Разработка имитационной модели системы управления производственными запасами ООО 'Фаворит'

  • Вид работы:
    Дипломная (ВКР)
  • Предмет:
    Менеджмент
  • Язык:
    Русский
    ,
    Формат файла:
    MS Word
    3,09 Mb
  • Опубликовано:
    2011-07-12
Вы можете узнать стоимость помощи в написании студенческой работы.
Помощь в написании работы, которую точно примут!

Разработка имитационной модели системы управления производственными запасами ООО 'Фаворит'

Министерство образования и науки Российской Федерации

Филиал ГОУ ВПО

Московского государственного университета технологий и управления

в г. Вязьме

Специальность: 230102 «Автоматизированные системы обработки информации и управления»

КУРСОВАЯ РАБОТА

по дисциплине:

Моделирование систем

на тему:

Разработка имитационной модели системы управления производственными запасами ООО «Фаворит»



Студент: Беспалов К.В.

Группа: К - 41

Преподаватель:

к.э.н. Кораблёва Г.В.





СОДЕРЖАНИЕ

ВВЕДЕНИЕ

ГЛАВА 1. АНАЛИЗ ДЕЯТЕЛЬНОСТИ

.1 Основные направления деятельности ООО «Фаворит»

.2 Модель «AS-IS» подсистемы управления производственными запасами и адаптации программного обеспечения

.3 Обзор классов математических моделей, наиболее пригодных для возможной реализации в математическом обеспечении имитационной модели

.4 Обоснование актуальности темы

ГЛАВА 2. ОПИСАНИЕ ОСНОВНЫХ ТЕХНОЛОГИЧЕСКИХ ПОДСИСТЕМ ИМИТАЦИОННОЙ МОДЕЛИ

.1 Описание технического, информационного, программного, эргономического, математического обеспечения имитационной модели

.2 Основные функциональные возможности табличного процессора MS Excel, VBA for Excel

.3 Постановка задачи и сбор данных

ГЛАВА 3. ОПИСАНИЕ МАТЕМАТИЧЕСКОГО И ПРОГРАММНОГО ОБЕСПЕЧЕНИЯ ИМИТАЦИОННОЙ МОДЕЛИ

.1 Описание интерфейса имитационной модели, методики работы

.2 Физическая структура программного обеспечения имитационной модели

ЗАКЛЮЧЕНИЕ

СПИСОК ИСПОЛЬЗОВАННОЙ ЛИТЕРАТУРЫ

ВВЕДЕНИЕ

Внедрение новых информационных технологий в процесс разработки автоматизированных систем способствует дальнейшему развитию модельного подхода. Увеличивается многообразие используемых моделей, самостоятельное значение приобретают модели предметных областей, математические схемы решения вычислительных задач, модели представления знаний и т.д. Совершенствуется процесс машинного моделирования с использованием ЭВМ. Возникают новые перспективные направления в тории моделирования систем. Машинное моделирование становится средством, позволяющим без капитальных затрат решать проблемы построения различных систем. Модели систем могут иметь разную физическую природу. В теории моделирования основными являются проблемы:

-  разработки универсальных подходов к построению моделей,

-       точности симуляции движения их координат,

-       оценки величин погрешностей,

-       адекватности получаемых результатов,

-       идентификации изучаемых систем,

-       синтеза технических устройств и гипотез.

Глобальными целями моделирования являются вопросы изучения природы систем, возможностей их структурного развития и прогнозирование поведения.

Управление запасами - одна из наиболее важных функций управления основной деятельностью, поскольку запасы требуют большого количества капитала, и его объем отражается на поставках товара покупателям. Управление запасами воздействует на все сферы бизнеса, в особенности на производство, маркетинг и финансы. Цели управления запасами, существующие внутри одной фирмы, достаточно противоречивы. Главная задача - найти баланс между этими противоречивыми целями и управлять уровнем запасов в соответствии с интересами фирмы в целом. Для решения этих проблем будет разработана имитационная модель.

Целью исследования, проводимого в рамках настоящей курсовой работы, является разработка имитационной модели для исследования системы управления производственными запасами ООО «Фаворит».

Объектом настоящего исследования является предприятие ООО «Фаворит».

Предметом настоящего исследования является деятельность сотрудников предприятия.

Информационной базой исследования является учебная и оригинальная литература по курсам «Моделирование систем», «Базы данных», техническая документация по использованию табличного процессора MS Excel.

ГЛАВА 1. АНАЛИЗ ДЕЯТЕЛЬНОСТИ ООО «ФАВОРИТ»

.1 Основные направления деятельности ООО «Фаворит»

Целями деятельности Общества являются расширение рынка товаров и услуг, а также извлечение прибыли.

Общество вправе осуществлять любые виды деятельности, не запрещенные законом. Предметом деятельности Общества являются:

-  производство и реализация окон ПВХ; Производство изделий из пластика; строительно-ремонтные, монтажные работы;

-  производство и реализация строительных материалов;

-       снабженческо-сбытовая деятельность;

-  торгово-закупочная деятельность, в т.ч. комиссионная, розничная, оптовая торговля;

-       посредническая деятельность;

-       выполнение экспедиционных и транспортных работ, необходимых для реализации продукции; Маркетинговая деятельность; Организация ярмарок, выставок, аукционов; Внешнеторговая, внешнеэкономическая деятельность;

-  осуществление других видов хозяйственной деятельности, не противоречащих законодательству России.

Все вышеперечисленные виды деятельности осуществляются в соответствии с действующим законодательством РФ. Отдельными видами деятельности, перечень которых определяется специальными федеральными законами, Общество может заниматься только при получении специального разрешения (лицензии). Если условиями предоставления специального разрешения (лицензии) на занятие определенным видом деятельности предусмотрено требование о занятии такой деятельностью как исключительной, то Общество в течение срока действия специального разрешения (лицензии) не вправе осуществлять иные виды деятельности, за исключением видов деятельности, предусмотренных специальным разрешением (лицензией) и им сопутствующих.

Для достижения целей своей деятельности Общество может приобретать права, нести обязанности и осуществлять любые действия, которые не будут противоречить действующему законодательству и настоящему Уставу.

Общество осуществляет свою деятельность на основании любых, за исключением запрещенных законодательством, операций, в том числе путем:

-  проведения работ и оказания услуг по заказам юридических лиц и граждан как в России, так и за рубежом, на основании заключенных договоров или в инициативном порядке на условиях, определяемых договоренностью сторон;

-       поставок продукции, выполнения работ, оказания услуг в кредит, оказания финансовой или иной помощи на условиях, определенных договоренностью сторон;

-       участия в деятельности других юридических лиц путем приобретения их акций, внесения паевых взносов;

-       создания совместных предприятий с иностранными юридическими лицами и гражданами в соответствии с действующим законодательством;

-       осуществления совместной деятельности с другими юридическими лицами для достижения общих целей.

Общество считается созданным как юридическое лицо с момента государственной регистрации.

Общество для достижения целей своей деятельности вправе нести обязанности, осуществлять любые имущественные и личные неимущественные права, предоставляемые законодательством обществам с ограниченной ответственностью, от своего имени совершать любые допустимые законом сделки, быть истцом и ответчиком в суде.

Общество является собственником имущества, приобретенного в процессе его хозяйственной деятельности. Общество осуществляет владение, пользование и распоряжение находящимся в его собственности имуществом по своему усмотрению в соответствии с целями своей деятельности и назначением имущества.

Имущество Общества учитывается на его самостоятельном балансе.

Общество имеет право пользоваться кредитом в рублях и в иностранной валюте.

Общество отвечает по своим обязательствам всеми своими активами. Общество не отвечает по обязательствам государства и участников Общества. Государство не отвечает по обязательствам Общества. Участники Общества не отвечают по обязательствам Общества и несут риск убытков, связанных с деятельностью Общества, в пределах своих вкладов в уставный капитал. Участники, внесшие вклады не полностью, несут солидарную ответственность по обязательствам Общества в размере неоплаченной доли.

В случае несостоятельности (банкротства) Общества по вине его участников или по вине других лиц, которые имеют право давать обязательные для Общества указания либо иным образом имеют возможность определять его действия, на указанных участников или других лиц в случае недостаточности имущества может быть возложена субсидиарная ответственность по его обязательствам.

Общество может создавать филиалы и открывать представительства на территории Российской Федерации и за рубежом. Филиалы и представительства учреждаются Общим собранием участников и действуют в соответствии с Положениями о них. Положения о филиалах и представительствах утверждаются Общим собранием участников.

Общество самостоятельно планирует свою производственно-хозяйственную деятельность, а также социальное развитие коллектива. Основу планов составляют договоры, заключаемые с потребителями услуг Общества, а также поставщиками материально-технических и иных ресурсов.

Выполнение работ и предоставление услуг осуществляются по ценам и тарифам, устанавливаемым Обществом самостоятельно.

Общество имеет право:

-  в порядке, установленном законом, участвовать в деятельности и создавать в РФ и других странах хозяйственные общества и другие предприятия и организации с правами юридического лица;

-       участвовать в ассоциациях и других видах объединений;

-       участвовать в деятельности и сотрудничать в любой иной форме с международными общественными, кооперативными и иными организациями;

-       приобретать и реализовывать продукцию (работы, услуги) других обществ, предприятий, объединений и организаций, а также иностранных фирм как в РФ, так и за рубежом в соответствии с действующим законодательством;

-       осуществлять иные права и нести другие обязанности в соответствии с действующим законодательством.

Общество вправе привлекать для работы российских и иностранных специалистов, самостоятельно определяя формы, размеры и виды оплаты труда.

Общество в целях реализации технической, социальной, экономической и налоговой политики несет ответственность за сохранность документов (управленческих, финансово-хозяйственных, по личному составу и др.); обеспечивает передачу на государственное хранение документов, имеющих научно-историческое значение, в государственные архивные учреждения в соответствии с действующим законодательством; хранит и использует в установленном порядке документы по личному составу.

Для достижения целей своей деятельности Общество может приобретать права, принимать обязанности и осуществлять любые действия, не запрещенные законодательством. Деятельность Общества не ограничивается оговоренной в Уставе. Сделки, выходящие за пределы уставной деятельности, но не противоречащие закону, являются действительными.

Полное фирменное наименование Общества на русском языке: Общество с ограниченной ответственностью ООО «Фаворит».

Общество вправе в установленном порядке открывать банковские счета на территории Российской Федерации и за ее пределами. Общество имеет круглую печать, содержащую его полное фирменное наименование на русском языке и указание на его место нахождения. Общество вправе иметь штампы и бланки со своим наименованием, собственную эмблему и другие средства визуальной идентификации.

Общество является собственником принадлежащего ему имущества и денежных средств и отвечает по своим обязательствам собственным имуществом. Участники имеют предусмотренные законом и учредительными документами Общества обязательственные права по отношению к Обществу.

Участники не отвечают по обязательствам Общества и несут риск убытков, связанных с деятельностью Общества, в пределах стоимости внесенных ими вкладов.

Российская Федерация, субъекты РФ и муниципальные образования не несут ответственности по обязательствам Общества, равно как и Общество не несет ответственности по обязательствам РФ, субъектов РФ и муниципальных образований.

Принятие новых участников в состав Общества осуществляется по решению Общего собрания участников.

1.2 Модель «AS - IS» подсистемы управления производственными запасами

Построим модель «AS - IS» подсистемы управления производственными запасами.

В настоящий момент управление производственными запасами происходит следующим образом: происходит закупка определенного объема сырья и расходных материалов, если запас сырья и расходных материалов на складе уменьшился до 10% от первоначального размера, то организуется закупка.

Предприятие производит пластиковые окна. Для их производства требуются следующие материалы:

-  профиль ПВХ;

-       стекла;

-       герметик;

-       дистанционная рейка;

-       фурнитура.

Необходимый минимальный запас материалов:

-  300 метров профиля ПВХ;

-       30 квадратных метров стекла;

-       15 килограмм герметика;

-       200 метров дистанционной рейки;

-       50 комплектов фурнитуры.

Время расходования указанного материала приблизительно равно месяцу.

1.3 Обзор классов математических моделей, наиболее пригодных для возможной реализации в математическом обеспечении имитационной модели

Задача управления запасами - это задача о поддержании баланса производства и сбыта продукции предприятия, минимизирующего расходы предприятия на производство и хранение продукции.

Рассмотрим работу склада, на котором хранятся товарные запасы, расходуемые на снабжение потребителей. Работа реального склада сопровождается множеством отклонений от идеального режима: заказана партия одного объема, а прибыла партия с другим объемом; по плану партия

должна прибыть через две недели, а она пришла через десять дней; при норме разгрузки одни сутки разгрузка партии длилась трое суток и т. д. Учесть все эти отклонения практически невозможно, поэтому при моделировании работы склада обычно делаются следующие предположения:

-  скорость расходования запасов со склада - постоянная величина, которую обозначим М (единиц товарных запасов в единицу времени); в соответствии с этим график изменения величины запасов в части расходования является отрезком прямой;

-       объем партии пополнения Q есть постоянная величина,

-       так что система управления запасами - это система с фиксированным размером заказа;

-       время разгрузки прибывшей партии пополнения запасов мало, будем считать его равным нулю;

-       время от принятия решения о пополнении до прихода заказанной партии есть постоянная величина ∆t, так что можно считать, что заказанная партия приходит как бы мгновенно: если нужно, чтобы она пришла точно в определенный момент, то ее следует заказать в момент времени на ∆t ранее;

-       на складе не происходит систематического накопления или перерасхода запасов. Если через Т обозначить время между двумя последовательными поставками, то обязательно выполнение равенства: Q = МТ. Из сказанного выше следует, что работа склада происходит одинаковыми циклами длительностью Т, и за время цикла величина запаса изменяется от максимального уровня S до минимального уровня s;

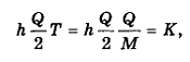
-       наконец, будем считать обязательным выполнение требования, чтобы отсутствие запасов на складе было недопустимым, т.е. выполняется неравенство s > 0. С точки зрения уменьшения издержек склада на хранение отсюда вытекает, что s = 0 и, следовательно, S = Q. Окончательно график «идеальной» работы склада в форме зависимости величины запасов у от времени t будет иметь вид, представленный на рис. 1.1. В предыдущем параграфе отмечалось, что эффективность работы склада оценивается по его затратам на пополнение запасов и их хранение. Расходы, не зависящие от объема партии, называют накладными. Сюда входят почтово-телеграфные расходы, командировочные, некоторая часть транспортных расходов и др. Накладные расходы будем обозначать через К. Издержки хранения запасов будем считать пропорциональными величине хранящихся запасов и времени их хранения. Издержки на хранение одной единицы запасов в течение одной единицы времени называются величиной удельных издержек хранения; мы их будем обозначать через h.

Рис. 1.1

При изменяющейся величине хранящихся запасов издержки хранения за некоторое время Т получают путем умножения величины h и Т, а среднее значение величины запасов в течение этого времени Т. Таким образом, затраты склада за время Т при размере партии пополнения Q в случае идеального режима работы склада, представленного на рис. 1.1, равны


После деления этой функции на постоянную величину Т с учетом равенства Q - МТ получим выражение для величины затрат на пополнение и хранение запасов, приходящихся на единицу времени:


Это и будет целевой функцией, минимизация которой позволит указать оптимальный режим работы склада. Найдем объем заказываемой партии Q, при котором минимизируется функция средних затрат склада за единицу времени, т.е. функция Z1(Q). На практике Q часто принимают дискретные значения, в частности, из-за использования транспортных средств определенной грузоподъемности; в этом случае оптимальное значение Q находят перебором допустимых значений Q. Мы будем считать, что ограничений на принимаемые значения Q нет, тогда задачу на минимум функции Z1(Q) (легко показать, что она является выпуклой, см. рис. 1.1) можно решить методами дифференциального исчисления:


откуда находим точку минимума Qопт


Эта формула называется формулой Уилсона (по имени английского ученого-экономиста, получившего ее в двадцатых годах нашего столетия).

Оптимальный размер партии, рассчитываемый по формуле Уилсона, обладает характеристическим свойством: размер партии Q оптимален тогда и только тогда, когда издержки хранения за время цикла Т равны накладным расходам К.

Рис. 1.2

Действительно, если , то издержки хранения за цикл равны


Если же издержки хранения за цикл равны накладным расходам, т.е.

то

.

Проиллюстрируем характеристическое свойство оптимального размера партии графически (рис. 1.2).

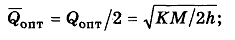
На рис. 1.2 видно, что минимальное значение функции Z1(Q) достигается при том значении Q, при котором равны значения двух других функций, ее составляющих. Используя формулу Уилсона (1.2), в сделанных ранее предположениях об идеальной работе склада можно получить ряд расчетных характеристик работы склада в оптимальном режиме:

оптимальный средний уровень запаса


оптимальная периодичность пополнения запасов


оптимальные средние издержки хранения запасов в единицу времени


1.4 Обоснование актуальности темы

Управление запасами тесно связано с планированием материальных потребностей. Содержание данной функции заключается в поддержании затрат, связанных с созданием и хранением запасов на минимальном уровне при условии удовлетворительного обслуживания потребителей.

К имитационному моделированию прибегают, когда:

-  дорого или невозможно экспериментировать на реальном объекте;

-       невозможно построить аналитическую модель: в системе есть время, причинные связи, последствие, нелинейности, стохастические (случайные) переменные;

-       необходимо сымитировать поведение системы во времени.

Цель имитационного моделирования состоит в воспроизведении поведения исследуемой системы на основе результатов анализа наиболее существенных взаимосвязей между ее элементами или другими словами - разработке симулятора исследуемой предметной области для проведения различных экспериментов.

Своевременное обеспечение производства материальными ресурсами зависит от величины и комплектности производственных запасов на складах предприятия.

Производственные запасы - это средства производства, поступившие на склады предприятия, но еще не вовлеченные в производственный процесс. Создание таких запасов позволяет обеспечивать отпуск материалов в цехи и на рабочие места в соответствии с требованиями технологического процесса. Следует отметить, что на создание запасов отвлекается значительное количество материальных ресурсов.

Уменьшение запасов сокращает расходы по их содержанию, снижает издержки, ускоряет оборачиваемость оборотных средств, что, в конечном счете, повышает прибыль и рентабельность производства, поэтому важной является оптимизация величины запасов.

Для решения этой задачи будет разработана имитационная модель.

ГЛАВА 2. ОПИСАНИЕ ОСНОВНЫХ ТЕХНОЛОГИЧЕСКИХ ПОДСИСТЕМ ИМИТАЦИОННОЙ МОДЕЛИ

.1. Описание технического, информационного, программного, эргономического, математического обеспечения имитационной модели

Данная имитационная модель обладает следующими элементами обеспечения:

-  информационное,

-       лингвистическое,

-       техническое,

-       программное,

-       математическое,

-       эргономическое.

Информационное обеспечение (ИО) - совокупность единой системы классификации и кодирования информации, унифицированных систем документации, схем информационных потоков, циркулирующих в организации, методология построения баз данных. Данная подсистема предназначена для своевременного представления информации, принятия управленческих решений. Информационное обеспечение предприятий и организаций представляет собой информационную модель данного объекта.

Информационное обеспечение имитационной модели системы управления производственными запасами представлено нормами расхода материалов за месяц.

Программное обеспечение (ПО) включает совокупность программ, реализующих функции и задачи АИТ и обеспечивающих устойчивую работу комплексов технических средств. В состав программного обеспечения входят общесистемные и специальные программы, а также инструктивно-методические материалы по применению средств программного обеспечения и персонал, занимающийся его разработкой и сопровождение на весь период жизненного цикла АИТ.

Программное обеспечение имитационной модели системы управления производственными запасами представлено табличным процессором Microsoft Excel и операционной системы Microsoft Windows XP.

Техническое обеспечение (ТО) представляет собой комплекс технических средств (технические средства сбора регистрации, передачи, обработки, отображения, размножения информации, оргтехника и др.), обеспечивающих работу АИТ. Центральное место среди всех технических средств занимает ПЭВМ. Структурными элементами ТО наряду с техническими средствами являются также методические и руководящие материалы, техническая документация и обслуживающий эти технические средства персонал.

Техническое обеспечение имитационной модели системы управления производственными запасами представлено процессором Intel Pentium II 400 МГц и выше (рекомендуется Intel Pentium III 866 МГц), оперативной памятью 128 Мбайт и выше (рекомендуется 256 Мбайт), жестким диском.

Эргономическое обеспечение (ЭО) как совокупность методов и средств, используемых на разных этапах разработки и функционирования АИТ, предназначено для создания оптимальных условий высокоэффективной и безошибочной деятельности человека в АИТ, для ее быстрейшего освоения. В состав эргономического обеспечения АИТ входят: комплекс различной документации, содержащей эргономические требования к рабочим местам, информационным моделям, условиям деятельности персонала, а также набор наиболее целесообразных способов реализации этих требований и осуществления эргономической экспертизы уровня их реализации; комплекс методов, учебно-методической документации и технических средств, обеспечивающих обоснование формулирования требований к уровню подготовки персонала, комплекс методов и методик, обеспечивающих высокую эффективность деятельности человека в АИТ.

Эргономическое обеспечение имитационной модели системы управления производственными запасами представлено интерфейсом табличного процессора Microsoft Excel, автоматизированным рабочим местом пользователя, организованного в соответствии с действующими санитарными нормами.

Математическое обеспечение (МО) - это совокупность математических методов, моделей и алгоритмов обработки информации, используемых при решении функциональных задач и в процессе автоматизации проектировочных работ АИТ. МО включают средства моделирования процессов управления, методы и средства решения типовых задач управления, методы оптимизации исследуемых управленческих процессов и принятия решений (методы многокритериальной оптимизации, математического программирования, математической статистики, теории массового обслуживания и т.д.). Техническая документация по этому виду обеспечения АИТ содержит описание задач, задания по алгоритмизации, экономико-математические модели задач, текстовые и контрольные примеры их решения.

Математическое обеспечение имитационной модели системы управления производственными запасами представлено методом Уилсона.

Лингвистическое обеспечение (ЛО) объединяет совокупность языковых средств для формализации естественного языка, построения и сочетания информационных единиц в ходе общения персонала АИТ со средствами вычислительной техники. С помощью лингвистического обеспечения осуществляется общение человека с машиной. ЛО включает информационные языки для описания структурных единиц информационной базы АИТ (документов, показателей, реквизитов и т.п.): языки управления и манипулирования данными информационной базы АИТ; языковые средства информационно-поисковых систем; языковые средства автоматизации проектирования АИТ; диалоговые языки специального назначения и другие языки; систему терминов и определений, используемых в процессе разработки и функционирования автоматизированных систем управления.

Лингвистическое обеспечение имитационной модели имитационной модели системы управления производственными запасами русским языком, языком Visual Basic for Applications встроенный в табличный процессор Microsoft Excel.

.2 Основные функциональные возможности табличного процессора MS Excel, VBA for Excel

Excel - самая популярная сегодня программа электронных таблиц. Ею пользуются деловые люди и ученые, бухгалтеры и журналисты. С ее помощью ведут разнообразные списки, каталоги и таблицы, составляют финансовые и статистические отчеты, обсчитывают данные каких-нибудь опросов и состояние торгового предприятия, обрабатывают результаты научного эксперимента, ведут учет, готовят презентационные материалы. Для ведения домашней бухгалтерии Excel тоже вполне подходит.

Основное отличие электронных таблиц от тех табличек, которые можно строить в Microsoft Word и других текстовых редакторах, состоит в том, что настоящие электронные таблицы оснащены возможностью производить вычисления. Ведь вордовская табличка - это просто способ расположения слов и чисел, вы не сможете попросить свой текстовый редактор, к примеру, посчитать сумму чисел по столбцу, а результат поместить в такую-то ячейку. То есть попросить-то сможете, а вот посчитать всего этого Word не сумеет. Зато Excel сумеет.

Excel может вычислять суммы по столбцам, строкам или любым иным группам ячеек, перемножать и делить, брать проценты; он сумеет посчитать среднее арифметическое, дисперсию или срок погашения кредита. В нем вообще можно использовать множество стандартных функций - финансовых, математических, логических, статистических.

Оформление таблиц может быть самым разнообразным (а это немаловажно, когда нужно распечатать прайс-лист, справку или презентационный материал), возможности форматирования данных - как в хорошем текст-процессоре: можно менять шрифты, начертания, выделять строки, столбцы или отдельные ячейки текста цветом, рамочками и линеечками, закрашивать области фоном или цветом, строить по табличным данным графики и диаграммы, вставлять в таблицу картинки и т.д. и т.п.

Программа Excel достаточно мощная, возможности ее, особенно в последних версиях, весьма обширны. Одних только математических, логических, бухгалтерских, статистических функций, которые Excel умеет выполнять над табличными данными, - более двухсот штук.Excel имеет встроенный язык программирования - Visual Basic for Applications (VBA). Этот язык позволяет создавать приложения, выполняемые в среде Microsoft Office. Это могут быть разнообразные аналитические программы, финансовые системы, программы учета кадров, системы автоматического создания официальных писем/документов с помощью библиотеки готовых шаблонов и т.п. При этом интерфейс создаваемой программы может быть совершенно непохожим на интерфейс того приложения, в котором она написана.сочетает в себе практически неограниченные возможности с простотой изучения и использования. Теперь большинство функций можно описать, не прибегая к программированию. В том случае, если возможностей языка недостаточно, можно обратиться к API-функциям Windows. Пожалуй, самое главное достоинство VBA в том, что этот язык является единым для всех офисных приложений Microsoft и поэтому позволяет связывать их между собой. Уже сейчас из программы, написанной в Excel, можно обращаться к объектам Word для Windows, а также Microsoft Project. Это открывает заманчивые перспективы.

Программа MS Excel, являясь лидером на рынке программ обработки электронных таблиц, определяет тенденции развития в этой области. Вплоть до версии 4.0 программа Excel представляла собой фактический стандарт с точки зрения функциональных возможностей и удобства работы.

Одним из важнейших функциональных расширений программы, предназначенным для профессионалов, является встроенная в Excel. Среда программирования Visual Basic (VBA) для решения прикладных задач. Благодаря VBA фирме Microsoft удалось не только расширить возможности языка макрокоманд Excel 4.0, но и ввести новый уровень прикладного программирования, поскольку VBA позволяет создавать полноценные прикладные пакеты, которые по своим функциям выходят далеко за рамки обработки электронных таблиц.

2.3. Постановка задачи и сбор данных

Требуется определить:

-  длительность цикла, среднесуточные накладные расходы и среднесуточные издержки хранения;

-       каковы оптимальный размер заказываемой партии и расчетные характеристики работы склада в оптимальном режиме.

Формулы необходимые для расчета показателей:

длительность цикла: Q/M,

среднесуточные накладные расходы: K/T,

среднесуточные издержки хранения: h*Q/2,

оптимальный размер заказываемой партии: ,

оптимальный средний уровень запаса: ,

оптимальная периодичность пополнения заказа: ,

оптимальные средние издержки хранения запасов в единицу времени:

,

величина затрат на пополнение и хранение запасов приходящихся на единицу времени:

.

Поясним обозначения, использованные в формулах:

Q - размер заказываемой партии,

K - накладные расходы,

h - издержки на хранение,

T- длительность цикла,

M - скорость расходования товаров.

На склад доставляют профиль ПВХ по 300 м. В сутки со склада забирают 10 м профиля. Накладные расходы по доставке партии профиля равны 500 руб. Издержки хранения 1 м профиля в течение суток равны 0,01 руб.

Длительность цикла:

/10 = 30

Среднесуточные накладные расходы:

/30 ≈ 16,7

Среднесуточные издержки хранения:

,01*300/2 = 1,5



Оптимальный средний уровень запаса:

/2 = 500

Оптимальная периодичность пополнения заказа:

/10 = 100

Оптимальные средние издержки хранения запасов в единицу времени:

*0,01=10

Величина затрат на пополнение и хранение запасов приходящихся на единицу времени:

*10/300+0,01*300/2 = 18,7.

На склад доставляют стекло по 30 кв. м. В сутки со склада забирают 1 кв. м. стекла. Накладные расходы по доставке партии стекла равны 500 руб. Издержки хранения 1 кв. м стекла в течение суток равны 0,01 руб.

Длительность цикла:

/1 = 10

Среднесуточные накладные расходы:

/30 = 16,7

Среднесуточные издержки хранения:

,01*30/2 = 0,15

Оптимальный размер заказываемой партии:


Оптимальный средний уровень запаса:

,23/2 = 158,11

Оптимальная периодичность пополнения заказа:

,23/1 = 316,23

Оптимальные средние издержки хранения запасов в единицу времени:

,23*0,01=3,16

Величина затрат на пополнение и хранение запасов приходящихся на единицу времени:

*1/30+0,01*30/2 = 16,82.

На склад доставляют герметик по 15 кг. В сутки со склада забирают 1 кг. герметика. Накладные расходы по доставке партии герметика равны 500 руб. Издержки хранения 1 кг стекла в течение суток равны 0,01 руб.

Длительность цикла:

/0,5 = 30

Среднесуточные накладные расходы:

/30 = 16,7

Среднесуточные издержки хранения:

,01*15/2 = 0,08

Оптимальный размер заказываемой партии:


Оптимальный средний уровень запаса:

,61/2 = 111,8

Оптимальная периодичность пополнения заказа:

,61/0,5 = 447,21

Оптимальные средние издержки хранения запасов в единицу времени:

,61*0,01=2,24

Величина затрат на пополнение и хранение запасов приходящихся на единицу времени:

*0,5/15+0,01*15/2 = 16,74.

На склад доставляют дистанционную рейку по 200 м. В сутки со склада забирают 6,6 м рейки. Накладные расходы по доставке партии дистанционной рейки равны 500 руб. Издержки хранения 1 м дистанционной рейки в течение суток равны 0,01 руб.

Длительность цикла:

/6,6 = 30

Среднесуточные накладные расходы:

/30 = 16,7

Среднесуточные издержки хранения:

,01*200/2 = 1

Оптимальный размер заказываемой партии:


Оптимальный средний уровень запаса:

,4/2 = 406,2

Оптимальная периодичность пополнения заказа:

,4/6,6 = 123,09

Оптимальные средние издержки хранения запасов в единицу времени:

,4*0,01=8,12

Величина затрат на пополнение и хранение запасов приходящихся на единицу времени:

*6,6/200+0,01*200/2 = 17,5.

На склад доставляют фурнитуру по 50 комплектов. В сутки со склада забирают 8 комплектов. Накладные расходы по доставке партии фурнитуры равны 500 руб. Издержки хранения 1 комплекта фурнитуры в течение суток равны 0,01 руб.

Длительность цикла:

/1,7 = 30

Среднесуточные накладные расходы:

/30 = 16,7

Среднесуточные издержки хранения:

,01*50/2 = 0,25

Оптимальный размер заказываемой партии:


Оптимальный средний уровень запаса:


Оптимальная периодичность пополнения заказа:

,31/1,7 = 242,54

Оптимальные средние издержки хранения запасов в единицу времени:

,31*0,01=4,12

Величина затрат на пополнение и хранение запасов приходящихся на единицу времени:

*1,7/50+0,01*50/2 = 17,25.

имитационный модель производственный запас

ГЛАВА 3. ОПИСАНИЕ МАТЕМАТИЧЕСКОГО И ПРОГРАММНОГО ОБЕСПЕЧЕНИЯ ИМИТАЦИОННОЙ МОДЕЛИ

.1 Описание интерфейса имитационной модели, методики работы

Имитационная модель выполнена в табличном процессоре MS Excel на листе «Лист1» (рис. 3.1).

Рис. 3.1

В верхней части листа расположена таблица с показателями по каждому виду материала (рис. 3.2), где серым цветом обозначены входные данные, а зеленым рассчитываемые данные.

Рис. 3.2

Над каждым видом материала расположена кнопка для отображения формы для редактирования входных данных (рис. 3.3).

Рис. 3.3

При нажатии на кнопку появляется форма для редактирования входных данных (рис. 3.4). Если нажать кнопку «Ок» введенные данные будут размещены на главном листе, а если кнопка «Отмена» форма исчезнет, и изменения не будут приняты.

Рис. 3.4.

Ниже таблицы с показателями расположены диаграммы по каждому виду товара (рис. 3.5) для графического отображения результата расчетов.

Рис. 3.5

.2 Физическая структура программного обеспечения имитационной модели

Имитационная модель имеет структуру, показанную на рисунке 3.6.

Рис. 3.6.

Форма «profil» (рис. 3.7) предназначена для редактирования входных данных для вида товара «Профиль ПВХ».

Рис. 3.7

Процедура обработки нажатия кнопки «Ок» содержит код показанный на рисунке 3.8.

Рис. 3.8.

Аналогичные формы и процедуры имеют и другие виды товара. Содержимое модуля «module1» показано на рисунке 3.9. Этот код предназначен для отображения форм для редактирования входных данных для всех видов товаров, а также код для заполнение полей формы данными с листа «Лист1».

Рис. 3.9.

ЗАКЛЮЧЕНИЕ

Управление запасами - одна из наиболее важных функций управления основной деятельностью, поскольку запасы требуют большого количества капитала, и его объем отражается на поставках товара покупателям. Управление запасами воздействует на все сферы бизнеса, в особенности на производство, маркетинг и финансы. Цели управления запасами, существующие внутри одной фирмы, достаточно противоречивы. Главная задача - найти баланс между этими противоречивыми целями и управлять уровнем запасов в соответствии с интересами фирмы в целом.

В курсовой работе была разработана имитационная модель системы управления производственными запасами ООО «Фаворит»», которая была выполнена с помощью табличного процессора MS Excel. Имитационная модель позволит моделировать систему управления производственными запасами находить оптимальный размер заказа, графически отображать результаты расчетов. В ходе выполнения курсовой работы были созданы следующие формы:

-  «profil», для редактирования входных данных по профилю ПВХ;

-       «fur, для редактирования входных данных по профилю ПВХ;

-       «germ, для редактирования входных данных по герметику;

-       «dist», для редактирования входных данных по дистанционной рамке;

-       «stekla, для редактирования входных данных по стеклам.

С помощью разработанной имитационной модели было выяснено, что в данный момент на предприятии используется не самый оптимальный размер заказа всех видов товаров, для того чтобы улучшить положение необходимо взять следующие размеры заказов:

-  для профиля ПВХ - 1000 метров вместо 300;

-       для стекла - 316 квадратных метров вместо 30;

-       для герметика - 223 килограмм вместо 15;

-       для дистанционной рейки - 812 метров вместо 200;

-       для фурнитуры - 412 комплектов вместо 50.

СПИСОК ИСПОЛЬЗОВАННОЙ ЛИТЕРАТУРЫ

1. Андриевский Б.Р., Фрадков А.Л. «Элементы математического моделирования в программных средах MATLAB5 и SoitDb» - Спб.: Наука, 2001 - 286 с.

. Бенькович Е.С. и др. «Практическое моделирование динамических систем» - Спб.: БХВ - Петербург, 2002 - 464 с.

. Варфоломеев В.И. «Алгоритмическое моделирование элементов экономических систем. Практикум: Учебное пособие для ВУЗов» - М: Финансы и статистика, 2000 - 208 с.

. Вендров А.М. «Практикум по проектированию программного обеспечения экономических информационных систем: Учебное пособие» - М: Финансы и статистика, 2002 - 192 с.

. Советов Б.Я., Яковлев С.А. «Моделирование систем: Учеб. для вузов» - 3-е изд., перераб. и доп. - М.: Высш. шк., 2001. - 343 с: ил.

. Яньков В.Ю. Моделирование систем. Учебно-практическое пособие. Модуль 1. М., МГУТУ, 2004

Похожие работы на - Разработка имитационной модели системы управления производственными запасами ООО 'Фаворит'

 

Не нашли материал для своей работы?
Поможем написать уникальную работу
Без плагиата!
Без нейросетей!