке по позициям
ассортиментного ряда. Классификация товарно-материальных ценностей на основании
стоимости товара и числа его наименований, а также выделение значимых товаров
для производства и реализации.
Определение периодичности и оптимального объема
закупки, с учетом формирования необходимого страхового запаса и вероятности
срыва поставки.
Определение оптимального уровня закупочных цен.
Выбор поставщиков для обеспечения закупки
необходимого ассортимента товаров. Внимание должно быть уделено качеству
поставляемого товара, закупочной цене, наличию у поставщика программ гибкого
ценообразования, территориальному расположению поставщиков.
Корректировка плана закупок в случае срыва
поставок.
Мониторинг движения товара от поставщика на
склады компании.
Контроль состояния взаиморасчетов с
поставщиками.
. Аналитическая часть
Выдающийся итальянский экономист В. Парето в
начале XX в. математически сформулировал один из самых распространенных
критериев оптимальности, предназначенный для того, чтобы проверить, улучшает ли
предложенное изменение в экономике общий уровень благосостояния.
В наиболее общем виде принцип Парето
формулируется как «20 % усилий дают 80 % результата, а остальные 80 % усилий -
лишь 20 % результата». В нашем случае: 20% клиентов дают 80% объемов
реализации».анализ - метод, позволяющий классифицировать ресурсы фирмы по
степени их важности. В его основе лежит принцип Парето. В отличие от этого
правила, объект анализа делится не на две, а на три группы.
Порядок проведения АВС - анализа [2]:
Определяем цель анализа (а зачем собственно
нужен вам этот анализ?).
Определяем действия по итогам анализа (что будем
делать с полученными результатами?).
Выбираем объект анализа (что будем
анализировать?) и параметр анализа (по какому признаку будем анализировать?).
Обычно объектами АВС анализа являются поставщики, товарные группы, товарные
категории, товарные позиции. Каждый из этих объектов имеет разные параметры
описания и измерения: объём продаж (в денежном или количественном измерении),
доход (в денежном измерении), товарный запас, оборачиваемость и т. д.
Составляем рейтинговый список объектов по убыванию
значения параметра.
Рассчитываем долю параметра от общей суммы
параметров с накопительным итогом. Доля с накопительным итогом высчитывается
путём прибавления параметра к сумме предыдущих параметров.
Выделяем группы А, В и С: присваиваем значения
групп выбранным объектам.
По сути, ABC-анализ - это ранжирование
ассортимента по разным параметрам. В логистике ABC-анализ обычно применяют с
целью отслеживания объёмов отгрузки определённых артикулов и частоты обращений
к той или иной позиции ассортимента, а также для ранжирования клиентов по
количеству или объёму сделанных ими заказов. Результатом АВС анализа является
группировка объектов по степени влияния на общий результат.
АВС - анализ можно выполнить по средствам
программы MS Excel
способ.
. Проведение АВС анализа
Порядок проведения анализа ABC:
Формулирование
цели анализа
Идентификация
объектов управления, анализируемых методом
Выделение
признака, на основе которого будет осуществлена дифференциация объектов
управления
Оценка
объектов управления по выделенному классификационному признаку
Группировка
объектов управления в порядке убывания значения признака
Построение
кривой АВС
Разделение
совокупности объектов управления на три группы: группа А, группа В и группа С
Технология работы [6, с. 76-79]:
Вводим исходные данные в MS Excel и
отсортировываем их по убыванию годовой реализации как это показано на рис.1.

В столбце J рассчитать долю отдельных позиций
ассортимента в общей реализации (рис.2).
Рис. 2
Общее число позиций в нашем примере - 58.
Следовательно, первая позиция упорядоченного списка составляет 1,72% от общего
числа позиций. Две верхние позиции упорядоченного списка составят 3,44% от
общего числа позиций. На их долю в нашем примере приходится 61,28% всего оборота
склада (56,55 + 4,73 = 61,28). Следуя данной логике, заполнить столбцы K и L
(рис. 3), а затем по данным этих граф построить кривую ABC.
Рис. 3
Разделить анализируемый ассортимент на группы А,
В и С.
Разделение номенклатуры на группы произведем
графическим методом касательных.
Краткое описание метода.
На рис.4 представлена кривая ABC.
Соединим начало системы координат и конец
графика прямой OD и затем проведем касательную к кривой ABC, параллельную линии
OD. Абсцисса точки касания (точка М) покажет нам границу между группами А и В,
а ордината укажет долю реализации продуктов группы А в общей реализации.
Соединим теперь точку М с концом кривой - точкой
D, и проведем новую касательную к графику ABC, параллельную линии MD. Абсцисса
точки касания (точка N) указывает границу между группами В и С, а ордината
показывает суммарную реализацию групп А и В в общей реализации.
Процентное соотношение групп А, В и С,
полученное методом касательной, представлено в табл. 2.
Рис. 4 Разделение ассортимента на группы А,В и
С графическим способом
Процентное соотношение групп А, В и С
ассортимента, представленного кривой на рис.4
Таблица 2.
|
Группа
|
Доля
в ассортименте, %
|
Доля
в реализации, %
|
|
А
|
14
|
79
|
|
В
|
42
|
15
|
|
С
|
44
|
6
|
В ячейке M2 ввести формулу = =ЕСЛИ(К2<=0,14;"A";ЕСЛИ(К2<=0,42;"B";"C"))(рис.5)
и ввести данные.
Рис. 5
способ
Выполняя АВС анализ в Excel при помощи
надстройки Inventor методом сумм, было получено следующее разделение
номенклатуры на группы.
|
Группа
|
Результат,
%
|
Объектов,
%
|
|
А
|
80,7
|
17,2
|
|
В
|
13,0
|
32,8
|
|
С
|
6,2
|
50,0
|
- анализ
Технология работы [6, с.80-82].
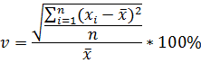
Признаком, на основе которого конкретную позицию
ассортимента относят к группе X, Y или Z, является коэффициент вариации спроса
(v) по этой позиции. Среди относительных показателей вариации коэффициент
вариации является наиболее часто применяемым показателем относительной
колеблемости.
Рассчитать коэффициенты вариации спроса по отдельным
позициям ассортимента (v).
где
-
значение спроса по оцениваемой позиции за i-й квартал;
-
среднеквартальное значение спроса по оцениваемой позиции;- число кварталов, за
которые произведена оценка.
В столбце N рассчитать среднюю реализацию за
квартал (
)
(рис. 6)
Рис. 6
В столбце О рассчитать коэффициент вариации
.
Для этого в ячейку О3 введите формулу :
=КОРЕНЬ(((F2-N2)^2+(G2-N2)^2+(H2-N2)^2+(I2-N2)^2)/4)/N2
Рис. 7
Разделить анализируемый ассортимент на группы X,
Y и Z.
Предлагаемый алгоритм разделения ассортимента на
группы X, Y и Z
Таблица 3
|
Группа
|
Интервал
|
|
X
|
|
|
Y
|
|
|
Z
|
В ячейке P3 ввести формулу
=ЕСЛИ(O2<=0,1;"X";ЕСЛИ(O2<=0,25;"Y";"Z"))
Скопировать ее до конца таблицы. Воспользоваться условным форматированием.
(Рис. 8)
Рис. 8
. Двухмерный АВС-XYZ анализ
Для определения группы по двум признакам в
ячейке Q3 ввести функцию =СЦЕПИТЬ(М2;Р2). Скопировать ее до конца таблицы.
Воспользоваться Условным форматированием. (Рис. 9)
Рис. 9
Для XYZ анализа при помощи надстройки Inventor
|
Группа
|
Результат,
%
|
Объектов,
%
|
|
X
|
90,1
|
48,3
|
|
Y
|
8,7
|
31,0
|
|
Z
|
1,2
|
20,7
|
Приложение с расчетами АВС и XYZ анализа в Excel
на диске
Принципы проведения классификации номенклатуры
для определения порядка управления запасами показаны на рисунке.
. Проектная часть
В проектной части курсовой работы необходимо
разработать системы управления запасами для деталей номенклатуры: коленчатый
вал, термостат, шланг тормозной. Из выполненного двухмерного АВС-XYZ анализа
видно, что деталь «коленчатый вал» входит в группу АХ, «термостат» - ВY, «шланг
тормозной» - СZ. Для деталей «коленчатый вал» и «термостат» сделаем прогноз
продаж на следующий квартал и разработаем системы управления запасами. Деталь
«шланг тормозной» имеет большие колебания объемов продаж по кварталам, поэтому
прогнозирование не даст достоверного результата. Для этой детали необходимо
сделать рекомендации по методу закупки и периодичности контроля состояния
запаса.
Прогнозирование
«Коленчатый вал» относится к группе АХ.
Прогнозное значение спроса на I квартал следующего года получим нахождением
среднквартального значения спроса. Таким образом, прогноз составит 293 шт.
|
I
квартал
|
II
квартал
|
III
квартал
|
IV
квартал
|
|
300
|
280
|
290
|
300
|
«Термостат» входит в группу ВY, то есть имеет
большие колебания спроса, чем «шайба». По данным об объемах продаж за
предыдущие четыре квартала получим прогноз продаж на 1 квартал следующего года
методом взвешенной скользящей средней.
В общем виде взвешенная скользящая средняя
рассчитывается следующим образом [6, с.6]:
где Рj - прогнозируемый объем потребления
материального ресурса в j-м периоде времени, ед.;- индекс предыдущего периода
времени;- коэффициент значимости i-го периода;
Рi - объем потребления в i-м периоде времени;-
количество периодов, используемых в расчете взвешенной скользящей средней.
Значимость более поздних периодов должна быть
выше, чем ранних. Последнему периоду присвоим удельный вес 4, предыдущему - 3,
далее 2
|
I
квартал
|
II
квартал
|
III
квартал
|
IV
квартал
|
|
700
|
900
|
650
|
540
|
Прогноз потребности в данной детали:
Выбор модели системы управления запасами
Логистическая система управления запасами
проектируется для непрерывного обеспечения потребителя каким-либо видом
материального ресурса. Реализация этой цели достигается решением следующих
задач:
учет текущего уровня запаса на складах различных
уровней;
определение размера гарантийного (страхового)
запаса;
расчет размера заказа;
определение интервала времени между заказами.
Для ситуации, когда отсутствуют отклонения от
запланированных показателей и запасы потребляются равномерно, в теории
управления запасами разработаны две основные системы управления, которые решают
поставленные задачи, соответствуя цели непрерывного обеспечения потребителя
материальными ресурсами. Такими системами являются система управления запасами
с фиксированным размером заказа и система управления запасами с фиксированным
интервалом времени между заказами.
Эти модели являются основными в управлении
запасами. Все огромное разнообразие алгоритмов управления запасами основывается
на методике фиксированного размера заказа или методике фиксированного интервала
времени между заказами.
. Система управления запасами с фиксированным
размером заказа. Само название говорит об основополагающем параметре системы.
Это - размер заказа. Он строго зафиксирован и не меняется ни при каких условиях
работы системы. Определение размера заказа является поэтому первой задачей,
которая решается при работе с данной системой управления запасами.
В отечественной практике часто возникает ситуация,
когда размер заказа определяется по каким-либо частным организационным
соображениям, например удобство транспортировки или возможность загрузки
складских помещений.
Между тем в системе с фиксированным размером
заказа объем закупки должен быть не только рациональным, но и оптимальным, т.
е. самым лучшим. Поскольку рассматривается проблема управления запасами в
логистической системе отдельной организации или экономики в целом, то критерием
оптимизации должен быть минимум совокупных затрат на хранение запасов и
повторение заказа. Данный критерий учитывает три фактора, действующих на
величину названных совокупных затрат:
используемая площадь складских помещений;
издержки на хранение запасов;
стоимость оформления заказа.
Эти факторы тесно взаимосвязаны, причем само
направление их взаимодействия неодинаково в разных случаях. Желание максимально
сэкономить затраты на хранение запасов вызывает увеличение затрат на оформление
заказов. Экономия затрат на повторение заказа приводит к потерям, связанным с
содержанием излишних складских помещений, и, кроме того, снижает уровень
обслуживания потребителя. При максимальной загрузке складских помещений
значительно увеличиваются затраты на хранение запасов, более вероятен риск
появления неликвидных запасов.
Использование критерия минимизации совокупных
затрат на хранение запасов и повторный заказ не имеют смысла, если время
исполнения заказа чересчур продолжительно, спрос испытывает существенные
колебания, а цены на заказываемые сырье, материалы, полуфабрикаты и прочее сильно
колеблются, в таком случае нецелесообразно экономить на содержании запасов.
Это, вероятнее всего, приведет к невозможности непрерывного обслуживания
потребителя, что не соответствует цели функционирования логистической системы
управления запасами. Во всех других ситуациях определение оптимального размера
заказа обеспечивает уменьшение издержек на хранение запасов без потери качества
обслуживания.
Оптимальный размер заказа по критерию
минимизации совокупных затрат на хранение запаса и повторение заказа
рассчитывается по формуле Вильсона, шт.:
где А - затраты на поставку единицы
заказываемого продукта, руб.; S - потребность в заказываемом продукте, шт.; i -
затраты на хранение единицы заказываемого продукта, руб./шт.
стоимость транспортировки заказа;
затраты на разработку условий поставки;
стоимость контроля исполнения заказа;
затраты на выпуск каталогов;
стоимость форм документов.
где Qо - оптимальный размер заказа, шт.;
2. Система управления запасами с фиксированным
интервалом времени между заказами. Это вторая и последняя система управления
запасами, которая относится к основным. Классификация систем на основные и
прочие вызвана тем, что две рассматриваемые системы лежат в основе всевозможных
иных систем управления запасами.
В системе с фиксированным интервалом времени
между заказами, как ясно из названия, заказы делаются в строго определенные
моменты времени, которые отстоят друг от друга через равные интервалы, например
один раз в месяц, один раз в неделю, один раз в 14 дней и т. п.
Определить интервал времени между заказами можно
с учетом оптимального размера заказа. Оптимальный размер заказа позволяет
минимизировать совокупные затраты на хранение запаса и повторение заказа, а
также достичь наилучшего сочетания взаимодействующих факторов, таких как
используемая площадь складских помещений, издержки на хранение запасов и
стоимость заказа.
Расчет интервала времени между заказами можно
производить следующим образом:
= N / S / ОРЗ,
где N - число рабочих дней, дни; S - потребность
в заказываемом продукте, шт.
Полученный с помощью формулы интервал времени
между заказами не может рассматриваться как обязательный к применению. Он может
быть скорректирован на основе экспертных оценок.
Гарантийный (страховой) запас позволяет
обеспечивать потребность на время предполагаемой задержки поставки (под
возможной задержкой поставки также подразумевается максимально возможная
задержка). Восполнение гарантийного запаса производится в ходе последующих
поставок через пересчет размера заказа таким образом, чтобы его поставка
увеличила запас до максимального желательного уровня.
Так как в рассматриваемой системе момент заказа
заранее определен и не меняется ни при каких обстоятельствах, постоянно
пересчитываемым параметром является именно размер заказа. Его вычисление
основывается на прогнозируемом уровне потребления до момента поступления заказа
на склад организации.
Расчет размера заказа в системе с фиксированным
интервалом времени между заказами производится по следующей формуле, шт.:
РЗ = МЖЗ - ТЗ + ОП,
где МЖЗ - максимально желательный заказ, шт.; ТЗ
- текущий заказ, шт.; ОП - ожидаемое потребление за время.
Как видно из формулы, размер заказа рассчитывается
таким образом, что при условии точного соответствия фактического потребления за
время поставки ожидаемому поставка пополняет запас на складе до максимально
желательного уровня. Действительно, разница между максимально желательным и
текущим запасами определяет величину заказа, необходимую для восполнения запаса
до максимально желательного уровня на момент расчета, а ожидаемое потребление
за время поставки обеспечивает это восполнение в момент осуществления поставки.
Сравнение основных систем управления запасами
Основные модели управления запасами с
фиксированным размером заказа и с фиксированным интервалом времени между
заказами содержат в себе необходимый набор исходных и расчетных параметров, с
использованием которых может быть спроектирован оригинальный алгоритм
управления запасами, ориентированный на специфические условия пополнения и
потребления запаса.
Различное сочетание элементов основных моделей
управления запасами, а также добавление принципиально новых идей в алгоритм
работы модели приводит к возможности формирования огромного числа моделей
управления запасами, отвечающих самым разнообразным требованиям.
В целом, можно отметить, что модель с
фиксированным размером заказа, по сравнению с моделью с фиксированным
интервалом времени между заказами, чаще приводит к экономии на затратах по
содержанию запаса на складе за счет сокращения площадей, занимаемых запасами. В
то же время модель с фиксированным интервалом времени между заказами требует
лишь периодического контроля количества запаса. Это упрощает процедуру
использования модели и сокращает операционные затраты.
Основные модели управления запасами можно
успешно использовать в условиях относительно стабильного потребления запаса.
Для детали «коленчатый вал» рассчитаем параметры работы системы с фиксированным
интервалом времени между заказами и проведем моделирование ее работы.
Деталь «термостат» имеет колебания объемов
реализации. В теории управления запасами имеется достаточное количество
специальных способов разработки оригинальных алгоритмов управления запасами.
Модификация основных моделей позволяет использовать их в условиях нестабильного
потребления. Эти модели основаны на использовании элементарных математических
действий при расчете основных параметров. Между тем, теория вероятностей позволяет
значительно расширить аппарат расчета параметров классических моделей. Для
детали «термостат» разработаем систему управления запасами с фиксированным
размером заказа в условиях неопределенности.
Проектирование системы управления запасами с
фиксированным интервалом времени между заказами для детали «коленчатый вал»
Расчет параметров системы [4, с. 261-262]
|
№
п/п
|
Показатель
|
Порядок
расчета
|
Результат
|
|
1
|
Потребность,
шт.
|
-
|
293
|
|
2
|
Интервал
времени между заказами, дни
|
По
формуле (II)
|
24
|
|
3
|
Время
поставки, дни
|
-
|
4
|
|
4
|
Возможная
задержка поставки, дни
|
-
|
1
|
|
5
|
Ожидаемое
дневное потребление, шт./день
|
[1]
: [число рабочих дней]
|
4,7
|
|
6
|
Ожидаемое
потребление за время поставки, шт.
|
[3]
х [5]
|
18,6
|
|
7
|
Максимальное
потребление за время поставки, шт.
|
([3]
+ [4]) х [5]
|
23,3
|
|
8
|
Гарантийный
запас, шт.
|
[7]
- [6]
|
5
|
|
9
|
Максимальный
желательный запас, шт.
|
[8]
+ [2] х [5]
|
116
|
|
10
|
Размер
заказа, шт.
|
[9]
-текущий запас + [6]
I=N*Q/S,
где I - интервал времени между заказами, дн.; N-
число рабочих дней в периоде, дн.; Q -размер заказа, шт.; S - потребность,
шт.=63*113/293=24 дня
Моделирование работы системы управления запасами
с фиксированным интервалом времени между заказами[4, с.263-268]
Рис. 1. Модель функционирования системы с
фиксированным интервалом времени между заказами без сбоев
Рис. 2. Модель функционирования системы с
фиксированным интервалом времени между заказами с однократным сбоем в поставке
Рис. 3. Модель функционирования системы с
фиксированным интервалом времени между заказами при неоднократных сбоях в
поставке
Проектирование оригинальной системы управления запасами
для детали «Термостат»
Определение уровня обслуживания
Уровень обслуживания - вероятность того, что в
период исполнения заказа спрос не превысит наличных запасов.
Уровень обслуживания может быть получен
расчетным путем, например, по формуле[5]:
где Сh - издержки в результате дефицита запаса;
Се - издержки на содержание запаса.
Однако на практике рассчитать уровень
обслуживания оказывается довольно трудно. Чаще этот параметр определяется
экспертным путем для различных групп товаров, утверждается менеджментом
компании и является исходными данными для расчетов системы управления запасами.
В исходных данных к курсовой работе указаны следующие значения уровня
обслуживания: для группы АY - 98%, ВY - 78%, СY - 58%.
Деталь «термостат» по результатам двухмерного
АВС-XYZ анализа, выполненного в первой главе курсовой работы, относится к
группе BY. Для расчетов параметров системы управления запасами в условиях
неопределенности принимаем уровень обслуживания - 78%.
Расчет параметров системы управления запасами с
фиксированным размером заказа в условиях неопределенности[5]
. Оптимальный размер заказа рассчитывается по
формуле Вилсона:
где Qо - оптимальный размер заказа, шт.;
А - стоимость выполнения одного заказа, руб.;-
потребность в товарно-материальных ценностях за определенный период, шт.,-
затраты на содержание единицы запаса, руб./шт. =
Принимаем Qo=150 шт. (оптимальный размер заказа можно корректировать в пределах
±10% для удобства отгрузки и транспортировки).
. Страховой размер заказа при известных
значениях уровня обслуживания (78%), стандартного отклонения в потреблении
(2,05 шт./день), времени поставки (3 дня) и возможной задержки поставки (1 день)
рассчитаем по формуле:
где z
- число стандартных отклонений, - стандартное
отклонение в потреблении в период выполнения заказа, шт.
где n - время выполнения заказа + возможная
задержка поставки, дни; /день.
σst =
По таблице 10.5 [5, с.290] определяем число
стандартных отклонений, соответствующее уровню обслуживания 78% (0,78).
Наиболее близкому значению 0,776 соответствует z=0,76.=0,76*2,9=2,2 шт.
С учетом возможной задержки поставки в 2 дня
принимаем ZS=3,1+21≈23 шт.
. Расчет порогового уровня запаса (ПУ)
Пороговый уровень рассчитывается по формуле:
ПУ=ОП+ZS ,
где ОП - ожидаемое потребление за время
поставки.
ПУ=21+21=42 шт.
. Максимальный желательный запас (МЖЗ):
МЖЗ=ZS+Q*=23+150=173 шт.
Расчеты сделаем исходя из 255 рабочих дней в
году, соответственно примем в I квартале 63 рабочих дня.
|
№,
п/п
|
Показатель
|
Значение
|
|
1
|
Размер
потребности в запасе, шт.
|
661
|
|
2
|
Оптимальный
размер заказа, шт.
|
150
|
|
3
|
Время
выполнения заказа, дни
|
2
|
|
4
|
Возможная
задержка поставки, дни
|
2
|
|
5
|
Ожидаемое
дневное потребление, шт./день
|
10,5
|
|
6
|
Ожидаемое
потребление за время выполнения заказа, шт.
|
21
|
|
7
|
Страховой
запас, шт.
|
23
|
|
8
|
Пороговый
уровень запаса, шт.
|
42
|
|
9
|
Максимальный
желательный запас, шт.
|
173
|
|
10
|
Срок
расходования запаса до порогового уровня, дней
|
Моделирование работы системы управления запасами
с фиксированным размером заказа в условиях неопределенности[5]
Рис. 4. Модель функционирования системы без
сбоев
Рис.5 Функционирование системы при сбоях в
поставке и потреблении
В результате моделирования работы системы
управления запасами для условий неопределенности показали работу системы в
условиях работы без сбоев и со сбоями в потреблении и поставках. Как видно из
второго рисунка, в системе заложена вероятность возникновения дефицита.
Рекомендации по управлению запасами для детали
«Шланг тормозной»
Деталь «Шланг тормозной» входит в группу запасов
СZ. Товары группы Z не поддаются прогнозированию, поэтому разработка системы
управления запасами для них не возможна. Так как эта деталь имеет сравнительно
не высокую стоимость и не занимает много места на складе, рекомендуем закупать
данную деталь оптом. Преимуществом данного метода закупок является простота
оформления заказа и торговые скидки. За данной деталью установить контроль
уровня запаса один раз в месяц.
Заключение
В аналитической главе проведен АВС и XYZ анализ
номенклатуры запасов и двухмерный анализ АВС-XYZ. Это позволило разделить
номенклатуру на девять групп по двум признакам. В проектной части рассчитаны
параметры и проведено моделирование работы систем управления запасами для деталей
«коленчатый вал», «термостат».
В ходе выполнения данной курсовой работы была
разработана оригинальная система управления запасами, эффективно работающая в
условиях неопределенности, для детали «термостат», относящейся к группе ВY. Для
детали «коленчатый вал», имеющей стабильное потребление, разработана система
управления запасами с фиксированным интервалом времени между заказами,
выдерживающая неоднократно повторяющиеся сбои в поставке. Для детали «шланг
тормозной» сделаны рекомендации по методу закупки и контролю уровня запасов,
так как эта деталь относится к группе Z и не поддается прогнозу спроса.
Таким образом, все задачи курсовой работы
выполнены и поставленная цель достигнута.
Список литературы
Аникин
Б.А. Логистика: Учебник - 3-е изд. - М.: Инфра-М, 2008.
Гаджинский
А.М. Логистика: Учебник для студентов высших учебных заведений. - 13-е изд.,
перераб. и доп. - М.: Издательско-торговая корпорация «Дашков и Ко», 2006. -
432с
Галимова
Е.О. Куда уходят деньги, или логистика для предпринимателей: практическое
пособие. - М.:КНОРУС, 2009
Логистика:
тренинг и практикум: учеб. пособие / Б.А.Аникин, В.М. Вайн, В.В. Водянова и
др.; под ред. Б.А. Аникина, Т.А. Родкиной. - М.: ТК Велби, Изд-во Проспект,
2007. - 448 с.
Стерлигова
А.Н. Управление запасами в цепях поставок. - М.: Инфра - М, 2008
Учебно-методическое
пособие для проведения практических занятий по дисциплине «Логистика» /Ольхов
С.В. - 2011. - 93 с.
Похожие работы на - Разработка системы управления запасами
|